Spandidos Publications Logo
  • About
    • About Spandidos
    • Aims and Scopes
    • Abstracting and Indexing
    • Editorial Policies
    • Reprints and Permissions
    • Job Opportunities
    • Terms and Conditions
    • Contact
  • Journals
    • All Journals
    • Oncology Letters
      • Oncology Letters
      • Information for Authors
      • Editorial Policies
      • Editorial Board
      • Aims and Scope
      • Abstracting and Indexing
      • Bibliographic Information
      • Archive
    • International Journal of Oncology
      • International Journal of Oncology
      • Information for Authors
      • Editorial Policies
      • Editorial Board
      • Aims and Scope
      • Abstracting and Indexing
      • Bibliographic Information
      • Archive
    • Molecular and Clinical Oncology
      • Molecular and Clinical Oncology
      • Information for Authors
      • Editorial Policies
      • Editorial Board
      • Aims and Scope
      • Abstracting and Indexing
      • Bibliographic Information
      • Archive
    • Experimental and Therapeutic Medicine
      • Experimental and Therapeutic Medicine
      • Information for Authors
      • Editorial Policies
      • Editorial Board
      • Aims and Scope
      • Abstracting and Indexing
      • Bibliographic Information
      • Archive
    • International Journal of Molecular Medicine
      • International Journal of Molecular Medicine
      • Information for Authors
      • Editorial Policies
      • Editorial Board
      • Aims and Scope
      • Abstracting and Indexing
      • Bibliographic Information
      • Archive
    • Biomedical Reports
      • Biomedical Reports
      • Information for Authors
      • Editorial Policies
      • Editorial Board
      • Aims and Scope
      • Abstracting and Indexing
      • Bibliographic Information
      • Archive
    • Oncology Reports
      • Oncology Reports
      • Information for Authors
      • Editorial Policies
      • Editorial Board
      • Aims and Scope
      • Abstracting and Indexing
      • Bibliographic Information
      • Archive
    • Molecular Medicine Reports
      • Molecular Medicine Reports
      • Information for Authors
      • Editorial Policies
      • Editorial Board
      • Aims and Scope
      • Abstracting and Indexing
      • Bibliographic Information
      • Archive
    • World Academy of Sciences Journal
      • World Academy of Sciences Journal
      • Information for Authors
      • Editorial Policies
      • Editorial Board
      • Aims and Scope
      • Abstracting and Indexing
      • Bibliographic Information
      • Archive
    • International Journal of Functional Nutrition
      • International Journal of Functional Nutrition
      • Information for Authors
      • Editorial Policies
      • Editorial Board
      • Aims and Scope
      • Abstracting and Indexing
      • Bibliographic Information
      • Archive
    • International Journal of Epigenetics
      • International Journal of Epigenetics
      • Information for Authors
      • Editorial Policies
      • Editorial Board
      • Aims and Scope
      • Abstracting and Indexing
      • Bibliographic Information
      • Archive
    • Medicine International
      • Medicine International
      • Information for Authors
      • Editorial Policies
      • Editorial Board
      • Aims and Scope
      • Abstracting and Indexing
      • Bibliographic Information
      • Archive
  • Articles
  • Information
    • Information for Authors
    • Information for Reviewers
    • Information for Librarians
    • Information for Advertisers
    • Conferences
  • Language Editing
Spandidos Publications Logo
  • About
    • About Spandidos
    • Aims and Scopes
    • Abstracting and Indexing
    • Editorial Policies
    • Reprints and Permissions
    • Job Opportunities
    • Terms and Conditions
    • Contact
  • Journals
    • All Journals
    • Biomedical Reports
      • Information for Authors
      • Editorial Policies
      • Editorial Board
      • Aims and Scope
      • Abstracting and Indexing
      • Bibliographic Information
      • Archive
    • Experimental and Therapeutic Medicine
      • Information for Authors
      • Editorial Policies
      • Editorial Board
      • Aims and Scope
      • Abstracting and Indexing
      • Bibliographic Information
      • Archive
    • International Journal of Epigenetics
      • Information for Authors
      • Editorial Policies
      • Editorial Board
      • Aims and Scope
      • Abstracting and Indexing
      • Bibliographic Information
      • Archive
    • International Journal of Functional Nutrition
      • Information for Authors
      • Editorial Policies
      • Editorial Board
      • Aims and Scope
      • Abstracting and Indexing
      • Bibliographic Information
      • Archive
    • International Journal of Molecular Medicine
      • Information for Authors
      • Editorial Policies
      • Editorial Board
      • Aims and Scope
      • Abstracting and Indexing
      • Bibliographic Information
      • Archive
    • International Journal of Oncology
      • Information for Authors
      • Editorial Policies
      • Editorial Board
      • Aims and Scope
      • Abstracting and Indexing
      • Bibliographic Information
      • Archive
    • Medicine International
      • Information for Authors
      • Editorial Policies
      • Editorial Board
      • Aims and Scope
      • Abstracting and Indexing
      • Bibliographic Information
      • Archive
    • Molecular and Clinical Oncology
      • Information for Authors
      • Editorial Policies
      • Editorial Board
      • Aims and Scope
      • Abstracting and Indexing
      • Bibliographic Information
      • Archive
    • Molecular Medicine Reports
      • Information for Authors
      • Editorial Policies
      • Editorial Board
      • Aims and Scope
      • Abstracting and Indexing
      • Bibliographic Information
      • Archive
    • Oncology Letters
      • Information for Authors
      • Editorial Policies
      • Editorial Board
      • Aims and Scope
      • Abstracting and Indexing
      • Bibliographic Information
      • Archive
    • Oncology Reports
      • Information for Authors
      • Editorial Policies
      • Editorial Board
      • Aims and Scope
      • Abstracting and Indexing
      • Bibliographic Information
      • Archive
    • World Academy of Sciences Journal
      • Information for Authors
      • Editorial Policies
      • Editorial Board
      • Aims and Scope
      • Abstracting and Indexing
      • Bibliographic Information
      • Archive
  • Articles
  • Information
    • For Authors
    • For Reviewers
    • For Librarians
    • For Advertisers
    • Conferences
  • Language Editing
Login Register Submit
  • This site uses cookies
  • You can change your cookie settings at any time by following the instructions in our Cookie Policy. To find out more, you may read our Privacy Policy.

    I agree
Search articles by DOI, keyword, author or affiliation
Search
Advanced Search
presentation
Molecular Medicine Reports
Join Editorial Board Propose a Special Issue
Print ISSN: 1791-2997 Online ISSN: 1791-3004
Journal Cover
December-2018 Volume 18 Issue 6

Full Size Image

Sign up for eToc alerts
Recommend to Library

Journals

International Journal of Molecular Medicine

International Journal of Molecular Medicine

International Journal of Molecular Medicine is an international journal devoted to molecular mechanisms of human disease.

International Journal of Oncology

International Journal of Oncology

International Journal of Oncology is an international journal devoted to oncology research and cancer treatment.

Molecular Medicine Reports

Molecular Medicine Reports

Covers molecular medicine topics such as pharmacology, pathology, genetics, neuroscience, infectious diseases, molecular cardiology, and molecular surgery.

Oncology Reports

Oncology Reports

Oncology Reports is an international journal devoted to fundamental and applied research in Oncology.

Experimental and Therapeutic Medicine

Experimental and Therapeutic Medicine

Experimental and Therapeutic Medicine is an international journal devoted to laboratory and clinical medicine.

Oncology Letters

Oncology Letters

Oncology Letters is an international journal devoted to Experimental and Clinical Oncology.

Biomedical Reports

Biomedical Reports

Explores a wide range of biological and medical fields, including pharmacology, genetics, microbiology, neuroscience, and molecular cardiology.

Molecular and Clinical Oncology

Molecular and Clinical Oncology

International journal addressing all aspects of oncology research, from tumorigenesis and oncogenes to chemotherapy and metastasis.

World Academy of Sciences Journal

World Academy of Sciences Journal

Multidisciplinary open-access journal spanning biochemistry, genetics, neuroscience, environmental health, and synthetic biology.

International Journal of Functional Nutrition

International Journal of Functional Nutrition

Open-access journal combining biochemistry, pharmacology, immunology, and genetics to advance health through functional nutrition.

International Journal of Epigenetics

International Journal of Epigenetics

Publishes open-access research on using epigenetics to advance understanding and treatment of human disease.

Medicine International

Medicine International

An International Open Access Journal Devoted to General Medicine.

Journal Cover
December-2018 Volume 18 Issue 6

Full Size Image

Sign up for eToc alerts
Recommend to Library

  • Article
  • Citations
    • Cite This Article
    • Download Citation
    • Create Citation Alert
    • Remove Citation Alert
    • Cited By
  • Similar Articles
    • Related Articles (in Spandidos Publications)
    • Similar Articles (Google Scholar)
    • Similar Articles (PubMed)
  • Download PDF
  • Download XML
  • View XML
Article Open Access

Syringaresinol‑di‑O‑β‑D‑glucoside, a phenolic compound from Polygonatum sibiricum, exhibits an antidiabetic and antioxidative effect on a streptozotocin‑induced mouse model of diabetes

  • Authors:
    • Liping Zhai
    • Xu Wang
  • View Affiliations / Copyright

    Affiliations: Department of Endocrinology, The Affiliated Hospital of Nanjing University of Chinese Medicine, Nanjing, Jiangsu 210023, P.R. China
    Copyright: © Zhai et al. This is an open access article distributed under the terms of Creative Commons Attribution License.
  • Pages: 5511-5519
    |
    Published online on: October 23, 2018
       https://doi.org/10.3892/mmr.2018.9580
  • Expand metrics +
Metrics: Total Views: 0 (Spandidos Publications: | PMC Statistics: )
Metrics: Total PDF Downloads: 0 (Spandidos Publications: | PMC Statistics: )
Cited By (CrossRef): 0 citations Loading Articles...

This article is mentioned in:



Abstract

Syringaresinol‑di‑O‑β‑D‑glucoside (SOG) is a phenolic compound extracted from Polygonatum sibiricum. The present study aimed to investigate the antidiabetic effect of SOG on streptozocin (STZ)‑induced diabetic mice and determine the potential underlying mechanisms. In the present study, fasting blood glucose and organ indexes of mice were analyzed. Body weight, water intake and food intake were also recorded. Furthermore, serum fasting insulin, pancreatic insulin and pancreatic interleukin‑6 levels of mice were determined using ELISA kits to investigate the effect of SOG on the levels of insulin. Levels of total cholesterol (TC), triglyceride (TG), high‑density lipoprotein cholesterol, low‑density lipoprotein cholesterol (LDL‑C), very low‑density lipoprotein cholesterol (VLDL‑C) and free fatty acid (FFA) in the serum of mice, and levels of TC, TG and total protein in the kidney, were also determined to investigate the effects of SOG on lipid and protein metabolism in mice. Furthermore, malondialdehyde (MDA), superoxide dismutase (SOD), catalase (CAT), aspartate transaminase (AST), alanine transaminase (ALT) and alkaline phosphatase (ALP) levels, as well as total antioxidant capacity (T‑AOC), in the kidneys of mice were determined to investigate the effect of SOG on oxidative stress. Western blotting was also performed to determine the expression of proteins associated with oxidative stress. The results demonstrated that SOG (25, 50 and 75 mg/kg) induced a significant antidiabetic effect in mice. Treatment with SOG promoted insulin secretion and decreased TC, TG, LDL‑C, VLDL‑C, FFA, MDA, SOD, CAT, AST, ALT and ALP levels in the kidneys of mice, as well as kidney TC and TG levels, but increased the levels of kidney total protein and the T‑AOC in kidneys. Furthermore, SOG treatment could significantly downregulate the expressions of nitrotyrosine and transforming growth factor‑β1 in diabetic mice. Therefore, the present study indicated that SOG may exert an antidiabetic effect on STZ‑induced diabetic mice and that the mechanism of SOG may be associated with its antioxidative activity.

Introduction

Currently, diabetes is regarded as an epidemic disease with an increasing incidence (1) and it has become the third major disease after cardiovascular and cerebrovascular diseases and cancer (2). Diabetes is divided into type 1 and type 2, with type 2 diabetes accounting for 90% of all cases, and caused a heavy burden on public health and socioeconomic development of all nations. (3,4). Diabetes is a chronic metabolic disease characterized by hyperglycemia caused by a lack of insulin or impaired insulin sensitivity (5). It has been reported that the pathogenesis of diabetes may be associated with an imbalance between the production of reactive oxygen species (ROS) and antioxidant defense systems (6). Oxidative stress refers to the imbalance between the production of ROS and reactive nitrogen species and the clearance of antioxidant defense systems in the body, which resulted in biological macromolecular damage including tissue cells, proteins and nucleic acids (7). Currently, the main therapy for diabetes aims to lower blood glucose with physical activities, nutritional intervention, oral hypoglycemic agents, insulin and glucagonlike peptide-1 receptor agonists (8). In addition, a number of studies have revealed that 30–40% of patients with diabetes have kidney damage, and there is no effective method for the prevention and treatment of diabetic nephropathy (1,4,9).

Traditional Chinese Medicine (TCM) has been used to treat various diseases in China for centuries, and natural products extracted from herbs or plants are crucial resources for finding novel candidate drugs with reliable effects and fewer side effects (10,11). TCM has commonly been used to treat diabetes since ancient times and Chinese medicine formulas with antidiabetic activities are well developed (12). Rhizoma of Polygonatum kingianum Coll. et Hemsl or Polygonatum sibiricum Red (Polygonati rhizoma), a well-known herbal medicine in China, has been used for the treatment of diabetes, cough, anorexia, spleen deficiency and stomach diseases (13). In addition, according to various Chinese traditional prescriptions, Polygonati rhizoma has been widely used to treat diabetes (14). Syringaresinol-di-O-β-D-glucoside (SOG), whose chemical structure presented in Fig. 1, is a phenolic compound isolated from Polygonati rhizome. The activities of this compound have not been extensively investigated (15). Therefore, the present study aimed to elucidate the antidiabetic effect of SOG on streptozocin (STZ)-induced experimental diabetic mice and determine the potential underlying mechanisms.

Figure 1.

Chemical structure of syringaresinol-di-O-β-D-glucoside.

Materials and methods

Chemicals

Syringaresinol-di-O-β-D-glucoside (SOG; cat. no. E-0542; http://www.tautobiotech.com/BRM/ProductShow.asp?ArticleID=542) was purchased from Shanghai TAUTO BIOTECH Co., Ltd. (Shanghai, China). STZ (cat. no. S0130) and dimethyl sulfoxide (DMSO) were obtained from Sigma-Aldrich (Merck KGaA, Darmstadt, Germany). Nitrotyrosine (NT) antibody (cat. no. DMABT-Z60522) was purchased from Creative Diagnostics, Shirley, NY, USA. Insulin (cat. no. ab100578) and interleukin-6 (IL-6; cat. no. ab100712) ELISA kits, and transforming growth factor-β1 (TGF-β1; cat. no. ab9758) and GAPDH (cat. no. ab8245) antibodies, were purchased from Abcam (Cambridge, MA, USA). Total cholesterol (TC; cat. no. CY81061), triglyceride (TG; cat. no. CY81057), high-density lipoprotein cholesterol (HDL-C; cat. no. HZL2329), total protein (cat. no. HZL2206), low-density lipoprotein cholesterol (LDL-C; cat. no. HZL2321), free fatty acid (FFA; cat. no. CY81055), malondialdehyde (MDA; cat. no. EY2), superoxide dismutase (SOD; cat. no. FY1), catalase (CAT; cat. no. HZL2444), total antioxidant capacity (T-AOC; cat. no. FG5), aspartate transaminase (AST; cat. no. HZL2382), alanine transaminase (ALT; cat. no. SEA207Ra) and alkaline phosphatase (ALP; cat. no. HZL2351) kits were produced by Shanghai Chaoyan Biological Technology Co., Ltd., (Shanghai, China; http://biosis.biogo.net/sell/typeid-5638.shtml). Bicinchoninic acid (BCA) protein assay reagent was purchased from Beyotime Institute of Biotechnology (Haimen, China). All other chemicals used in the present study were of analytical reagent grade.

Animals

A total of 50 male specific pathogen-free mice (6–8 weeks old; weight, 18–23 g) were purchased from the Laboratory Animal Center of Fujian Medical University (Fuzhou, China). The animals were maintained under controlled conditions (22±2°C, 30–70% humidity and <0.03% CO2) with a 12-h light/dark cycle and free access to food and water. All animal treatments were strictly in accordance with international ethical guidelines and the National Institutes of Health Guide concerning the Care and Use of Laboratory Animals (16), and the experiments were performed with the approval of the Animal Experimentation Ethics Committee of the Affiliated Hospital of Nanjing University of Chinese Medicine (Nanjing, China).

Animal model establishment and grouping

A diabetic animal model was established according to the previously reported method with minor modifications (17). A total 50 male mice were divided into five groups (n=10/group): Normal group, model group, 25 mg/kg SOG-treated group, 50 mg/kg SOG-treated group and 75 mg/kg SOG-treated group. All mice excluding the normal group were injected with STZ dissolved in 0.1 mol/l citric acid buffer solution (Chengdu Chemical Co., Ltd., Chengdu, China; 100 mg/kg) intravenously. Mice in the normal group were treated with an equal volume of 0.01 mol/l citric acid buffer solution. After 3 days, the fasting blood glucose (FBG) of mice treated with STZ was measured using an Accu-Chek Performa monitor. STZ-treated mice with FBG >11.1 mmol/l were considered to be diabetic. Following successful establishment of the diabetic model, mice in the normal and the model group were treated with normal saline (containing 0.5% DMSO) and mice in SOG-treated groups were treated with SOG at 25, 50 or 75 mg/kg by means of intragastric administration daily for 2 weeks. SOG was dissolved in normal saline (containing 0.5% DMSO).

Effects of SOG on FBG, body weight, water intake, food intake and organ indexes (kidney, pancreas, spleen and liver) of diabetic mice induced by STZ

During administration of SOG for 2 weeks, the water and food intake of mice were recorded each day. On days 0 (a day prior to the administration of the first dose of SOG) and 15, the body weight of mice was measured and the weight gain was calculated. On days 0, 7 and 15, the FBG of mice was determined using glucose testing strips. Blood samples were collected from the caudal vein of mice. Following the final administration of SOG, mice were sacrificed the next day by cervical dislocation. The organs were separated and the organ index was calculated according to the following formula: Organ index (g/100 g)=WOrgan/WBody, where W stands for weight.

Effect of SOG on serum fasting insulin, pancreatic insulin and pancreatic IL-6 levels in diabetic mice induced by STZ

Following treatment with SOG for 2 weeks, the mice were fasted for 12 h with free access to water. A total of 50 µl serum was obtained from whole blood by centrifugation for 5 min at 10,000 × g at 4°C and serum fasting insulin of mice was measured using a commercial insulin ELISA kit (Abcam; cat. no. ab100578), according to manufacturer's protocol. In addition, the pancreas were treated with lysis buffer (Abcam; cat. no. ab156035) for 10 min and centrifuged at 4°C for 5 min (10,000 × g) and then the pancreatic levels of insulin and IL-6 in were also detected using insulin and IL-6 ELISA kits (Abcam; cat. no. ab100712), respectively.

Effect of SOG on TC, TG, HDL-C, LDL-C, very low-density lipoprotein cholesterol (VLDL-C) and FFA in the serum of diabetic mice induced by STZ

The levels of TC, TG, HDL-C, LDL-C and FFA in the serum of STZ-induced diabetic mice after 12 h of fasting were measured using TC, TG, HDL-C, LDL-C and FFA kits, respectively. The value of VLDL-C in the serum was calculated according to the Friedewald formula reported by previous study (17): VLDL-C=TG/5.

Effect of SOG on kidney TC, TG and total protein levels in diabetic mice induced by STZ

Kidneys were treated with lysis buffer (Abcam; cat. no. ab156035) for 10 min and centrifuged at 4°C for 5 min (10,000 × g) and then the levels of kidney TC and TG in STZ-induced diabetic mice were determined using TC and TG kits, according to the manufacturer's protocols. The content of kidney protein in STZ-induced diabetic mice was measured using a BCA protein assay reagent.

Effect of SOG on MDA, SOD, CAT, T-AOC, AST, ALT and ALP in the kidneys of diabetic mice induced by STZ

Following the final administration of SOG, mice were fasted for 12 h and the blood samples were collected from the eyeballs and centrifuged for 10 min (3,500 × g) at 4°C to obtain the serum. The levels of MDA, SOD, CAT, T-AOC, AST, ALT and ALP in the serum of STZ-induced diabetic mice were measured using commercial ELISA kits for MDA (cat. no. EY2), SOD (cat. no. FY1), CAT (cat. no. HZL2444), T-AOC (cat. no. FG5), AST (cat. no. HZL2382), ALT (cat. no. SEA207Ra) and ALP (cat. no. HZL2351) kits, respectively following the manufacturers' protocol.

Western blot analysis

The kidney tissues of mice were cut into small pieces and treated with RIPA lysis buffer (Abcam; cat. no. ab156035). The supernatant was obtained by centrifugation at 12,000 × g for 15 min at 4°C. Protein concentration was determined using BCA protein assay reagent (Beyotime Institute of Biotechnology; cat. no. P0010). Subsequently, 35 µg proteins were separated by 12% SDS-PAGE and transferred to polyvinylidene difluoride membranes. Membranes were blocked with 5% fat-free dry milk in 1X TBS-Tween-20 (containing 0.1% Tween-20) for 2 h at room temperature. Membranes were subsequently incubated with primary antibodies specific to NT (1:1,000), TGF-β1 (1:1,000) and GAPDH (1:2,000) at 4°C overnight. Membranes were further incubated with horseradish peroxidase-conjugated secondary antibodies (1:2,000; Beyotime Institute of Biotechnology; cat. no. A0286) at room temperature for 1 h. The proteins were detected using the Beyo ECL Star reagents (Beyotime Institute of Biotechnology; cat. no. P0018A). Signals were quantified using ImageQuant LAS 4000 Imaging system (GE Healthcare Bio-Sciences, Pittsburgh, PA, USA). To normalize for protein loading, an antibody against GAPDH was used and protein expression levels were expressed relative to GAPDH.

Statistical analysis

All tests were conducted in triplicate and all data are presented as the mean ± standard deviation. The significance of differences between groups was analyzed by one-way analysis of variance followed by a Dunnett's multiple comparisons post-hoc test using SPSS software (SPSS for Windows version 19.0; IBM Corp., Armonk, NY, USA). P<0.05 was considered to indicate a statistically significant difference.

Results

Effects of SOG on FBG, body weight, water intake, food intake and organ indexes of diabetic mice induced by STZ

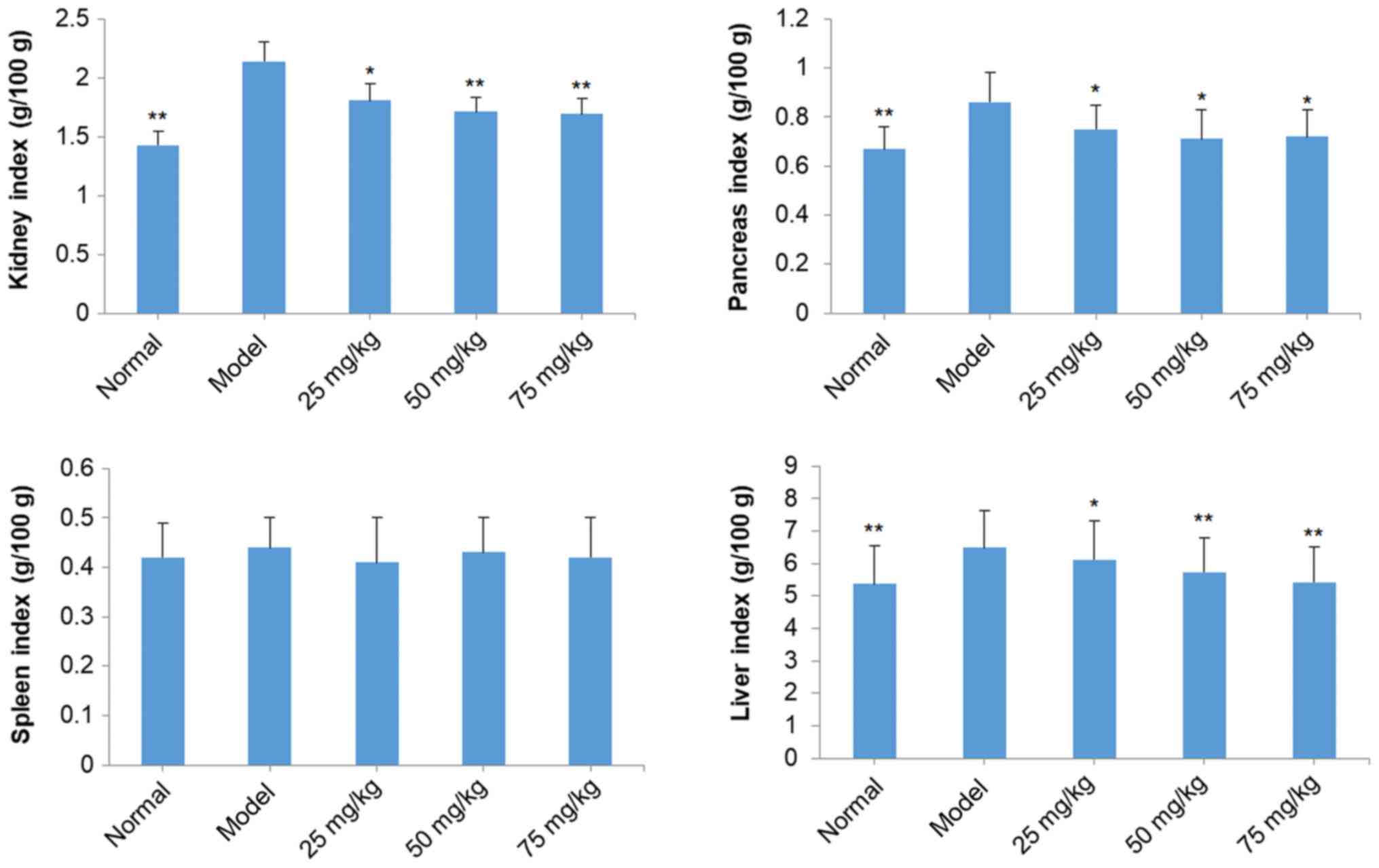
The FBG levels in model mice were higher compared with mice in other groups, indicating that the diabetic animal model was established successfully (Fig. 2A). However, treatment with SOG at 25, 50 and 75 mg/kg significantly decreased the levels of FBG in STZ-induced diabetic mice in a dose-dependent and time-dependent manner compared with the model group (P<0.01; Fig. 2A). In addition, the body weight of the model significantly decreased compared with the normal mice (P<0.01; Fig. 2B). The body weight of mice in SOG-treated groups (25, 50 and 75 mg/kg) was significantly increased compared with model group mice (P<0.05; Fig. 2B). Overeating is a primary characteristic of mice with diabetes (16). Water and food intake of model mice with diabetes was increased compared with normal mice (Fig. 2C and D). Following treatment with SOG (25, 50 and 75 mg/kg), the water and food intake of mice with diabetes was significantly decreased compared with the model group (P<0.05; Fig. 2C and D). The effect of treatment with SOG on organ indexes (kidney, pancreas, spleen and liver) of STZ-induced diabetic mice are presented in Fig. 3. Kidney, pancreas and liver indexes of diabetic mice induced by STZ were increased compared with mice in the normal group. SOG treatment (25, 50 and 75 mg/kg) significantly reduced the kidney, pancreas and liver indexes, compared with the model group, to levels similar to that in the normal group. However, no significant effects of diabetes induction or SOG treatment were observed on the spleen index.

Figure 2.

Effects of SOG on (A) FBG, (B) body weight, and (C) water and (D) food intake of experimental diabetic mice induced by STZ. The normal group represents mice without STZ injection and the model group represents mice with the induction of diabetes by STZ injection. Data are presented as the mean ± standard deviation (n=10 mice). *P<0.05 and **P<0.01 vs. model group. SOG, syringaresinol-di-O-β-D-glucoside; FBG, fasting blood glucose; STZ, streptozocin; 25 mg/kg, 25 mg/kg SOG; 50 mg/kg, 50 mg/kg SOG; 75 mg/kg, 75 mg/kg SOG.

Figure 3.

Effect of SOG on organ indexes of experimental diabetic mice induced by STZ. The normal group represents mice without STZ injection and the model group represents mice with the induction of diabetes by STZ injection. Data are presented as the mean ± standard deviation (n=10 mice). *P<0.05 and **P<0.01 vs. model group. SOG, syringaresinol-di-O-β-D-glucoside; STZ, streptozocin; 25 mg/kg, 25 mg/kg SOG; 50 mg/kg, 50 mg/kg SOG; 75 mg/kg, 75 mg/kg SOG.

Effects of SOG on serum fasting insulin, pancreatic insulin and pancreatic IL-6 of diabetic mice induced by STZ

Serum fasting insulin and pancreatic insulin levels of STZ-induced diabetic mice in the model group were significantly decreased compared with normal mice (P<0.01; Fig. 4). However, treatment with SOG (25, 50 and 75 mg/kg) significantly increased serum fasting insulin and pancreatic insulin levels in STZ-induced diabetic model mice dose-dependently (P<0.01; Fig. 4). The pancreatic levels of IL-6 in diabetic mice in the model group were significantly increased compared with the normal group (P<0.01); however, following treatment with SOG at doses of 25, 50 and 75 mg/kg, the level of pancreatic IL-6 in diabetic mice was significantly reduced compared with mice in the model group (P<0.01; Fig. 4).

Figure 4.

Effect of SOG on serum fasting insulin, pancreatic insulin and pancreatic IL-6 levels in experimental diabetic mice induced by STZ. The normal group represents mice without STZ injection and the model group represents mice with the induction of diabetes by STZ injection. Data are presented as the mean ± standard deviation (n=10 mice). **P<0.01 vs. model group. SOG, syringaresinol-di-O-β-D-glucoside; IL-6, interleukin-6; STZ, streptozocin; 25 mg/kg, 25 mg/kg SOG; 50 mg/kg, 50 mg/kg SOG; 75 mg/kg, 75 mg/kg SOG.

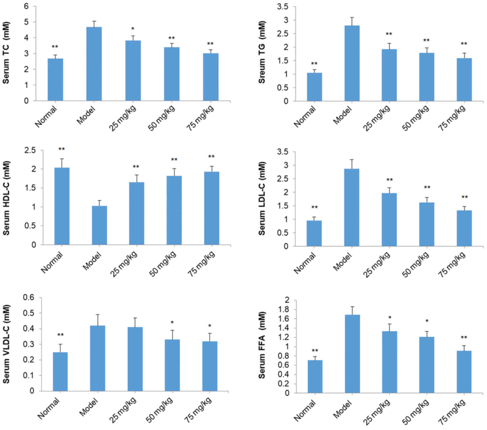
Effects of SOG on TC, TG, HDL-C, LDL-C, VLDL-C and FFA in the serum of diabetic mice induced by STZ

TC, TG, LDL-C, VLDL-C and FFA levels in the serum of mice in the model group were significantly increased compared with the normal mice (P<0.01; Fig. 5). However, HDL-C levels in the serum of model mice were decreased compared with normal mice (P<0.01; Fig. 5). In all SOG-treated groups (25, 50 and 75 mg/kg), TC, TG, LDL-C and FFA levels in the serum of mice were significantly decreased compared with model group mice (P<0.05; Fig. 5). Similar effects were observed for VLDL-C levels at 50 and 75 mg/kg SOG; however, 25 mg/kg SOG did not induce a significant reduction in VLDL-C levels in diabetic model mice (Fig. 5). By contrast, all three concentrations of SOG led to significant increases in the HDL-C levels in the serum of diabetic model mice (P<0.01; Fig. 5).

Figure 5.

Effect of SOG on the levels of TC, TG, HDL-C, LDL-C, VLDL-C and FFA in the serum of experimental diabetic mice induced by STZ. The normal group represents mice without STZ injection and the model group represents mice with the induction of diabetes by STZ injection. Data are presented as the mean ± standard deviation (n=10 mice). *P<0.05 and **P<0.01 vs. model group. SOG, syringaresinol-di-O-β-D-glucoside; TC, total cholesterol; TG, triglyceride; HDL-C, high-density lipoprotein cholesterol; LDL-C, low-density lipoprotein cholesterol; VLDL-C, very low-density lipoprotein cholesterol; FFA, free fatty acid; STZ, streptozocin; 25 mg/kg, 25 mg/kg SOG; 50 mg/kg, 50 mg/kg SOG; 75 mg/kg, 75 mg/kg SOG.

Effects of SOG on kidney TC, TG and total protein levels in diabetic mice induced by STZ

TC and TG levels in the kidneys of model group mice were markedly increased compared with mice in the normal group (P<0.01), while total kidney protein levels were significantly decreased (P<0.01; Fig. 6). SOG (25, 50 and 75 mg/kg) significantly decreased kidney TC and TG levels, and increased levels of total kidney protein, in diabetic mice induced by STZ in a dose-dependent manner (P<0.01; Fig. 6).

Figure 6.

Effect of SOG on TC, TG and total protein levels in the kidneys of experimental diabetic mice induced by STZ. The normal group represents mice without STZ injection and the model group represents mice with the induction of diabetes by STZ injection. Data are presented as the mean ± standard deviation (n=10 mice). **P<0.01 vs. model group. SOG, syringaresinol-di-O-β-D-glucoside; TC, total cholesterol; TG, triglyceride; STZ, streptozocin; 25 mg/kg, 25 mg/kg SOG; 50 mg/kg, 50 mg/kg SOG; 75 mg/kg, 75 mg/kg SOG.

Effects of SOG on MDA, SOD, CAT, T-AOC, AST, ALT and ALP in the kidneys of diabetic mice induced by STZ

Levels of MDA, SOD, CAT, AST, ALT and ALP in the kidneys of model group mice were increased significantly, and T-AOC was decreased significantly, compared with normal mice (P<0.01; Fig. 7). Following treatment with SOG (25, 50 and 75 mg/kg), the levels of MDA, SOD, CAT, AST, ALT and ALP in the kidneys of diabetic mice were significantly decreased, and T-AOC was significantly increased, compared with model group mice (P<0.05; Fig. 7).

Figure 7.

Effect of SOG on MDA, SOD, CAT, T-AOC, AST, ALT and ALP levels in the kidneys of experimental diabetic mice induced by STZ. The normal group represents mice without STZ injection and the model group represents mice with the induction of diabetes by STZ injection. Data are presented as the mean ± standard deviation (n=10 mice). *P<0.05 and **P<0.01 vs. model group. SOG, syringaresinol-di-O-β-D-glucoside; MDA, malondialdehyde; SOD, superoxide dismutase; CAT, catalase; T-AOC; total antioxidant capacity, AST; aspartate transaminase, ALT; alanine transaminase, ALP; alkaline phosphatase; STZ, streptozocin; 25 mg/kg, 25 mg/kg SOG; 50 mg/kg, 50 mg/kg SOG; 75 mg/kg, 75 mg/kg SOG.

Effects of SOG on the protein expression of NT and TGF-β1 in the kidneys of diabetic mice induced by STZ

The results of western blot analysis demonstrated that the protein expression of NT and TGF-β1 were significantly increased in diabetic model mice compared with normal mice (P<0.01; Fig. 8). Treatment with SOG at 25, 50 and 75 mg/kg in diabetic model mice resulted in a significant decrease in the protein expression of NT, compared with the model group (P<0.01; Fig. 8). SOG treatment at 50 and 75 mg/kg also significantly decreased the expression levels of TGF-β1 compared with mice in the model group (P<0.05), but no significant reduction in TGF-β1 levels was observed at 25 mg/kg SOG in diabetic model mice (Fig. 8).

Figure 8.

Effect of SOG on the protein expression of NT and TGF-β1 in the kidneys of experimental diabetic mice induced by STZ. The normal group represents mice without STZ injection and the model group represents mice with the induction of diabetes by STZ injection. Data are presented as the mean ± standard deviation (n=10 mice). *P<0.05 and **P<0.01 vs. model group. SOG, syringaresinol-di-O-β-D-glucoside; NT, nitrotyrosine; TGF-β1, transforming growth factor-β1; STZ, streptozocin; 25 mg/kg, 25 mg/kg SOG; 50 mg/kg, 50 mg/kg SOG; 75 mg/kg, 75 mg/kg SOG.

Discussion

To the best of our knowledge, the present study is the first to investigate the antidiabetic effect of SOG in a diabetic mouse model induced by STZ. In the present study, SOG exhibited an antidiabetic effect and its mechanism may be associated with antioxidative effects.

STZ is a widely used antibiotic produced by Streptomyces achromogenes. In 1963, Rakieten et al (18) demonstrated that rats and dogs exhibited symptoms of diabetes following intravenous injection with STZ. STZ is formed by the coupling of a glucose molecule with a highly active urea side chain, which is considered to contribute to cytotoxicity. Therefore, a STZ-induced diabetic animal model was used in the present study.

The primary symptoms of diabetes include polydipsia, polyuria, emaciation, weakness and hyperglycemia (17). In the present study, FBG, body weight, water intake, food intake and organ indexes (kidney, pancreas, spleen and liver) of diabetic mice induced by STZ were analyzed, and the results demonstrated that SOG ameliorated symptoms of STZ-induced diabetes. In addition, diabetes primarily results from insulin deficiency or insulin insensitivity (5). Therefore, the levels of serum fasting insulin and pancreatic insulin may reflect the severity of diabetes symptoms. In the process of insulin resistance, a series of reactions occur, including increases in the levels of fatty acids, inflammation and oxidative stress (19). The level of pancreatic IL-6 in experimental mice was determined in the present study. The results indicated that SOG exerted an antidiabetic effect through increasing the serum fasting insulin and pancreatic insulin levels, and decreasing the levels of pancreatic IL-6.

Lipids, including fat and fatty substances in the blood, serve roles in energy balance, the physiological function of reproduction and organs, and cell biology (20). The major components of fatty substances in the blood are fatty acids, cholesterol, triglycerides and phospholipids (21). Additionally, increased concentrations of TC, TG, LDL-C and VLDL-C, and reduced HDL-C levels, are characteristic of hyperlipidemia and hypercholesterolemia (22,23), which are associated with diabetes (21). In the present study, TC, TG, HDL-C, LDL-C, VLDL-C and FFA in the serum of experimental mice were analyzed. The results demonstrated that SOG significantly decreased the levels of TC, TG, LDL-C, VLDL-C and FFA, and increased the levels of HDL-C, in the serum of STZ-induced diabetic mice, indicating that SOG may increase sensitivity to insulin.

Diabetic nephropathy is the most common chronic complication of diabetes (24). It was reported that 30–40% of diabetic patients suffer from kidney damage (9). Rats with diabetic nephropathy have specific symptoms, including high levels of TC and TG, and low total kidney protein levels (25). In the present study, SOG reduced levels of TC and TG in the kidney, and increased total kidney protein levels, which indicate that SOG may ameliorate diabetic nephropathy of STZ-induced diabetic mice.

Oxidative stress is a major mechanism contributing to the development of diabetes mellitus, which it mediates via alterations in the formation of free radicals (26,27). Oxygen free radicals are associated with the pathogenesis of diabetes mellitus (20). It has been previously demonstrated that an imbalance between ROS and the endogenous protective mechanisms in patients with diabetes is associated with cell damage (25). The level of MDA reflects the extent of lipid peroxidation, with increases in MDA levels indicating an increase in the number of free radicals. SOD catalyzes the dismutation of superoxide anion radicals into hydrogen peroxide. Hydrogen peroxide may be changed into peroxynitrite to weaken the interaction between the superoxide anion and nitric oxide or be hydrolyzed by hydrogen peroxide to water and oxygen (28–30). T-AOC is considered to be the cumulative effect of all antioxidants in the blood and body fluids, which is used to assess alterations in the antioxidant status, particularly in patients with diabetes (31). It was reported that the levels of AST and ALT were increased in the kidneys of STZ-induced diabetic mice compared with normal mice (32). ALP is a membrane-bound glycoprotein enzyme that is used as an indicator of biliary function and cholestasis (33). In the present study, SOG decreased the levels of SOD, CAT, AST, ALT and ALP in the kidney of STZ-induced diabetic mice, and increased levels of T-AOC, indicating that SOG may exhibit antidiabetic effects by regulating oxidative stress.

Excessive amounts of ROS and NO are produced by patients with diabetes, leading to the production of peroxynitrite anions, which is an oxidant and leads to elevated oxidative stress (34). Peroxynitrite anions have been reported to activate nuclear factor-κB to upregulate the expression of TGF-β and eventually promote the development of diabetes. Furthermore, NT in the kidney is a specific marker of peroxynitrite anions (35). The present study investigated the protein expression of NT and TGF-β1. The results demonstrated that SOG downregulated the expression levels of NT and TGF-β1 in the kidneys of STZ-induced diabetic mice in a dose-dependent manner.

In conclusion, the results of the present study demonstrated that SOG may exert notable antidiabetic effects and ameliorate diabetic nephropathy. The mechanism of SOG may be associated with decreasing the levels of oxidative stress through downregulation of the expression of NT and TGF-β1 in kidneys. In addition, the present investigation can provide specific scientific basis for the use of Polygonati rhizome. Further studies on structure-bioactivity association of SOG should be performed in the future.

Acknowledgements

Not applicable.

Funding

The present study was supported by the Natural Science Foundation of Jiangsu Provincial Department of Science and Technology (grant no. BK20151572).

Availability of data and materials

The datasets used and/or analyzed during the current study are available from the corresponding author on reasonable request.

Authors' contributions

For preparation of the paper, XW conceived and designed the study; LZ performed the experiments; XW analyzed the data; LZ and XW wrote the manuscript.

Ethics approval and consent to participate

Animal experiments were performed with the approval of the Animal Experimentation Ethics Committee of The Affiliated Hospital of Nanjing University of Chinese Medicine.

Patient consent for publication

Not applicable.

Competing interests

The authors declare that they have no competing interests.

References

1 

Wild S, Roglic G, Green A, Sicree R and King H: Global prevalence of diabetes: Estimates for the year 2000 and projections for 2030. Diabetes Care. 27:1047–1053. 2004. View Article : Google Scholar : PubMed/NCBI

2 

Mrudula T, Suryanarayana P, Srinivas PN and Reddy GB: Effect of curcumin on hyperglycemia-induced vascular endothelial growth factor expression in streptozotocin-induced diabetic rat retina. Biochem Biophys Res Commun. 361:528–532. 2007. View Article : Google Scholar : PubMed/NCBI

3 

Danaei G, Finucane MM, Lu Y, Singh GM, Cowan MJ, Paciorek CJ, Lin JK, Farzadfar F, Khang YH, Stevens GA, et al: National, regional, and global trends in fasting plasma glucose and diabetes prevalence since 1980: Systematic analysis of health examination surveys and epidemiological studies with 370 country-years and 2.7 million participants. Lancet. 378:31–40. 2011. View Article : Google Scholar : PubMed/NCBI

4 

Ruiz-Ramos M, Escolar-Pujolar A, Mayoral-Sánchez E, Laureano Corral-San F and Fernández-Fernández I: Diabetes mellitus in Spain: Death rates, prevalence, impact, costs and inequalities. Gac Sanit. 20 Suppl 1:S15–S24. 2006. View Article : Google Scholar

5 

Kim SH, Hyun SH and Choung SY: Anti-diabetic effect of cinnamon extract on blood glucose in db/db mice. J Ethnopharmacol. 104:119–123. 2006. View Article : Google Scholar : PubMed/NCBI

6 

Ezeja MI, Anaga AO and Asuzu IU: Antidiabetic, antilipidemic, and antioxidant activities of Gouania longipetala methanol leaf extract in alloxan-induced diabetic rats. Pharm Biol. 53:605–614. 2015. View Article : Google Scholar : PubMed/NCBI

7 

Reddy VP, Zhu X, Perry G and Smith MA: Oxidative stress in diabetes and Alzheimer's disease. J Alzheimers Dis. 16:763–774. 2009. View Article : Google Scholar : PubMed/NCBI

8 

Huang J, Yang Y, Hu R and Chen L: Anti-interleukin-1 therapy has mild hypoglycaemic effect in type 2 diabetes. Diabetes Obes Metab. 20:1024–1028. 2018. View Article : Google Scholar : PubMed/NCBI

9 

Li JY, Liu XM, Li B and Li M: Research progress in the symptom and treatment of diabetic nephropathy. Diabetes New World. 20:70–72. 2015.(In Chinese).

10 

Newman DJ and Cragg GM: Natural products as sources of new drugs from 1981 to 2014. J Nat Prod. 79:629–661. 2016. View Article : Google Scholar : PubMed/NCBI

11 

Peng W, Shen W, Lin B, Han P, Li C, Zhang Q, Ye B, Rahman K, Xin H, Qin L and Han T: Docking study and antiosteoporosis effects of a dibenzylbutane lignan isolated from Litsea cubeba targeting Cathepsin K and MEK1. Med Chem Res. 27:2062–2070. 2018. View Article : Google Scholar

12 

Xie W and Du L: Diabetes is an inflammatory disease: Evidence from traditional Chinese medicines. Diabetes Obes Metab. 13:289–301. 2011. View Article : Google Scholar : PubMed/NCBI

13 

Chinese Pharmacopoeia Commission, . Pharmacopoeia of the People's Republic of China Part IPeople's Medical Publishing House. Beijing: pp. 3062015

14 

Liu J, Zhang H, Ji B, Cai S, Wang R, Zhou F, Yang J and Liu H: A diet formula of Puerariae radix, Lycium barbarum, Crataegus pinnatifida, and Polygonati rhizoma alleviates insulin resistance and hepatic steatosis in CD-1 mice and HepG2 cells. Food Funct. 5:1038–1049. 2014. View Article : Google Scholar : PubMed/NCBI

15 

Chen H, Feng SS, Sun YJ, Hao ZY, Feng WS and Zheng XK: Advances in studies on chemical constituents of three medicinal plants from Polygonatum Mill. and their pharmacological activities. Chin Tradit Herb Drugs. 46:2329–2338. 2015.

16 

National Institute of Health, . USA: Public health service policy on humane care and use of laboratory animals; 2002

17 

Jin DK: Antidiabetic effect of DMDD Isolated from Averrhoa carambola L. roots on STZ-induced diabetic mice and its potential mechanism (unpublished PhD thesis). Guangxi Medical University. 2014.

18 

Rakieten N, Rakieten ML and Nadkarni MV: Studies on the diabetogenic action of streptozotocin (NSC-37917). Cancer Chemother Rep. 29:91–98. 1963.

19 

Kintoko K and Huang R: Mechanism of insulin resistance in type 2 diabetes mellitus. Proceeding of International Symposium on Progress in Pharmacology. 2013.

20 

Russell DW: Cholesterol biosynthesis and metabolism. Cardiovasc Drugs Ther. 6:103–110. 1992. View Article : Google Scholar : PubMed/NCBI

21 

Ibrahim SRM, Mohamed GA, Banjar ZM and Kamal HKM: Natural antihyperlipidemic agents: Current status and future persepctives. Phytopharmacology. 4:492–531. 2013.

22 

Grundy SM, Cleeman JI, Rifkind BM and Kuller LH: Cholesterol lowering in the elderly population. Coordinating Committee of the National Cholesterol Education Program. Arch Intern Med. 159:1670–1678. 1999. View Article : Google Scholar : PubMed/NCBI

23 

Mahmood ZA, Ahmed SW, Sualeh M and Mahmood SBZ: Hyperlipidemia development and consequences. Med Channel. 5:14–17. 2009.

24 

Weng X: Research progress of treatment of diabetic nephropathy in traditional Chinese medicine. Asia-Pacific Tradit Med. 2:62–63. 2015.(In Chinese).

25 

Lv SQ, Zhang SF, Wang ZQ, Song HL, Han ZQ, Su XH, Liu AR, Wang YS, Yu WX and Chi XE: Protective effect of jianpi gushen huayu decoction on diabetic nephropathy rats. Chin J Exp Tradi Med Formulae. 24:142–147. 2018.

26 

Kim HJ, Lee SG, Chae IG, Kim MJ, Im NK, Yu MH, Lee EJ and Lee IS: Antioxidant effects of fermented red ginseng extract in streptozotocin-induced diabetic rats. J Ginseng Res. 35:129–137. 2011. View Article : Google Scholar : PubMed/NCBI

27 

Kakkar R, Kalra J, Mantha SV and Prasad K: Lipid peroxidation and activity of antioxidant enzymes in diabetic rats. Mol Cell Biochem. 151:113–119. 1995. View Article : Google Scholar : PubMed/NCBI

28 

Manna P, Sinha M and Sil PC: Protective role of arjunolic acid in response to streptozotocin-induced type-1 diabetes via the mitochondria dependent and independent pathways. Toxicol. 257:53–63. 2009. View Article : Google Scholar

29 

Maritim AC, Sanders RA and Watkins JB III: Diabetes, oxidative stress, and antioxidant: A review. J Biochem Mol Toxicol. 17:24–38. 2003. View Article : Google Scholar : PubMed/NCBI

30 

Winterbourne CC: Superoxide as intracellular radical sink. Free Radic Biol Med. 14:85–90. 1993. View Article : Google Scholar : PubMed/NCBI

31 

Sies H: Total antioxidant capacity: Appraisal of a concept. J Nutr. 137:1493–1495. 2007. View Article : Google Scholar : PubMed/NCBI

32 

Okada M, Murakami Y and Miyamoto E: Glycation and inactivation of aspartate aminotransferase in diabetic rat tissues. J Nutr Sci Vitaminol (Tokyo). 43:463–469. 1997. View Article : Google Scholar : PubMed/NCBI

33 

Leibovitch I, Ben-Chaim J, Ramon J and Goldwasser B: Increased serum alkaline phosphatase activity: A possible indicator of renal damage. J Clin Lab Anal. 5:406–409. 1991. View Article : Google Scholar : PubMed/NCBI

34 

Ceriello A, Mercuri F, Quagliaro L, Assaloni R, Motz E, Tonutti L and Taboga C: Detection of nitrotyrosine in the diabetic plasma: Evidence of oxidative stress. Diabetologia. 44:834–838. 2001. View Article : Google Scholar : PubMed/NCBI

35 

Fang F, Wu YG, Dong J, Ren KJ, Qi XM, Liang C and Zhang W: Effects of total glucosides of paeony on oxidative stress in renal tissue of diabetic rats. Chin J Pharmacol Toxicol. 22:199–204. 2008.(In Chinese).

Related Articles

  • Abstract
  • View
  • Download
  • Twitter
Copy and paste a formatted citation
Spandidos Publications style
Zhai L and Wang X: Syringaresinol‑di‑O‑β‑D‑glucoside, a phenolic compound from Polygonatum sibiricum, exhibits an antidiabetic and antioxidative effect on a streptozotocin‑induced mouse model of diabetes. Mol Med Rep 18: 5511-5519, 2018.
APA
Zhai, L., & Wang, X. (2018). Syringaresinol‑di‑O‑β‑D‑glucoside, a phenolic compound from Polygonatum sibiricum, exhibits an antidiabetic and antioxidative effect on a streptozotocin‑induced mouse model of diabetes. Molecular Medicine Reports, 18, 5511-5519. https://doi.org/10.3892/mmr.2018.9580
MLA
Zhai, L., Wang, X."Syringaresinol‑di‑O‑β‑D‑glucoside, a phenolic compound from Polygonatum sibiricum, exhibits an antidiabetic and antioxidative effect on a streptozotocin‑induced mouse model of diabetes". Molecular Medicine Reports 18.6 (2018): 5511-5519.
Chicago
Zhai, L., Wang, X."Syringaresinol‑di‑O‑β‑D‑glucoside, a phenolic compound from Polygonatum sibiricum, exhibits an antidiabetic and antioxidative effect on a streptozotocin‑induced mouse model of diabetes". Molecular Medicine Reports 18, no. 6 (2018): 5511-5519. https://doi.org/10.3892/mmr.2018.9580
Copy and paste a formatted citation
x
Spandidos Publications style
Zhai L and Wang X: Syringaresinol‑di‑O‑β‑D‑glucoside, a phenolic compound from Polygonatum sibiricum, exhibits an antidiabetic and antioxidative effect on a streptozotocin‑induced mouse model of diabetes. Mol Med Rep 18: 5511-5519, 2018.
APA
Zhai, L., & Wang, X. (2018). Syringaresinol‑di‑O‑β‑D‑glucoside, a phenolic compound from Polygonatum sibiricum, exhibits an antidiabetic and antioxidative effect on a streptozotocin‑induced mouse model of diabetes. Molecular Medicine Reports, 18, 5511-5519. https://doi.org/10.3892/mmr.2018.9580
MLA
Zhai, L., Wang, X."Syringaresinol‑di‑O‑β‑D‑glucoside, a phenolic compound from Polygonatum sibiricum, exhibits an antidiabetic and antioxidative effect on a streptozotocin‑induced mouse model of diabetes". Molecular Medicine Reports 18.6 (2018): 5511-5519.
Chicago
Zhai, L., Wang, X."Syringaresinol‑di‑O‑β‑D‑glucoside, a phenolic compound from Polygonatum sibiricum, exhibits an antidiabetic and antioxidative effect on a streptozotocin‑induced mouse model of diabetes". Molecular Medicine Reports 18, no. 6 (2018): 5511-5519. https://doi.org/10.3892/mmr.2018.9580
Follow us
  • Twitter
  • LinkedIn
  • Facebook
About
  • Spandidos Publications
  • Careers
  • Cookie Policy
  • Privacy Policy
How can we help?
  • Help
  • Live Chat
  • Contact
  • Email to our Support Team