Spandidos Publications Logo
  • About
    • About Spandidos
    • Aims and Scopes
    • Abstracting and Indexing
    • Editorial Policies
    • Reprints and Permissions
    • Job Opportunities
    • Terms and Conditions
    • Contact
  • Journals
    • All Journals
    • Oncology Letters
      • Oncology Letters
      • Information for Authors
      • Editorial Policies
      • Editorial Board
      • Aims and Scope
      • Abstracting and Indexing
      • Bibliographic Information
      • Archive
    • International Journal of Oncology
      • International Journal of Oncology
      • Information for Authors
      • Editorial Policies
      • Editorial Board
      • Aims and Scope
      • Abstracting and Indexing
      • Bibliographic Information
      • Archive
    • Molecular and Clinical Oncology
      • Molecular and Clinical Oncology
      • Information for Authors
      • Editorial Policies
      • Editorial Board
      • Aims and Scope
      • Abstracting and Indexing
      • Bibliographic Information
      • Archive
    • Experimental and Therapeutic Medicine
      • Experimental and Therapeutic Medicine
      • Information for Authors
      • Editorial Policies
      • Editorial Board
      • Aims and Scope
      • Abstracting and Indexing
      • Bibliographic Information
      • Archive
    • International Journal of Molecular Medicine
      • International Journal of Molecular Medicine
      • Information for Authors
      • Editorial Policies
      • Editorial Board
      • Aims and Scope
      • Abstracting and Indexing
      • Bibliographic Information
      • Archive
    • Biomedical Reports
      • Biomedical Reports
      • Information for Authors
      • Editorial Policies
      • Editorial Board
      • Aims and Scope
      • Abstracting and Indexing
      • Bibliographic Information
      • Archive
    • Oncology Reports
      • Oncology Reports
      • Information for Authors
      • Editorial Policies
      • Editorial Board
      • Aims and Scope
      • Abstracting and Indexing
      • Bibliographic Information
      • Archive
    • Molecular Medicine Reports
      • Molecular Medicine Reports
      • Information for Authors
      • Editorial Policies
      • Editorial Board
      • Aims and Scope
      • Abstracting and Indexing
      • Bibliographic Information
      • Archive
    • World Academy of Sciences Journal
      • World Academy of Sciences Journal
      • Information for Authors
      • Editorial Policies
      • Editorial Board
      • Aims and Scope
      • Abstracting and Indexing
      • Bibliographic Information
      • Archive
    • International Journal of Functional Nutrition
      • International Journal of Functional Nutrition
      • Information for Authors
      • Editorial Policies
      • Editorial Board
      • Aims and Scope
      • Abstracting and Indexing
      • Bibliographic Information
      • Archive
    • International Journal of Epigenetics
      • International Journal of Epigenetics
      • Information for Authors
      • Editorial Policies
      • Editorial Board
      • Aims and Scope
      • Abstracting and Indexing
      • Bibliographic Information
      • Archive
    • Medicine International
      • Medicine International
      • Information for Authors
      • Editorial Policies
      • Editorial Board
      • Aims and Scope
      • Abstracting and Indexing
      • Bibliographic Information
      • Archive
  • Articles
  • Information
    • Information for Authors
    • Information for Reviewers
    • Information for Librarians
    • Information for Advertisers
    • Conferences
  • Language Editing
Spandidos Publications Logo
  • About
    • About Spandidos
    • Aims and Scopes
    • Abstracting and Indexing
    • Editorial Policies
    • Reprints and Permissions
    • Job Opportunities
    • Terms and Conditions
    • Contact
  • Journals
    • All Journals
    • Biomedical Reports
      • Information for Authors
      • Editorial Policies
      • Editorial Board
      • Aims and Scope
      • Abstracting and Indexing
      • Bibliographic Information
      • Archive
    • Experimental and Therapeutic Medicine
      • Information for Authors
      • Editorial Policies
      • Editorial Board
      • Aims and Scope
      • Abstracting and Indexing
      • Bibliographic Information
      • Archive
    • International Journal of Epigenetics
      • Information for Authors
      • Editorial Policies
      • Editorial Board
      • Aims and Scope
      • Abstracting and Indexing
      • Bibliographic Information
      • Archive
    • International Journal of Functional Nutrition
      • Information for Authors
      • Editorial Policies
      • Editorial Board
      • Aims and Scope
      • Abstracting and Indexing
      • Bibliographic Information
      • Archive
    • International Journal of Molecular Medicine
      • Information for Authors
      • Editorial Policies
      • Editorial Board
      • Aims and Scope
      • Abstracting and Indexing
      • Bibliographic Information
      • Archive
    • International Journal of Oncology
      • Information for Authors
      • Editorial Policies
      • Editorial Board
      • Aims and Scope
      • Abstracting and Indexing
      • Bibliographic Information
      • Archive
    • Medicine International
      • Information for Authors
      • Editorial Policies
      • Editorial Board
      • Aims and Scope
      • Abstracting and Indexing
      • Bibliographic Information
      • Archive
    • Molecular and Clinical Oncology
      • Information for Authors
      • Editorial Policies
      • Editorial Board
      • Aims and Scope
      • Abstracting and Indexing
      • Bibliographic Information
      • Archive
    • Molecular Medicine Reports
      • Information for Authors
      • Editorial Policies
      • Editorial Board
      • Aims and Scope
      • Abstracting and Indexing
      • Bibliographic Information
      • Archive
    • Oncology Letters
      • Information for Authors
      • Editorial Policies
      • Editorial Board
      • Aims and Scope
      • Abstracting and Indexing
      • Bibliographic Information
      • Archive
    • Oncology Reports
      • Information for Authors
      • Editorial Policies
      • Editorial Board
      • Aims and Scope
      • Abstracting and Indexing
      • Bibliographic Information
      • Archive
    • World Academy of Sciences Journal
      • Information for Authors
      • Editorial Policies
      • Editorial Board
      • Aims and Scope
      • Abstracting and Indexing
      • Bibliographic Information
      • Archive
  • Articles
  • Information
    • For Authors
    • For Reviewers
    • For Librarians
    • For Advertisers
    • Conferences
  • Language Editing
Login Register Submit
  • This site uses cookies
  • You can change your cookie settings at any time by following the instructions in our Cookie Policy. To find out more, you may read our Privacy Policy.

    I agree
Search articles by DOI, keyword, author or affiliation
Search
Advanced Search
presentation
Molecular Medicine Reports
Join Editorial Board Propose a Special Issue
Print ISSN: 1791-2997 Online ISSN: 1791-3004
Journal Cover
March-2019 Volume 19 Issue 3

Full Size Image

Sign up for eToc alerts
Recommend to Library

Journals

International Journal of Molecular Medicine

International Journal of Molecular Medicine

International Journal of Molecular Medicine is an international journal devoted to molecular mechanisms of human disease.

International Journal of Oncology

International Journal of Oncology

International Journal of Oncology is an international journal devoted to oncology research and cancer treatment.

Molecular Medicine Reports

Molecular Medicine Reports

Covers molecular medicine topics such as pharmacology, pathology, genetics, neuroscience, infectious diseases, molecular cardiology, and molecular surgery.

Oncology Reports

Oncology Reports

Oncology Reports is an international journal devoted to fundamental and applied research in Oncology.

Experimental and Therapeutic Medicine

Experimental and Therapeutic Medicine

Experimental and Therapeutic Medicine is an international journal devoted to laboratory and clinical medicine.

Oncology Letters

Oncology Letters

Oncology Letters is an international journal devoted to Experimental and Clinical Oncology.

Biomedical Reports

Biomedical Reports

Explores a wide range of biological and medical fields, including pharmacology, genetics, microbiology, neuroscience, and molecular cardiology.

Molecular and Clinical Oncology

Molecular and Clinical Oncology

International journal addressing all aspects of oncology research, from tumorigenesis and oncogenes to chemotherapy and metastasis.

World Academy of Sciences Journal

World Academy of Sciences Journal

Multidisciplinary open-access journal spanning biochemistry, genetics, neuroscience, environmental health, and synthetic biology.

International Journal of Functional Nutrition

International Journal of Functional Nutrition

Open-access journal combining biochemistry, pharmacology, immunology, and genetics to advance health through functional nutrition.

International Journal of Epigenetics

International Journal of Epigenetics

Publishes open-access research on using epigenetics to advance understanding and treatment of human disease.

Medicine International

Medicine International

An International Open Access Journal Devoted to General Medicine.

Journal Cover
March-2019 Volume 19 Issue 3

Full Size Image

Sign up for eToc alerts
Recommend to Library

  • Article
  • Citations
    • Cite This Article
    • Download Citation
    • Create Citation Alert
    • Remove Citation Alert
    • Cited By
  • Similar Articles
    • Related Articles (in Spandidos Publications)
    • Similar Articles (Google Scholar)
    • Similar Articles (PubMed)
  • Download PDF
  • Download XML
  • View XML
Article

Long non‑coding RNA DLX6‑AS1 is associated with malignant progression and promotes proliferation and invasion in esophageal squamous cell carcinoma

  • Authors:
    • Mingchen Wang
    • Yuan Li
    • Yixin Yang
    • Xiaosa Liu
    • Mingxi Zang
    • Yuebai Li
    • Kunpeng Yang
    • Wanguang Yang
    • Shanfeng Zhang
  • View Affiliations / Copyright

    Affiliations: Department of Biochemistry and Molecular Biology, School of Basic Medical Sciences, Zhengzhou University, Zhengzhou, Henan 450001, P.R. China, School of Clinical Medicine, School of Basic Medical Sciences, Zhengzhou University, Zhengzhou, Henan 450001, P.R. China, Department of Chest Surgery, The Second Affiliated Hospital of Zhengzhou University, Zhengzhou, Henan 450001, P.R. China, Department of Emergency, The First Affiliated Hospital of Zhengzhou University, Zhengzhou, Henan 450001, P.R. China
  • Pages: 1942-1950
    |
    Published online on: December 21, 2018
       https://doi.org/10.3892/mmr.2018.9786
  • Expand metrics +
Metrics: Total Views: 0 (Spandidos Publications: | PMC Statistics: )
Metrics: Total PDF Downloads: 0 (Spandidos Publications: | PMC Statistics: )
Cited By (CrossRef): 0 citations Loading Articles...

This article is mentioned in:



Abstract

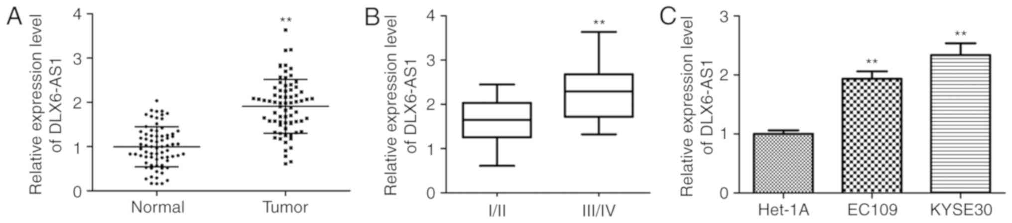
Despite being one of the most prevalent and fatal types of cancer worldwide, the biological details of esophageal squamous cell carcinoma (ESCC) remain unknown. Recent studies have demonstrated the crucial roles of long non‑coding RNAs (lncRNAs) in diverse biological processes including cancer initiation, progression and metastasis. The aim of the present study was to assess the expression profile of distal‑less homeobox 6 antisense RNA 1 (DLX6‑AS1) in ESCC tissues and its contributions to ESCC cell proliferation, apoptosis and invasion. The expression of DLX6‑AS1 in a series of ESCC samples and paired adjacent noncancerous tissues was evaluated by reverse transcription‑quantitative polymerase chain reaction. Cell proliferation, apoptosis, wound healing and Transwell invasion assays were performed to evaluate the roles of DLX6‑AS1 in the ESCC cell lines EC109 and KYSE30 transfected with DLX6‑AS1 small interfering RNA (siRNA). Compared with the paired adjacent noncancerous tissues, DLX6‑AS1 expression was upregulated in the ESCC tissues and significantly associated with differentiation status, Tumor‑Node‑Metastasis stage, distant metastasis, and lymph node metastasis. Knockdown of DLX6‑AS1 significantly suppressed cell proliferation, invasion and migration abilities, and enhanced the apoptotic rate in the two ESCC cell lines. Furthermore, western blot assays revealed that silencing DLX6‑AS1 partly influenced the epithelial‑mesenchymal transition process in ESCC cells. These results imply that the oncogenic function of DLX6‑AS1 may be a novel candidate target for treating human ESCC.
View Figures

Figure 1

Figure 2

Figure 3

Figure 4

Figure 5

View References

1 

Sugihara H, Ishimoto T, Miyake K, Izumi D, Baba Y, Yoshida N, Watanabe M and Baba H: Noncoding RNA expression aberration is associated with cancer progression and is a potential biomarker in esophageal squamous cell carcinoma. Int J Mol Sci. 16:27824–27834. 2015. View Article : Google Scholar : PubMed/NCBI

2 

Torre LA, Bray F, Siegel RL, Ferlay J, Lortet-Tieulent J and Jemal A: Global cancer statistics, 2012. CA Cancer J Clin. 65:87–108. 2015. View Article : Google Scholar : PubMed/NCBI

3 

Lin CY and Xu HM: Novel perspectives of long non-coding RNAs in esophageal carcinoma. Carcinogenesis. 36:1255–1262. 2015. View Article : Google Scholar : PubMed/NCBI

4 

Holmes RS and Vaughan TL: Epidemiology and pathogenesis of esophageal cancer. Semin Radiat Oncol. 17:2–9. 2007. View Article : Google Scholar : PubMed/NCBI

5 

Sjoquist KM, Burmeister BH, Smithers BM, Zalcberg JR, Simes RJ, Barbour A and Gebski V; Australasian Gastro-Intestinal Trials Group, : Survival after neoadjuvant chemotherapy or chemoradiotherapy for resectable oesophageal carcinoma: An updated meta-analysis. Lancet Oncol. 12:681–692. 2011. View Article : Google Scholar : PubMed/NCBI

6 

Ponting CP, Oliver PL and Reik W: Evolution and functions of long noncoding RNAs. Cell. 136:629–641. 2009. View Article : Google Scholar : PubMed/NCBI

7 

Shen WJ, Zhang F, Zhao X and Xu J: LncRNAs and esophageal squamous cell carcinoma-implications for pathogenesis and drug development. J Cancer. 7:1258–1264. 2016. View Article : Google Scholar : PubMed/NCBI

8 

Tsai MC, Manor O, Wan Y, Mosammaparast N, Wang JK, Lan F, Shi Y, Segal E and Chang HY: Long noncoding RNA as modular scaffold of histone modification complexes. Science. 329:689–693. 2010. View Article : Google Scholar : PubMed/NCBI

9 

Gutschner T and Diederichs S: The hallmarks of cancer: A long non-coding RNA point of view. RNA Biol. 9:703–719. 2012. View Article : Google Scholar : PubMed/NCBI

10 

Huang C, Yuan N, Wu L, Wang X, Dai J, Song P, Li F, Xu C and Zhao X: An integrated analysis for long noncoding RNAs and microRNAs with the mediated competing endogenous RNA network in papillary renal cell carcinoma. Onco Targets Ther. 10:4037–4050. 2017. View Article : Google Scholar : PubMed/NCBI

11 

Cui F, Wu D, He X, Wang W, Xi J and Wang M: Long noncoding RNA SPRY4-IT1 promotes esophageal squamous cell carcinoma cell proliferation, invasion, and epithelial-mesenchymal transition. Tumour Biol. 37:10871–10876. 2016. View Article : Google Scholar : PubMed/NCBI

12 

Yao GL, Pan CF, Xu H, Wei K, Liu B, Zhai R and Chen YJ: Long noncoding RNA RP11-766N7.4 functions as a tumor suppressor by regulating epithelial-mesenchymal transition in esophageal squamous cell carcinoma. Biomed Pharmacother. 88:778–785. 2017. View Article : Google Scholar : PubMed/NCBI

13 

Li J, Li P, Zhao W, Yang R, Chen S, Bai Y, Dun S, Chen X, Du Y, Wang Y, et al: Expression of long non-coding RNA DLX6-AS1 in lung adenocarcinoma. Cancer Cell Int. 15:482015. View Article : Google Scholar : PubMed/NCBI

14 

Zeng X, Hu Z, Ke X, Tang H, Wu B, Wei X and Liu Z: Long noncoding RNA DLX6-AS1 promotes renal cell carcinoma progression via miR-26a/PTEN axis. Cell Cycle. 16:2212–2219. 2017. View Article : Google Scholar : PubMed/NCBI

15 

Zhang L, He X, Jin T, Gang L and Jin Z: Long non-coding RNA DLX6-AS1 aggravates hepatocellular carcinoma carcinogenesis by modulating miR-203a/MMP-2 pathway. Biomed Pharmacother. 96:884–891. 2017. View Article : Google Scholar : PubMed/NCBI

16 

Edge SB and Compton CC: The American Joint Committee on Cancer: The 7th edition of the AJCC cancer staging manual and the future of TNM. Ann Surg Oncol. 17:1471–1474. 2010. View Article : Google Scholar : PubMed/NCBI

17 

Livak KJ and Schmittgen TD: Analysis of relative gene expression data using real-time quantitative PCR and the 2(-Delta Delta C(T)) method. Methods. 25:402–408. 2001. View Article : Google Scholar : PubMed/NCBI

18 

Rinn JL and Chang HY: Genome regulation by long noncoding RNAs. Annu Rev Biochem. 81:145–166. 2012. View Article : Google Scholar : PubMed/NCBI

19 

Ge XS, Ma HJ, Zheng XH, Ruan HL, Liao XY, Xue WQ, Chen YB, Zhang Y and Jia WH: HOTAIR, a prognostic factor in esophageal squamous cell carcinoma, inhibits WIF-1 expression and activates Wnt pathway. Cancer Sci. 104:1675–1682. 2013. View Article : Google Scholar : PubMed/NCBI

20 

Zhu W, Zhuang P, Song W, Duan S, Xu Q, Peng M and Zhou J: Knockdown of lncRNA HNF1A-AS1 inhibits oncogenic phenotypes in colorectal carcinoma. Mol Med Rep. 16:4694–4700. 2017. View Article : Google Scholar : PubMed/NCBI

21 

Hauptman N and Glavac D: Long non-coding RNA in cancer. Int J Mol Sci. 14:4655–4669. 2013. View Article : Google Scholar : PubMed/NCBI

22 

Chen X, Han H, Li Y, Zhang Q, Mo K and Chen S: Upregulation of long noncoding RNA HOTTIP promotes metastasis of esophageal squamous cell carcinoma via induction of EMT. Oncotarget. 7:84480–84485. 2016. View Article : Google Scholar : PubMed/NCBI

23 

Deng HY, Wang YC, Ni PZ, Lin YD and Chen LQ: Long noncoding RNAs are novel potential prognostic biomarkers for esophageal squamous cell carcinoma: An overview. J Thorac Dis. 8:E653–E659. 2016. View Article : Google Scholar : PubMed/NCBI

24 

Tong YS, Wang XW, Zhou XL, Liu ZH, Yang TX, Shi WH, Xie HW, Lv J, Wu QQ and Cao XF: Identification of the long non-coding RNA POU3F3 in plasma as a novel biomarker for diagnosis of esophageal squamous cell carcinoma. Mol Cancer. 14:32015. View Article : Google Scholar : PubMed/NCBI

25 

Zheng X, Hu H and Li S: High expression of lncRNA PVT1 promotes invasion by inducing epithelial-to-mesenchymal transition in esophageal cancer. Oncol Lett. 12:2357–2362. 2016. View Article : Google Scholar : PubMed/NCBI

26 

Yilmaz M and Christofori G: EMT, the cytoskeleton, and cancer cell invasion. Cancer Metastasis Rev. 28:15–33. 2009. View Article : Google Scholar : PubMed/NCBI

27 

Huang C, Cao L, Qiu L, Dai X, Ma L, Zhou Y, Li H, Gao M, Li W, Zhang Q, et al: Upregulation of H19 promotes invasion and induces epithelial-to-mesenchymal transition in esophageal cancer. Oncol Lett. 10:291–296. 2015. View Article : Google Scholar : PubMed/NCBI

Related Articles

  • Abstract
  • View
  • Download
  • Twitter
Copy and paste a formatted citation
Spandidos Publications style
Wang M, Li Y, Yang Y, Liu X, Zang M, Li Y, Yang K, Yang W and Zhang S: Long non‑coding RNA DLX6‑AS1 is associated with malignant progression and promotes proliferation and invasion in esophageal squamous cell carcinoma. Mol Med Rep 19: 1942-1950, 2019.
APA
Wang, M., Li, Y., Yang, Y., Liu, X., Zang, M., Li, Y. ... Zhang, S. (2019). Long non‑coding RNA DLX6‑AS1 is associated with malignant progression and promotes proliferation and invasion in esophageal squamous cell carcinoma. Molecular Medicine Reports, 19, 1942-1950. https://doi.org/10.3892/mmr.2018.9786
MLA
Wang, M., Li, Y., Yang, Y., Liu, X., Zang, M., Li, Y., Yang, K., Yang, W., Zhang, S."Long non‑coding RNA DLX6‑AS1 is associated with malignant progression and promotes proliferation and invasion in esophageal squamous cell carcinoma". Molecular Medicine Reports 19.3 (2019): 1942-1950.
Chicago
Wang, M., Li, Y., Yang, Y., Liu, X., Zang, M., Li, Y., Yang, K., Yang, W., Zhang, S."Long non‑coding RNA DLX6‑AS1 is associated with malignant progression and promotes proliferation and invasion in esophageal squamous cell carcinoma". Molecular Medicine Reports 19, no. 3 (2019): 1942-1950. https://doi.org/10.3892/mmr.2018.9786
Copy and paste a formatted citation
x
Spandidos Publications style
Wang M, Li Y, Yang Y, Liu X, Zang M, Li Y, Yang K, Yang W and Zhang S: Long non‑coding RNA DLX6‑AS1 is associated with malignant progression and promotes proliferation and invasion in esophageal squamous cell carcinoma. Mol Med Rep 19: 1942-1950, 2019.
APA
Wang, M., Li, Y., Yang, Y., Liu, X., Zang, M., Li, Y. ... Zhang, S. (2019). Long non‑coding RNA DLX6‑AS1 is associated with malignant progression and promotes proliferation and invasion in esophageal squamous cell carcinoma. Molecular Medicine Reports, 19, 1942-1950. https://doi.org/10.3892/mmr.2018.9786
MLA
Wang, M., Li, Y., Yang, Y., Liu, X., Zang, M., Li, Y., Yang, K., Yang, W., Zhang, S."Long non‑coding RNA DLX6‑AS1 is associated with malignant progression and promotes proliferation and invasion in esophageal squamous cell carcinoma". Molecular Medicine Reports 19.3 (2019): 1942-1950.
Chicago
Wang, M., Li, Y., Yang, Y., Liu, X., Zang, M., Li, Y., Yang, K., Yang, W., Zhang, S."Long non‑coding RNA DLX6‑AS1 is associated with malignant progression and promotes proliferation and invasion in esophageal squamous cell carcinoma". Molecular Medicine Reports 19, no. 3 (2019): 1942-1950. https://doi.org/10.3892/mmr.2018.9786
Follow us
  • Twitter
  • LinkedIn
  • Facebook
About
  • Spandidos Publications
  • Careers
  • Cookie Policy
  • Privacy Policy
How can we help?
  • Help
  • Live Chat
  • Contact
  • Email to our Support Team