Spandidos Publications Logo
  • About
    • About Spandidos
    • Aims and Scopes
    • Abstracting and Indexing
    • Editorial Policies
    • Reprints and Permissions
    • Job Opportunities
    • Terms and Conditions
    • Contact
  • Journals
    • All Journals
    • Oncology Letters
      • Oncology Letters
      • Information for Authors
      • Editorial Policies
      • Editorial Board
      • Aims and Scope
      • Abstracting and Indexing
      • Bibliographic Information
      • Archive
    • International Journal of Oncology
      • International Journal of Oncology
      • Information for Authors
      • Editorial Policies
      • Editorial Board
      • Aims and Scope
      • Abstracting and Indexing
      • Bibliographic Information
      • Archive
    • Molecular and Clinical Oncology
      • Molecular and Clinical Oncology
      • Information for Authors
      • Editorial Policies
      • Editorial Board
      • Aims and Scope
      • Abstracting and Indexing
      • Bibliographic Information
      • Archive
    • Experimental and Therapeutic Medicine
      • Experimental and Therapeutic Medicine
      • Information for Authors
      • Editorial Policies
      • Editorial Board
      • Aims and Scope
      • Abstracting and Indexing
      • Bibliographic Information
      • Archive
    • International Journal of Molecular Medicine
      • International Journal of Molecular Medicine
      • Information for Authors
      • Editorial Policies
      • Editorial Board
      • Aims and Scope
      • Abstracting and Indexing
      • Bibliographic Information
      • Archive
    • Biomedical Reports
      • Biomedical Reports
      • Information for Authors
      • Editorial Policies
      • Editorial Board
      • Aims and Scope
      • Abstracting and Indexing
      • Bibliographic Information
      • Archive
    • Oncology Reports
      • Oncology Reports
      • Information for Authors
      • Editorial Policies
      • Editorial Board
      • Aims and Scope
      • Abstracting and Indexing
      • Bibliographic Information
      • Archive
    • Molecular Medicine Reports
      • Molecular Medicine Reports
      • Information for Authors
      • Editorial Policies
      • Editorial Board
      • Aims and Scope
      • Abstracting and Indexing
      • Bibliographic Information
      • Archive
    • World Academy of Sciences Journal
      • World Academy of Sciences Journal
      • Information for Authors
      • Editorial Policies
      • Editorial Board
      • Aims and Scope
      • Abstracting and Indexing
      • Bibliographic Information
      • Archive
    • International Journal of Functional Nutrition
      • International Journal of Functional Nutrition
      • Information for Authors
      • Editorial Policies
      • Editorial Board
      • Aims and Scope
      • Abstracting and Indexing
      • Bibliographic Information
      • Archive
    • International Journal of Epigenetics
      • International Journal of Epigenetics
      • Information for Authors
      • Editorial Policies
      • Editorial Board
      • Aims and Scope
      • Abstracting and Indexing
      • Bibliographic Information
      • Archive
    • Medicine International
      • Medicine International
      • Information for Authors
      • Editorial Policies
      • Editorial Board
      • Aims and Scope
      • Abstracting and Indexing
      • Bibliographic Information
      • Archive
  • Articles
  • Information
    • Information for Authors
    • Information for Reviewers
    • Information for Librarians
    • Information for Advertisers
    • Conferences
  • Language Editing
Spandidos Publications Logo
  • About
    • About Spandidos
    • Aims and Scopes
    • Abstracting and Indexing
    • Editorial Policies
    • Reprints and Permissions
    • Job Opportunities
    • Terms and Conditions
    • Contact
  • Journals
    • All Journals
    • Biomedical Reports
      • Information for Authors
      • Editorial Policies
      • Editorial Board
      • Aims and Scope
      • Abstracting and Indexing
      • Bibliographic Information
      • Archive
    • Experimental and Therapeutic Medicine
      • Information for Authors
      • Editorial Policies
      • Editorial Board
      • Aims and Scope
      • Abstracting and Indexing
      • Bibliographic Information
      • Archive
    • International Journal of Epigenetics
      • Information for Authors
      • Editorial Policies
      • Editorial Board
      • Aims and Scope
      • Abstracting and Indexing
      • Bibliographic Information
      • Archive
    • International Journal of Functional Nutrition
      • Information for Authors
      • Editorial Policies
      • Editorial Board
      • Aims and Scope
      • Abstracting and Indexing
      • Bibliographic Information
      • Archive
    • International Journal of Molecular Medicine
      • Information for Authors
      • Editorial Policies
      • Editorial Board
      • Aims and Scope
      • Abstracting and Indexing
      • Bibliographic Information
      • Archive
    • International Journal of Oncology
      • Information for Authors
      • Editorial Policies
      • Editorial Board
      • Aims and Scope
      • Abstracting and Indexing
      • Bibliographic Information
      • Archive
    • Medicine International
      • Information for Authors
      • Editorial Policies
      • Editorial Board
      • Aims and Scope
      • Abstracting and Indexing
      • Bibliographic Information
      • Archive
    • Molecular and Clinical Oncology
      • Information for Authors
      • Editorial Policies
      • Editorial Board
      • Aims and Scope
      • Abstracting and Indexing
      • Bibliographic Information
      • Archive
    • Molecular Medicine Reports
      • Information for Authors
      • Editorial Policies
      • Editorial Board
      • Aims and Scope
      • Abstracting and Indexing
      • Bibliographic Information
      • Archive
    • Oncology Letters
      • Information for Authors
      • Editorial Policies
      • Editorial Board
      • Aims and Scope
      • Abstracting and Indexing
      • Bibliographic Information
      • Archive
    • Oncology Reports
      • Information for Authors
      • Editorial Policies
      • Editorial Board
      • Aims and Scope
      • Abstracting and Indexing
      • Bibliographic Information
      • Archive
    • World Academy of Sciences Journal
      • Information for Authors
      • Editorial Policies
      • Editorial Board
      • Aims and Scope
      • Abstracting and Indexing
      • Bibliographic Information
      • Archive
  • Articles
  • Information
    • For Authors
    • For Reviewers
    • For Librarians
    • For Advertisers
    • Conferences
  • Language Editing
Login Register Submit
  • This site uses cookies
  • You can change your cookie settings at any time by following the instructions in our Cookie Policy. To find out more, you may read our Privacy Policy.

    I agree
Search articles by DOI, keyword, author or affiliation
Search
Advanced Search
presentation
Molecular Medicine Reports
Join Editorial Board Propose a Special Issue
Print ISSN: 1791-2997 Online ISSN: 1791-3004
Journal Cover
May-2021 Volume 23 Issue 5

Full Size Image

Sign up for eToc alerts
Recommend to Library

Journals

International Journal of Molecular Medicine

International Journal of Molecular Medicine

International Journal of Molecular Medicine is an international journal devoted to molecular mechanisms of human disease.

International Journal of Oncology

International Journal of Oncology

International Journal of Oncology is an international journal devoted to oncology research and cancer treatment.

Molecular Medicine Reports

Molecular Medicine Reports

Covers molecular medicine topics such as pharmacology, pathology, genetics, neuroscience, infectious diseases, molecular cardiology, and molecular surgery.

Oncology Reports

Oncology Reports

Oncology Reports is an international journal devoted to fundamental and applied research in Oncology.

Experimental and Therapeutic Medicine

Experimental and Therapeutic Medicine

Experimental and Therapeutic Medicine is an international journal devoted to laboratory and clinical medicine.

Oncology Letters

Oncology Letters

Oncology Letters is an international journal devoted to Experimental and Clinical Oncology.

Biomedical Reports

Biomedical Reports

Explores a wide range of biological and medical fields, including pharmacology, genetics, microbiology, neuroscience, and molecular cardiology.

Molecular and Clinical Oncology

Molecular and Clinical Oncology

International journal addressing all aspects of oncology research, from tumorigenesis and oncogenes to chemotherapy and metastasis.

World Academy of Sciences Journal

World Academy of Sciences Journal

Multidisciplinary open-access journal spanning biochemistry, genetics, neuroscience, environmental health, and synthetic biology.

International Journal of Functional Nutrition

International Journal of Functional Nutrition

Open-access journal combining biochemistry, pharmacology, immunology, and genetics to advance health through functional nutrition.

International Journal of Epigenetics

International Journal of Epigenetics

Publishes open-access research on using epigenetics to advance understanding and treatment of human disease.

Medicine International

Medicine International

An International Open Access Journal Devoted to General Medicine.

Journal Cover
May-2021 Volume 23 Issue 5

Full Size Image

Sign up for eToc alerts
Recommend to Library

  • Article
  • Citations
    • Cite This Article
    • Download Citation
    • Create Citation Alert
    • Remove Citation Alert
    • Cited By
  • Similar Articles
    • Related Articles (in Spandidos Publications)
    • Similar Articles (Google Scholar)
    • Similar Articles (PubMed)
  • Download PDF
  • Download XML
  • View XML
Article Open Access

Fine particulate matter induces airway inflammation by disturbing the balance between Th1/Th2 and regulation of GATA3 and Runx3 expression in BALB/c mice

  • Authors:
    • Lingling Pang
    • Pengfei Yu
    • Xueping Liu
    • Yingqi Fan
    • Ying Shi
    • Shenchun Zou
  • View Affiliations / Copyright

    Affiliations: Shandong University, Jinan, Shandong 250100, P.R. China, Department of Respiratory Medicine, Yantai Yuhuangding Hospital, Yantai, Shandong 264000, P.R. China, Department of Respiratory Medicine, Nanjing First Hospital, Nanjing Medical University, Nanjing, Jiangsu 210006, P.R. China
    Copyright: © Pang et al. This is an open access article distributed under the terms of Creative Commons Attribution License.
  • Article Number: 378
    |
    Published online on: March 17, 2021
       https://doi.org/10.3892/mmr.2021.12017
  • Expand metrics +
Metrics: Total Views: 0 (Spandidos Publications: | PMC Statistics: )
Metrics: Total PDF Downloads: 0 (Spandidos Publications: | PMC Statistics: )
Cited By (CrossRef): 0 citations Loading Articles...

This article is mentioned in:


Abstract

The present study aimed to examine the effects of 2.5 µm particulate matter (PM2.5) on airway inflammation and to investigate the possible underlying mechanism. Specifically, the focus was on the imbalance of T helper (Th)1/Th2 cells and the dysregulated expression of transcription factors, including trans‑acting T cell‑specific transcription factor 3 (GATA3), runt‑related transcription factor 3 (Runx3) and T‑box transcription factor TBX21 (T‑bet). In this study, ambient PM2.5 was collected and analyzed, male BALB/c mice were sensitized and treated with PBS, ovalbumin (OVA), PM2.5 or OVA + PM2.5. The effects of PM2.5 alone or PM2.5 + OVA on immunopathological changes, the expression of transcription factors GATA3, Runx3 and T‑bet, and the imbalance of Th1/Th2 were investigated. It was found that PM2.5 + OVA co‑exposure significantly enhanced inflammatory cell infiltration, increased higher tracheal secretions in lung tissue and upregulated respiratory resistance response to acetylcholine compared with PM2.5 or OVA single exposure and control groups. In addition, higher protein and mRNA expression levels of Th2 inflammatory mediators interleukin (IL)‑4, IL‑5 and IL‑13 in bronchoalveolar lavage fluid were observed in PM2.5 + OVA treated mice, whereas the expression levels of GATA3 and STAT6 were exhibited in mice exposed to OVA + PM2.5 compared with the OVA and PM2.5 groups. By contrast, PM2.5 exposure decreased the protein and mRNA expression levels of Th1 cytokine interferon‑γ and transcription factors Runx3 and T‑bet, especially among asthmatic mice, different from OVA group, PM2.5 exposure only failed to influence the expression of T‑bet. To conclude, PM2.5 exposure evoked the allergic airway inflammation response, especially in the asthmatic mouse model and led to Th1/Th2 imbalance. These effects worked mainly by upregulating GATA3 and downregulating Runx3. These data suggested that Runx3 may play an important role in PM2.5‑aggravated asthma in BALB/c mice.

Introduction

Asthma is one of the most common chronic respiratory diseases, affecting ~300 million individuals worldwide, and the prevalence is increasing (1). Asthma is characterized by recurrent coughing, wheezing and chest tightness, and affects the quality of life, bringing with it heavy social and economic burdens to patients, their families and to healthcare systems (2). Although asthma is considered a heterogeneous disease, it has classically been considered as a T helper (Th)2 cell allergic disease, with increased infiltration of eosinophils and enhanced immunoglobulin (Ig)E levels. Immune dysfunction, including an imbalance in Th1/Th2, has been reported to be involved in the pathogenesis of the allergic response observed in asthma for several decades (3,4). The Th2-related cytokines interleukin (IL)-4, IL-5 and IL-13 are essential in eosinophil accumulation, airway hyper-responsiveness (AHR), mucus production and further bronchial fibrosis (5,6). Th1 produces interferon (IFN)-γ, which serves an important role in Th1 differentiation. Naïve CD4+ T cells have the potential to differentiate into different T subtypes, regulated by the type and strength of stimuli and different transcription factors (7). Naïve CD4+ T cells are activated by IL-4-STAT6 signaling, resulting in upregulation of the transcription factor trans-acting T cell-specific transcription factor GATA-3 (GATA3). GATA3 is crucial for Th2 differentiation and Th2 cytokine production (8); the Th2 locus control region has also been reported to regulate Th2 cytokine genes (9). T cells possess the capacity to produce IFN-γ, and this is regulated by several transcription factors, including T-box transcription factor TBX21 (T-bet), eomesodermin and runt-related transcription factor 3 (Runx3) (10).

Runx3 is a member of the Runt domain family of transcription factors; it is expressed in the peripheral blood and immune system and is involved in the development of T cell differentiation (11,12). Previous studies have reported Runx3 is associated with the pathogenesis of asthma; the expression of Runx3 in Th1 cells is higher than that in Th2 cells, and Runx3 knockout mice develop eosinophilic lung inflammation and AHR spontaneously, suggesting that Runx3 is important in the repression of Th2 responses (13,14). The human Runx3 gene is located on chromosome 1p36 and contains two promoters P1 and P2. P2 is rich in CpG dinucleotides, and hypermethylation of the CpG island adjacent to Runx3 P2 promoter can result in the development of several diseases, including leukemia and gastric cancer (15–17). Men et al (18) reported that methylation of the CpG islands in the Runx3 gene promoter leads to silencing of Runx3 expression, and this underlies the progression of bronchiolitis into asthma in Chinese children. It has previously been suggested that Runx3 and GATA3 co-regulate each other, and the relative expression of GATA3 and Runx3 may regulate Th1/Th2 responses (19).

To date, >100 asthma-associated gene variants have been reported to be involved in the occurrence and pathology of asthma. However, hereditary factors explain only ~10% of the risk of developing asthma (20–22). Asthma is affected by both heredity and environmental exposure. Owing to rapid industrialization, urbanization and population growth, atmospheric pollution is now considered a major risk factor for the development of asthma (1). Particulate matter (PM) composition is the major component of air pollution. PM is divided into three main groupings: PM10, coarse (diameter, 2.5–10 µm); PM2.5, fine (diameter, <2.5 µm); and PM1, ultrafine (diameter, <1 µm) (23). PM2.5 is small enough to penetrate terminal bronchioles and alveoli, and previous studies have indicated that PM2.5 is the most relevant with regards to asthma-related environmental factors (24). PM2.5 has been reported to exacerbate airway inflammation by upregulating the expression of transient receptor potential cation channel subfamily A member 1 and microRNAs (25), promoting reactive oxygen species accumulation (26), and activating toll-like receptor (TLR)2/TLR4/myeloid differentiation primary response protein M2yD88 and NF-κB signaling pathways in a murine model of asthma (27,28). PM2.5 has also been reported to induce autophagy of human bronchial epithelium cells via nitric oxide synthase inducible signaling in vitro (29), as well as disturb the balance between Th1/Th2 and Th17/regulatory T cells (30,31). However, the precise mechanism by which PM2.5 induces/aggravates asthma in patients remains undetermined. Our previous study demonstrated that ambient PM2.5 exposure aggravated airway inflammation of asthmatic mice in a dose-dependent manner, and a high dose of PM2.5 exposure induced mixed eosinophilic/neutrophilic inflammation (32). However, to the best of our knowledge, there are no studies that have assessed the expression of related transcription factors, including GATA-3, T-bet and Runx3, induced by PM2.5. Combined with our previous study, it was hypothesized that PM2.5 aggravates airway inflammation and induces an imbalance of Th1/Th2 cells by interfering with the expression of the transcription factor GATA3, RUNX3 and T-bet. Therefore, the present study aimed to examine the effects of 2.5 µm particulate matter (PM2.5) on airway inflammation and to investigate the possible underlying mechanism.

Materials and methods

Collection and measurement of PM2.5

PM2.5 was collected using a 2033B high-volume air sampler (Qingdao Laoying Environmental Technology Co., Ltd.) at a flow rate of 100 l/min, 8 h/day for 12 months (between January and December 2018) in Yantai, Shandong, China. After sampling, the fiberglass filters were removed and cut into small pieces of 1×3 cm, the fibers were immersed in ultrapure water, ultrasonic vibrations were used to elute the PM2.5, which was concentrated by freeze-drying. The PM was mixed with saline to obtain a particle suspension prior to experimentation. The concentration of polycyclic aromatic hydrocarbons (PAHs) and metals in the samples were determined using high-performance liquid chromatography (HPLC; Hitachi Model 600 HPLC; Hitachi, Ltd.) and inductively coupled plasma atomic emission spectrometry (ICP-AES; 61E Trace and ICP-750; Thermo Jarrell-Ash) according to the manufacturer's protocol. HPLC was conducted at room temperature. PM2.5 samples (100 µl) were mixed with the same volume of Na2SO4, then added into 10 ml normal hexane/acetone (1:1). The samples were extracted by ultrasonication (20 kHz) for 20 min at room temperature and moved into the purification column (400×10 mm; cat. no. V0301050001; Shanghai Chubo Laboratory Equipment Co., Ltd.) at 1.0 ml/min. Ultrasonic extraction was performed for 5 min. PAHs were determined at 254 nm using PAH standards (cat. no. PAH525-1JM; Chemservice). ICP-AES was conducted at room temperature, the samples were added nitric acid to limit the acidity to 5%, the wavelength range was 165–872 nm, the power was 1100 W, and the analysis line and detection limits of each metal was as follows: Ca (317.933 nm; 0.003 mg/l), Fe (328.204 nm; 0.000 mg/l), Mn (257.610 nm; 0.000 mg/l), Zn (213.867 nm; 0.015 mg/l), K (766.490 nm; 0.12 mg/l), Ba (455.403 nm; 0.000 mg/l), Na (589.592 nm; 0.018 mg/l) and As (460.733 nm; 0.008 mg/l).

Animals and experimental design

A total of 48 6-week-old male BALB/c mice (8–22 g in weight) were obtained from Ailingfei Animals Center (Nanjing, China). The animal experiments were approved by the Institutional Animal Care and Use Committee of Nanjing Medical University (approval no. 20110217). Animals were anesthetized to minimize suffering. The mice were maintained under a 12 h light/dark cycle at a constant temperature (22±2°C) and a relative humidity of 55±10%; all animals had ad libitum access to food and water. The mice were randomly divided into four groups (n=12/group) as follows: i) Control group, ii) ovalbumin (OVA) group, iii) PM2.5 group and iv) OVA + PM2.5 group. A 26-day model was used based on our previous study (33). On days 0, 7 and 14, mice in the OVA and OVA + PM2.5 groups were intraperitoneally (i.p.) injected with 100 µg OVA (cat. no. A5503; Sigma-Aldrich; Merck KGaA), which was combined with an alum adjuvant (0.2 ml; cat. no. 77161; Thermo Fisher Scientific, Inc.); mice in the control and PM2.5 groups were administered an equivalent volume of PBS (i.p.). A total of 100 µg PM2.5 particles in 50 µl physiological saline was administered intranasally to mice in the PM2.5 and OVA + PM2.5 groups from days 16–20, an equivalent volume of PBS was administered intranasally to mice in the control and OVA group. Mice, except for those in the control group, were challenged with aerosolized 1% OVA (total volume, 100 ml) for 30 min from days 21–25. The detailed protocols are shown in Fig. 1.

Figure 1.

Overview of the experimental design. On days 0, 7 and 14 mice in the OVA and OVA + PM2.5 groups were i.p. injected with 100 µg OVA and alum adjuvant, whereas mice in the control and PM2.5 groups were administered an equivalent volume of PBS (i.p.). A total of 100 µg PM2.5 particles in 50 µl physiological saline was administered intranasally to mice in the PM2.5 and OVA + PM2.5 groups from days 16–20, an equivalent volume of PBS was administered intranasally to mice in the control and OVA group. Mice, except for those in the control group, were challenged with aerosolized 1% OVA (total volume, 100 ml) for 30 min from days 21–25. OVA, ovalbumin; PM2.5, 2.5 µm particulate matter; i.p., intraperitoneally; PBS, phosphate-buffer saline.

Airway responsiveness determination

Airway responsiveness to acetylcholine chloride (ACH) was assessed 24 h after the final OVA challenge using an AniRes 2005 animal lung function analysis system (Best Lab Solutions). After anesthetizing mice with sodium pentobarbital (70 mg/kg) via intraperitoneal injection, mice were intubated through the trachea for mechanical ventilation and the caudal vein for ACH administration. The mice were ventilated to measure airway resistance using progressively increasing doses of ACH (0, 10, 30, 90 and 180 µg/kg). All mice were ventilated at a breath rate set at 90 breaths/min and with the volume set as 6 ml/kg (34).

Determination of serum OVA-specific IgE and cytokines in bronchoalveolar lavage fluid (BALF)

After sacrificing mice by cervical dislocation, blood was collected from the heart. The blood samples were centrifuged at 3,000 × g for 10 min at 4°C to obtain the serum. The serum levels of OVA-specific IgE were assessed using an ELISA kit (cat. no. ab157718; Abcam). The mice were subsequently intubated, the left main bronchus was ligated and the airway lumina of the right lungs were washed three times (0.4, 0.3 and 0.3 ml, respectively) with sterile saline. The BALF was centrifuged (12,000 × g at 4°C for 10 min) and ELISA kits were used to detect the levels of IL-4 (cat. no. 20186; Quanzhou Ruixin Biological Technology Co., Ltd.), IL-5 (cat. no. ab204523; Abcam), IL-13 (cat. no. ab219634; Abcam) and IFN-γ (cat. no. ab100689; Abcam), according to the manufacturer's protocol.

Cell counting in BALF

After centrifugation (5,000 × g at 4°C for 10 min), part of the BALF sediment was resuspended in 1 ml PBS, BALF cytospins were stained at room temperature for 3 min using the Wright-Giemsa method (cat. no. RBR00502; Shanghai Rongbai Biotechnology Co., Ltd.), according to the manufacturer's protocol, and cells were counted using a BX53 light microscope (magnification, ×100; Olympus Corporation) and a hemocytometer. To avoid errors, each sample was counted by two independent researchers. The total number of cells and the number of four different types of inflammatory cells (macrophages, lymphocytes, eosinophils and neutrophils) were recorded.

Pulmonary histopathological analysis

The left lungs of the mice were prepared for histological analysis and fixed in 4% triformol for 48 h at room temperature. Paraffin-embedded sections were sliced into 5-µm thick sections for staining with the hematoxylin and eosin kit (Beijing Solarbio Science & Technology Co., Ltd.) at room temperature for 1 h to observe inflammatory changes using a BX53 light microscope (magnification, ×100; Olympus Corporation). Carl Zeiss Axiovision Viewer Image software (version 4.82.SP2 1CD; Carl Zeiss AG) were used to assess the mean liner intercept (MLI), matrix membrane layer and smooth muscle layer of the airways. Periodic Acid Schiff (PAS) (Beijing Solarbio Science & Technology Co., Ltd.) staining was used to assess mucus secretion. PAS+ cells were analyzed using Axiovision Viewer Image software and the ratio of PAS+ cells to bronchus was calculated.

Western blotting

The right lung was removed, and total protein was extracted using Total Extraction Sample Kit (Sigma-Aldrich; Merck KGaA) according to the manufacturer's protocols. Protein concentrations were determined using the BCA method (cat. no. 23225; Thermo Fisher Scientific, Inc.). Proteins (30 µg) were resolved by 10% SDS-PAGE, and then transferred to a PVDF membrane. Following blocking with TBST supplemented with 5% skim milk powder for 2 h at room temperature, the PVDF membranes were incubated with antibodies against GATA3 (1:1,000; cat. no. ab106625; Abcam), STAT6 (1:2,000; cat. no. ab32520; Abcam), T-bet (1:500; cat. no. ab91109; Abcam) or Runx3 (1:1,000; cat. no. ab135248; Abcam) at 4°C overnight. The membranes were subsequently incubated with HRP-conjugated goat anti-mouse secondary antibody (1:5,000; cat. no. ab205719; Abcam) the following day for 1 h at room temperature. Signals were visualized using ECL Chemiluminescence Detection kit (cat. no. SW2010; Beijing Solarbio Science & Technology Co., Ltd.). Protein expression levels were semi-quantified using Gel-Pro-Analyzer software (version 4.0; Media Cybernetics, Inc.) with β-actin as the loading control.

Reverse transcription-quantitative PCR (RT-qPCR)

Right lung was removed, and total cellular RNA was extracted using TRIzol® reagent (cat. no. 15596026; Invitrogen; Thermo Fisher Scientific, Inc.). A One-step RT-PCR kit (cat. no. 639504; Takara Bio, Inc.) was used according to the manufacturer's protocols to reverse transcribe RNA into cDNA. Subsequently, mRNA expression levels of cytokines and transcription factors were evaluated via RT-qPCR using BlazeTaq™ SYBR® Green qPCR Mix (GeneCopoeia, Inc.) according to the manufacturer's protocol. The following thermocycling conditions were used for qPCR: 95°C for 30 sec; followed by 40 cycles at 95°C for 30 sec and at 60°C for 30 sec; and then at 72°C for 30 sec. Lightcycler software (version 480; Roche Molecular Diagnostics) was used to measure the Cq values and the results were expressed relative to GAPDH. Primers were selected from PrimerBank (35). The forward and reverse sequences of the primers used for amplification are presented in Table I. mRNA expression levels were quantified using the 2−∆∆Cq method (36).

Table I.

Primer sequences used for reverse transcription-quantitative PCR.

Table I.

Primer sequences used for reverse transcription-quantitative PCR.

GenePrimer sequences (5′→3′)
IL-4F: TGAACGAGGTCACAGGAGAA
R: CGAGCTCACTCTCTGTGGTG
IL-5F: CTCTGTTGACAAGCAATGAGACG
R: TCTTCAGTATGTCTAGCCCCTG
IL-13F: TGTGTCTCTCCCTCTGACCC
R: CACACTCCATACCATGCTGC
IFN-γF: ATGAACGCTACACACTGCATC
R: CCATCCTTTTGCCAGTTCCTC
GATA3F: TTATCAAGCCCAAGCG
R: CCATTAGCGTTCCTCCTC
T-betF: GTGACCCAGATGATTGTGCTC
R: GTAGGCAGTCACGGCAATG
Runx3F: TCCAACAGCATCTTGACTCCTT
R: GGTGCTCGGGTCTCGTAT
GAPDHF: AGGTCGGTGTGAACGGATTTG
R: TGTAGACCATGTAGTTGAGGTCA

[i] GATA3, trans-acting T cell-specific transcription factor GATA-3; T-bet, T-box transcription factor TBX21; Runx3, runt-related transcription factor 3; IFN-γ, interferon; IL-, interleukin.

Flow cytometry

The spleen was taken to the ultra-clean table, ground using a cell strainer (mesh size, 100), and the cell suspension was obtained. After stimulation with phorbol myristate acetate (25 µg/ml) + lonomycin (20 µg/ml) at 37°C for 4 h (Beijing Solarbio Science & Technology Co., Ltd.), the cells were fixed using 4% paraformaldehyde at room temperature for 10 min. Cells were incubated with PerCP/cyanine5.5-conjugated anti-CD4 (cat. no. 45-0042-80; Thermo Fisher Scientific, Inc.), PE-conjugated anti-IL-4 (cat. no. 12-7041-41; Thermo Fisher Scientific, Inc.) and FITC-conjugated anti-IFN-γ (cat. no. 11-7311-41; Thermo Fisher Scientific, Inc.) antibodies for 20 min at room temperature. Th1 and Th2 cells were sorted using a FACSCanto™ flow cytometer (BD Biosciences). The corresponding percentage of Th1 cells, Th2 cells and Th1/Th2 ratio were calculated and analyzed using FlowJo software (version 10; BD Biosciences).

Statistical analysis

All experiments were performed at least three times. Data are presented as the mean ± standard deviation, and differences between four groups were analyzed using one-way ANOVA followed by Tukey's post hoc test. P<0.05 was considered to indicate a statistically significant difference.

Results

PM2.5 components

The chemical constituents identified in PM2.5 samples are listed in Table II. Metals and PAHs accounted for the primary constituents of ambient PM2.5 samples collected in Yantai, China. The results showed that sodium, magnesium, aluminum, calcium and zinc were the primary metals found. Naphthalene, acenaphthene, phenanthrene, benzofluoranthene and benzopyrene were the primary PAHs in the ambient PM2.5. The results suggested that the metals and PAHs may account for the exacerbating effect of PM2.5 on the occurrence and prevalence of asthma.

Table II.

Metals and PAH composition in PM2.5.

Table II.

Metals and PAH composition in PM2.5.

A, Metal

TypePM2.5, µg/mg
Na60.51
Mg40.93
Al37.28
Ca32.17
Zn18.93
Fe11.24
K9.17
Mn5.40
Ba4.92
As3.14

B, PAHs

TypePM2.5, µg/mg

Naphthalene11.41
Acenaphthene11.06
Phenanthrene9.17
Benzofluoranthene4.69
Benzo1.59
Fluoranthene0.97
Pyrene0.34
Chrysene0.25
Anthracene0.13

[i] PM2.5, 2.5 µm particulate matter; PAH, polycyclic aromatic hydrocarbon.

Effects of PM2.5 on AHR

The results of in vivo experiments showed that increased administration of ACH, OVA and PM2.5 co-exposure significantly increased the lung resistance compared with that observed in the groups treated with PM2.5 and OVA alone (Fig. 2). The airway resistance of mice in the PM2.5 group treated with ACH was significantly higher compared with the control group, but lower than that in the OVA group.

Figure 2.

PM2.5 exposure exacerbates airway hyper-responsiveness, especially in asthmatic mice. Data are expressed as the mean ± SD; n=12; *P<0.05 vs. Control; ∆P<0.05 vs. PM2.5; #P<0.05 vs. OVA. OVA, ovalbumin; PM2.5, 2.5 µm particulate matter; RL, resistance of the lung.

Effects of PM2.5 on the serum levels of OVA-specific IgE and cytokines in BALF

The levels of serum OVA-specific IgE increased significantly in the OVA and OVA + PM2.5 groups compared with the PM2.5 and control groups (Fig. 3A). Levels of OVA-specific IgE in the OVA + PM2.5 group were increased notably compared with the OVA group. However, there were no significant differences between the PM2.5 and control groups. OVA + PM2.5 significantly increased IL-4, IL-5 and IL-13 levels in BALF compared with the control, OVA and PM2.5 groups (Fig. 3B-D, respectively); OVA and PM2.5 alone significantly increased the levels of these cytokines in BALF compared with the control group. PM2.5 alone resulted in less secretion of these cytokines compared with the OVA mice. The changes in expression of IFN-γ in these four groups were opposite to that observed for IgE, IL-4, IL-5 and IL-13 (Fig. 3E).

Figure 3.

Expression of serum OVA-specific IgE and inflammatory cytokines in BALF. (A) Expression of OVA-specific IgE in serum. Expression of (B) IL-4, (C) IL-5, (D) IL-13 and (E) IFN-γ in BALF. Data are expressed as the mean ± SD; n=12; *P<0.05 vs. Control; ∆P<0.05 vs. PM2.5; #P<0.05 vs. OVA. OVA, ovalbumin; BALF, bronchoalveolar lavage fluid; PM2.5, 2.5 µm particulate matter; IFN-γ, interferon; IL-, interleukin.

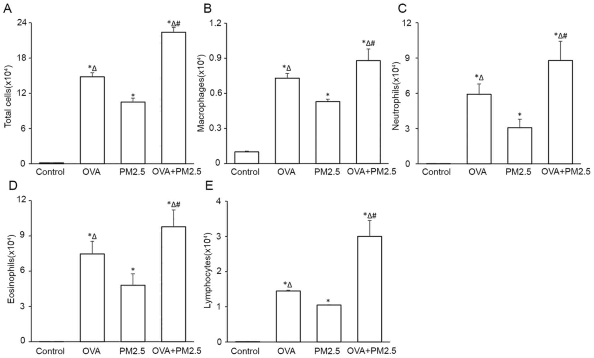
Effects of PM2.5 on inflammatory cell count in BALF

PM2.5 exposure increased the total inflammatory cell count and the count of each type of inflammatory cell assessed, including macrophages, neutrophils, eosinophils and lymphocytes, in BALF sediments, particularly in the OVA + PM2.5 group (Fig. 4). The increase observed in the OVA group was significantly higher compared with the PM2.5 alone and control groups.

Figure 4.

Total number of inflammatory cells in the BALF from the right lungs of mice. Wright-Giemsa staining method was performed to show the (A) total number of inflammatory cells, and the differential expression of types of inflammatory cells, including (B) macrophages, (C) neutrophils, (D) eosinophils and (E) lymphocytes, in the BALF from the right lungs of mice. Data are expressed as the mean ± SD; n=12; *P<0.05 vs. Control; ∆P<0.05 vs. PM2.5; #P<0.05 vs. OVA. BALF, bronchoalveolar lavage fluid; OVA, ovalbumin; PM2.5, 2.5 µm particulate matter.

Effects of PM2.5 on pathological changes in the airway

No pathological alterations were found in the lungs of the control group. PM2.5 alone caused a small degree of airway inflammation, whereas OVA exposure exacerbated airway inflammation, particularly in the OVA + PM2.5 group, OVA + PM2.5 exposure resulted in focal infiltration of inflammatory cells into the airway (Fig. 5A). PM2.5 increased mlI of mice, and a significant difference was observed between the asthmatic mice compared with the OVA group (Fig. 5B). PM2.5 increased matrix membrane layer thickness and smooth muscle layer thickness significantly (Fig. 5C and D, respectively), particularly in mice treated with both OVA and PM2.5. Furthermore, mucus secretion was significantly increased in the mice of the OVA + PM2.5 group; OVA and PM2.5 alone increased mucus secretion significantly compared with the control group, and the PM2.5 group showed fewer PAS+ cells compared with the OVA group (Fig. 5E).

Figure 5.

PM2.5 exposure aggravates airway inflammation and mucus secretion, especially in asthmatic mice. (A) Hematoxylin and eosin and PAS staining images (magnification, ×200). Inflammation indicated by red arrows. Quantitative analysis of mean (B) linear intercept, (C) matrix membrane layer, (D) smooth muscle layer and (E) PAS+ cells per bronchus using Axiovision Viewer Image software. Data are expressed as the mean ± SD; n=6; *P<0.05 vs. Control; ∆P<0.05 vs. PM2.5; #P<0.05 vs. OVA. OVA, ovalbumin; PM2.5, 2.5 µm particulate matter; PAS, Periodic Acid Schiff.

Effects of PM2.5 on the expression of transcription factors

The results of western blotting showed that a combination of OVA and PM2.5 significantly enhanced the protein expression levels of the GATA3 and STAT6 compared with the other groups (Fig. 6). The expression of GATA3 and STAT6 in the mice treated with PM2.5 alone was higher compared with the control group. Expression of the transcription factors in the OVA group were significantly higher compared with the PM2.5 group. Conversely, PM2.5 lowered the expression of Runx3, and the decrease was more pronounced in the OVA + PM2.5 group. Additionally, expression of Runx3 was significantly lower in the OVA group compared with the control group. No significant differences in Runx3 expression were observed between the OVA and PM2.5 groups. However, expression of T-bet in OVA and OVA + PM2.5 groups were significantly lower compared with all the other groups. PM2.5 alone decreased the expression of T-bet compared with the control mice, but no significant differences were observed in the expression levels of T-bet between the PM2.5 and control groups. These results suggested that transcription factor Runx3, but not T-bet served a vital role in PM2.5-induced asthmatic pathological processes.

Figure 6.

Protein expression of GATA3, STAT6, T-bet and Runx3 in the lung tissues of mice. (A) Western blotting images and (B) semi-quantification of the protein expression of GATA3, STAT6, T-bet and Runx3. Data are expressed as the mean ± SD; n=6; *P<0.05 vs. Control; ∆P<0.05 vs. PM2.5; #P<0.05 vs. OVA. OVA, ovalbumin; PM2.5, 2.5 µm particulate matter; GATA3, trans-acting T cell-specific transcription factor GATA-3; T-bet, T-box transcription factor TBX21; Runx3, runt-related transcription factor 3.

Effects of PM2.5 on the mRNA expression of the cytokines

The mRNA expression levels of inflammatory cytokines and transcription factors were measured by RT-qPCR. The variation in trends and mRNA ratios were the same as those observed for the changes in the protein expression levels (Fig. 7).

Figure 7.

mRNA expression levels of IL-4, IL-5, IL-13, IFN-γ, GATA3, T-bet and Runx3 in the lung tissues of mice. Data are expressed as the mean ± SD; n=6; *P<0.05 vs. Control; ∆P<0.05 vs. PM2.5; #P<0.05 vs. OVA. OVA, ovalbumin; PM2.5, 2.5 µm particulate matter; GATA3, trans-acting T cell-specific transcription factor GATA-3; T-bet, T-box transcription factor TBX21; Runx3, runt-related transcription factor 3; IFN-γ, interferon; IL-, interleukin.

Effects of PM2.5 on the differentiation of Th1 and Th2

The proportion (%) of Th2 was significantly increased in the OVA group compared with the control group, as measured by flow cytometry (Fig. 8). PM2.5 exposure slightly decreased the proportion of Th1 cells and increased the proportion of Th2 cells, but no significant difference was observed compared with the control group. Co-exposure of OVA and PM2.5 significantly decreased the population of Th1 cells and increased the population of Th2 cells. In addition, PM2.5 significantly disturbed the balance between Th1/Th2 cells compared with the control group, OVA + PM2.5 co-exposure exhibited an enhanced effect, further disturbing the balance significantly compared with the OVA group.

Figure 8.

Percentage of Th1 and Th2 cells was measured using flow cytometry and the ratio of Th1 and Th2 cells was assessed. (A) Flow cytometry plots and quantification of (B) the percentage of Th1 cells, (C) the percentage of Th2 cells and (D) the Th1/Th2 ratio. Data are expressed as the mean ± SD; n=6; *P<0.05 vs. Control; ∆P<0.05 vs. PM2.5; #P<0.05 vs. OVA. OVA, ovalbumin; PM2.5, 2.5 µm particulate matter; Th, T helper cells.

Discussion

Although asthma is recognized as a heterogeneous disease, eosinophilic airway inflammation serves a classical role in the development of asthma (37), accompanied by infiltration of mast cells, T lymphocytes and neutrophils, which is associated with increased release of Th2-related cytokines (38). Th2 cytokines, mainly result from Th2 cells, serve a crucial role in allergic inflammation. IL-4 promotes differentiation in Th2 cells, IL-13 mediates AHR and mucus hyperproduction, whereas IL-5 is highly specific to activation and recruitment of eosinophils. IFN-γ, produced by Th1 cells, induces immunity against intracellular pathogens. The cytokines form a complex inflammatory network and regulate the immune response. In the present study, PM2.5 alone significantly increased the levels of Th2 cytokines IL-4, IL-5 and IL-13, and decreased the levels of IFN-γ compared with the control mice, consistent with the aggravation of inflammatory cells, particularly eosinophil infiltration into the airway, airway mucus hypersecretion and AHR. Although the effect was lower compared with the OVA group, airway inflammation and AHR increased significantly in the OVA + PM2.5 group. Together, the results of the present study showed that ambient PM2.5 collected in Yantai evoked an allergic inflammatory response in the airway of mice, and the aggravating effect was notably increased in the mouse model of asthma. These results share some similarity with previous studies (39–41). Meanwhile, an imbalance of Th1/Th2 was found in groups exposed to PM2.5, especially in the OVA + PM2.5 group. In the present study, it was found that although PM2.5 decreased the percentage of Th1 cell and increased the percentage of Th2 cells slightly, PM2.5 did alter the Th1/Th2 cell ratio significantly. The present study also demonstrated that co-exposure of PM2.5 and OVA aggravated the imbalance of Th1/Th2.

An imbalance in Th1/Th2 cells was observed in the groups exposed to PM2.5, particularly in the OVA + PM2.5 group. The capacity of T cells to produce inflammatory cytokines and the differentiation of T cells is programmed by transcription factors. GATA3 is a master transcription factor involved in induction of Th2 differentiation, which is upregulated by IL-4-STAT6 signaling (42). T-bet controls Th1 differentiation and programme cytokines patterns (43,44). Additionally, Runx3 is another Th1 transcription factor. Runt-related transcription factors serve a vital role in T cell-mediated immunity, which is also responsible for IFN-γ production. Knockdown of Runx3 results in a notable decrease in IFN-γ levels in GATA3 and T-bet double-deficient mice (45). Runx3 transgenic mice exhibited a Th1 cell phenotype (45), Runx3fl/fl mice exhibited spontaneous eosinophilic airway inflammation and AHR (46). Zhou et al (47) demonstrated that mislocalization of Runx3 induces airway inflammation and AHR in asthmatic mice. Furthermore, Runx3 has been reported to suppress IL-4, and these inhibitory effects can be observed without the involvement of T-bet (18,48). Thus, blocking Runx3 results in diminished IFN-γ production and Th2-related inflammation. In the present study, it was hypothesized that PM2.5 evoked airway inflammation by regulating the expression of transcription factors. It was first found that PM2.5 exposure significantly increased the protein and mRNA levels of GATA3 and STAT6, which demonstrated that PM2.5 may alter Th2 differentiation. The protein and mRNA levels of T-bet in the PM2.5-treated group (alone) did not differ significantly compared with the control group, which was different from the OVA group. Whereas expression of Runx3 decreased significantly compared with the control group. OVA exposure decreased the expression of both T-bet and Runx3, and enhanced the expression of both GATA-3 and STAT6. Thus, the results demonstrated that the transcription factors GATA3, STAT6, T-bet and Runx3 served a vital role in the pathology of asthma. The present study also suggested that PM2.5 inhibited the Th1 response primarily through downregulation of Runx3, but not T-bet. Combined exposure to PM2.5 and OVA exhibited a enhanced suppressor effect on Th1 differentiation.

The gene expression level of Runx3 is controlled by promoters that are rich in CpG islands. Previous studies have reported that methylation of promoter regions results in silencing of Runx3 gene expression, which leads to the development of several diseases (49–51). The present study showed that the protein and mRNA levels of Runx3 were significantly decreased in the PM2.5 and OVA exposure groups. However, whether methylation of Runx3 influences its expression remains undetermined, and will be assessed in future studies.

The primary ambient components collected in Yantai were metals and PAHs. An increasing number of studies have demonstrated that metals in the PM2.5 category contribute to allergic airway inflammation (52,53). Additionally, previous studies have reported that PM2.5-associated PAHs are involved in the development of allergic inflammation through interactions with the arylhydrocarbon receptor and PAHs have been suggested to regulate the differentiation of T cells (54–56). The components of PM2.5 may be responsible for the initiation and exacerbation of asthma; however, it remains unclear which specific metals or PAHs are responsible for the exacerbation observed in the present study.

The present study has some limitations. Numerous transcription factors are involved in the inflammatory network of asthma, the master transcription factors GATA3, T-bet and Runx3 have been reported to interact with each other. Previous studies have demonstrated that GATA3 regulates the expression of T-bet by repressing the IL-12-STAT4-IFN-γ pathway (57), and T-bet can function with Runx3 to repress IL-4 and GATA3 expression (19). However, whether these transcription factors interact with each other in PM2.5-exposed mice remains unknown, thus future studies will study the effect of gene knockout mice to assess the roles of these transcription factors.

In conclusion, ambient PM2.5 exposure upregulated the expression levels of the transcription factors GATA3 and STAT6 and downregulated the expression of Runx3. This resulted in an imbalance in the ratio of Th1/Th2 cells, and evoked allergic inflammation and AHR in the airways, and these effects were notably exacerbated in the mouse model of asthma.

Acknowledgements

Not applicable.

Funding

The present study was supported by a grant from The Science and Technology Planning Project of Yantai (grant nos. 2020YD004 and 2020YD082).

Availability of data and materials

All data generated or analyzed during the present study are included in this published article.

Authors' contributions

LP and SZ participated in the design of the study. YS and YF performed experimental procedures. PY and XL conducted data analysis. LP, SZ and PY confirmed the authenticity of all the raw data. All authors read and approved the final manuscript.

Ethics approval and consent to participate

The experimental animal study was approved by the Institutional Animal Care and Use Committee of Nanjing Medical University (Nanjing, China; approval no. 20110217).

Patient consent for publication

Not applicable.

Competing interests

The authors declare that they have no competing interests.

References

1 

Global Initiative for Asthma (GINA), . GINA Global strategy for asthma management and prevention. GINA; Fontana, WI: 2019, www.ginasthma.org

2 

GBD 2016 Disease and Injury Incidence and Prevalence Collaborators, . Global, regional, and national incidence, prevalence, and years lived with disability for 328 diseases and injuries for 195 countries, 1990–2016: A systematic analysis for the Global Burden of Disease Study 2016. Lancet. 390:1211–1259. 2017. View Article : Google Scholar : PubMed/NCBI

3 

Holgate ST: Innate and adaptive immune responses in asthma. Nat Med. 18:673–683. 2012. View Article : Google Scholar : PubMed/NCBI

4 

Hogg JC: The pathology of asthma. APMIS. 105:735–745. 1997. View Article : Google Scholar : PubMed/NCBI

5 

Walsh GM: Anti-IL-4/-13 based therapy in asthma. Expert Opin Emerg Drug. 20:349–352. 2015. View Article : Google Scholar

6 

Arima M and Fukuda T: Prostaglandin D2 and T(H)2 inflammation in the pathogenesis of bronchial asthma. Korean J Intern Med. 26:8–18. 2011. View Article : Google Scholar : PubMed/NCBI

7 

Zhu J, Yamane H and Paul WE: Differentiation of effector CD4 T cell populations. Annu Rev Immunol. 28:445–489. 2012. View Article : Google Scholar

8 

Ho IC, Tai TS and Pai SY: GATA3 and the T-cell lineage: Essential functions before and after T-helper-2-cell differentiation. Nat Rev Immunol. 9:125–135. 2010. View Article : Google Scholar

9 

Koh BH, Hwang SS, Kim JY, Lee W, Kang MJ, Lee CG, Park JW, Flavell RA and Lee GR: Th2 LCR is essential for regulation of Th2 cytokine genes and for pathogenesis of allergic asthma. Proc Natl Acad Sci U S A. 23:10614–10619. 2010. View Article : Google Scholar

10 

Lighvani AA, Frucht DM, Jankovic D, Yamane H, Aliberti J, Hissong BD, Nguyen BV, Gadina M, Sher A, Paul WE and O'Shea JJ: T-bet is rapidly induced by interferon-gamma in lymphoid and myeloid cells. Proc Natl Acad Sci U S A. 98:15137–15142. 2001. View Article : Google Scholar : PubMed/NCBI

11 

Voon DC, Hor YT and Ito Y: The RUNX complex: Reaching beyond haematopoiesis into immunity. Immunology. 146:523–536. 2015. View Article : Google Scholar : PubMed/NCBI

12 

Shan Q, Zeng Z, Xing S, Li F, Hartwig SM, Gullicksrud JA, Kurup SP, Van Braeckel-Budimir N, Su Y, Martin MD, et al: The transcription factor Runx3 guards cytotoxic CD8+ effector T cells against deviation towards follicular helper cell lineage. Nat immunol. 18:931–939. 2017. View Article : Google Scholar : PubMed/NCBI

13 

Cruz-Guilloty F, Pipkin ME, Djuretic IM, Levanon D, Lotem J, Lichtenheld MG, Groner Y and Rao A: Runx3 and T-box proteins cooperate to establish the transcriptional program of effector CTLs. J Exp Med. 206:51–59. 2009. View Article : Google Scholar : PubMed/NCBI

14 

Naoe Y, Setoguchi R, Akiyama K, Muroi S, Kuroda M, Hatam F, Littman DR and Taniuchi I: Repression of interleukin-4 in T helper type 1 cells by Runx/Cbf beta binding to the Il4 silencer. J Exp Med. 204:1749–1755. 2007. View Article : Google Scholar : PubMed/NCBI

15 

Estécio MR, Maddipoti S, Bueso-Ramos C, DiNardo CD, Yang H, Wei Y, Kondo K, Fang Z, Stevenson W, Chang KS, et al: RUNX3 promoter hypermethylation is frequent in leukemia cell lines and associated with acute myeloid leukemia inv(16) subtype. Br J Haematol. 169:344–351. 2015. View Article : Google Scholar : PubMed/NCBI

16 

Lin Z, Luo M, Chen X, He X, Qian Y, Lai S, Si J and Chen S: Combined detection of plasma ZIC1, HOXD10 and RUNX3 methylation is a promising strategy for early detection of gastric cancer and precancerous lesions. J Cancer. 8:1038–1044. 2017. View Article : Google Scholar : PubMed/NCBI

17 

Kang KA, Piao MJ, Ryu YS, Maeng YH and Hyun JW: Cytoplasmic localization of RUNX3 via histone deacetylase-mediated SRC expression in oxidative-stressed colon cancer cells. Cell Physiol. 232:1914–1921. 2017. View Article : Google Scholar

18 

Men S, Yu Y, Zhang Y, Wang Y, Qian Q, Li W and Yin C: Methylation landscape of RUNX3 promoter region as a predictive marker for Th1/Th2 imbalance in bronchiolitis. Med Sci Monit. 25:7795–7807. 2019. View Article : Google Scholar : PubMed/NCBI

19 

Yagi R, Junttila IS, Wei G, Urban JF Jr, Zhan K, Paul WE and Zhu J: The transcription factor GATA3 actively represses RUNX3 protein-regulated production of interferon-gamma. Immunity. 32:507–517. 2010. View Article : Google Scholar : PubMed/NCBI

20 

Vercelli D: Discovering susceptibility genes for asthma and allergy. Nat Rev Immunol. 8:169–182. 2008. View Article : Google Scholar : PubMed/NCBI

21 

Lockett GA and Holloway JW: Genome-wide association studies in asthma; perhaps, the end of the beginning. Ourr Opin Allergy Clin Immunol. 13:463–469. 2013. View Article : Google Scholar

22 

Weiss ST and Silverman EK: Pro: Geome-wide association studies (GWAS) in asthma. Am J Respir Crit Care Med. 184:631–633. 2011. View Article : Google Scholar : PubMed/NCBI

23 

Orellano P, Quaranta N, Reynoso J, Balbi B and Vasquez J: Effect of outdoor air pollution on asthma exacerbations in children and adults: Systematic review and multilevel meta-analysis. PLoS One. 12:e01740502017. View Article : Google Scholar : PubMed/NCBI

24 

Vempilly J, Abejie B, Diep V, Gushiken M, Rawat M and Tyner TR: The synergetic effect of ambient PM2.5 exposure and rhinovirus infection in airway dysfunction in asthma: A pilot observational study from the central valley of California. Exp Lung Res. 39:434–440. 2013. View Article : Google Scholar : PubMed/NCBI

25 

Liu H, Fan X, Wang N, Zhang Y and Yu J: Exacerbating effects of PM2.5 in OVA-sensitized and channenged mice and the expression of TRPA1 and TRPV1 proteins in lungs. J Asthma. 54:807–817. 2017. View Article : Google Scholar : PubMed/NCBI

26 

Wang L, Xu J, Liu H, Li J and Hao H: PM2.5 inhibits SOD1 expression by up-regulating microRNA-206 and promotes ROS accumulation and disease progression in asthmatic mice. Int Immunopharmacology. 76:1058712019. View Article : Google Scholar

27 

He M, Ichinose T, Yoshida Y, Arashidani K, Yoshida S, Takano H, Sun G and Shibamoto T: Urban PM2.5 exacerbates allergic inflammation in the murine lung via a TLR2/TLR4/MyD88-signaling pathway. Sci Rep. 7:110272017. View Article : Google Scholar : PubMed/NCBI

28 

Pang L, Zou S, Shi Y, Mao Q and Chen Y: Apigenin attenuates PM2.5-induced airway hyperresponsiveness and inflammation by down-regulating NF-κB in murine model of asthma. Int J Exp Pathol. 12:3700–3709. 2019.

29 

Zhu XM, Wang Q, Xing WW, Long MH, Fu WL, Xia W, Jin C, Guo N, Xu DQ and Xu DG: PM2.5 induces autophagy-mediated cell death via NOS2 signaling in human bronchial epithelium cells. Int J Biol Sci. 14:557–564. 2018. View Article : Google Scholar : PubMed/NCBI

30 

Lu X, Fu H, Han F, Fang Y, Xu J, Zhang L and Du Q: Lipoxin A4 regulates PM2.5-induced severe allergic asthma in mice via the Th1/Th2 balance of group 2 innate lymphoid cells. J Thorac Dis. 10:1449–1459. 2018. View Article : Google Scholar : PubMed/NCBI

31 

Sun L, Fu J, Lin SH, Sun JL, Xia L, Lin CH, Liu L, Zhang C, Yang L, Xue P, et al: Particulate matter of 2.5µm or less in diameter disturbs the balance of TH17/regulatory T cells by targeting glutamate oxaloacetate transaminase 1 and hypoxia-inducible factor 1α in an asthma model. J Allergy Clin Immunol. 145:402–414. 2020. View Article : Google Scholar : PubMed/NCBI

32 

Yu PF, Pang LL, Mao QS, Zou SC, Shi Y and Lin DJ: Dose dependency PM2.5 aggravated airway inflammation in asthmatic mice via down-regulating expression of ITGB4. Eur Rev Med Pharmacol Sci. 23:1688–1697. 2019.PubMed/NCBI

33 

Li RR, Pang LL, Du Q, Shi Y, Dai WJ and Yin KS: Apigenin inhibits allergen-induced airway inflammation and switches immune response in a murine model of asthma. Immunopharmacol Immunotoxicol. 32:364–370. 2010. View Article : Google Scholar : PubMed/NCBI

34 

Shi Y, Tan Y, Mao S and Gu W: Naringenin inhibits allergen induced airway remodeling in a murine model of asthma. Mol Med Rep. 9:1204–1208. 2014. View Article : Google Scholar : PubMed/NCBI

35 

Wang X, Spandidos A, Wang H and Seed B: Primerbank: A PCR primer database for quantiative gene expression analysis, 2012 update. Nucleic Acids Res. 40:D1144–D1149. 2012. View Article : Google Scholar : PubMed/NCBI

36 

Livak KJ and Schmittgen TD: Analysis of relative gene expression data using real-time quantitative PCR and the 2(-Delta Delta C(T)) method. Methods. 25:402–408. 2001. View Article : Google Scholar : PubMed/NCBI

37 

Nakagome K, Matsushita S and Nagata M: Neutrophilic inflammation in severe asthma. Int Arch Allergy Immunol. 158 (Suppl 1):96–102. 2012. View Article : Google Scholar : PubMed/NCBI

38 

Holgate ST: The epidemic of allergy and asthma. J R Soc Med. 97:103–110. 2004. View Article : Google Scholar : PubMed/NCBI

39 

Ogino K, Nagaoka K, Okuda T, Oka A, Kubo M, Eguchi E and Fujikura Y: PM2.5-induced airway inflammation and hyperresponsiveness in NC/Nga mice. Environ Toxicol. 32:1047–1054. 2017. View Article : Google Scholar : PubMed/NCBI

40 

Ogino K, Nagaoka K, Ito T, Takemoto K, Okuda T, Nakayama SF, Ogino N, Seki Y, Hanada H, Takashiba S and Fujikura Y: Involvement of PM2.5-bound protein and metals in PM2.5-induced allergic inflammation in mice. Inhal Toxicol. 30:498–508. 2018. View Article : Google Scholar : PubMed/NCBI

41 

Shen Y, Zhang ZH, Hu D, Ke X, Gu Z, Zou QY, Hu GH, Song SH, Kang HY and Hong SL: The airway inflammation induced by nasal inoculation of PM2.5 and the treatment of bacterial lysates in rats. Sci Rep. 8:98162018. View Article : Google Scholar : PubMed/NCBI

42 

Ouyang W, Ranganath SH, Weindel K, Bhattacharya D, Murphy TL, Sha WC and Murphy KM: Inhibition of Th1 development mediated by GATA-3 through an IL-4-independent mechanism. Immunity. 9:745–755. 1998. View Article : Google Scholar : PubMed/NCBI

43 

Robinson DS and Lloyd CM: Asthma: T-bet-a master controller? Curr Biol. 12:R322–R324. 2002. View Article : Google Scholar : PubMed/NCBI

44 

Robinson DS: The role of the T cell in asthma. J Allergy Clin Immmunol. 126:1081–1091. 2010. View Article : Google Scholar

45 

Kohu K, Ohmori H, Wong WF, Onda D, Wakoh T, Kon S, Yamashita M, Nakayama T, Kubo M and Satake M: The Runx3 transcription factor augments Th1 and down-modulates Th2 phenotypes by interacting with and attenuating GATA3. J Immunol. 183:7817–7824. 2009. View Article : Google Scholar : PubMed/NCBI

46 

Fainaru O, Woolf E, Lotem J, Yarmus M, Brenner O, Goldenberg D, Negreanu V, Bernstein Y, Levanon D, Jung S and Groner Y: Runx3 regulates mouse TGF-beta-mediated dendritic cell function and its absence results in airway in inflammation. EMBO J. 23:969–979. 2004. View Article : Google Scholar : PubMed/NCBI

47 

Zhou X, Zhu J, Bian T, Wang R and Gao F: Mislocalization of Runt-related transcription factor 3 results in airway inflammation and airway hyper-responsiveness in a murine asthma model. Exp Ther Med. 14:2695–2701. 2017. View Article : Google Scholar : PubMed/NCBI

48 

Djuretic IM, Levanon D, Negreanu V, Groner Y, Rao A and Ansel KM: Transcription factors T-bet and Runx3 cooperate to activate Ifng and silence Il4 in T helper type 1 cells. Nat Immunol. 8:145–153. 2007. View Article : Google Scholar : PubMed/NCBI

49 

Saikia S, Rehman AU, Barooah P, Sarmah P, Bhattacharyya M, Deka M, Deka M, Goswemi B, Husain SA and Medhi S: Alteration in the expression of MGMT and RUNX3 due to non-CpG promoter methylation and their correlation with different risk factors in esophageal cancer patients. Tumour Biol. 39:10104283177016302017. View Article : Google Scholar : PubMed/NCBI

50 

Wang S, He Z, Li D, Zhang B, Li M, Li W, Zhu W, Xing X, Zeng X, Wang Q, et al: Aberrant methylation of RUNX3 is present in aflatoxin B1-induced transformation of the L02R cell line. Toxocology. 385:1–9. 2017. View Article : Google Scholar

51 

Liu ZH, Liu JJ, Li SS and Yang XM: Association of RUNX3 methylation with clinical outcome and cell migration/invasion in laryngeal squamous cell carcinoma. Cancer Invest. 34:105–113. 2016. View Article : Google Scholar : PubMed/NCBI

52 

Ogino K, Zhang R, Takahashi H, Takemoto K, Kubo M, Murakami I, Wang DH and Fujikura Y: Allergic airway inflammation by nasal inoculation of particulate matter(PM2.5) in NC/Nga mice. PLoS One. 26:e927102014. View Article : Google Scholar

53 

Ng CFS, Hashizume M, Obase Y, Doi M, Tamura K, Tomari S, Kawano T, Fukushima C, Matsuse H, Chung Y, et al: Associations of chemical composition and sources of PM with lung function of severe asthmatic adults in a low air pollution environment of urban Nagasaki, Japan. Environ Pollut. 252:599–606. 2019. View Article : Google Scholar : PubMed/NCBI

54 

Quintana FJ, Basso AS, Iglesias AH, Korn T, Farez FM, Bettelli E, Caccamo M, Oukka M and Weiner HL: Control of T(reg) and T(H)17 cell differentiation by the ary1 hydrocarbon receptor. Nature. 453:65–71. 2008. View Article : Google Scholar : PubMed/NCBI

55 

Xia M, Harb H, Saffari A, Sioutas C and Chatila TA: A jagged 1-Notch 4 molecular switch mediates airway inflammation induced by ultrafine particles. J Allergy Clin Immunol. 142:1243–1256.e17. 2018. View Article : Google Scholar : PubMed/NCBI

56 

Kawasaki H, Chang HW, Tseng HC, Hsu SC, Yang SJ, Hung CH, Zhou Y and Huang SK: A tryptophan metabolite, kynurenine, promotes mast cell activation through aryl hydrocarbon receptor. Allergy. 69:445–452. 2014. View Article : Google Scholar : PubMed/NCBI

57 

Usui T, Nishikomori R, Kitani A and Strober W: GATA-3 suppresses Th1 development by downregulation of Stat4 and not through effects on IL-12Rbeta2 chain or T-bet. Immunity. 18:415–428. 2003. View Article : Google Scholar : PubMed/NCBI

Related Articles

  • Abstract
  • View
  • Download
  • Twitter
Copy and paste a formatted citation
Spandidos Publications style
Pang L, Yu P, Liu X, Fan Y, Shi Y and Zou S: Fine particulate matter induces airway inflammation by disturbing the balance between Th1/Th2 and regulation of GATA3 and Runx3 expression in BALB/c mice. Mol Med Rep 23: 378, 2021.
APA
Pang, L., Yu, P., Liu, X., Fan, Y., Shi, Y., & Zou, S. (2021). Fine particulate matter induces airway inflammation by disturbing the balance between Th1/Th2 and regulation of GATA3 and Runx3 expression in BALB/c mice. Molecular Medicine Reports, 23, 378. https://doi.org/10.3892/mmr.2021.12017
MLA
Pang, L., Yu, P., Liu, X., Fan, Y., Shi, Y., Zou, S."Fine particulate matter induces airway inflammation by disturbing the balance between Th1/Th2 and regulation of GATA3 and Runx3 expression in BALB/c mice". Molecular Medicine Reports 23.5 (2021): 378.
Chicago
Pang, L., Yu, P., Liu, X., Fan, Y., Shi, Y., Zou, S."Fine particulate matter induces airway inflammation by disturbing the balance between Th1/Th2 and regulation of GATA3 and Runx3 expression in BALB/c mice". Molecular Medicine Reports 23, no. 5 (2021): 378. https://doi.org/10.3892/mmr.2021.12017
Copy and paste a formatted citation
x
Spandidos Publications style
Pang L, Yu P, Liu X, Fan Y, Shi Y and Zou S: Fine particulate matter induces airway inflammation by disturbing the balance between Th1/Th2 and regulation of GATA3 and Runx3 expression in BALB/c mice. Mol Med Rep 23: 378, 2021.
APA
Pang, L., Yu, P., Liu, X., Fan, Y., Shi, Y., & Zou, S. (2021). Fine particulate matter induces airway inflammation by disturbing the balance between Th1/Th2 and regulation of GATA3 and Runx3 expression in BALB/c mice. Molecular Medicine Reports, 23, 378. https://doi.org/10.3892/mmr.2021.12017
MLA
Pang, L., Yu, P., Liu, X., Fan, Y., Shi, Y., Zou, S."Fine particulate matter induces airway inflammation by disturbing the balance between Th1/Th2 and regulation of GATA3 and Runx3 expression in BALB/c mice". Molecular Medicine Reports 23.5 (2021): 378.
Chicago
Pang, L., Yu, P., Liu, X., Fan, Y., Shi, Y., Zou, S."Fine particulate matter induces airway inflammation by disturbing the balance between Th1/Th2 and regulation of GATA3 and Runx3 expression in BALB/c mice". Molecular Medicine Reports 23, no. 5 (2021): 378. https://doi.org/10.3892/mmr.2021.12017
Follow us
  • Twitter
  • LinkedIn
  • Facebook
About
  • Spandidos Publications
  • Careers
  • Cookie Policy
  • Privacy Policy
How can we help?
  • Help
  • Live Chat
  • Contact
  • Email to our Support Team