Spandidos Publications Logo
  • About
    • About Spandidos
    • Aims and Scopes
    • Abstracting and Indexing
    • Editorial Policies
    • Reprints and Permissions
    • Job Opportunities
    • Terms and Conditions
    • Contact
  • Journals
    • All Journals
    • Oncology Letters
      • Oncology Letters
      • Information for Authors
      • Editorial Policies
      • Editorial Board
      • Aims and Scope
      • Abstracting and Indexing
      • Bibliographic Information
      • Archive
    • International Journal of Oncology
      • International Journal of Oncology
      • Information for Authors
      • Editorial Policies
      • Editorial Board
      • Aims and Scope
      • Abstracting and Indexing
      • Bibliographic Information
      • Archive
    • Molecular and Clinical Oncology
      • Molecular and Clinical Oncology
      • Information for Authors
      • Editorial Policies
      • Editorial Board
      • Aims and Scope
      • Abstracting and Indexing
      • Bibliographic Information
      • Archive
    • Experimental and Therapeutic Medicine
      • Experimental and Therapeutic Medicine
      • Information for Authors
      • Editorial Policies
      • Editorial Board
      • Aims and Scope
      • Abstracting and Indexing
      • Bibliographic Information
      • Archive
    • International Journal of Molecular Medicine
      • International Journal of Molecular Medicine
      • Information for Authors
      • Editorial Policies
      • Editorial Board
      • Aims and Scope
      • Abstracting and Indexing
      • Bibliographic Information
      • Archive
    • Biomedical Reports
      • Biomedical Reports
      • Information for Authors
      • Editorial Policies
      • Editorial Board
      • Aims and Scope
      • Abstracting and Indexing
      • Bibliographic Information
      • Archive
    • Oncology Reports
      • Oncology Reports
      • Information for Authors
      • Editorial Policies
      • Editorial Board
      • Aims and Scope
      • Abstracting and Indexing
      • Bibliographic Information
      • Archive
    • Molecular Medicine Reports
      • Molecular Medicine Reports
      • Information for Authors
      • Editorial Policies
      • Editorial Board
      • Aims and Scope
      • Abstracting and Indexing
      • Bibliographic Information
      • Archive
    • World Academy of Sciences Journal
      • World Academy of Sciences Journal
      • Information for Authors
      • Editorial Policies
      • Editorial Board
      • Aims and Scope
      • Abstracting and Indexing
      • Bibliographic Information
      • Archive
    • International Journal of Functional Nutrition
      • International Journal of Functional Nutrition
      • Information for Authors
      • Editorial Policies
      • Editorial Board
      • Aims and Scope
      • Abstracting and Indexing
      • Bibliographic Information
      • Archive
    • International Journal of Epigenetics
      • International Journal of Epigenetics
      • Information for Authors
      • Editorial Policies
      • Editorial Board
      • Aims and Scope
      • Abstracting and Indexing
      • Bibliographic Information
      • Archive
    • Medicine International
      • Medicine International
      • Information for Authors
      • Editorial Policies
      • Editorial Board
      • Aims and Scope
      • Abstracting and Indexing
      • Bibliographic Information
      • Archive
  • Articles
  • Information
    • Information for Authors
    • Information for Reviewers
    • Information for Librarians
    • Information for Advertisers
    • Conferences
  • Language Editing
Spandidos Publications Logo
  • About
    • About Spandidos
    • Aims and Scopes
    • Abstracting and Indexing
    • Editorial Policies
    • Reprints and Permissions
    • Job Opportunities
    • Terms and Conditions
    • Contact
  • Journals
    • All Journals
    • Biomedical Reports
      • Information for Authors
      • Editorial Policies
      • Editorial Board
      • Aims and Scope
      • Abstracting and Indexing
      • Bibliographic Information
      • Archive
    • Experimental and Therapeutic Medicine
      • Information for Authors
      • Editorial Policies
      • Editorial Board
      • Aims and Scope
      • Abstracting and Indexing
      • Bibliographic Information
      • Archive
    • International Journal of Epigenetics
      • Information for Authors
      • Editorial Policies
      • Editorial Board
      • Aims and Scope
      • Abstracting and Indexing
      • Bibliographic Information
      • Archive
    • International Journal of Functional Nutrition
      • Information for Authors
      • Editorial Policies
      • Editorial Board
      • Aims and Scope
      • Abstracting and Indexing
      • Bibliographic Information
      • Archive
    • International Journal of Molecular Medicine
      • Information for Authors
      • Editorial Policies
      • Editorial Board
      • Aims and Scope
      • Abstracting and Indexing
      • Bibliographic Information
      • Archive
    • International Journal of Oncology
      • Information for Authors
      • Editorial Policies
      • Editorial Board
      • Aims and Scope
      • Abstracting and Indexing
      • Bibliographic Information
      • Archive
    • Medicine International
      • Information for Authors
      • Editorial Policies
      • Editorial Board
      • Aims and Scope
      • Abstracting and Indexing
      • Bibliographic Information
      • Archive
    • Molecular and Clinical Oncology
      • Information for Authors
      • Editorial Policies
      • Editorial Board
      • Aims and Scope
      • Abstracting and Indexing
      • Bibliographic Information
      • Archive
    • Molecular Medicine Reports
      • Information for Authors
      • Editorial Policies
      • Editorial Board
      • Aims and Scope
      • Abstracting and Indexing
      • Bibliographic Information
      • Archive
    • Oncology Letters
      • Information for Authors
      • Editorial Policies
      • Editorial Board
      • Aims and Scope
      • Abstracting and Indexing
      • Bibliographic Information
      • Archive
    • Oncology Reports
      • Information for Authors
      • Editorial Policies
      • Editorial Board
      • Aims and Scope
      • Abstracting and Indexing
      • Bibliographic Information
      • Archive
    • World Academy of Sciences Journal
      • Information for Authors
      • Editorial Policies
      • Editorial Board
      • Aims and Scope
      • Abstracting and Indexing
      • Bibliographic Information
      • Archive
  • Articles
  • Information
    • For Authors
    • For Reviewers
    • For Librarians
    • For Advertisers
    • Conferences
  • Language Editing
Login Register Submit
  • This site uses cookies
  • You can change your cookie settings at any time by following the instructions in our Cookie Policy. To find out more, you may read our Privacy Policy.

    I agree
Search articles by DOI, keyword, author or affiliation
Search
Advanced Search
presentation
Molecular Medicine Reports
Join Editorial Board Propose a Special Issue
Print ISSN: 1791-2997 Online ISSN: 1791-3004
Journal Cover
April-2018 Volume 17 Issue 4

Full Size Image

Sign up for eToc alerts
Recommend to Library

Journals

International Journal of Molecular Medicine

International Journal of Molecular Medicine

International Journal of Molecular Medicine is an international journal devoted to molecular mechanisms of human disease.

International Journal of Oncology

International Journal of Oncology

International Journal of Oncology is an international journal devoted to oncology research and cancer treatment.

Molecular Medicine Reports

Molecular Medicine Reports

Covers molecular medicine topics such as pharmacology, pathology, genetics, neuroscience, infectious diseases, molecular cardiology, and molecular surgery.

Oncology Reports

Oncology Reports

Oncology Reports is an international journal devoted to fundamental and applied research in Oncology.

Experimental and Therapeutic Medicine

Experimental and Therapeutic Medicine

Experimental and Therapeutic Medicine is an international journal devoted to laboratory and clinical medicine.

Oncology Letters

Oncology Letters

Oncology Letters is an international journal devoted to Experimental and Clinical Oncology.

Biomedical Reports

Biomedical Reports

Explores a wide range of biological and medical fields, including pharmacology, genetics, microbiology, neuroscience, and molecular cardiology.

Molecular and Clinical Oncology

Molecular and Clinical Oncology

International journal addressing all aspects of oncology research, from tumorigenesis and oncogenes to chemotherapy and metastasis.

World Academy of Sciences Journal

World Academy of Sciences Journal

Multidisciplinary open-access journal spanning biochemistry, genetics, neuroscience, environmental health, and synthetic biology.

International Journal of Functional Nutrition

International Journal of Functional Nutrition

Open-access journal combining biochemistry, pharmacology, immunology, and genetics to advance health through functional nutrition.

International Journal of Epigenetics

International Journal of Epigenetics

Publishes open-access research on using epigenetics to advance understanding and treatment of human disease.

Medicine International

Medicine International

An International Open Access Journal Devoted to General Medicine.

Journal Cover
April-2018 Volume 17 Issue 4

Full Size Image

Sign up for eToc alerts
Recommend to Library

  • Article
  • Citations
    • Cite This Article
    • Download Citation
    • Create Citation Alert
    • Remove Citation Alert
    • Cited By
  • Similar Articles
    • Related Articles (in Spandidos Publications)
    • Similar Articles (Google Scholar)
    • Similar Articles (PubMed)
  • Download PDF
  • Download XML
  • View XML
Article

Tetrahydrocurcumin‑induced autophagy via suppression of PI3K/Akt/mTOR in non‑small cell lung carcinoma cells

  • Authors:
    • Guoqiang Song
    • Honghui Lu
    • Fei Chen
    • Youmei Wang
    • Weibin Fan
    • Weifang Shao
    • Huoquan Lu
    • Bin Lin
  • View Affiliations / Copyright

    Affiliations: Department of Respiratory Medicine, Changxing People's Hospital of Zhejiang, Huzhou, Zhejiang 313100, P.R. China, Department of Clinical Pharmacy, Changxing People's Hospital of Zhejiang, Huzhou, Zhejiang 313100, P.R. China, Department of Medical Laboratory, Changxing People's Hospital of Zhejiang, Huzhou, Zhejiang 313100, P.R. China
  • Pages: 5964-5969
    |
    Published online on: February 13, 2018
       https://doi.org/10.3892/mmr.2018.8600
  • Expand metrics +
Metrics: Total Views: 0 (Spandidos Publications: | PMC Statistics: )
Metrics: Total PDF Downloads: 0 (Spandidos Publications: | PMC Statistics: )
Cited By (CrossRef): 0 citations Loading Articles...

This article is mentioned in:



Abstract

Lung carcinoma is the leading cause of mortality due to cancer worldwide. Autophagy has a significant role in the development and progression of non‑small cell lung carcinoma (NSCLC). A previous study has revealed that tetrahydrocurcumin (THC), a traditional Chinese medicine isolated from Curcuma wenyujin (Chen & Ling, 1981), induces autophagy in human A549 NSCLC cells. The present study evaluated THC‑induced autophagy in A549 cells using various assays, including the Cell Counting Kit‑8, acridine orange staining, flow cytometry, reverse transcription‑quantitative polymerase chain reaction (RT‑qPCR), and western blot analysis of the markers of autophagy. THC inhibited the growth and proliferation of A549 cells (P<0.05). Acridine orange staining and flow cytometry revealed that THC treatment significantly enhanced autophagic cell proliferation inhibition (P<0.05). The RT‑qPCR analysis revealed that THC treatment increased Beclin‑1 expression level and compared with the control group (P<0.05). The light chain 3 (LC3)‑II/LC3‑I ratio was reduced in THC‑treated cells when compared with the control group (P<0.05). Protein expression of various markers of autophagy, including p62, phosphorylated (p)‑mechanistic target of rapamycin (mTOR), phosphoinositide 3‑kinase (PI3K), p‑PI3K, protein kinase B (Akt), and p‑Akt was significantly reduced in THC‑treated cells (P<0.05). In conclusion, the present study revealed the underlying mechanisms associated with THC‑induced autophagy. A promising method of enhancing the therapeutic efficacy of THC against NSCLC cells may include inducing autophagy via inhibition of the PI3K/Akt/mTOR signaling pathway.

Introduction

Lung carcinoma is the leading cancer mortality worldwide (1). The most common lung cancer is non-small cell lung carcinoma (NSCLC), which differs from small cell lung carcinoma (SCLC) in its histological and cytological features (2). At present, the treatment of NSCLC is very limited, including chemotherapy, radiation therapy, surgical resection and targeted therapy (3). The prognosis for lung cancer is unfavorable, and novel therapeutic strategies to improve the outcome of patients with NSCLC are required. Traditional Chinese medicine is a source of novel compounds with antineoplastic activity, including isocryptotanshinone, mangiferin and xanthatin (4–6). Tetrahydrocurcumin (THC) is a traditional Chinese medicine isolated from Curcuma wenyujin (Chen & Ling, 1981). THC has a β-diketone structure and two phenolic groups (Fig. 1) and has anti-inflammatory, antioxidative and antitumor properties (7–12); treatment of NSCLC via THC requires further investigation.

Figure 1.

Chemical structure of tetrahydrocurcumin.

Autophagy is important for cellular functioning and has a key role in various physiological and pathological processes (13). In carcinoma, processes with both promotional and suppression properties are considered a double-edged sword (14). The phosphoinositide 3-kinase (PI3K)/protein kinase B (Akt)/mechanistic target of rapamycin (mTOR) molecular signaling pathway is important for autophagy. Activation of PI3K and mTOR leads to an increase in the level of phosphorylated (p)-Akt, which can integrate upstream signals active via the PI3K/Akt signaling pathway and phosphorylation, suppressing autophagy (15,16). In order to evaluate the clinical use of THC, the present study investigated the antineoplastic mechanisms of THC in A549 cells. The findings indicate that the PI3K/Akt/mTOR molecular signaling pathway is involved in THC-induced autophagy.

Materials and methods

Chemicals and reagents

THC (Hangzhou Haoxin Biotech, Co., Ltd., Hangzhou, China) was dissolved at a concentration of 200 µM in absolute dimethyl sulfoxide (DMSO) as a stock solution, which was stored at 4°C and was diluted with DMSO for the subsequent experiments. DMSO, tetramethylethylenediamine, ammonium persulfate, and acridine orange were purchased from Sigma-Aldrich, Merck Millipore (Darmstadt, Germany). RPMI-1640 medium, fetal bovine serum (FBS), penicillin and streptomycin antibiotics, and phosphate-buffered saline (PBS) were purchased from Gibco; Thermo Fisher Scientific, Inc. (Waltham, MA, USA). Tris-HCl and 4xTris-HCl were purchased from Shanghai Sangon Biotech Co., Ltd. (Shanghai, China). Additionally, 30% acrylamide/sis solution (30%) and sodium dodecyl sulfate (SDS) were purchased from Bio-Rad Laboratories, Inc. (Shanghai, China). Tris and Glycine were purchased from Amresco, LLC (Solon, OH, USA). Tween-20, methanol, and sodium chloride were purchased from Sinopharm Chemical Reagent Co. Ltd. (Shanghai, China). SDS-polyacrylamide gel electrophoresis (PAGE) protein loading buffer (5X), cell lysis buffer for western blotting and immunoprecipitation, phenylmethanesulfonyl fluoride, an ECL Plus Luminescence kit, and a BCA Protein Assay kit were purchased from Beyotime Institute of Biotechnology (Nantong, China). The Cell Counting Kit-8 (CCK-8), glyceraldehyde 3-phosphate dehydrogenase (GAPDH, MAB5465), goat anti-rabbit immunoglobulin G (IgG; GAR0072), and goat anti-mouse IgG (GAM007) secondary antibodies were purchased from MultiSciences Biotech Co., Ltd. (Shanghai, China). A high-purity total RNA rapid extraction kit was purchased from Generay Biotech Co., Ltd. (Shanghai, China). A PrimeScript™ RT reagent kit was purchased from TaKaRa (Dalian, China). SuperReal PreMix Color (SYBR® Green) was purchased from Tiangen Biotech Co., Ltd. (Beijing, China). Akt (cat. no. 4691S), p-Akt (cat. no. 4060S), mTOR (cat. no. 2983S), p-mTOR (cat. no. 5536S), light chain (LC)3 I/II (cat. no. 4108S), p62 (cat. no. 13121S), PI3K (cat. no. 4249P), and p-PI3K (cat. no. 4228S) antibodies were purchased from Cell Signaling Technology, Inc. (Shanghai, China).

Cell lines and cell culture

The A549 human lung adenocarcinoma epithelial cell line was purchased from the Cell Bank of Type Culture Collection of Chinese Academy of Sciences (Shanghai, China). The cells were cultured in RPMI-1640 supplemented with 10% FBS, penicillin G (100 U) and streptomycin (100 µg/ml). Cells were incubated in a humidified atmosphere containing 5% CO2 at 37°C.

Cell viability assay

The CCK-8 assay was used to quantify the effect of THC on the cell viability of A549 cells. Cells were seeded in 96-well plates (5×103 cells/well) in 90 µl medium for 24 h. The cells were subsequently treated cells with 10 µl of 0, 30, 70, 100 or 130 µM THC for 12, 24, 48 and 72 h. Following the THC treatment, 10 µl CCK-8 was added to each well and incubated for an additional 2 h at 37°C. The present study quantified cell viability at 490 nm using a plate reader (Molecular Devices, LLC, Sunnyvale, CA, USA).

Flow cytometry

To verify the effect of THC on autophagy in A549 cells, the present study quantified cellular autophagy using flow cytometry. A549 cells were seeded in 6-well plates (3×105 cells/well) for 24 h and treated with 0, 10, 30, 70, 100 or 130 µM THC for 12, 24, 48, and 72 h. Cells were harvested, washed twice with cold PBS, and stained for 15 min at 4°C with acridine orange. The fluorescence intensity of the cells was detected using channels FL1 and FL3 of the flow cytometer (BD Biosciences, Franklin Lakes, NJ, USA). The analyses were repeated three times. The autophagy rate (%) was calculated as follows: Autophagy rate (%)=(FL3/FL1) ×100.

Reverse transcription-quantitative polymerase chain reaction (RT-qPCR)

Using TRIzol reagent, the present study treated total mRNA from the A549 cells with 0, 30, 70, 100 and 130 µmol/l THC for 24 h at 37°C. Following the THC treatment, the mRNA expression levels in A549 cells were determined using qPCR assay on a CFX Connect Real-Time PCR system (Bio-Rad Laboratories, Inc.). The present study extracted total RNA using a high-purity total RNA rapid extraction kit and synthesized the cDNA using a PrimeScript™ RT reagent kit; in an ice bath the RT reaction was mixed and then reacted at 37°C for 15 min and then at 85°C for 5 sec. The reaction was then stopped and stored at 4°C until use. Each sample was run in triplicate in a final volume of 20.0 µl containing 10 µl 2X SuperReal Color PreMix, 1 µl forward primer (10 µM), 1 µl reverse primer (10 µM) and 8 µl cDNA (β-actin forward, TGACGTGGACATCCGCAAAG, reverse, CTGGAAGGTGGACAGCGAGG; Beclin-1 forward, AAACCAGATGCGTTATGCCC and reverse, GCGACC CAGCCTGAAGTTAT). Cycling conditions for the qPCR were as follows: 1 cycle at 95°C for 15 min followed by 40 cycles at 95°C for 10 sec, 57°C for 15 sec, and 72°C for 15 sec. At the end of each reaction, a melting curve analysis was performed. β-actin was used as the reference gene, and the 2−ΔΔCq method was used to determine the relative expression of each gene (17).

Western blot analysis

A549 cells (2×105 cells/plate) were treated with 0, 30, 70, 100, and 130 µmol/l THC for 24 h at 37°C and lysed in cell lysis buffer for western blotting and immunoprecipitation. Proteins were quantified using the BCA Protein Assay kit. Protein (30 µg/lane) were subjected to 12% SDS-PAGE and transferred to a polyvinylidene fluoride membranes. The membranes were blocked with 5% non-fat milk for 1 h, followed by overnight incubation at 4°C with the following primary antibodies: Akt, p-Akt, LC3 I/II, mTOR, p-mTOR, p62, p-PI3K, and PI3K (all 1:1,000). Subsequently, the membranes were incubated with the corresponding horseradish-peroxidase secondary antibody, goat anti-rabbit IgG, and goat anti-mouse IgG (all 1:5,000) for 1 h at room temperature. The blots were developed and visualized using the ECL Plus Luminescence kit and ChemiDoc XRS+ System (Bio-Rad Laboratories).

Statistical analysis

Data are presented as the mean ± standard deviation. Student's t-test and one-way analysis of variance followed by a Tukey's post hoc test were used to analyze the data. Differences between experimental groups were assessed using SPSS version 19.0 (IBM Corporation, Armonk, NY, USA). P<0.05 was considered to indicate a statistically significant difference.

Results

THC promotes cell proliferation inhibition

To evaluate the effects of THC on cell proliferation, A549 cells were treated with 0, 30, 70, 100, and 130 µM THC for 12, 24, 48 and 72 h. Cell viability was determined using a CCK-8 assay. A representative micrograph is presented in Fig. 2A (magnification, ×40). The inhibitory effect increased with higher THC concentration at 12 and 24 h. THC inhibited cell growth in a dose-dependent manner at each time point (Fig. 2B).

Figure 2.

Effect of tetrahydrocurcumin on A549 cell proliferation determined by (A) micrograph (magnification, ×40) and (B) Cell Counting Kit-8 assay. Data are presented as the mean ± standard deviation. THC 130 µM was concentration that had the highest inhibitory effect on A549 cell proliferation, whereas THC 30 µM has the lowest inhibitory effect, showing the dose-dependent effect of THC treatment. CK, control group; THC, tetrahydrocurcumin.

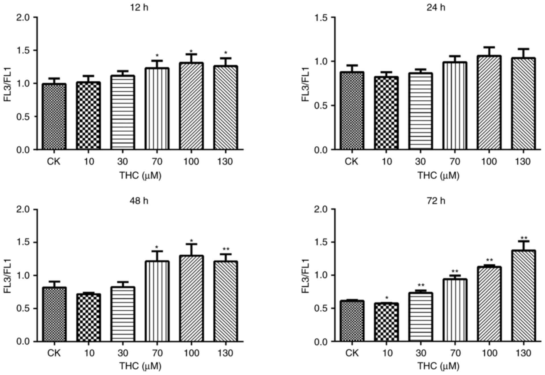
THC induces autophagy in A549 cells

The aforementioned findings suggested that THC induced an autophagic response in A549 cells. Flow cytometry determined that THC-induced autophagy in A549 cells (Fig. 3).

Figure 3.

Autophagy rate was quantified using flow cytometry. Autophagy was evident at 12 h and peaked at 72 h. *P<0.05, **P<0.01 vs. CK group. CK, control group; FL3/FL1, the ratio of the fluorescence intensity of the FL3 channel to the FL1 channel of the flow cytometer; THC, tetrahydrocurcumin.

THC increases Beclin-1 expression

Beclin-1 is associated with genes involved in the formation of autophagosomes and may influence the rate of autophagy. Following THC treatment in A549 cells, a dose-dependent increase in Beclin-1 expression was observed (P<0.05; Table I, Fig. 4).

Figure 4.

Relative normalized expression of Beclin-1. Beclin-1 expression levels were detected using reverse transcription-quantitative polymerase chain reaction at 12 and 24 h of THC treatment. The expression of Beclin-1 in the 100 and 130 µM THC groups was significantly higher when compared with the CK group. *P<0.05 vs. 24 h CK group. CK, control group; THC, tetrahydrocurcumin.

Table I.

Expression data for Beclin-1 at 12 and 24 h (n=5, mean ± standard deviation).

Table I.

Expression data for Beclin-1 at 12 and 24 h (n=5, mean ± standard deviation).

THC treatment

TimeCK30 µM70 µM100 µM130 µM
12 h0.98±0.041.06±0.031.45±0.04 2.28±0.03a 2.92±0.08a
24 h0.98±0.031.04±0.081.34±0.11 2.17±0.13a 2.74±0.05a

a P<0.05; THC, tetrahydrocurcumin; CK, control group.

THC-induced autophagy involves inhibition of the PI3K/Akt/mTOR signaling pathway

The PI3K/Akt/mTOR molecular signaling pathway is involved in autophagy regulation, and suppression of the PI3K/Akt/mTOR pathway promotes autophagy. To examine the role of this pathway in THC-induced autophagy, the present study quantified the expression of mTOR, p-mTOR, Akt, p-Akt LC3-II/LC3-I, p62, PI3K, and p-PI3K using western blotting. Treatment with THC for 24 h led to a significant reduction in levels of p-mTOR, p-Akt and p62 compared to treatment for 12 h (Fig. 5). These findings indicate that the PI3K/Akt/mTOR pathway is involved in THC-induced autophagic cell proliferation inhibition via inhibition of Akt and mTOR phosphorylation.

Figure 5.

Expression levels of p-mTOR, p-Akt, p-PI3K, LC3I/II and p62 in the THC 24 h treatment group were markedly reduced when compared with the 12 h. Treatment with THC for 24 h led to a significant reduction in levels of p-mTOR, p-Akt, and p62 compared to treatment for 12 h. *P<0.05 vs. 24 h CK group, **P<0.01vs. 24 h CK group, #P<0.05 vs. 24 h CK group and ##P<0.01 vs. 24 h CK group; THC, tetrahydrocurcumin; p, phosphorylated; mTOR, mechanistic target of rapamycin; Akt, protein kinase B; PI3K, phosphoinositide 3-kinase; LC3, light chain 3I/II.

Discussion

THC has anti-inflammatory, antioxidative and antitumor effects (7–12). Previous studies have revealed that THC inhibits the invasion of breast cancer (10,18). The present study confirmed the suppressive effect of THC on A549 lung cancer cells. THC inhibits the proliferation of A549 cells by inducing autophagy via the PI3K/Akt/mTOR signaling pathway (Fig. 6).

Figure 6.

Tetrahydrocurcumin inhibits the proliferation of A549 cells by PI3K/Akt/mTOR pathway-induced tumor cell autophagy. mTOR, mechanistic target of rapamycin; Akt, protein kinase B; PI3K, phosphoinositide 3-kinase.

The present study revealed a potential novel molecular mechanism for the antitumor effects of THC in A549 cells. Treatment of A549 cells with THC led to increased autophagy. Concurrently, activation of the PI3K/Akt/mTOR molecular pathway was inhibited by THC, which indicates that activation of the PI3K/Akt/mTOR pathway may be associated with autophagy. This is consistent with the previously reported mechanism of action of THC in the literature (19). Wu et al determined that THC induced autophagic cell death via the PI3K/Akt/mTOR and MAPK molecular signaling pathways in HL-60 human leukemia cells (19). Therefore, it may be concluded that THC-induced autophagic cell proliferation inhibition is the predominant mechanism underlying inhibition of A549 cell proliferation. This conclusion may contribute to the future development and clinical application of curcumin antitumor drugs.

LC3 has been previously used as a specific marker to monitor autophagy and LC3-II (the conjugated form of LC3) is highly correlated with autophagosome number (20,21). p62 is a selective autophagy substrate (22). The present study determined that THC induction activated the levels of the autophagy-associated protein LC3II/I, reduction in autophagy for the decreasing p62 expression. This suggested that THC inhibition of A549 lung cancer cells may be achieved through the autophagy pathway.

The PI3K/AKT/mTOR molecular signaling cascade regulates cell autophagy. As an important member of the PI3K-associated kinase family, mTOR is associated with cell proliferation and metabolism. Previous studied suggested that suppression of Akt and downstream target protein mTOR activation may induce autophagy (23–25). The PI3K/Akt/mTOR pathway has a key role in the pathogenesis of NSCLC. Therefore, inhibition of PI3K/Akt/mTOR pathway activation may be a suitable therapeutic target for future lung cancer treatments (26,27). The findings of the present study revealed that THC may induce the antitumor effects of autophagy in A549 cells by reducing activation of the PI3K/Akt/mTOR pathway, which suggests that THC is a potential treatment for lung cancer.

In conclusion, THC induced autophagic cell proliferation inhibition in NSCLC cells via suppression of the PI3K/Akt/mTOR molecular signaling pathway. To the best of our knowledge the current findings present a novel anticancer mechanism of THC.

Acknowledgements

Dr. Sun Wei (Department of Pharmacy, The Second Affiliated Hospital and Yuying Children's Hospital of Wenzhou Medical University, Wenzhou, China) revised and analyzed the manuscript.

Funding

The current study was supported by the Zhejiang Science and Technology Department Public Service Technology Application Project (grant no. 2016C33SA510004), Huzhou Science and Technology Project (grant no. 2016GY52) and Zhejiang Medical Association Foundation (grant no. 2016ZYC-A70).

Availability of data and materials

The datasets used and/or analyzed during the current study are available from the corresponding author on reasonable request.

Authors' contributions

GS, HL and BL conceived and designed the experiments and acquired reagents, materials, and/or analysis tools. HL, FC, YW, WF and WS performed the experiments. HL and BL analyzed the data. GS and BL produced the manuscript.

Ethics approval and consent to participate

Not applicable.

Consent for publication

Not applicable.

Competing interests

The authors declare that they have no competing interests.

References

1 

Siegel R, Ma J, Zou Z and Jemal A: Cancer statistics, 2014. CA Cancer J Clin. 64:9–29. 2014. View Article : Google Scholar : PubMed/NCBI

2 

Jemal A, Bray F, Center MM, Ferlay J, Ward E and Forman D: Global cancer statistics. CA Cancer J Clin. 61:69–90. 2011. View Article : Google Scholar : PubMed/NCBI

3 

Absenger G, Terzic J and Bezan A: ASCO update: Lung cancer. Memo. 10:224–227. 2017. View Article : Google Scholar : PubMed/NCBI

4 

Guo S, Luo W, Liu L, Pang X, Zhu H, Liu A, Lu J, Ma DL, Leung CH, Wang Y and Chen X: Isocryptotanshinone, a STAT3 inhibitor, induces apoptosis and pro-death autophagy in A549 lung cancer cells. J Drug Target. 24:934–942. 2016. View Article : Google Scholar : PubMed/NCBI

5 

Shi W, Deng J, Tong R, Yang Y, He X, Lv J, Wang H, Deng S, Qi P, Zhang D and Wang Y: Molecular mechanisms underlying mangiferin-induced apoptosis and cell cycle arrest in A549 human lung carcinoma cells. Mol Med Rep. 13:3423–3432. 2016. View Article : Google Scholar : PubMed/NCBI

6 

Zhang L, Ruan J, Yan L, Li W, Wu Y, Tao L, Zhang F, Zheng S, Wang A and Lu Y: Xanthatin induces cell cycle arrest at G2/M checkpoint and apoptosis via disrupting NF-κB pathway in A549 non-small-cell lung cancer cells. Molecules. 17:3736–3750. 2012. View Article : Google Scholar : PubMed/NCBI

7 

Chong L, Zhang W, Nie Y, Yu G, Liu L, Lin L, Wen S, Zhu L and Li C: Protective effect of curcumin on acute airway inflammation of allergic asthma in mice through Notch1-GATA3 signaling pathway. Inflammation. 37:1476–1485. 2014. View Article : Google Scholar : PubMed/NCBI

8 

Kukongviriyapan U, Apaijit K and Kukongviriyapan V: Oxidative stress and cardiovascular dysfunction associated with cadmium exposure: Beneficial effects of curcumin and tetrahydrocurcumin. Tohoku J Exp Med. 239:25–38. 2016. View Article : Google Scholar : PubMed/NCBI

9 

Ji JL, Huang XF and Zhu HL: Curcumin and its formulations: Potential anti-cancer agents. Anticancer Agents Med Chem. 12:210–218. 2012. View Article : Google Scholar : PubMed/NCBI

10 

Han X, Deng S, Wang N, Liu Y and Yang X: Inhibitory effects and molecular mechanisms of tetrahydrocurcumin against human breast cancer MCF-7 cells. Food Nutr Res. 60:306162016. View Article : Google Scholar : PubMed/NCBI

11 

Yoysungnoen B, Bhattarakosol P, Changtam C and Patumraj S: Effects of tetrahydrocurcumin on tumor growth and cellular signaling in cervical cancer xenografts in nude mice. Biomed Res Int 2016. 2016.doi: 10.1155/2016/1781208. View Article : Google Scholar

12 

Lin B, Yu H, Lin Y, Cai C, Lu H and Zhu X: Suppression of GRASP65 phosphorylation by tetrahydrocurcumin protects against cerebral ischemia/reperfusion injury via ERK signaling. Mol Med Rep. 14:4775–4780. 2016. View Article : Google Scholar : PubMed/NCBI

13 

Wang Y and Qin Z: Coordination of autophagy with other cellular activities. Acta Pharmacol Sin. 34:585–594. 2013. View Article : Google Scholar : PubMed/NCBI

14 

Janku F, McConkey DJ, Hong DS and Kurzrock R: Autophagy as a target for anticancer therapy. Nat Rev Clin Oncol. 8:528–539. 2011. View Article : Google Scholar : PubMed/NCBI

15 

Levine B and Kroemer G: Autophagy in the pathogenesis of disease. Cell. 132:27–42. 2008. View Article : Google Scholar : PubMed/NCBI

16 

Zi D, Zhou ZW, Yang YJ, Huang L, Zhou ZL, He SM, He ZX and Zhou SF: Danusertib induces apoptosis, cell cycle arrest, and autophagy but inhibits epithelial to mesenchymal transition involving PI3K/Akt/mTOR signaling pathway in human ovarian cancer cells. Int J Mol Sci. 16:27228–27251. 2015. View Article : Google Scholar : PubMed/NCBI

17 

Livak KJ and Schmittgen TD: Analysis of relative gene expression data using real-time quantitative PCR and the 2(-Delta Delta C(T)) method. Methods. 25:402–408. 2001. View Article : Google Scholar : PubMed/NCBI

18 

Kang N, Wang MM, Wang YH, Zhang ZN, Cao HR, Lv YH, Yang Y, Fan PH, Qiu F and Gao XM: Tetrahydrocurcumin induces G2/M cell cycle arrest and apoptosis involving p38 MAPK activation in human breast cancer cells. Food Chem Toxicol. 67:193–200. 2014. View Article : Google Scholar : PubMed/NCBI

19 

Wu JC, Lai CS, Badmaev V, Nagabhushanam K, Ho CT and Pan MH: Tetrahydrocurcumin, a major metabolite of curcumin, induced autophagic cell death through coordinative modulation of PI3K/Akt-mTOR and MAPK signaling pathways in human leukemia HL-60 cells. Mol Nutr Food Res. 55:1646–1654. 2011. View Article : Google Scholar : PubMed/NCBI

20 

Zhang XY, Zhang TT, Song DD, Zhou J, Han R, Qin ZH and Sheng R: Endoplasmic reticulum chaperone GRP78 is involved in autophagy activation induced by ischemic preconditioning in neural cells. Mol Brain. 8:202015. View Article : Google Scholar : PubMed/NCBI

21 

Kuma A, Matsui M and Mizushima N: LC3, an autophagosome marker, can be incorporated into protein aggregates independent of autophagy: Caution in the interpretation of LC3 localization. Autophagy. 3:323–328. 2007. View Article : Google Scholar : PubMed/NCBI

22 

Bjørkøy G, Lamark T, Brech A, Outzen H, Perander M, Overvatn A, Stenmark H and Johansen T: p62/SQSTM1 forms protein aggregates degraded by autophagy and has a protective effect on huntingtin-induced cell death. J Cell Biol. 171:603–614. 2005. View Article : Google Scholar : PubMed/NCBI

23 

Paglin S, Lee NY, Nakar C, Fitzgerald M, Plotkin J, Deuel B, Hackett N, McMahill M, Sphicas E, Lampen N and Yahalom J: Rapamycin-sensitive pathway regulates mitochondrial membrane potential, autophagy, and survival in irradiated MCF-7 cells. Cancer Res. 65:11061–11070. 2005. View Article : Google Scholar : PubMed/NCBI

24 

Kim SH, Son KM, Kim KY, Yu SN, Park SG, Kim YW, Nam HW, Suh JT, Ji JH and Ahn SC: Deoxypodophyllotoxin induces cytoprotective autophagy against apoptosis via inhibition of PI3K/AKT/mTOR pathway in osteosarcoma U2OS cells. Pharmacol Rep. 69:878–884. 2017. View Article : Google Scholar : PubMed/NCBI

25 

Pant K, Saraya A and Venugopal SK: Oxidative stress plays a key role in butyrate-mediated autophagy via Akt/mTOR pathway in hepatoma cells. Chem Biol Interact. 273:99–106. 2017. View Article : Google Scholar : PubMed/NCBI

26 

Shi H, Pu J, Zhou XL, Ning YY and Bai C: Silencing long non-coding RNA ROR improves sensitivity of non-small-cell lung cancer to cisplatin resistance by inhibiting PI3K/Akt/mTOR signaling pathway. Tumour Biol. 39:2017.doi: 10.1177/1010428317697568. View Article : Google Scholar :

27 

Jiang W, Zhang W, Wu L, Liu L, Men Y, Wang J, Liang J, Hui Z, Zhou Z, Bi N and Wang L: MicroRNA-related polymorphisms in PI3K/Akt/mTOR pathway genes are predictive of limited-disease small cell lung cancer treatment outcomes. Biomed Res Int 2017. 2017.doi: 10.1155/2017/6501385. View Article : Google Scholar

Related Articles

  • Abstract
  • View
  • Download
  • Twitter
Copy and paste a formatted citation
Spandidos Publications style
Song G, Lu H, Chen F, Wang Y, Fan W, Shao W, Lu H and Lin B: Tetrahydrocurcumin‑induced autophagy via suppression of PI3K/Akt/mTOR in non‑small cell lung carcinoma cells. Mol Med Rep 17: 5964-5969, 2018.
APA
Song, G., Lu, H., Chen, F., Wang, Y., Fan, W., Shao, W. ... Lin, B. (2018). Tetrahydrocurcumin‑induced autophagy via suppression of PI3K/Akt/mTOR in non‑small cell lung carcinoma cells. Molecular Medicine Reports, 17, 5964-5969. https://doi.org/10.3892/mmr.2018.8600
MLA
Song, G., Lu, H., Chen, F., Wang, Y., Fan, W., Shao, W., Lu, H., Lin, B."Tetrahydrocurcumin‑induced autophagy via suppression of PI3K/Akt/mTOR in non‑small cell lung carcinoma cells". Molecular Medicine Reports 17.4 (2018): 5964-5969.
Chicago
Song, G., Lu, H., Chen, F., Wang, Y., Fan, W., Shao, W., Lu, H., Lin, B."Tetrahydrocurcumin‑induced autophagy via suppression of PI3K/Akt/mTOR in non‑small cell lung carcinoma cells". Molecular Medicine Reports 17, no. 4 (2018): 5964-5969. https://doi.org/10.3892/mmr.2018.8600
Copy and paste a formatted citation
x
Spandidos Publications style
Song G, Lu H, Chen F, Wang Y, Fan W, Shao W, Lu H and Lin B: Tetrahydrocurcumin‑induced autophagy via suppression of PI3K/Akt/mTOR in non‑small cell lung carcinoma cells. Mol Med Rep 17: 5964-5969, 2018.
APA
Song, G., Lu, H., Chen, F., Wang, Y., Fan, W., Shao, W. ... Lin, B. (2018). Tetrahydrocurcumin‑induced autophagy via suppression of PI3K/Akt/mTOR in non‑small cell lung carcinoma cells. Molecular Medicine Reports, 17, 5964-5969. https://doi.org/10.3892/mmr.2018.8600
MLA
Song, G., Lu, H., Chen, F., Wang, Y., Fan, W., Shao, W., Lu, H., Lin, B."Tetrahydrocurcumin‑induced autophagy via suppression of PI3K/Akt/mTOR in non‑small cell lung carcinoma cells". Molecular Medicine Reports 17.4 (2018): 5964-5969.
Chicago
Song, G., Lu, H., Chen, F., Wang, Y., Fan, W., Shao, W., Lu, H., Lin, B."Tetrahydrocurcumin‑induced autophagy via suppression of PI3K/Akt/mTOR in non‑small cell lung carcinoma cells". Molecular Medicine Reports 17, no. 4 (2018): 5964-5969. https://doi.org/10.3892/mmr.2018.8600
Follow us
  • Twitter
  • LinkedIn
  • Facebook
About
  • Spandidos Publications
  • Careers
  • Cookie Policy
  • Privacy Policy
How can we help?
  • Help
  • Live Chat
  • Contact
  • Email to our Support Team