Spandidos Publications Logo
  • About
    • About Spandidos
    • Aims and Scopes
    • Abstracting and Indexing
    • Editorial Policies
    • Reprints and Permissions
    • Job Opportunities
    • Terms and Conditions
    • Contact
  • Journals
    • All Journals
    • Oncology Letters
      • Oncology Letters
      • Information for Authors
      • Editorial Policies
      • Editorial Board
      • Aims and Scope
      • Abstracting and Indexing
      • Bibliographic Information
      • Archive
    • International Journal of Oncology
      • International Journal of Oncology
      • Information for Authors
      • Editorial Policies
      • Editorial Board
      • Aims and Scope
      • Abstracting and Indexing
      • Bibliographic Information
      • Archive
    • Molecular and Clinical Oncology
      • Molecular and Clinical Oncology
      • Information for Authors
      • Editorial Policies
      • Editorial Board
      • Aims and Scope
      • Abstracting and Indexing
      • Bibliographic Information
      • Archive
    • Experimental and Therapeutic Medicine
      • Experimental and Therapeutic Medicine
      • Information for Authors
      • Editorial Policies
      • Editorial Board
      • Aims and Scope
      • Abstracting and Indexing
      • Bibliographic Information
      • Archive
    • International Journal of Molecular Medicine
      • International Journal of Molecular Medicine
      • Information for Authors
      • Editorial Policies
      • Editorial Board
      • Aims and Scope
      • Abstracting and Indexing
      • Bibliographic Information
      • Archive
    • Biomedical Reports
      • Biomedical Reports
      • Information for Authors
      • Editorial Policies
      • Editorial Board
      • Aims and Scope
      • Abstracting and Indexing
      • Bibliographic Information
      • Archive
    • Oncology Reports
      • Oncology Reports
      • Information for Authors
      • Editorial Policies
      • Editorial Board
      • Aims and Scope
      • Abstracting and Indexing
      • Bibliographic Information
      • Archive
    • Molecular Medicine Reports
      • Molecular Medicine Reports
      • Information for Authors
      • Editorial Policies
      • Editorial Board
      • Aims and Scope
      • Abstracting and Indexing
      • Bibliographic Information
      • Archive
    • World Academy of Sciences Journal
      • World Academy of Sciences Journal
      • Information for Authors
      • Editorial Policies
      • Editorial Board
      • Aims and Scope
      • Abstracting and Indexing
      • Bibliographic Information
      • Archive
    • International Journal of Functional Nutrition
      • International Journal of Functional Nutrition
      • Information for Authors
      • Editorial Policies
      • Editorial Board
      • Aims and Scope
      • Abstracting and Indexing
      • Bibliographic Information
      • Archive
    • International Journal of Epigenetics
      • International Journal of Epigenetics
      • Information for Authors
      • Editorial Policies
      • Editorial Board
      • Aims and Scope
      • Abstracting and Indexing
      • Bibliographic Information
      • Archive
    • Medicine International
      • Medicine International
      • Information for Authors
      • Editorial Policies
      • Editorial Board
      • Aims and Scope
      • Abstracting and Indexing
      • Bibliographic Information
      • Archive
  • Articles
  • Information
    • Information for Authors
    • Information for Reviewers
    • Information for Librarians
    • Information for Advertisers
    • Conferences
  • Language Editing
Spandidos Publications Logo
  • About
    • About Spandidos
    • Aims and Scopes
    • Abstracting and Indexing
    • Editorial Policies
    • Reprints and Permissions
    • Job Opportunities
    • Terms and Conditions
    • Contact
  • Journals
    • All Journals
    • Biomedical Reports
      • Information for Authors
      • Editorial Policies
      • Editorial Board
      • Aims and Scope
      • Abstracting and Indexing
      • Bibliographic Information
      • Archive
    • Experimental and Therapeutic Medicine
      • Information for Authors
      • Editorial Policies
      • Editorial Board
      • Aims and Scope
      • Abstracting and Indexing
      • Bibliographic Information
      • Archive
    • International Journal of Epigenetics
      • Information for Authors
      • Editorial Policies
      • Editorial Board
      • Aims and Scope
      • Abstracting and Indexing
      • Bibliographic Information
      • Archive
    • International Journal of Functional Nutrition
      • Information for Authors
      • Editorial Policies
      • Editorial Board
      • Aims and Scope
      • Abstracting and Indexing
      • Bibliographic Information
      • Archive
    • International Journal of Molecular Medicine
      • Information for Authors
      • Editorial Policies
      • Editorial Board
      • Aims and Scope
      • Abstracting and Indexing
      • Bibliographic Information
      • Archive
    • International Journal of Oncology
      • Information for Authors
      • Editorial Policies
      • Editorial Board
      • Aims and Scope
      • Abstracting and Indexing
      • Bibliographic Information
      • Archive
    • Medicine International
      • Information for Authors
      • Editorial Policies
      • Editorial Board
      • Aims and Scope
      • Abstracting and Indexing
      • Bibliographic Information
      • Archive
    • Molecular and Clinical Oncology
      • Information for Authors
      • Editorial Policies
      • Editorial Board
      • Aims and Scope
      • Abstracting and Indexing
      • Bibliographic Information
      • Archive
    • Molecular Medicine Reports
      • Information for Authors
      • Editorial Policies
      • Editorial Board
      • Aims and Scope
      • Abstracting and Indexing
      • Bibliographic Information
      • Archive
    • Oncology Letters
      • Information for Authors
      • Editorial Policies
      • Editorial Board
      • Aims and Scope
      • Abstracting and Indexing
      • Bibliographic Information
      • Archive
    • Oncology Reports
      • Information for Authors
      • Editorial Policies
      • Editorial Board
      • Aims and Scope
      • Abstracting and Indexing
      • Bibliographic Information
      • Archive
    • World Academy of Sciences Journal
      • Information for Authors
      • Editorial Policies
      • Editorial Board
      • Aims and Scope
      • Abstracting and Indexing
      • Bibliographic Information
      • Archive
  • Articles
  • Information
    • For Authors
    • For Reviewers
    • For Librarians
    • For Advertisers
    • Conferences
  • Language Editing
Login Register Submit
  • This site uses cookies
  • You can change your cookie settings at any time by following the instructions in our Cookie Policy. To find out more, you may read our Privacy Policy.

    I agree
Search articles by DOI, keyword, author or affiliation
Search
Advanced Search
presentation
Molecular Medicine Reports
Join Editorial Board Propose a Special Issue
Print ISSN: 1791-2997 Online ISSN: 1791-3004
Journal Cover
February-2022 Volume 25 Issue 2

Full Size Image

Sign up for eToc alerts
Recommend to Library

Journals

International Journal of Molecular Medicine

International Journal of Molecular Medicine

International Journal of Molecular Medicine is an international journal devoted to molecular mechanisms of human disease.

International Journal of Oncology

International Journal of Oncology

International Journal of Oncology is an international journal devoted to oncology research and cancer treatment.

Molecular Medicine Reports

Molecular Medicine Reports

Covers molecular medicine topics such as pharmacology, pathology, genetics, neuroscience, infectious diseases, molecular cardiology, and molecular surgery.

Oncology Reports

Oncology Reports

Oncology Reports is an international journal devoted to fundamental and applied research in Oncology.

Experimental and Therapeutic Medicine

Experimental and Therapeutic Medicine

Experimental and Therapeutic Medicine is an international journal devoted to laboratory and clinical medicine.

Oncology Letters

Oncology Letters

Oncology Letters is an international journal devoted to Experimental and Clinical Oncology.

Biomedical Reports

Biomedical Reports

Explores a wide range of biological and medical fields, including pharmacology, genetics, microbiology, neuroscience, and molecular cardiology.

Molecular and Clinical Oncology

Molecular and Clinical Oncology

International journal addressing all aspects of oncology research, from tumorigenesis and oncogenes to chemotherapy and metastasis.

World Academy of Sciences Journal

World Academy of Sciences Journal

Multidisciplinary open-access journal spanning biochemistry, genetics, neuroscience, environmental health, and synthetic biology.

International Journal of Functional Nutrition

International Journal of Functional Nutrition

Open-access journal combining biochemistry, pharmacology, immunology, and genetics to advance health through functional nutrition.

International Journal of Epigenetics

International Journal of Epigenetics

Publishes open-access research on using epigenetics to advance understanding and treatment of human disease.

Medicine International

Medicine International

An International Open Access Journal Devoted to General Medicine.

Journal Cover
February-2022 Volume 25 Issue 2

Full Size Image

Sign up for eToc alerts
Recommend to Library

  • Article
  • Citations
    • Cite This Article
    • Download Citation
    • Create Citation Alert
    • Remove Citation Alert
    • Cited By
  • Similar Articles
    • Related Articles (in Spandidos Publications)
    • Similar Articles (Google Scholar)
    • Similar Articles (PubMed)
  • Download PDF
  • Download XML
  • View XML

  • Supplementary Files
    • Supplementary_Data.pdf
Article Open Access

CD4+/IL‑4+ lymphocytes of the lamina propria and substance P promote colonic protection during acute stress

  • Authors:
    • Ivonne Maciel Arciniega‑Martínez
    • Aldo Arturo Reséndiz Albor
    • Luz María Cárdenas Jaramillo
    • Juan Manuel Gutiérrez‑Meza
    • Ramcés Falfán‑Valencia
    • Belen Mendoza Arroyo
    • Mariazell Yépez‑Ortega
    • Judith Pacheco‑Yépez
    • Edgar Abarca‑Rojano
  • View Affiliations / Copyright

    Affiliations: Postgraduate Studies and Research Section, Superior School of Medicine, National Polytechnic Institute, 11340 Mexico City, México, Morphology Coordination, Department of Basic Disciplinary Training, Superior School of Medicine, National Polytechnic Institute, 11340 Mexico City, México, HLA Laboratory, National Institute of Respiratory Diseases Ismael Cosío Villegas, 14080 Mexico City, México
    Copyright: © Arciniega‑Martínez et al. This is an open access article distributed under the terms of Creative Commons Attribution License.
  • Article Number: 63
    |
    Published online on: December 27, 2021
       https://doi.org/10.3892/mmr.2021.12579
  • Expand metrics +
Metrics: Total Views: 0 (Spandidos Publications: | PMC Statistics: )
Metrics: Total PDF Downloads: 0 (Spandidos Publications: | PMC Statistics: )
Cited By (CrossRef): 0 citations Loading Articles...

This article is mentioned in:



Abstract

Life stress may influence symptom onset and severity in certain gastrointestinal disorders in association with a dysregulated intestinal barrier. It has been widely accepted that stress triggers the hypothalamus‑pituitary‑adrenal (HPA) axis, releasing corticosterone, which promotes intestinal permeability. In response, colonic inflammation alters mucosal immune homeostasis and destroys the colonic architecture, leading to severe intestinal diseases. Endogenous substance P (SP) does not inhibit the initial extent of the HPA axis response to restraint stress, but it reduces the duration of the stress, suggesting that SP plays an important role in the transition between acute and chronic stress. The present study aimed to investigate the effect of two groups of mice exposed to stress, including acute and chronic stress. The corticosterone was evaluated by ELISA, colon samples were obtained to detected polymorphonuclear cells by hematoxylin and eosin staining, goblet and mast cells were identified by immunocytochemistry and cytokine‑producing CD4+ T cells were analyzed by flow cytometry assays, adhesion proteins in the colon epithelium by western blotting and serum SP levels by ELISA. The results demonstrated an increase in the number of polymorphonuclear, goblet and mast cells, a decrease in claudin‑1 expression and an elevation in E‑cadherin expression during acute stress. Increased E‑cadherin expression was also detected during chronic stress. Moreover, it was found that acute stress caused a shift towards a predominantly anti‑inflammatory immune response (T helper 2 cells), as shown by the increase in the percentage of CD4+/IL‑6+ and CD4+/IL4+ lymphocytes in the lamina propria and the increase in serum SP. In conclusion, this response promoted colonic protection during acute stress.

Introduction

It is well established that cortisol is the main hormone that regulates stress in humans and it plays an equivalent role in rodents (1). Stress begins when the hypothalamus releases corticotropin-releasing factor (CRF), thereby activating the hypothalamic-pituitary-adrenal (HPA) axis (2). In animal models, stress is associated with abnormalities in processes that maintain gut homeostasis, such as in visceral perception (3), the integrity of the intestinal-epithelial barrier (4), ion transport (5) and host defense mechanisms. Increasing gut permeability promotes an inflammatory environment, such as that observed in chronic gastrointestinal diseases (6). Accumulating evidence has shown that, in adult rats, acute or chronic stress involves the release of CRF (7); furthermore, other models of stress, such as neonatal maternal deprivation stress, restraint and immobilization stress (8,9), and chronic unpredictable stress (10), mimic the epithelial response to stress, stimulating ion secretion and enhancing permeability. Data from chronic stress models have revealed that a region-specific reduction in epithelial tight junction (TJ) protein expression in the colon is induced by corticosterone (11). Recently, the same authors proposed that chronic elevation of glucocorticoid (GC) levels may impair the epithelial barrier function of human/rat claudin 1 promoters in the colon via the transcription repressor HES family bHLH transcription factor 1 and GCs natural cytotoxicity triggering receptor 3 axis (12). Therefore, intestinal permeability during stress is a process that is highly regulated and is crucial for maintaining interactions between microbiota, colonic epithelial cells, immune system cells and nervous system cells. Although it has been hypothesized that acute or short-term stress can be an adaptive mechanism that confers greater immune protection after injury or infection (13,14), to date, little is known regarding epithelial cells (goblet, mast and immune cells) and other effector mechanisms involved in conferring this protection.

While observations have documented that mast cells are recruited by high levels of corticosterone (15), it has been proposed that these cells are sentinels that are responsible for supporting stress-induced colonic mucosal pathophysiology, and they also communicate with immune cells (16) and the central nervous system via substance P (SP) (17). SP is a neuropeptide that is released throughout the body by the neuroendocrine system in all organs and inflammatory cells, such as lymphocytes (18). SP acts by binding to the neurokinin-1 receptor (NK1R), and it exerts proinflammatory effects on immune and epithelial cells. In addition, SP regulates smooth muscle contractility, hyperalgesia, epithelial ion transport, vascular permeability and immune function in the gastrointestinal tract (18). At present, the two types of stress imposed on intestinal epithelial components (goblet and mast cells, TJ proteins) and non-epithelial components (inflammatory infiltrate and lymphocyte cytokines of the lamina propria) in the colon and serum SP were evaluated. These changes could help elucidate the initiation and perpetuation mechanisms of gut inflammation by stress.

The current study used a stress model in which mice were subjected to repeated movement restriction, including one session (acute) or three repeated sessions over 2 h (chronic). The objective of the present study was to evaluate the effects of these two stress protocols on mucosal components and immune response parameters in the colon, as well as on serum SP levels. The results of the present study could provide a useful reference for the management of therapies that regulate the effects of stress on intestinal bowel disease dysfunction.

Materials and methods

Experimental animals

A total of 45 male BALB/c mice (weight, 20-30 g; age, 10-12 weeks) were used in this study. The mice were allowed free access to food and water (Labdiet 5013; LabDiet). All mice were kept on a 12-h light/dark cycle (lights on at 6:00 a.m.) at room temperature (RT) at 20°C, with a relative humidity of 55%. The current protocol was developed based on the ARRIVE guidelines for reporting animal research (19) and was approved by the Ethics in Research Committee of the Escuela Superior de Medicina (IPN). The animals were handled following the Mexican Federal Regulations for animal experimentation and care (Regulation-062-ZOO-1999, Ministry of Agriculture, México City, México).

Stress protocol

The animals were randomly divided into three groups (n=15): i) Control group without stress; ii) acute stress group (2 h of movement restriction repeated once); and iii) chronic stress group (2 h of movement restriction repeated for 3 days). Mice were placed in cylindrical plexiglass containers according to a previously described method (20). The animals from the control group remained in their home cages without water and food for the same duration as that for which the animals in both stressed groups were exposed to stress.

Tissue collection

Male BALB/c mice were anaesthetized by an intraperitoneal injection of a lethal dose of 100 mg/kg body weight pentobarbital sodium salt (cat. no. P3761; Sigma-Aldrich; Merck KGaA). Blood was obtained via cardiac puncture (0.7-1 ml), and serum was obtained via centrifugation at 1,660 × g for 7 min at 4°C. The serum samples were stored at −20°C until use. After exsanguination the large intestines were dissected, a colon segments were cut (1 cm), fixed with 4% paraformaldehyde at RT for 24 h and processed for paraffin embedding. Sections (7-µm thick) were generated with a microtome (Rotatory Microtome; Leica Microsystems GmbH), placed on coverslips and stained with H&E or Alcian Blue (AB) or toluidine blue at RT.

Corticosterone assay

Plasma corticosterone concentrations were determined using a commercially available ELISA kit for corticosterone analysis according to the manufacturer's instructions (cat. no. ADI-901-097; Enzo Life Sciences, Inc.). The corticosterone concentrations in the plasma samples were calculated based on a standard curve and are expressed in ng/ml.

Quantitative analysis of the polymorphonuclear cells (PMN) in the colon

For the quantification of leukocyte infiltration, colon sections were stained with H&E. After deparaffinization with xylol and rehydration in a descending alcohol gradient, the samples were immersed in Harris hematoxylin solution (cat. no. H3136; Sigma-Aldrich; Merck KGaA) and incubated for 20 min at RT. After incubation in an eosin solution for 2 min at RT (cat. no. E4009; Sigma-Aldrich; Merck KGaA), the samples were then washed with distilled water. Finally, the sections were dehydrated and mounted with Entellan® (cat. no. 1079610500; Merck KGaA). The samples were analyzed via optical microscopy, and the PMN numbers were determined. The PMNs in the inflammatory infiltrates were counted (12 per slide/3 slides per animal). The percentage of PMNs in each sample was calculated. The number of cells counted was evaluated using Image-Pro Plus version 5.1 software (Media Cybernetics, Inc.) and an E600 microscope (Eclipse E-600; Nikon Corporation) at a ×40 magnification, and the total number of PMNs was quantified (21).

Acid mucin staining and goblet cell quantification

Colon samples were fixed and stained for acidic mucins as previously described (22). Acid mucins were stained with AB (cat. no. C.I.74240; Sigma-Aldrich; Merck KGaA). After deparaffinization with xylene for 30 min at 60°C, the samples were rehydrated in a descending alcohol gradient. The samples were incubated in 3% acetic acid for 3 min at RT and then incubated with 1% AB solution in 3% acetic acid pH 2.5 for 25 min at RT. Then, the samples were washed with warm water until the color changed. Finally, the sections were dehydrated and mounted with Entellan. The samples were observed via light microscopy, and the positive staining of five randomly selected Lieberkühn crypts in each colon sample was observed (n=5). The number of goblet cells per group was determined (magnification, ×40; Eclipse E-600; Nikon Corporation) and analyzed using Image-Pro Plus 5.1 software (Media Cybernetics, Inc.) and an E600 microscope; the average numbers of goblet cells per crypt and per group were determined (22).

Mast cell staining and quantification

Mast cells were observed using toluidine blue staining (cat. no. 198161; Sigma-Aldrich; Merck KGaA). After deparaffinization with xylol and rehydration in a descending alcohol gradient, the samples were immersed in a 0.5% toluidine blue solution and incubated for 30 min at RT. Then, the samples were washed with distilled water, dehydrated and mounted with Entellan. The numbers of mast cells in the intestinal lamina propria of each group were determined. The mast cells were identified and counted randomly via light microscopy at a ×40 magnification with an E600 microscope (Eclipse E-600; Nikon Corporation). The average numbers of mast cells per section per group were determined (23).

Epithelial cell isolation

Claudin-1 and E-cadherin expression in isolated epithelial cells from the large intestine was determined. Briefly, fragments of the large intestine were incubated in RPMI-1640 medium (cat. no. R7388; Sigma-Aldrich; Merck KGaA) with 1 mM dithiothreitol (cat. no. 20290; Thermo Fisher Scientific, Inc.) and 1.5 mM EDTA (cat. no. E6511; Sigma-Aldrich; Merck KGaA), with continuous shaking at 415 × g for 30 min at 37°C. The cell suspension was passed through organza to remove the mucus and centrifuged at 415 × g for 10 min at 4°C. The pellet was suspended in 15 ml RPMI-1640 medium, passed through an organza filter and washed twice with 15 ml RPMI-1640 medium followed by centrifugation at 415 × g for 10 min at 4°C. The washed pellet was suspended in 20% Percoll® (cat. no. P1644; Sigma-Aldrich; Merck KGaA) and centrifuged over a discontinuous Percoll gradient at 1,160 × g for 30 min at 25°C. Epithelial cells were recovered from the interphase between 20 and 40%. The cells were washed with PBS and centrifuged as aforementioned. The cells were resuspended in RPMI-1640 medium. The purity of the samples was analyzed via light microscopy based on the normal morphology of epithelial cells. Cell viability was determined using a Neubauer chamber and an optical microscope (magnification, ×20). Then 10 µl of cell suspension were added to an equal volume of 0.4% trypan blue. The number of cells were counted and their viability (viable cells excluding trypan blue; cat. no. T8154; Sigma-Aldrich; Merck KGaA) was determined to be 90%. The samples contained up to 85% epithelial cells (24).

Western blot analysis of claudin-1 and E-cadherin expression

The protein expression levels of claudin-1 and E-cadherin were determined via western blotting. Samples were homogenized in 100 µl lysis buffer [10 mmol Tris pH 7.4, containing 1% SDS (cat. no. 1610301; Bio-Rad Laboratories, Inc.), 2 mmol/l sodium orthovanadate (cat. no. S6508; Sigma-Aldrich; Merck KGaA) and 12.55 µg/ml phenylmethylsulphonyl fluoride (cat. no. P7626; Sigma-Aldrich; Merck KGaA)]. The samples were sonicated four times for 15 sec with 30 sec of rest at 4°C (22). Proteins were quantified by Nanodrop Lite (Thermo Fisher Scientific, Inc.). Proteins were equally loaded (20 µg per well), separated via 12% SDS-PAGE and transferred onto nitrocellulose membranes (Bio-Rad Laboratories, Inc.). After blocking with 3% powdered skimmed milk, 0.1% Tween-20 PBS for 2 h at RT, the membranes were incubated for 1 h at RT with polyclonal antibodies against claudin-1 (cat. no. GTX134842; polyclonal; 23 kDa; GeneTex, Inc.) and E-cadherin (cat. no. GTX100443; polyclonal; 97 kDa; GeneTex, Inc.), followed by incubation for 1 h at RT with HRP-conjugated secondary antibodies (cat. no. A27036; Oligoclonal; Thermo Fisher Scientific, Inc.). The immunoreactive bands were detected using an ECL detection kit (Amersham; Cytiva) and semi-quantified via densitometry using ImageJ 1.49 software (National Institutes of Health). The membranes were stripped and reprobed with an anti-β-actin primary antibody (cat. no. GTX109639; polyclonal; GeneTex, Inc.) to ensure equal loading (25).

Lamina propria lymphocytes

After treatment with EDTA 30 min at 37°C, the large intestines were washed twice with 25 ml RPMI-1640 medium and then transferred to 50-ml tubes containing 25 ml RPMI-1640 medium with 60 U/ml type IV collagenase (cat. no. C5138; Sigma-Aldrich; Merck KGaA), 1% fetal calf serum and 50 g/ml gentamicin (cat. no. G1397; Sigma-Aldrich; Merck KGaA). The tubes were incubated horizontally for 30 min at 37°C in a shaking water bath. The contents of each tube were then transferred to Petri dishes. The intestinal mucosa samples were filtered through an organza filter with a syringe plunger; then, the single cell suspensions containing lamina propria cells were filtered and centrifuged at 415 × g for 10 min at 4°C. The cells were resuspended, collected and centrifuged in a discontinuous 40/75% Percoll gradient at 1,160 × g for 30 min at 4°C. The cells were recovered from the interphase and then washed with RPMI-1640 medium. Viability was determined using trypan blue exclusion, and it was found to be >90% (24).

Flow cytometry assays

The isolation of lymphocytes from the lamina propria of the large intestine was carried out as previously described with some modifications (24,26). Cells from the lamina propria of the large intestine were resuspended, and the concentration was adjusted to 1×106 cells/ml in PBS for cytofluorometric analysis (26). Anti-CD4+/PerCP (cat. no. GTX79970; MEM-241; GeneTex Inc.) was used to determine the predominant cytokines produced by the CD4+ T cell population. The CD4+ cells were fixed and permeabilized with 200 µl Cytofix/Cytoperm Fixation/Permeabilization Solution kit (cat. no. BD 554714; Thermo Fisher Scientific, Inc.) and then incubated for 20 min at RT in the dark. Subsequently, the cells were centrifuged at 415 × g for 5 min at 4°C, the excess solution was removed and the obtained pellet was resuspended again. In total, 500 µl 1X Perm/Wash solution was added, and the samples were centrifuged again at 415 × g for 5 min at 4°C. Then, the supernatants were decanted and the cells were resuspended again. Antibody cocktails (10 µl) were added and incubated for 20 min in the dark at RT. Markers of the T helper (Th)1 profile were detected with anti-IL-12/APC (cat. no. 554480; C15-6; BD Pharmingen; BD Biosciences), anti-IFN-γ/FITC (cat. no. 554411; XMG1.2; BD Pharmingen; BD Biosciences), anti-TNF-α/PE (cat. no. 554419; MX6-XT22; BD Pharmingen; BD Biosciences) and anti-IL-1β/FITC (cat. no. IC4013F; NJTEN3; R&D Systems, Inc.). Then, two more washes and centrifugation cycles were performed with 300 µl 1X Perm/Wash solution at 415 × g for 5 min at 4°C. Markers of the Th2/T regulatory (Treg) profiles were detected with anti-IL-4/PE (cat. no. 554435; 11B11; BD Pharmingen; BD Biosciences), anti-IL-6/APC (cat. no. 561367; MP5-20F3; BD Pharmingen; BD Biosciences), anti-IL-10/FITC (cat. no. 554466; JE55-E3; BD Pharmingen; BD Biosciences), anti-CD25/FITC (cat. no. 553072; BD Pharmingen; BD Biosciences) and anti-FoxP3/PE (cat. no. 50-5773-U100; G3 Tonbo Biosciences) antibodies. Then, two more washes and spin cycles were performed with 300 µl 1X Perm/Wash solution at 415 × g for 5 min at 4°C. Finally, the samples were stored at 4°C in the dark until analysis. The fluorescent signal intensities were recorded and analyzed using a FACSArial flow cytometer (Becton, Dickinson and Company). Events were collected from the lymphocyte gate on the FSC/SSC dot plot. Overall, 20,000 gated events were acquired from each sample using BD FACSDIVA™ software 6.1 (Becton, Dickinson and Company). The data were analyzed using Summit software v4.3 (Dako; Agilent Technologies, Inc.) and are reported as percentages. The data from five mice per group are reported as the mean ± SD.

Serum SP ELISA

Serum SP concentrations were measured using a competitive ELISA kit according to the recommendations of the manufacturer (cat. no. 583751; Cayman Chemical Company). A total of 50 µl per well of serum samples from the acute, chronic and control groups were added, and the assay was performed in triplicate. The plate was read with a microplate reader (BioTek Instruments, Inc.) at 420 nm. The SP concentrations were calculated based on a standard curve and are expressed in pg/ml.

Statistical analysis

The experimental assays were repeated for ≥3 independent assays (n=5 mice per group). The data are expressed as the mean ± SD, and multiple comparisons between groups were analyzed using one-way ANOVA, and the means of the respective groups were compared using the post hoc Tukey's multiple comparison test. Statistical analysis was performed using GraphPad Prism Version 9 software (GraphPad Software, Inc.). P<0.05 was considered to indicate a statistically significant difference.

Results

Serum corticosterone concentrations are increased in the stressed animal models

The serum corticosterone concentration is an indicator of stress, and different stressors are associated with increases in serum corticosterone concentrations (27). The results demonstrated that the serum corticosterone hormone concentrations were increased in the acute (P<0.05) and chronic (P<0.001) stress groups compared with the control group (Fig. 1). Additionally, the concentration of corticosterone was increased in the chronic stress group compared with the acute group (P<0.001). These results indicated that serum corticosterone concentrations are modified with respect to the type of stress, acute or chronic.

Figure 1.

Corticosterone serum concentrations. Mice were subjected to different experimental conditions, and then, peripheral blood was collected and analyzed using a colorimetric-enzymatic assay. The data are expressed as the mean ± SD (n=5). *P<0.05, ***P<0.001 vs. control group; ***P<0.001 (umbrella line comparison).

Acute stress induces changes in inflammatory cell infiltration

The acute stress group (Fig. 2B) exhibited an accumulation and increase in crypt inflammatory cell infiltration compared with the control and chronic stress groups (Fig. 2A and C). The quantification of the infiltrating PMN showed a significant increase in the acute stress group compared with the control and chronic stress groups (P<0.05; Fig. 2J). However, no significant differences were observed between the chronic stress and control groups. The infiltrating PMN was significantly higher in the acute stress group compared with in the chronic stress group (P<0.01; Fig. 2J). These results indicated that acute stress induced differential modifications of the inflammatory infiltrate in mice under stress-induced conditions.

Figure 2.

Representative photomicrographs obtained via light microscopy. (A) control, (B) acute stress and chronic stress (C) Colon samples stained with H&E to detect infiltrating inflammatory cells (arrows). (D) control, (E) acute stress and chronic stress (F) Colon samples stained with Alcian blue to visualize goblet cells (arrows). (G) control, (H) acute stress and chronic stress. (I) Colon samples stained with toluidine blue for the detection of mast cells (arrows). Scale bar, 25 µm. (J) Quantification of the polymorphonuclear infiltrate in mouse colon. (K) Goblet cell quantification in mouse colon. (L) Mast cell quantification in mouse colon. Data are expressed as the mean ± SD (n=5). *P<0.05, **P<0.01 vs. control group; **P<0.01, ***P<0.001 (umbrella line comparison).

Acute stress increases the number of goblet cells

Acute stress altered goblet cell numbers, and an increase was observed in the acute stress group compared with the control group (Fig. 2D and E). The chronic stress group showed a similar goblet cell number as the control group (Fig. 2F). Furthermore, goblet cell quantification revealed a statistically significant increase in the acute stress group compared with the control group (P<0.05; Fig. 2K). Additionally, the goblet cell number was increased in the acute stress group compared with the chronic group (P<0.01). The results demonstrated that acute stress stimulates an increase in the number of goblet cells.

Mast cell numbers increase during acute stress

The presence of metachromatic mast cells in colon was detected via toluidine blue staining. The number of mast cells was markedly increased in the acute stress group (Fig. 2H) compared with the chronic stress (Fig. 2I) and control groups (Fig. 2G). The quantification of mast cells showed a significant increase in the acute stress group compared with the control and chronic stress groups (P<0.05 and P<0.001; Fig. 2L). No significant differences were found between the chronic stress and control groups. These results showed a differential number of mast cells in acute or chronic stress.

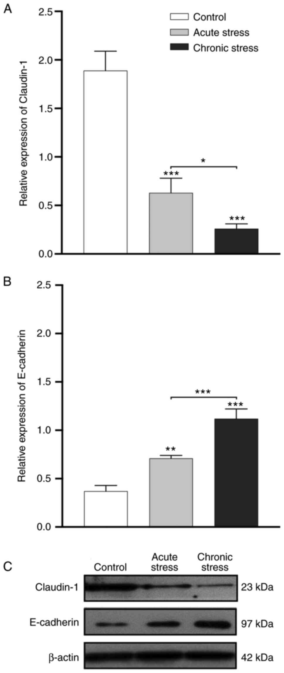
Claudin-1 and E-cadherin expression is altered under stress

Western blot analysis demonstrated different protein expression patterns under stress conditions. Densitometric analysis revealed lower levels of claudin-1 expression in the acute and chronic stress groups compared with those in the control group (P<0.001). Claudin-1 expression was also significantly higher in the acute stress group compared with in the chronic stress group (P<0.05; Fig. 3A and C). By contrast, densitometric analysis showed higher expression levels of E-cadherin in the acute (P<0.01) and chronic (P<0.001) stress groups compared with in the control group. E-cadherin expression was also significantly higher in the chronic stress group than in the acute stress group (P<0.001; Fig. 3B and C). These data indicated that stress conditions generated changes in claudin-1 and E-cadherin protein expression.

Figure 3.

Relative protein expression levels of claudin-1 and E-cadherin, as analyzed via western blotting. (A) Claudin-1 expression. (B) E-cadherin expression. Data are expressed as the mean ± SD for each group (n=5). (C) Intensities of the bands were measured via densitometric analysis and normalized to the intensities of the corresponding β-actin bands. **P<0.01, ***P<0.001 vs. control group; *P<0.05, ***P<0.001 (umbrella line comparison).

Stress induces changes in the percentage of cytokine/IL CD4+ T cells and CD4+ Treg cells from the lamina propria

Compared with the control, acute and chronic stress diminished the percentages of CD4+ T cells and CD4+ Treg cells in the lamina propria (Table I). Acute stress significantly increased IL-6 and IL-4 cytokine CD4+ lymphocyte percentages in the lamina propria compared with the control (P<0.05; Table I). Compared with the control group, the acute and chronic stress groups had significantly decreased percentages of CD4+ lymphocytes/IFN-γ, TNF-α, IL-1β and IL-10 in the lamina propria (P<0.05; Table I). A significant reduction in the IL-6 and IL-4 cytokine CD4+ lymphocyte and IL-12 cytokine CD4+ lymphocyte percentages in the lamina propria of the chronic stress group compared with those in the lamina propria of the acute and control groups was observed (P<0.05; Table I). Comparison of the acute stress and control groups did not reveal differences with respect to the IL-12 cytokine CD4+ lymphocytes. Both groups of stressed animals showed a significant reduction in FoxP3/CD4+ Treg cell expression compared with the control group without stress (P<0.05). Based on these results, stress induced a differential percentage of cytokine/IL CD4+ T cells and CD4+ Treg cells. The gating strategy and a representative dot-plots from lamina propria lymphocytes from large intestine are shown in the supplementary material (Fig. S1).

Table I.

Cytokine/IL CD4+ T and Treg cell responses in the lamina propria of the large intestine under acute stress and chronic stress.

Table I.

Cytokine/IL CD4+ T and Treg cell responses in the lamina propria of the large intestine under acute stress and chronic stress.

Cytokine/ILControlAcute stressChronic stress
IFN-γ2.77±0.15 0.50±0.10a 0.23±0.06a
TNF-α1.93±0.15 0.73±0.12a 0.70±0.10a
IL-1β1.47±0.15 0.43±0.15a 0.30±0.10a
IL-124.20±0.204.10±0.20 0.57±0.12a
IL-62.60±0.20 11.60±1.18a 0.70±0.10a
IL-42.03±0.25 8.03±0.15a 0.23±0.12a
IL-102.70±0.20 0.63±0.15a 0.13±0.06a
FoxP35.17±0.21 1.07±0.31a 0.93±0.15a

{ label (or @symbol) needed for fn[@id='tfn1-mmr-25-02-12579'] } Percentage of cytokine/IL CD3+/CD4+ T and FoxP3+/CD3+/CD4+ Treg cell from lamina propria is expressed as mean ± SD of 5 mice per group from three independent experiments.

a P<0.05 vs. control group. Treg, regulatory T cells.

Influence of acute stress on serum SP concentration

Stimulation of the sensory nerve causes an axonal reflex, producing neuropeptides, especially SP, that activate inflammatory cells. Next, the effect of stress on serum SP concentration was examined. As shown in Fig. 4, acute stress significantly increased the serum SP concentration compared with the chronic stress and control groups (P<0.05 and P<0.01). No significant difference was observed between the chronic stress and control groups. These data indicate that the release of serum SP was stimulated during acute stress.

Figure 4.

Serum substance P concentration. Data are expressed as the mean ± SD (n=5). *P<0.05 vs. control group; **P<0.01 (umbrella line comparison).

Discussion

The present study identified an association between plasma corticosterone and the stress type in the mouse model, and similar results have been reported previously under different stress conditions (27–30). The current study observed significantly increased inflammatory infiltration during acute stress, and this increase has been observed since pioneering studies (13,14); such studies propose that the increases in the corticosterone levels in the plasma and intestinal lamina propria are associated with immune cell trafficking, which is a crucial event for the surveillance and effector functions of the immune system (13). Furthermore, the influence of GCs on leukocyte redistribution is likely the most important factor in supporting the immune response (31,32). Conversely, the present study also demonstrated an increase in the number of goblet cells in the lamina propria; these cells are responsible for synthesizing mucus (22), and an increase in their numbers can enhance the thickness of the mucosal layer to prevent contact with luminal bacteria. By contrast, another report has shown that chronic stress reduced the number of goblet cells, and neutrophil cellularity was unaltered (22). Moreover, chronic stress studies (33) have shown that this type of stress promotes an increase in the immunopathology, long term goblet cell depletion and elevations in local and/or systemic inflammatory mediators (33). Unlike other studies, the number of mast cells was increased during chronic stress, but the current study did not observe significant changes during chronic stress. This result could be consistent with those from an overcrowding stress model, in which the increase in plasma corticosterone levels was associated with the recruitment of mast cells over time (28). In models of acute immobilization stress, it has been widely accepted that mast cells are activated by corticotropin releasing factor (34,35) and that they play a role in mediating colonic goblet cell secretion (35).

Despite the decreased claudin-1 protein expression in the TJ region during acute and chronic stress, the current study observed that the mucosa in those experimental groups was similar to that in the control group. A previous study (11) showed that stress mainly promotes functional and morphological changes in the colonic epithelium, and increases colonic permeability due to a decrease in claudin-1 expression in the TJ region (11). The decrease in claudin-1 expression in the present acute stress model was consistent with these studies. The current study also identified an increase in E-cadherin expression. E-cadherin is the core component of epithelial adherent junctions and is essential for tissue development, differentiation and maintenance of tissue barrier formation, a critical function of epithelial tissues (36–38). A previous study investigated the viability and cell-cell adhesion in sodium lauryl sulphate (SLS)-treated human keratinocytes pretreated, co-treated and post-treated with SP, and proposed that SP-treated cells had increased E-cadherin expression. These author suggested that E-cadherins on the membrane of keratinocytes are shifted to desmosomes under physiological conditions and therein may mediate an adhesion function in association with other desmosomal cadherins. SP could provide protection against SLS-induced toxicity by maintaining E-cadherin expression, as well as by exerting anti-inflammatory effects. Therefore, with a low dose of SP may protect against this condition (39).

The present results revealed an increase in the CD4+/IL-4+ lymphocyte percentage under acute stress. Although it is well established that stress in the colon increases the number of CD4 lymphocytes (40), to the best of our knowledge, there is no evidence of the effects of repeated restriction stress on the cytokine lymphocytes profiles in the lamina propria of mouse colon. The current data demonstrated that the predominant phenotype in lymphocytes during acute restriction stress consisted of anti-inflammatory Th2 cells, and increase in CD4+/IL-6+ and CD4+/IL4+ lymphocytes in the lamina propria was observed. Additionally, decreases in the numbers of γδ T lymphocytes and CD4+ and CD8+ T lymphocytes in the epithelium of the small intestine of mice have been reported due to the combined action of higher concentrations of catecholamines and GCs (41). During stress, GCs, such as corticosterone, bind to GC response elements and suppress the expression of proinflammatory genes or induce the expression of suppressive factors, such as NFκB inhibitor α, dual specificity phosphatase 1 (MKP-1), glucocorticoid-induced leucine zipper and ZFP36 ring finger protein (TTP). For example, TTP binds to AU-rich elements in the 3′untranslatef region of the mRNA of several inflammatory cytokines to destabilize these mRNAs. GC also reduces the stability of mRNAs encoding IL-1β, IL-2, IL-6 and TNF-α (42). However, data on the effects of different types of stress on T lymphocyte/cytokine profiles in the lamina propria of the mouse colon are lacking.

The delicate balance between pro- and anti-inflammatory mechanisms, essential for intestinal immune homeostasis, is regulated by Treg cells that express the transcription factor FoxP3 and play role in limiting inflammatory responses in the intestine (43). Moreover, evidence has shown that butyrate, produced by commensal microorganisms during starch fermentation, facilitates extrathymic generation of Treg cells (44). The present study demonstrated a decrease in the percentage of FoxP3+/CD25+/CD4+ Treg lymphocytes in the lamina propria of the large intestine under acute and chronic stress vs. the control group.

Additionally, in the current study, the serum SP concentration after repeated exposure to restriction stress increased during acute stress, and this observation differed from the results after exposure to chronic stress. This phenomenon could be consistent with a study showing that SP reduces the duration of acute stress, and therefore, SP plays an essential role in the transition between acute and chronic stress (45). Conversely, SP exerts antiapoptotic effects on colon epithelial cells, thereby promoting accelerated intestinal healing (46,47). Serum SP levels have been associated with injury severity and mortality in patients with severe traumatic brain injury (TBI), indicating that serum SP levels could be used as a biomarker to predict mortality in patients with severe TBI and may be of great pathophysiological significance in these patients (48). During inflammation and injury in the colon, sensory nerves release SP locally within tissues to promote ‘neurogenic inflammation’, and it is well established that SP and the NK1R may initiate this inflammation. The cell-surface enzyme neutral endopeptidase (NEP) degrades SP in the extracellular fluid and may terminate its proinflammatory effects. Evidence has shown that NEP in the colon may contribute to uncontrolled intestinal inflammation (49). Thus, it was suggested that the increase in the serum SP concentration during acute stress could be a mechanism via which HPA activation is regulated.

The increase in the serum SP concentration during acute stress may be associated with two factors that are not necessarily contradictory. First, a previous study has proposed that SP does not inhibit the initial activation of the HPA axis in response to restraint stress, but does act via NK1R at a central level (50) to reduce the duration of the stress response; conversely, SP can promote epithelial cell proliferation (antiapoptotic effect) at the site of injury in the large intestine, which promotes intestinal healing (47).

An important limitation of the present study was to analyze substance P in serum and not in colonic tissue, this would have allowed the present study to relate in situ possible effects of substance P in the cells studied. In the future experimental and therapeutic studies will be performed that will allow us to relate stress and the immune system, with molecules such as neurotransmitters or neuropeptides.

In conclusion, the parameters evaluated in the current study suggest that acute stress may facilitate stress management therapy to benefit the resolution of intestinal diseases.

Supplementary Material

Supporting Data

Acknowledgements

The authors thank Dr Rosa Adriana Jarillo-Luna for her laboratory facilities; Postgraduate Studies and Research Section, Superior School of Medicine, National Polytechnic Institute, Mexico City, Mexico.

Funding

This work was supported by grants from Research and Postgraduate Secretariat of the National Polytechnic Institute (grant nos. 20180058 and 20181107).

Availability of data and materials

The datasets used and/or analyzed during the current study are available from the corresponding author on reasonable request.

Authors' contributions

JPY and EAR conceptualized the study. IMAM, AARA, LMCJ, BMA, RFV, JMGM, MYO, JPY and EAR designed the study. IMAM, AARA, LMCJ, JPY and EAR utilised the software. IMAM, AARA, LMCJ, JPY and EAR performed formal analysis. JPY, AARA and EAR provided the resources. JPY and EAR contributed to data curation. IMAM, AARA, JPY and EAR wrote initial draft of the manuscript. IMAM, AARA, LMCJ, BMA, RFV, JMGM, MYO, JPY and EAR wrote, reviewed and edited the manuscript. JPY and EAR supervised the study. JPY and EAR performed project administration and acquired the funding. IMAM and EAR confirm the authenticity of all the raw data. All authors have read and approved the final version of the manuscript.

Ethics approval and consent to participate

The study was conducted according to the guidelines the Mexican Federal Regulations for animal experimentation and care (Regulation-062-ZOO-1999; Ministry of Agriculture, Mexico City, México) and was approved by the Superior School of Medicine, National Polytechnic Institute.

Patient consent for publication

Not applicable.

Authors' information

Drs Judith Pacheco-Yépez, Edgar Abarca-Rojano and Aldo A. Reséndiz-Albor are fellows of Commission for the Operation and Promotion of Academic Activities of the National Polytechnic Institute (COFAA) and Stimulus to the Performance of Researchers-National Polytechnic Institute (EDI–IPN). Professor Ivonne Maciel Arciniega-Martínez is a fellow of EDI–IPN.

Competing interests

The authors declare that they have no competing interests.

References

1 

McEwen BS: Physiology and neurobiology of stress and adaptation: Central role of the brain. Physiol Rev. 87:873–904. 2007. View Article : Google Scholar : PubMed/NCBI

2 

Chrousos GP: The hypothalamic-pituitary-adrenal axis and immune-mediated inflammation. N Engl J Med. 332:1351–1362. 1995. View Article : Google Scholar : PubMed/NCBI

3 

Grundy D, Al-Chaer ED, Aziz Q, Collins SM, Ke M, Taché Y and Wood JD: Fundamentals of neurogastroenterology: Basic science. Gastroenterology. 130:1391–1411. 2006. View Article : Google Scholar : PubMed/NCBI

4 

Barreau F, Cartier C, Leveque M, Ferrier L, Moriez R, Laroute V, Rosztoczy A, Fioramonti J and Bueno L: Pathways involved in gut mucosal barrier dysfunction induced in adult rats by maternal deprivation: Corticotrophin-releasing factor and nerve growth factor interplay. J Physiol. 580:347–356. 2007. View Article : Google Scholar : PubMed/NCBI

5 

Barclay GR and Turnberg LA: Effect of psychological stress on salt and water transport in the human jejunum. Gastroenterology. 93:91–97. 1987. View Article : Google Scholar : PubMed/NCBI

6 

Camilleri M, Madsen K, Spiller R, Greenwood-Van Meerveld B and Verne GN: Intestinal barrier function in health and gastrointestinal disease. Neurogastroenterol Motil. 24:503–512. 2012. View Article : Google Scholar : PubMed/NCBI

7 

Santos J, Saunders PR, Hanssen NP, Yang PC, Yates D, Groot JA and Perdue MH: Corticotropin-releasing hormone mimics stress-induced colonic epithelial pathophysiology in the rat. Am J Physiol. 277:G391–G399. 1999.PubMed/NCBI

8 

Campos AC, Ferreira FR, Guimaraes FS and Lemos JI: Facilitation of endocannabinoid effects in the ventral hippocampus modulates anxiety-like behaviors depending on previous stress experience. Neuroscience. 167:238–246. 2010. View Article : Google Scholar : PubMed/NCBI

9 

Padovan CM and Guimaraes FS: Restraint-induced hypoactivity in an elevated plus-maze. Braz J Med Biol Res. 33:79–83. 2000. View Article : Google Scholar : PubMed/NCBI

10 

Willner P: Validity, reliability and utility of the chronic mild stress model of depression: A 10-year review and evaluation. Psychopharmacology (Berl). 134:319–329. 1997. View Article : Google Scholar : PubMed/NCBI

11 

Zheng G, Wu SP, Hu Y, Smith DE, Wiley JW and Hong S: Corticosterone mediates stress-related increased intestinal permeability in a region-specific manner. Neurogastroenterol Motil. 25:e127–e139. 2013. View Article : Google Scholar : PubMed/NCBI

12 

Zheng G, Victor Fon G, Meixner W, Creekmore A, Zong Y, K Dame M, Colacino J, Dedhia PH, Hong S and Wiley JW: Chronic stress and intestinal barrier dysfunction: Glucocorticoid receptor and transcription repressor HES1 regulate tight junction protein Claudin-1 promoter. Sci Rep. 7:45022017. View Article : Google Scholar : PubMed/NCBI

13 

Dhabhar FS and McEwen BS: Stress-induced enhancement of antigen-specific cell-mediated immunity. J Immunol. 156:2608–2615. 1996.PubMed/NCBI

14 

Dhabhar FS, Miller AH, McEwen BS and Spencer RL: Effects of stress on immune cell distribution. Dynamics and hormonal mechanisms. J Immunol. 154:5511–5527. 1995.PubMed/NCBI

15 

Keita AV, Soderholm JD and Ericson AC: Stress-induced barrier disruption of rat follicle-associated epithelium involves Corticotropin-releasing hormone, acetylcholine, substance P, and mast cells. Neurogastroenterol Motil. 22:770–778. e221–e222. 2010. View Article : Google Scholar : PubMed/NCBI

16 

Santos J, Yates D, Guilarte M, Vicario M, Alonso C and Perdue MH: Stress neuropeptides evoke epithelial responses via mast cell activation in the rat colon. Psychoneuroendocrinology. 33:1248–1256. 2008. View Article : Google Scholar : PubMed/NCBI

17 

Vergnolle N: The enteric nervous system in inflammation and pain: The role of proteinase-activated receptors. Can J Gastroenterol. 17:589–592. 2003. View Article : Google Scholar : PubMed/NCBI

18 

O'Connor TM, O'Connell J, O'Brien DI, Goode T, Bredin CP and Shanahan F: The role of substance P in inflammatory disease. J Cell Physiol. 201:167–180. 2004. View Article : Google Scholar : PubMed/NCBI

19 

Kilkenny C, Browne WJ, Cuthill IC, Emerson M and Altman DG: Improving bioscience research reporting: The ARRIVE guidelines for reporting animal research. PLoS Biol. 8:e10004122010. View Article : Google Scholar : PubMed/NCBI

20 

Martinez-Carrillo BE, Godinez-Victoria M, Jarillo-Luna A, Oros-Pantoja R, Abarca-Rojano E, Rivera-Aguilar V, Yépez JP, Sánchez-Torres LE and Campos-Rodríguez R: Repeated restraint stress reduces the number of IgA-producing cells in Peyer's patches. Neuroimmunomodulation. 18:131–141. 2011. View Article : Google Scholar : PubMed/NCBI

21 

Cruz-Baquero A, Cardenas Jaramillo LM, Gutierrez-Meza M, Jarillo-Luna RA, Campos-Rodríguez R, Rivera-Aguilar V, Miliar-García A and Pacheco-Yepez J: Different behavior of myeloperoxidase in two rodent amoebic liver abscess models. PLoS One. 12:e01824802017. View Article : Google Scholar : PubMed/NCBI

22 

Machorro-Rojas N, Sainz-Espuñes T, Godínez-Victoria M, Castañeda-Sánchez JI, Campos-Rodríguez R, Pacheco-Yepez J and Drago-Serrano ME: Impact of chronic immobilization stress on parameters of colonic homeostasis in BALB/c mice. Mol Med Rep. 20:2083–2090. 2019.PubMed/NCBI

23 

Santana T, Nagata G, Saturno JL and Trierveiler M: Histopathological features of photodamage and mast cell infiltrate in actinic Cheilitis with different grades of epithelial dysplasia. J Cutan Pathol. 47:592–600. 2020. View Article : Google Scholar : PubMed/NCBI

24 

Resendiz-Albor AA, Reina-Garfias H, Rojas-Hernández S, Jarillo-Luna A, Rivera-Aguilar V, Miliar-García A and Campos-Rodríguez R: Regionalization of pIgR expression in the mucosa of mouse small intestine. Immunol Lett. 128:59–67. 2010. View Article : Google Scholar : PubMed/NCBI

25 

Lafuente N, Matesanz N, Azcutia V, Romacho T, Nevado J, Rodríguez-Mañas L, Moncada S, Peiró C and Sánchez-Ferrer CF: The deleterious effect of high concentrations of D-glucose requires pro-inflammatory preconditioning. J Hypertens. 26:478–485. 2008. View Article : Google Scholar : PubMed/NCBI

26 

Resendiz-Albor AA, Esquivel R, Lopez-Revilla R, Verdin L and Moreno-Fierros L: Striking phenotypic and functional differences in lamina Propria lymphocytes from the large and small intestine of mice. Life Sci. 76:2783–2803. 2005. View Article : Google Scholar : PubMed/NCBI

27 

Gong S, Miao YL, Jiao GZ, Sun MJ, Li H, Lin J, Luo MJ and Tan JH: Dynamics and correlation of serum cortisol and corticosterone under different physiological or stressful conditions in mice. PLoS One. 10:e01175032015. View Article : Google Scholar : PubMed/NCBI

28 

Vicario M, Guilarte M, Alonso C, Yang P, Martínez C, Ramos L, Lobo B, González A, Guilà M, Pigrau M, et al: Chronological assessment of mast cell-mediated gut dysfunction and mucosal inflammation in a rat model of chronic psychosocial stress. Brain Behav Immun. 24:1166–1175. 2010. View Article : Google Scholar : PubMed/NCBI

29 

Flores CM, Hernandez MC, Hargreaves KM and Bayer BM: Restraint stress-induced elevations in plasma corticosterone and beta-endorphin are not accompanied by alterations in immune function. J Neuroimmunol. 28:219–225. 1990. View Article : Google Scholar : PubMed/NCBI

30 

Kvetnansky R, Fukuhara K, Pacak K, Cizza G, Goldstein DS and Kopin IJ: Endogenous glucocorticoids restrain catecholamine synthesis and release at rest and during immobilization stress in rats. Endocrinology. 133:1411–1419. 1993. View Article : Google Scholar : PubMed/NCBI

31 

Dhabhar FS and McEwen BS: Enhancing versus suppressive effects of stress hormones on skin immune function. Proc Natl Acad Sci USA. 96:1059–1064. 1999. View Article : Google Scholar : PubMed/NCBI

32 

Straub RH, Dhabhar FS, Bijlsma JW and Cutolo M: How psychological stress via hormones and nerve fibers may exacerbate rheumatoid arthritis. Arthritis Rheum. 52:16–26. 2005. View Article : Google Scholar : PubMed/NCBI

33 

Dhabhar FS: Enhancing versus suppressive effects of stress on immune function: Implications for Immunoprotection versus immunopathology. Allergy Asthma Clin Immunol. 4:2–11. 2008. View Article : Google Scholar : PubMed/NCBI

34 

Castagliuolo I, Lamont JT, Qiu B, Fleming SM, Bhaskar KR, Nikulasson ST, Kornetsky C and Pothoulakis C: Acute stress causes mucin release from rat colon: Role of corticotropin releasing factor and mast cells. Am J Physiol. 271:G884–G892. 1996.PubMed/NCBI

35 

Castagliuolo I, Wershil BK, Karalis K, Pasha A, Nikulasson ST and Pothoulakis C: Colonic mucin release in response to immobilization stress is mast cell dependent. Am J Physiol. 274:G1094–G1100. 1998.PubMed/NCBI

36 

Daulagala AC, Bridges MC and Kourtidis A: E-cadherin beyond structure: A signaling hub in colon homeostasis and disease. Int J Mol Sci. 20:27562019. View Article : Google Scholar : PubMed/NCBI

37 

Hwang DY, Kim S and Hong HS: Substance-P ameliorates dextran sodium sulfate-induced intestinal damage by preserving tissue barrier function. Tissue Eng Regen Med. 15:63–73. 2018. View Article : Google Scholar : PubMed/NCBI

38 

Sayer B, Lu J, Green C, Soderholm JD, Akhtar M and McKay DM: Dextran sodium Sulphate-induced colitis perturbs muscarinic cholinergic control of colonic epithelial ion transport. Br J Pharmacol. 135:1794–1800. 2002. View Article : Google Scholar : PubMed/NCBI

39 

Choi HW, Ahn HJ, Shin MK, Son YS and Kim KS: Pretreatment with substance P alleviates irritation due to sodium lauryl sulphate exposure by maintaining E-cadherin expression on human keratinocytes. Clin Exp Dermatol. 43:291–295. 2018. View Article : Google Scholar : PubMed/NCBI

40 

Qiu BS, Vallance BA, Blennerhassett PA and Collins SM: The role of CD4+ lymphocytes in the susceptibility of mice to stress-induced reactivation of experimental colitis. Nat Med. 5:1178–1182. 1999. View Article : Google Scholar : PubMed/NCBI

41 

Jarillo-Luna A, Rivera-Aguilar V, Martinez-Carrillo BE, Barbosa-Cabrera E, Garfias HR and Campos-Rodriguez R: Effect of restraint stress on the population of intestinal intraepithelial lymphocytes in mice. Brain Behav Immun. 22:265–275. 2008. View Article : Google Scholar : PubMed/NCBI

42 

Shimba A and Ikuta K: Glucocorticoids regulate circadian rhythm of innate and adaptive immunity. Front Immunol. 11:21432020. View Article : Google Scholar : PubMed/NCBI

43 

Josefowicz SZ, Niec RE, Kim HY, Treuting P, Chinen T, Zheng Y, Umetsu DT and Rudensky AY: Extrathymically generated regulatory T cells control mucosal TH2 inflammation. Nature. 482:395–399. 2012. View Article : Google Scholar : PubMed/NCBI

44 

Arpaia N, Campbell C, Fan X, Dikiy S, van der Veeken J, deRoos P, Liu H, Cross JR, Pfeffer K, Coffer PJ and Rudensky AY: Metabolites produced by commensal bacteria promote peripheral regulatory T-cell generation. Nature. 504:451–455. 2013. View Article : Google Scholar : PubMed/NCBI

45 

Mello DM, Marcinichen DR, Madruga D, Branco R, Paschoalini MA and De Lima TC: Involvement of NK1 receptors in metabolic stress markers after the central administration of substance P. Behav Brain Res. 181:232–238. 2007. View Article : Google Scholar : PubMed/NCBI

46 

Kang MH, Kim DY, Yi JY and Son Y: Substance P accelerates intestinal tissue regeneration after gamma-irradiation-induced damage. Wound Repair Regen. 17:216–223. 2009. View Article : Google Scholar : PubMed/NCBI

47 

Koon HW, Zhao D, Zhan Y, Moyer MP and Pothoulakis C: Substance P mediates antiapoptotic responses in human colonocytes by Akt activation. Proc Natl Acad Sci USA. 104:2013–2018. 2007. View Article : Google Scholar : PubMed/NCBI

48 

Lorente L: New prognostic biomarkers in patients with traumatic brain injury. Arch Trauma Res. 4:e301652015. View Article : Google Scholar : PubMed/NCBI

49 

Sturiale S, Barbara G, Qiu B, Figini M, Geppetti P, Gerard N, Gerard C, Grady EF, Bunnett NW and Collins SM: Neutral endopeptidase (EC 3.4.24.11) terminates colitis by degrading substance P. Proc Natl Acad Sci USA. 96:11653–11658. 1999. View Article : Google Scholar : PubMed/NCBI

50 

Jessop DS, Renshaw D, Larsen PJ, Chowdrey HS and Harbuz MS: Substance P is involved in terminating the hypothalamo-pituitary-adrenal axis response to acute stress through centrally located neurokinin-1 receptors. Stress. 3:209–220. 2000. View Article : Google Scholar : PubMed/NCBI

Related Articles

  • Abstract
  • View
  • Download
  • Twitter
Copy and paste a formatted citation
Spandidos Publications style
Arciniega‑Martínez IM, Reséndiz Albor AA, Cárdenas Jaramillo LM, Gutiérrez‑Meza JM, Falfán‑Valencia R, Arroyo BM, Yépez‑Ortega M, Pacheco‑Yépez J and Abarca‑Rojano E: CD4<sup>+</sup>/IL‑4<sup>+</sup> lymphocytes of the lamina propria and substance P promote colonic protection during acute stress. Mol Med Rep 25: 63, 2022.
APA
Arciniega‑Martínez, I.M., Reséndiz Albor, A.A., Cárdenas Jaramillo, L.M., Gutiérrez‑Meza, J.M., Falfán‑Valencia, R., Arroyo, B.M. ... Abarca‑Rojano, E. (2022). CD4<sup>+</sup>/IL‑4<sup>+</sup> lymphocytes of the lamina propria and substance P promote colonic protection during acute stress. Molecular Medicine Reports, 25, 63. https://doi.org/10.3892/mmr.2021.12579
MLA
Arciniega‑Martínez, I. M., Reséndiz Albor, A. A., Cárdenas Jaramillo, L. M., Gutiérrez‑Meza, J. M., Falfán‑Valencia, R., Arroyo, B. M., Yépez‑Ortega, M., Pacheco‑Yépez, J., Abarca‑Rojano, E."CD4<sup>+</sup>/IL‑4<sup>+</sup> lymphocytes of the lamina propria and substance P promote colonic protection during acute stress". Molecular Medicine Reports 25.2 (2022): 63.
Chicago
Arciniega‑Martínez, I. M., Reséndiz Albor, A. A., Cárdenas Jaramillo, L. M., Gutiérrez‑Meza, J. M., Falfán‑Valencia, R., Arroyo, B. M., Yépez‑Ortega, M., Pacheco‑Yépez, J., Abarca‑Rojano, E."CD4<sup>+</sup>/IL‑4<sup>+</sup> lymphocytes of the lamina propria and substance P promote colonic protection during acute stress". Molecular Medicine Reports 25, no. 2 (2022): 63. https://doi.org/10.3892/mmr.2021.12579
Copy and paste a formatted citation
x
Spandidos Publications style
Arciniega‑Martínez IM, Reséndiz Albor AA, Cárdenas Jaramillo LM, Gutiérrez‑Meza JM, Falfán‑Valencia R, Arroyo BM, Yépez‑Ortega M, Pacheco‑Yépez J and Abarca‑Rojano E: CD4<sup>+</sup>/IL‑4<sup>+</sup> lymphocytes of the lamina propria and substance P promote colonic protection during acute stress. Mol Med Rep 25: 63, 2022.
APA
Arciniega‑Martínez, I.M., Reséndiz Albor, A.A., Cárdenas Jaramillo, L.M., Gutiérrez‑Meza, J.M., Falfán‑Valencia, R., Arroyo, B.M. ... Abarca‑Rojano, E. (2022). CD4<sup>+</sup>/IL‑4<sup>+</sup> lymphocytes of the lamina propria and substance P promote colonic protection during acute stress. Molecular Medicine Reports, 25, 63. https://doi.org/10.3892/mmr.2021.12579
MLA
Arciniega‑Martínez, I. M., Reséndiz Albor, A. A., Cárdenas Jaramillo, L. M., Gutiérrez‑Meza, J. M., Falfán‑Valencia, R., Arroyo, B. M., Yépez‑Ortega, M., Pacheco‑Yépez, J., Abarca‑Rojano, E."CD4<sup>+</sup>/IL‑4<sup>+</sup> lymphocytes of the lamina propria and substance P promote colonic protection during acute stress". Molecular Medicine Reports 25.2 (2022): 63.
Chicago
Arciniega‑Martínez, I. M., Reséndiz Albor, A. A., Cárdenas Jaramillo, L. M., Gutiérrez‑Meza, J. M., Falfán‑Valencia, R., Arroyo, B. M., Yépez‑Ortega, M., Pacheco‑Yépez, J., Abarca‑Rojano, E."CD4<sup>+</sup>/IL‑4<sup>+</sup> lymphocytes of the lamina propria and substance P promote colonic protection during acute stress". Molecular Medicine Reports 25, no. 2 (2022): 63. https://doi.org/10.3892/mmr.2021.12579
Follow us
  • Twitter
  • LinkedIn
  • Facebook
About
  • Spandidos Publications
  • Careers
  • Cookie Policy
  • Privacy Policy
How can we help?
  • Help
  • Live Chat
  • Contact
  • Email to our Support Team