Spandidos Publications Logo
  • About
    • About Spandidos
    • Aims and Scopes
    • Abstracting and Indexing
    • Editorial Policies
    • Reprints and Permissions
    • Job Opportunities
    • Terms and Conditions
    • Contact
  • Journals
    • All Journals
    • Oncology Letters
      • Oncology Letters
      • Information for Authors
      • Editorial Policies
      • Editorial Board
      • Aims and Scope
      • Abstracting and Indexing
      • Bibliographic Information
      • Archive
    • International Journal of Oncology
      • International Journal of Oncology
      • Information for Authors
      • Editorial Policies
      • Editorial Board
      • Aims and Scope
      • Abstracting and Indexing
      • Bibliographic Information
      • Archive
    • Molecular and Clinical Oncology
      • Molecular and Clinical Oncology
      • Information for Authors
      • Editorial Policies
      • Editorial Board
      • Aims and Scope
      • Abstracting and Indexing
      • Bibliographic Information
      • Archive
    • Experimental and Therapeutic Medicine
      • Experimental and Therapeutic Medicine
      • Information for Authors
      • Editorial Policies
      • Editorial Board
      • Aims and Scope
      • Abstracting and Indexing
      • Bibliographic Information
      • Archive
    • International Journal of Molecular Medicine
      • International Journal of Molecular Medicine
      • Information for Authors
      • Editorial Policies
      • Editorial Board
      • Aims and Scope
      • Abstracting and Indexing
      • Bibliographic Information
      • Archive
    • Biomedical Reports
      • Biomedical Reports
      • Information for Authors
      • Editorial Policies
      • Editorial Board
      • Aims and Scope
      • Abstracting and Indexing
      • Bibliographic Information
      • Archive
    • Oncology Reports
      • Oncology Reports
      • Information for Authors
      • Editorial Policies
      • Editorial Board
      • Aims and Scope
      • Abstracting and Indexing
      • Bibliographic Information
      • Archive
    • Molecular Medicine Reports
      • Molecular Medicine Reports
      • Information for Authors
      • Editorial Policies
      • Editorial Board
      • Aims and Scope
      • Abstracting and Indexing
      • Bibliographic Information
      • Archive
    • World Academy of Sciences Journal
      • World Academy of Sciences Journal
      • Information for Authors
      • Editorial Policies
      • Editorial Board
      • Aims and Scope
      • Abstracting and Indexing
      • Bibliographic Information
      • Archive
    • International Journal of Functional Nutrition
      • International Journal of Functional Nutrition
      • Information for Authors
      • Editorial Policies
      • Editorial Board
      • Aims and Scope
      • Abstracting and Indexing
      • Bibliographic Information
      • Archive
    • International Journal of Epigenetics
      • International Journal of Epigenetics
      • Information for Authors
      • Editorial Policies
      • Editorial Board
      • Aims and Scope
      • Abstracting and Indexing
      • Bibliographic Information
      • Archive
    • Medicine International
      • Medicine International
      • Information for Authors
      • Editorial Policies
      • Editorial Board
      • Aims and Scope
      • Abstracting and Indexing
      • Bibliographic Information
      • Archive
  • Articles
  • Information
    • Information for Authors
    • Information for Reviewers
    • Information for Librarians
    • Information for Advertisers
    • Conferences
  • Language Editing
Spandidos Publications Logo
  • About
    • About Spandidos
    • Aims and Scopes
    • Abstracting and Indexing
    • Editorial Policies
    • Reprints and Permissions
    • Job Opportunities
    • Terms and Conditions
    • Contact
  • Journals
    • All Journals
    • Biomedical Reports
      • Information for Authors
      • Editorial Policies
      • Editorial Board
      • Aims and Scope
      • Abstracting and Indexing
      • Bibliographic Information
      • Archive
    • Experimental and Therapeutic Medicine
      • Information for Authors
      • Editorial Policies
      • Editorial Board
      • Aims and Scope
      • Abstracting and Indexing
      • Bibliographic Information
      • Archive
    • International Journal of Epigenetics
      • Information for Authors
      • Editorial Policies
      • Editorial Board
      • Aims and Scope
      • Abstracting and Indexing
      • Bibliographic Information
      • Archive
    • International Journal of Functional Nutrition
      • Information for Authors
      • Editorial Policies
      • Editorial Board
      • Aims and Scope
      • Abstracting and Indexing
      • Bibliographic Information
      • Archive
    • International Journal of Molecular Medicine
      • Information for Authors
      • Editorial Policies
      • Editorial Board
      • Aims and Scope
      • Abstracting and Indexing
      • Bibliographic Information
      • Archive
    • International Journal of Oncology
      • Information for Authors
      • Editorial Policies
      • Editorial Board
      • Aims and Scope
      • Abstracting and Indexing
      • Bibliographic Information
      • Archive
    • Medicine International
      • Information for Authors
      • Editorial Policies
      • Editorial Board
      • Aims and Scope
      • Abstracting and Indexing
      • Bibliographic Information
      • Archive
    • Molecular and Clinical Oncology
      • Information for Authors
      • Editorial Policies
      • Editorial Board
      • Aims and Scope
      • Abstracting and Indexing
      • Bibliographic Information
      • Archive
    • Molecular Medicine Reports
      • Information for Authors
      • Editorial Policies
      • Editorial Board
      • Aims and Scope
      • Abstracting and Indexing
      • Bibliographic Information
      • Archive
    • Oncology Letters
      • Information for Authors
      • Editorial Policies
      • Editorial Board
      • Aims and Scope
      • Abstracting and Indexing
      • Bibliographic Information
      • Archive
    • Oncology Reports
      • Information for Authors
      • Editorial Policies
      • Editorial Board
      • Aims and Scope
      • Abstracting and Indexing
      • Bibliographic Information
      • Archive
    • World Academy of Sciences Journal
      • Information for Authors
      • Editorial Policies
      • Editorial Board
      • Aims and Scope
      • Abstracting and Indexing
      • Bibliographic Information
      • Archive
  • Articles
  • Information
    • For Authors
    • For Reviewers
    • For Librarians
    • For Advertisers
    • Conferences
  • Language Editing
Login Register Submit
  • This site uses cookies
  • You can change your cookie settings at any time by following the instructions in our Cookie Policy. To find out more, you may read our Privacy Policy.

    I agree
Search articles by DOI, keyword, author or affiliation
Search
Advanced Search
presentation
Molecular Medicine Reports
Join Editorial Board Propose a Special Issue
Print ISSN: 1791-2997 Online ISSN: 1791-3004
Journal Cover
December-2022 Volume 26 Issue 6

Full Size Image

Sign up for eToc alerts
Recommend to Library

Journals

International Journal of Molecular Medicine

International Journal of Molecular Medicine

International Journal of Molecular Medicine is an international journal devoted to molecular mechanisms of human disease.

International Journal of Oncology

International Journal of Oncology

International Journal of Oncology is an international journal devoted to oncology research and cancer treatment.

Molecular Medicine Reports

Molecular Medicine Reports

Covers molecular medicine topics such as pharmacology, pathology, genetics, neuroscience, infectious diseases, molecular cardiology, and molecular surgery.

Oncology Reports

Oncology Reports

Oncology Reports is an international journal devoted to fundamental and applied research in Oncology.

Experimental and Therapeutic Medicine

Experimental and Therapeutic Medicine

Experimental and Therapeutic Medicine is an international journal devoted to laboratory and clinical medicine.

Oncology Letters

Oncology Letters

Oncology Letters is an international journal devoted to Experimental and Clinical Oncology.

Biomedical Reports

Biomedical Reports

Explores a wide range of biological and medical fields, including pharmacology, genetics, microbiology, neuroscience, and molecular cardiology.

Molecular and Clinical Oncology

Molecular and Clinical Oncology

International journal addressing all aspects of oncology research, from tumorigenesis and oncogenes to chemotherapy and metastasis.

World Academy of Sciences Journal

World Academy of Sciences Journal

Multidisciplinary open-access journal spanning biochemistry, genetics, neuroscience, environmental health, and synthetic biology.

International Journal of Functional Nutrition

International Journal of Functional Nutrition

Open-access journal combining biochemistry, pharmacology, immunology, and genetics to advance health through functional nutrition.

International Journal of Epigenetics

International Journal of Epigenetics

Publishes open-access research on using epigenetics to advance understanding and treatment of human disease.

Medicine International

Medicine International

An International Open Access Journal Devoted to General Medicine.

Journal Cover
December-2022 Volume 26 Issue 6

Full Size Image

Sign up for eToc alerts
Recommend to Library

  • Article
  • Citations
    • Cite This Article
    • Download Citation
    • Create Citation Alert
    • Remove Citation Alert
    • Cited By
  • Similar Articles
    • Related Articles (in Spandidos Publications)
    • Similar Articles (Google Scholar)
    • Similar Articles (PubMed)
  • Download PDF
  • Download XML
  • View XML
Article

Increased expression of TSPO-VDAC complex is correlated with NLRP3 inflammasome activation in diabetic retinopathy

  • Authors:
    • Yue Guo
    • Zhongcui Sun
    • Ling Wang
    • Rui Jiang
    • Qinmeng Shu
    • Gezhi Xu
  • View Affiliations / Copyright

    Affiliations: Eye Institute, Eye and ENT Hospital, College of Medicine, Fudan University, Shanghai 200031, P.R. China
  • Article Number: 353
    |
    Published online on: October 5, 2022
       https://doi.org/10.3892/mmr.2022.12869
  • Expand metrics +
Metrics: Total Views: 0 (Spandidos Publications: | PMC Statistics: )
Metrics: Total PDF Downloads: 0 (Spandidos Publications: | PMC Statistics: )
Cited By (CrossRef): 0 citations Loading Articles...

This article is mentioned in:



Abstract

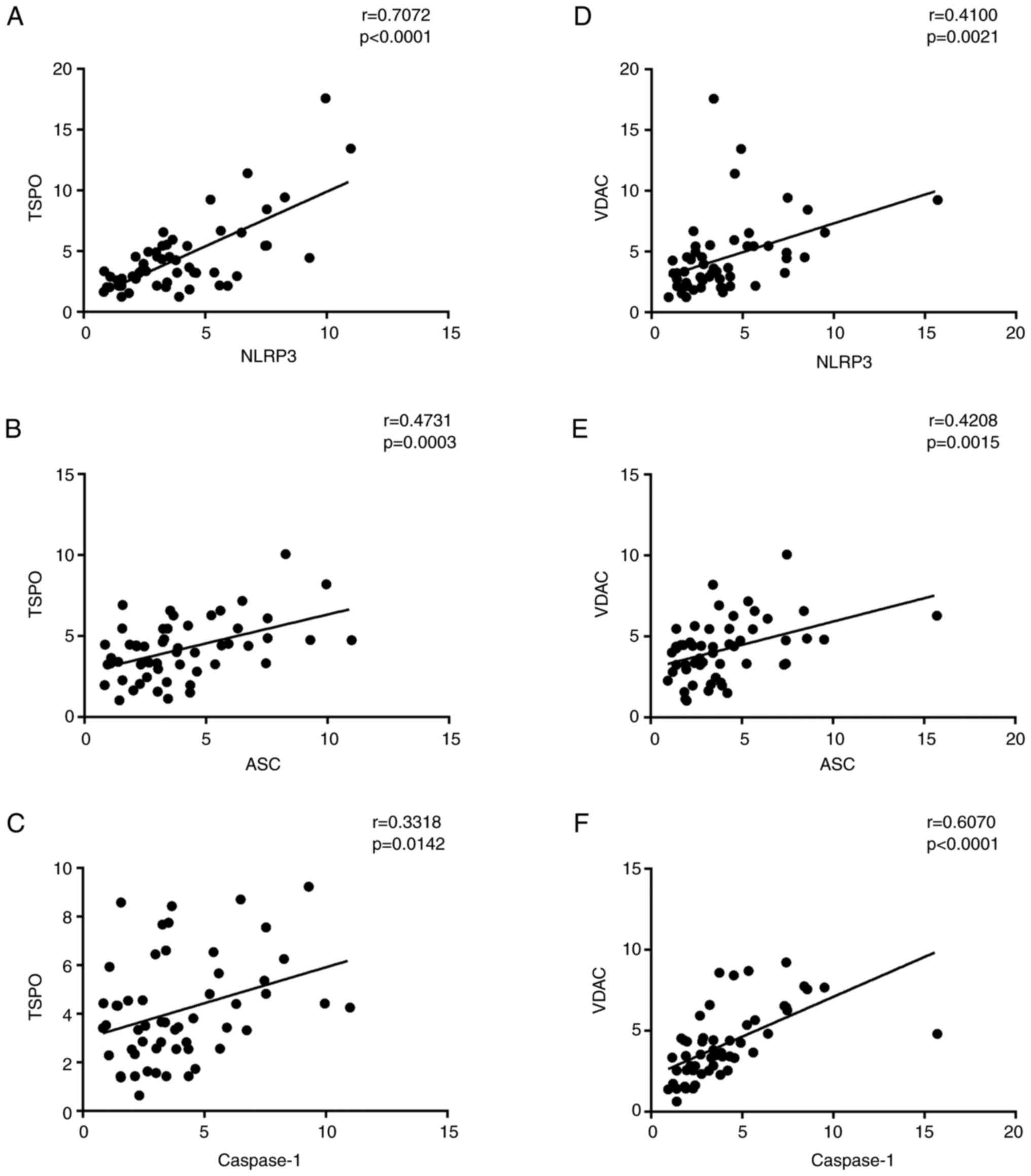
The present study aimed to investigate the level of translocator protein (TSPO) and its correlation with different inflammatory cytokines in diabetic retinopathy (DR) patients. Peripheral blood samples were obtained from 54 DR patients and 22 age-related cataract (ARC) patients. The mRNA expression of TSPO, voltage-dependent anion channel (VDAC), apoptosis-associated speck like protein with a caspase recruitment domain (ASC), NOD-like receptors pyrin domain-containing 3 (NLRP3) and caspase-1 were examined by reverse transcription-quantitative PCR. Interleukin-1β and interleukin-18 levels were detected by enzyme-linked immunosorbent assay. The mRNA levels of TSPO, VDAC, ASC, NLRP3 and capase-1, the protein levels of IL-β and IL-18 were all significantly higher in the DR group compared with those in the ARC group. The expression levels of those aforementioned cytokines/proteins were more significantly higher in the subgroup of active proliferative DR (PDR) compared with those in the inactive PDR group (P<0.05). Significant positive correlations between TSPO/VDAC complex and ASC, NLRP3, capase-1, IL-β and IL-18 were found in DR patients. These outcomes suggested that TSPO/VDAC complex and NLRP3 inflammasomes may play an important role in the development and progression of DR.
View Figures

Figure 1

Figure 2

Figure 3

Figure 4

Figure 5

View References

1 

Semeraro F, Morescalchi F, Cancarini A, Russo A, Rezzola S and Costagliola C: Diabetic retinopathy, a vascular and inflammatory disease: Therapeutic implications. Diabetes Metab. 45:517–527. 2019. View Article : Google Scholar : PubMed/NCBI

2 

Kowluru RA, Kowluru A, Mishra M and Kumar B: Oxidative stress and epigenetic modifications in the pathogenesis of diabetic retinopathy. Prog Retin Eye Res. 48:40–61. 2015. View Article : Google Scholar : PubMed/NCBI

3 

Simó-Servat O, Simó R and Hernández C: Circulating biomarkers of diabetic retinopathy: An overview based on physiopathology. J Diabetes Res. 2016:52637982016. View Article : Google Scholar : PubMed/NCBI

4 

Figueras-Roca M, Molins B, Sala-Puigdollers A, Matas J, Vinagre I, Ríos J and Adán A: Peripheral blood metabolic and inflammatory factors as biomarkers to ocular findings in diabetic macular edema. PLoS One. 12:e01738652017. View Article : Google Scholar : PubMed/NCBI

5 

Tang J and Kern TS: Inflammation in diabetic retinopathy. Prog Retin Eye Res. 30:343–358. 2011. View Article : Google Scholar : PubMed/NCBI

6 

Zeiner J, Loukovaara S, Losenkova K, Zuccarini M, Korhonen AM, Lehti K, Kauppinen A, Kaarniranta K, Müller CE, Jalkanen S and Yegutkin GG: Soluble and membrane-bound adenylate kinase and nucleotidases augment ATP-mediated inflammation in diabetic retinopathy eyes with vitreous hemorrhage. J Mol Med (Berl). 97:341–354. 2019. View Article : Google Scholar : PubMed/NCBI

7 

Mishra M, Lillvis J, Seyoum B and Kowluru RA: Peripheral blood mitochondrial DNA damage as a potential noninvasive biomarker of diabetic retinopathy. Invest Ophthalmol Vis Sci. 57:4035–4044. 2016. View Article : Google Scholar : PubMed/NCBI

8 

Blake R and Trounce IA: Mitochondrial dysfunction and complications associated with diabetes. Biochim Biophys Acta. 1840:1404–1412. 2014. View Article : Google Scholar : PubMed/NCBI

9 

Ilkan Z and Akar FG: The mitochondrial translocator protein and the emerging link between oxidative stress and arrhythmias in the diabetic heart. Front Physiol. 9:15182018. View Article : Google Scholar : PubMed/NCBI

10 

Shoshan-Barmatz V, Pittala S and Mizrachi D: VDAC1 and the TSPO: Expression, interactions, and associated functions in health and disease states. Int J Mol Sci. 20:33482019. View Article : Google Scholar : PubMed/NCBI

11 

Gatliff J, East D, Crosby J, Abeti R, Harvey R, Craigen W, Parker P and Campanella M: TSPO interacts with VDAC1 and triggers a ROS-mediated inhibition of mitochondrial quality control. Autophagy. 10:2279–2296. 2014. View Article : Google Scholar : PubMed/NCBI

12 

Zhou R, Yazdi AS, Menu P and Tschopp J: A role for mitochondria in NLRP3 inflammasome activation. Nature. 469:221–225. 2011. View Article : Google Scholar : PubMed/NCBI

13 

Afonina IS, Zhong Z, Karin M and Beyaert R: Limiting inflammation-the negative regulation of NF-κB and the NLRP3 inflammasome. Nat Immunol. 18:861–869. 2017. View Article : Google Scholar : PubMed/NCBI

14 

Swanson KV, Deng M and Ting JPY: The NLRP3 inflammasome: Molecular activation and regulation to therapeutics. Nat Rev Immunol. 19:477–489. 2019. View Article : Google Scholar : PubMed/NCBI

15 

Aiello LP, Avery RL, Arrigg PG, Keyt BA, Jampel HD, Shah ST, Pasquale LR, Thieme H, Iwamoto MA, Park JE, et al: Vascular endothelial growth factor in ocular fluid of patients with diabetic retinopathy and other retinal disorders. N Engl J Med. 331:1480–1487. 1994. View Article : Google Scholar : PubMed/NCBI

16 

Livak KJ and Schmittgen TD: Analysis of relative gene expression data using real-time quantitative PCR and the 2(−Delta Delta C(T)) method. Methods. 25:402–408. 2001. View Article : Google Scholar : PubMed/NCBI

17 

Nakahira K, Haspel JA, Rathinam VA, Lee SJ, Dolinay T, Lam HC, Englert JA, Rabinovitch M, Cernadas M, Kim HP, et al: Autophagy proteins regulate innate immune responses by inhibiting the release of mitochondrial DNA mediated by the NALP3 inflammasome. Nat Immunol. 12:222–230. 2011. View Article : Google Scholar : PubMed/NCBI

18 

Shimada K, Crother TR, Karlin J, Dagvadorj J, Chiba N, Chen S, Ramanujan VK, Wolf AJ, Vergnes L, Ojcius DM, et al: Oxidized mitochondrial DNA activates the NLRP3 inflammasome during apoptosis. Immunity. 36:401–414. 2012. View Article : Google Scholar : PubMed/NCBI

19 

Lv Q, Xu D, Ma J, Wang Y, Yang X, Zhao P, Ma L, Li Z, Yang W, Liu X, et al: Uric acid drives intestinal barrier dysfunction through TSPO-mediated NLRP3 inflammasome activation. Inflamm Res. 70:127–137. 2021. View Article : Google Scholar : PubMed/NCBI

20 

Feng H, Liu Y, Zhang R, Liang Y, Sun L, Lan N and Ma B: TSPO ligands PK11195 and midazolam reduce NLRP3 inflammasome activation and proinflammatory cytokine release in BV-2 cells. Front Cell Neurosci. 14:5444312020. View Article : Google Scholar : PubMed/NCBI

21 

Franceschi C, Garagnani P, Parini P, Giuliani C and Santoro A: Inflammaging: A new immune-metabolic viewpoint for age-related diseases. Nat Rev Endocrinol. 14:576–590. 2018. View Article : Google Scholar : PubMed/NCBI

22 

Wolf A, Herb M, Schramm M and Langmann T: The TSPO-NOX1 axis controls phagocyte-triggered pathological angiogenesis in the eye. Nat Commun. 11:27092020. View Article : Google Scholar : PubMed/NCBI

23 

Chen H, Zhang X, Liao N, Mi L, Peng Y, Liu B, Zhang S and Wen F: Enhanced expression of NLRP3 inflammasome-related inflammation in diabetic retinopathy. Invest Ophthalmol Vis Sci. 59:978–985. 2018. View Article : Google Scholar : PubMed/NCBI

24 

Wan Z, Fan Y, Liu X, Xue J, Han Z, Zhu C and Wang X: NLRP3 inflammasome promotes diabetes-induced endothelial inflammation and atherosclerosis. Diabetes Metab Syndr Obes. 12:1931–1942. 2019. View Article : Google Scholar : PubMed/NCBI

25 

Zhong Z, Liang S, Sanchez-Lopez E, He F, Shalapour S, Lin XJ, Wong J, Ding S, Seki E, Schnabl B, et al: New mitochondrial DNA synthesis enables NLRP3 inflammasome activation. Nature. 560:198–203. 2018. View Article : Google Scholar : PubMed/NCBI

26 

Song Z, Sun M, Zhou F, Huang F, Qu J and Chen D: Increased intravitreous interleukin-18 correlated to vascular endothelial growth factor in patients with active proliferative diabetic retinopathy. Graefes Arch Clin Exp Ophthalmol. 252:1229–1234. 2014. View Article : Google Scholar : PubMed/NCBI

Related Articles

  • Abstract
  • View
  • Download
  • Twitter
Copy and paste a formatted citation
Spandidos Publications style
Guo Y, Sun Z, Wang L, Jiang R, Shu Q and Xu G: Increased expression of TSPO-VDAC complex is correlated with NLRP3 inflammasome activation in diabetic retinopathy. Mol Med Rep 26: 353, 2022.
APA
Guo, Y., Sun, Z., Wang, L., Jiang, R., Shu, Q., & Xu, G. (2022). Increased expression of TSPO-VDAC complex is correlated with NLRP3 inflammasome activation in diabetic retinopathy. Molecular Medicine Reports, 26, 353. https://doi.org/10.3892/mmr.2022.12869
MLA
Guo, Y., Sun, Z., Wang, L., Jiang, R., Shu, Q., Xu, G."Increased expression of TSPO-VDAC complex is correlated with NLRP3 inflammasome activation in diabetic retinopathy". Molecular Medicine Reports 26.6 (2022): 353.
Chicago
Guo, Y., Sun, Z., Wang, L., Jiang, R., Shu, Q., Xu, G."Increased expression of TSPO-VDAC complex is correlated with NLRP3 inflammasome activation in diabetic retinopathy". Molecular Medicine Reports 26, no. 6 (2022): 353. https://doi.org/10.3892/mmr.2022.12869
Copy and paste a formatted citation
x
Spandidos Publications style
Guo Y, Sun Z, Wang L, Jiang R, Shu Q and Xu G: Increased expression of TSPO-VDAC complex is correlated with NLRP3 inflammasome activation in diabetic retinopathy. Mol Med Rep 26: 353, 2022.
APA
Guo, Y., Sun, Z., Wang, L., Jiang, R., Shu, Q., & Xu, G. (2022). Increased expression of TSPO-VDAC complex is correlated with NLRP3 inflammasome activation in diabetic retinopathy. Molecular Medicine Reports, 26, 353. https://doi.org/10.3892/mmr.2022.12869
MLA
Guo, Y., Sun, Z., Wang, L., Jiang, R., Shu, Q., Xu, G."Increased expression of TSPO-VDAC complex is correlated with NLRP3 inflammasome activation in diabetic retinopathy". Molecular Medicine Reports 26.6 (2022): 353.
Chicago
Guo, Y., Sun, Z., Wang, L., Jiang, R., Shu, Q., Xu, G."Increased expression of TSPO-VDAC complex is correlated with NLRP3 inflammasome activation in diabetic retinopathy". Molecular Medicine Reports 26, no. 6 (2022): 353. https://doi.org/10.3892/mmr.2022.12869
Follow us
  • Twitter
  • LinkedIn
  • Facebook
About
  • Spandidos Publications
  • Careers
  • Cookie Policy
  • Privacy Policy
How can we help?
  • Help
  • Live Chat
  • Contact
  • Email to our Support Team