Spandidos Publications Logo
  • About
    • About Spandidos
    • Aims and Scopes
    • Abstracting and Indexing
    • Editorial Policies
    • Reprints and Permissions
    • Job Opportunities
    • Terms and Conditions
    • Contact
  • Journals
    • All Journals
    • Oncology Letters
      • Oncology Letters
      • Information for Authors
      • Editorial Policies
      • Editorial Board
      • Aims and Scope
      • Abstracting and Indexing
      • Bibliographic Information
      • Archive
    • International Journal of Oncology
      • International Journal of Oncology
      • Information for Authors
      • Editorial Policies
      • Editorial Board
      • Aims and Scope
      • Abstracting and Indexing
      • Bibliographic Information
      • Archive
    • Molecular and Clinical Oncology
      • Molecular and Clinical Oncology
      • Information for Authors
      • Editorial Policies
      • Editorial Board
      • Aims and Scope
      • Abstracting and Indexing
      • Bibliographic Information
      • Archive
    • Experimental and Therapeutic Medicine
      • Experimental and Therapeutic Medicine
      • Information for Authors
      • Editorial Policies
      • Editorial Board
      • Aims and Scope
      • Abstracting and Indexing
      • Bibliographic Information
      • Archive
    • International Journal of Molecular Medicine
      • International Journal of Molecular Medicine
      • Information for Authors
      • Editorial Policies
      • Editorial Board
      • Aims and Scope
      • Abstracting and Indexing
      • Bibliographic Information
      • Archive
    • Biomedical Reports
      • Biomedical Reports
      • Information for Authors
      • Editorial Policies
      • Editorial Board
      • Aims and Scope
      • Abstracting and Indexing
      • Bibliographic Information
      • Archive
    • Oncology Reports
      • Oncology Reports
      • Information for Authors
      • Editorial Policies
      • Editorial Board
      • Aims and Scope
      • Abstracting and Indexing
      • Bibliographic Information
      • Archive
    • Molecular Medicine Reports
      • Molecular Medicine Reports
      • Information for Authors
      • Editorial Policies
      • Editorial Board
      • Aims and Scope
      • Abstracting and Indexing
      • Bibliographic Information
      • Archive
    • World Academy of Sciences Journal
      • World Academy of Sciences Journal
      • Information for Authors
      • Editorial Policies
      • Editorial Board
      • Aims and Scope
      • Abstracting and Indexing
      • Bibliographic Information
      • Archive
    • International Journal of Functional Nutrition
      • International Journal of Functional Nutrition
      • Information for Authors
      • Editorial Policies
      • Editorial Board
      • Aims and Scope
      • Abstracting and Indexing
      • Bibliographic Information
      • Archive
    • International Journal of Epigenetics
      • International Journal of Epigenetics
      • Information for Authors
      • Editorial Policies
      • Editorial Board
      • Aims and Scope
      • Abstracting and Indexing
      • Bibliographic Information
      • Archive
    • Medicine International
      • Medicine International
      • Information for Authors
      • Editorial Policies
      • Editorial Board
      • Aims and Scope
      • Abstracting and Indexing
      • Bibliographic Information
      • Archive
  • Articles
  • Information
    • Information for Authors
    • Information for Reviewers
    • Information for Librarians
    • Information for Advertisers
    • Conferences
  • Language Editing
Spandidos Publications Logo
  • About
    • About Spandidos
    • Aims and Scopes
    • Abstracting and Indexing
    • Editorial Policies
    • Reprints and Permissions
    • Job Opportunities
    • Terms and Conditions
    • Contact
  • Journals
    • All Journals
    • Biomedical Reports
      • Information for Authors
      • Editorial Policies
      • Editorial Board
      • Aims and Scope
      • Abstracting and Indexing
      • Bibliographic Information
      • Archive
    • Experimental and Therapeutic Medicine
      • Information for Authors
      • Editorial Policies
      • Editorial Board
      • Aims and Scope
      • Abstracting and Indexing
      • Bibliographic Information
      • Archive
    • International Journal of Epigenetics
      • Information for Authors
      • Editorial Policies
      • Editorial Board
      • Aims and Scope
      • Abstracting and Indexing
      • Bibliographic Information
      • Archive
    • International Journal of Functional Nutrition
      • Information for Authors
      • Editorial Policies
      • Editorial Board
      • Aims and Scope
      • Abstracting and Indexing
      • Bibliographic Information
      • Archive
    • International Journal of Molecular Medicine
      • Information for Authors
      • Editorial Policies
      • Editorial Board
      • Aims and Scope
      • Abstracting and Indexing
      • Bibliographic Information
      • Archive
    • International Journal of Oncology
      • Information for Authors
      • Editorial Policies
      • Editorial Board
      • Aims and Scope
      • Abstracting and Indexing
      • Bibliographic Information
      • Archive
    • Medicine International
      • Information for Authors
      • Editorial Policies
      • Editorial Board
      • Aims and Scope
      • Abstracting and Indexing
      • Bibliographic Information
      • Archive
    • Molecular and Clinical Oncology
      • Information for Authors
      • Editorial Policies
      • Editorial Board
      • Aims and Scope
      • Abstracting and Indexing
      • Bibliographic Information
      • Archive
    • Molecular Medicine Reports
      • Information for Authors
      • Editorial Policies
      • Editorial Board
      • Aims and Scope
      • Abstracting and Indexing
      • Bibliographic Information
      • Archive
    • Oncology Letters
      • Information for Authors
      • Editorial Policies
      • Editorial Board
      • Aims and Scope
      • Abstracting and Indexing
      • Bibliographic Information
      • Archive
    • Oncology Reports
      • Information for Authors
      • Editorial Policies
      • Editorial Board
      • Aims and Scope
      • Abstracting and Indexing
      • Bibliographic Information
      • Archive
    • World Academy of Sciences Journal
      • Information for Authors
      • Editorial Policies
      • Editorial Board
      • Aims and Scope
      • Abstracting and Indexing
      • Bibliographic Information
      • Archive
  • Articles
  • Information
    • For Authors
    • For Reviewers
    • For Librarians
    • For Advertisers
    • Conferences
  • Language Editing
Login Register Submit
  • This site uses cookies
  • You can change your cookie settings at any time by following the instructions in our Cookie Policy. To find out more, you may read our Privacy Policy.

    I agree
Search articles by DOI, keyword, author or affiliation
Search
Advanced Search
presentation
Molecular Medicine Reports
Join Editorial Board Propose a Special Issue
Print ISSN: 1791-2997 Online ISSN: 1791-3004
Journal Cover
November-2019 Volume 20 Issue 5

Full Size Image

Sign up for eToc alerts
Recommend to Library

Journals

International Journal of Molecular Medicine

International Journal of Molecular Medicine

International Journal of Molecular Medicine is an international journal devoted to molecular mechanisms of human disease.

International Journal of Oncology

International Journal of Oncology

International Journal of Oncology is an international journal devoted to oncology research and cancer treatment.

Molecular Medicine Reports

Molecular Medicine Reports

Covers molecular medicine topics such as pharmacology, pathology, genetics, neuroscience, infectious diseases, molecular cardiology, and molecular surgery.

Oncology Reports

Oncology Reports

Oncology Reports is an international journal devoted to fundamental and applied research in Oncology.

Experimental and Therapeutic Medicine

Experimental and Therapeutic Medicine

Experimental and Therapeutic Medicine is an international journal devoted to laboratory and clinical medicine.

Oncology Letters

Oncology Letters

Oncology Letters is an international journal devoted to Experimental and Clinical Oncology.

Biomedical Reports

Biomedical Reports

Explores a wide range of biological and medical fields, including pharmacology, genetics, microbiology, neuroscience, and molecular cardiology.

Molecular and Clinical Oncology

Molecular and Clinical Oncology

International journal addressing all aspects of oncology research, from tumorigenesis and oncogenes to chemotherapy and metastasis.

World Academy of Sciences Journal

World Academy of Sciences Journal

Multidisciplinary open-access journal spanning biochemistry, genetics, neuroscience, environmental health, and synthetic biology.

International Journal of Functional Nutrition

International Journal of Functional Nutrition

Open-access journal combining biochemistry, pharmacology, immunology, and genetics to advance health through functional nutrition.

International Journal of Epigenetics

International Journal of Epigenetics

Publishes open-access research on using epigenetics to advance understanding and treatment of human disease.

Medicine International

Medicine International

An International Open Access Journal Devoted to General Medicine.

Journal Cover
November-2019 Volume 20 Issue 5

Full Size Image

Sign up for eToc alerts
Recommend to Library

  • Article
  • Citations
    • Cite This Article
    • Download Citation
    • Create Citation Alert
    • Remove Citation Alert
    • Cited By
  • Similar Articles
    • Related Articles (in Spandidos Publications)
    • Similar Articles (Google Scholar)
    • Similar Articles (PubMed)
  • Download PDF
  • Download XML
  • View XML
Article

N‑acetyl cysteine protects HUVECs against lipopolysaccharide‑mediated inflammatory reaction by blocking the NF‑κB signaling pathway

  • Authors:
    • Zhenzhen Zhang
    • Ting Xiong
    • Rui Zheng
    • Jialin Huang
    • Ling Guo
  • View Affiliations / Copyright

    Affiliations: Department of Prosthodontics, Hospital of Stomatology Affiliated to Southwest Medical University, Luzhou, Sichuan 646000, P.R. China
  • Pages: 4349-4357
    |
    Published online on: September 12, 2019
       https://doi.org/10.3892/mmr.2019.10678
  • Expand metrics +
Metrics: Total Views: 0 (Spandidos Publications: | PMC Statistics: )
Metrics: Total PDF Downloads: 0 (Spandidos Publications: | PMC Statistics: )
Cited By (CrossRef): 0 citations Loading Articles...

This article is mentioned in:


Abstract

The purpose of the study was to explore the potential protective effects of N‑acetylcysteine (NAC) against lipopolysaccharide (LPS)‑induced inflammatory injury to human umbilical vein endothelial cells (HUVECs). It was also assessed whether the underlying mechanism of this protective effect is mediated via suppression of the nuclear factor‑kappa B (NF‑κB) signaling pathway. Cell viability of HUVECs treated with different concentrations of NAC was assessed using Cell Counting Kit‑8 (CCK‑8) assay. The mRNA expression of inflammatory factors [interleukin‑8 (IL‑8), tumor necrosis factor α (TNF‑α), inducible nitric oxide synthase (iNOS), and intercellular cell adhesive molecule 1 (ICAM‑1)] were assessed using real time semi‑quantitative polymerase chain reaction. Protein expression levels of TNF‑α and IL‑8 were assessed using enzyme‑linked immunosorbent assay. Protein expression levels of ICAM‑1 and the NF‑κB signaling pathway were assessed using western blotting. Nitric reductase method was used to quantify nitric oxide (NO) and iNOS. LPS stimulated the production of TNF‑α, IL‑8, NO, and ICAM‑1 by HUVECs. Moreover, LPS induced activation of the NF‑κB signaling pathway and increased the protein expression of phosphorylated p65. However, pretreatment of HUVECs with NAC significantly attenuated the increase in the expression of inflammatory factors and the level of phosphorylated p65; this indicated that NAC prevented the activation of the NF‑κB signaling pathway. The present findings indicated that NAC protects HUVECs against LPS‑mediated inflammatory reaction and alleviates inflammation. The underlying mechanism is related to the NF‑κB signaling pathway. NAC appears to be a promising agent for prevention and treatment of inflammatory diseases.

Introduction

Lipopolysaccharide (LPS) is a main ingredient of the outer membrane of Gram-negative bacteria. It is one of the major factors that induce inflammation (1). In previous studies, LPS has been revealed to stimulate a wide variety of cells (including osteoblasts, intestinal epithelial cells, and vascular endothelial cells) and activate a series of signaling pathways with pathological consequences (2–4). In cell and animal models, LPS can induce inflammatory response by stimulating cells to produce inflammatory factors [interleukin (IL)-2, IL-6, IL-8, tumor necrosis factor (TNF)-α], cell adhesion molecules [intercellular adhesion molecule 1 (ICAM-1), vascular cell adhesion molecule 1 (VCAM-1)] and reactive oxygen species (ROS) through the nuclear factor-kappa B (NF-κB) signaling pathway (5–9). Vascular endothelial injury is associated with excessive secretion of inflammatory mediators under LPS stimulation (10). Therefore, inhibiting the expression of inflammatory mediators in vascular endothelial cells can alleviate the extent of damage. Studies have revealed that pharmacological inhibition of cytokine overproduction is a useful strategy to control vascular inflammation (11,12). Moreover, use of drugs to protect vascular endothelial cells and endothelial cell-cell recanalization also promotes the suppression of inflammation (13). Therefore, protection of vascular endothelial cells is an effective strategy for the prevention and treatment of inflammatory diseases.

N-acetylcysteine (NAC) is a prerequisite for the synthesis of glutathione (GSH) in the body (14). NAC is commonly used as an antioxidant and free-radical scavenger, which also detoxifies active neutrophils and free radicals (by binding or reduction) and reduces the ROS activity, thereby protecting cells against oxidative damage (15,16). NAC has been used to treat a wide range of diseases such as chronic bronchitis, ulcerative colitis, liver cancer, and asthma. It is a safe and well tolerated supplement with no obvious side effects (17). NAC was revealed to downregulate the expression of LPS-mediated pro-inflammatory factors and attenuate LPS-induced inflammation in osteoblasts, macrophage, neutrophils and animal models (2,18–21). In addition, NAC inhibited the activation of NF-κB signaling pathway induced by LPS and TNF-α (22,23). However, the protective effect of NAC on LPS-mediated human umbilical vein endothelial cells (HUVECs) and whether its mechanism is related to the NF-κB pathway has been rarely reported.

In the present study, the protective effect of NAC on LPS-mediated HUVECs was assessed by determining the secretions of four factors, i.e., IL-8, TNF-α, ICAM-1, and nitric oxide (NO). Furthermore, it was assessed whether the protective effect of NAC on HUVECs is related to the NF-κB signaling pathway. Characterization of the effects of NAC on vascular endothelial cells and identification of the underlying protective mechanisms may widen the application of NAC, such as for treatment of periodontitis and peri-implantitis. Clinically, it is our hope that this research will provide a theoretical foundation to further the prevention and treatment of inflammatory diseases.

Materials and methods

Instruments and chemical reagents

NAC and Escherichia coli LPS were obtained from Sigma-Aldrich; Merck KGaA. BAY11-7082 was obtained from Biomol GmbH. Cell Counting Kit-8 (CCK-8) reagent was purchased from Dojindo Molecular Technologies. IL-8 and TNF-α ELISA kits were manufactured by BioLegend, Inc. Antibodies against ICAM-1 (cat. no. ab53013), NF-κB (p65; cat. no. ab32536) and phosphorylated NF-κB (p-p65; cat. no. ab76302) were obtained from Cell Signaling Technology, Inc. NO and inducible nitric oxide synthase (iNOS) assay kits were purchased from the Nanjing Institute of Jiancheng Bioengineering. Dulbecco's Modified Eagle's Medium (DMEM) and fetal bovine serum (FBS) were purchased from HyClone; GE Healthcare Life Sciences. All other supplies used in the experiments were reagent grade.

Cell culture and preparation of NAC, LPS, and BAY11-7082

HUVECs were purchased from the American Type Culture Collection. These were cultured in high glucose DMEM with the addition of 10% FBS, 100 mg/ml streptomycin, and 100 units/ml penicillin in a 5% CO2 environment at 37°C. The entire medium was replaced once every 48 h. HUVECs were used in cell culture at passages 2–5 as previously described (1). NAC and LPS were dissolved in pure medium and BAY11-7082 was dissolved in dimethyl sulfoxide (DMSO, 200 µl).

The experiment consisted of seven groups: The control group, the LPS group (only LPS), the NAC group (only NAC), the LPS+NAC group (cells pre-treated with NAC for 1 h before the addition of LPS, L+N), the BAY11-7082 group (only BAY11-7082; 5 µmol/l) (24), the LPS+BAY11-7082 group (cells pretreated with BAY11-7082 for 1 h before the addition of LPS, L+B), the DMSO group (the final concentration was 0.05%). The groups are presented in Table I.

Table I.

The seven experimental groups.

Table I.

The seven experimental groups.

GroupsControlLPSNACBAY11-7082LPS+NACLPS+BAY11-7082DMSO
LPS−+−−++−
NAC−−+−+−−
BAY11-7082−−−+−+−
DMSO−−−−−−+

[i] LPS, lipopolysaccharide; NAC, N-acetylcysteine; DMSO, dimethylsulfoxide.

Cell viability assay and cell morphology observation

The effect of NAC on cell viability in the HUVECs model was first investigated by CCK-8 assay. In this process, HUVECs were treated with different concentrations of NAC (0.1, 0.25, 0.5, 1, 5 and 10 mM) for 24 h. Subsequently, the effect of NAC was evaluated on LPS-induced inflammation of HUVECs by pre-treatment of cells with different concentrations of NAC (0.1, 0.25, 0.5, 1, 5 mM) for 1 h before LPS (100 ng/ml) treatment of cells. HUVECs (density 1×105/ml) were cultivated in 96-well plates at 37°C in 5% CO2 for 24 h followed by their incubation with CCK-8 reagent for 2 h. An MCC 340 microplate reader (Thermo Fisher Scientific, Inc.), wavelength set at 450 nm, was used to detect the absorbance value representing cell proliferation. In the seven treatment groups, the morphology of HUVECs was observed using a phase contrast microscope. The experiments were repeated three times.

Real time semi-quantitative polymerase chain reaction (RT-qPCR) for mRNA expression of TNF-α, IL-8, iNOS, and ICAM-1

HUVECs were seeded in 6-well plates, treated with drugs corresponding to their group for 24 h. Total RNA was extracted from HUVECs using TRIzol reagent (Invitrogen Life Technologies; Thermo Fisher Scientific, Inc.) according to the manufacturer's recommendations. The cDNA was then reverse transcribed from total RNA using the PrimeScript™ RT reagent kit (Takara Bio, Inc.) and maintained at 42.8°C for 1 h under the use of oligo (dT) primers. The prepared cDNA was subjected to PCR amplification according to the manufacturer's instructions. The ABI Prism 7300 Sequence Detection PCR System (Applied Biosystems; Thermo Fisher Scientific, Inc.) was used to monitor the fluorescence signal intensity during PCR reaction in real time. The thermocycling conditions were as follows: Initial denaturation at 95°C for 5 min, followed by 40 cycles of 95°C for 10 sec and 60°C for 30 sec, with a final extension at 75°C for 10 min. The following primer sequences were used: IL-8 forward, 5′-AACTGAGAGTGATTGAGAGT-3′ and reverse, 5′-ATGAATTCTCAGCCCTCTTC-3′; TNF-α forward, 5′-AGCTGGTGGTGCCATCAGAG-3′ and reverse, 5′-TGGTAGGAGACGGCGATGCG-3′; iNOS forward, 5′-AGGCCACCTCGGATATCTCT-3′ and reverse, 5′-GCTTGTCTCTGGGTCCTCTG-3′; ICAM-1 forward, 5′-CGAAGGTTCTTCTGAGC-3′ and reverse, 5′-TCTGCTGAGACCCCTCTTG-3′. The housekeeping gene glyceraldehyde-phosphate dehydrogenase (GAPDH) served as the control.

Enzyme-linked immunosorbent assay (ELISA) for protein expression of TNF-α and IL-8

HUVECs (1.0×105 cells/well) were seeded into a 24-well plate, randomly divided into seven groups and treated with the corresponding agents (Control group, LPS group, NAC group, LPS+NAC group, BAY group, LPS+NAY group, DMSO group) and cultured for 24 h. The supernatant was collected to detect TNF-α and IL-8 protein concentrations using ELISA kits (BioLegend, Inc.) according to the manufacturer's recommended protocol. All experiments were conducted in triplicate.

Assessment of NO and iNOS

The activity of iNOS in HUVECs was detected using the nitric reductase method. After treatment of cells for 24 h (as described in the section Real time semi-quantitative polymerase chain reaction (RT-qPCR) for mRNA expression of TNF-α, IL-8, iNOS, and ICAM-1), these were digested with 0.25% trypsin and stopped with 10% FBS high glucose DMEM medium. Cell pellets were obtained after centrifugation for 5 min at 200 × g. The cells were rinsed with an appropriate amount of Hank's solution; subsequently, these were centrifuged again for 5 min at 200 × g, and the supernatant was removed to obtain cell pellets. The washing steps were repeated twice. Then 500 µl Hank's solution was added to each group of cells, mixed well, and pulverized ultrasonically. The supernatant was obtained for protein concentration measurement and iNOS detection. After cell treatment for 24 h, the media supernatant was collected from each group, followed by the addition of reagents 1 and 2, according to the manufacturer's recommended protocol for the NO assay kit. Finally, the microplate reader, wavelength set at 550 nm, was used to detect the absorbance values after mixing. All experiments were repeated three times.

Western blot analysis for NF-κB p65, phosphorylated p65, ICAM-1 protein expression

After seven groups of cells were treated with the corresponding drugs [detection of NF-κB protein expression after drug treatment for 2 h (25); detection of ICAM-1 protein expression after drug treatment for 24 h], the cells were rinsed with an appropriate amount of phosphate-buffered saline (PBS). Then 200 µl lysate was added to each group of cells, mixed well, and pulverized ultrasonically for 5 min. Then the samples were lysed on ice at 4°C for 20 min, followed by centrifugation for 15 min at 12,000 × g. Then, the protein expression in the supernatant was determined using the Bicinchoninic Acid (BCA) method. Depending on the sample loading, 5X loading buffer was added and boiled for 10 min. Denatured protein sample (80 µg) was electrophoresed at 100 V [100 mg/l sodium dodecyl sulfate-polyacrylamide (SDS-PAGE)] and transferred to a polyvinylidene fluoride (PVDF) film (350 mA, 2 h). Next 50 g/l bovine serum albumin (BSA) was added at normal temperature for 2 h and incubated overnight with p65 (cat. no. ab32536; 1:1,000 dilution; Abcam), phosphorylated p65 (cat. no. ab76302; 1:1,000 dilution; Abcam), ICAM-1 (cat. no. ab53013; 1:2,000 dilution; Abcam), and β-actin (cat. no. bs-0061R; 1:1,000 dilution; Beijing Boaosen Biological Co., Ltd.) at 4°C. On the subsequent day, the solution was thoroughly washed with TBST. Next, the horseradish peroxidase-conjugated goat anti-rabbit IgG secondary antibody (cat. no. bs-0295G-HRP; 1:3,000 dilution; Beijing Boaosen Biological Co., Ltd.) was added with the solution and incubated together for 2 h at room temperature, which was added with TBST to wash again. Then the developer was added for development, and the exposed negative was developed, fixed, baked and photographed in a dark room. The gray values of the NF-κB pathway protein, the ICAM-1 protein, and the internal reference protein β-actin expression band were analyzed using the Quantity One gel imaging scanning system. Representation of the NF-κB signaling pathway protein expression level was the gray scale ratio of phosphorylated p65 and p65; the protein expression level of ICAM-1 is represented by the gray scale ratio of ICAM-1 and the internal reference β-actin.

Statistical analysis

Experimental data are expressed as the mean ± standard deviation (SD) values from three experiments. One-way ANOVA followed by LSD post-hoc tests were used to assess between-group differences; P-values <0.05 were considered indicative of statistical significance.

Results

Effects of different concentrations of NAC on HUVECs and the morphology of HUVECs in all seven treatment groups

When the cells were treated with different concentrations of NAC (0.1, 0.25, 0.5, 1, 5 and 10 mM), there was no significant change in cell viability up to 5 mM relative to the control. However, cytoxicity was observed at NAC concentration of 10 mM (Fig. 1A). In the experiments to assess the effects of NAC on LPS-mediated inflammation, the LPS group (1 µg/ml) exhibited significantly reduced cell viability compared with the control group. However, pretreatment with NAC (0.1, 0.25, 0.5, 1, 5 mM) significantly alleviated the LPS-induced inhibition of cell viability, especially at NAC concentration of 1 mM (Fig. 1B). Therefore, this was selected as the optimal concentration of NAC. When HUVECs were treated with the appropriate concentration of the corresponding drug, the morphology of the seven groups of HUVECs was not significantly altered under phase contrast microscope (Fig. 1C).

Figure 1.

Effects of NAC and/or LPS on viability and toxicity of HUVECs. (A) Cell viability was measured by the CCK-8 assay. HUVECs were incubated with gradient concentrations of NAC (0.1, 0.25, 0.5, 1, 5, 10 mmol/l) for 24 h. (B) LPS inhibited the viability of HUVECs, but treatment with NAC at concentrations (0.1, 0.25, 0.5, 1, 5 mmol/l) restored cell viability. Values were expressed as the mean ± SD of three independent experiments. *P<0.05 vs. the control group; #P<0.05 vs. the LPS group. (C) Morphology of HUVECs with treatment under phase contrast microscope (magnification, ×200). NAC, N-acetylcysteine; LPS, lipopolysaccharide; HUVECs, human umbilical vein epithelial cells.

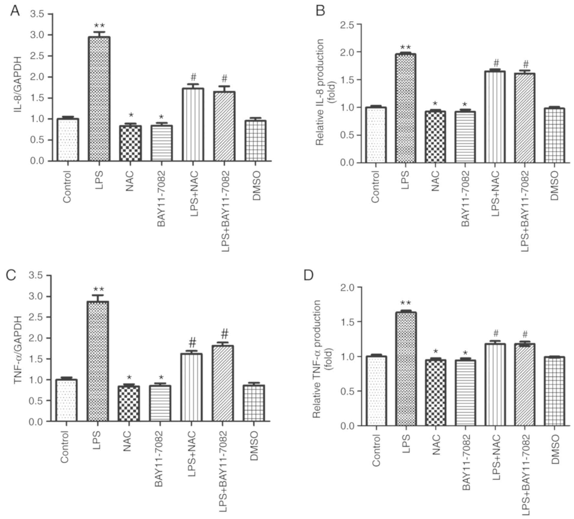
NAC attenuates LPS-induced production of IL-8 and TNF-α in HUVECs

The mRNA and protein expression of IL-8 and TNF-α were examined in LPS-stimulated HUVECs using RT-qPCR and ELISA. It was revealed that 100 ng/ml of LPS enhanced the mRNA expression of IL-8 (Fig. 2A) and TNF-α (Fig. 2C). However, pretreatment of cells with 1 mM NAC inhibited the mRNA expression of IL-8 and TNF-α. The effect of NAC was similar to that observed after pretreatment of cells with BAY11-7082 (a specific NF-κB inhibitor). Moreover, a similar phenomenon was observed with respect to the protein expression of IL-8 and TNF-α (Fig. 2B and D). This result indicated that 1 mM of NAC could significantly reduce the production of inflammatory mediators (IL-8 and TNF-α) in LPS-stimulated HUVECs.

Figure 2.

Effects of NAC on LPS-induced expression of inflammatory cytokine in HUVECs. (A) mRNA expression of IL-8 was detected by RT-qPCR. (B) The protein production of IL-8 in cell supernatants was determined by ELISA. (C) mRNA expression of TNF-α was detected by RT-qPCR. (D) The protein production of TNF-α in cell supernatants was determined by ELISA. *P<0.05, **P<0.01 vs. the control group; #P<0.05 vs. the LPS group. NAC, N-acetylcysteine; LPS, lipopolysaccharide; HUVECs, human umbilical vein epithelial cells; IL-8, interleukin-8; TNF-α, tumor necrosis factor-α.

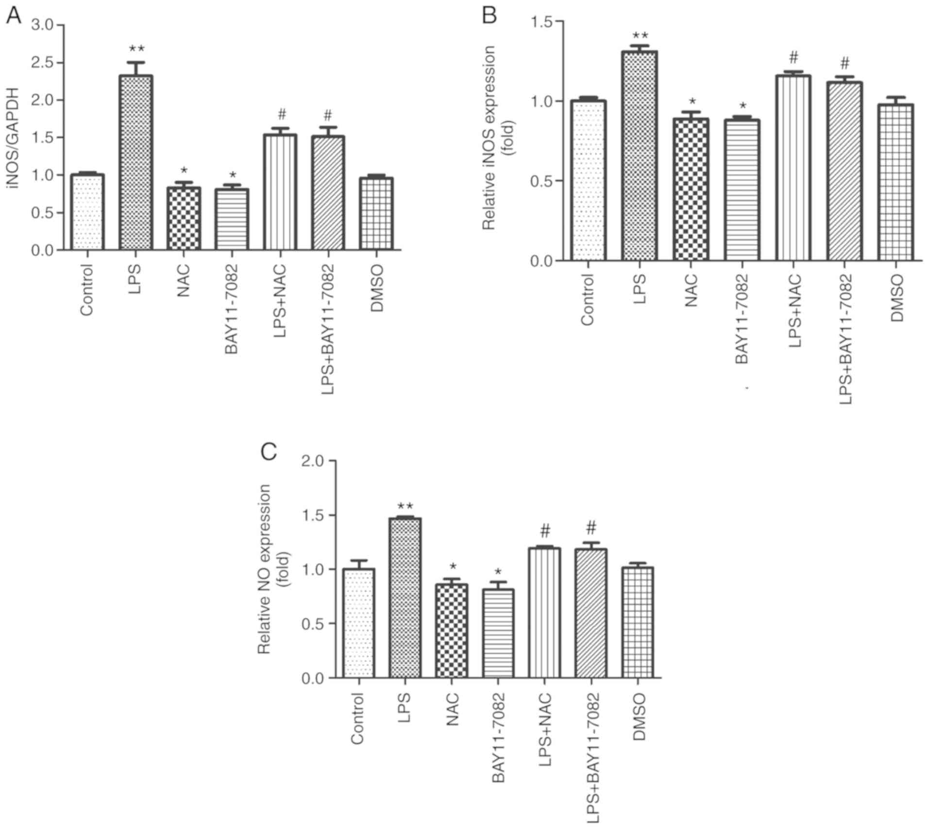
Effects of NAC on the production of NO and iNOS in HUVECs stimulated by LPS

iNOS mRNA was detected by RT-qPCR and the NO content and the viability of iNOS were determined in LPS-stimulated HUVECs using the nitric reductase method. As revealed in Fig. 3A, it was revealed that LPS induced an increase in the iNOS mRNA expression (P<0.01), while pretreatment with NAC and BAY11-7082 significantly reduced the iNOS mRNA expression. Fig. 3B and C revealed that NAC significantly reduced the activity of iNOS and the NO content (P<0.05). This indicated that NAC can decrease the viability of iNOS and the production of NO in HUVECs stimulated by LPS.

Figure 3.

Effects of NAC on LPS-induced expression of NO in HUVECs. (A) The effects of NAC on the mRNA expression of iNOS. (B) Assessment of iNOS activity by nitric reductase method. (C) Detection of the effects of NAC on NO production by nitric reductase method. *P<0.05, **P<0.01 vs. the control group; #P<0.05 vs. the LPS group. NAC, N-acetylcysteine; LPS, lipopolysaccharide; NO, nitric oxide; HUVECs, human umbilical vein epithelial cells; iNOS, inducible nitric oxide synthase.

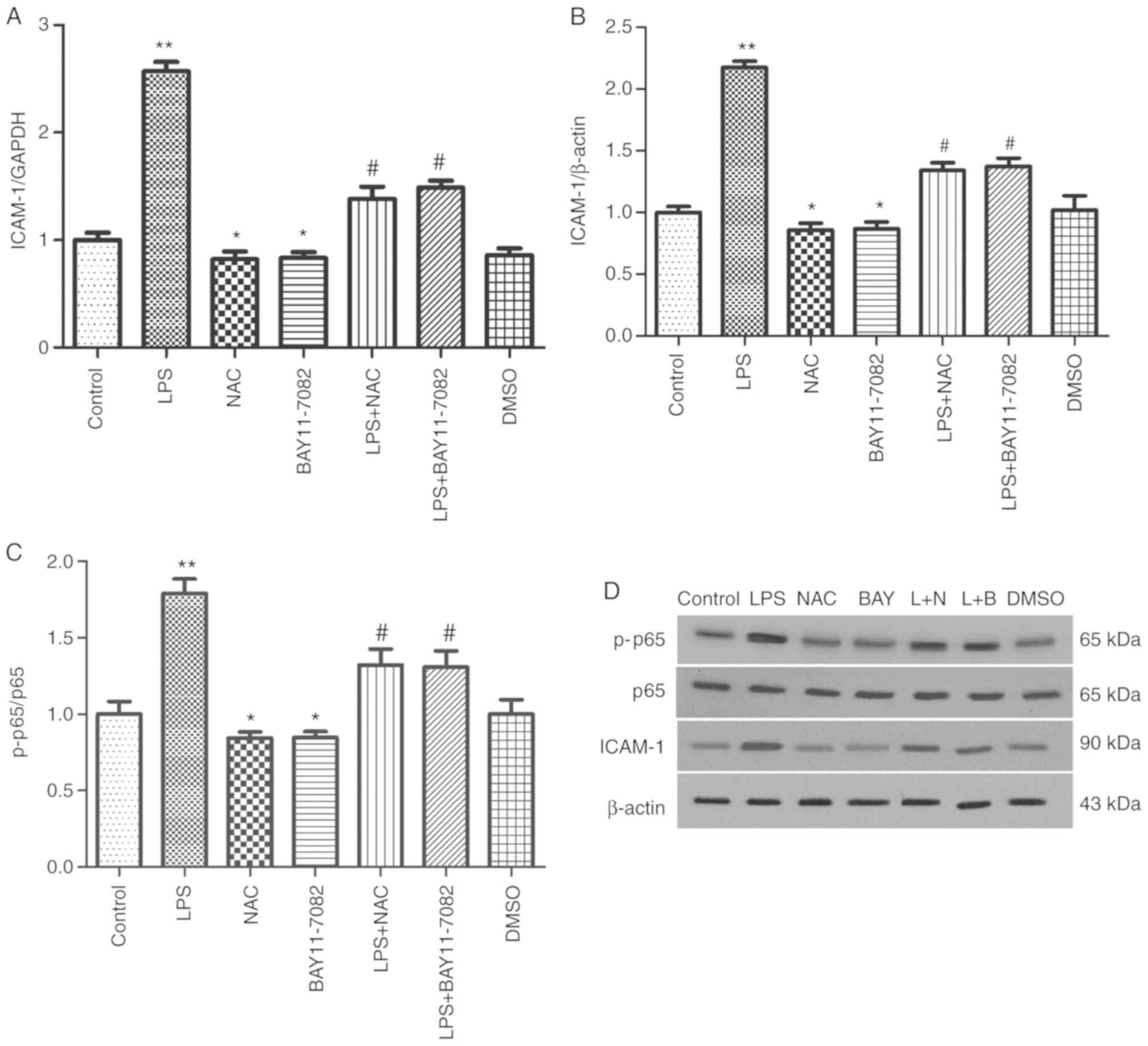
NAC decreases the expression of ICAM-1 and inhibits the activation of the NF-κB signaling pathway in HUVECs stimulated by LPS

ICAM-1 is a major proinflammatory chemokine involved in vascular response and migration of neutrophils to inflammatory foci (10). RT-qPCR and western blotting were performed to assess the effects of NAC on LPS-induced expression of ICAM-1. LPS stimulation significantly increased the mRNA expression of ICAM-1. However, pretreatment with NAC and BAY11-7082 significantly attenuated the increase (P<0.05; Fig. 4A). Consistent with the results of RT-qPCR, western blot results revealed that LPS stimulation significantly increased ICAM-1 secretion compared with the control group (P<0.01; Fig. 4B and D). However, pre-treatment of cells with NAC and BAY11-7082 significantly reduced the expression of ICAM-1 protein. These results revealed that NAC significantly attenuated the LPS-induced increased expression of ICAM-1 in HUVECs, which supported the protective effect of NAC on HUVECs.

Figure 4.

Effects of NAC on the secretion of ICAM-1 and the NF-κB signaling pathway in HUVECs stimulated by LPS. (A) The effects of NAC on the mRNA expression of ICAM-1. (B) The analysis of ICAM-1 protein expression was determined by (D) western blotting. (C) The analysis of NF-κB p65 and p-p65 protein expression was detected by (D) western blot analysis. *P<0.05, **P<0.01 vs. the control group; #P<0.05 vs. the LPS group. NAC, N-acetylcysteine; ICAM-1, intercellular cell adhesive molecule 1; HUVECs, human umbilical vein epithelial cells; LPS, lipopolysaccharide.

The protein expression levels of p65 and phosphorylated p65, which represent excitation of the NF-κB pathway, were examined by western blot analysis. The protein expression of p-p65/p65 in the LPS group was significantly higher than that in the control group (P<0.01). However, the expression of p-p65/p65 appeared to decrease in the NAC and BAY11-7082 groups, compared with the control group. Similarly, upon comparison of the LPS group with the LPS+NAC and LPS+BAY11-7082 groups, the p-p65/p65 expression in the latter two groups was significantly lower (P<0.05; Fig. 4C and D). These findings indicated that LPS can activate the NF-κB signaling pathway in HUVECs, whereas NAC restrained the LPS-mediated activation of NF-κB. The effect of NAC was similar to that of BAY-117082.

Discussion

The inflammatory process plays a part in gingivitis, periodontitis and peri-implantitis (26–28), which are characterized by cardinal signs of inflammation (redness, swelling, heat, and pain). Thus, inflammation is mainly caused by the reaction of the vascular system. The vascular endothelial cell monolayer forms a selective semi-permeable barrier, which plays an important role in regulating tissue fluid homeostasis and vascular cell migration (29). In addition, vascular endothelial cells have the ability to activate and regulate inflammatory processes (30–32). Several studies have revealed that LPS can induce vascular endothelial cells to produce excess inflammatory factors (such as IL-8 and TNF-α), increase the release of ICAM-1, and increase the amount of NO and iNOS. All these changes may lead to endothelial damage and hyperpermeability of the endothelial monolayer (33–37). It has been reported in the literature (38,39) that although monocytes and macrophages are the main source of IL-8, neutrophils, endothelial cells and epithelial cells can also be stimulated to produce IL-8. Such production is induced by pro-inflammatory agents, such as other cytokines: IL-1, IL-17 and TNF-α. IL-8 is an important mediator of inflammation and plays a crucial role in the aggregation of monocytes at the site of inflammation (35,40). TNF-α is an inflammatory mediator that activates endothelial cells, increases secretion of other inflammatory cytokines, and impairs vascular integrity (33). Adhesion molecules are the key to leukocyte adhesion and migration during the inflammatory response (10). On one hand, a pre-adherent surface is presented to the leukocytes by activated endothelial cells. On the other hand, ICAM-1 is also associated with the process of extravasation of leukocytes at the site of inflammation. Therefore, increased secretion of ICAM-1 leads to endothelial functional disorder, increased capillary permeability, and tissue injury, which cause an inflammatory response (10,41). iNOS, a cellular enzyme, is involved in the oxidation of L-arginine to NO. In endothelial cells, in vivo the activation and secretion of iNOS is usually associated with inflammatory diseases (42,43). Excessive NO caused by iNOS activation can bring about vasodilation, congestion and microvascular injury, thereby participating in the inflammatory process (44). These inflammatory mediators and vascular endothelial cell injury would induce inflammatory reactions.

NAC has been revealed to affect other immune cell types, such as leukocytes, neutrophils and monocytes (19,45,46). Therefore, whether NAC has a protective effect on vascular endothelial cells and inhibits inflammation were examined; in addition, the underlying mechanism of the protective effect of NAC was assessed. In the present study, the mRNA expression of the four factors determined by RT-qPCR were consistent with the protein expression of IL-8 and TNF-α detected by ELISA, and those of iNOS and NO detected by nitric reductase method, and ICAM-1 protein detected by western blotting. Thus, LPS significantly upregulated the mRNA and protein expression of IL-8, TNF-α, NO, and ICAM-1; however, pretreatment of cells with NAC and BAY11-7082 significantly inhibited the LPS-induced upregulation. The results indicated that the inhibitory effect of NAC on the expression of inflammatory mediators was similar to that of BAY11-7082, an inhibitor of the NF-κB signaling pathway. These findings inidcated that the LPS-induced secretion of IL-8, TNF-α, NO, and ICAM-1 by HUVECs was mediated via the NF-κB signaling pathway. In addition, the inhibitory effect of NAC on inflammatory mediators was likely mediated via inhibition of the NF-κB pathway.

NF-κB, as a crucial transcription factor, plays a role in inflammation (5). Typically, NF-κB remains in the cytoplasm bound to the NF-κB protein (IκB) inhibitors in cells that are not activated. After exposure to LPS, the IκB kinase (IκK) complex is activated, inducing phosphorylation, followed by disintegration of IκB; this induces the translocation of NF-κB p65 from the cytoplasm to the nucleus. In the nucleus, NF-κB p65 binds to the DNA sites linked to inflammatory factor expression (47,48), including cell factors, chemotactic factors, and cell adhesion molecules (49,50). Moreover, NF-κB is also related to leukocyte penetrability, transference, and conglutination (51,52). However, whether the NF-κB signaling pathway mediates the inhibitory effect of NAC on LPS-induced secretion of IL-8, TNF-α, NO, and ICAM-1 by HUVECs remains unclear. The present findings suggest that NF-κB pathway is involved in mediating the protective effects of NAC. The expression of phosphorylated p65 and p65 in the NF-κB signaling pathway (Fig. 4C and D) was examined. After treatment of HUVECs with LPS, NAC and BAY11-7082, the activation of the NF-κB signaling pathway was indicated by p-p65/p65. The results revealed that pretreatment of cells with NAC and BAY11-7082 attenuated the activation of NF-κB signaling pathway by LPS.

Collectively, the present results indicated that NAC inhibited LPS-mediated production of IL-8, TNF-α, NO, and ICAM-1 in HUVECs, thereby reducing IL-8-induced monocyte aggregation and downregulating the release of other inflammatory mediators caused by TNF-α. In addition, it protected vascular integrity, attenuated the increase in vascular permeability caused by ICAM-1, and the oxidative damage of NO on HUVECs. Overall this prevented vascular endothelial cell injury and attenuated inflammation. In addition, the present study also revealed that the protective effect of NAC on HUVECs was related to inhibition of the activated NF-κB pathway; the underlying mechanism of this effect may be linked to the antioxidant properties of NAC. NAC can scavenge free radicals, possibly preventing the oxidation of L-spermine to NO and inhibiting IκB protein degradation and the process of IκK phosphorylation. The present study still has some limitations, thus, further experiments are required to clarify the specific mechanisms and more functional assays are required to assess cell adhesion or tube formation in the future. Nonetheless, to the best of the authors' knowledge, the present study is the first to demonstrate that NAC inhibits the activation of the NF-κB signaling pathway and the production of inflammatory mediators in HUVECs. Therefore, NAC is expected to be used in more fields. The potential applications may include the prevention and treatment of peri-implantitis and periodontitis. The present study, provides preliminary evidence to prevent and treat inflammatory diseases. Further research and clinical trials are required prior to clinical use of NAC.

Acknowledgements

Not applicable.

Funding

The present study was supported by the Health Commission of Sichuan Province (grant no. 16PJ174), Southwest Medical University (grant no. 2016013 and 2015-YJ023) and Luzhou Science and Technology Bureau [grant no. 2010-s-16 (1/3)].

Availability of data and materials

All data generated or analyzed during the present study are included in this published article.

Authors' contributions

ZZ was mainly responsible for the execution of the experiments, data analysis and completion of the first draft of the paper. TX contributed to performing the experiments and revising of the paper. RZ and JH analyzed data and revised the manuscript. LG was mainly responsible for the design of the experiment and the final revision of the article. All authors have read and approved the final article and agree to be accountable for all aspects of the research in ensuring that the accuracy or integrity of any part of the work are appropriately investigated and resolved.

Ethics approval and consent to participate

The present study was approved by the Ethics Committee of the Affiliated Hospital of Southwest Medical University (Luzhou, China).

Patient consent for publication

Not applicable.

Competing interests

The authors declare that they have no competing interests.

References

1 

Ku SK, Zhou W, Lee W, Han MS, Na M and Bae JS: Anti-inflammatory effects of hyperoside in human endothelial cells and in mice. Inflammation. 38:784–799. 2015. View Article : Google Scholar : PubMed/NCBI

2 

Guo L, Zhang H, Li W, Zhan D and Wang M: N-acetyl cysteine inhibits lipopolysaccharide-mediated induction of interleukin-6 synthesis in MC3T3-E1 cells through the NF-kB signaling pathway. Arch Oral Boil. 93:149–154. 2018. View Article : Google Scholar

3 

Kanmani P and Kim H: Functional capabilities of probiotic strains on attenuation of intestinal epithelial cell inflammatory response induced by TLR4 stimuli. Biofactors. 45:223–235. 2019. View Article : Google Scholar : PubMed/NCBI

4 

Jung JY, Woo SM, Kim WJ, Lee BN, Nör JE, Min KS, Choi CH, Koh JT, Lee KJ and Hwang YC: Simvastatin inhibits the expression of inflammatory cytokines and cell adhesion molecules induced by LPS in human dental pulp cells. Int Endod. 50:377–386. 2017. View Article : Google Scholar

5 

Lee W and Bae JS: Anti-inflammatory effects of aspalathin and nothofagin from rooibos (aspalathus linearis) in vitro and in vivo. Inflammation. 38:1502–1516. 2015. View Article : Google Scholar : PubMed/NCBI

6 

Chen L, Li W, Qi D and Wang D: Lycium barbarum polysaccharide protects against LPS-induced ARDS by inhibiting apoptosis, oxidative stress, and inflammation in pulmonary endothelial cells. Free Radic Res. 52:480–490. 2018. View Article : Google Scholar : PubMed/NCBI

7 

Jin L, Zhang LM, Xie KQ, Ye Y and Feng L: Paeoniflorin suppresses the expression of intercellular adhesion molecule-1 (ICAM-1) in endotoxin-treated human monocytic cells. Br J Pharmacol. 164:694–703. 2011. View Article : Google Scholar : PubMed/NCBI

8 

Guha M and Mackman N: LPS induction of gene expression in human monocytes. Cell Signal. 13:85–94. 2001. View Article : Google Scholar : PubMed/NCBI

9 

Ma MM, Li Y, Liu XY, Zhu WW, Ren X, Kong GQ, Huang X, Wang LP, Luo LQ and Wang XZ: Cyanidin-3-O-glucoside ameliorates lipopolysaccharide-induced injury both in vivo and in vitro suppression of NF-kappaB and MAPK pathways. Inflammation. 38:1669–1682. 2015. View Article : Google Scholar : PubMed/NCBI

10 

Hu Y, He K and Zhu H: Chinese herbal medicinal ingredients affect secretion of NO, IL-10, ICAM-1 and IL-2 by endothelial cells. Immunopharmacol Immunotoxicol. 37:324–328. 2015. View Article : Google Scholar : PubMed/NCBI

11 

Yoo H, Ku SK, Lee T and Bae JS: Orientin inhibits HMGB1-induced inflammatory responses in HUVECs and in murine polymicrobial sepsis. Inflammation. 37:1705–1717. 2014. View Article : Google Scholar : PubMed/NCBI

12 

Kim IS, Yang EJ, Shin DH, Son KH, Park HY and Lee JS: Effect of arazyme on the lipopolysaccharideinduced inflammatory response in human endothelial cells. Mol Med Rep. 10:1025–1029. 2014. View Article : Google Scholar : PubMed/NCBI

13 

Zhao YD, Huang X, Yi F, Dai Z, Qian Z, Tiruppathi C, Tran K and Zhao YY: Endothelial FoxM1 mediates bone marrow progenitor cell-induced vascular repair and resolution of inflammation following inflammatory lung injury. Stem Cells. 32:1855–1864. 2014. View Article : Google Scholar : PubMed/NCBI

14 

Tsai ML, Huang HP, Hsu JD, Lai YR, Hsiao YP, Lu FJ and Chang HR: Topical N-acetylcysteine accelerates wound healing in vitro and in vivo via the PKC/Stat3 pathway. Int J Mol Sci. 15:7563–7578. 2014. View Article : Google Scholar : PubMed/NCBI

15 

Pawlowska-Goral K, Kurzeja E and Stec M: N-acetylcysteine protects against fluoride-induced oxidative damage in primary rat hepatocytes. Toxicol In Vitro. 27:2279–2282. 2013. View Article : Google Scholar : PubMed/NCBI

16 

Dinicola S, De Grazia S, Carlomagno G and Pintucci JP: N-acetylcysteine as powerful molecule to destroy bacterial biofilms. A systematic review. Eur Rev Med Pharmacol Sci. 18:2942–2948. 2014.PubMed/NCBI

17 

Mokhtari V, Afsharian P, Shahhoseini M, Kalantar SM and Moini A: A review on various uses of N-acetyl cysteine. Cell J. 19:11–17. 2017.PubMed/NCBI

18 

Ohnishi T, Bandow K, Kakimoto K, Kusuyama J and Matsuguchi T: Long-time treatment by low-dose N-acetyl-L-cysteine enhances proinflammatory cytokine expressions in LPS-stimulated macrophages. PLoS One. 9:e872292014. View Article : Google Scholar : PubMed/NCBI

19 

Köse SA and Nazıroğlu M: N-acetyl cysteine reduces oxidative toxicity, apoptosis, and calcium entry through TRPV1 channels in the neutrophils of patients with polycystic ovary syndrome. Free Radic Res. 49:338–346. 2015. View Article : Google Scholar : PubMed/NCBI

20 

Khatib N, Weiner Z, Ginsberg Y, Awad N and Beloosesky R: Protective effect of N-acetyl-cysteine (NAC) in lipopolysaccharide (LPS)-associated inflammatory response in rat neonates. Rambam Maimonides Med J. 8:2017. View Article : Google Scholar

21 

Beloosesky R, Ginsberg Y, Khatib N, Maravi N, Ross MG, Itskovitz-Eldor J and Weiner Z: Prophylactic maternal N-acetylcysteine in rats prevents maternal inflammation-induced offspring cerebral injury shown on magnetic resonance imaging. Am J Obstet Gynecol. 208:213.e211–216. 2013. View Article : Google Scholar

22 

Wu XY, Luo AY, Zhou YR and Ren JH: N-acetylcysteine reduces oxidative stress, nuclear factorkappaB activity and cardiomyocyte apoptosis in heart failure. Mol Med Rep. 10:615–624. 2014. View Article : Google Scholar : PubMed/NCBI

23 

Oka S, Kamata H, Kamata K, Yagisawa H and Hirata H: N-acetylcysteine suppresses TNF-induced NF-kappaB activation through inhibition of IkappaB kinases. FEBS Lett. 472:196–202. 2000. View Article : Google Scholar : PubMed/NCBI

24 

Wegelin O, van Melick HHE, Hooft L, Bosch JLHR, Reitsma HB, Barentsz JO and Somford DM: Comparing three different techniques for magnetic resonance imaging-targeted prostate biopsies: A systematic review of in-bore versus magnetic resonance imaging-transrectal ultrasound fusion versus cognitive registration. Is there a preferred technique? Eur Urol. 71:517–531. 2017.

25 

Zha L, Chen J, Sun S, Mao L, Chu X, Deng H, Cai J, Li X, Liu Z and Cao W: Soyasaponins can blunt inflammation by inhibiting the reactive oxygen species-mediated activation of PI3K/Akt/NF-κB pathway. PLoS One. 9:e1076552014. View Article : Google Scholar : PubMed/NCBI

26 

Renvert S and Quirynen M: Risk indicators for peri-implantitis. A narrative review. Clin Oral Implants Res. 26 (Suppl 11):S15–S44. 2015. View Article : Google Scholar

27 

Kinane DF, Stathopoulou PG and Papapanou PN: Periodontal diseases. Nat Rev Dis Primers. 3:170382017. View Article : Google Scholar : PubMed/NCBI

28 

Yang HW, Tang XS, Tian ZW, Wang Y, Yang WY and Hu JZ: Effects of nano-hydroxyapatite/polyetheretherketone-coated, sandblasted, large-grit, and acid-etched implants on inflammatory cytokines and osseointegration in a peri-implantitis model in beagle dogs. Med Sci Monit. 23:4601–4611. 2017. View Article : Google Scholar : PubMed/NCBI

29 

Cines DB, Pollak ES, Buck CA, Loscalzo J, Zimmerman GA, McEver RP, Pober JS, Wick TM, Konkle BA, Schwartz BS, et al: Endothelial cells in physiology and in the pathophysiology of vascular disorders. Blood. 91:3527–3561. 1998.PubMed/NCBI

30 

Lingen MW: Role of leukocytes and endothelial cells in the development of angiogenesis in inflammation and wound healing. Arch Pathol Lab Med. 125:67–71. 2001.PubMed/NCBI

31 

Wang Y, Gao Y, Yu W, Jiang Z, Qu J and Li K: Lycopene protects against LPS-induced proinflammatory cytokine cascade in HUVECs. Pharmazie. 68:681–684. 2013.PubMed/NCBI

32 

Imai Y, Dobrian AD, Weaver JR, Butcher MJ, Cole BK, Galkina EV, Morris MA, Taylor-Fishwick DA and Nadler JL: Interaction between cytokines and inflammatory cells in islet dysfunction, insulin resistance and vascular disease. Diabetes Obes Metab. 15 (Suppl 3):S117–S129. 2013. View Article : Google Scholar

33 

Giusti L, Gabriele M, Penno G, Garofolo M, Longo V, Del Prato S, Lucchesi D and Pucci L: A fermented whole grain prevents lipopolysaccharides-induced dysfunction in human endothelial progenitor cells. Oxid Med Cell Longev. 2017:10262682017. View Article : Google Scholar : PubMed/NCBI

34 

Chen G, Zhao J, Yin Y, Wang B, Liu Q, Li P, Zhao L and Zhou H: C-type natriuretic peptide attenuates LPS-induced endothelial activation: Involvement of p38, Akt, and NF-kB pathways. Amino Acids. 46:2653–2663. 2014. View Article : Google Scholar : PubMed/NCBI

35 

Lin Q, Qin X, Shi M, Qin Z, Meng Y, Qin Z and Guo S: Schisandrin B inhibits LPS-induced inflammatory response in human umbilical vein endothelial cells by activating Nrf2. Int Immunopharmacol. 49:142–147. 2017. View Article : Google Scholar : PubMed/NCBI

36 

Liu XJ, Mu E, Liang YJ, Zhang ZD and Ma XC: High glucose enhances permeability of human pulmonary microvascular endothelial cells by lipopolysaccharide stimulation in vitro and effect of DDAH/NOS/NO imbalance on its pathogenesis. Zhonghua Wei Zhong Bing Ji Jiu Yi Xue. 25:140–144. 2013.(In Chinese). PubMed/NCBI

37 

Tamura EK, Cecon E, Monteiro AW, Silva CL and Markus RP: Melatonin inhibits LPS-induced NO production in rat endothelial cells. J Pineal Res. 46:268–274. 2009. View Article : Google Scholar : PubMed/NCBI

38 

Dong R and Zheng S: Interleukin-8: A critical chemokine in biliary atresia. J Gastroenterol Hepatol. 30:970–976. 2015. View Article : Google Scholar : PubMed/NCBI

39 

Wang Y, Wang W, Wang L, Wang X and Xia J: Regulatory mechanisms of interleukin 8 production induced by tumor necrosis factor-α in human hepatocellular carcinoma cells. J Cell Mol Med. 16:496–506. 2012. View Article : Google Scholar : PubMed/NCBI

40 

Ghasemi H, Ghazanfari T, Yaraee R, Faghihzadeh S and Hassan ZM: Roles of IL-8 in ocular inflammations: A review. Ocul Immunol Inflamm. 19:401–412. 2011. View Article : Google Scholar : PubMed/NCBI

41 

Rossi B, Angiari S, Zenaro E, Budui SL and Constantin G: Vascular inflammation in central nervous system diseases: Adhesion receptors controlling leukocyte-endothelial interactions. J Leukoc Boil. 89:539–556. 2011. View Article : Google Scholar

42 

Alderton WK, Cooper CE and Knowles RG: Nitric oxide synthases: Structure, function and inhibition. Biochem J. 357:593–615. 2001. View Article : Google Scholar : PubMed/NCBI

43 

Gunnett CA, Lund DD, McDowell AK, Faraci FM and Heistad DD: Mechanisms of inducible nitric oxide synthase-mediated vascular dysfunction. Arterioscler Thromb Vasc Biol. 25:1617–1622. 2005. View Article : Google Scholar : PubMed/NCBI

44 

Hauser B, Matejovic M and Radermacher P: Nitric oxide, leukocytes and microvascular permeability: Causality or bystanders? Crit Care. 12:1042008. View Article : Google Scholar : PubMed/NCBI

45 

Chen QZ, Fu ZD, Zhou YB, Zhou LF, Yang CT and Li JH: N-acetyl-L-cysteine reduces the ozone-induced lung inflammation response in mice. Sheng Li Xue Bao. 68:767–774. 2016.(In Chinese). PubMed/NCBI

46 

Gamage AM, Lee KO and Gan YH: Effect of oral N-acetyl cysteine supplementation in type 2 diabetic patients on intracellular glutathione content and innate immune responses to Burkholderia pseudomallei. Microbes Infect. 16:661–671. 2014. View Article : Google Scholar : PubMed/NCBI

47 

Franceschelli S, Pesce M, Ferrone A, Gatta DM, Patruno A, Lutiis MA, Quiles JL, Grilli A, Felaco M and Speranza L: Biological effect of licochalcone C on the regulation of PI3K/Akt/eNOS and NF-kB/iNOS/NO signaling pathways in H9c2 cells in response to LPS stimulation. Int J Mol Sci. 18:E6902017. View Article : Google Scholar : PubMed/NCBI

48 

Ghosh S, May MJ and Kopp EB: NF-kappa B and Rel proteins: Evolutionarily conserved mediators of immune responses. Annu Rev Immunol. 16:225–260. 1998. View Article : Google Scholar : PubMed/NCBI

49 

Zhang H, Qin G, Liang G, Li J, Chiu I, Barrington RA and Liu D: Suppression of complement regulatory protein C1 inhibitor in vascular endothelial activation by inhibiting vascular cell adhesion molecule-1 action. Biochem Biophys Res Commun. 358:1120–1127. 2007. View Article : Google Scholar : PubMed/NCBI

50 

He W, Qu T, Yu Q, Wang Z, Lv H, Zhang J, Zhao X and Wang P: LPS induces IL-8 expression through TLR4, MyD88, NF-kappaB and MAPK pathways in human dental pulp stem cells. Int Endod J. 46:128–136. 2013. View Article : Google Scholar : PubMed/NCBI

51 

Lockyer JM, Colladay JS, Alperin-Lea WL, Hammond T and Buda AJ: Inhibition of nuclear factor-kappaB-mediated adhesion molecule expression in human endothelial cells. Circ Res. 82:314–320. 1998. View Article : Google Scholar : PubMed/NCBI

52 

Yamagami H, Yamagami S, Inoki T, Amano S and Miyata K: The effects of proinflammatory cytokines on cytokine-chemokine gene expression profiles in the human corneal endothelium. Invest Ophthalmol Vis Sci. 44:514–520. 2003. View Article : Google Scholar : PubMed/NCBI

Related Articles

  • Abstract
  • View
  • Download
  • Twitter
Copy and paste a formatted citation
Spandidos Publications style
Zhang Z, Xiong T, Zheng R, Huang J and Guo L: N‑acetyl cysteine protects HUVECs against lipopolysaccharide‑mediated inflammatory reaction by blocking the NF‑κB signaling pathway. Mol Med Rep 20: 4349-4357, 2019.
APA
Zhang, Z., Xiong, T., Zheng, R., Huang, J., & Guo, L. (2019). N‑acetyl cysteine protects HUVECs against lipopolysaccharide‑mediated inflammatory reaction by blocking the NF‑κB signaling pathway. Molecular Medicine Reports, 20, 4349-4357. https://doi.org/10.3892/mmr.2019.10678
MLA
Zhang, Z., Xiong, T., Zheng, R., Huang, J., Guo, L."N‑acetyl cysteine protects HUVECs against lipopolysaccharide‑mediated inflammatory reaction by blocking the NF‑κB signaling pathway". Molecular Medicine Reports 20.5 (2019): 4349-4357.
Chicago
Zhang, Z., Xiong, T., Zheng, R., Huang, J., Guo, L."N‑acetyl cysteine protects HUVECs against lipopolysaccharide‑mediated inflammatory reaction by blocking the NF‑κB signaling pathway". Molecular Medicine Reports 20, no. 5 (2019): 4349-4357. https://doi.org/10.3892/mmr.2019.10678
Copy and paste a formatted citation
x
Spandidos Publications style
Zhang Z, Xiong T, Zheng R, Huang J and Guo L: N‑acetyl cysteine protects HUVECs against lipopolysaccharide‑mediated inflammatory reaction by blocking the NF‑κB signaling pathway. Mol Med Rep 20: 4349-4357, 2019.
APA
Zhang, Z., Xiong, T., Zheng, R., Huang, J., & Guo, L. (2019). N‑acetyl cysteine protects HUVECs against lipopolysaccharide‑mediated inflammatory reaction by blocking the NF‑κB signaling pathway. Molecular Medicine Reports, 20, 4349-4357. https://doi.org/10.3892/mmr.2019.10678
MLA
Zhang, Z., Xiong, T., Zheng, R., Huang, J., Guo, L."N‑acetyl cysteine protects HUVECs against lipopolysaccharide‑mediated inflammatory reaction by blocking the NF‑κB signaling pathway". Molecular Medicine Reports 20.5 (2019): 4349-4357.
Chicago
Zhang, Z., Xiong, T., Zheng, R., Huang, J., Guo, L."N‑acetyl cysteine protects HUVECs against lipopolysaccharide‑mediated inflammatory reaction by blocking the NF‑κB signaling pathway". Molecular Medicine Reports 20, no. 5 (2019): 4349-4357. https://doi.org/10.3892/mmr.2019.10678
Follow us
  • Twitter
  • LinkedIn
  • Facebook
About
  • Spandidos Publications
  • Careers
  • Cookie Policy
  • Privacy Policy
How can we help?
  • Help
  • Live Chat
  • Contact
  • Email to our Support Team