Spandidos Publications Logo
  • About
    • About Spandidos
    • Aims and Scopes
    • Abstracting and Indexing
    • Editorial Policies
    • Reprints and Permissions
    • Job Opportunities
    • Terms and Conditions
    • Contact
  • Journals
    • All Journals
    • Oncology Letters
      • Oncology Letters
      • Information for Authors
      • Editorial Policies
      • Editorial Board
      • Aims and Scope
      • Abstracting and Indexing
      • Bibliographic Information
      • Archive
    • International Journal of Oncology
      • International Journal of Oncology
      • Information for Authors
      • Editorial Policies
      • Editorial Board
      • Aims and Scope
      • Abstracting and Indexing
      • Bibliographic Information
      • Archive
    • Molecular and Clinical Oncology
      • Molecular and Clinical Oncology
      • Information for Authors
      • Editorial Policies
      • Editorial Board
      • Aims and Scope
      • Abstracting and Indexing
      • Bibliographic Information
      • Archive
    • Experimental and Therapeutic Medicine
      • Experimental and Therapeutic Medicine
      • Information for Authors
      • Editorial Policies
      • Editorial Board
      • Aims and Scope
      • Abstracting and Indexing
      • Bibliographic Information
      • Archive
    • International Journal of Molecular Medicine
      • International Journal of Molecular Medicine
      • Information for Authors
      • Editorial Policies
      • Editorial Board
      • Aims and Scope
      • Abstracting and Indexing
      • Bibliographic Information
      • Archive
    • Biomedical Reports
      • Biomedical Reports
      • Information for Authors
      • Editorial Policies
      • Editorial Board
      • Aims and Scope
      • Abstracting and Indexing
      • Bibliographic Information
      • Archive
    • Oncology Reports
      • Oncology Reports
      • Information for Authors
      • Editorial Policies
      • Editorial Board
      • Aims and Scope
      • Abstracting and Indexing
      • Bibliographic Information
      • Archive
    • Molecular Medicine Reports
      • Molecular Medicine Reports
      • Information for Authors
      • Editorial Policies
      • Editorial Board
      • Aims and Scope
      • Abstracting and Indexing
      • Bibliographic Information
      • Archive
    • World Academy of Sciences Journal
      • World Academy of Sciences Journal
      • Information for Authors
      • Editorial Policies
      • Editorial Board
      • Aims and Scope
      • Abstracting and Indexing
      • Bibliographic Information
      • Archive
    • International Journal of Functional Nutrition
      • International Journal of Functional Nutrition
      • Information for Authors
      • Editorial Policies
      • Editorial Board
      • Aims and Scope
      • Abstracting and Indexing
      • Bibliographic Information
      • Archive
    • International Journal of Epigenetics
      • International Journal of Epigenetics
      • Information for Authors
      • Editorial Policies
      • Editorial Board
      • Aims and Scope
      • Abstracting and Indexing
      • Bibliographic Information
      • Archive
    • Medicine International
      • Medicine International
      • Information for Authors
      • Editorial Policies
      • Editorial Board
      • Aims and Scope
      • Abstracting and Indexing
      • Bibliographic Information
      • Archive
  • Articles
  • Information
    • Information for Authors
    • Information for Reviewers
    • Information for Librarians
    • Information for Advertisers
    • Conferences
  • Language Editing
Spandidos Publications Logo
  • About
    • About Spandidos
    • Aims and Scopes
    • Abstracting and Indexing
    • Editorial Policies
    • Reprints and Permissions
    • Job Opportunities
    • Terms and Conditions
    • Contact
  • Journals
    • All Journals
    • Biomedical Reports
      • Information for Authors
      • Editorial Policies
      • Editorial Board
      • Aims and Scope
      • Abstracting and Indexing
      • Bibliographic Information
      • Archive
    • Experimental and Therapeutic Medicine
      • Information for Authors
      • Editorial Policies
      • Editorial Board
      • Aims and Scope
      • Abstracting and Indexing
      • Bibliographic Information
      • Archive
    • International Journal of Epigenetics
      • Information for Authors
      • Editorial Policies
      • Editorial Board
      • Aims and Scope
      • Abstracting and Indexing
      • Bibliographic Information
      • Archive
    • International Journal of Functional Nutrition
      • Information for Authors
      • Editorial Policies
      • Editorial Board
      • Aims and Scope
      • Abstracting and Indexing
      • Bibliographic Information
      • Archive
    • International Journal of Molecular Medicine
      • Information for Authors
      • Editorial Policies
      • Editorial Board
      • Aims and Scope
      • Abstracting and Indexing
      • Bibliographic Information
      • Archive
    • International Journal of Oncology
      • Information for Authors
      • Editorial Policies
      • Editorial Board
      • Aims and Scope
      • Abstracting and Indexing
      • Bibliographic Information
      • Archive
    • Medicine International
      • Information for Authors
      • Editorial Policies
      • Editorial Board
      • Aims and Scope
      • Abstracting and Indexing
      • Bibliographic Information
      • Archive
    • Molecular and Clinical Oncology
      • Information for Authors
      • Editorial Policies
      • Editorial Board
      • Aims and Scope
      • Abstracting and Indexing
      • Bibliographic Information
      • Archive
    • Molecular Medicine Reports
      • Information for Authors
      • Editorial Policies
      • Editorial Board
      • Aims and Scope
      • Abstracting and Indexing
      • Bibliographic Information
      • Archive
    • Oncology Letters
      • Information for Authors
      • Editorial Policies
      • Editorial Board
      • Aims and Scope
      • Abstracting and Indexing
      • Bibliographic Information
      • Archive
    • Oncology Reports
      • Information for Authors
      • Editorial Policies
      • Editorial Board
      • Aims and Scope
      • Abstracting and Indexing
      • Bibliographic Information
      • Archive
    • World Academy of Sciences Journal
      • Information for Authors
      • Editorial Policies
      • Editorial Board
      • Aims and Scope
      • Abstracting and Indexing
      • Bibliographic Information
      • Archive
  • Articles
  • Information
    • For Authors
    • For Reviewers
    • For Librarians
    • For Advertisers
    • Conferences
  • Language Editing
Login Register Submit
  • This site uses cookies
  • You can change your cookie settings at any time by following the instructions in our Cookie Policy. To find out more, you may read our Privacy Policy.

    I agree
Search articles by DOI, keyword, author or affiliation
Search
Advanced Search
presentation
Molecular Medicine Reports
Join Editorial Board Propose a Special Issue
Print ISSN: 1791-2997 Online ISSN: 1791-3004
Journal Cover
October-2020 Volume 22 Issue 4

Full Size Image

Sign up for eToc alerts
Recommend to Library

Journals

International Journal of Molecular Medicine

International Journal of Molecular Medicine

International Journal of Molecular Medicine is an international journal devoted to molecular mechanisms of human disease.

International Journal of Oncology

International Journal of Oncology

International Journal of Oncology is an international journal devoted to oncology research and cancer treatment.

Molecular Medicine Reports

Molecular Medicine Reports

Covers molecular medicine topics such as pharmacology, pathology, genetics, neuroscience, infectious diseases, molecular cardiology, and molecular surgery.

Oncology Reports

Oncology Reports

Oncology Reports is an international journal devoted to fundamental and applied research in Oncology.

Experimental and Therapeutic Medicine

Experimental and Therapeutic Medicine

Experimental and Therapeutic Medicine is an international journal devoted to laboratory and clinical medicine.

Oncology Letters

Oncology Letters

Oncology Letters is an international journal devoted to Experimental and Clinical Oncology.

Biomedical Reports

Biomedical Reports

Explores a wide range of biological and medical fields, including pharmacology, genetics, microbiology, neuroscience, and molecular cardiology.

Molecular and Clinical Oncology

Molecular and Clinical Oncology

International journal addressing all aspects of oncology research, from tumorigenesis and oncogenes to chemotherapy and metastasis.

World Academy of Sciences Journal

World Academy of Sciences Journal

Multidisciplinary open-access journal spanning biochemistry, genetics, neuroscience, environmental health, and synthetic biology.

International Journal of Functional Nutrition

International Journal of Functional Nutrition

Open-access journal combining biochemistry, pharmacology, immunology, and genetics to advance health through functional nutrition.

International Journal of Epigenetics

International Journal of Epigenetics

Publishes open-access research on using epigenetics to advance understanding and treatment of human disease.

Medicine International

Medicine International

An International Open Access Journal Devoted to General Medicine.

Journal Cover
October-2020 Volume 22 Issue 4

Full Size Image

Sign up for eToc alerts
Recommend to Library

  • Article
  • Citations
    • Cite This Article
    • Download Citation
    • Create Citation Alert
    • Remove Citation Alert
    • Cited By
  • Similar Articles
    • Related Articles (in Spandidos Publications)
    • Similar Articles (Google Scholar)
    • Similar Articles (PubMed)
  • Download PDF
  • Download XML
  • View XML
Article Open Access

Potential hazardous effects of printing room PM2.5 exposure include promotion of lung inflammation and subsequent injury

  • Authors:
    • Changwei Zou
    • Hong Yang
    • Lanyue Cui
    • Xinyi Cao
    • Hong Huang
    • Tingtao Chen
  • View Affiliations / Copyright

    Affiliations: School of Resources Environmental and Chemical Engineering, Key Laboratory of Poyang Lake Environment and Resource Utilization, Ministry of Education, Nanchang University, Nanchang, Jiangxi 330031, P.R. China, Nanchang University Queen Mary School, Nanchang, Jiangxi 330031, P.R. China, National Engineering Research Center for Bioengineering Drugs and The Technologies, Institute of Translational Medicine, Nanchang University, Nanchang, Jiangxi 330031, P.R. China
    Copyright: © Zou et al. This is an open access article distributed under the terms of Creative Commons Attribution License.
  • Pages: 3213-3224
    |
    Published online on: July 31, 2020
       https://doi.org/10.3892/mmr.2020.11399
  • Expand metrics +
Metrics: Total Views: 0 (Spandidos Publications: | PMC Statistics: )
Metrics: Total PDF Downloads: 0 (Spandidos Publications: | PMC Statistics: )
Cited By (CrossRef): 0 citations Loading Articles...

This article is mentioned in:



Abstract

There have been few studies investigating the potential effects of indoor sources of particulate matter on human health. In this study, the effect of different concentrations of fine particulate matter (PM2.5) collected from a printing room on lung health was examined using cultured cells and a mouse model. Further, the mechanism of lung injury was examined. The results indicated that PM2.5 significantly enhanced malondialdehyde activity (P<0.05), decreased superoxide dismutase activity (P<0.05), upregulated the expression of pro‑inflammatory factors including interleukin (IL)‑1β, tumor necrosis factor‑, IL‑6 and downregulated the expression of the inflammatory factor IL‑2 (P<0.05). Western blot analysis indicated that PM2.5 significantly enhanced expression of phosphorylated (p)‑ERK relative to total ERK, cyclooxygenase‑2, p‑anti‑nuclear‑factor‑κB (p‑NF‑κB) relative to NF‑κB, transforming growth factor‑β1 and Bax relative to Bcl‑2 in inflammation (P<0.05), fibrosis and apoptosis signaling pathways. Furthermore, the results revealed that exposure was associated with an increased abundance of pathogens including Burkholderiales, Coriobacteriia, and Betaproteobacteria in in the lungs. In conclusion, exposure to PM2.5 from a printing room significantly increased inflammation, fibrosis, apoptosis and the abundance of pathogenic bacteria, indicating that exposure is potential threat to individuals who spend a significant amount of time in printing rooms.

Introduction

Previous epidemiological studies have shown that air pollution is associated with increased morbidity and mortality worldwide (1), and the total global mortality caused by PM2.5 is ~7.6% (2). Outdoor air pollution has been extensively studied, while little work has been performed to evaluate the potential risk of exposure to the indoor environment with regards to human health. Studies have indicated that individuals spend ~90% of the time indoors (3). Therefore, it is important to evaluate the potential effects of indoor air pollution exposure on human health.

Indoor emission sources generate a variety of air pollutants. For instance, indoor cooking can generate airborne particulate matter (PM), carbon dioxide (CO2), black carbon, polycyclic aromatic hydrocarbons (PAH), formaldehyde and nitrogen oxide, all of which have the potential to cause respiratory diseases (4–6). Moreover, cooking oil fumes enhance the generation of secondary fine particulate matter (PM2.5), which contain various organic compounds and hazardous chemicals, including metals, PAHs, carbonyl compositions, benzene and quinines, and PM and PM2.5 are present at higher concentrations and durations indoors compared with outdoor environmental fine particulate matter (7).

Currently, printers are widely and frequently used, and the printing room has become a source of PM2.5 emission and represents a potential health hazard (8). Previous studies have shown that toners used in printers contain metal carbon nanotubes made of iron oxide, titanium dioxide and other metal oxides, which are released into the air along with printer emitted particles (PEPs) (9). PEPs are potentially hazardous to individuals who spend a lot of time in the printing room (10). As early as 1979, studies have been performed, which indicated that long-term use of wet toner causes eye itching and skin redness in post office staff (11). Moreover, serious diseases like pneumoconiosis (12), thrombus (13) and peritoneal deposition of carbon nanoparticles (14) may occur in individuals subjected to long-term particulate exposure.

PM2.5, which are atmospheric PM with a diameter <2.5 µm, are composed of biological components, particles, PAHs, organic carbon, elemental carbon, inorganic water-soluble ions and heavy metals (15). In recent years, due to its adverse effects on the climate, environment and health, PM2.5 has attracted attention and extensive research examining its effects have been performed (16). Research has indicated that the PM2.5 is harmful to the respiratory system, since it accumulates in lung tissue and stimulates alveoli (17). In addition, toxic substances in PM2.5 can harm the human respiratory system and immune response, which both cause health problems (17). The lung is the main organ of the respiratory system, which is sensitive to the harmful effects of PM2.5. Toxicological evidence has indicated that PM2.5 exposure induced lung injury, alveoli collapse and inflammatory response (18). Previous work in our lab revealed differences between chemical components associated with indoor PM2.5 derived from printer functioning and outdoor PM2.5, and chemical components, such as water-soluble particles, were increased indoors compared with the outdoors (19,20). The main emission characteristics of PM2.5 produced throughout the printing process are as follows: i) The primary emission rate of PM2.5 under working printer conditions is 1.70-2.62 mg/h; ii) working conditions of some printers result in direct discharge of fine and ultrafine particles (particle size is mainly distributed between 10 nm-1 µm) and iii) in addition to releasing primary particles throughout printer functioning, volatile organic compounds are released, which generate secondary organic aerosols in the printing room (data not yet published). Therefore, to understand the effects of exposure to PM2.5 collected from printing rooms, pulmonary injury both in vitro and in vivo were examined using molecular biology, histology, proteomics and high-throughput sequencing techniques.

Materials and methods

Collection of PM2.5 from a printing room

PM2.5 samples were collected from a printing room in the School of Resources Environmental & Chemical Engineering at Nanchang University (Nanchang, China). Middle-volume samplers using a flow rate of 100 l/min (Wuhan Tianhong Environmental Protection Industry Co., Ltd.; http://www.thyb.cn/index.html.) were used. PM2.5 collected on a glass fiber filter (90 mm; Shanghai Lanhua Scientific Instrument Co., Ltd.; http://www.instrument.com.cn/netshow/SH103948/) were diluted with double distilled water, ultrasonically shaken, filtered using 6–8 layers of gauze to remove debris and stored at −80°C (Thermo Fisher Scientific, Inc.) for 48 h. Finally, a vacuum freeze dryer was used to produce dry, powdered particles.

Cell types and culture conditions

Human bronchial epithelial (HBE) cells and human umbilical vein endothelial cells (HUVECs) were provided by The Cell Bank of Type Culture Collection of the Chinese Academy of Sciences. HUVECs were cultured in DMEM (HyClone; Cytiva) supplemented with 10% FBS (HyClone; Cytiva). HBE cells were cultured in RPMI-1640 medium (Genaxxon Bioscience GmbH) supplemented with 10% FBS. Both cell types were cultured in an incubator supplied with 5% CO2 at 37°C. Four groups of cells were cultured to compare and study the toxic effects of different concentrations of PM2.5. These four groups were: i) Cells cultured with 100 µl PBS (C group); ii) cells cultured with 5 µg/ml PM2.5 suspension (PRL group); iii) cells cultured with 10 µg/ml PM2.5 suspension (PRM group) and iv) cells cultured with 15 µg/ml PM2.5 suspension (PRH group).

Cell treatment

When cells reached 70–80% confluence, different concentrations of PM2.5 were co-cultured in HUVECs and HBE cells. Subsequently, commercially available Cell Counting Kit-8 (cat. no. G021-1-1), superoxide dismutase (SOD; cat. no. A001-3-2) and malondialdehyde (MDA; cat. no. A003-1-2) kits (all purchased from Nanjing Jiancheng Bioengineering Institute and were used according to the manufacturer's instructions) were used to evaluate the effects of PM2.5 on cell viability, intracellular SOD activity and MDA content.

To study the effects of the three different concentrations of PM2.5 on cytokine production, an ELISA kit (all purchased from Beijing 4A Biotech Co., Ltd.) was used to measure levels of interleukin IL-6 (cat. no. CME0006; sensitivity range: 7.8–500 pg/ml; concentrations used to create a calibration curve: 500, 250, 125, 62.5, 31.2, 15.6, 7.8 and 0 pg/ml), IL-2 (cat. no. CME0001; sensitivity range: 15.6-1,000 pg/ml; concentrations used to create a calibration curve: 1,000, 500, 250, 125, 62.5, 31.2, 15.6 and 0 pg/ml), tumor necrosis factor-α (TNF-α; cat. no. CME0004; sensitivity range: 7.8–500 pg/ml; concentrations used to create a calibration curve: 500, 250, 125, 62.5, 31.2, 15.6, 7.8 and 0 pg/ml) and IL-1β (cat. no. CME0015; sensitivity range: 31.25-2,000 pg/ml; concentrations used to create a calibration curve: 2000, 1000, 500, 250, 125, 62.5, 31.2 and 0 pg/ml) in accordance with the manufacturer's instructions.

Western blot analysis

Samples were lysed with RIPA buffer (Beijing Solarbio Science & Technology Co., Ltd.) and protease inhibitors, and the supernatant of each lysate was obtained via centrifugation at 12,000 × g for 10 min at 4°C after fragmented on ice. The protein concentration was determined with the BCA kit (cat. no. 23225; Thermo Fisher Scientific, Inc.). Proteins were separated via 10% SDS-PAGE, transferred to nitrocellulose membranes (the mass of protein loaded per lane was 30 µg), and blocked using 8% BSA (Beijing Solarbio Science & Technology Co., Ltd.) in Tris-buffered saline-Tween-20 (1% TBS-T) for 1.5 h at room temperature. Subsequently, membranes and primary antibodies were incubated overnight at 4°C, washed with TBS-T and incubated with appropriate quantities of horseradish peroxidase-conjugated secondary antibodies (1:2,000; cat. no. 7076; Cell Signaling Technology, Inc.) for another 1.5 h at room temperature. Subsequently, DAB (cat. no. 34577; Thermo Fisher Scientific, Inc.) was then used to detect the proteins and the band density was determined using ImageJ (version 2.1.0; National Institutes of Health) software. The expression levels were normalized against the housekeeping gene of actin. Antibodies used included β-actin (1:10,000; cat. no. 60008-1-lg; ProteinTech Group, Inc.), Bax (1:2,500; cat. no. 50599-2-lg; ProteinTech Group, Inc.), Bcl-2 (1:1,000; cat. no. 12789-1-AP; ProteinTech Group, Inc.), transforming growth factor-β1 (TGF-β1; 1:2,000; cat. no. 21898-4-AP; ProteinTech Group, Inc.), ERK (1:2,000; cat. no. 16443-1-AP; ProteinTech Group, Inc.), phosphorylated (p)-ERK (1:1,000; cat. no. AF1015; Affinity Biosciences), cyclooxygenase-2 (COX2; 1:1,000; cat. no. 12375-1-AP; ProteinTech Group, Inc.), NF-κB (p65; 1:2,000; cat. no. 10745-1-AP; ProteinTech Group, Inc.) and p-NF-κB (p-p65; 1:1,000; cat. no. bs0982R; BIOSS).

Animals and treatments

In total, 48 male C57BL/6 mice (age, 8 weeks; weight, 25–30 g) were purchased from Hunan SJA Laboratory Animal Co., Ltd. (http://hnslk.mfqyw.com/) and housed in cages in the Institute of Translational Medicine of Nanchang University using standard conditions (humidity 51±13%, temperature 23±3°C, 12/12-h light-dark cycle). Each mouse was distinguished via ear piercing (a loophole in the front, middle and rear of the margin of the left ear represented numbers 1, 2 and 3, respectively, and a loophole in the front, middle and rear of the margin of the right ear represented numbers 4, 5 and 6, respectively). Subsequently, mice were randomly divided into four groups as follows: The first group, mice treated with PBS (C group, n=12); The second group, mice given a 5 µg/g PM2.5 suspension on days 1 and 3 via tracheal perfusion (PRL group, n=12); The third group, mice given a 10 µg/g PM2.5 suspension on days 1 and 3 via tracheal perfusion (PRM group, n=12) and the fourth group, mice given a 15 µg/g PM2.5 suspension on days 1 and 3 via tracheal perfusion (PRH group, n=12). On day 4, 100 µl serum was collected via tail vein blood collection after mice were anesthetized with 1% pentobarbital sodium solution (40 mg/kg), then mice were sacrificed and the lung tissue were collected and stored at −80°C for use in subsequent experiments. The concentrations of PM2.5 used in the present study were determined via referencing previous studies (21,22) and the present pre-experimental results (date not shown). The present study was approved by the Ethical Committee of the Second Affiliated Hospital of Nanchang University, and all experiments were performed in accordance with approved guidelines (The Guide for Care and Use of Laboratory Animals; National Institutes of Health publication no. 85–23) (23).

Reverse transcription-quantitative PCR (RT-qPCR)

Total RNA was extracted from lung tissue using TRIzol® reagent (Invitrogen; Thermo Fisher Scientific, Inc.), and RNA purity was determined using a NanoDrop™ 2000 spectrophotometer (Thermo Fisher Scientific, Inc.). cDNA was reversed transcribed from RNA (cat. no. 4374967; Applied Biosystems; Thermo Fisher Scientific, Inc.) and qPCR was performed using a 7900HT Fast Real-Time PCR system (Applied Biosystems; Thermo Fisher Scientific, Inc.) and 2X SYBRGreen master mix (Bio-Rad Laboratories, Inc.). Samples with appropriate primers were incubated at 95°C for 30 sec, and 40 cycles of 60°C for 30 sec, and 72°C for 30 sec were performed after a 1 min incubation step at 95°C to activate the reaction. Expression levels of IL-6 (forward primer 5′-GAAATCGTGGAAvATGAG-3′, reverse primer 5′-GCTTAGGCATAACGCACT-3′), TNF-α (forward primer 5′-GTGGAACTGGCAGAAGAGGCA-3′, reverse primer 5′-AGAGGGAGGCCATTTGGGAAC-3′), IL-1β (forward primer 5′-GTGTCTTTCCCGTGGACCTTC-3′, reverse primer 5′-TCATCTCGGAGCCTGTAGTGC-3′), IL-2 (forward primer 5′-GCCAAGAGCTGACCAACTTC-3′, reverse primer 5′-ATCGCCCACACTAAGAGCAT-3′) and GAPDH (forward primer 5′-CTCGTGGAGTCTACTGGTGT-3′, reverse primer 5′-GTCATCATACTTGGCAGGTT-3′) were analyzed using the 2−ΔΔCq method (24).

Hematoxylin and eosin (HE) staining and immunohistochemistry (IHC)

Samples containing tissues from each group were fixed in 10% buffered formalin for 24 h at 4°C, embedded into paraffin and sliced into 4–5 µm-thick sections, The wax sheets were smoothed on polylysine-treated slides in the spreading machine tank (45°C). The surrounding water was drained with absorbent paper and tissues were place in an oven at 60°C for 4 h. Subsequently, H&E staining was performed (hematoxylin staining for 5–10 min; 0.6% ammonia reflux blue; eosin staining for 3–5 min; treatment with 70% ethanol and 80% ethanol for 10–20 sec, 95% ethanol for 3–5 min, 100% ethanol for 3–5 min, and transparent xylene for 3–5 min. All the operations were performed at room temperature) and tissues were observed using a light microscope (magnification, ×200; Olympus Corporation) to compare the pathological features of samples. IHC was performed using caspase-3 (1:250; cat. no. 19677-1-AP; ProteinTech Group, Inc.), caspase-8 (1:250; cat. no. 13426-1-P; ProteinTech Group, Inc.), Bax (1:2,500; cat. no. 50599-2-lg; ProteinTech Group, Inc.) and Bcl-2 (1:1,000; cat. no. 12789-1-AP; ProteinTech Group, Inc.) antibodies (incubated at 4°C overnight; reheated at room temperature for 45 min), and secondary antibody (1:1,000; Servicebio, Inc.; cat. no. GB24303; 37°C, 1 h) antibodies.

High-throughput sequencing analyses

Lung tissues from groups C (n=6), PRL (n=6), PRM (n=6) and PRH (n=6) were collected, and total genomic DNA was extracted from samples using a genomic DNA extraction kit (cat. no. 69506; Qiagen GmbH) and a bead beating method. Subsequently, 515F (5′-GTGCCAGCMGCCGCGGTAA-3′) and 806R (5′-GGACTACVSGGGTATCTAAT-3′) primers were used to amplify the V4 region of the 16S ribosomal DNA gene for high-throughput sequencing, and PCR products were sequenced using an IlluminaHiSeq 2000 platform (Illumina, Inc.; sequencing read archive (SRA) accession no. SRP217605]. The extraction quality of DNA was determined using 0.8% agar-gel electrophoresis, and the DNA was quantified using Uv-spectrophotometer (Thermo Fisher Scientific, Inc.). The Quant-iT PicoGreen dsDNA Assay kit (cat. no. P11496; Thermo Fisher Scientific, Inc.) was used to quantify DNA in the Promega QuantiFluor fluorescence quantitative system. The cut adapt and UCHIME algorithm, from the UPARSE software package (UPARSE; http://drive5.com/uparse/ and Supplementary Software; version 7.0.100), Qiime software (Quantitative insights Into Microbial Ecology; versions 1.8.0 and 1.9.1; http://qiime.org/index.html; used to compare the richness and diversity indexes, such as Shannon index and Simpson index), and SIMCA-P software (Umetrics; version 11.5) were used to evaluate α (intra-sample) and β (inter-sample) diversity.

The Kyoto Encyclopedia of Genes and Genomes (KEGG) database (http://www.genome.jp/kegg/pathway.html) was used to predict the correlation between microbiota changes with environmental adaptation, immune responses and energy metabolism (25). The Operational taxonomic units (OTUs) and species classification were analyzed based on effective data (excluded errors and questionable data), and then the abundance and diversity indexes of OTUs were analyzed. Principal co-ordinates analysis (PCoA) was used to reflect the degree of similarity between community samples. KEGG was also used to assess xenobiotic biodegradation, endocrine system and infectious diseases. The high-throughput sequencing experiment was performed by Shanghai Personal Biotechnology Co., Ltd.

Statistical analysis

Statistical analyses were performed using GraphPad Prism software version 7.0 (GraphPad Software, Inc.). All data were presented as the mean ± SD. Statistical significance was assessed via one-way ANOVA and Tukey's multiple comparison tests. P<0.05 was considered to indicate a statistically significant difference.

Results

Effects of different concentrations of PM2.5 on cell viability, oxidative stress and cellular cytokines

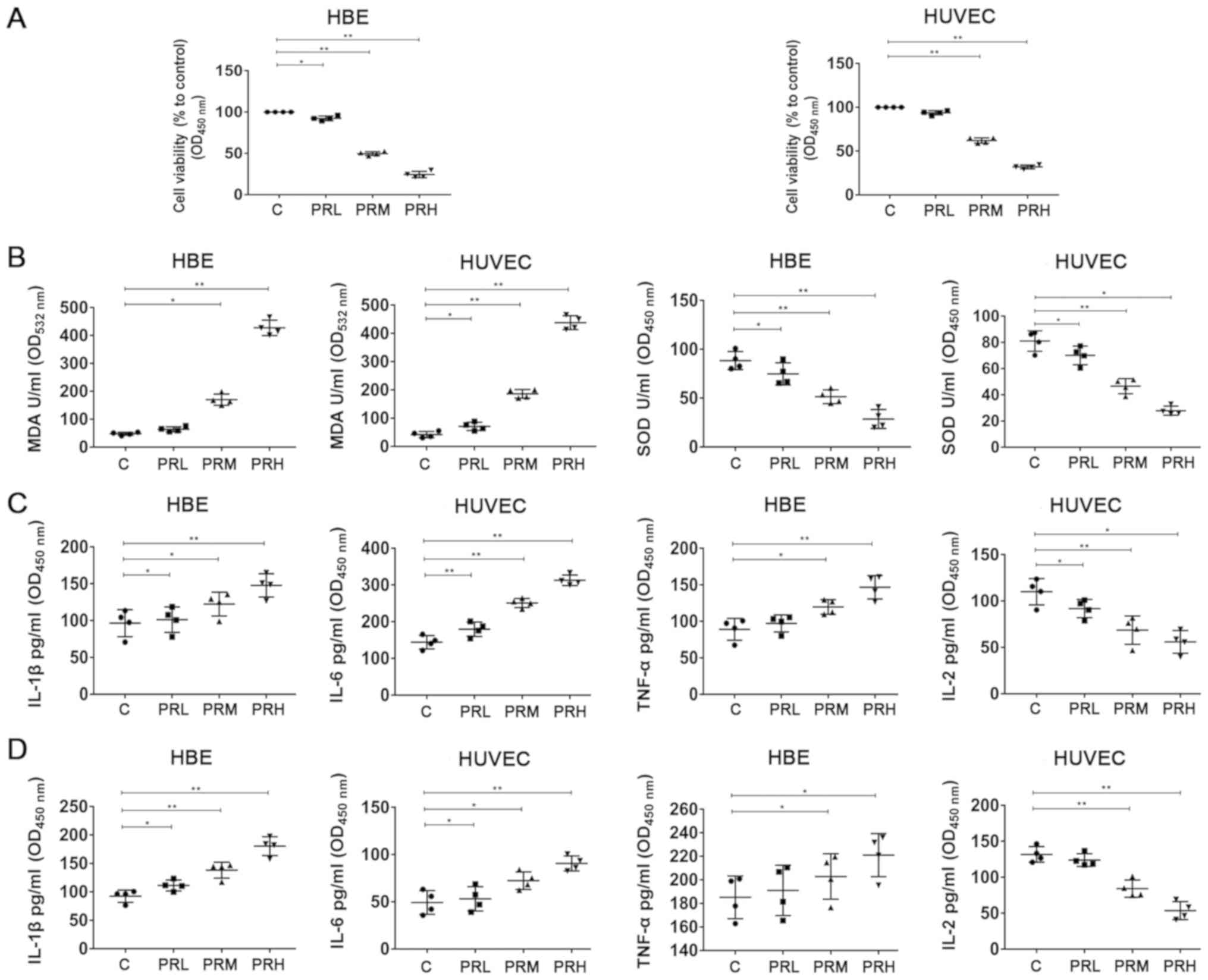
To assess the effects of PM2.5 exposure on HBE and HUVEC cells, PM2.5 and cells were co-cultured. Cell proliferation experiments revealed that PM2.5 exposure significantly inhibited growth of both HBE (survival rates were 92.34, 50.56 and 24.67%, respectively) cells and HUVECs (survival rates were 94.34, 64.54 and 32.12%, respectively) in PRL, PRM and PRH groups in a dose-dependent manner (Fig. 1A). PM2.5 treatment in PRL, PRM and PRH groups also significantly enhanced MDA activity (63.7, 175.21, and 420.99 U/mg protein, respectively), and significantly reduced SOD activity (69.81, 45.72, and 27.36 U/mg protein, respectively) in HBS cells and HUVECs (Fig. 1B), in a dose-dependent manner. The effect of PM2.5 on expression of cellular cytokines was then assessed. It was found that PM2.5 exposure in PRL, PRM and PRH groups significantly increased the accumulation of pro-inflammatory factors including IL-1β (111.63, 144.15 and 182.11 pg/ml, respectively), TNF-α (181.5, 200.63 and 231.79 pg/ml, respectively) and IL-6 (57.53, 75.21 and 86.15 pg/ml, respectively), and significantly reduced accumulation of the anti-inflammatory factor, IL-2 (122.76, 84.87 and 46.63 pg/ml, respectively) in both HBE and HUVEC cells (Fig. 1C and D), in a dose-dependent manner.

Figure 1.

Oxidative damage resulting from printing room-derived PM2.5 exposure in human HBE and HUVEC cells. (A) Determination of HBE and HUVEC cell viability. (B) MDA and SOD activity in HBE and HUVEC cells. Levels of IL-1β, IL-6, TNF-α and IL-2 expression in (C) HBE cells and (D) HUVECs. Data are presented as the mean ± standard deviation. n=12/group. *P<0.05 and **P<0.01. PM2.5, fine particulate matter; C, cells treated with PBS; PRL, cells treated with 5 µg/ml PM2.5; PRM, cells treated with 10 µg/ml PM2.5; PRH, cells treated with 15 µg/ml PM2.5; HBE, human bronchial epithelial cells; HUVEC, human umbilical vein endothelial cells; MDA, malondialdehyde; SOD, superoxide dismutase; IL, interleukin; TNF, tumor necrosis factor; OD, optical density.

Effects of exposure to different concentrations of PM2.5 on inflammatory response and apoptosis in vitro

The expression levels of key proteins involved in inflammatory and apoptosis pathways were studied using western blotting. The results indicated that exposure to high levels of PM2.5 significantly increased the accumulation of inflammatory proteins COX2 (HUVECs, 0.99 vs. 0.61; HBE cells, 1.07 vs. 0.45 for PRH and group C, respectively) and p-p65/p65 (HUVECs, 1.21 vs. 0.67; HBE cells, 1.08 vs. 0.60 for PRH and group C, respectively) compared with controls (Fig. 2D and A). Overexpression of key proteins in inflammatory pathways significantly increased the expression of apoptotic factors Bax/Bcl-2 (HUVECs, 1.87 vs. 0.58; HBE cells, 2.05 vs. 0.87 for PRH and group C, respectively) (Fig. 2F and C) and TGF-β1 (HUVECs, 0.93 vs. 0.43; HBE cells, 1.03 vs. 0.63 for PRH and group C, respectively) (Fig. 2E and B).

Figure 2.

Effects of printing room-derived PM2.5 exposure on protein expression in human HBE and HUVEC cells. Levels of (A) COX2, p-p65 and p65, (B) TGF-β1 and (C) Bcl-2 and Bax protein in HBE cells. Levels of (D) COX2, p-p65, p65, (E) TGF-β1 and (F) Bcl-2 and Bax protein in HUVECs. Data are presented as the mean ± standard deviation. n=12/group. *P<0.05 and **P<0.01. PM2.5, fine particulate matter; C, cells treated with PBS; PRL, cells treated with 5 µg/ml PM2.5; PRM, cells treated with 10 µg/ml PM2.5; PRH, cells treated with 15 µg/ml PM2.5; HBE, human bronchial epithelial cells; HUVEC, human umbilical vein endothelial cells; COX2, cyclooxygenase 2; p, phosphorylated; TGF, transforming growth factor.

Effects of different printing room-derived PM2.5 concentrations on lung injury in mice

To further evaluate whether harmful effects of PM2.5 occur in lung tissues, a mouse model was established and the H&E staining was used to assess the histopathological effects of lung tissue exposure. As shown in Fig. 3A, HE staining results indicated that there was little infiltration by eosinophil-based inflammatory cells within lung tissue in the PRL group. However, eosinophil-based inflammatory cells infiltrated PRM, and especially PRH groups, and airway epithelial cells displayed shedding and necrosis, increased mucosal folds, mucous glands hyperplasia and mucous wall thickening.

Figure 3.

Inflammatory damage in lung tissues occurs post-PM2.5 exposure in male C57BL/6 mice. (A) Hematoxylin and eosin staining images (magnification, ×200). (B) MDA and (C) SOD activity. (D) Levels of IL-1β, IL-6, TNF-α and IL-2. (E) Gene expression of IL-1β, IL-6, TNF-α and IL-2. Data are presented as the mean ± standard deviation. n=12/group. *P<0.05 and **P<0.01. Scale bar, 100 µm. PM2.5, fine particulate matter; C, cells treated with PBS; PRL, cells treated with 5 µg/ml PM2.5; PRM, cells treated with 10 µg/ml PM2.5; PRH, cells treated with 15 µg/ml PM2.5; MDA, malondialdehyde; SOD, superoxide dismutase; IL, interleukin; TNF, tumor necrosis factor; OD, optical density.

Subsequently, SOD and MDA activity was evaluated, and it was determined whether expression levels of the inflammatory factors were altered in lung tissue homogenates post-exposure. The results indicated that PM2.5 significantly increased MDA activity in in PRL, PRM and PRH groups (28.18, 56.73 and 102.55 U/mg, respectively) and significantly decreased SOD activity in PRL, PRM and PRH groups (33.91, 25.07 and 21.64) compared with controls (Fig. 3B and C). Moreover, PM2.5 significantly promoted the accumulation of pro-inflammatory factors IL-6 (protein expression, 96.11 and 42.16 pg/ml for PRH and group C, respectively; gene expression, sample/control ratios were 2.98 and 0.88 for PRH and group C, respectively), IL-1β (protein expression, 436.5 and 330.5 pg/ml for PRH and group C, respectively; gene expression, sample/control ratios were 4.17 and 1.03 for PRH and group C, respectively), TNF-α (protein expression: 48.33 and 32.35 pg/ml for PRH and group C, respectively; gene expression, sample/control ratios were 4.55 and 0.98 for PRH and group C, respectively), and significantly reduced the expression of inflammatory factor IL-2 (protein expression, 32.58 and 55.33 pg/ml for PRH and group C; gene expression, sample/control ratios were 0.67 and 3.15 for PRH and group C, respectively) (Fig. 3D and E).

Effects of different printing room-derived PM2.5 concentrations on the expression of key proteins in exposed lung tissue

Similar to in vitro findings, printing room-derived PM2.5 exposure significantly increased the expression of mitogen-activated protein kinase (MAPK) pathway genes COX2 (1.59 vs. 0.71 for PRH and group C, respectively), p-p65/p65 (1.25 vs. 0.83 for PRH and group C, respectively; Fig. 4A) and p-ERK/ERK (1.21 vs. 0.79 for PRH and group C, respectively; Fig. 4B). Furthermore, PM2.5 significantly increased the expression of apoptosis pathway genes TGF-β1 (0.87 vs. 0.56 for PRH and group C, respectively; Fig. 4C), and Bax/Bcl-2 (1.22 vs. 0.71 for PRH and group C, respectively; Fig. 4D). IHC staining was performed to further evaluate lung tissue-related effects of printing room-derived PM2.5 exposure, and the results showed that PM2.5 exposure markedly enhanced production of caspase-3, caspase-8 and Bax, and inhibited Bcl-2 accumulation in all groups assessed, particularly in the PRH group (Fig. 5).

Figure 4.

Effects of printing room-derived PM2.5 exposure on signaling pathways in vivo. Protein levels of (A) COX2 and p-p65/p65 (B) p-ERK/ERK (C) TGF-βand (D) Bcl-2 and Bax in mouse lungs are shown. Data are presented as the mean ± standard deviation. n=12/group. *P<0.05. PM2.5, fine particulate matter; C, cells treated with PBS; PRL, cells treated with 5 µg/ml PM2.5; PRM, cells treated with 10 µg/m PM2.5; PRH, cells treated with 15 µg/ml PM2.5; HBE, human bronchial epithelial cells; HUVEC, human umbilical vein endothelial cells; COX2, cyclooxygenase 2; p, phosphorylated; TGF, transforming growth factor.

Figure 5.

Inflammatory effects of printing room-derived PM2.5 on the lungs of mice assessed using IHC. Yellowish-brown staining indicated positive Bax, Bcl-2, caspase-3 and caspase-8 signal distribution. Scale bar, 100 µm. PM2.5, fine particulate matter; C, cells treated with PBS; PRL, cells treated with 5 µg/ml PM2.5; PRM, cells treated with 10 µg/m PM2.5; PRH, cells treated with 15 µg/ml PM2.5.

Effects of different concentrations of printing room-derived PM2.5 on microbial diversity of the lungs

Subsequently, the effects of PM2.5 exposure on microbial diversity within lung cells were evaluated using high-throughput sequencing. The results showed that low concentrations of PM2.5 did not influence α diversity (Shannon index and Simpson index), while high PM2.5 concentration markedly reduced Shannon and Simpson index values compared with control groups (Fig. 6A and B). Assessment using Venn diagrams revealed 541 OTUs commonly identified for all groups, which represented 29.84% (541/1813), 29.56% (541/1830), 31.09% (541/1740) and 32.97% (541/1641) of the total for C, PRL, PRM and PRH groups, respectively (Fig. 6C). Moreover, PCoA showed that dots corresponding to PRH scattered away from the other groups, which indicated that PM2.5 exposure markedly altered the microbial composition of the group (Fig. 6D).

Figure 6.

Effects of printing room-derived PM2.5 on the pulmonary microflora of mice. (A) Shannon index and (B) Simpson index values. (C) The composition and relative abundance of microbial diversity at the genera level in mouse lung of C, PRL, PRM and PRH groups are compared. (D) PCoA associated with β diversity index. Microbial composition at the (E) order and (F) microbial class levels. PM2.5, fine particulate matter; C, cells treated with PBS; PRL, cells treated with 5 µg/ml PM2.5; PRM, cells treated with 10 µg/m PM2.5; PRH, cells treated with 15 µg/ml PM2.5.

A further comparison of microbial diversity at the order (Fig. 6E) and class (Fig. 6F) levels was then performed, and bacteria most associated with infection were assessed. The results indicated that in PRH, PM2.5 exposure significantly increased the richness of pathogenic bacteria of the genus Burkholderiales (0.44 vs. 0.17 for PRH and group C, respectively), Coriobacteriia (0.024 vs. 0.0017 for PRH and group C, respectively), and Betaproteobacteria (0.43 vs. 0.17 for PRH and group C, respectively). Exposure also resulted in microbial changes including reduced potential to adapt to the environment (0.0011 vs. 0.0015 for PRH and group C, respectively), immune system activity (0.00055 vs. 0.00087 for PRH and group C, respectively), and altered energy metabolism (0.05 vs. 0.055 for PRH and group C, respectively). PM2.5 exposure notably enhanced the appearance of biodegradation and metabolism of xenobiotics (0.057 and 0.036 for PRH and group C, respectively), endocrine system activity (0.0061 and 0.0041 for PRH and group C, respectively) and infectious diseases (0.0041 and 0.0032 for PRH and group C, respectively) that occurred in PRH compared with control cells (Fig. 7). A graphical summary of the study is presented in Fig. 8.

Figure 7.

Effects of printing room-derived PM2.5 exposure on metabolic pathways. The relative abundance of (A) Burkholderiales, (B) Coriobacteriia and (C) Betaproteobacteria were assessed. Furthermore, (D) environmental adaptations, (E) immunity, (F) energy metabolism, (G) xenobiotic biodegradation and metabolism, (H) endocrine system and (I) infectious disease of groups were compared. *P<0.05. PM2.5, fine particulate matter; C, cells treated with PBS; PRL, cells treated with 5 µg/ml PM2.5; PRM, cells treated with 10 µg/m PM2.5; PRH, cells treated with 15 µg/ml PM2.5.

Figure 8.

Potential mechanisms of printing room-derived PM2.5 in vitro and in vivo. PM2.5 derived from the printing room exerted harmful effects via increasing the protein expression of inflammation, fibrosis and apoptosis, upregulated the levels of pro-inflammatory factors IL-6, TNF-α and IL-1β and downregulated the secretion of the anti-inflammatory factor IL-2. In addition, PM2.5 derived from the printing room increased the abundance of harmful microorganisms such as Burkholderiales, Coriobacteriia and Betaproteobacteria in mouse lungs. PM2.5, fine particulate matter; MAPK, mitogen-activated protein kinase; IL, interleukin; TNF, tumor necrosis factor.

Discussion

Exposure to carbon dust and volatile organic compounds affects the respiratory, immune and nervous systems, and staff working in offices may have symptoms of cough and throat discomfort that are caused by PM present in the air (26). Since the importance of indoor particulate matter on health has been neglected, the effects of PM2.5 (collected from the printing room) exposure on lung injury, as well as its potential mechanisms, was studied both in vitro and in vivo.

First, the effects of exposure to different concentrations of PM2.5 on HBE and HUVEC cells was evaluated. The results indicated that PM2.5 exposure significantly reduced cell viability in a dose-dependent manner, enhanced the lipid oxidation index of MDA and decreased the anti-oxidative stress index of SOD, which was in line with previously published reports (27,28). Moreover, PM2.5 addition to cell culture media significantly increased the accumulation of pro-inflammatory factors IL-1β, IL-6 and TNF-α, inhibited the production of inflammatory factor IL-2, activated the inflammatory response and promoted lung injury and fibrosis. These present results are consistent with previously published studies (29,30). Therefore, PM2.5 activated oxidative stress and inflammatory responses in lung cells, which has the potential to cause cellular injury and even death.

To further study the potential mechanisms by which PM2.5 alters lung cell function, key proteins of inflammatory, fibrosis and apoptosis pathways were analyzed. PM2.5 significantly increased the levels of COX2 and p-p65/p65. COX2 is an important pro-inflammatory gene, and studies have shown that overexpression of COX2 promotes inflammation and adversely affects fibrosis (31). p65 belongs to the NF-κB family of proteins, and these proteins exist either as homologous or heterologous dimers formed between family members under normal conditions (31). When cells were stimulated by different external factors, such as stress, lipopolysaccharide, viruses and free oxygen radicals, NF-κB immediately disassociates and translocates to the nucleus to enhance transcription of inflammatory genes (32). p65 has also been shown to be a transcription factor involved in the NF-KB pathway via regulation of pro-inflammatory cytokines TNF-α and IL-6 (33). As PM2.5 concentration increased, the expression of COX2 and p-p65/p65 were enhanced in a dose-dependent manner. This finding indicated that as PM2.5 concentrations increase, the degree of pulmonary inflammation and fibrosis become increasingly severe as a result of enhanced expression of COX2 and p-p65/p65.

Overexpression of COX2 and p-p65/p65 greatly enhanced pulmonary fibrosis via enhancing the expression of pro-fibrotic cytokine TGF-β1 (34) and apoptosis markers, including Bax/Bcl-2 (35). TGF-β1 is critical for regulatory T cell function and T-helper (Th) 9 and Th17 differentiation, which play important roles in the regulation of tissue repair, embryogenesis, cartilage homeostasis, cellular growth and proliferation and cancer, and are associated with the development of autoimmune disorders, chronic inflammatory conditions and allergic diseases (36). Bcl-2 is an anti-apoptotic marker, and downregulation of Bcl-2 may promote the production of pro-apoptotic proteins (37). For example, increased Bax levels can lead to apoptotic cell death (38). Of TGF-β1 and Bax expression levels were upregulated in groups exposed to PM2.5. Simultaneously, Bcl-2 expression was downregulated. Taken together, these results indicated that exposure to increased concentrations of PM2.5 enhanced pulmonary injury as a result of enhanced pulmonary inflammation and fibrosis via downregulation of Bcl-2 and upregulation of TGF-β1.

A mouse model was established and the results indicated that PM2.5 exposure lead to inflammatory cell infiltration, airway epithelial cell shedding and necrosis. Consistent with cell culture findings, exposure to PM2.5 significantly increased the accumulation of pro-inflammatory factors IL-1β, IL-6 and TNF-α, and reduced production of the inflammatory factor, IL-2. This finding indicated that PM2.5 induced inflammation in the lung via increasing the production of pro-inflammatory factors in lung tissue. Western blotting results indicated that protein expression of COX2, p-p65/p65, TGF-β1 and Bax/Bcl-2 were enhanced post-exposure to PM2.5, which indicated that PM2.5 induced fibrosis and apoptosis in the lung via increasing the production of pro-fibrotic cytokines and apoptosis markers. In addition, the expression of p-ERK/ERK was evaluated, and it was found that increased concentrations of PM2.5 resulted in MAPK pathway activation, whereby increased levels of p-ERK relative to ERK were observed. The MAPK pathway involves p38, JNK and ERK1/2, which play key roles in acute lung injury, and the ERK pathway exerts a critical function in the management of levels of various cytokines, including TNF-α, IL-1β and IL-6 (39). Furthermore, ERK is involved in the regulation of numerous cellular processes, including stress response, inflammatory pathways, proliferation, differentiation, apoptosis and survival (34). Elevated p-ERK/ERK ratios in the MAPK pathway indicated that increased concentrations of PM2.5 can lead to lung inflammation. Additionally, IHC results indicated that PM2.5 upregulated the expression of the pro-apoptotic protein, Bax, and downregulated the accumulation of the anti-apoptotic protein, Bcl-2, which eventually lead to enhanced expression of apoptosis proteins caspase-8 and caspase-3 (40).

The lungs have previously been considered a sterile environment, and assessment of pulmonary disease has been examined from a bacterial pathology perspective (41). Recently, 16s ribosomal RNA studies and metagenomics revealed the presence of a flexible microbiota in the upper and lower respiratory tract, blood, placenta and amniotic fluid (42). Increasing evidence has shown that bacteria are present in the lungs and serve key roles in fatal pneumonia, which can be both beneficial and harmful (43,44). The present high-throughput sequencing results showed that PM2.5 altered microbial diversity in the lung by increasing abundance of Burkholderiales (at the class level), Betaproteobacteria (at the order level) and Coriobacteriia (at the order level). Both Betaproteobacteria and Burkholderiales can cause lung inflammation associated with lung disease, and as abundance of Betaproteobacteria and Burkholderiales increase, the degree of lung damage is expected to correspondingly increase (45). Therefore, PM2.5 exposure has the ability to damage human health through increasing pathogen abundance in the lung. This can lead to increased lung inflammation and damage. Environmental PM2.5 is also capable of causing lung damage and energy metabolism disorders, such as diarrhea (46). Multiple lines of evidence have shown that PM2.5 exposure is associated with metabolic disorders, especially in children and the elderly or genetically susceptible experimental animal models (47). Environmental adaptation, immune response and energy metabolism in PRH groups markedly decreased compared group C. Furthermore, infectious disease occurrence, endocrine activity and the xenobiotic biodegradation and metabolism may have an association with PM2.5 exposure.

In the present study, the effect of printing room PM2.5 exposure on the lungs was assessed. The results indicated that PM2.5 caused cellular and tissue injury as a result of increased oxidative stress, inflammation, fibrosis and apoptosis. Additionally, PM2.5 exposure enhanced pathogen abundance in lung tissues. Therefore, printing room PM2.5 may negatively affect individuals exposed for long periods. However, considering limitations of the present acute lung injury model, more work will be needed to clarify the health risks associated with printing room PM2.5 exposure. In conclusion, the present study evaluated mechanisms of lung injury caused by printing room-derived PM2.5, and found that they are closely related the inflammation, apoptosis and fibrosis caused, and provided a theoretical foundation for further research.

Acknowledgements

Not applicable.

Funding

This study was supported by the National Natural Science Foundation of China (grant no. 41765009), the Excellent Youth Foundation of the Jiangxi Scientific Committee (grant no. 20171BCB23028), the Science and Technology Plan of the Jiangxi Health Planning Committee (grant no. 20175526) and the Science and Technology Project of Jiangxi (grant nos. 20181BBG70028 and 20181BCB24003).

Availability of data and materials

The datasets used and/or analyzed during the current study are available from the corresponding author on reasonable request.

Authors' contributions

TC and HH made substantial contributions to conception and design. CZ, HY, LC and XC performed the analysis and interpretation of data. CZ, TC, HY, LC and XC drafted the manuscript and revised the important intellectual content. All authors read and approved the final manuscript, and TC gave the final approval of the version to be published.

Ethics approval and consent to participate

The present study was approved by the Ethical Committee of the Second Affiliated Hospital of Nanchang University, and all experiments were performed in accordance with approved guidelines (The Guide for Care and Use of Laboratory Animals; National Institutes of Health publication 85–23).

Patient consent for publication

Not applicable.

Competing interests

The authors declare that they have no competing interests.

References

1 

Holzer M, Bihari P, Praetner M, Uhl B, Reichel C, Fent J, Vippola M, Lakatos S and Krombach F: Carbon-based nanomaterials accelerate arteriolar thrombus formation in the murine microcirculation independently of their shape. J Appl Toxicol. 34:3213–1176. 2014. View Article : Google Scholar

2 

Cohen AJ, Brauer M, Burnett R, Anderson HR, Frostad J, Estep K, Balakrishnan K, Brunekreef B, Dandona L, Dandona R, et al: Estimates and 25-year trends of the global burden of disease attributable to ambient air pollution: An analysis of data from the global burden of diseases study 2015. Lancet. 389:1907–1918. 2017. View Article : Google Scholar : PubMed/NCBI

3 

Urlaub S, Grün G, Foldbjerg P and Sedlbauer K: Ventilation and health - a review. Proc AVIC Conf. 2015.

4 

Chen Y, Du W, Shen G, Zhuo S, Zhu X, Shen H, Huang Y, Su S, Lin N, Pei L, et al: Household air pollution and personal exposure to nitrated and oxygenated polycyclic aromatics (PAHs) in rural households: Influence of household cooking energies. Indoor Air. 27:169–178. 2017. View Article : Google Scholar : PubMed/NCBI

5 

Du B, Gao J, Chen J, Stevanovic S, Ristovski Z and Wang L and Wang L: Particle exposure level and potential health risks of domestic Chinese cooking. Build Environ. 123:564–574. 2017. View Article : Google Scholar

6 

Liu T, Liu Q, Li Z, Huo L, Chan M, Li X, Zhou Z and Chan CK: Emission of volatile organic compounds and production of secondary organic aerosol from stir-frying spices. Sci Total Environ. 599-600:1614–1621. 2017. View Article : Google Scholar : PubMed/NCBI

7 

Liu Y, Chen YY, Cao JY, Tao FB, Zhu XX, Yao CJ, Chen DJ, Che Z, Zhao QH and Wen LP: Oxidative stress, apoptosis, and cell cycle arrest are induced in primary fetal alveolar type II epithelial cells exposed to fine particulate matter from cooking oil fumes. Environ Sci Pollut Res Int. 22:9728–9741. 2015. View Article : Google Scholar : PubMed/NCBI

8 

Khatri M, Bello D, Pal AK, Woskie S, Gassert TH, Demokritou P and Gaines P: Toxicological effects of PM0.25-2.0 particles collected from a photocopy center in three human cell lines. Inhal Toxicol. 25:621–632. 2013. View Article : Google Scholar : PubMed/NCBI

9 

Pirela SV, Bhattacharya K, Wang Y, Zhanga Y, Wanga G, Christophic CA, Godleskia J, Thomasd T, Qiane Y, Orandle MS, et al: A 21-day sub-acute, whole-body inhalation exposure to printer-emitted engineered nanoparticles in rats: Exploring pulmonary and systemic effects. NanoImpact. 15:1001762019. View Article : Google Scholar

10 

Pirela S, Molina R, Watson C, Cohen JM, Bello D, Demokritou P and Brain J: Effects of copy center particles on the lungs: A toxicological characterization using a Balb/c mouse model. Inhal Toxicol. 25:498–508. 2013. View Article : Google Scholar : PubMed/NCBI

11 

Jensen M and Rold-Petersen J: Itching erythema among post office workers caused by a photocopying illachine with wet toner. Contact Dermatitis. 5:389–391. 1979. View Article : Google Scholar : PubMed/NCBI

12 

Galiardo M, Romero P, Sánchez-Quevedo MC and López-Caballero JJ: Siderosilicosis due to photocopier toner dust. Lancet. 344:412–413. 1994. View Article : Google Scholar : PubMed/NCBI

13 

Grifka J: Use of drugs in renal impairment. Internist (Berl). 49:1262008.(In German). View Article : Google Scholar : PubMed/NCBI

14 

Theegarten D, Boukercha S, Philippou S and Anhenn O: Submesothelial deposition of carbon nanoparticles after toner exposition: Case report. Diagn Pathol. 5:772010. View Article : Google Scholar : PubMed/NCBI

15 

Ya P, Xu H, Ma Y, Fang M, Yan X, Zhou J and Li F: Liver injury induced in Balb/c mice by PM2.5 exposure and its alleviation by compound essential oils. Biomed Pharmacother. 105:590–598. 2018. View Article : Google Scholar : PubMed/NCBI

16 

Tavera Busso I, Vera A, Mateos AC, Amarillo AC and Carreras H: Histological changes in lung tissues related with sub-chronic exposure to ambient urban levels of PM2.5 in Córdoba, Argentina. Atmos Environ. 167:616–624. 2017. View Article : Google Scholar

17 

Yang B, Guo J and Xiao C: Effect of PM2.5 environmental pollution on rat lung. Environ Sci Pollut Res Int. 25:36136–36146. 2018. View Article : Google Scholar : PubMed/NCBI

18 

Li H, Zhao Q, Liu R, Yang L, Chen H and Cui X: Protective effect and potential mechanism of simvastatin on myocardial injury induced by diabetes with hypoglycemia. Exp Clin Endocrinol Diabetes. 126:148–161. 2018. View Article : Google Scholar : PubMed/NCBI

19 

Huang H, Zou C, Cao J and Tsang P: Carbonaceous aerosol characteristics in outdoor and indoor environments of Nanchang, China, during summer 2009. J Air Waste Manag Assoc. 61:1262–1272. 2011. View Article : Google Scholar : PubMed/NCBI

20 

Huang H, Zou C, Cao J, Tsang P, Zhu F, Yu C and Xue S: Water-soluble Ions in PM2.5 on the Qianhu Campus of Nanchang University, Nanchang City: Indoor-outdoor distribution and source implications. Aerosol Air Qual Res. 12:435–443. 2012. View Article : Google Scholar

21 

Wang H, Song L, Ju W, Wang X, Dong L, Zhang Y, Ya P, Yang C and Li F: The acute airway inflammation induced by PM2.5 exposure and the treatment of essential oils in Balb/c mice. Sci Rep. 7:442562017. View Article : Google Scholar : PubMed/NCBI

22 

Zhang X, Zhong W, Meng Q, Lin Q, Fang C, Huang X, Li C, Huang Y and Tan J: Ambient PM2.5 exposure exacerbates severity of allergic asthma in previously sensitized mice. J Asthma. 52:785–794. 2015.PubMed/NCBI

23 

Tian P, Xu D, Huang Z, Meng F, Fu J, Wei H and Chen T: Evaluation of truncated G protein delivered by live attenuated Salmonella as a vaccine against respiratory syncytial virus. Microb Pathog. 115:299–303. 2018. View Article : Google Scholar : PubMed/NCBI

24 

Livak KJ and Schmittgen TD: Analysis of relative gene expression data using real-time quantitative PCR and the 2(-Delta Delta C(T)) method. Methods. 25:402–408. 2001. View Article : Google Scholar : PubMed/NCBI

25 

Hammery, Harper DA and Ryan PD: PAST: Paleontological statistics software package for education and data analysis. Palaeontol Electron. 4:1–9. 2001.

26 

Tang T, Hurraß J, Gminski R and Mersch-Sundermann V: Fine and ultrafine particles emitted from laser printers as indoor air contaminants in German offices. Environ Sci Pollut Res Int. 19:3840–3849. 2012. View Article : Google Scholar : PubMed/NCBI

27 

Kohl H, Orth R, Riebartsch O, Galeitzke M and Cap JP: Support of innovation networks in manufacturing industries through identification of sustainable collaboration potential and best-practice transfer. Procedia CIRP. 26:185–189. 2015. View Article : Google Scholar

28 

Zhang ZQ, Zhang CZ, Shao B, Pang DH, Han GZ and Lin L: Effects of abnormal expression of fusion and fission genes on the morphology and function of lung macrophage mitochondria in SiO2-induced silicosis fibrosis in rats in vivo. Toxicol Lett. 312:181–187. 2019. View Article : Google Scholar : PubMed/NCBI

29 

Smith RE, Strieter RM, Phan SH, Lukacs N and Kunkel SL: TNF and IL-6 mediate MIP-1alpha expression in bleomycin-induced lung injury. J Leukoc Biol. 64:528–536. 1998. View Article : Google Scholar : PubMed/NCBI

30 

Cavarra E, Carraro F, Fineschi S, Naldini A, Bartalesi B, Pucci A and Lungarella G: Early response to bleomycin is characterized by different cytokine and cytokine receptor profiles in lungs. Am J Physiol Lung Cell Mol Physiol. 287:L1186–L1192. 2004. View Article : Google Scholar : PubMed/NCBI

31 

Dai P, Shen D, Shen J, Tang Q, Xi M, Li Y and Li C: The roles of Nrf2 and autophagy in modulating inflammation mediated by TLR4-NFκB in A549 cell exposed to layer house particulate matter 2.5 (PM2.5). Chemosphere. 235:1134–1145. 2019. View Article : Google Scholar : PubMed/NCBI

32 

Hayden MS and Ghosh S: NF-κB in immunobiology. Cell Res. 21:223–244. 2011. View Article : Google Scholar : PubMed/NCBI

33 

Barker HE, Paget JT, Khan AA and Harrington KJ: The tumour microenvironment after radiotherapy: Mechanisms of resistance and recurrence. Nat Rev Cancer. 15:409–425. 2015. View Article : Google Scholar : PubMed/NCBI

34 

Lazzara F, Fidilio A, Platania CBM, Giurdanella G, Salomone S, Leggio GM, Tarallo V, Cicatiello V, De Falco S, Eandi CM, et al: Aflibercept regulates retinal inflammation elicited by high glucose via the PlGF/ERK pathway. Biochem Pharmacol. 168:341–351. 2019. View Article : Google Scholar : PubMed/NCBI

35 

Kuroki M, Noguchi Y, Shimono M, Tomono K, Tashiro T, Obata Y, Nakayama E and Kohno S: Repression of bleomycin-induced pneumopathy by TNF. J Immunol. 170:567–574. 2003. View Article : Google Scholar : PubMed/NCBI

36 

Ndaw VS, Abebayehu D, Spence AJ, Paez PA, Kolawole EM, Taruselli MT, Caslin HL, Chumanevich AP, Paranjape A, Baker B, et al: TGF-β1 suppresses IL-33-induced mast cell function. J Immunol. 199:866–873. 2017. View Article : Google Scholar : PubMed/NCBI

37 

Ashkenazi A, Fairbrother WJ, Leverson JD and Souers AJ: From basic apoptosis discoveries to advanced selective BCL-2 family inhibitors. Nat Rev Drug Discov. 16:273–284. 2017. View Article : Google Scholar : PubMed/NCBI

38 

Hii LW, Lim SE, Leong CO, Chin SY, Tan NP, Lai KS and Mai CW: The synergism of Clinacanthus nutans Lindau extracts with gemcitabine: Downregulation of anti-apoptotic markers in squamous pancreatic ductal adenocarcinoma. BMC Complement Altern Med. 19:2572019. View Article : Google Scholar : PubMed/NCBI

39 

Jiang C, Zhong R, Zhang J, Wang X, Ding G, Xiao W and Ma S: Reduning injection ameliorates paraquat-induced acute lung injury by regulating AMPK/MAPK/NF-κB signaling. J Cell Biochem. 120:12713–12723. 2019. View Article : Google Scholar : PubMed/NCBI

40 

Che Z, Liu Y, Chen Y, Cao J, Liang C, Wang L and Ding R: The apoptotic pathways effect of fine particulate from cooking oil fumes in primary fetal alveolar type II epithelial cells. Mutat Res Genet Toxicol Environ Mutagen. 761:35–43. 2014. View Article : Google Scholar : PubMed/NCBI

41 

Wang Y, Chen J, Tang B, Zhang X and Hua ZC: Systemic administration of attenuated salmonella typhimurium in combination with interleukin-21 for cancer therapy. Mol Clin Oncol. 1:461–465. 2013. View Article : Google Scholar : PubMed/NCBI

42 

Yu K, Rodriguez MD, Paul Z, Gordon E, Rice K, Triplett EW, Keller-Wood M and Wood CE: Proof of principle: Physiological transfer of small numbers of bacteria from mother to fetus in late-gestation pregnant sheep. PLoS One. 14:e02172112019. View Article : Google Scholar : PubMed/NCBI

43 

Kaimala S, Al-Sbiei A, Cabral-Marques O, Fernandez-Cabezudo MJ and Al-Ramadi BK: Attenuated bacteria as immunotherapeutic tools for cancer treatment. Front Oncol. 8:1362018. View Article : Google Scholar : PubMed/NCBI

44 

Zhao C, He J, Cheng H, Zhu Z and Xu H: Enhanced therapeutic effect of an antiangiogenesis peptide on lung cancer in vivo combined with salmonella VNP20009 carrying a Sox2 shRNA construct. J Exp Clin Cancer Res. 35:1072016. View Article : Google Scholar : PubMed/NCBI

45 

Pacello F, D'Orazio M and Battistoni A: An ERp57-mediated disulphide exchange promotes the interaction between Burkholderia cenocepacia and epithelial respiratory cells. Sci Rep. 6:211402016. View Article : Google Scholar : PubMed/NCBI

46 

Ning X, Ji X, Li G and Sang N: Ambient PM2.5 causes lung injuries and coupled energy metabolic disorder. Ecotoxicol Environ Saf. 170:620–626. 2019. View Article : Google Scholar : PubMed/NCBI

47 

Pan K, Jiang S, Du X, Zeng X, Zhang J, Song L, Zhou J, Kan H, Sun Q, Xie Y and Zhao J: AMPK activation attenuates inflammatory response to reduce ambient PM2.5-induced metabolic disorders in healthy and diabetic mice. Ecotoxicol Environ Saf. 179:290–300. 2019. View Article : Google Scholar : PubMed/NCBI

Related Articles

  • Abstract
  • View
  • Download
  • Twitter
Copy and paste a formatted citation
Spandidos Publications style
Zou C, Yang H, Cui L, Cao X, Huang H and Chen T: Potential hazardous effects of printing room PM2.5 exposure include promotion of lung inflammation and subsequent injury. Mol Med Rep 22: 3213-3224, 2020.
APA
Zou, C., Yang, H., Cui, L., Cao, X., Huang, H., & Chen, T. (2020). Potential hazardous effects of printing room PM2.5 exposure include promotion of lung inflammation and subsequent injury. Molecular Medicine Reports, 22, 3213-3224. https://doi.org/10.3892/mmr.2020.11399
MLA
Zou, C., Yang, H., Cui, L., Cao, X., Huang, H., Chen, T."Potential hazardous effects of printing room PM2.5 exposure include promotion of lung inflammation and subsequent injury". Molecular Medicine Reports 22.4 (2020): 3213-3224.
Chicago
Zou, C., Yang, H., Cui, L., Cao, X., Huang, H., Chen, T."Potential hazardous effects of printing room PM2.5 exposure include promotion of lung inflammation and subsequent injury". Molecular Medicine Reports 22, no. 4 (2020): 3213-3224. https://doi.org/10.3892/mmr.2020.11399
Copy and paste a formatted citation
x
Spandidos Publications style
Zou C, Yang H, Cui L, Cao X, Huang H and Chen T: Potential hazardous effects of printing room PM2.5 exposure include promotion of lung inflammation and subsequent injury. Mol Med Rep 22: 3213-3224, 2020.
APA
Zou, C., Yang, H., Cui, L., Cao, X., Huang, H., & Chen, T. (2020). Potential hazardous effects of printing room PM2.5 exposure include promotion of lung inflammation and subsequent injury. Molecular Medicine Reports, 22, 3213-3224. https://doi.org/10.3892/mmr.2020.11399
MLA
Zou, C., Yang, H., Cui, L., Cao, X., Huang, H., Chen, T."Potential hazardous effects of printing room PM2.5 exposure include promotion of lung inflammation and subsequent injury". Molecular Medicine Reports 22.4 (2020): 3213-3224.
Chicago
Zou, C., Yang, H., Cui, L., Cao, X., Huang, H., Chen, T."Potential hazardous effects of printing room PM2.5 exposure include promotion of lung inflammation and subsequent injury". Molecular Medicine Reports 22, no. 4 (2020): 3213-3224. https://doi.org/10.3892/mmr.2020.11399
Follow us
  • Twitter
  • LinkedIn
  • Facebook
About
  • Spandidos Publications
  • Careers
  • Cookie Policy
  • Privacy Policy
How can we help?
  • Help
  • Live Chat
  • Contact
  • Email to our Support Team