Spandidos Publications Logo
  • About
    • About Spandidos
    • Aims and Scopes
    • Abstracting and Indexing
    • Editorial Policies
    • Reprints and Permissions
    • Job Opportunities
    • Terms and Conditions
    • Contact
  • Journals
    • All Journals
    • Oncology Letters
      • Oncology Letters
      • Information for Authors
      • Editorial Policies
      • Editorial Board
      • Aims and Scope
      • Abstracting and Indexing
      • Bibliographic Information
      • Archive
    • International Journal of Oncology
      • International Journal of Oncology
      • Information for Authors
      • Editorial Policies
      • Editorial Board
      • Aims and Scope
      • Abstracting and Indexing
      • Bibliographic Information
      • Archive
    • Molecular and Clinical Oncology
      • Molecular and Clinical Oncology
      • Information for Authors
      • Editorial Policies
      • Editorial Board
      • Aims and Scope
      • Abstracting and Indexing
      • Bibliographic Information
      • Archive
    • Experimental and Therapeutic Medicine
      • Experimental and Therapeutic Medicine
      • Information for Authors
      • Editorial Policies
      • Editorial Board
      • Aims and Scope
      • Abstracting and Indexing
      • Bibliographic Information
      • Archive
    • International Journal of Molecular Medicine
      • International Journal of Molecular Medicine
      • Information for Authors
      • Editorial Policies
      • Editorial Board
      • Aims and Scope
      • Abstracting and Indexing
      • Bibliographic Information
      • Archive
    • Biomedical Reports
      • Biomedical Reports
      • Information for Authors
      • Editorial Policies
      • Editorial Board
      • Aims and Scope
      • Abstracting and Indexing
      • Bibliographic Information
      • Archive
    • Oncology Reports
      • Oncology Reports
      • Information for Authors
      • Editorial Policies
      • Editorial Board
      • Aims and Scope
      • Abstracting and Indexing
      • Bibliographic Information
      • Archive
    • Molecular Medicine Reports
      • Molecular Medicine Reports
      • Information for Authors
      • Editorial Policies
      • Editorial Board
      • Aims and Scope
      • Abstracting and Indexing
      • Bibliographic Information
      • Archive
    • World Academy of Sciences Journal
      • World Academy of Sciences Journal
      • Information for Authors
      • Editorial Policies
      • Editorial Board
      • Aims and Scope
      • Abstracting and Indexing
      • Bibliographic Information
      • Archive
    • International Journal of Functional Nutrition
      • International Journal of Functional Nutrition
      • Information for Authors
      • Editorial Policies
      • Editorial Board
      • Aims and Scope
      • Abstracting and Indexing
      • Bibliographic Information
      • Archive
    • International Journal of Epigenetics
      • International Journal of Epigenetics
      • Information for Authors
      • Editorial Policies
      • Editorial Board
      • Aims and Scope
      • Abstracting and Indexing
      • Bibliographic Information
      • Archive
    • Medicine International
      • Medicine International
      • Information for Authors
      • Editorial Policies
      • Editorial Board
      • Aims and Scope
      • Abstracting and Indexing
      • Bibliographic Information
      • Archive
  • Articles
  • Information
    • Information for Authors
    • Information for Reviewers
    • Information for Librarians
    • Information for Advertisers
    • Conferences
  • Language Editing
Spandidos Publications Logo
  • About
    • About Spandidos
    • Aims and Scopes
    • Abstracting and Indexing
    • Editorial Policies
    • Reprints and Permissions
    • Job Opportunities
    • Terms and Conditions
    • Contact
  • Journals
    • All Journals
    • Biomedical Reports
      • Information for Authors
      • Editorial Policies
      • Editorial Board
      • Aims and Scope
      • Abstracting and Indexing
      • Bibliographic Information
      • Archive
    • Experimental and Therapeutic Medicine
      • Information for Authors
      • Editorial Policies
      • Editorial Board
      • Aims and Scope
      • Abstracting and Indexing
      • Bibliographic Information
      • Archive
    • International Journal of Epigenetics
      • Information for Authors
      • Editorial Policies
      • Editorial Board
      • Aims and Scope
      • Abstracting and Indexing
      • Bibliographic Information
      • Archive
    • International Journal of Functional Nutrition
      • Information for Authors
      • Editorial Policies
      • Editorial Board
      • Aims and Scope
      • Abstracting and Indexing
      • Bibliographic Information
      • Archive
    • International Journal of Molecular Medicine
      • Information for Authors
      • Editorial Policies
      • Editorial Board
      • Aims and Scope
      • Abstracting and Indexing
      • Bibliographic Information
      • Archive
    • International Journal of Oncology
      • Information for Authors
      • Editorial Policies
      • Editorial Board
      • Aims and Scope
      • Abstracting and Indexing
      • Bibliographic Information
      • Archive
    • Medicine International
      • Information for Authors
      • Editorial Policies
      • Editorial Board
      • Aims and Scope
      • Abstracting and Indexing
      • Bibliographic Information
      • Archive
    • Molecular and Clinical Oncology
      • Information for Authors
      • Editorial Policies
      • Editorial Board
      • Aims and Scope
      • Abstracting and Indexing
      • Bibliographic Information
      • Archive
    • Molecular Medicine Reports
      • Information for Authors
      • Editorial Policies
      • Editorial Board
      • Aims and Scope
      • Abstracting and Indexing
      • Bibliographic Information
      • Archive
    • Oncology Letters
      • Information for Authors
      • Editorial Policies
      • Editorial Board
      • Aims and Scope
      • Abstracting and Indexing
      • Bibliographic Information
      • Archive
    • Oncology Reports
      • Information for Authors
      • Editorial Policies
      • Editorial Board
      • Aims and Scope
      • Abstracting and Indexing
      • Bibliographic Information
      • Archive
    • World Academy of Sciences Journal
      • Information for Authors
      • Editorial Policies
      • Editorial Board
      • Aims and Scope
      • Abstracting and Indexing
      • Bibliographic Information
      • Archive
  • Articles
  • Information
    • For Authors
    • For Reviewers
    • For Librarians
    • For Advertisers
    • Conferences
  • Language Editing
Login Register Submit
  • This site uses cookies
  • You can change your cookie settings at any time by following the instructions in our Cookie Policy. To find out more, you may read our Privacy Policy.

    I agree
Search articles by DOI, keyword, author or affiliation
Search
Advanced Search
presentation
Molecular Medicine Reports
Join Editorial Board Propose a Special Issue
Print ISSN: 1791-2997 Online ISSN: 1791-3004
Journal Cover
August-2020 Volume 22 Issue 2

Full Size Image

Sign up for eToc alerts
Recommend to Library

Journals

International Journal of Molecular Medicine

International Journal of Molecular Medicine

International Journal of Molecular Medicine is an international journal devoted to molecular mechanisms of human disease.

International Journal of Oncology

International Journal of Oncology

International Journal of Oncology is an international journal devoted to oncology research and cancer treatment.

Molecular Medicine Reports

Molecular Medicine Reports

Covers molecular medicine topics such as pharmacology, pathology, genetics, neuroscience, infectious diseases, molecular cardiology, and molecular surgery.

Oncology Reports

Oncology Reports

Oncology Reports is an international journal devoted to fundamental and applied research in Oncology.

Experimental and Therapeutic Medicine

Experimental and Therapeutic Medicine

Experimental and Therapeutic Medicine is an international journal devoted to laboratory and clinical medicine.

Oncology Letters

Oncology Letters

Oncology Letters is an international journal devoted to Experimental and Clinical Oncology.

Biomedical Reports

Biomedical Reports

Explores a wide range of biological and medical fields, including pharmacology, genetics, microbiology, neuroscience, and molecular cardiology.

Molecular and Clinical Oncology

Molecular and Clinical Oncology

International journal addressing all aspects of oncology research, from tumorigenesis and oncogenes to chemotherapy and metastasis.

World Academy of Sciences Journal

World Academy of Sciences Journal

Multidisciplinary open-access journal spanning biochemistry, genetics, neuroscience, environmental health, and synthetic biology.

International Journal of Functional Nutrition

International Journal of Functional Nutrition

Open-access journal combining biochemistry, pharmacology, immunology, and genetics to advance health through functional nutrition.

International Journal of Epigenetics

International Journal of Epigenetics

Publishes open-access research on using epigenetics to advance understanding and treatment of human disease.

Medicine International

Medicine International

An International Open Access Journal Devoted to General Medicine.

Journal Cover
August-2020 Volume 22 Issue 2

Full Size Image

Sign up for eToc alerts
Recommend to Library

  • Article
  • Citations
    • Cite This Article
    • Download Citation
    • Create Citation Alert
    • Remove Citation Alert
    • Cited By
  • Similar Articles
    • Related Articles (in Spandidos Publications)
    • Similar Articles (Google Scholar)
    • Similar Articles (PubMed)
  • Download PDF
  • Download XML
  • View XML
Article Open Access

Detection of chromosomal abnormalities in spontaneous miscarriage by low‑coverage next‑generation sequencing

  • Authors:
    • Fen‑Xia Li
    • Mei‑Juan Xie
    • Shou‑Fang Qu
    • Dan He
    • Long Wu
    • Zhi‑Kun Liang
    • Ying‑Song Wu
    • Fang Yang
    • Xue‑Xi Yang
  • View Affiliations / Copyright

    Affiliations: Department of Obstetrics and Gynecology, Nanfang Hospital, Southern Medical University, Guangzhou, Guangdong 510515, P.R. China, Institute of Antibody Engineering, School of Laboratory Medicine and Biotechnology, Southern Medical University, Guangzhou, Guangdong 510515, P.R. China, National Institutes for Food and Drug Control, Beijing 100050, P.R. China, Guangzhou Darui Biotechnology Co. Ltd., Guangzhou, Guangdong 510665, P.R. China
    Copyright: © Li et al. This is an open access article distributed under the terms of Creative Commons Attribution License.
  • Pages: 1269-1276
    |
    Published online on: June 3, 2020
       https://doi.org/10.3892/mmr.2020.11208
  • Expand metrics +
Metrics: Total Views: 0 (Spandidos Publications: | PMC Statistics: )
Metrics: Total PDF Downloads: 0 (Spandidos Publications: | PMC Statistics: )
Cited By (CrossRef): 0 citations Loading Articles...

This article is mentioned in:



Abstract

Chromosomal abnormalities (CAs) can cause spontaneous miscarriage and increase the incidence of subsequent pregnancy loss and other complications. Presently, CAs are detected mainly by array comparative genomic hybridization (CGH) and single nucleotide polymorphism microarrays. The present study developed a low‑coverage next‑generation sequencing method to detect CAs in spontaneous miscarriage and assess its clinical performance. In total, 1,401 patients who had experienced an abortion were enrolled in the present study and divided into two groups. In group I, 437 samples that had been previously validated by array CGH were used to establish a method to detect CAs using a semiconductor sequencing platform. In group II, 964 samples, which were not verified, were assessed using established methods with respect to clinical significance. Copy number variant (CNV)‑positive and euploidy samples were verified by array CGH and short tandem repeat profiling, respectively, based on quantitative fluorescent PCR. The low‑coverage sequencing method detected CNVs >1 Mb in length and a total of 3.5 million unique reads. Similar results to array CGH were obtained in group I, except for six CNVs <1 Mb long. In group II, there were 341 aneuploidies, 195 CNVs, 25 mosaicisms and 403 euploidies. Overall, among the 1,401 abortion samples, there were 536 aneuploidies, 263 CNVs, 34 mosaicisms, and 568 euploidies. Trisomies were present in all autosomal chromosomes. The most common aneuploidies were T16, monosomy X, T22, T15, T21 and T13. Furthermore, one tetrasomy 21, one CNV associated with Wolf‑Hirschhorn syndrome, one associated with DiGeorge syndrome and one associated with both Prader‑Willi and Angelman syndromes were identified. These four cases were confirmed by short tandem repeat profiling and array CGH. Quantitative fluorescent PCR revealed nine polyploidy samples. The present method demonstrated equivalent efficacy to that of array CGH in detecting CNVs >1 Mb, with advantages of requiring less input DNA and lower cost.

Introduction

Spontaneous miscarriage (SM) is a major cause of pregnancy failure. It is estimated that ~10-15% of all clinically recognized pregnancies terminate in SM (1,2). In addition, >50% of all SMs have chromosomal abnormalities (CAs) (3–5), including mosaicism, structural abnormalities and numerical chromosomal defects, such as trisomy, monosomy, polyploidy and monosomy X (6,7). Furthermore, SM increases the risk of pregnancy loss and complications. Therefore, analysis of CAs in aborted tissues would provide insight into the etiology of pregnancy termination, as well as improved management of subsequent pregnancies in patients with SM (8,9). Previous studies suggested that patient follow-up is more cost-effective when CA analyses are performed in patients who had experienced miscarriage (10,11).

Conventional methods used to detect CAs and determine the cause of pregnancy loss include karyotyping, fluorescence in situ hybridization, quantitative fluorescent-PCR (QF-PCR) and multiplex ligation-dependent probe amplification. However, these methods have inherent limitations (10,12). Following the rapid development of molecular biology technologies, array comparative genomic hybridization (CGH) and single nucleotide polymorphism (SNP) microarray (13,14) have become the standard methods used to investigate possible chromosomal causes of miscarriage because of their ability to analyze the whole genome at high resolution. However, microarray assays have numerous limitations such as high cost, low throughput and requirement of a large amount of high-quality DNA. With the development of next-generation sequencing (NGS) and reduced sequencing costs, low-coverage NGS assays have been widely used for noninvasive pre-natal testing in China, which is also gradually expanding to the detection of CAs in SM (1,9,15,16).

The aim of the present study was to develop a method based on low-coverage NGS to detect CAs in SM through a retrospective, case-controlled approach. The clinical performance of the developed method was then assessed in a prospective study. The performance of copy number variant (CNV) analysis based on low-coverage NGS technology is dependent on the sequencing coverage (15,17). Increasing the coverage may increase the sensitivity of the CNV analysis method, while simultaneously increase the sequencing cost (17). The present study used low-coverage NGS CNV analysis, which yielded >3.5 million sequencing reads with CNVs >1 Mb in length. Overall, the sequencing coverage was ~0.13X, with an average fragment length ~110 bp.

Materials and methods

Study design

In total, 1,401 patients with SM were enrolled in the present study and divided into two groups. Group I included 437 samples previously validated by array CGH. Samples in group I were used to establish a method to detect CAs by semiconductor sequencing, using a retrospective, case-controlled study design. Group II, which lacked verified results, comprised 964 samples tested for clinical significance via a prospective design. Finally, CNVs with clear clinical significance in group II were verified by array CGH. The CNV-positive and euploid samples were subjected to short tandem repeat (STR) profiling to identify polyploidies.

Samples and clinical materials

All samples were obtained under Institutional Review Board approved protocols with informed consent from all participants for research use at Nanfang Hospital, Southern Medical University (approval no. NFEC-2017-050). In total, 437 SM samples within 20 weeks of gestation with array CGH results, and 964 SM samples within 20 weeks of gestation but without array CGH results, were collected between August 2017 and February 2018. The maternal age range was 18–47 years, with a mean of 30 years. Gestational age ranged from 5 to 20 weeks, with a mean of 9 weeks and 2 days. Following collection, SM samples (chorionic or dermal tissue of SM) were rinsed three times in PBS and then stored in 15 ml centrifuge tubes (Corning Inc.) at −20°C until use.

DNA extraction and fragmentation

Genomic DNA was extracted from SM samples using the DNEasy Blood and Tissue kit (Qiagen, GmbH) following the manufacturer's instructions, and stored at −80°C until use. DNA quality was evaluated using a NanoDrop™ spectrophotometer (Thermo Fisher Scientific, Inc.). Genomic DNA was sheared using the M220 instrument (Covaris) and DNA fragments 150–200 bp in length were purified using Agencourt AMPure XP beads (Beckman Coulter, Inc.), quantified using the Qubit® 3.0 fluorometer (Thermo Fisher Scientific, Inc.), and stored at −80°C until use.

DNA library construction and sequencing

Fragmented DNA samples served as input DNA to construct a DNA library for sequencing, using an Ion Plus Fragment Library kit (Thermo Fisher Scientific, Inc.). Agencourt AMPure XP beads (Beckman Coulter, Inc.) were used for purification during library construction. The DNA libraries were quantified using Qubit® 3.0 (Thermo Fisher Scientific, Inc.) and their size distributions were verified using the Agilent High Sensitivity DNA kit on a 2100 Bioanalyzer (Agilent Technologies, Inc.). In total, 15 libraries were pooled and amplified by emulsion PCR using the Ion OneTouch™ 2 system (Thermo Fisher Scientific, Inc.). Template-positive ion sphere particles were enriched using the Ion OneTouch™ ES instrument (Thermo Fisher Scientific, Inc.). The ion sphere particles were immediately loaded onto the ion semiconductor chip, which was placed in an Ion Proton instrument (Thermo Fisher Scientific, Inc.) for sequencing, according to the manufacturer's instructions (300-cycle workflow).

Data analysis

In total, ~5 million raw reads were obtained per sample. The mean length of sequencing reads was ~150 bp. The raw data were aligned to The National Center for Biotechnology Information GRCh37 human reference genome (https://ftp.ncbi.nlm.nih.gov/genomes/refseq/vertebrate_mammalian/Homo_sapiens/all_assembly_versions), and duplicates were identified using the Ion Torrent Server V5.4.11 (Torrent Mapping Alignment Program; Thermo Fisher Scientific, Inc.). Reads that mapped to multiple locations, had duplicate PCR products, or had a mapping quality score <30 were discarded from analysis. Overall, ~75% (3.5 million) of the total reads were unique reads, which were retained. The genome was then partitioned into 50-kb non-overlapping bins, and raw counts were obtained for each bin. After binning, regions with high variability or low ‘mappability’ were excluded. To normalize the raw bin count, GC biases were corrected using Loess regression and principal component analysis (PCA) to remove higher-order artefacts, then divided by the total autosomal sequence length count to obtain genomic representation (GR) values (18). The normalization process was based on previously reported studies (19,20) and was as follows: i) Calibrate clean data to 10 million reads and normalize the read counts in each bin; ii) organize the normalized read counts and the baseline from 200 normal samples (in-house database) into a matrix and carry out PCA; iii) construct linear model by the top 20% principal components and normalized reads count; and iv) changing the residual error to reduce the effect of the data variance on the GR value of the test sample.

The GR values of normal samples were determined using a reference set, which was obtained from 200 healthy men (46, XY) and women (46, XX) (in-house database). To detect microdeletion and microduplication syndromes, the GR value of the test samples was divided by that of the reference set and the ratio was normalized to that of 10 million reads. The circular binary segmentation algorithm of the DNAcopy package in R (version 1.36.0; R Development Core Team) was used to distinguish copy number regions. The z score of each region was calculated using the formula: Z score = (region representation - median population)/MAD population, where region representation corresponds to the GRs of different copy number regions, the median population is the median region representation of all samples, and MAD population is the median absolute deviation of region representations within the reference set. A negative result was defined as a z score <10 and a positive result as a z score ≥10.

Array CGH validation

High-quality (A260/A280 ratio, 1.8:2.0; A260/A230 ratio, >1.0) DNA was labeled and hybridized to the SurePrint G3 Human CGH Microarray 8×60K, consisting of 60,000 oligonucleotides. The whole genome was assayed at a backbone resolution of 200 kb. Slides were then scanned using the Agilent SureScan Microarray scanner. The images were analyzed using Agilent Genomic Workbench V7.0 (all from Agilent Technologies, Inc.).

STR profiling validation by QF-PCR

First, 10–50 ng genomic DNA was amplified using QF-PCR using a thermal cycler. The thermocycling conditions were: 95°C for 5 min, 95°C for 30 sec, followed by 35 cycles at 58°C for 40 sec, 72°C for 50 sec, and finally 10 min at 72°C in a reaction volume of 25 µl. The resulting PCR products were subjected to capillary electrophoretic separation using the ABI3500 Genetic Analyzer (Applied Biosystems; Thermo Fisher Scientific, Inc.). Finally, the data were analyzed using GeneMapper® Analysis V4.1 software (Applied Biosystems; Thermo Fisher Scientific; Inc.).

Results

Method development for the retrospective study

In the retrospective study, a method was developed based on low-coverage NGS to detect CAs in 437 abortion samples. The results obtained using this method presented high concordance with the array CGH results. In total, >1 Mb CNV sequences were detected, and 3.5 million unique sequencing reads were obtained, at a lower cost. Of the 437 samples, 272 (62.2%) had abnormal chromosome numbers, including 195 (44.6%) aneuploidies, of which 156 (80.0%) were trisomies and 34 (17.4%) monosomies. In total, 68 (15.6%) samples were CNVs (size range, 204 kb-147 Mb), among which 56 were >1 Mb and 12 were 0.2–1 Mb in length. In addition, 9 (2.0%) samples were mosaicisms, including five (46, XX/45, X) cases; one (46, XX/47, XX, +21) case, 46, XX/47, XX, +7 (with 50 Mb loss), one (47, XXY/46, XY) case and one (46, XY/47, XY, +8) case. There were 165 (37.8%) euploidy cases (Fig. 1). Furthermore, the most common CA detected among the SM samples was trisomy. In addition, four double aneusomies [(48, XY, +12, +15); (48, XY, +9, +22); (48, XX, +3, +5); (48, XX, +8, +10)] and one case of multiple aneusomy (49, XX, +13, +14, +21) were detected. Table I summarizes the diagnostic performance of the present method for detecting CAs in SM.

Figure 1.

Characteristics of the abortion patients included in the retrospective and prospective studies. STR, short tandem repeat; CGH, comparative genomic hybridization; CNV, copy number variant; Mb, megabase.

Table I.

Diagnostic performance of NGS and identification of chromosomal abnormalities in 437 spontaneous miscarriage samples.

Table I.

Diagnostic performance of NGS and identification of chromosomal abnormalities in 437 spontaneous miscarriage samples.

Sample size, n

AbnormalityNGSArray CGHCF, %
Trisomy156156100.0
Monosomy  34  34100.0
Multiple aneusomies  5  5100.0
Mosaicism  9  9100.0
CNVs  68  74   91.9
Euploidy165159/
Total437437/

[i] NGS, next-generation sequencing; CGH, comparative genomic hybridization; CF, comparative fraction; CNVs, copy number variants.

All semiconductor sequencing platform (SSP) results agreed with those of array CGH, except for six CNVs <1 Mb, which did not present CAs according to the SSP results. We searched for the 12 CNVs 0.2–1 Mb in size detected by array CGH within the Database of Genomic Variants (http://dgv.tcag.ca/dgv/app/home), DECIPHER database (https://decipher.sanger.ac.uk/index), and International Standard Cytogenomic Array database (http://dbsearch.clinicalgenome.org/search). All CNVs were found to be variants of uncertain significance (VOUS, referred to as CNV without further sub-classification).

Prospective study

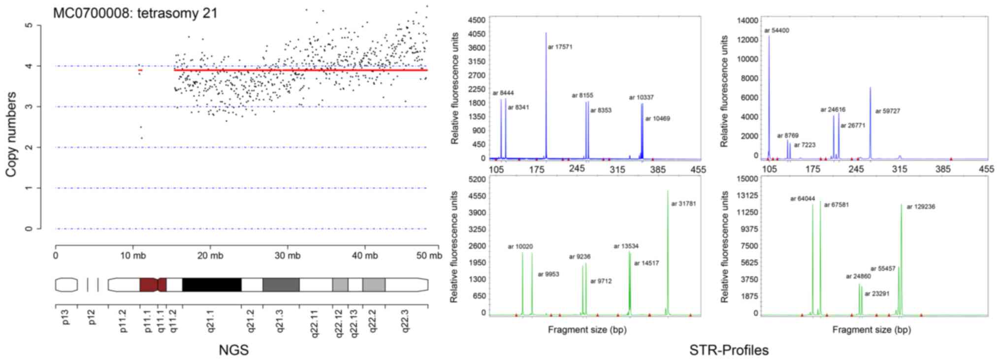
For the prospective study, abortion samples were obtained from 964 patients with SM. Using the present NGS method, 561 (58.2%) abnormal samples were detected, including 341 (35.4%) aneuploidies, 195 (20.2%) CNVs, 25 (2.6%) mosaicisms, and 403 (41.8%) euploidies (Fig. 1). Of the 341 aneuploid samples, T16 was the most common abnormality, followed by T22, T15, T21 and T13. Aneuploidy of chromosomes 1 and 19 was not seen (data not shown). However, one tetrasomy of chromosome 21 was observed using the NGS method and validated by STR profiling with QF-PCR (Fig. 2).

Figure 2.

Tetrasomy 21 detected by low-coverage NGS (left) and confirmed by STR profiling (right). NGS, next-generation sequencing; STR, short tandem repeat; mb, megabase.

Among the 195 CNV cases (size range, 200 kb-96.75 Mb), 64 were >1 Mb and 131 were <1 Mb. Overall, 192 were not associated with any pathology, thus classified as VOUS. The remaining three CNVs comprised a contiguous gene deletion at 4p16.3-p15.33 (9.25 Mb) associated with Wolf-Hirschhorn syndrome (WHS), a microdeletion in chromosome 22q11.21 (1.35 Mb) associated with DiGeorge syndrome (DGS), and a loss-of-function gene located at 15q11.2-q13.1 (5.56 Mb) associated with both Prader-Willi (PW) and Angelman syndrome (AS). These three CNVs were pathogenic and confirmed by array CGH (Fig. 3).

Figure 3.

Chromosome profiles of specific disease-related variants. Only the affected chromosomes associated with each disease are shown. Copy number variants are indicated by black arrows. The left panel shows the results obtained by NGS, and the right panel shows those obtained by array CGH. NGS, next-generation sequencing; CGH, comparative genomic hybridization; chr, chromosome; mb, megabase.

Polyploidy is often observed in SM (21). Since both array CGH and SSPs have a limited ability to detect polyploidies (17), STR profiling using QF-PCR was performed in all samples to identify polyploidies. Overall, nine polyploidies were detected in female euploidy and sex chromosomal abnormalities, including five cases of (69, XXY) triploidy, two cases of (69, XXX) triploidy, one case of (69, XYY) triploidy and one of (92, XXXX) tetraploidy (Fig. 4). These were determined as (47, XXY), (46, XX), (47, XYY) and (46, XX), respectively, using the CNV analysis method based on low-coverage NGS and array CGH (data not shown).

Figure 4.

Validation of the female euploidy and sex chromosomal abnormality samples, as determined by short tandem repeat profiling.

Distribution of CAs among all samples. The 1,401 abortion samples carrying a CA comprised 536 (38.3%) aneuploidies, 263 (18.8%) CNVs, 34 (2.4%) mosaicisms and 568 (40.5%) euploidies (Fig. 1). The most common aneuploidies were T16 (n=101), (45, X) (n=81), T22 (n=66), T15 (n=36), T21 (n=29) and T13 (n=34) (data not shown). Furthermore, two monosomy 21 cases, 27 double aneusomies, two multiple aneusomies, and one tetrasomy 21 case were found.

Discussion

DNA sequencing is widely used in medical research, and many biological problems can only be solved by sequencing technologies (22). Due to its simplicity and rapidity, as well as its high throughput and resolution, NGS also has numerous applications in the clinical setting. For instance, NGS is considered to have clinical utility for the prevention of infectious diseases, noninvasive prenatal diagnosis, identification and diagnosis of genetic disorders, early diagnosis and treatment of cancer and pre-implantation (23–26). In the present study, a novel NGS method was developed for the detection of CAs in SM samples using an SSP, which could reliably and accurately diagnose genetic anomalies commonly associated with CAs. The results suggested that the performance of the present method was equivalent to that of array-based techniques.

Over the last 10 years, array-based methods, such as array CGH and SNP microarray, have become the gold standard for detection of aneuploidies, microdeletions and duplications, allowing high-resolution (0.1 Mb) chromosomal analysis (27). However, array-based methods require large amounts of high-quality DNA and are too expensive for clinical testing of CAs. Compared with these technologies, NGS possesses clear advantages, including a lower requirement for nucleic acids, lower cost and high-throughput capability. More importantly, NGS technology can identify poorly represented DNA sequences missed by array-based methods. Advances in NGS technology have led to its application in CNV analysis. Several comparative studies demonstrated that NGS-based methods were a viable alternative technology to karyotyping and arrays for CA detection (1,12,15,28,29). Previous prospective studies also suggested that NGS-based approaches are sensitive, reliable and accurate when detecting CAs in either SM or pre-natal samples (27,30).

Chromosomal abnormalities are the main genetic causes for SM (3,4). Aneuploidies, polyploidies and CNVs are the most common type of chromosomal abnormalities (6,7). The resolution for CNVs detection is different in pre-natal diagnosis and spontaneous abortion analysis (0.2 and 1 Mb, respectively) (17,27). In the present study, the resolution for CNV detection was set at 1 Mb, because: i) It is generally thought that CNVs >10 Mb are directly associated with SM, 10 Mb > CNVs > 2 Mb recommend to reference the CNV database (31,32); ii) the majority of copy-number polymorphisms are <50 kb (33); and iii) the purpose of present method was to define cost-effective approach for clinical settings in the spontaneous abortions analysis ($100 per sample; 0.25X coverage). A total 437 SM samples were initially screened in a retrospective study, and the detection rates were in accordance with those of array CGH, with the exception of six CNVs <1 Mb that were nonpathogenic repeats. In addition, the present method unambiguously detected aneuploidies, CNVs, and mosaicisms in SM samples, as well as CAs involving several chromosomes. Among the 964 samples analyzed prospectively, 341 aneuploidies were detected, the most common being T16, T22, T15, T21 and T13. Monosomy X was the most prevalent, which was in agreement with the findings of previous studies (34,35). Previous studies indicated that T16, T22, and T15 trisomy in SM samples were associated with high probabilities of fetal death and anomalies, preterm delivery, and intrauterine growth retardation (36). T21, T13 and monosomy X are often seen in SM during the first trimester (37). Only a small portion of such fetuses survive to metaphase and advanced-stage pregnancy. If born, congenital malformations, such as Down's syndrome, Edward's syndrome and Turner's syndrome, may manifest (30). Aneuploidy of chromosomes 1 and 19 is relatively rare (3,38,39). In the present study, one case of tetrasomy 21 was detected. According to the small number of reported cases, tetrasomy 21 is extremely rare in constitutionally normal patients but is seen frequently in patients with acute megakaryoblastic leukemia (40). It was reported that tetrasomy 21 has an association with physical features consistent with Down's syndrome (42). However, of the 195 cases of CNVs in the present study, most were not associated with any pathological disease, with the exception of one case associated with WHS, one with DGS, and another associated with both PW and AS. WHS, DGS and PW or AS can affect some pregnancies, ultimately causing neonatal defects, such as developmental delays, skeletal anomalies, as well as cardiac, neurological and endocrinal abnormalities (43–45).

Neither array CGH nor low-coverage NGS can detect polyploidy. Therefore, supplementary STR profiling was performed, which allowed the identification of nine polyploidy cases in female euploidy and sex CA confirmatory tests. Although rare, polyploidy can cause miscarriage (45,46). Altogether, these validation results suggested that comprehensive experimental results could be achieved by combining STR profiling with the NGS method described in the present study method, as a reliable and accurate approach for the diagnosis CAs associated with miscarriage.

In conclusion, CAs are the most common causes of abortion in SM, with trisomy being the most frequent, followed by CNVs and mosaicisms. In the present study, 565 samples were normal diploids. Early studies have reported that if the cytogenetics were normal, there was an increased risk of the next pregnancy failing (47,48). There are many other causes of SM aside from genetic factors, such as maternal thrombophilic disorders, immune dysfunction and various endocrine dysregulation (49,50). Due to the complexity of SM, studies with larger sample numbers and a variety of detection methods are needed to improve the diagnostic accuracy of spontaneous abortions.

Acknowledgements

Not applicable.

Funding

The present study was supported by The National Natural Science Foundation of China (grant no. 81871177), The Science and Technology Program of Guangzhou (grant nos. 201604020104, 201803040009 and 201500000004-4), and The Science and Technology Program of Guangdong (grant nos. 2019B020208009 and 2018A030313286).

Availability of data and materials

The datasets used and/or analyzed during the current study are available from the corresponding author on reasonable request.

Authors' contributions

XXY designed and supervised the study. FXL and MJX analyzed and interpreted the data and prepared the manuscript. SFQ and YSW designed the study, provided technical support and analyzed the NGS data. FY designed the study and provided samples. DH, LW and ZKL performed experiments, and collected and analyzed the data. All authors read and approved the final version of the manuscript.

Ethics approval and consent to participate

All samples were obtained under protocols approved by the Institutional Review Board at Nanfang Hospital, Southern Medical University (approval no. NFEC-2017-050). Samples were collected for research use with informed consent from all participants.

Patient consent for publication

Not applicable.

Competing interests

The present low-coverage next-generation sequencing assay for the detection of chromosomal abnormalities in spontaneous miscarriage has been patented in China (patent no. ZL 201611028711.5; registration date, 18/11/2016; approval date, 14/06/2019).

References

1 

Liu S, Song L, Cram DS, Xiong L, Wang K, Wu R, Liu J, Deng K, Jia B, Zhong M, et al: Traditional karyotyping vs copy number variation sequencing for detection of chromosomal abnormalities associated with spontaneous miscarriage. Ultrasound Obstet Gynecol. 46:472–477. 2015. View Article : Google Scholar : PubMed/NCBI

2 

van den Berg MM, van Maarle MC, van Wely M and Goddijn M: Genetics of early miscarriage. Biochim Biophys Acta. 1822:1951–1959. 2012. View Article : Google Scholar : PubMed/NCBI

3 

Daniely M, Aviram-Goldring A, Barkai G and Goldman B: Detection of chromosomal aberration in fetuses arising from recurrent spontaneous abortion by comparative genomic hybridization. Hum Reprod. 13:805–809. 1998. View Article : Google Scholar : PubMed/NCBI

4 

Kim JW, Lee WS, Yoon TK, Seok HH, Cho JH, Kim YS, Lyu SW and Shim SH: Chromosomal abnormalities in spontaneous abortion after assisted reproductive treatment. BMC Med Genet. 11:1532010. View Article : Google Scholar : PubMed/NCBI

5 

Lomax B, Tang S, Separovic E, Phillips D, Hillard E, Thomson T and Kalousek DK: Comparative genomic hybridization in combination with flow cytometry improves results of cytogenetic analysis of spontaneous abortions. Am J Hum Genet. 66:1516–1521. 2000. View Article : Google Scholar : PubMed/NCBI

6 

Lathi RB, Gustin SL, Keller J, Maisenbacher MK, Sigurjonsson S, Tao R and Demko Z: Reliability of 46,XX results on miscarriage specimens: A review of 1,222 first-trimester miscarriage specimens. Fertil Steril. 101:178–182. 2014. View Article : Google Scholar : PubMed/NCBI

7 

Schaeffer AJ, Chung J, Heretis K, Wong A, Ledbetter DH and Lese Martin C: Comparative genomic hybridization-array analysis enhances the detection of aneuploidies and submicroscopic imbalances in spontaneous miscarriages. Am J Hum Genet. 74:1168–1174. 2004. View Article : Google Scholar : PubMed/NCBI

8 

Kimberly L, Case A, Cheung AP, Sierra S, AlAsiri S, Carranza-Mamane B, Case A, Dwyer C, Graham J, Havelock J, et al: Advanced reproductive age and fertility: No. 269, November 2011. Int J Gynaecol Obstet. 117:95–102. 2012. View Article : Google Scholar : PubMed/NCBI

9 

Shen J, Wu W, Gao C, Ochin H, Qu D, Xie J, Gao L, Zhou Y, Cui Y and Liu J: Chromosomal copy number analysis on chorionic villus samples from early spontaneous miscarriages by high throughput genetic technology. Mol Cytogenet. 9:72016. View Article : Google Scholar : PubMed/NCBI

10 

Bagheri H, Mercier E, Qiao Y, Stephenson MD and Rajcan-Separovic E: Genomic characteristics of miscarriage copy number variants. Mol Hum Reprod. 21:655–661. 2015. View Article : Google Scholar : PubMed/NCBI

11 

Foyouzi N, Cedars MI and Huddleston HG: Cost-effectiveness of cytogenetic evaluation of products of conception in the patient with a second pregnancy loss. Fertil Steril. 98:151–155. 2012. View Article : Google Scholar : PubMed/NCBI

12 

Liang D, Peng Y, Lv W, Deng L, Zhang Y, Li H, Yang P, Zhang J, Song Z, Xu G, et al: Copy number variation sequencing for comprehensive diagnosis of chromosome disease syndromes. J Mol Diagn. 16:519–526. 2014. View Article : Google Scholar : PubMed/NCBI

13 

Kearney HM, South ST, Wolff DJ, Lamb A, Hamosh A and Rao KW; Working Group of the American College of Medical Genetics, : American College of Medical Genetics recommendations for the design and performance expectations for clinical genomic copy number microarrays intended for use in the postnatal setting for detection of constitutional abnormalities. Genet Med. 13:676–679. 2011. View Article : Google Scholar : PubMed/NCBI

14 

Shaffer LG and Rosenfeld JA: Microarray-based prenatal diagnosis for the identification of fetal chromosome abnormalities. Expert Rev Mol Diagn. 13:601–611. 2013. View Article : Google Scholar : PubMed/NCBI

15 

Wang MZ, Lin FQ, Li M, He D, Yu QH, Yang XX and Wu YS: Semiconductor Sequencing Analysis of Chromosomal Copy Number Variations in Spontaneous Miscarriage. Med Sci Monit. 23:5550–5557. 2017. View Article : Google Scholar : PubMed/NCBI

16 

Wen J, Hanna CW, Martell S, Leung PC, Lewis SM, Robinson WP, Stephenson MD and Rajcan-Separovic E: Functional consequences of copy number variants in miscarriage. Mol Cytogenet. 8:62015. View Article : Google Scholar : PubMed/NCBI

17 

Wang H, Dong Z, Zhang R, Chau MHK, Yang Z, Tsang KYC, Wong HK, Gui B, Meng Z, Xiao K, et al: Low-pass genome sequencing versus chromosomal microarray analysis: Implementation in prenatal diagnosis. Genet Med. 22:500–510. 2020. View Article : Google Scholar : PubMed/NCBI

18 

Chiu RW, Chan KC, Gao Y, Lau VY, Zheng W, Leung TY, Foo CH, Xie B, Tsui NB, Lun FM, et al: Noninvasive prenatal diagnosis of fetal chromosomal aneuploidy by massively parallel genomic sequencing of DNA in maternal plasma. Proc Natl Acad Sci USA. 105:20458–20463. 2008. View Article : Google Scholar : PubMed/NCBI

19 

Li X, Chen S, Xie W, Vogel I, Choy KW, Chen F, Christensen R, Zhang C, Ge H, Jiang H, et al: PSCC: Sensitive and reliable population-scale copy number variation detection method based on low coverage sequencing. PLoS One. 9:e850962014. View Article : Google Scholar : PubMed/NCBI

20 

Szatkiewicz JP, Wang W, Sullivan PF, Wang W and Sun W: Improving detection of copy-number variation by simultaneous bias correction and read-depth segmentation. Nucleic Acids Res. 41:1519–1532. 2013. View Article : Google Scholar : PubMed/NCBI

21 

Menasha J, Levy B, Hirschhorn K and Kardon NB: Incidence and spectrum of chromosome abnormalities in spontaneous abortions: New insights from a 12-year study. Genet Med. 7:251–263. 2005. View Article : Google Scholar : PubMed/NCBI

22 

Levy SE and Myers RM: Advancements in Next-Generation Sequencing. Annu Rev Genomics Hum Genet. 17:95–115. 2016. View Article : Google Scholar : PubMed/NCBI

23 

Gu W, Miller S and Chiu CY: Clinical Metagenomic Next-Generation Sequencing for Pathogen Detection. Annu Rev Pathol. 14:319–338. 2019. View Article : Google Scholar : PubMed/NCBI

24 

Bianchi DW, Parker RL, Wentworth J, Madankumar R, Saffer C, Das AF, Craig JA, Chudova DI, Devers PL, Jones KW, et al CARE Study Group, : DNA sequencing versus standard prenatal aneuploidy screening. N Engl J Med. 370:799–808. 2014. View Article : Google Scholar : PubMed/NCBI

25 

Zhang J, Li J, Saucier JB, Feng Y, Jiang Y, Sinson J, McCombs AK, Schmitt ES, Peacock S, Chen S, et al: Non-invasive prenatal sequencing for multiple Mendelian monogenic disorders using circulating cell-free fetal DNA. Nat Med. 25:439–447. 2019. View Article : Google Scholar : PubMed/NCBI

26 

Chen M and Zhao H: Next-generation sequencing in liquid biopsy: Cancer screening and early detection. Hum Genomics. 13:342019. View Article : Google Scholar : PubMed/NCBI

27 

Dong Z, Zhang J, Hu P, Chen H, Xu J, Tian Q, Meng L, Ye Y, Wang J, Zhang M, et al: Low-pass whole-genome sequencing in clinical cytogenetics: A validated approach. Genet Med. 18:940–948. 2016. View Article : Google Scholar : PubMed/NCBI

28 

Duan J, Zhang JG, Deng HW and Wang YP: Comparative studies of copy number variation detection methods for next-generation sequencing technologies. PLoS One. 8:e591282013. View Article : Google Scholar : PubMed/NCBI

29 

Luthra R, Chen H, Roy-Chowdhuri S and Singh RR: Next-Generation Sequencing in Clinical Molecular Diagnostics of Cancer: Advantages and Challenges. Cancers (Basel). 7:2023–2036. 2015. View Article : Google Scholar : PubMed/NCBI

30 

Wang J, Chen L, Zhou C, Wang L, Xie H, Xiao Y, Zhu H, Hu T, Zhang Z, Zhu Q, et al: Prospective chromosome analysis of 3429 amniocentesis samples in China using copy number variation sequencing. Am J Obstet Gynecol. 219:287.e1–287.e18. 2018. View Article : Google Scholar

31 

South ST, Lee C, Lamb AN, Higgins AW and Kearney HM; Working Group for the American College of Medical Genetics and Genomics Laboratory Quality Assurance Committee, : ACMG Standards and Guidelines for constitutional cytogenomic microarray analysis, including postnatal and prenatal applications: Revision 2013. Genet Med. 15:901–909. 2013. View Article : Google Scholar : PubMed/NCBI

32 

Kearney HM, Thorland EC, Brown KK, Quintero-Rivera F and South ST; Working Group of the American College of Medical Genetics Laboratory Quality Assurance Committee, : American College of Medical Genetics standards and guidelines for interpretation and reporting of postnatal constitutional copy number variants. Genet Med. 13:680–685. 2011. View Article : Google Scholar : PubMed/NCBI

33 

33. Brothman AR, Dolan MM, Goodman BK, Park JP, Persons DL, Saxe DF, Tepperberg JH, Tsuchiya KD, Van Dyke DL, Wilson KS, et al: College of American Pathologists/American College of Medical Genetics proficiency testing for constitutional cytogenomic microarray analysis. Genet Med. 13:765–769. 2011. View Article : Google Scholar : PubMed/NCBI

34 

Du Y, Chen L, Lin J, Zhu J, Zhang N, Qiu X, Li D and Wang L: Chromosomal karyotype in chorionic villi of recurrent spontaneous abortion patients. Biosci Trends. 12:32–39. 2018. View Article : Google Scholar : PubMed/NCBI

35 

Yuan SM, Liao C, Li DZ, Huang JZ, Hu SY, Ke M, Zhong HZ and Yi CX: Chorionic villus cell culture and karyotype analysis in 1,983 cases of spontaneous miscarriage. Zhonghua Fu Chan Ke Za Zhi. 52:461–466. 2017.(In Chinese). PubMed/NCBI

36 

Benn P: Trisomy 16 and trisomy 16 Mosaicism: A review. Am J Med Genet. 79:121–133. 1998. View Article : Google Scholar : PubMed/NCBI

37 

Wapner RJ, Martin CL, Levy B, Ballif BC, Eng CM, Zachary JM, Savage M, Platt LD, Saltzman D, Grobman WA, et al: Chromosomal microarray versus karyotyping for prenatal diagnosis. N Engl J Med. 367:2175–2184. 2012. View Article : Google Scholar : PubMed/NCBI

38 

Hanna JS, Shires P and Matile G: Trisomy 1 in a clinically recognized pregnancy. Am J Med Genet. 68:981997. View Article : Google Scholar : PubMed/NCBI

39 

Dunn TM, Grunfeld L and Kardon NB: Trisomy 1 in a clinically recognized IVF pregnancy. Am J Med Genet. 99:152–153. 2001. View Article : Google Scholar : PubMed/NCBI

40 

Ohsaka A, Hisa T, Watanabe N, Kojima H and Nagasawa T: Tetrasomy 21 as a sole chromosome abnormality in acute myeloid leukemia. fluorescence in situ hybridization and spectral karyotyping analyses. Cancer Genet Cytogenet. 134:60–64. 2002. View Article : Google Scholar : PubMed/NCBI

41 

Slavotinek AM, Chen XN, Jackson A, Gaunt L, Campbell A, Clayton-Smith J and Korenberg JR: Partial tetrasomy 21 in a male infant. J Med Genet. 37:E302000. View Article : Google Scholar : PubMed/NCBI

42 

Alkan G, Emiroglu MK and Kartal A: DiGeorge Syndrome with Sacral Myelomeningocele and Epilepsy. J Pediatr Neurosci. 12:344–345. 2017. View Article : Google Scholar : PubMed/NCBI

43 

Siew JX and Yap F: Growth trajectory and pubertal tempo from birth till final height in a girl with Wolf-Hirschhorn syndrome. Endocrinol Diabetes Metab Case Rep. 2018:18–0001. 2018.PubMed/NCBI

44 

Warner ME, Martin DP, Warner MA, Gavrilova RH, Sprung J and Weingarten TN: Anesthetic Considerations for Angelman Syndrome: Case Series and Review of the Literature. Anesth Pain Med. 7:e578262017. View Article : Google Scholar : PubMed/NCBI

45 

Hyde KJ and Schust DJ: Genetic considerations in recurrent pregnancy loss. Cold Spring Harb Perspect Med. 5:a0231192015. View Article : Google Scholar : PubMed/NCBI

46 

Rull K, Nagirnaja L and Laan M: Genetics of recurrent miscarriage: Challenges, current knowledge, future directions. Front Genet. 3:342012. View Article : Google Scholar : PubMed/NCBI

47 

Ogasawara M, Aoki K, Okada S and Suzumori K: Embryonic karyotype of abortuses in relation to the number of previous miscarriages. Fertil Steril. 73:300–304. 2000. View Article : Google Scholar : PubMed/NCBI

48 

Sullivan AE, Silver RM, LaCoursiere DY, Porter TF and Branch DW: Recurrent fetal aneuploidy and recurrent miscarriage. Obstet Gynecol. 104:784–788. 2004. View Article : Google Scholar : PubMed/NCBI

49 

Larsen EC, Christiansen OB, Kolte AM and Macklon N: New insights into mechanisms behind miscarriage. BMC Med. 11:1542013. View Article : Google Scholar : PubMed/NCBI

50 

Sugiura-Ogasawara M, Ozaki Y, Katano K, Suzumori N, Kitaori T and Mizutani E: Abnormal embryonic karyotype is the most frequent cause of recurrent miscarriage. Hum Reprod. 27:2297–2303. 2012. View Article : Google Scholar : PubMed/NCBI

Related Articles

  • Abstract
  • View
  • Download
  • Twitter
Copy and paste a formatted citation
Spandidos Publications style
Li FX, Xie MJ, Qu SF, He D, Wu L, Liang ZK, Wu YS, Yang F and Yang XX: Detection of chromosomal abnormalities in spontaneous miscarriage by low‑coverage next‑generation sequencing. Mol Med Rep 22: 1269-1276, 2020.
APA
Li, F., Xie, M., Qu, S., He, D., Wu, L., Liang, Z. ... Yang, X. (2020). Detection of chromosomal abnormalities in spontaneous miscarriage by low‑coverage next‑generation sequencing. Molecular Medicine Reports, 22, 1269-1276. https://doi.org/10.3892/mmr.2020.11208
MLA
Li, F., Xie, M., Qu, S., He, D., Wu, L., Liang, Z., Wu, Y., Yang, F., Yang, X."Detection of chromosomal abnormalities in spontaneous miscarriage by low‑coverage next‑generation sequencing". Molecular Medicine Reports 22.2 (2020): 1269-1276.
Chicago
Li, F., Xie, M., Qu, S., He, D., Wu, L., Liang, Z., Wu, Y., Yang, F., Yang, X."Detection of chromosomal abnormalities in spontaneous miscarriage by low‑coverage next‑generation sequencing". Molecular Medicine Reports 22, no. 2 (2020): 1269-1276. https://doi.org/10.3892/mmr.2020.11208
Copy and paste a formatted citation
x
Spandidos Publications style
Li FX, Xie MJ, Qu SF, He D, Wu L, Liang ZK, Wu YS, Yang F and Yang XX: Detection of chromosomal abnormalities in spontaneous miscarriage by low‑coverage next‑generation sequencing. Mol Med Rep 22: 1269-1276, 2020.
APA
Li, F., Xie, M., Qu, S., He, D., Wu, L., Liang, Z. ... Yang, X. (2020). Detection of chromosomal abnormalities in spontaneous miscarriage by low‑coverage next‑generation sequencing. Molecular Medicine Reports, 22, 1269-1276. https://doi.org/10.3892/mmr.2020.11208
MLA
Li, F., Xie, M., Qu, S., He, D., Wu, L., Liang, Z., Wu, Y., Yang, F., Yang, X."Detection of chromosomal abnormalities in spontaneous miscarriage by low‑coverage next‑generation sequencing". Molecular Medicine Reports 22.2 (2020): 1269-1276.
Chicago
Li, F., Xie, M., Qu, S., He, D., Wu, L., Liang, Z., Wu, Y., Yang, F., Yang, X."Detection of chromosomal abnormalities in spontaneous miscarriage by low‑coverage next‑generation sequencing". Molecular Medicine Reports 22, no. 2 (2020): 1269-1276. https://doi.org/10.3892/mmr.2020.11208
Follow us
  • Twitter
  • LinkedIn
  • Facebook
About
  • Spandidos Publications
  • Careers
  • Cookie Policy
  • Privacy Policy
How can we help?
  • Help
  • Live Chat
  • Contact
  • Email to our Support Team