Spandidos Publications Logo
  • About
    • About Spandidos
    • Aims and Scopes
    • Abstracting and Indexing
    • Editorial Policies
    • Reprints and Permissions
    • Job Opportunities
    • Terms and Conditions
    • Contact
  • Journals
    • All Journals
    • Oncology Letters
      • Oncology Letters
      • Information for Authors
      • Editorial Policies
      • Editorial Board
      • Aims and Scope
      • Abstracting and Indexing
      • Bibliographic Information
      • Archive
    • International Journal of Oncology
      • International Journal of Oncology
      • Information for Authors
      • Editorial Policies
      • Editorial Board
      • Aims and Scope
      • Abstracting and Indexing
      • Bibliographic Information
      • Archive
    • Molecular and Clinical Oncology
      • Molecular and Clinical Oncology
      • Information for Authors
      • Editorial Policies
      • Editorial Board
      • Aims and Scope
      • Abstracting and Indexing
      • Bibliographic Information
      • Archive
    • Experimental and Therapeutic Medicine
      • Experimental and Therapeutic Medicine
      • Information for Authors
      • Editorial Policies
      • Editorial Board
      • Aims and Scope
      • Abstracting and Indexing
      • Bibliographic Information
      • Archive
    • International Journal of Molecular Medicine
      • International Journal of Molecular Medicine
      • Information for Authors
      • Editorial Policies
      • Editorial Board
      • Aims and Scope
      • Abstracting and Indexing
      • Bibliographic Information
      • Archive
    • Biomedical Reports
      • Biomedical Reports
      • Information for Authors
      • Editorial Policies
      • Editorial Board
      • Aims and Scope
      • Abstracting and Indexing
      • Bibliographic Information
      • Archive
    • Oncology Reports
      • Oncology Reports
      • Information for Authors
      • Editorial Policies
      • Editorial Board
      • Aims and Scope
      • Abstracting and Indexing
      • Bibliographic Information
      • Archive
    • Molecular Medicine Reports
      • Molecular Medicine Reports
      • Information for Authors
      • Editorial Policies
      • Editorial Board
      • Aims and Scope
      • Abstracting and Indexing
      • Bibliographic Information
      • Archive
    • World Academy of Sciences Journal
      • World Academy of Sciences Journal
      • Information for Authors
      • Editorial Policies
      • Editorial Board
      • Aims and Scope
      • Abstracting and Indexing
      • Bibliographic Information
      • Archive
    • International Journal of Functional Nutrition
      • International Journal of Functional Nutrition
      • Information for Authors
      • Editorial Policies
      • Editorial Board
      • Aims and Scope
      • Abstracting and Indexing
      • Bibliographic Information
      • Archive
    • International Journal of Epigenetics
      • International Journal of Epigenetics
      • Information for Authors
      • Editorial Policies
      • Editorial Board
      • Aims and Scope
      • Abstracting and Indexing
      • Bibliographic Information
      • Archive
    • Medicine International
      • Medicine International
      • Information for Authors
      • Editorial Policies
      • Editorial Board
      • Aims and Scope
      • Abstracting and Indexing
      • Bibliographic Information
      • Archive
  • Articles
  • Information
    • Information for Authors
    • Information for Reviewers
    • Information for Librarians
    • Information for Advertisers
    • Conferences
  • Language Editing
Spandidos Publications Logo
  • About
    • About Spandidos
    • Aims and Scopes
    • Abstracting and Indexing
    • Editorial Policies
    • Reprints and Permissions
    • Job Opportunities
    • Terms and Conditions
    • Contact
  • Journals
    • All Journals
    • Biomedical Reports
      • Information for Authors
      • Editorial Policies
      • Editorial Board
      • Aims and Scope
      • Abstracting and Indexing
      • Bibliographic Information
      • Archive
    • Experimental and Therapeutic Medicine
      • Information for Authors
      • Editorial Policies
      • Editorial Board
      • Aims and Scope
      • Abstracting and Indexing
      • Bibliographic Information
      • Archive
    • International Journal of Epigenetics
      • Information for Authors
      • Editorial Policies
      • Editorial Board
      • Aims and Scope
      • Abstracting and Indexing
      • Bibliographic Information
      • Archive
    • International Journal of Functional Nutrition
      • Information for Authors
      • Editorial Policies
      • Editorial Board
      • Aims and Scope
      • Abstracting and Indexing
      • Bibliographic Information
      • Archive
    • International Journal of Molecular Medicine
      • Information for Authors
      • Editorial Policies
      • Editorial Board
      • Aims and Scope
      • Abstracting and Indexing
      • Bibliographic Information
      • Archive
    • International Journal of Oncology
      • Information for Authors
      • Editorial Policies
      • Editorial Board
      • Aims and Scope
      • Abstracting and Indexing
      • Bibliographic Information
      • Archive
    • Medicine International
      • Information for Authors
      • Editorial Policies
      • Editorial Board
      • Aims and Scope
      • Abstracting and Indexing
      • Bibliographic Information
      • Archive
    • Molecular and Clinical Oncology
      • Information for Authors
      • Editorial Policies
      • Editorial Board
      • Aims and Scope
      • Abstracting and Indexing
      • Bibliographic Information
      • Archive
    • Molecular Medicine Reports
      • Information for Authors
      • Editorial Policies
      • Editorial Board
      • Aims and Scope
      • Abstracting and Indexing
      • Bibliographic Information
      • Archive
    • Oncology Letters
      • Information for Authors
      • Editorial Policies
      • Editorial Board
      • Aims and Scope
      • Abstracting and Indexing
      • Bibliographic Information
      • Archive
    • Oncology Reports
      • Information for Authors
      • Editorial Policies
      • Editorial Board
      • Aims and Scope
      • Abstracting and Indexing
      • Bibliographic Information
      • Archive
    • World Academy of Sciences Journal
      • Information for Authors
      • Editorial Policies
      • Editorial Board
      • Aims and Scope
      • Abstracting and Indexing
      • Bibliographic Information
      • Archive
  • Articles
  • Information
    • For Authors
    • For Reviewers
    • For Librarians
    • For Advertisers
    • Conferences
  • Language Editing
Login Register Submit
  • This site uses cookies
  • You can change your cookie settings at any time by following the instructions in our Cookie Policy. To find out more, you may read our Privacy Policy.

    I agree
Search articles by DOI, keyword, author or affiliation
Search
Advanced Search
presentation
Molecular Medicine Reports
Join Editorial Board Propose a Special Issue
Print ISSN: 1791-2997 Online ISSN: 1791-3004
Journal Cover
May-2019 Volume 19 Issue 5

Full Size Image

Sign up for eToc alerts
Recommend to Library

Journals

International Journal of Molecular Medicine

International Journal of Molecular Medicine

International Journal of Molecular Medicine is an international journal devoted to molecular mechanisms of human disease.

International Journal of Oncology

International Journal of Oncology

International Journal of Oncology is an international journal devoted to oncology research and cancer treatment.

Molecular Medicine Reports

Molecular Medicine Reports

Covers molecular medicine topics such as pharmacology, pathology, genetics, neuroscience, infectious diseases, molecular cardiology, and molecular surgery.

Oncology Reports

Oncology Reports

Oncology Reports is an international journal devoted to fundamental and applied research in Oncology.

Experimental and Therapeutic Medicine

Experimental and Therapeutic Medicine

Experimental and Therapeutic Medicine is an international journal devoted to laboratory and clinical medicine.

Oncology Letters

Oncology Letters

Oncology Letters is an international journal devoted to Experimental and Clinical Oncology.

Biomedical Reports

Biomedical Reports

Explores a wide range of biological and medical fields, including pharmacology, genetics, microbiology, neuroscience, and molecular cardiology.

Molecular and Clinical Oncology

Molecular and Clinical Oncology

International journal addressing all aspects of oncology research, from tumorigenesis and oncogenes to chemotherapy and metastasis.

World Academy of Sciences Journal

World Academy of Sciences Journal

Multidisciplinary open-access journal spanning biochemistry, genetics, neuroscience, environmental health, and synthetic biology.

International Journal of Functional Nutrition

International Journal of Functional Nutrition

Open-access journal combining biochemistry, pharmacology, immunology, and genetics to advance health through functional nutrition.

International Journal of Epigenetics

International Journal of Epigenetics

Publishes open-access research on using epigenetics to advance understanding and treatment of human disease.

Medicine International

Medicine International

An International Open Access Journal Devoted to General Medicine.

Journal Cover
May-2019 Volume 19 Issue 5

Full Size Image

Sign up for eToc alerts
Recommend to Library

  • Article
  • Citations
    • Cite This Article
    • Download Citation
    • Create Citation Alert
    • Remove Citation Alert
    • Cited By
  • Similar Articles
    • Related Articles (in Spandidos Publications)
    • Similar Articles (Google Scholar)
    • Similar Articles (PubMed)
  • Download PDF
  • Download XML
  • View XML
Article Open Access

Dose and drug changes in chronic lymphocytic leukemia cell response in vitro: A comparison of standard therapy regimens with two novel cyclin‑dependent kinase inhibitors

  • Authors:
    • Małgorzata Kubczak
    • Aleksandra Szustka
    • Jerzy Z. Błoński
    • Tomaš Gucký
    • Małgorzata Misiewicz
    • Vladmir Krystof
    • Paweł Robak
    • Małgorzata Rogalińska
  • View Affiliations / Copyright

    Affiliations: Department of Cytobiochemistry, Faculty of Biology and Environmental Protection, University of Lodz, 90‑236 Lodz, Poland, Department of Hematology, Medical University of Lodz, 93‑510 Lodz, Poland, Department of Chemical Biology and Genetics, Centre of the Region Haná for Biotechnological and Agricultural Research, Faculty of Science, Palacký University, 78371 Olomouc, Czech Republic, Laboratory of Growth Regulators, Faculty of Science, Palacký University and Institute of Experimental Botany AS CR, 78371 Olomouc, Czech Republic, Department of Experimental Hematology, Medical University of Lodz, 93‑510 Lodz, Poland
    Copyright: © Kubczak et al. This is an open access article distributed under the terms of Creative Commons Attribution License [CC BY_NC 4.0].
  • Pages: 3593-3603
    |
    Published online on: March 5, 2019
       https://doi.org/10.3892/mmr.2019.10007
  • Expand metrics +
Metrics: Total Views: 0 (Spandidos Publications: | PMC Statistics: )
Metrics: Total PDF Downloads: 0 (Spandidos Publications: | PMC Statistics: )
Cited By (CrossRef): 0 citations Loading Articles...

This article is mentioned in:



Abstract

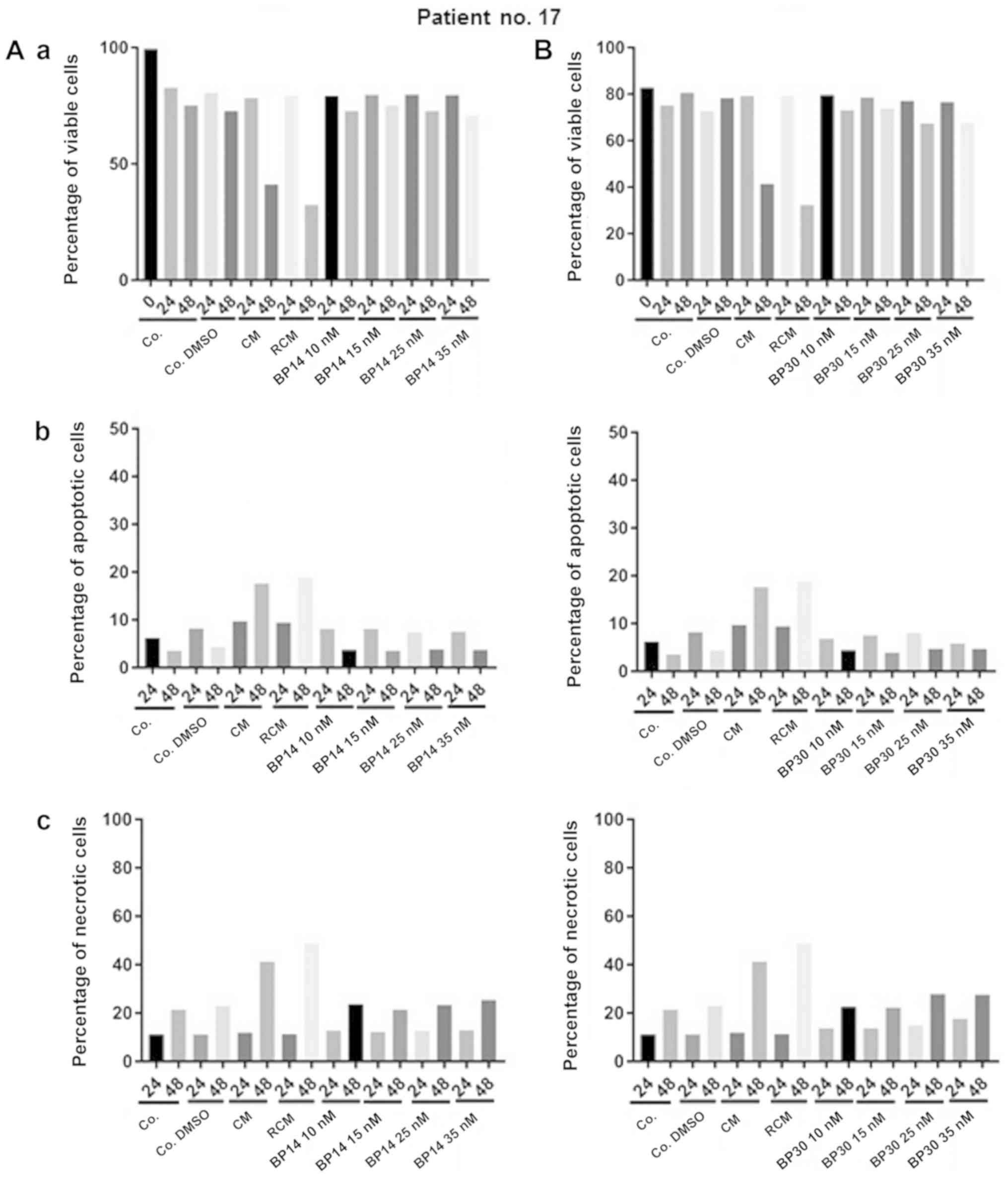
Chronic lymphocytic leukemia (CLL) treatment is improving; however, some patients do not respond to therapy. Due to the high heterogeneity in disease development, there is an urgent need for personalization of therapy. In the present study, the response of leukemic mononuclear cells to anticancer drugs used for CLL treatment (cladribine + mafosfamide; CM or CM combined with rituximab; RCM) was compared with the response to new cyclin‑dependent kinase (CDK) inhibitors: BP14 and BP30. Viable apoptotic and necrotic cells were quantified by flow cytometry using propidium iodide and Yo‑Pro stains. CDK inhibitors were studied in several doses to determine the reduction of necrosis and simultaneous increase of apoptosis in leukemic cell incubations with anticancer agents. The distinct cell response to applied doses/anticancer agents was observed. Results obtained in the current manuscript confirmed that modulation of doses is important. This was particularly indicated in results obtained at 24 h of cells incubation with anticancer agent. While an important time for analysis of anticancer response efficacy (monitoring of apoptosis induction potential) seems to be 48 h of cells exposition to anticancer agents. High variability in response to the drugs revealed that both the nature and the dose of the anticancer agents could be important in the final effect of the therapy. The present findings support the thesis that personalized medicine, before drug administration in the clinic, could be important to avoid the application of ineffective therapy.
View Figures

Figure 1

Figure 2

Figure 3

Figure 4

Figure 5

Figure 6

Figure 7

Figure 8

View References

1 

Besbes S, Mirshahi M, Pocard M and Billard C: Strategies targeting apoptosis proteins to improve therapy of chronic lymphocytic leukemia. Blood Rev. 29:345–350. 2015. View Article : Google Scholar : PubMed/NCBI

2 

Cramer P, Eichhorst B, Reinhardt HC and Hallek M: Current strategies to create tailored and risk-adapted therapies for CLL patients. Best Pract Res Clin Haematol. 29:111–121. 2016. View Article : Google Scholar : PubMed/NCBI

3 

Visentin A, Facco M, Frezzato F, Castelli M, Trimarco V, Martini V, Gattazzo C, Severin F, Chiodin G, Martines A, et al: Integrated CLL scoring system, a new and simple index to predict time to treatment and overall survival in patients with chronic lymphocytic leukemia. Clin Lymphoma Myeloma Leuk. 15:612–620.e1-5. 2015. View Article : Google Scholar : PubMed/NCBI

4 

Koffman B and Schorr A: The 21st century revolution in CLL: Why this matters to patients. Best Pract Res Clin Haematol. 29:122–132. 2016. View Article : Google Scholar : PubMed/NCBI

5 

Klein U and Dalla-Favera R: Germinal centres: Role in B-cell physiology and malignancy. Nat Rev Immunol. 8:22–33. 2008. View Article : Google Scholar : PubMed/NCBI

6 

Hallek M: Chronic lymphocytic leukemia: 2013 update on diagnosis, risk stratification and treatment. Am J Hematol. 88:803–816. 2013. View Article : Google Scholar : PubMed/NCBI

7 

Martin-Subero JI, López-Otín C and Campo E: Genetic and epigenetic basis of chronic lymphocytic leukemia. Curr Opin Hematol. 20:362–368. 2013. View Article : Google Scholar : PubMed/NCBI

8 

Rogalińska M, Franiak-Pietryga I, Błoński JZ, Góralski P, Maciejewski H, Janus A, Robak P, Mirowski M, Piekarski H, Robak T and Kiliańska ZM: Toward personalized therapy for chronic lymphocytic leukemia: DSC and cDNA microarray assessment of two cases. Cancer Biol Ther. 14:6–12. 2013. View Article : Google Scholar : PubMed/NCBI

9 

Rodriquez-Vicente AE, Díaz MG and Hernández-Rivas JM: Chronic lymphocytic leukemia: A clinical and molecular heterogenous disease. Cancer Genet. 206:49–62. 2013. View Article : Google Scholar : PubMed/NCBI

10 

Rogalinska M, Goralski P, Wozniak K, Bednarek JD, Blonski JZ, Robak T, Piekarski H, Hanausek M, Walaszek Z and Kilianska ZM: Calorimetric study as a potential test for choosing treatment of B-cell chronic lymphocytic leukemia. Leuk Res. 33:308–314. 2009. View Article : Google Scholar : PubMed/NCBI

11 

Jeyakumar D and O'Brien S: B cell receptor inhibition as a target for CLL therapy. Best Pract Res Clin Haematol. 29:2–14. 2016. View Article : Google Scholar : PubMed/NCBI

12 

Ferrajoli A, Shanafelt TD, Ivan C, Shimizu M, Rabe KG, Nouraee N, Ikuo M, Ghosh AK, Lerner S, Rassenti LZ, et al: Prognostic value of miR-155 in individuals with monoclonal B-cell lymphocytosis and patients with B chronic lymphocytic leukemia. Blood. 122:1891–1899. 2013. View Article : Google Scholar : PubMed/NCBI

13 

Rogalińska M and Kiliańska ZM: Personalised therapy versus targeted therapy, differences in meaning. Glo J Res Anal. 4:5–8. 2015.

14 

Rogalińska M, Błoński JZ, Góralski P, Wawrzyniak E, Hartman M, Rogalska A, Robak P, Koceva-Chyła A, Piekarski H, Robak T and Kiliańska ZM: Relationship between in vitro drug sensitivity and clinical response of patients to treatment in chronic lymphocytic leukemia. Int J Oncol. 46:1259–1267. 2015. View Article : Google Scholar : PubMed/NCBI

15 

Rogalińska M, Góralski P, Błoński JZ, Robak P, Barciszewski J, Koceva-Chyła A, Piekarski H, Robak T and Kilianska ZM: Personalized therapy tests for the monitoring of chronic lymphocytic leukemia development. Oncol Let. 13:2079–2084. 2017. View Article : Google Scholar

16 

Montserrat E, Bauman T and Delgado J: Present and future of personalized medicine in CLL. Best Pract Res Clin Haematol. 29:100–110. 2016. View Article : Google Scholar : PubMed/NCBI

17 

Piggin A, Bayly E and Tam CS: Novel agents versus chemotherapy as frontline treatment of CLL. Leuk Lymph. 58:1320–1324. 2017. View Article : Google Scholar

18 

Rogalińska M and Kiliańska ZM: Potential new agents for chronic lymphocytic leukemia treatment. Anticancer Agents Med Chem. 10:666–682. 2010. View Article : Google Scholar : PubMed/NCBI

19 

Robak T, Stilgenbauer S and Tedeschi A: Front-line treatment of CLL in the era of novel agents. Cancer Treat Rev. 53:70–78. 2017. View Article : Google Scholar : PubMed/NCBI

20 

Hallek M: Role and timing of new drugs in CLL. Hematol Oncol. 35 (Suppl 1):S30–S32. 2017. View Article : Google Scholar

21 

Whittaker S, Mallinger A, Workman P and Clarke PA: Inhibitors of cyclin-dependent kinases as cancer therapeutics. Pharmacol Ther. 173:83–105. 2017. View Article : Google Scholar : PubMed/NCBI

22 

Niesvizky R, Badros AZ, Costa LJ, Ely SA, Singhal SB, Stadtmauer EA, Haideri NA, Yacoub A, Hess G, Lentzsch S, et al: Phase 1/2 study of cyclin-dependent kinase (CDK)4/6 inhibitor palbociclib (PD-0332991) with bortezomib and dexamethasone in relapsed/refractory multiple myeloma. Leuk Lymph. 56:3320–3328. 2015. View Article : Google Scholar

23 

Edessa D and Sisay M: Recent advances of cyclin-dependent kinases as potential therapeutic targets in HR+/HER2-metastatic breast cancer: A focus on ribociclib. Breast Cancer (Dove Med Press). 9:567–579. 2017.PubMed/NCBI

24 

Blachly JS, Byrd JC and Grever M: Cyclin-dependent kinase inhibitors for the treatment of chronic lymphocytic leukemia. Semin Oncol. 43:265–273. 2016. View Article : Google Scholar : PubMed/NCBI

25 

Chen Y, Germano S, Clements C, Samuel J, Shelmani G, Jayne S, Dryer MJ and Macip S: Pro-survival signal inhibition by CDK inhibitor dinaciclib in Chronic Lymphocytic Leukaemia. Br J Haematol. 175:641–651. 2016. View Article : Google Scholar : PubMed/NCBI

26 

Gucký T, Jorda R, Zatloukal M, Bazgier V, Berka K, Řezníčková E, Béres T, Strnad M and Kryštof V: A novel series of highly potent 2,6,9-trisubstituted purine cyclin-dependent kinase inhibitors. J Med Chem. 56:6234–6247. 2013. View Article : Google Scholar : PubMed/NCBI

27 

Haider C, Grubinger M, Řezníčková E, Weiss TS, Rotheneder H, Miklos W, Berger W, Jorda R, Zatloukal M, Gucky T, et al: Novel inhibitors of cyclin-dependent kinases combat hepatocellular carcinoma without inducing chemoresistance. Mol Cancer Ther. 12:1947–1957. 2013. View Article : Google Scholar : PubMed/NCBI

28 

Allegri L, Baldan F, Mio C, Puppin C, Russo D, Kryštof V and Damante G: Effects of BP-14, a novel cyclin-dependent kinase inhibitor, on anaplastic thyroid cancer cells. Oncol Rep. 35:2413–2418. 2016. View Article : Google Scholar : PubMed/NCBI

29 

Rodriguez D, Bretones G, Arango JR, Valdespino V, Campo E, Quesada V and López-Otín C: Molecular pathogenesis of CLL and its evolution. Int J Hematol. 101:219–228. 2015. View Article : Google Scholar : PubMed/NCBI

30 

Tong WG, Chen R, Plunkett W, Siegel D, Sinha R, Harvey RD, Badros AZ, Popplewell L, Coutre S, Fox JA, et al: Phase I and pharmacologic study of SNS-032, a potent and selective Cdk2, 7, and 9 inhibitor, in patients with advanced chronic lymphocytic leukemia and multiple myeloma. J Clin Oncol. 28:3015–3022. 2010. View Article : Google Scholar : PubMed/NCBI

31 

Ge Y, Lei W, Ma Y, Wang Y, Wei B, Chen X, Ru G, He X, Mou X and Wang S: Synergistic antitumor effects of CDK inhibitor SNS-032 and an oncolytic adenovirus co-expressing TRAIL and Smac in pancreatic cancer. Mol Med Rep. 15:3521–3528. 2017. View Article : Google Scholar : PubMed/NCBI

32 

Flynn J, Jones J, Johnson AJ, Andritsos L, Maddocks K, Jaglowski S, Hessler J, Grever MR, Im E, Zhou H, et al: Dinaciclib is a novel cyclin-dependent kinase inhibitor with significant clinical activity in relapsed and refractory chronic lymphocytic leukemia. Leukemia. 29:1524–1529. 2015. View Article : Google Scholar : PubMed/NCBI

33 

Robak P and Robak T: Novel synthetic drugs currently in clinical development for chronic lymphocytic leukemia. Expert Opin Investig Drugs. 26:1249–1265. 2017. View Article : Google Scholar : PubMed/NCBI

34 

Awan FT, Kay NE, Davis ME, Wu W, Geyer SM, Leung N, Jelinek DF, Tschumper RC, Secreto CR, Lin TS, et al: Mcl-1 expression predicts progression-free survival in chronic lymphocytic leukemia patients treated with pentostatin, cyclophosphamide, and rituximab. Blood. 113:535–537. 2009. View Article : Google Scholar : PubMed/NCBI

35 

Kozako T, Suzuki T, Yoshimitsu M, Arima N, Honda S and Soeda S: Anticancer agents targeted to sirtuins. Molecules. 19:20295–20313. 2014. View Article : Google Scholar : PubMed/NCBI

36 

Albayrak A, Halici Z, Cadirci E, Polat B, Karakus E, Bayir Y, Unal D, Atasoy M and Dogrul A: Inflammation and peripheral 5-HT7 receptors: The role of 5-HT7 receptors in carrageenan induced inflammation in rats. Eur J Pharmacol. 715:270–279. 2013. View Article : Google Scholar : PubMed/NCBI

37 

Polat B, Halici Z, Cadirci E, Albayrak A, Karakus E, Bayir Y, Bilen H, Sahin A and Yuksel TN: The effect of alpha-lipoic acid in ovariectomy and inflammation-mediated osteoporosis on the skeletal status of rat bone. Eur J Pharmacol. 718:469–474. 2013. View Article : Google Scholar : PubMed/NCBI

38 

Rogalinska M: The role of mitochondria in cancer induction, progression and changes in metabolism. Mini Rev Med Chem. 16:524–530. 2016. View Article : Google Scholar : PubMed/NCBI

Related Articles

  • Abstract
  • View
  • Download
  • Twitter
Copy and paste a formatted citation
Spandidos Publications style
Kubczak M, Szustka A, Błoński JZ, Gucký T, Misiewicz M, Krystof V, Robak P and Rogalińska M: Dose and drug changes in chronic lymphocytic leukemia cell response in vitro: A comparison of standard therapy regimens with two novel cyclin‑dependent kinase inhibitors. Mol Med Rep 19: 3593-3603, 2019.
APA
Kubczak, M., Szustka, A., Błoński, J.Z., Gucký, T., Misiewicz, M., Krystof, V. ... Rogalińska, M. (2019). Dose and drug changes in chronic lymphocytic leukemia cell response in vitro: A comparison of standard therapy regimens with two novel cyclin‑dependent kinase inhibitors. Molecular Medicine Reports, 19, 3593-3603. https://doi.org/10.3892/mmr.2019.10007
MLA
Kubczak, M., Szustka, A., Błoński, J. Z., Gucký, T., Misiewicz, M., Krystof, V., Robak, P., Rogalińska, M."Dose and drug changes in chronic lymphocytic leukemia cell response in vitro: A comparison of standard therapy regimens with two novel cyclin‑dependent kinase inhibitors". Molecular Medicine Reports 19.5 (2019): 3593-3603.
Chicago
Kubczak, M., Szustka, A., Błoński, J. Z., Gucký, T., Misiewicz, M., Krystof, V., Robak, P., Rogalińska, M."Dose and drug changes in chronic lymphocytic leukemia cell response in vitro: A comparison of standard therapy regimens with two novel cyclin‑dependent kinase inhibitors". Molecular Medicine Reports 19, no. 5 (2019): 3593-3603. https://doi.org/10.3892/mmr.2019.10007
Copy and paste a formatted citation
x
Spandidos Publications style
Kubczak M, Szustka A, Błoński JZ, Gucký T, Misiewicz M, Krystof V, Robak P and Rogalińska M: Dose and drug changes in chronic lymphocytic leukemia cell response in vitro: A comparison of standard therapy regimens with two novel cyclin‑dependent kinase inhibitors. Mol Med Rep 19: 3593-3603, 2019.
APA
Kubczak, M., Szustka, A., Błoński, J.Z., Gucký, T., Misiewicz, M., Krystof, V. ... Rogalińska, M. (2019). Dose and drug changes in chronic lymphocytic leukemia cell response in vitro: A comparison of standard therapy regimens with two novel cyclin‑dependent kinase inhibitors. Molecular Medicine Reports, 19, 3593-3603. https://doi.org/10.3892/mmr.2019.10007
MLA
Kubczak, M., Szustka, A., Błoński, J. Z., Gucký, T., Misiewicz, M., Krystof, V., Robak, P., Rogalińska, M."Dose and drug changes in chronic lymphocytic leukemia cell response in vitro: A comparison of standard therapy regimens with two novel cyclin‑dependent kinase inhibitors". Molecular Medicine Reports 19.5 (2019): 3593-3603.
Chicago
Kubczak, M., Szustka, A., Błoński, J. Z., Gucký, T., Misiewicz, M., Krystof, V., Robak, P., Rogalińska, M."Dose and drug changes in chronic lymphocytic leukemia cell response in vitro: A comparison of standard therapy regimens with two novel cyclin‑dependent kinase inhibitors". Molecular Medicine Reports 19, no. 5 (2019): 3593-3603. https://doi.org/10.3892/mmr.2019.10007
Follow us
  • Twitter
  • LinkedIn
  • Facebook
About
  • Spandidos Publications
  • Careers
  • Cookie Policy
  • Privacy Policy
How can we help?
  • Help
  • Live Chat
  • Contact
  • Email to our Support Team