Spandidos Publications Logo
  • About
    • About Spandidos
    • Aims and Scopes
    • Abstracting and Indexing
    • Editorial Policies
    • Reprints and Permissions
    • Job Opportunities
    • Terms and Conditions
    • Contact
  • Journals
    • All Journals
    • Oncology Letters
      • Oncology Letters
      • Information for Authors
      • Editorial Policies
      • Editorial Board
      • Aims and Scope
      • Abstracting and Indexing
      • Bibliographic Information
      • Archive
    • International Journal of Oncology
      • International Journal of Oncology
      • Information for Authors
      • Editorial Policies
      • Editorial Board
      • Aims and Scope
      • Abstracting and Indexing
      • Bibliographic Information
      • Archive
    • Molecular and Clinical Oncology
      • Molecular and Clinical Oncology
      • Information for Authors
      • Editorial Policies
      • Editorial Board
      • Aims and Scope
      • Abstracting and Indexing
      • Bibliographic Information
      • Archive
    • Experimental and Therapeutic Medicine
      • Experimental and Therapeutic Medicine
      • Information for Authors
      • Editorial Policies
      • Editorial Board
      • Aims and Scope
      • Abstracting and Indexing
      • Bibliographic Information
      • Archive
    • International Journal of Molecular Medicine
      • International Journal of Molecular Medicine
      • Information for Authors
      • Editorial Policies
      • Editorial Board
      • Aims and Scope
      • Abstracting and Indexing
      • Bibliographic Information
      • Archive
    • Biomedical Reports
      • Biomedical Reports
      • Information for Authors
      • Editorial Policies
      • Editorial Board
      • Aims and Scope
      • Abstracting and Indexing
      • Bibliographic Information
      • Archive
    • Oncology Reports
      • Oncology Reports
      • Information for Authors
      • Editorial Policies
      • Editorial Board
      • Aims and Scope
      • Abstracting and Indexing
      • Bibliographic Information
      • Archive
    • Molecular Medicine Reports
      • Molecular Medicine Reports
      • Information for Authors
      • Editorial Policies
      • Editorial Board
      • Aims and Scope
      • Abstracting and Indexing
      • Bibliographic Information
      • Archive
    • World Academy of Sciences Journal
      • World Academy of Sciences Journal
      • Information for Authors
      • Editorial Policies
      • Editorial Board
      • Aims and Scope
      • Abstracting and Indexing
      • Bibliographic Information
      • Archive
    • International Journal of Functional Nutrition
      • International Journal of Functional Nutrition
      • Information for Authors
      • Editorial Policies
      • Editorial Board
      • Aims and Scope
      • Abstracting and Indexing
      • Bibliographic Information
      • Archive
    • International Journal of Epigenetics
      • International Journal of Epigenetics
      • Information for Authors
      • Editorial Policies
      • Editorial Board
      • Aims and Scope
      • Abstracting and Indexing
      • Bibliographic Information
      • Archive
    • Medicine International
      • Medicine International
      • Information for Authors
      • Editorial Policies
      • Editorial Board
      • Aims and Scope
      • Abstracting and Indexing
      • Bibliographic Information
      • Archive
  • Articles
  • Information
    • Information for Authors
    • Information for Reviewers
    • Information for Librarians
    • Information for Advertisers
    • Conferences
  • Language Editing
Spandidos Publications Logo
  • About
    • About Spandidos
    • Aims and Scopes
    • Abstracting and Indexing
    • Editorial Policies
    • Reprints and Permissions
    • Job Opportunities
    • Terms and Conditions
    • Contact
  • Journals
    • All Journals
    • Biomedical Reports
      • Information for Authors
      • Editorial Policies
      • Editorial Board
      • Aims and Scope
      • Abstracting and Indexing
      • Bibliographic Information
      • Archive
    • Experimental and Therapeutic Medicine
      • Information for Authors
      • Editorial Policies
      • Editorial Board
      • Aims and Scope
      • Abstracting and Indexing
      • Bibliographic Information
      • Archive
    • International Journal of Epigenetics
      • Information for Authors
      • Editorial Policies
      • Editorial Board
      • Aims and Scope
      • Abstracting and Indexing
      • Bibliographic Information
      • Archive
    • International Journal of Functional Nutrition
      • Information for Authors
      • Editorial Policies
      • Editorial Board
      • Aims and Scope
      • Abstracting and Indexing
      • Bibliographic Information
      • Archive
    • International Journal of Molecular Medicine
      • Information for Authors
      • Editorial Policies
      • Editorial Board
      • Aims and Scope
      • Abstracting and Indexing
      • Bibliographic Information
      • Archive
    • International Journal of Oncology
      • Information for Authors
      • Editorial Policies
      • Editorial Board
      • Aims and Scope
      • Abstracting and Indexing
      • Bibliographic Information
      • Archive
    • Medicine International
      • Information for Authors
      • Editorial Policies
      • Editorial Board
      • Aims and Scope
      • Abstracting and Indexing
      • Bibliographic Information
      • Archive
    • Molecular and Clinical Oncology
      • Information for Authors
      • Editorial Policies
      • Editorial Board
      • Aims and Scope
      • Abstracting and Indexing
      • Bibliographic Information
      • Archive
    • Molecular Medicine Reports
      • Information for Authors
      • Editorial Policies
      • Editorial Board
      • Aims and Scope
      • Abstracting and Indexing
      • Bibliographic Information
      • Archive
    • Oncology Letters
      • Information for Authors
      • Editorial Policies
      • Editorial Board
      • Aims and Scope
      • Abstracting and Indexing
      • Bibliographic Information
      • Archive
    • Oncology Reports
      • Information for Authors
      • Editorial Policies
      • Editorial Board
      • Aims and Scope
      • Abstracting and Indexing
      • Bibliographic Information
      • Archive
    • World Academy of Sciences Journal
      • Information for Authors
      • Editorial Policies
      • Editorial Board
      • Aims and Scope
      • Abstracting and Indexing
      • Bibliographic Information
      • Archive
  • Articles
  • Information
    • For Authors
    • For Reviewers
    • For Librarians
    • For Advertisers
    • Conferences
  • Language Editing
Login Register Submit
  • This site uses cookies
  • You can change your cookie settings at any time by following the instructions in our Cookie Policy. To find out more, you may read our Privacy Policy.

    I agree
Search articles by DOI, keyword, author or affiliation
Search
Advanced Search
presentation
Molecular Medicine Reports
Join Editorial Board Propose a Special Issue
Print ISSN: 1791-2997 Online ISSN: 1791-3004
Journal Cover
April-2022 Volume 25 Issue 4

Full Size Image

Sign up for eToc alerts
Recommend to Library

Journals

International Journal of Molecular Medicine

International Journal of Molecular Medicine

International Journal of Molecular Medicine is an international journal devoted to molecular mechanisms of human disease.

International Journal of Oncology

International Journal of Oncology

International Journal of Oncology is an international journal devoted to oncology research and cancer treatment.

Molecular Medicine Reports

Molecular Medicine Reports

Covers molecular medicine topics such as pharmacology, pathology, genetics, neuroscience, infectious diseases, molecular cardiology, and molecular surgery.

Oncology Reports

Oncology Reports

Oncology Reports is an international journal devoted to fundamental and applied research in Oncology.

Experimental and Therapeutic Medicine

Experimental and Therapeutic Medicine

Experimental and Therapeutic Medicine is an international journal devoted to laboratory and clinical medicine.

Oncology Letters

Oncology Letters

Oncology Letters is an international journal devoted to Experimental and Clinical Oncology.

Biomedical Reports

Biomedical Reports

Explores a wide range of biological and medical fields, including pharmacology, genetics, microbiology, neuroscience, and molecular cardiology.

Molecular and Clinical Oncology

Molecular and Clinical Oncology

International journal addressing all aspects of oncology research, from tumorigenesis and oncogenes to chemotherapy and metastasis.

World Academy of Sciences Journal

World Academy of Sciences Journal

Multidisciplinary open-access journal spanning biochemistry, genetics, neuroscience, environmental health, and synthetic biology.

International Journal of Functional Nutrition

International Journal of Functional Nutrition

Open-access journal combining biochemistry, pharmacology, immunology, and genetics to advance health through functional nutrition.

International Journal of Epigenetics

International Journal of Epigenetics

Publishes open-access research on using epigenetics to advance understanding and treatment of human disease.

Medicine International

Medicine International

An International Open Access Journal Devoted to General Medicine.

Journal Cover
April-2022 Volume 25 Issue 4

Full Size Image

Sign up for eToc alerts
Recommend to Library

  • Article
  • Citations
    • Cite This Article
    • Download Citation
    • Create Citation Alert
    • Remove Citation Alert
    • Cited By
  • Similar Articles
    • Related Articles (in Spandidos Publications)
    • Similar Articles (Google Scholar)
    • Similar Articles (PubMed)
  • Download PDF
  • Download XML
  • View XML
Article Open Access

Fxyd5 activates the NF‑κB pathway and is involved in chondrocytes inflammation and extracellular matrix degradation

  • Authors:
    • Lulu Song
    • Xingxing Li
    • Qingwan Sun
    • Yifeng Zhao
  • View Affiliations / Copyright

    Affiliations: Capital University of Physical Education and Sports, Haidian, Beijing 100191, P.R. China, University of Derby, Derby DE1 3PF, United Kingdom, Faculty of Education, Beijing Normal University, Beijing 100875, P.R. China
    Copyright: © Song et al. This is an open access article distributed under the terms of Creative Commons Attribution License.
  • Article Number: 134
    |
    Published online on: February 18, 2022
       https://doi.org/10.3892/mmr.2022.12650
  • Expand metrics +
Metrics: Total Views: 0 (Spandidos Publications: | PMC Statistics: )
Metrics: Total PDF Downloads: 0 (Spandidos Publications: | PMC Statistics: )
Cited By (CrossRef): 0 citations Loading Articles...

This article is mentioned in:



Abstract

It is known that increased inflammation and extracellular matrix (ECM) degradation in chondrocytes can promote the development of osteoarthritis (OA). The FXYD domain containing ion transport regulator 5 (Fxyd5) has been found to promote chronic inflammatory responses. The present study aimed to investigate the role of Fxyd5 in OA. Murine ATDC5 chondrocytes were transfected with short hairpin RNAs specifically targeting Fxyd5 to silence its expression. Subsequently, cells were induced with lipopolysaccharide (LPS). The protein expression levels of Fxyd5, MMPs and proteins related to ECM, apoptosis and NF‑κB signaling were detected using western blot analysis. In addition, cell viability was assessed using a Cell Counting Kit‑8 assay, while the secretion of the proinflammatory factors and those of the oxidative stress‑related markers were measured using the corresponding kits. Finally, cells were treated with the NF‑κB activator, betulinic acid (BA) and the above experiments were repeated. The results demonstrated that Fxyd5 was significantly upregulated in ATDC5 cells treated with LPS. Additionally, Fxyd5 knockdown increased cell viability, enhanced the protein expression of Bcl‑2, Aggrecan and collagen II, while reduced the expression of Bax, cleaved caspase‑3/caspase‑3, MMP3 and MMP13 in LPS‑induced ATDC5 cells. The production of IL‑1β, IL‑6 and IL‑18 as well as reactive oxygen species and malondialdehyde, and the reduction of superoxide dismutase caused by LPS in ATDC5 cells, were also reversed by Fxyd5 silencing. Fxyd5 silencing inhibited the phosphorylation of p65 and IκBα induced by LPS. Finally, BA reversed the protective effect of Fxyd5 silencing on LPS induced chondrocytes injury. In conclusion, Fxyd5 could enhance chondrocyte inflammation and ECM degradation via activating the NF‑κB signaling.

Introduction

Osteoarthritis (OA), characterized by enhanced cartilage degradation and cartilage cell death, is a degenerative joint disease caused by the progressive erosion of articular cartilage (1,2). It has been suggested that oxidative stress, characterized by excessive production of reactive oxygen species (ROS), serves a significant role in OA pathology (3). ROS can disturb cartilage homeostasis via promoting chondrocyte apoptosis and matrix catabolism (1). Furthermore, lipopolysaccharide (LPS) primes the proinflammatory innate immune response via Toll-like receptor 4 and that progresses to a full-blown inflammatory response and structural damage of the joint, thus it is considered as a key pro-inflammatory factor that serves a crucial role in the pathogenesis of OA (4–7). LPS-induced chondrocytes are used to establish in vitro chondrocyte injury models, which are characterized by increased inflammation and apoptosis (8).

FXYD domain containing ion transport regulator 5 (Fxyd5) is a widely expressed single-pass transmembrane protein that increases the apparent affinity for intracellular Na+/K+-ATPase and serves several roles in different cell types (9). Previous studies demonstrate that Fxyd5 overexpression is associated with tumor progression, including breast cancer and renal cell carcinoma (10,11). In addition, Fxyd5 promotes inflammation in epithelial cells (12). Increased expression of Fxyd5 may be associated with chronic inflammatory responses and the excessive activity of the immune system during human brain aging (13). Another study shows that Fxyd5 is upregulated in the epithelium of patients with cystic fibrosis, accompanied by excessive airway inflammation (14). Fxyd5 overexpression in mice promotes alveolar epithelial cell injury via activating NF-κB signaling and promoting cytokine secretion in response to treatment with LPS (15). However, the effect of Fxdy5 upregulation in chondrocytes on promoting the development of OA has not been previously investigated to the best of the authors' knowledge.

The significant role of NF-κB signaling in the occurrence and progression of OA has been extensively studied (16–19). Emerging evidence suggests that the NF-κB signaling pathway can be activated in response to mechanical stress, pro-inflammatory factors and extracellular matrix (ECM) degradation products, thereby affecting cartilage matrix remodeling and promoting chondrocyte apoptosis and synovial inflammation (20). Therefore, the current treatment approach for OA, specifically targeting NF-κB signaling, is gaining increased attention. The current study aimed to investigate whether Fxyd5 could promote chondrocyte inflammation via activating NF-κB signaling. Therefore, to explore the expression profile of Fxdy5 in OA and its potential regulatory mechanism, murine ATDC5 chondrocytes were treated with LPS to establish an in vitro chondrocyte injury model.

Materials and methods

Cell culture and treatment

The murine ATDC5 chondrocytes were obtained from the American Type Culture Collection and cells were maintained in DMEM/F12 (MilliporeSigma) supplemented with 10% FBS (Gibco; Thermo Fisher Scientific, Inc.) and 1% penicillin/streptomycin solution (Beyotime Institute of Biotechnology) at 37°C in a humidified CO2 (5%) incubator. To construct the OA cell model in vitro, ATDC5 cells were incubated with 5 µg/ml LPS (Shanghai Yuanye Bio. Tech. Co., Ltd.) for 5 h at 37°C (21,22), co-treated or not with 10 nM betulinic acid (BA; MedChemExpress), an NF-κB activator, for 48 h at 37°C.

Cell transfection

Short hairpin RNAs (shRNAs) against mouse Fxyd5 (accession no. NM_001111073; shFxyd5-1 and shFxyd5-2) were designed using the online design software (https://portals.broadinstitute.org/gpp/public/seq/search) and then cloned into the pLKO.1 vector (MilliporeSigma; cat. no. SHC001) to silence Fxyd5 expression. A non-targeting shRNA clone was used as the negative control (shNC). Briefly, ATDC5 cells were seeded into 6-well plates at a density of 1×106 cells/well and cultured overnight at 37°C. Cells were then transfected with 50 pmol shRNAs using Lipofectamine® 3000 (Invitrogen; Thermo Fisher Scientific, Inc.) at 37°C for 24 h according to the manufacturer's recommendation. Transfection efficiency was detected via western blot at 48 h after transfection. The sequences for shRNAs were as follows: shFxyd5-1, forward 5′-CCGGCGCCTGTGTCTCCTCACTATTCTCGAGAATAGTGAGGAGACACAGGCGTTTTTG-3′, reverse 5′-AATTCAAAAACGCCTGTGTCTCCTCACTATTCTCGAGAATAGTGAGGAGACACAGGCG-3′; shFxyd5-2, forward 5′-CCGGGCTGTTCATCACGGGAATTATCTCGAGATAATTCCCGTGATGAACAGCTTTTTG-3′, reverse 5′-AATTCAAAAAGCTGTTCATCACGGGAATTATCTCGAGATAATTCCCGTGATGAACAGC-3′; shNC, forward 5′-CACCGCAATTTTTTTTTTTGATTCACGAATGAATCAAAAAAAAAAAAATGC-3′, reverse 5′-AAAAGCAATTTTTTTTTTTGATTCATTCGTGAATCAAAAAAAAAAAAATGC-3′.

Cell Counting Kit-8 (CCK-8) assay

Following cell treatment or transfection, a total of 2×104 ATDC5 cells/well were seeded into a 96-well and were then incubated with CCK-8 regent for 2 h at 37°C. The absorbance at a wavelength of 450 nm was measured in each well using a microplate reader (Multiskan SkyHigh Microplate Spectrophotometer; Thermo Fisher Scientific, Inc.). Each sample was assessed five times.

Western blot analysis

A total of 1×106 ATDC5 cells were seeded into 6-well plates, washed with PBS and lysed using RIPA Cell lysis buffer (Beyotime Institute of Biotechnology). Following centrifugation at 12,000 × g for 20 min at 4°C, the supernatant was collected to perform western blot analysis. Briefly, total protein concentration was quantified using a BCA kit (Invitrogen; Thermo Fisher Scientific, Inc.), then equal amount of protein (30 µg) was separated through the 10% SDS-PAGE, followed by transfer onto PVDF membranes. After blocking with 5% non-fat milk for 1 h at room temperature, the PVDF membranes were incubated with primary antibodies overnight at 4°C. The primary antibodies were: Rabbit anti-Fxyd5 (1:1,000; cat. no. ABIN2780210), rabbit anti-aggrecan (1:500; cat. no. ABIN6996681; both from antibodies-online), rabbit anti-GAPDH (1:10,000; cat. no. ab181602), rabbit anti-Bcl2 (1:2,000; cat. no. ab182858), rabbit anti-Bax (1:8,000; cat. no. ab32503), rabbit anti-cleaved caspase 3 (1:5,000; cat. no. ab214430), rabbit anti-caspase 3 (1:2,000; cat. no. ab184787), rabbit anti-MMP3 (1:20,000; cat. no. ab52915; all from Abcam), rabbit anti-MMP13 (1:2,000; cat. no. NBP2-66954), rabbit anti-phosphorylated (p)-IκBα (1:800; cat. no. NB100-81987), rabbit anti-IκBα (1:5,000; cat. no. NBP2-67369), rabbit anti-collagen II (1:10,000; cat. no. NBP1-77795; all from Novus Biologicals, Ltd.), rabbit anti-p-p65 (1:1,000; cat. no. 3033S) and rabbit anti-p65 (1:1,000; cat. no. 8242S; Cell Signaling Technology, Inc.). Subsequently, membranes were treated with the goat anti-rabbit IgG (HRP) secondary antibody (1:10,000; cat. no. ab6721; Abcam) at room temperature for 1 h. Then, enhanced chemiluminescence (MilliporeSigma) was used to detect the protein expression levels. Band semi-quantification was performed using Image J software (version 1.54; National Institutes of Health).

Determination of intracellular ROS, superoxide dismutase (SOD) and malondialdehyde (MDA)

Following cell treatment or transfection, ATDC5 cells were seeded into 6-well plates at a density of 1×106 cells/well and the levels of intracellular ROS, SOD and lipid peroxidation product MDA were determined using ROS Assay kit (cat. no. S0033M; Beyotime Institute of Biotechnology), SOD Assay Kit (cat. no. 7500-100-K; R&D systems, Inc.) and TBARS Parameter Assay Kit (cat. no. KGE013; R&D systems, Inc.), respectively, according to the manufacturer's recommendations.

ELISA

Control or transfected ATDC5 cells were seeded into 96-well plates at a density of 2×104 cells/well, following indicated treatment, the secretion levels of IL-1β, IL-6 and IL-18 in the culture supernatants were measured using the Mouse IL-1β (cat. no. ab197742), IL-6 (cat. no. ab222503) and IL-18 (cat. no. ab216165) SimpleStep ELISA kits (Abcam) according to the manufacturer's instructions.

Statistical analysis

All statistical analyses were performed using GraphPad Prism 8.0.1 (GraphPad Software, Inc.). Data were expressed as the mean ± standard deviation from three independent experiments. One-way ANOVA followed by Tukey's multiple comparison test was applied to compare the differences among multiple groups, while those between two groups were compared using an unpaired two-tailed Student's t-test. P<0.05 was considered to indicate a statistically significant difference.

Results

Fxyd5 knockdown enhances cell viability and inhibits apoptosis and ECM degradation in LPS-induced ATDC5 cells

To explore the expression profile of Fxyd5 in the LPS-induced chondrocyte injury model (21), total proteins were extracted from ATDC5 cells treated with 5 µg/ml LPS for 5 h followed by western blot analysis. The results showed that the expression levels of Fxyd5 were significantly increased in LPS-treated cells compared with untreated ones (Fig. 1A). Furthermore, to investigate the cell-specific effect of Fxyd5, ATDC5 cells were transfected with shRNA clones targeting Fxyd5 (shFxyd5-1 and shFxyd5-2) to knockdown its expression. The results showed that shFxyd5-2 clone exhibited a more potent effect on silencing Fxyd5 expression compared with shFxyd5-1, since the protein expression levels of Fxyd5 in ATDC5 cells transfected with shFxyd5-2 were decreased to ~50% compared with cells transfected with shNC (Fig. 1B). Therefore, the shFxyd5-2 clone was used in subsequent experiments. Additionally, cell viability was assessed by CCK-8 assays. Following cell treatment with LPS, cell viability was notably higher in Fxyd5-depleted ATDC5 cells compared with those transfected with shNC (Fig. 1C). Western blot analysis also revealed that the protein expression levels of the apoptosis-related markers (23) Bax and cleaved caspase 3/caspase 3 were markedly reduced, while those of Bcl-2 were increased in Fxyd5-depleted LPS-induced ATDC5 cells compared with cells transfected with shNC (Fig. 1D). Subsequently, the role of Fxyd5 in chondrocyte ECM homeostasis was also evaluated by western blot analysis. The results demonstrated that cell treatment with LPS inhibited ECM-factors production, and promoted ECM degradation, as verified by Aggrecan and collagen II downregulation accompanied by MMP3 and MMP13 upregulation when compared with control cells (Fig. 1E). Fxyd5 silencing reversed these effect caused by LPS (Fig. 1E). Taken together, the aforementioned findings indicated that Fxyd5 knockdown could protect ATDC5 cells against LPS-mediated cell injury via enhancing cell viability and inhibiting cell apoptosis and ECM degradation.

Figure 1.

Fxyd5 silencing enhances cell viability and inhibits cell apoptosis and ECM degradation in ATDC5 cells. (A) Western blot analysis showing the upregulated expression levels of Fxyd5 in ATDC5 cells treated with 5 µg/ml LPS for 5 h. ***P<0.001 vs. the control group. (B) shFxyd5-2 exhibited a more potent effect on Fxyd5 silencing compared with shFxyd5-1. Western blot analysis showed that the protein expression levels of Fxyd5 were decreased by ~50% compared with the shNC group. **P<0.01 and ***P<0.001 vs. the shNC group. (C) Cell Counting Kit-8 assay showed that Fxyd5 knockdown reversed the LPS-mediated decreased ATDC5 cell viability. (D) Western blot analysis revealed that Fxyd5 silencing reversed the LPS-induced ATDC5 cell apoptosis, as supported by the decreased expression levels of Bax and cleaved caspase 3 and the increased expression levels of Bcl-2 in Fxyd5-depleted ATDC5 cells compared with the shNC group. The expression levels of caspase 3 remained unchanged. (E) Western blot analysis showed that Fxyd5 knockdown reversed the LPS-induced ECM degradation in ATDC5 cells, as supported by MMP3 and MMP13 downregulation and aggrecan and collagen II upregulation in the shFxyd5 group compared with the shNC group. Untreated and untransfected ATDC5 cells served as the control group. GAPDH served as the loading control. ***P<0.001 vs. the control group; ##P<0.01, ###P<0.001 vs. the LPS + shNC group. Fxyd5, FXYD domain containing ion transport regulator 5; ECM, extracellular matrix; LPS, lipopolysaccharide; sh, short hairpin RNA; NC, negative control.

Fxyd5 silencing attenuates LPS-mediated inflammation and oxidative stress in ATDC5 cells

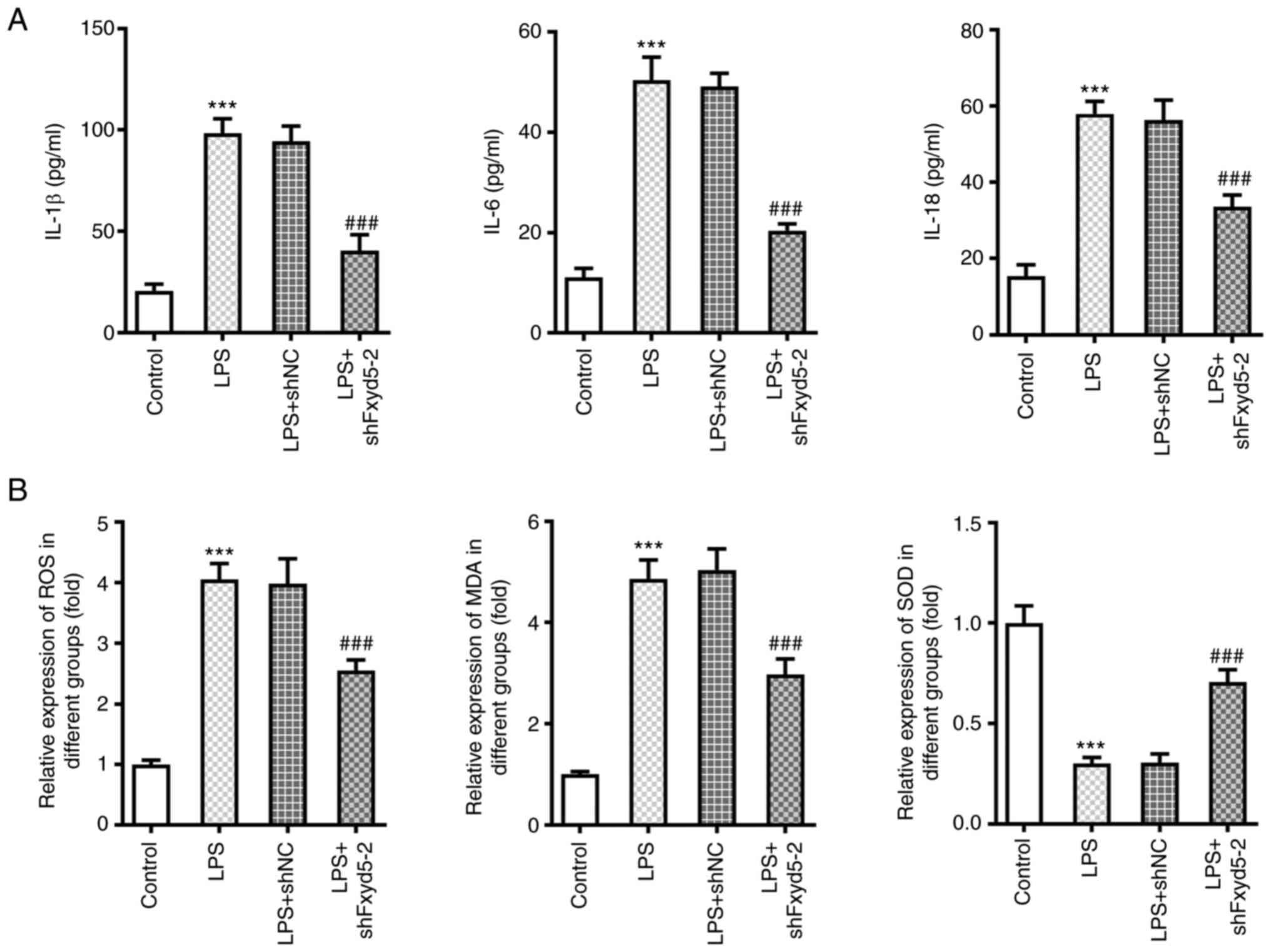
To further explore the effect of Fxyd5 on LPS-induced chondrocyte inflammation and oxidative stress, ELISA was carried out to determine the secretion levels of pro-inflammatory cytokines and the content of ROS, MDA and SOD in LPS-induced ATDC5 cells. The results revealed that Fxyd5 was involved in LPS-induced cellular inflammation. Therefore, the secretion levels of the inflammatory factors IL-1β, IL-6 and IL-18 were significantly decreased in Fxyd5-depleted ATDC5 cells treated or not with LPS compared with the shNC group (Fig. 2A). Similar results were observed in the levels of ROS, MDA and SOD, suggesting that the increased expression of Fxyd5 could be involved in LPS-induced oxidative stress in ATDC5 cells. Therefore, the levels of ROS and MDA were significantly lower and those of SOD were notably higher in Fxyd5-depleted ATDC5 cells compared with the shNC group (Fig. 2B). These results suggested that Fxyd5 knockdown could alleviate LPS-induced cellular inflammatory responses and oxidative stress in ATDC5 cells.

Figure 2.

Fxyd5 knockdown attenuates inflammation and oxidative stress in ATDC5 cells. (A) ELISA showed that Fxyd5 knockdown in ATDC5 cells reduced the LPS-mediated release of the pro-inflammatory cytokines IL-1β, IL-6 and IL-18 compared with the shNC group. (B) Fxyd5 silencing alleviated LPS-induced oxidative stress in ATDC5 cells compared with the shNC group, as supported by the decreased levels of ROS and MDA and the increased ones of SOD. Untreated and untransfected ATDC5 cells served as the control group. ***P<0.001 vs. the control group; ###P<0.001 vs. the LPS + shNC group. Fxyd5, FXYD domain containing ion transport regulator 5; LPS, lipopolysaccharide; NC, negative control; shRNA, short hairpin RNA; ROS, reactive oxygen species; MDA, malondialdehyde; SOD, superoxide dismutase.

Fxyd5 activates NF-κB signaling in LPS-induced ATDC5 cells

To investigate whether Fxyd5 was involved in the regulation of NF-κB pathway in the LPS-induced chondrocyte injury model (8), western blot analysis was performed. The results showed that Fxyd5 knockdown in ATDC5 cells restored the increased LPS-mediated p65 and IκBα phosphorylation (Fig. 3). Therefore, the increased expression of Fxyd5 could be involved in LPS-induced chondrocyte injury via activating the NF-κB signaling pathway.

Figure 3.

Fxyd5 regulates NF-κB signaling in ATDC5 cells. Western blot analysis revealed that Fxyd5 silencing in ATDC5 cells reduced the LPS-induced phosphorylation levels of p65 and IκBα compared with the shNC group. Untreated and untransfected ATDC5 cells served as the control group. GAPDH served as the loading control. ***P<0.001 vs. the control group; ###P<0.001 vs the. LPS + shNC group. Fxyd5, FXYD domain containing ion transport regulator 5; LPS, lipopolysaccharide; shRNA, short hairpin RNA; NC, negative control short hairpin RNA; p-, phosphorylated; t-, total.

Fxyd5 promotes LPS-induced chondrocyte injury via activating the NF-κB signaling pathway

Since Fxyd5 knockdown in ADTC5 cells could inhibit the activation of the NF-κB pathway (Fig. 3), the present study aimed to verify that Fxyd5 could promote LPS-mediated chondrocyte injury via activating NF-κB signaling. Therefore, LPS-stimulated Fxyd5-depleted ATDC5 cells were treated with 10 nM BA, a NF-κB activator. Western blot analysis showed that the phosphorylation levels of p65 and IκBα were significantly increased in BA-treated Fxyd5-depleted ATDC5 cells compared with BA untreated Fxyd5-depleted ATDC5 cells (Fig. 4A). Additionally, treatment with BA attenuated cell viability and enhanced cell apoptosis and ECM degradation in LPS-induced Fxyd5-depleted ATDC5 cells compared with untreated cells (Fig. 4B-D). To this end, the present study investigated whether Fxyd5 could be also involved in LPS-induced inflammatory responses and oxidative stress in ATDC5 cells via activating the NF-κB signaling pathway. The results demonstrated that cell treatment with BA restored the levels of IL-1β, IL-6, IL-18, ROS and MDA, but not those of SOD, compared with untreated cells (Fig. 5). The above findings indicated that Fxyd5 upregulation could promote LPS-mediated chondrocyte injury via activating NF-κB signaling.

Figure 4.

Fxyd5 regulates cell viability, apoptosis and ECM degradation via activating the NF-κB signaling pathway in ATDC5 cells. Following cell treatment with 10 nM BA, a NF-κB activator, for an additional 48 h (A) the phosphorylation levels of p65 and IκBα were increased, as demonstrated by western blot analysis. (B) Cell Counting Kit 8 assay showed that cell viability was increased in Fxyd5-depleted ATDC5 cells co-treated with LPS and BA compared with cells treated only with LPS. (C and D) Western blotting was used to evaluate the expression of proteins involved in cell apoptosis and ECM degradation. Untreated and untransfected ATDC5 cells served as the control group. GAPDH served as the loading control. ***P<0.001 vs. the control group; ##P<0.01 and ###P<0.001 vs. the LPS + shNC group; $P<0.05, $$P<0.01 and $$$P<0.001 vs. the LPS + shFxyd5-2 + BA group. Fxyd5, FXYD domain containing ion transport regulator 5; ECM, extracellular matrix; BA, betulinic acid; LPS, lipopolysaccharide; shRNA, short hairpin RNA; NC, negative control.

Figure 5.

Fxyd5 regulates cellular inflammation and oxidative stress in ATDC5 cells via activating NF-κB signaling. Following cell treatment with 10 nM BA for additional 48 h, the secretion levels of the (A) pro-inflammatory factors IL-1β, IL-6 and IL-18 were increased in ELISA. (B) The content of ROS and MDA was increased and that of SOD was decreased in Fxyd5-depleted ATDC5 cells co-treated with LPS and BA compared with cells treated only with LPS. Untreated and untransfected ATDC5 cells served as the control group. GAPDH served as the loading control. ***P<0.001 vs. the control group; ###P<0.001 vs. the LPS + shNC group; $$P<0.01 and $$$P<0.001 vs. the LPS + shFxyd5-2 + BA group. Fxyd5, FXYD domain containing ion transport regulator 5; BA, betulinic acid; LPS, lipopolysaccharide; shRNA, short hairpin RNA; NC, negative control; ROS, reactive oxygen species MDA, malondialdehyde; SOD, superoxide dismutase.

Discussion

Articular cartilage is a non-self-renewing avascular tissue that lacks inherent repair capability (1). Although, cartilage-derived stem/progenitor cells are involved in the maintenance of tissue homeostasis (2), the gradual loss of chondrocytes still leads to cartilage homeostasis disorders and eventually to OA (24). It has been reported that non-medicinal and non-surgical approaches such as exercise mode and light equipment-assisted training can prevent and delay the deterioration of early OA to a certain extent (25). However, for the treatment of severe OA, symptomatic treatment and joint replacement surgery should be performed (24). Nevertheless, the quality of life remains poor over time.

LPS is used to establish chondrocyte injury models by inducing cell apoptosis, oxidative stress and inflammation (21). In the present study, ATDC5 cell treatment with LPS increased matrix catabolism via upregulating the expression of matrix degradation-related enzymes, including MMP3 and MMP13, and reducing the content of collagen and proteoglycans. Using fast 3D confocal cartilage imaging technology combined with standard histological examination, Zhang et al (26) demonstrate that cartilage cell apoptosis by itself cannot cause articular cartilage injury, which could be mainly triggered by cartilage cell catabolism.

The current study aimed to investigate the effect of transport regulator Fxyd5 on LPS-induced ATDC5 cell injury. Unlike other members of the FXYD family, Fxyd5 exhibits several biological functions in different cell types (12). A previous study revealed that during lung injury, Fxyd5 upregulation is associated with the excessive secretion of cytokines and chemokines by alveolar epithelial cells in response to IFN-α and TNF-α via activating NF-κB signaling (15). Consistent with the aforementioned results, the present study showed that Fxyd5 was upregulated in LPS-induced ATDC5 cells. The increased expression of Fxyd5 further responded to LPS stimulation via promoting the secretion of the inflammatory cytokines IL-1β, IL-6 and IL-18. However, the detection of the mRNA level of these pro-inflammatory cytokines could further support the above findings.

The current study also demonstrated that Fxyd5 silencing could relieve LPS-induced oxidative stress in ATDC5 cells as evidenced by reduced ROS and MDA, while increased SOD levels upon Fxyd5 silencing. Excessive production of ROS contributes to the occurrence of oxidative stress; MDA is a production of lipid peroxidation and SOD belongs to a member of the enzyme antioxidant system (27). Although the combination of the changes in ROS, SOD and MDA levels can illustrate the changes in oxidative stress (28,29), detection of other molecules involved in oxidative stress such as catalase, glutathione peroxidase, 8-hydroxyldeoxyguanosine and nicotinamide adenine dinucleotide phosphate, may further support the findings of the present study. Emerging evidence suggests that ROS-mediated oxidative stress in chondrocytes can affect intracellular signal transduction, chondrocyte life cycle and cartilage matrix metabolism, which may lead to synovial inflammation and subchondral bone dysfunction (1,16). In addition to ECM degradation and cellular inflammation, the increased expression of Fxyd5 could also promote ATDC5 cell apoptosis, possibly via a series of complex and comprehensive reactions. Cellular inflammation can undoubtedly induce cell death, while chondrocyte-specific ECM proteins can also regulate cell proliferation and survival via transmitting cell signals by combining with integrins (30).

It has been reported that LPS binds to and alters the configuration of its associated receptors, promotes IκBα phosphorylation and activates the classic NF-κB pathway (31). In addition, the post-translational modification of p65 can also regulate the activity of NF-kB signaling (31), which is a classic pathway associated with the occurrence and development of OA (20). In the present study, the phosphorylation levels of p65 and IκBα were enhanced in LPS-induced Fxyd5-depleted ATDC5 cells. Combined with the results obtained by the co-treatment of ATDC5 cells with the NF-kB activator, BA, the elevated expression of Fxyd5 promoted chondrocyte injury partially via activating the NF-κB pathway. However, other signaling pathways such as Wnt/β-catenin and MAPK/ERK signaling pathways, which have been reported to regulate OA (32,33), may also be involved in the above process, thus future studies should be performed to investigate. Additionally, further studies should focus on the effect of Fxyd5 on chondrocyte differentiation, as chondrocytes show differentiation plasticity during the healing process (34). Moreover, in vivo studies using IL-1β-induced cell model and animal OA model need to be performed to validate the in vitro findings of the present study.

The results of the current study revealed that Fxyd5 was significantly upregulated in the LPS-induced chondrocyte injury model. Furthermore, the results demonstrated that the increased expression levels of Fxyd5 could promote inflammation, oxidative stress and ECM degradation in ATDC cells via activating the NF-κB signaling pathway. Overall, these findings could provide novel insights to increase our understanding in the role of NF-κB signaling in the pathogenesis of OA.

Acknowledgements

Not applicable.

Funding

Funding: No funding was received.

Availability of data and materials

The datasets used and/or analyzed during the current study are available from the corresponding author on reasonable request.

Authors' contributions

LS guided the project and wrote the manuscript. LS and XL conceived the technical details and designed the experiments. LS, XL and YZ performed the experiments. QS analyzed the data. All authors read and approved the final manuscript. LS and XL confirm the authenticity of all the raw data.

Ethics approval and consent to participate

Not applicable.

Patient consent for publication

Not applicable.

Competing interests

The authors declare that they have no competing interests.

References

1 

Hosseinzadeh A, Kamrava SK, Joghataei MT, Darabi R, Shakeri-Zadeh A, Shahriari M, Reiter RJ, Ghaznavi H and Mehrzadi S: Apoptosis signaling pathways in osteoarthritis and possible protective role of melatonin. J Pineal Res. 61:411–425. 2016. View Article : Google Scholar : PubMed/NCBI

2 

Jiang Y and Tuan RS: Origin and function of cartilage stem/progenitor cells in osteoarthritis. Nat Rev Rheumatol. 11:206–212. 2015. View Article : Google Scholar : PubMed/NCBI

3 

Blanco FJ, Rego I and Ruiz-Romero C: The role of mitochondria in osteoarthritis. Nat Rev Rheumatol. 7:161–169. 2011. View Article : Google Scholar : PubMed/NCBI

4 

Huang ZY, Stabler T, Pei FX and Kraus VB: Both systemic and local lipopolysaccharide (LPS) burden are associated with knee OA severity and inflammation. Osteoarthritis Cartilage. 24:1769–1775. 2016. View Article : Google Scholar : PubMed/NCBI

5 

Zhao C, Wang Y, Jin H and Yu T: Knockdown of microRNA-203 alleviates LPS-induced injury by targeting MCL-1 in C28/I2 chondrocytes. Exp Cell Res. 359:171–178. 2017. View Article : Google Scholar : PubMed/NCBI

6 

Huang Z and Kraus VB: Does lipopolysaccharide-mediated inflammation have a role in OA? Nat Rev Rheumatol. 12:123–129. 2016. View Article : Google Scholar : PubMed/NCBI

7 

Chen G, Liu T, Yu B, Wang B and Peng Q: CircRNA-UBE2G1 regulates LPS-induced osteoarthritis through miR-373/HIF-1a axis. Cell Cycle. 19:1696–1705. 2020. View Article : Google Scholar : PubMed/NCBI

8 

Ding Y, Wang L, Zhao Q, Wu Z and Kong L: MicroRNA-93 inhibits chondrocyte apoptosis and inflammation in osteoarthritis by targeting the TLR4/NF-κB signaling pathway. Int J Mol Med. 43:779–790. 2019.PubMed/NCBI

9 

Geering K: Function of FXYD proteins, regulators of Na, K-ATPase. J Bioenerg Biomembr. 37:387–392. 2005. View Article : Google Scholar : PubMed/NCBI

10 

Nam JS, Kang MJ, Suchar AM, Shimamura T, Kohn EA, Michalowska AM, Jordan VC, Hirohashi S and Wakefield LM: Chemokine (C-C motif) ligand 2 mediates the prometastatic effect of dysadherin in human breast cancer cells. Cancer Res. 66:7176–7184. 2006. View Article : Google Scholar : PubMed/NCBI

11 

Schüler Y, Lee-Thedieck C, Geiger K, Kaiser T, Ino Y, Aicher WK and Klein G: Osteoblast-secreted factors enhance the expression of dysadherin and CCL2-dependent migration of renal carcinoma cells. Int J Cancer. 130:288–299. 2012. View Article : Google Scholar : PubMed/NCBI

12 

Lubarski-Gotliv I, Asher C, Dada LA and Garty H: FXYD5 Protein Has a Pro-inflammatory role in epithelial cells. J Biol Chem. 291:11072–11082. 2016. View Article : Google Scholar : PubMed/NCBI

13 

Nikas JB: Inflammation and immune system activation in aging: A mathematical approach. Sci Rep. 3:32542013. View Article : Google Scholar : PubMed/NCBI

14 

Miller TJ and Davis PB: FXYD5 modulates Na+ absorption and is increased in cystic fibrosis airway epithelia. Am J Physiol Lung Cell Mol Physiol. 294:L654–L664. 2008. View Article : Google Scholar : PubMed/NCBI

15 

Brazee PL, Soni PN, Tokhtaeva E, Magnani N, Yemelyanov A, Perlman HR, Ridge KM, Sznajder JI, Vagin O and Dada LA: FXYD5 is an essential mediator of the inflammatory response during lung injury. Front Immunol. 8:6232017. View Article : Google Scholar : PubMed/NCBI

16 

Lepetsos P, Papavassiliou KA and Papavassiliou AG: Redox and NF-κB signaling in osteoarthritis. Free Radic Biol Med. 132:90–100. 2019. View Article : Google Scholar : PubMed/NCBI

17 

Jiang RH, Xu JJ, Zhu DC, Li JF, Zhang CX, Lin N and Gao WY: Glycyrrhizin inhibits osteoarthritis development through suppressing the PI3K/AKT/NF-κB signaling pathway in vivo and in vitro. Food Funct. 11:2126–2136. 2020. View Article : Google Scholar : PubMed/NCBI

18 

Choi MC, Jo J, Park J, Kang HK and Park Y: NF-κB signaling pathways in osteoarthritic cartilage destruction. Cells. 8:7342019. View Article : Google Scholar : PubMed/NCBI

19 

Saito T and Tanaka S: Molecular mechanisms underlying osteoarthritis development: Notch and NF-kappaB. Arthritis Res. 19:942017. View Article : Google Scholar : PubMed/NCBI

20 

Rigoglou S and Papavassiliou AG: The NF-κB signalling pathway in osteoarthritis. Int J Biochem Cell Biol. 45:2580–2584. 2013. View Article : Google Scholar : PubMed/NCBI

21 

Mei X, Tong J, Zhu W and Zhu Y: lncRNA-NR024118 overexpression reverses LPS-induced inflammatory injury and apoptosis via NF-κB/Nrf2 signaling in ATDC5 chondrocytes. Mol Med Rep. 20:3867–3873. 2019.PubMed/NCBI

22 

Chang Q, Ji M, Li C and Geng R: Downregulation of miR-486-5p alleviates LPS-induced inflammatory injury, oxidative stress and apoptosis in Chondrogenic cell ATDC5 by targeting NRF1. Mol Med Rep. 22:2123–2131. 2020. View Article : Google Scholar : PubMed/NCBI

23 

Cheng EH, Kirsch DG, Clem RJ, Ravi R, Kastan MB, Bedi A, Ueno K and Hardwick JM: Conversion of Bcl-2 to a Bax-like death effector by caspases. Science. 278:1966–1968. 1997. View Article : Google Scholar : PubMed/NCBI

24 

Hashimoto M, Nakasa T, Hikata T and Asahara H: Molecular network of cartilage homeostasis and osteoarthritis. Med Res Rev. 28:464–481. 2008. View Article : Google Scholar : PubMed/NCBI

25 

Bierma-Zeinstra S, van Middelkoop M, Runhaar J and Schiphof D: Nonpharmacological and nonsurgical approaches in OA. Best Pract Res Clin Rheumatol. 34:1015642020. View Article : Google Scholar : PubMed/NCBI

26 

Zhang M, Mani SB, He Y, Hall AM, Xu L, Li Y, Zurakowski D, Jay GD and Warman ML: Induced superficial chondrocyte death reduces catabolic cartilage damage in murine posttraumatic osteoarthritis. J Clin Invest. 126:2893–2902. 2016. View Article : Google Scholar : PubMed/NCBI

27 

Sies H: Oxidative stress: A concept in redox biology and medicine. Redox Biol. 4:180–183. 2015. View Article : Google Scholar : PubMed/NCBI

28 

Ansari MY, Ahmad N and Haqqi TM: Oxidative stress and inflammation in osteoarthritis pathogenesis: Role of polyphenols. Biomed Pharmacother. 129:1104522020. View Article : Google Scholar : PubMed/NCBI

29 

Feng K, Chen Z, Pengcheng L, Zhang S and Wang X: Quercetin attenuates oxidative stress-induced apoptosis via SIRT1/AMPK-mediated inhibition of ER stress in rat chondrocytes and prevents the progression of osteoarthritis in a rat model. J Cell Physiol. 234:18192–18205. 2019. View Article : Google Scholar : PubMed/NCBI

30 

Loeser RF: Integrins and chondrocyte-matrix interactions in articular cartilage. Matrix Biol. 39:11–16. 2014. View Article : Google Scholar : PubMed/NCBI

31 

Lawrence T: The nuclear factor NF-kappaB pathway in inflammation. Cold Spring Harb Perspect Biol. 1:a0016512009. View Article : Google Scholar : PubMed/NCBI

32 

Zhou Y, Wang T, Hamilton JL and Chen D: Wnt/β-catenin signaling in osteoarthritis and in other forms of arthritis. Curr Rheumatol Rep. 19:532017. View Article : Google Scholar : PubMed/NCBI

33 

He Z, Li H, Han X, Zhou F, Du J, Yang Y, Xu Q, Zhang S, Zhang S, Zhao N, et al: Irisin inhibits osteocyte apoptosis by activating the Erk signaling pathway in vitro and attenuates ALCT-induced osteoarthritis in mice. Bone. 141:1155732020. View Article : Google Scholar : PubMed/NCBI

34 

Varela-Eirin M, Loureiro J, Fonseca E, Corrochano S, Caeiro JR, Collado M and Mayan MD: Cartilage regeneration and ageing: Targeting cellular plasticity in osteoarthritis. Ageing Res Rev. 42:56–71. 2018. View Article : Google Scholar : PubMed/NCBI

Related Articles

  • Abstract
  • View
  • Download
  • Twitter
Copy and paste a formatted citation
Spandidos Publications style
Song L, Li X, Sun Q and Zhao Y: Fxyd5 activates the NF‑κB pathway and is involved in chondrocytes inflammation and extracellular matrix degradation. Mol Med Rep 25: 134, 2022.
APA
Song, L., Li, X., Sun, Q., & Zhao, Y. (2022). Fxyd5 activates the NF‑κB pathway and is involved in chondrocytes inflammation and extracellular matrix degradation. Molecular Medicine Reports, 25, 134. https://doi.org/10.3892/mmr.2022.12650
MLA
Song, L., Li, X., Sun, Q., Zhao, Y."Fxyd5 activates the NF‑κB pathway and is involved in chondrocytes inflammation and extracellular matrix degradation". Molecular Medicine Reports 25.4 (2022): 134.
Chicago
Song, L., Li, X., Sun, Q., Zhao, Y."Fxyd5 activates the NF‑κB pathway and is involved in chondrocytes inflammation and extracellular matrix degradation". Molecular Medicine Reports 25, no. 4 (2022): 134. https://doi.org/10.3892/mmr.2022.12650
Copy and paste a formatted citation
x
Spandidos Publications style
Song L, Li X, Sun Q and Zhao Y: Fxyd5 activates the NF‑κB pathway and is involved in chondrocytes inflammation and extracellular matrix degradation. Mol Med Rep 25: 134, 2022.
APA
Song, L., Li, X., Sun, Q., & Zhao, Y. (2022). Fxyd5 activates the NF‑κB pathway and is involved in chondrocytes inflammation and extracellular matrix degradation. Molecular Medicine Reports, 25, 134. https://doi.org/10.3892/mmr.2022.12650
MLA
Song, L., Li, X., Sun, Q., Zhao, Y."Fxyd5 activates the NF‑κB pathway and is involved in chondrocytes inflammation and extracellular matrix degradation". Molecular Medicine Reports 25.4 (2022): 134.
Chicago
Song, L., Li, X., Sun, Q., Zhao, Y."Fxyd5 activates the NF‑κB pathway and is involved in chondrocytes inflammation and extracellular matrix degradation". Molecular Medicine Reports 25, no. 4 (2022): 134. https://doi.org/10.3892/mmr.2022.12650
Follow us
  • Twitter
  • LinkedIn
  • Facebook
About
  • Spandidos Publications
  • Careers
  • Cookie Policy
  • Privacy Policy
How can we help?
  • Help
  • Live Chat
  • Contact
  • Email to our Support Team