Spandidos Publications Logo
  • About
    • About Spandidos
    • Aims and Scopes
    • Abstracting and Indexing
    • Editorial Policies
    • Reprints and Permissions
    • Job Opportunities
    • Terms and Conditions
    • Contact
  • Journals
    • All Journals
    • Oncology Letters
      • Oncology Letters
      • Information for Authors
      • Editorial Policies
      • Editorial Board
      • Aims and Scope
      • Abstracting and Indexing
      • Bibliographic Information
      • Archive
    • International Journal of Oncology
      • International Journal of Oncology
      • Information for Authors
      • Editorial Policies
      • Editorial Board
      • Aims and Scope
      • Abstracting and Indexing
      • Bibliographic Information
      • Archive
    • Molecular and Clinical Oncology
      • Molecular and Clinical Oncology
      • Information for Authors
      • Editorial Policies
      • Editorial Board
      • Aims and Scope
      • Abstracting and Indexing
      • Bibliographic Information
      • Archive
    • Experimental and Therapeutic Medicine
      • Experimental and Therapeutic Medicine
      • Information for Authors
      • Editorial Policies
      • Editorial Board
      • Aims and Scope
      • Abstracting and Indexing
      • Bibliographic Information
      • Archive
    • International Journal of Molecular Medicine
      • International Journal of Molecular Medicine
      • Information for Authors
      • Editorial Policies
      • Editorial Board
      • Aims and Scope
      • Abstracting and Indexing
      • Bibliographic Information
      • Archive
    • Biomedical Reports
      • Biomedical Reports
      • Information for Authors
      • Editorial Policies
      • Editorial Board
      • Aims and Scope
      • Abstracting and Indexing
      • Bibliographic Information
      • Archive
    • Oncology Reports
      • Oncology Reports
      • Information for Authors
      • Editorial Policies
      • Editorial Board
      • Aims and Scope
      • Abstracting and Indexing
      • Bibliographic Information
      • Archive
    • Molecular Medicine Reports
      • Molecular Medicine Reports
      • Information for Authors
      • Editorial Policies
      • Editorial Board
      • Aims and Scope
      • Abstracting and Indexing
      • Bibliographic Information
      • Archive
    • World Academy of Sciences Journal
      • World Academy of Sciences Journal
      • Information for Authors
      • Editorial Policies
      • Editorial Board
      • Aims and Scope
      • Abstracting and Indexing
      • Bibliographic Information
      • Archive
    • International Journal of Functional Nutrition
      • International Journal of Functional Nutrition
      • Information for Authors
      • Editorial Policies
      • Editorial Board
      • Aims and Scope
      • Abstracting and Indexing
      • Bibliographic Information
      • Archive
    • International Journal of Epigenetics
      • International Journal of Epigenetics
      • Information for Authors
      • Editorial Policies
      • Editorial Board
      • Aims and Scope
      • Abstracting and Indexing
      • Bibliographic Information
      • Archive
    • Medicine International
      • Medicine International
      • Information for Authors
      • Editorial Policies
      • Editorial Board
      • Aims and Scope
      • Abstracting and Indexing
      • Bibliographic Information
      • Archive
  • Articles
  • Information
    • Information for Authors
    • Information for Reviewers
    • Information for Librarians
    • Information for Advertisers
    • Conferences
  • Language Editing
Spandidos Publications Logo
  • About
    • About Spandidos
    • Aims and Scopes
    • Abstracting and Indexing
    • Editorial Policies
    • Reprints and Permissions
    • Job Opportunities
    • Terms and Conditions
    • Contact
  • Journals
    • All Journals
    • Biomedical Reports
      • Information for Authors
      • Editorial Policies
      • Editorial Board
      • Aims and Scope
      • Abstracting and Indexing
      • Bibliographic Information
      • Archive
    • Experimental and Therapeutic Medicine
      • Information for Authors
      • Editorial Policies
      • Editorial Board
      • Aims and Scope
      • Abstracting and Indexing
      • Bibliographic Information
      • Archive
    • International Journal of Epigenetics
      • Information for Authors
      • Editorial Policies
      • Editorial Board
      • Aims and Scope
      • Abstracting and Indexing
      • Bibliographic Information
      • Archive
    • International Journal of Functional Nutrition
      • Information for Authors
      • Editorial Policies
      • Editorial Board
      • Aims and Scope
      • Abstracting and Indexing
      • Bibliographic Information
      • Archive
    • International Journal of Molecular Medicine
      • Information for Authors
      • Editorial Policies
      • Editorial Board
      • Aims and Scope
      • Abstracting and Indexing
      • Bibliographic Information
      • Archive
    • International Journal of Oncology
      • Information for Authors
      • Editorial Policies
      • Editorial Board
      • Aims and Scope
      • Abstracting and Indexing
      • Bibliographic Information
      • Archive
    • Medicine International
      • Information for Authors
      • Editorial Policies
      • Editorial Board
      • Aims and Scope
      • Abstracting and Indexing
      • Bibliographic Information
      • Archive
    • Molecular and Clinical Oncology
      • Information for Authors
      • Editorial Policies
      • Editorial Board
      • Aims and Scope
      • Abstracting and Indexing
      • Bibliographic Information
      • Archive
    • Molecular Medicine Reports
      • Information for Authors
      • Editorial Policies
      • Editorial Board
      • Aims and Scope
      • Abstracting and Indexing
      • Bibliographic Information
      • Archive
    • Oncology Letters
      • Information for Authors
      • Editorial Policies
      • Editorial Board
      • Aims and Scope
      • Abstracting and Indexing
      • Bibliographic Information
      • Archive
    • Oncology Reports
      • Information for Authors
      • Editorial Policies
      • Editorial Board
      • Aims and Scope
      • Abstracting and Indexing
      • Bibliographic Information
      • Archive
    • World Academy of Sciences Journal
      • Information for Authors
      • Editorial Policies
      • Editorial Board
      • Aims and Scope
      • Abstracting and Indexing
      • Bibliographic Information
      • Archive
  • Articles
  • Information
    • For Authors
    • For Reviewers
    • For Librarians
    • For Advertisers
    • Conferences
  • Language Editing
Login Register Submit
  • This site uses cookies
  • You can change your cookie settings at any time by following the instructions in our Cookie Policy. To find out more, you may read our Privacy Policy.

    I agree
Search articles by DOI, keyword, author or affiliation
Search
Advanced Search
presentation
Molecular Medicine Reports
Join Editorial Board Propose a Special Issue
Print ISSN: 1791-2997 Online ISSN: 1791-3004
Journal Cover
February-2023 Volume 27 Issue 2

Full Size Image

Sign up for eToc alerts
Recommend to Library

Journals

International Journal of Molecular Medicine

International Journal of Molecular Medicine

International Journal of Molecular Medicine is an international journal devoted to molecular mechanisms of human disease.

International Journal of Oncology

International Journal of Oncology

International Journal of Oncology is an international journal devoted to oncology research and cancer treatment.

Molecular Medicine Reports

Molecular Medicine Reports

Covers molecular medicine topics such as pharmacology, pathology, genetics, neuroscience, infectious diseases, molecular cardiology, and molecular surgery.

Oncology Reports

Oncology Reports

Oncology Reports is an international journal devoted to fundamental and applied research in Oncology.

Experimental and Therapeutic Medicine

Experimental and Therapeutic Medicine

Experimental and Therapeutic Medicine is an international journal devoted to laboratory and clinical medicine.

Oncology Letters

Oncology Letters

Oncology Letters is an international journal devoted to Experimental and Clinical Oncology.

Biomedical Reports

Biomedical Reports

Explores a wide range of biological and medical fields, including pharmacology, genetics, microbiology, neuroscience, and molecular cardiology.

Molecular and Clinical Oncology

Molecular and Clinical Oncology

International journal addressing all aspects of oncology research, from tumorigenesis and oncogenes to chemotherapy and metastasis.

World Academy of Sciences Journal

World Academy of Sciences Journal

Multidisciplinary open-access journal spanning biochemistry, genetics, neuroscience, environmental health, and synthetic biology.

International Journal of Functional Nutrition

International Journal of Functional Nutrition

Open-access journal combining biochemistry, pharmacology, immunology, and genetics to advance health through functional nutrition.

International Journal of Epigenetics

International Journal of Epigenetics

Publishes open-access research on using epigenetics to advance understanding and treatment of human disease.

Medicine International

Medicine International

An International Open Access Journal Devoted to General Medicine.

Journal Cover
February-2023 Volume 27 Issue 2

Full Size Image

Sign up for eToc alerts
Recommend to Library

  • Article
  • Citations
    • Cite This Article
    • Download Citation
    • Create Citation Alert
    • Remove Citation Alert
    • Cited By
  • Similar Articles
    • Related Articles (in Spandidos Publications)
    • Similar Articles (Google Scholar)
    • Similar Articles (PubMed)
  • Download PDF
  • Download XML
  • View XML

  • Supplementary Files
    • Supplementary_Data.pdf
Article Open Access

Evaluation of the antioxidant potency of Greek honey from the Taygetos and Pindos mountains using a combination of cellular and molecular methods

  • Authors:
    • Anastasia Patouna
    • Periklis Vardakas
    • Zoi Skaperda
    • Demetrios A. Spandidos
    • Demetrios Kouretas
  • View Affiliations / Copyright

    Affiliations: Department of Biochemistry and Biotechnology, School of Health Sciences, University of Thessaly, 41500 Larissa, Greece, Laboratory of Clinical Virology, Medical School, University of Crete, 71003 Heraklion, Greece
    Copyright: © Patouna et al. This is an open access article distributed under the terms of Creative Commons Attribution License.
  • Article Number: 54
    |
    Published online on: January 18, 2023
       https://doi.org/10.3892/mmr.2023.12941
  • Expand metrics +
Metrics: Total Views: 0 (Spandidos Publications: | PMC Statistics: )
Metrics: Total PDF Downloads: 0 (Spandidos Publications: | PMC Statistics: )
Cited By (CrossRef): 0 citations Loading Articles...

This article is mentioned in:



Abstract

Honey is a complex mixture, containing ~180 compounds, produced by the Apis melifera bees, with promising antimicrobial and antioxidant properties. Nevertheless, the mechanisms through which honey exerts its effects remain under investigation. Plant antioxidants are found in honey and other bee products exhibiting a high bioactivity and molecular diversity. The aim of the present study was to estimate the antioxidant capacity of honey collected from areas in Greece by small‑scale producers by i) using in vitro cell free assays; and ii) by investigating the effects of honey varieties on the redox status of a liver cancer cell line (HepG2) using non‑cytotoxic concentrations. The findings of the present study will allow for the identification of Greek honeys with promising antioxidant capacity. For this purpose, six types of honey with various floral origins were examined in cell‑free assays followed by cell‑based techniques using flow cytometric analysis and redox biomarker level determination in order to evaluate the potential alterations in the intracellular redox system. The results indicated various mechanisms of action that are dependent on the honey type, concentration dependency and high antioxidant capacity. The extended findings from the literature confirm the ability of raw honey to influence the redox status of HepG2 cells. Nevertheless additional investigations are required to elucidate their mechanisms of action in cell line models.

Introduction

Honey and other bee products contain plant antioxidants that have high bioactivity levels and chemical diversity (1). For instance, various compounds are transported from plants and accumulate in the finished product as nectar or plant secretions and are used to manufacture honey by bees (2). As a result, the composition of honey, including its physical, chemical, organoleptic and nutraceutical features, is directly influenced by the geographic, climatic and environmental characteristics of the areas from which it is produced. These variances function effectively as a classification and identification tool for honey (3).

The western honeybee, Apis melifera, produces a natural product produced by flower and plant nectar or insect exudates, known as honey (4). The beneficial properties of honey have been known for millennia. To be more specific, the Babylonians, Mayans, Greeks, Romans, Egyptians and Chinese used honey both for nutritional aims and for their therapeutic properties (5). Of note, honey was a major carbohydrate source and the only available sweetener until the industrial production of sugar, which commenced after 1800. Honey is also used in alternative medicine as ointment to heal burns, infections and wounds (6).

Honey is a complex mixture, which consists of a variety of ~180 compounds, such as carbohydrates, mainly including glucose and fructose (60–85%), water and minority compounds, such us phenolic compounds, minerals, proteins, enzymes, free amino acids and vitamins (7). The scientific literature indicates that honey can exert several beneficial effects on health, including antioxidant (8,9), anti-inflammatory (10), antibacterial (11) and antidiabetic (12) effects, as well as protective effects on the gastrointestinal (13) and nervous systems (14). The health benefits of honey may be attributed to pharmacologically-related components, such as flavonoids and phenolics, with the most abundant of these being chrysin, kaempferol, quercetin, luteolin, gallic acid, etc. (15–18).

Some of the minor constituents of honey, compared to its major sugar levels, are considered to have antioxidant properties (19). The majority of the antioxidant activity of honey is determined by its chemical compounds, which includes phenolics, flavonoids, enzymes, organic acids, amino acids, ascorbic acid and carotenoids (20). Chemicals known as phytochemicals are naturally found in plants (21). Bees can feed on phytochemical-rich plants, which allows them to transfer the beneficial components to honey (22). The concentration of the carbohydrates and other minor chemicals varies greatly, depending on their botanical source, processing techniques, seasonal and environmental circumstances and other variables (23). Some components of honey are contributed by honeybees, while others are a result of biological reactions that occur as the honey matures (24).

Honey may emanate both from single (unifloral honey) or multiple (multifloral honey) plant species depending on the diet of bees (25). In order to define the pollen inside the honey sample and therefore its type, melissopalynological analysis has been proven to be a reliable method (26). Current research has led to the acknowledgement of the fact that honey possesses a promising antioxidant capacity, although its antioxidant mechanisms are not yet fully understood (5).

According to previous research, honey may represent an anticancer agent (27). Specifically, honey inhibits a number of cell signaling pathways, including those that induce apoptosis, as well as pathways associated with anti-mutagenic, anti-proliferative and anti-inflammatory effects (5,15). Due to its capacity to reduce acute inflammation by increasing the immune response, honey and its components are gaining interest as an efficient natural therapeutic (28). Previous studies have provided evidence that honey inhibits the proliferation, induces the apoptosis, modifies the cell cycle progression, and causes the mitochondrial membrane depolarization of adenocarcinoma epithelial cells, liver cancer cells, bone cancer cells (osteosarcoma) and leukemia cells (5,29–31). However, in order to better understand the protective effects of honey on cancer, further research is required.

There are a few studies investigating the antitumor effects of honey on liver cancer cells, demonstrating that honey is able to reduce the levels of nitric oxide (NO) in the cells and decrease the HepG2 population as well, improving the total antioxidant profile of the cells (15,32). Other studies have reported the concentration-dependent cytotoxic, anti-metastatic and antiangiogenic effects on HepG2 cells (33,34). Within this context, six honey samples produced in Greece were evaluated for their potential antioxidant properties. The aim of the present study was to estimate the antioxidant capacity of honey collected form areas around Greece by small scale producers i) using in vitro cell-free assays; and ii) by examining the effects of the honey varieties on the redox status of a liver cancer cell line (HepG2) at non-cytotoxic concentrations. The findings presented herein will allow for the identification of Greek honeys with promising antioxidant capacity.

Materials and methods

Honey samples

Honey samples were collected from two different regions in Greece from small-scale producers. Specifically, the first region was Taygetos mountain in Peloponnisos and from different areas of the longest mountain range in Greece, particularly from Pindos. For the purpose of the study, blind sampling was used. The only data available were the type of honey, the beehive location and the harvest date. In total, six different types of raw honey were collected (Table SI), with the aim of evaluating these according to their antioxidant properties. In order to prepare the honey samples, they were diluted in 1:1 w/v deionized water (dH2O), followed by 5 min of heating at 35–40°C. The heated samples were allowed to stand for 15 min and then used to evaluate their bioactivity using a series of in vitro cell-free and cell-based assays.

In vitro cell-free assays Total phenolic content (TPC)

The estimation of TPC of the different types of honey was performed by the use of Folin-Ciocalteu (FC) reagent. A total of 20 µl of each sample, 1 ml dH2O and 100 µl FC reagent were added to test tubes, followed by incubation for 3 min in room temperature (RT), in the dark. Subsequently, 25%w/v of sodium carbonate solution (280 µl) and 600 µl dH2O were added followed by incubation for 1 h at RT and under dark conditions. A test tube including only FC and dH2O was used as a blank and the absorbance was measured at 765 nm using a spectrophotometer (Hitachi, U 1900 UV/VIS, Hitachi High-Technologies Corporation). For the estimation of TPC, a gallic acid standard curve was made (at concentrations of 0, 50, 150, 250 and 500 µg/ml) and later used for the expression of the results as/mg of gallic acid equivalents (GAEs) per g of honey (mg GAE/g honey) (35). The experiment conducted at least three independent times.

2,2 Diphenyl 1 picrylhydrazyl (DPPH•) radical scavenging assay

The free-radical scavenging capacity (RSC) of the honey samples was evaluated using an assay originally described by Brand-Williams et al (36), with slight modifications, as previously described (37). First, 50 µl methanolic solution of DPPH• (100 µΜ) was mixed with 900 µl methanol (MeOH) and the honey sample in a range of concentrations between 50 and 1.56 mg/ml. The samples were then incubated in the absence of light, for 20 min and RT followed by the measurement of the optial density at 517 nm using a spectrophotometer (Hitachi, U 1900 UV/VIS, Hitachi High-Technologies Corporation). As a blank, 1 ml methanol has used, and a solution of DPPH• and methanol was used as a control. The RSC was calculated using the following equation:

where ODcontrol is the absorbance value of the control solution, and ODsample is the absorbance value of the sample. Through the graph-plotted RSC percentage against the honey concentration, the half maximal inhibitory concentration (IC50) was calculated to compare the inhibition of radical capacity of the honey samples. The experiment was conducted at least three times independently.

2,2′-Azino-bis(3-ethylbenzothiazoline-6-sulfonic acid (ABTS•+) radical scavenging assay

A slightly modified version of the original one was used to evaluate the ability of the honey samples to inhibit radicals (38). Firstly, 400 µl dH2O, mixed with 1 mM (500 µl) ABTS solution, 30 µM (50 µl) hydrogen peroxide (H2O2) and 6 µM (50 µl) horseradish peroxidase (HRP) were added in the test tubes, followed by incubation at RT for 45 under dark conditions, for ABTS•+ formation. Subsequently, 50 µl of sample (in a range of concentrations between 12.5 and 0.78 mg/ml) was added and the optical density was monitored at 730 nm using a spectrophotometer (Hitachi, U 1900 UV/VIS, Hitachi High-Technologies Corporation). The mixture with the lack of sample was as a control and the ABTS solution combined with H2O2 was used as a blank. The percentage RSC and the IC50 value were determined as described above. The experiment was conducted at least three times independently.

Hydroxyl radical scavenging assay

An altered version of the one described by Chung et al (39) was used for the determination of the hydroxyl radical scavenging activity of the honey samples, as previously described (40). Initially, 75 µl of sample in a range of concentrations between 3.125 and 0.19 mg/ml were mixed with 0.2 M (225 µl) and pH 7.4 of sodium phosphate buffer, 10 mM (75 µl) 2-deoxyribose, 10 mM (75 µl) FeSO4-EDTA solution, 300 µl dH2O and 10 mM (30 µl) H2O2. Incubation was performed for 1 h at 37°C, followed by the addition of 2.8% w/v (375 µl) trichloroacetic acid (TCA), and 375 µl of 1% 2-thiobarbituric acid (TBA) dissolved in 50 mM NaOH and a new incubation was performed for 10 min at 95°C. After 10 min, the samples were cooled on ice for 6 min, centrifuged at 3,000 × g for 10 min at 25°C, and the optical density was monitored at 520 nm using a spectrophotometer (Hitachi, U 1900 UV/VIS, Hitachi High-Technologies Corporation). As a blank a mixture without H2O2 was used and a mixture with the presence of sample and the absence of H2O2 was used as a control. The percentage RSC and the IC50 value were determined as described above. The experiment was conducted at least three times independently.

Superoxide radical scavenging assay

For the evaluation of the superoxide anion radical-scavenging ability of the honey, an altered version of the method described by Gülçin et al (41) was used, as later described by Priftis et al (42). Initially, 50 µl of the honey samples in a range of concentrations between 25 and 0.78 mg/ml was mixed with 16 mM (625 µl), pH 8.0 Tris-HCl buffer, 300 µM (125 µl) nitroblue tetrazolium (NBT), 468 µM (125 µl) 2-deoxyribose, nicotinamide adenine dinucleotide (NADH) and 60 µM (125 µl) of phenazine methosulfate (PMS). The samples were vortexed, incubated at RT for 5 min in the dark, and the optical density then measured at 560 nm using a spectrophotometer (Hitachi, U 1900 UV/VIS, Hitachi High-Technologies Corporation). As a blank, a test tube without PMS was used, and a test tube with the absence of the sample was used as a control. The percentage RSC and the IC50 value were determined as described above. The experiment was conducted at least three times independently.

Peroxyl radical-induced DNA plasmid strand cleavage

The assay was performed with some modifications, as previously described by Tekos et al (43). The thermal decomposition of the 2,2′-azobis(2-amidinopropane) dihydrochloride (AAPH) creates peroxyl radicals (ROO•). The reaction included a total volume of 10 µl containing 3.2 µg pBluescript (SK+) plasmid DNA, 2.5 mM AAPH dissolved in PBS and the honey samples in a range of concentrations between 25 and 0.78 mg/ml. The mixture was incubated at 37°C for 45 min, followed by the addition of 3 µl loading buffer (0.25% bromophenol blue and 30% glycerol) in order to terminate the reaction. Analysis was performed using electrophoresis on a 0.8% agarose gel tagged with the fluorescent ethidium bromide (10 mg/ml), and running for ~1 h at 80 V. The acquisition of images was performed using a MultiImage Light Cabinet (Alpha Innotech Corporation). Alpha View suite (Alpha Innotech software, Alpha Innotech Corporation; ProteinSimple) was used to analyze the UV-exposed gels. Antioxidant compounds have the ability to scavenge peroxyl radicals. As a result, they can prevent single-strand breaks, preserving the plasmid-DNA in its supercoiled conformation. To estimate the inhibition of peroxyl radicals by the tested samples, the following equation was used:

In the equation, S represents the percentage of the supercoiled plasmid DNA in the tested samples, S° refers to the percentage of the supercoiled plasmid DNA in the positive control, and Scontrol represents the percentage of the supercoiled DNA in the negative control. The IC50 value was determined as described above. The experiment was conducted at least three times independently.

Reducing power assay

The reducing power assay was performed as previously described by Yen and Duh (44), with some modifications, as previously described (45). Briefly, the sample containing various concentrations of sample (between 25 and 0.78 mg/ml) was dissolved in a 0.2 M (200 µl), pH 6.6 phosphate buffer, mixed with a 1% (250 µl) potassium ferricyanide and later incubated in a dry bath for 20 min at 50°C followed by cooling on ice for 5 min. TCA [10% w/v (250 µl)] was added prior to centrifugation for 10 min at 3,000 × g at 25°C. Finally, 700 µl of the mixture transferred to clean test tubes, and 250 µl dH2O and 0.1% (50 µl) ferric chloride were added, followed by incubation at RT for 10 min. The optical density was then measured at 700 nm using a spectrophotometer (Hitachi, U 1900 UV/VIS, Hitachi High-Technologies Corporation). The results are represented as AU0.5. The AU0.5 value was defined as the concentration needed to achieve an absorbance at 0.5 and arises from a graph-plotted absorbance against the sample concentration. The experiment was conducted at least three times independently.

In vitro cell-based assays Cells and cell culture

The HepG2 cell line was donated by Assistant Professor Kalliopi Liadaki (Department of Biochemistry and Biotechnology, University of Thessaly, Larissa, Greece). HepG2 cells are frequently used to examine the effects of unidentified compounds with potential anticancer activity, as they maintain the activities of numerous enzymes crucial for xenobiotic metabolisms. When studying complex matrices such as honey, which contains a variety of biologically active chemicals and whose efficacy may fluctuate due to metabolic transformation, the selection of the cell line is crucial (46).

The cells were cultured in normal Dulbecco's modified Eagle's medium (DMEM), containing 10% (v/v) fetal bovine serum (FBS), 2 mM L-glutamine, 100 U/ml of penicillin and 100 U/ml of streptomycin (all from Gibco; Thermo Fisher Scientific, Inc.; complete medium) in plastic disposable tissue culture flasks at 37°C in 5% carbon dioxide. The experiment was conducted at least three times independently.

Cell proliferation assay

Cell proliferation was examined using the XTT assay kit (R&D Systems, Inc.). A total of 10,000 cells were placed in each well of a 96-well plate in complete DMEM and incubated for 24 h at 37°C. The cells later treated with a range of concentrations of raw honey in DMEM in the absence of FBS. After 24 h, 50 µl of the XTT solution, containing 49 µl XTT-labeling reagent with 1 µl XTT activator were added to each well of the plate followed by incubation for 4 h at 37°C and the measurement of the optical density at 450 and 630 nm (which is the reference wavelength) using a plate reader (Bio-Tek ELx800; Bio-Tek Instruments, Inc.). The absorbance of each tested concentration of each tested honey was measured without cells, as well as cell cultures in the absence of sample (control), and in the absence of cells (negative control), using the same plate reader. The absorbance values obtained in wells that contained only raw honey samples were subtracted from those acquired from wells that contained the respective extract concentration and seeded cells. Data were calculated as follows: % (of control) cell viability=(ABsampe/ABcontrol) ×100, where ABcontrol and ABsample indicate the optical density of the negative control and the test compounds, respectively. All experiments were carried out in triplicate and at least on two separate occasions.

Flow cytometric analysis of glutathione (GSH) and reactive oxygen species (ROS) levels

For the purpose of measuring the GSH and ROS levels, the HepG2 cells were cultured in a six-well plate and incubated for 24 h at 37°C, 5% CO2 and 80–95% humidity in complete medium, until they reached a confluency of 70–80%. On the following day the complete medium was replaced with serum-free medium with the following honey concentrations: 3.125-25 mg/ml of oak, EC, FOH, F1 and 1.56-12.5 mg/ml of FV and F2, and incubated for 24 h at 37°C. In order to measure the GSH levels, the cells were collected by trypsinization and washed with PBS twice following consecutive centrifugations at 300 × g for 5 min at 4°C. Following each centrifugation step, the supernatant was discarded, and the cellular pellet (106 cells/ml) was resuspended in PBS. Following the second wash, the cells were incubated in 1 ml PBS, including 5 µl Thiol Green dye (Thiol Green Indicator, Abcam), at 37°C for 30 min under dark conditions with the obligation of slightly mixing every 10 min under dark conditions followed by centrifugation (300 × g, 5 min, 4°C) and resuspension in PBS. Thiol Green accumulates primarily in the cytosol in normal cells; however, when the cells are apoptotic, it is able to partially translocate to the mitochondria, while its staining intensity is decreased (47). For the measurement of intracellular ROS levels, the cells stained were with the DCF-DA fluorescent dye. Esterases found inside of the cells deacetylate DCF-DA, which is then further transformed into fluorescent DCF by the oxidative action of ROS (48). The cells were incubated in the presence of DCF-DA 10 µM (of 400 µM stock), at 37°C for 30 min under dark conditions, followed by trypsinization and centrifugation (300 × g, 5 min, 4°C) to wash the excessive fluorescent and resuspension in PBS. Subsequently, using a FACSCalibur flow cytometer (BD Biosciences), which employs excitation and emission lengths of 490 and 530 nm both for ROS and GSH, the cells were exposed to flow cytometric analysis. As measures of the cell size and internal complexity, respectively, the forward angle and right-angle light scattering were assessed. A flow rate of 1,000 events per second was used to analyze 10,000 cells per sample, and logarithmic fluorescence intensities were recorded. The data were assessed using BD Cell Quest 6.0 software (BD Biosciences). The experiment was conducted at least three times independently.

For the determination of the levels of total antioxidant capacity (TAC), TBA reactive substances (TBARS) and protein carbonyls (PCARBS), the cells were lysed in PBS with protease inhibitors (Complete™ mini protease inhibitors, Roche Applied Science) at 1×106 cells/ml by sonication. The protein concentration was measured using the Bradford assay and subsequently, a modified method as previously described by Patsoukis et al (49) was used.

TAC assay

The Janaszewska and Bartosz (50) technique was used to determine the TAC levels. An amount of 500 ml of phosphate buffer (10 mM; pH 7.4) in total with cellular suspension (50 µg protein), or 500 ml phosphate buffer for the blank were added, followed by the addition of DPPH• (0.1 mM) solution with final volume of 1 ml. Following 60 min of incubation at room temperature in the dark a centrifugation (15,000 × g, 3 min, RT) step followed, and the optical density was measured at 520 nm using a spectrophotometer (Hitachi, U 1900 UV/VIS, Hitachi High-Technologies Corporation). The results were estimated by the reduction of DPPH• to DPPH:H (2,2-diphenyl-1-picrylhydrazine) caused by the cell lysate antioxidants. The experiment was conducted at least three times independently.

Lipid oxidation (TBARS) assay

The assay was performed as previously described by Keles et al (51), with some modifications, as previously described by Skaperda et al (52). A total amount of (400-X) µl of PBS, (where X is the amount of cell suspension needed to have 100 µg protein), or 400 µl PBS for the blank was mixed with 500 µl Tris-HCl (200 mM, pH 7.4) and 500 µl 35% TCA and incubated for 10 min at RT. Subsequently, 2 M Na2SO4 and 55 mM TBA (1 ml) solution was added, followed by an incubation at 95°C for 45 min. The samples were then placed in ice to cool, where 1 ml of 70% TCA was added. Following centrifugation for 3 min at 11,200 × g, the optical density was measured at 530 nm using a spectrophotometer (Hitachi, U 1900 UV/VIS, Hitachi High-Technologies Corporation). Τhe molar extinction co-efficient of malondialdehyde (MDA) was used to calculate the TBARS levels. The experiment conducted at least three times independently.

Protein oxidation (PCARBS) assay

The determination of PCARBS levels was based on the method previously described by Patsoukis et al (49). In this assay, 400 µl PBS were used combined with the amount of cell lysate needed required for 100 µg protein, followed by the addition of 500 µl of 10 mM 2,4-dinitrophenylhydrazine (DNPH; in 2.5 N HCl) or 500 µl of 2.5 N HCl for the blank. Following 1 h of incubation in RT, under dark conditions (with the obligation of mixing vigorously every 15 min), centrifugation was performed at 15,000 × g for 5 min at 4°C. Subsequently, the supernatant discarded and 1 ml of 10% v/w TCA was added followed by vortexing and the aforementioned centrifugation. The supernatant was discarded again, and 1 ml ethanol-ethyl acetate (1:1 v/v) was added, and the samples vortexed and centrifuged as described above. This was followed by a washing step with ethanol-ethyl acetate step, repeated 3 times. Finally, 1 ml 5 M urea (pH 2.3) was added after the supernatant discarded, and the samples incubated for 15 min at 37°C. A centrifugation step under conditions as described above was performed and the optical density was measured at 375 nm using a spectrophotometer (Hitachi, U 1900 UV/VIS, Hitachi High-Technologies Corporation). The molar extinction co-efficient of DNPH was used to estimate the PCARBS concentration. The experiment was conducted at least three times independently.

Chemicals

All chemicals used for all the aforementioned assays were supplied by Sigma-Aldrich; Merck KGaA.

Statistical analysis

For the in vitro cell-free assays, an IC50 or AU0.5 value for each tested sample was estimated. Each experiment was conducted in triplicate and on two separate occasions. For the cell-based assays, all experiments were conducted in triplicate and on three separate occasions. The data were analyzed using one-way ANOVA, followed by Dunnett's post hoc test to compare the mean value of each tested concentration with the mean value of the control group. Spearman's correlation analysis was used to determine the correlations between various parameters in the in vitro cell free assays. Cell-free data are presented as the mean ± SD, and cell-based data as the mean ± SEM. A value of P<0.05 was considered to indicate a statistically significant difference. All analyses were performed using GraphPad Prism 8.0.1 (GraphPad Prism version 8.0.1 for Windows, GraphPad Software, Inc.).

Results

In vitro cell-free assays for the determination of the antioxidant, reducing and antigenotoxic capacity of the raw honey samples

The results of the assays performed using in vitro cell-free methods are presented in Table I. According to the results of the TPC, the fir and vanilla (FV) honey was the one with the highest polyphenolic content, although the oak and forest with oak honeydew honeys also had a high polyphenolic content.

Table I.

Total phenolic content, and IC50 and AU0,5 values of the raw honey samples obtained using in vitro cell-free assays.

Table I.

Total phenolic content, and IC50 and AU0,5 values of the raw honey samples obtained using in vitro cell-free assays.

Honey typeTPC (mg GAE/g)DPPH• IC50 (mg/ml)ABTS•+ IC50 (mg/ml)OH• IC50 (mg/ml)Superoxide radical IC50 (mg/ml)Reducing power AU0,5 (mg/ml)Plasmid relaxation assay IC50 (mg/ml)
Oak1.247.14±0.022.96±0.811.22±0.041.98±0.041.87±0.192.98±0.11
Eryngium creticum0.849.95±0.0254.03±0.081.04±0.067.48±0.373.60±0.36.04±0.19
Fir and vanilla1.326.51±0.321.03±0.011.05±0.061.01±0.012.41±0.011.60±0.17
Forest with oak honeydew1.164.61±0.290.90±0.011.24±0.021.24±0.011.79±0.061.55±0.15
Flower (1)0.8615.04±0.31.99±0.10.68±0.014.32±0.143.71±0.259.02±0.41
Flower (2)0.898.47±0.691.45±0.020.66±0.012.63±0.022.28±0.016.86±0.68

[i] TPC, total phenolic content; DPPH•, 2,2-diphenyl-1-picrylhydrazyl; ABTS•+, 2,2′-azino-bis(3-ethylbenzothiazoline-6-sulfonic acid; OH•, hydroxyl radical; IC50, half maximal inhibitory concentration; GAE, gallic acid equivalent.

In the DPPH• assay, a wide range of IC50 values was observed. The FOH honey had the highest scavenging activity, followed by the FV and oak honeys. The results of the ABTS•+ assay revealed that the FOH and FV honeys were those with the highest antioxidant capacity. In the hydroxyl radical assay, the flower (F1 and F2) honeys exhibited the lowest IC50 values, which indicates the highest antioxidant capacity, despite the fact that they had the lowest polyphenolic content. The FV and FOH honeys had the highest efficacy in the superoxide radical assay, as shown by their capacity to scavenge efficiently DPPH•, ABTS•+ and superoxide radicals.

The antigenotoxic activity of the raw honey samples was determined by the plasmid relaxation assay, in which the FOH honey displayed the most potent antioxidant capacity as a result of the lowest IC50 value.

The honey samples exhibiting the highest reducing capacity were the oak and FOH honeys. The same samples followed by the FV honey, exhibited the highest polyphenolic content, and the highest ability to inhibit DPPH•, ABTS•+ and superoxide radicals (Table I).

As demonstrated by the results presented in Table II, there is a very strong negative (Rho=−0.943) and statistically significant (P=0.016) correlation between the TPC and superoxide radical results, indicating that the higher the polyphenolic content was, the lower the IC50 values were. There was also a strong negative correlation (Rho=−0.771) between TPC and DPPH•, although this was not statistically significant (P=0.102).

Table II.

Correlation coefficient (Rho) values estimated from the correlation analysis between the TPC values and the other in vitro cell-free assays.

Table II.

Correlation coefficient (Rho) values estimated from the correlation analysis between the TPC values and the other in vitro cell-free assays.

Correlation analyzedRho valueP-value
TPC vs. DPPH•−0.771P=0.1028
TPC vs. ABTS•+−0.543P=0.2972
TPC vs. O2−0.943a P=0.0167a
TPC vs. OH•0.543P=0.2972
TPC vs. RP−0.543P=0.2973
TPC vs. ROO−0.657P=0.175

a P<0.05, statistically significant correlation. TPC, total phenolic content; DPPH•, 2,2-diphenyl-1-picrylhydrazyl; ABTS•+, 2,2′-azino-bis(3-ethylbenzothiazoline-6-sulfonic acid; OH•, hydroxyl radical; RP, reducing power; ROO, peroxyl radical.

In vitro cell-based results
In vitro cell-based assays for the determination of the antioxidant capacity of the raw honey samples

All six of the raw honey samples that were tested in the in vitro cell-free assays, were also tested using the HepG2 cells in order to evaluate antioxidant-related parameters.

XTT cell proliferation assay

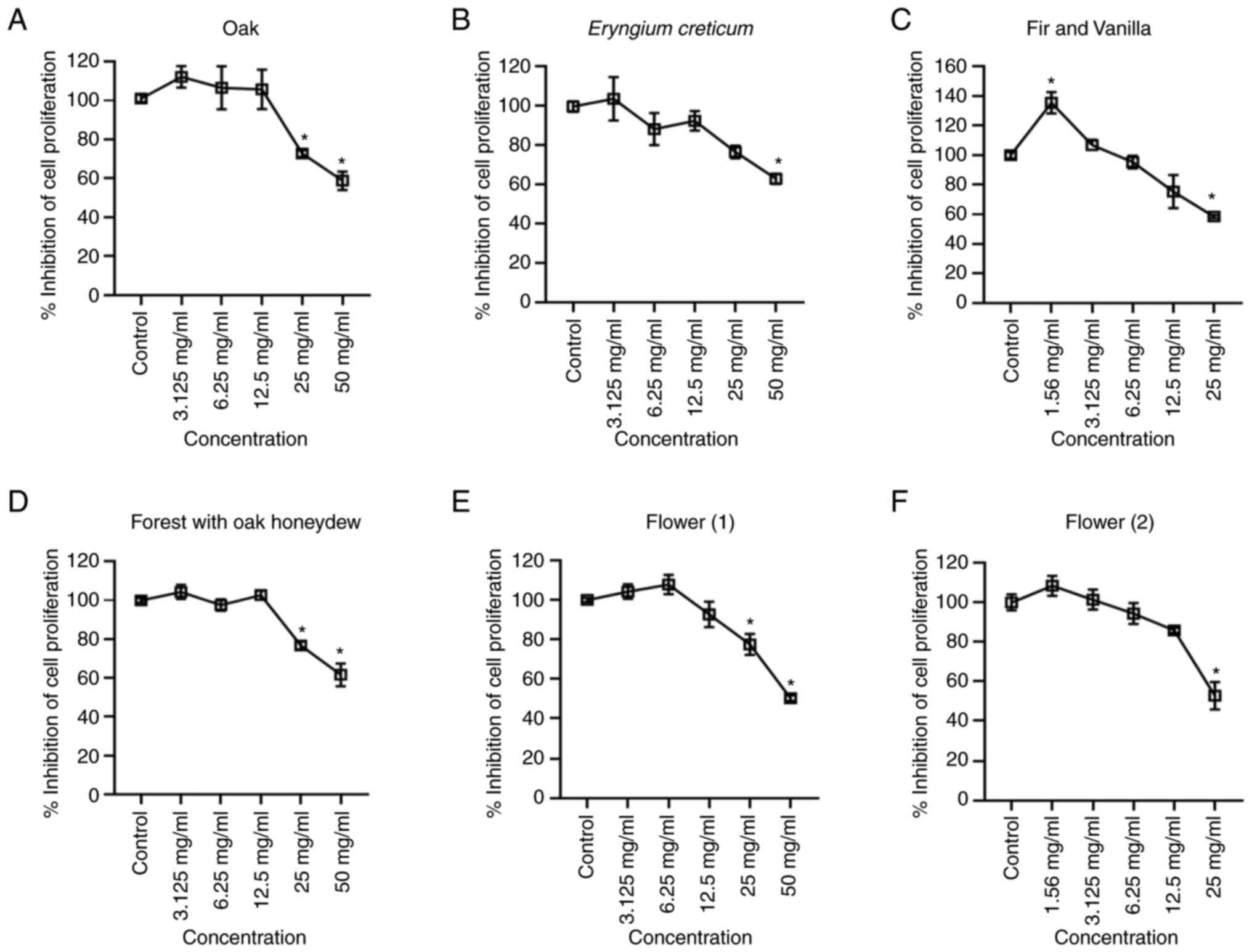
The manufacturer's instructions for the XTT assay kit were followed in order to determine which concentration of the samples impede cell growth (i.e., effect on cell viability). The samples were administrated in a liver cancer cell line (HepG2; Fig. 1, a sample was considered cytotoxic at a concentration where the proliferation was <75%). According to the results, the cells were able to tolerate higher concentrations of the oak, Eryngium creticum (EC), FOH and F1 honeys.

Figure 1.

Cytotoxic concentration threshold (mg/ml) in the HepG2 cells, as assessed using XTT assay for (A) oak honey, (B) Eryngium creticum honey, (C) fir and vanilla honey, (D) forest with oak honeydew honey, (E) flower (1) honey, and (F) flower (2) honey. *P<0.05, significant difference compared with the untreated HepG2 cells (control).

Effects of honey on the levels of redox status biomarkers

In order to examine the effects of the raw honey samples on the HepG2 cells, the highest non-cytotoxic concentrations of each sample were selected. The selected concentrations were used to treat the cells and their effects on the intracellular GSH and ROS levels, as well as on the TAC, TBARS and protein carbonyls levels were assessed.

According to the results obtained using the oak honey, treatment of the cells with lowest concentration (3.125 mg/ml) increased the TAC and lipid peroxidation levels, as compared to the control group. Furthermore, the highest administered concentration (25 mg/ml) increased the GSH, TAC, and TBARS levels in comparison with the control group (Fig. 2A).

Figure 2.

Effects of the honeys on GSH, ROS, TAC, TBARS and PCARBS levels in HepG2 cells following 24 h of exposure. (A) Oak honey, and (B) Eryngium creticum honey. *P<0.05, significant difference compared with untreated HepG2 cells (control). GSH, glutathione; ROS, reactive oxygen species; TAC, total antioxidant capacity; TBARS, thiobarbituric reactive substances; PCARBS, protein carbonyls.

The results regarding the EC honey are presented in Fig. 2B. In that case, the highest and lowest administered concentrations induced statistically significant changes, as compared to the control group. More specifically, an increase in TAC levels was observed at the lowest concentration, followed by an increase in PCARBS. Additionally, an increase in lipid peroxidation levels was observed at the highest administered concentration (25 mg/ml).

As regards the results of the FV honey (Fig. 3A), a statistically significant decrease in ROS levels was observed at the 6.125 and 12.5 mg/ml concentrations, as well as an increase in lipid peroxidation levels at the highest administered concentration (12.5 mg/ml). Moreover, PCARBS was promoted, supported by the statistically significant increase in PCARBS at 3.125 and 6.25 mg/ml, as compared to the control group.

Figure 3.

Effects the honeys on GSH, ROS, TAC, TBARS and PCARBS levels in HepG2 cells following 24 h of exposure. (A) Fir and vanilla honey and (B) forest with honeydew honey. *P<0.05, significant difference compared with untreated HepG2 cells (control). GSH, glutathione; ROS, reactive oxygen species; TAC, total antioxidant capacity; TBARS, thiobarbituric reactive substances; PCARBS, protein carbonyls.

The results of the FOH honey are presented in Fig. 3B. The highest concentration (25 mg/ml) increased the TAC levels in comparison with the control group. As regards the intracellular GSH levels, a statistically significant decreased was observed with the concentrations of 6.25 and 12.5 mg/ml. As for the TBARS levels, a decrease was observed with the lowest concentration (3.125 mg/ml).

The results of the F1 honey presented in Fig. 4A, revealed a decrease in the intracellular ROS levels at all tested concentrations. No statistically significant differences were detected in the other examined redox biomarkers, with the exception of the increase in protein oxidation levels, with the concentration of 12.5 mg/ml.

Figure 4.

Effects of the honeys on GSH, ROS, TAC, TBARS and PCARBS levels in HepG2 cells following 24 h of exposure. (A) Flower (1), and (B) Flower (2) honeys. *P<0.05, significant difference compared with untreated HepG2 cells (control). GSH, glutathione; ROS, reactive oxygen species; TAC, total antioxidant capacity; TBARS, thiobarbituric reactive substances; PCARBS, protein carbonyls.

As regards the results of the F2 honey (Fig. 4B), a statistically significant decrease in GSH levels was observed at the concentrations of 1.56, 6.25 and 12.5 mg/ml. No marked effects were observed on the other redox biomarkers examined.

Representative results from the flow cytometry experiment are presented in Figs. 5 and 6. In particular, scatter plots and histograms are presented for the determination of the intracellular GSH (Fig. 5) and ROS levels (Fig. 6) in the HepG2 cell line, following treatment with the oak honey at concentrations 25–3.125 mg/ml.

Figure 5.

Scatter plots and histograms from flow cytometric analysis for the determination of glutathione levels in the HepG2 cell line. The control plots apply to all sample concentrations. The plots are representative of the oak honey sample. (A) Control, (B) concentration of honey at 25 mg/ml, (C) concentration of honey at 12.5 mg/ml, (D) concentration of honey at 6.25 mg/ml, and (E) concentration of honey at 3.125 mg/ml.

Figure 6.

Scatter plots and histograms from flow cytometric analysis for the determination of reactive oxygen species levels in the HepG2 cell line. The control plots apply to all sample concentrations. The plots are representative of the oak honey sample. (A) Control, (B) concentration of honey at 25 mg/ml, (C) concentration of honey at 12.5 mg/ml, (D) concentration of honey at 6.25 mg/ml, and (E) concentration of honey at 3.125 mg/ml.

Discussion

The objective of the present study was to determine the antioxidant capacity of honey produced on a small scale throughout Greece by analyzing its effects using cell-free assays, and on a liver cancer cell line (HepG2) redox status using in vitro cell-based assays in biologically relevant concentrations. The HepG2 cell line was used as the liver is the main metabolic organ. According to the findings, there are variations depending on the type of honey in both cell-free and cell-based assays. The cell-based results also revealed that the effects are concentration-dependent.

Scientific research on antioxidants derived from natural products has gained global interest mainly due to their potential positive health effects. Oxidative stress is a condition in which an imbalance between ROS production and antioxidants occurs, leading to cellular damage and the dysregulation of metabolism, associated with several pathological pathologies, such as cancer, cardiovascular diseases, diabetes etc. (53,54). Some phytochemicals are able to prevent damage induced by oxidative stress, apart from scavenging free radicals (55). Recently, a number of plant and honey phytochemicals have been recognized for their health-promoting effects. For example, flavonoids and ascorbic acid are some antioxidants contained in honey that have been largely investigated for their chemopreventive effects in vivo and in in vivo-like models (56–58). Nevertheless, differences in the type and the quantity of these substances that constitute the ingredients of honey, are mainly attributed to the floral source of the honey. Findings in the literature agree that honeys with a darker color have a higher antioxidant capacity compared to the lighter-colored ones (59).

In order to determine the antioxidant capacity of the raw honey samples, the present study performed cell-free and cell-based assays. The TPC levels ranged between 1.32 mg GAE/g for the FV honey to 0.84 mg GAE/g for the EC honey, which was the one with the lowest polyphenol content. These levels reveal differences from previous research, which may be due to the location of the beehives affecting the biodiversity of the geographical region as well (60).

Subsequently, the samples were tested for their capacity to inhibit DPPH•, ABTS•+, and hydroxyl and superoxide radicals. The FV, oak and FOH honeys were the most effective in terms of their low IC50 values. Honeydew is comprised of secretions of the living parts of plants or the excretions sap-sucking insects; honeybees are able to find this on plants and collect it (61). A honeydew honey has different chemical composition compared to a nectar honey (62). Previous studies by the authors examined the antioxidant and antimicrobial capacity of 21 types of Greek honey and concluded that there was a correlation between the antioxidant capacity and the polyphenolic content (63,64). They also demonstrated the floral source-related differences in their antioxidant activity (63).

The samples were also examined for their reducing capacity that is strongly associated with their antioxidant capacity. Substitutes with reducing activity are electron donors and are able to reduce lipid peroxidation (65). According to the results obtained herein, the oak and FOH honeys were those with the highest reducing capacity, due to their low AU0.5 values. The study by Gül and Pehlivan (26) demonstrated that monofloral honeys (45% of a single pollen) had a higher reducing capacity compared to multifloral honeys, a phenomenon which is contradictory to the results of the present study, since the EC honey had the lowest capacity and the oak honey exhibited similar activity to that of the FOH honey.

In the plasmid relaxation assay, the results revealed that the FOH and FV honeys were the most effective at protect DNA from single-strand breaks induced by peroxyl radical (ROO•). This assay is used in order to evaluate the antioxidant capacity of a sample as ROO• constitute components of autoxidation and can be easily formed by the decomposition of azo compounds (66). A previous study demonstrated the high efficiency of six forest honeys in inhibiting ROO radicals compared to other types, such as chestnut and heather honeys (67).

The antioxidant capacity of honey is well-established, although the precise mechanisms of action are not yet fully understood (68). Mechanisms such as radical scavenging, hydrogen donation, metallic ion chelation, flavonoids substrate action for hydroxyl and superoxide radical actions are considered as possible antioxidant mechanisms of honey (68). Cell-free methods are reliable as a preliminary screening of the effectiveness of the tested samples; therefore, further investigations using cell lines may provide information regarding the bioavailability, the metabolism and the uptake of the antioxidants constituents of the honey (69). The use of cell-based methods can also be used to examine the potential toxic or protective mechanisms (48). In the present study, a liver cancer cell line (HepG2) was used for several reasons. These cells are characterized by a general shortage of CYP enzymes, that are involved into the phase I metabolism of xenobiotics in the liver. However, it is well-established that HepG2 cells exhibit measurable activity levels of various CYP enzymes that are responsible for the metabolic activation and inactivation of diverse drugs and environmental compound (70). As a result, the use of the S9 fraction was not included in the present study.

GSH is the most abundant endogenous antioxidant, playing crucial roles in the detoxification and metabolic processes (71). GSH has the ability to donate a hydrogen atom from its sulfhydryl group, thus scavenging the free radicals and other electrophiles either directly or indirectly used as a substrate by antioxidant enzymes (48,72). In the present study, the honey samples did not induce the production of GSH in HepG2 cells, apart from the oak honey. Previously, a relatively high expression of some GST enzymes (e.g., GSTA4, GSTM2, or GSTT1) was identified in the specific cell line, which may explain the current findings (70). Following this hypothesis, the beneficial effects observed may not be due to GSH production. It is worth mentioning that in the case of the F2 honey, the GSH levels were decreased at all concentrations used, apart from the 3.125 mg/ml concentration. As regards the other examined redox biomarkers, no effects were observed. The F1 honey sample did not promote any alterations in the intracellular GSH levels in HepG2 cells, whereas ROS levels were decreased at all tested concentrations. Additionally, a decrease in the levels of PCARBS was observed at 12.5 mg/ml. Despite the fact that the F1 and F2 honey samples belong to the same floral type, significant differences were observed in terms of their activity. Such inconsistencies may be explained by the different locations of the beehives, as well as the different weather conditions and soil composition, all of these being major parameters that affect flower biodiversity (60).

Considering the results for the EC honey, the administration of the highest tested concentration, i.e., 25 mg/ml, disrupted the intracellular redox balance and induced molecular damage, as indicated by the significant increase in TBARS levels. It may be hypothesized that the promotion of lipid peroxidation was responsible for the increased cell death, which however was not statistically significant, as observed in the XTT assay. In the same sample, the lowest concentration used perturbed the redox homeostasis, a finding supported by the elevation in PCARBS levels. The activation of cellular antioxidant mechanisms, as indicated by the significant increase in TAC levels, was not sufficient to prevent oxidative protein damage. As regards the FV honey, the highest concentrations used (6.25 and 12.5 mg/ml) reduced the intracellular ROS levels, while an increase in lipid peroxidation levels was observed at 12.5 mg/ml. Furthermore, the intermediate concentrations (6.25 and 3.125 mg/ml) increased PCARBS in comparison with the control group. Protein carbonylation is widely used as a reliable indicator of oxidative damage (73). Protein carbonylation can impair the functions or inhibit the activities of proteins, while the heavily carbonylated proteins form aggregates that cannot be degraded by the proteasomes, thus endangering cell viability (74).

FOH, a honeydew honey as previously described, is characterized by its dark color and has a different composition due to the plant and insect exudates (62). Previous studies have associated the dark color of honey with the higher amount of phenolic compounds compared to nectar honeys (62,75,76). Some phenolic compounds, such as myricetin and pinobanksin are only detected in honeydew honeys (62). The antioxidant capacity is highly related to the presence of phenolic compounds, even though constituents such as enzymes and organic acids also affect it (62). In the present study, the FOH honey exerted beneficial effects at the lowest and highest concentrations used (3.125 and 25 mg/ml), whereas detrimental effects were observed at the intermediate concentrations. To be more specific, the concentration of 3.125 mg/ml prevented the promotion of molecular damage, an assertion supported by the significant decrease in TBARS levels. According to the study by Hilary et al (77), honey is able to reduce the MDA levels in erythrocytes produced by lipid peroxidation, which is in agreement with the results obtained herein for the sample forest with honeydew and F2 honey. By contrast, the concentrations of 6.25 and 12.5 mg/ml disrupted the redox homeostasis, as indicated by the significant decrease in the intracellular GSH levels. Finally, the concentration of 25 mg/ml activated the cellular antioxidant defenses, expressed by the significant increase in TAC levels, which however, was not able to prevent cell death, as demonstrated by the cell viability assay.

As regards the oak honey, harmful effects were detected at various concentrations. More elaborately, the lowest concentration (3.125 mg/ml) perturbed the redox homeostasis, an assertion supported by the elevated promotion in lipid peroxidation. The activation of antioxidant defenses, expressed through the significant increase in TAC levels, was not sufficient to protect from the induction of molecular damage. Similarly, the highest concentration used (25 mg/ml) disrupted the intracellular redox homeostasis, as indicated by the significant increase in lipid peroxidation levels. The intensification of the cellular antioxidant defenses, evidenced by the significant increase in GSH and TAC levels, was not able to prevent the severe oxidative damage that led to cell death, as confirmed by the cell viability assay. An interesting finding of the present study was the emergence of an hormetic phenomenon in the TBARS levels. More specifically, the elevated levels of lipid peroxidation by-products, which were observed in the lowest concentration used, were followed by the return of TBARS to normal levels, whereas the administration of the highest concentration promoted lipid peroxidation once again. This phenomenon was also observed in the TAC levels. Notably, it has been demonstrated that moderate levels of reactive species cause cell adaptations to stress conditions, a phenomenon known as hormesis. Hormesis is a biological phenomenon that describes the capability of living systems, from a single cell to an organism, to adapt following exposure to low doses or intensity of a stressor (78,79). The concentration-dependent response can explain both mechanistic and biological processes, such as the induction of toxicity, repair and recovery, giving the biological systems an evolutionary adaptive system (80). There are several studies explaining the emergence of biphasic dose responses in a wide range of natural products, such as herbs, coffee and several polyphenolic compounds (81–83).

The six samples in the present study appeared to respond differently to the induction of the biomarkers examined, without exhibiting any specific pattern to the honey concentration used or in the type of biomarker measured. The global literature indicates that honeys with different floral sources have different biochemical profiles (84). Factors such as the location, climatic conditions, soil composition and the type of pollinators in the environment surrounding the beehives affect the honey obtained (85). According to Kaškonienė and Venskutonis (86), it is possible that even honeys with same floral source from different locations vary according to their composition. Apart from the floral source and the environmental factors, the production techniques used by the beekeepers and the storage conditions also affect the composition (87). Tomczyk et al (60) tested 30 types of honey, in five subgroups, from two different countries. In order to eliminate the floral source factor, the honeys were the same type from both countries. The results revealed that samples of the same variety, but from a different country, exhibited a variation in their antioxidant capacity proving the importance of environmental factors in terms of antioxidant activity (60). Moreover, it is possible that in the case of investigating another cell line, the samples may exhibit a different mode of action (37,88).

The limitations of the present study comprise the lack of the evaluation of the bioactive compounds and of the examination of pesticide contaminations in the honeys tested. Nevertheless, in the present study, the aim was to investigate the biological effects of the honey samples as a total mixture, including all bioactive compounds. These biological effects are categorized between the samples tested, without indicating the biological action of specific compounds. The authors aim to conduct measurements concerning the determination of the bioactive compounds of these samples in future research.

According to the scientific literature, exposure to pesticides has a substantial impact on the development and progression of a wide spectrum of chronic diseases in human populations, depending on the levels of environmental exposure. Investigations using laboratory animals designed to evaluate the toxicological profile of pesticide mixtures, administered at concentrations below the existing regulatory limits, have revealed the manifestation of detrimental effects when assessed by metabolomics contrary to the conventional biochemical measurements (89). Furthermore, previous studies have reported that exposure to low levels of pesticides under the long-term, low-dose regimen perturbs the redox homeostasis and induces oxidative stress, thus causing adverse effects on the organism level in the long term (90,91). In the present study, organic raw honey samples were used, which are free of pesticides (92).

In conclusion, the present study demonstrates that the examined raw honey samples exhibited potent antiradical, reducing and antigenotoxic properties in in vitro cell-free systems. By contrast, most of these exerted harmful effects on the HepG2 cell line by perturbing the redox homeostasis and by promoting molecular damage through lipid peroxidation or protein carbonylation. Notably, a hormetic phenomenon was observed following treatment of the HepG2 cells with the oak honey. Conclusively, the findings of the present study confirm the promising role of the tested raw honey samples based on their antioxidant capacity and on their ability to disrupt the redox balance in HepG2 cells. Considering the complex effects that were detected at various concentrations in the cell-based systems, further investigations are required using biological systems of higher levels to elucidate the molecular mechanisms of action of the samples. Towards this direction, it is of paramount importance to evaluate their redox-related properties in vivo.

Supplementary Material

Supporting Data

Acknowledgements

Not applicable.

Funding

Funding: No funding was received.

Availability of data and materials

The datasets used and/or analyzed during the current study are available from the corresponding author on reasonable request.

Authors' contributions

DK supervised the study and conceived the technical details and designed the experiments. DAS participated in designing the present study and in reviewing the data. AP performed the experiments. AP, ZS and PV analyzed the data. AP and DK confirm the authenticity of all the raw data. AP, PV and ZS wrote the manuscript. All authors have read and approved the final version of the manuscript.

Ethics approval and consent to participate

Not applicable.

Patient consent for publication

Not applicable.

Competing interests

DAS is the Editor-in-Chief for the journal, but had no personal involvement in the reviewing process, or any influence in terms of adjudicating on the final decision, for this article. The other authors declare that they have no competing interests.

Glossary

Abbreviations

Abbreviations:

GSH

glutathione

ROS

reactive oxygen species

GST

glutathione S-transferase

CAT

catalase

MDA

malondialdehyde

dH2O

deionized water

TPC

total phenolic content

NO

nitric oxide

FC

folin-ciocalteu

GAEs

gallic acid equivalents

RSC

radical scavenging

HRP

horseradish peroxidase

RT

room temperature

TCA

trichloroacetic acid

TAC

total antioxidant capacity

TBARS

thiobarbituric acid reactive substances

TBA

thiobarbituric acid

DNPH

2,4-dinitrophenylhydrazine

DPPH•

2,2-diphenyl-1-picrylhydrazyl

DPPH:H

2,2-diphenyl-1-picrylhydrazine

ROO

peroxyl radical

PCARBS

protein carbonyls

SD

standard error

SEM

standard error of the mean

References

1 

Tahir HE, Xiaobo Z, Zhihua L, Jiyong S, Zhai X, Wang S and Mariod AA: Rapid prediction of phenolic compounds and antioxidant activity of Sudanese honey using Raman and Fourier transform infrared (FT-IR) spectroscopy. Food Chem. 226:202–211. 2017. View Article : Google Scholar : PubMed/NCBI

2 

Di Marco G, Manfredini A, Leonardi D, Canuti L, Impei S, Gismondi A and Canini A: Geographical, botanical and chemical profile of monofloral Italian honeys as food quality guarantee and territory brand. Plant Biosyst. 151:450–463. 2017. View Article : Google Scholar

3 

Martinello M and Mutinelli F: Antioxidant activity in bee products: A review. Antioxidants (Basel). 10:712021. View Article : Google Scholar : PubMed/NCBI

4 

Alvarez-Suarez JM, Gasparrini M, Forbes-Hernández TY, Mazzoni L and Giampieri F: The composition and biological activity of honey: A focus on manuka honey. Foods. 3:420–432. 2014. View Article : Google Scholar : PubMed/NCBI

5 

Samarghandian S, Farkhondeh T and Samini F: Honey and health: A review of recent clinical research. Pharmacognosy Res. 9:121–127. 2017.PubMed/NCBI

6 

Bogdanov S, Jurendic T, Sieber R and Gallmann P: Honey for nutrition and health: A review. J Am Coll Nutr. 27:677–689. 2008. View Article : Google Scholar : PubMed/NCBI

7 

Alvarez-Suarez J, Giampieri F and Battino M: Honey as a source of dietary antioxidants: Structures, bioavailability and evidence of protective effects against human chronic diseases. Curr Med Chem. 20:621–638. 2013. View Article : Google Scholar : PubMed/NCBI

8 

Gheldof N, Wang XH and Engeseth NJ: Buckwheat honey increases serum antioxidant capacity in humans. J Agric Food Chem. 51:1500–1505. 2003. View Article : Google Scholar : PubMed/NCBI

9 

Meo SA, Al-Asiri SA, Mahesar AL and Ansari MJ: Role of honey in modern medicine. Saudi J Biol Sci. 24:975–978. 2017. View Article : Google Scholar : PubMed/NCBI

10 

Al-Waili NS and Boni NS: Natural honey lowers plasma prostaglandin concentrations in normal individuals. J Med Food. 6:129–133. 2003. View Article : Google Scholar : PubMed/NCBI

11 

Patton T, Barrett J, Brennan J and Moran N: Use of a spectrophotometric bioassay for determination of microbial sensitivity to manuka honey. J Microbiol Methods. 64:84–95. 2006. View Article : Google Scholar : PubMed/NCBI

12 

Erejuwa OO: Effect of honey in diabetes mellitus: Matters arising. J Diabetes Metab Disord. 13:232014. View Article : Google Scholar : PubMed/NCBI

13 

Jiang L, Xie M, Chen G, Qiao J, Zhang H and Zeng X: Phenolics and carbohydrates in buckwheat honey regulate the human intestinal microbiota. Evid Based Complement Alternat Med. 2020:64329422020. View Article : Google Scholar : PubMed/NCBI

14 

Azman KF, Zakaria R, Othman Z and Abdul Aziz CB: Neuroprotective effects of Tualang honey against oxidative stress and memory decline in young and aged rats exposed to noise stress. J Taibah Univ Sci. 12:273–284. 2018. View Article : Google Scholar

15 

Erejuwa OO, Sulaiman SA and Ab Wahab MS: Effects of honey and its mechanisms of action on the development and progression of cancer. Molecules. 19:2497–2522. 2014. View Article : Google Scholar : PubMed/NCBI

16 

Candiracci M, Piatti E, Dominguez-Barragán M, García-Antrás D, Morgado B, Ruano D, Gutiérrez JF, Parrado J and Castaño A: Anti-inflammatory activity of a honey flavonoid extract on lipopolysaccharide-activated N13 microglial cells. J Agric Food Chem. 60:12304–12311. 2012. View Article : Google Scholar : PubMed/NCBI

17 

Chan CW, Deadman BJ, Manley-Harris M, Wilkins AL, Alber DG and Harry E: Analysis of the flavonoid component of bioactive New Zealand mānuka (Leptospermum scoparium) honey and the isolation, characterisation and synthesis of an unusual pyrrole. Food Chem. 141:1772–1781. 2013. View Article : Google Scholar : PubMed/NCBI

18 

Sergiel I, Pohl P and Biesaga M: Characterisation of honeys according to their content of phenolic compounds using high performance liquid chromatography/tandem mass spectrometry. Food Chem. 145:404–408. 2014. View Article : Google Scholar : PubMed/NCBI

19 

Jaganathan SK and Mandal M: Antiproliferative effects of honey and of its polyphenols: A review. J Biomed Biotechnol. 2009:8306162009. View Article : Google Scholar : PubMed/NCBI

20 

Alshammari GM, Ahmed MA, Alsulami T, Hakeem MJ, Ibraheem MA and Al-Nouri DM: Phenolic compounds, antioxidant activity, ascorbic acid, and sugars in honey from ingenious hail province of Saudi Arabia. Appl Sci. 12:83342022. View Article : Google Scholar

21 

Thakur M, Singh K and Khedkar R: 11-Phytochemicals: Extraction process, safety assessment, toxicological evaluations, and regulatory issues. Funct Preserv Prop Phytochem. 341–361. 2020.

22 

Arathi HS and Bernklau E: Context-dependent effect of dietary phytochemicals on honey bees exposed to a pesticide, thiamethoxam. J Insect Sci. 21:112021. View Article : Google Scholar

23 

Liu JR, Ye YL, Lin TY, Wang YW and Peng CC: Effect of floral sources on the antioxidant, antimicrobial, and anti-inflammatory activities of honeys in Taiwan. Food Chem. 139:938–943. 2013. View Article : Google Scholar : PubMed/NCBI

24 

Pita-Calvo C and Vázquez M: Differences between honeydew and blossom honeys: A review. Trends Food Sci Technol. 59:79–87. 2017. View Article : Google Scholar

25 

Villalpando-Aguilar JL, Quej-Chi VH, López-Rosas I, Cetzal-Ix W, Aquino-Luna VÁ, Alatorre-Cobos F and Martínez-Puc JF: Pollen types reveal floral diversity in natural honeys from campeche, Mexico. Diversity. 14:7402022. View Article : Google Scholar

26 

Gül A and Pehlivan T: Antioxidant activities of some monofloral honey types produced across Turkey. Saudi J Biol Sci. 25:1056–1065. 2018. View Article : Google Scholar : PubMed/NCBI

27 

Porcza LM, Simms C and Chopra M: Honey and cancer: Current status and future directions. Diseases. 4:302016. View Article : Google Scholar : PubMed/NCBI

28 

Hossain KS, Hossain MG, Moni A, Rahman MM, Rahman UH, Alam M, Kundu S, Rahman MM, Hannan MA and Uddin MJ: Prospects of honey in fighting against COVID-19: Pharmacological insights and therapeutic promises. Heliyon. 6:e057982020. View Article : Google Scholar : PubMed/NCBI

29 

Aliyu M, Odunola OA, Farooq AD, Rasheed H, Mesaik AM, Choudhary MI, Channa IS, Khan SA and Erukainure OL: Molecular mechanism of antiproliferation potential of Acacia honey on NCI-H460 cell line. Nutr Cancer. 65:296–304. 2013. View Article : Google Scholar : PubMed/NCBI

30 

Pichichero E, Cicconi R, Mattei M, Muzi MG and Canini A: Acacia honey and chrysin reduce proliferation of melanoma cells through alterations in cell cycle progression. Int J Oncol. 37:973–981. 2010.PubMed/NCBI

31 

Samarghandian S, Azimi Nezhad M and Mohammadi G: Role of caspases, Bax and Bcl-2 in chrysin-induced apoptosis in the A549 human lung adenocarcinoma epithelial cells. Anticancer Agents Med Chem. 14:901–909. 2014. View Article : Google Scholar : PubMed/NCBI

32 

Hassan MI, Mabrouk GM, Shehata HH and Aboelhussein MM: Antineoplastic effects of bee honey and Nigella sativa on hepatocellular carcinoma cells. Integr Cancer Ther. 11:354–363. 2012. View Article : Google Scholar : PubMed/NCBI

33 

Pasupuleti VR, Sammugam L, Ramesh N and Gan SH: Honey, propolis, and royal jelly: A comprehensive review of their biological actions and health benefits. Oxid Med Cell Longev. 2017:12595102017. View Article : Google Scholar : PubMed/NCBI

34 

Abdel Aziz Baiomy A, Rady HM, Amer MA and Kiwan HS: Effect of some honey bee extracts on the proliferation, proteolytic and gelatinolytic activities of the hepatocellular carcinoma Hepg2 cell line. Aust J Basic Appl Sci. 3:2754–2769. 2009.

35 

Singleton VL, Orthofer R and Lamuela-Raventós RM: [14] Analysis of total phenols and other oxidation substrates and antioxidants by means of folin-ciocalteu reagent. Methods Enzymol. 299:152–178. 1999. View Article : Google Scholar

36 

Brand-Williams W, Cuvelier ME and Berset C: Use of a free radical method to evaluate antioxidant activity. LWT-Food Sci Technol. 28:25–30. 1995. View Article : Google Scholar

37 

Kouka P, Tekos F, Valta K, Mavros P, Veskoukis AS, Angelis A, Skaltsounis AL and Kouretas D: Οlive tree blossom polyphenolic extracts exert antioxidant and antimutagenic activities in vitro and in various cell lines. Oncol Rep. 42:2814–2825. 2019.PubMed/NCBI

38 

Kyriazis ID, Skaperda Z, Tekos F, Makri S, Vardakas P, Vassi E, Patouna A, Terizi K, Angelakis C and Kouretas D: Methodology for the biofunctional assessment of honey (review). Int J Funct Nutr. 2:1–11. 2021. View Article : Google Scholar : PubMed/NCBI

39 

Chung SK, Osawa T and Kawakishi S: Hydroxyl radical-scavenging effects of spices and scavengers from brown mustard (Brassica nigra). Biosci Biotechnol Biochem. 61:118–123. 1997. View Article : Google Scholar : PubMed/NCBI

40 

Veskoukis A, Kerasioti E, Priftis A, Kouka P, Spanidis Y, Makri S and Kouretas D: A battery of translational biomarkers for the assessment of the in vitro and in vivo antioxidant action of plant polyphenolic compounds: The biomarker issue. Curr Opin Toxicol. 13:99–109. 2019. View Article : Google Scholar

41 

Gülçin I, Küfrevioglu OI, Oktay M and Büyükokuroglu ME: Antioxidant, antimicrobial, antiulcer and analgesic activities of nettle (Urtica dioica L.). J Ethnopharmacol. 90:205–215. 2004. View Article : Google Scholar : PubMed/NCBI

42 

Priftis A, Mitsiou D, Halabalaki M, Ntasi G, Stagos D, Skaltsounis LA and Kouretas D: Roasting has a distinct effect on the antimutagenic activity of coffee varieties. Mutat Res Toxicol Environ Mutagen. 829–830. 33–42. 2018.PubMed/NCBI

43 

Tekos F, Makri S, Skaperda ZV, Patouna A, Terizi K, Kyriazis ID, Kotseridis Y, Mikropoulou EV, Papaefstathiou G, Halabalaki M and Demetrios K: Assessment of antioxidant and antimutagenic properties of red and white wine extracts in vitro. Metabolites. 11:4362021. View Article : Google Scholar : PubMed/NCBI

44 

Yen GC and Duh PD: Antioxidative properties of methanolic extracts from peanut hulls. J Am Oil Chem Soc. 70:383–386. 1993. View Article : Google Scholar

45 

Kerasioti E, Stagos D, Priftis A, Aivazidis S, Tsatsakis AM, Hayes AW and Kouretas D: Antioxidant effects of whey protein on muscle C2C12 cells. Food Chem. 155:271–278. 2014. View Article : Google Scholar : PubMed/NCBI

46 

Jurič A, Huđek Turković A, Brčić Karačonji I, Prđun S, Bubalo D and Durgo K: Cytotoxic activity of strawberry tree (Arbutus unedo L.) honey, its extract, and homogentisic acid on CAL 27, HepG2, and Caco-2 cell lines. Arh Hig Rada Toksikol. 73:158–168. 2022.PubMed/NCBI

47 

Sun J, Zhang L, Zhang X, Hu Y, Ge C and Fang J: An ultrafast turn-on thiol probe for protein labeling and bioimaging. Analyst. 141:2009–2015. 2016. View Article : Google Scholar : PubMed/NCBI

48 

Skaperda Z, Kyriazis ID, Vardakas P, Tekos F, Antoniou K, Giannakeas N and Kouretas D: In vitro antioxidant properties of herb decoction extracts derived from Epirus, Greece. Int J Funct Nutr. 2:1–13. 2021. View Article : Google Scholar : PubMed/NCBI

49 

Patsoukis N, Zervoudakis G, Panagopoulos NT, Georgiou CD, Angelatou F and Matsokis NA: Thiol redox state (TRS) and oxidative stress in the mouse hippocampus after pentylenetetrazol-induced epileptic seizure. Neurosci Lett. 357:83–86. 2004. View Article : Google Scholar : PubMed/NCBI

50 

Janaszewska A and Bartosz G: Assay of total antioxidant capacity: Comparison of four methods as applied to human blood plasma. Scand J Clin Lab Invest. 231–236. 2002. View Article : Google Scholar : PubMed/NCBI

51 

Keles MS, Taysi S, Sen N, Aksoy H and Akçay F: Effect of corticosteroid therapy on serum and CSF malondialdehyde and antioxidant proteins in multiple sclerosis. Can J Neurol Sci. 28:141–143. 2001. View Article : Google Scholar : PubMed/NCBI

52 

Skaperda Z, Argyriadou A, Nechalioti PM, Alvanou M, Makri S, Bouroutzika E, Kyriazis ID, Tekos F, Veskoukis AS, Kallitsis T, et al: Redox biomarker baseline levels in cattle tissues and their relationships with meat quality. Antioxidants (Basel). 10:9582021. View Article : Google Scholar : PubMed/NCBI

53 

Zhou J, Li P, Cheng N, Gao H, Wang B, Wei Y and Cao W: Protective effects of buckwheat honey on DNA damage induced by hydroxyl radicals. Food Chem Toxicol. 50:2766–2773. 2012. View Article : Google Scholar : PubMed/NCBI

54 

Kerasioti E, Stagos D, Georgatzi V, Bregou E, Priftis A, Kafantaris I and Kouretas D: Antioxidant effects of sheep whey protein on endothelial cells. Oxid Med Cell Longev. 2016:65857372016. View Article : Google Scholar : PubMed/NCBI

55 

Yao Y, Wang H, Xu F, Zhang Y, Li Z, Ju X and Wang L: Insoluble-bound polyphenols of adlay seed ameliorate H2O2-induced oxidative stress in HepG2 cells via Nrf2 signalling. Food Chem. 325:1268652020. View Article : Google Scholar : PubMed/NCBI

56 

Rodríguez-García C, Sánchez-Quesada C and J Gaforio J: Dietary flavonoids as cancer chemopreventive agents: An updated review of human studies. Antioxidants (Basel). 8:1372019. View Article : Google Scholar : PubMed/NCBI

57 

George VC, Dellaire G and Rupasinghe HPV: Plant flavonoids in cancer chemoprevention: Role in genome stability. J Nutr Biochem. 45:1–14. 2017. View Article : Google Scholar : PubMed/NCBI

58 

Li Z, He P, Long Y, Yuan G, Shen W, Chen Z, Zhang B, Wang Y, Yue D, Seidl C and Zhang X: Drug repurposing of pantoprazole and vitamin C targeting tumor microenvironment conditions improves anticancer effect in metastatic castration-resistant prostate cancer. Front Oncol. 11:6603202021. View Article : Google Scholar : PubMed/NCBI

59 

Saranraj P, Sivasakthi S and Feliciano GD: Pharmacology of honey: A review. Adv Biol Res. 10:271–289. 2016.

60 

Tomczyk M, Tarapatskyy M and Dżugan M: The influence of geographical origin on honey composition studied by Polish and Slovak honeys. Czech J Food Sci. 37:232–238. 2019. View Article : Google Scholar

61 

Jerković I and Marijanović Z: Oak (Quercus frainetto Ten.) honeydew honey-approach to screening of volatile organic composition and antioxidant capacity (DPPH and FRAP assay). Molecules. 15:3744–3756. 2010. View Article : Google Scholar : PubMed/NCBI

62 

Seraglio SKT, Silva B, Bergamo G, Brugnerotto P, Gonzaga LV, Fett R and Costa ACO: An overview of physicochemical characteristics and health-promoting properties of honeydew honey. Food Res Int. 119:44–66. 2019. View Article : Google Scholar : PubMed/NCBI

63 

Stagos D, Soulitsiotis N, Tsadila C, Papaeconomou S, Arvanitis C, Ntontos A, Karkanta F, Adamou-Androulaki S, Petrotos K, Spandidos DA, et al: Antibacterial and antioxidant activity of different types of honey derived from Mount Olympus in Greece. Int J Mol Med. 42:726–734. 2018.PubMed/NCBI

64 

Karydas C, Iatrou M, Kouretas D, Patouna A, Iatrou G, Lazos N, Gewehr S, Tseni X, Tekos F, Zartaloudis Z, et al: Prediction of antioxidant activity of cherry fruits from UAS multispectral imagery using machine learning. Antioxidants (Basel). 9:1562020. View Article : Google Scholar : PubMed/NCBI

65 

Lobo V, Patil A, Phatak A and Chandra N: Free radicals, antioxidants and functional foods: Impact on human health. Pharmacogn Rev. 4:118–126. 2010. View Article : Google Scholar : PubMed/NCBI

66 

MacDonald-Wicks LK, Wood LG and Garg ML: Methodology for the determination of biological antioxidant capacity in vitro: A review. J Sci Food Agric. 86:2046–2056. 2006. View Article : Google Scholar

67 

Tahirović I, Helbet D, Gaštan A, Buza N, Dizdar M, Topčagić A, Toromanović J, Čopra-Janićijević A and Kurtagić H: Hydrophilic antioxidant scores against hydroxyl and peroxyl radicals in honey samples from Bosnia and Herzegovina. CMBEBIH 2017. IFMBE Proceedings. Badnjevic A: 62. Springer; Singapore: pp. 429–434. 2017, View Article : Google Scholar

68 

Ahmed S, Sulaiman SA, Baig AA, Ibrahim M, Liaqat S, Fatima S, Jabeen S, Shamim N and Othman NH: Honey as a potential natural antioxidant medicine: An insight into its molecular mechanisms of action. Oxid Med Cell Longev. 2018:83678462018. View Article : Google Scholar : PubMed/NCBI

69 

Deng J, Liu R, Lu Q, Hao P, Xu A, Zhang J and Tan J: Biochemical properties, antibacterial and cellular antioxidant activities of buckwheat honey in comparison to manuka honey. Food Chem. 252:243–249. 2018. View Article : Google Scholar : PubMed/NCBI

70 

Donato MT, Tolosa L and Gómez-Lechón MJ: Culture and functional characterization of human hepatoma HepG2 cells. Vinken M and Rogiers V: Protocols in In Vitro Hepatocyte Research. Methods in Molecular Biology. 1250. Humana Press; New York, NY: pp. 77–93. 2015, View Article : Google Scholar : PubMed/NCBI

71 

Townsend DM, Tew KD and Tapiero H: The importance of glutathione in human disease. Biomed Pharmacother. 57:145–155. 2003. View Article : Google Scholar : PubMed/NCBI

72 

Aquilano K, Baldelli S and Ciriolo MR: Glutathione: New roles in redox signaling for an old antioxidant. Front Pharmacol. 5:1962014. View Article : Google Scholar : PubMed/NCBI

73 

Fernando N, Wickremesinghe S, Niloofa R, Rodrigo C, Karunanayake L, de Silva HJ, Wickremesinghe AR, Premawansa S, Rajapakse S and Handunnetti SM: Protein carbonyl as a biomarker of oxidative stress in severe leptospirosis, and its usefulness in differentiating leptospirosis from dengue infections. PLoS One. 11:e01560852016. View Article : Google Scholar : PubMed/NCBI

74 

Akagawa M: Protein carbonylation: Molecular mechanisms, biological implications, and analytical approaches. Free Radic Res. 55:307–320. 2021. View Article : Google Scholar : PubMed/NCBI

75 

Özcan MM and Ölmez Ç: Some qualitative properties of different monofloral honeys. Food Chem. 163:212–218. 2014. View Article : Google Scholar : PubMed/NCBI

76 

Starowicz M, Ostaszyk A and Zieliński H: The relationship between the browning index, total phenolics, color, and antioxidant activity of Polish-originated honey samples. Foods. 10:9672021. View Article : Google Scholar : PubMed/NCBI

77 

Hilary S, Habib H, Souka U, Ibrahim W and Platat C: Bioactivity of arid region honey: An in vitro study. BMC Complement Altern Med. 17:1772017. View Article : Google Scholar : PubMed/NCBI

78 

Calabrese V, Cornelius C, Dinkova-Kostova AT, Calabrese EJ and Mattson MP: Cellular stress responses, the hormesis paradigm, and vitagenes: Novel targets for therapeutic intervention in neurodegenerative disorders. Antioxid Redox Signal. 13:1763–1811. 2010. View Article : Google Scholar : PubMed/NCBI

79 

Jalal A, Oliveira Junior JC, Ribeiro JS, Fernandes GC, Mariano GG, Trindade VDR and Reis ARD: Hormesis in plants: Physiological and biochemical responses. Ecotoxicol Environ Saf. 207:1112252021. View Article : Google Scholar : PubMed/NCBI

80 

Calabrese EJ: Hormesis: Path and progression to significance. Int J Mol Sci. 19:28712018. View Article : Google Scholar : PubMed/NCBI

81 

Calabrese V, Cornelius C, Dinkova-Kostova AT, Iavicoli I, Di Paola R, Koverech A, Cuzzocrea S, Rizzarelli E and Calabrese EJ: Cellular stress responses, hormetic phytochemicals and vitagenes in aging and longevity. Biochim Biophys Acta. 1822:753–783. 2012. View Article : Google Scholar : PubMed/NCBI

82 

Skaperda Z, Tekos F, Vardakas P, Nepka C and Kouretas D: Reconceptualization of hormetic responses in the frame of redox toxicology. Int J Mol Sci. 23:492021. View Article : Google Scholar : PubMed/NCBI

83 

Dey A, Guha P, Chattopadhyay S and Bandyopadhyay SK: Biphasic activity of resveratrol on indomethacin-induced gastric ulcers. Biochem Biophys Res Commun. 381:90–95. 2009. View Article : Google Scholar : PubMed/NCBI

84 

Ciucure CT and Geană EI: Phenolic compounds profile and biochemical properties of honeys in relationship to the honey floral sources. Phytochem Anal. 30:481–492. 2019. View Article : Google Scholar : PubMed/NCBI

85 

Gismondi A, De Rossi S, Canuti L, Novelli S, Di Marco G, Fattorini L and Canini A: From Robinia pseudoacacia L. nectar to Acacia monofloral honey: Biochemical changes and variation of biological properties. J Sci Food Agric. 98:4312–4322. 2018. View Article : Google Scholar : PubMed/NCBI

86 

Kaškonienė V and Venskutonis PR: Floral markers in honey of various botanical and geographic origins: A review. Compr Rev Food Sci Food Saf. 9:620–634. 2010. View Article : Google Scholar : PubMed/NCBI

87 

Soares S, Pinto D, Rodrigues F, Alves RC and Oliveira MBPP: Portuguese honeys from different geographical and botanical origins: A 4-year stability study regarding quality parameters and antioxidant activity. Molecules. 22:13382017. View Article : Google Scholar : PubMed/NCBI

88 

Priftis A, Panagiotou EM, Lakis K, Plika C, Halabalaki M, Ntasi G, Veskoukis AS, Stagos D, Skaltsounis LA and Kouretas D: Roasted and green coffee extracts show antioxidant and cytotoxic activity in myoblast and endothelial cell lines in a cell specific manner. Food Chem Toxicol. 114:119–127. 2018. View Article : Google Scholar : PubMed/NCBI

89 

Mesnage R, Teixeira M, Mandrioli D, Falcioni L, Ibragim M, Ducarmon QR, Zwittink RD, Amiel C, Panoff JM, Bourne E, et al: Multi-omics phenotyping of the gut-liver axis reveals metabolic perturbations from a low-dose pesticide mixture in rats. Commun Biol. 4:4712021. View Article : Google Scholar : PubMed/NCBI

90 

Vardakas P, Veskoukis AS, Rossiou D, Gournikis C, Kapetanopoulou T, Karzi V, Docea AO, Tsatsakis A and Kouretas D: A mixture of endocrine disruptors and the pesticide roundup® induce oxidative stress in rabbit liver when administered under the long-term low-dose regimen: Reinforcing the notion of real-life risk simulation. Toxics. 10:1902022. View Article : Google Scholar : PubMed/NCBI

91 

Fountoucidou P, Veskoukis AS, Kerasioti E, Docea AO, Taitzoglou IA, Liesivuori J, Tsatsakis A and Kouretas D: A mixture of routinely encountered xenobiotics induces both redox adaptations and perturbations in blood and tissues of rats after a long-term low-dose exposure regimen: The time and dose issue. Toxicol Lett. 317:24–44. 2019. View Article : Google Scholar : PubMed/NCBI

92 

Panseri S, Bonerba E, Nobile M, Di Cesare F, Mosconi G, Cecati F, Arioli F, Tantillo G and Chiesa L: Pesticides and environmental contaminants in organic honeys according to their different productive areas toward food safety protection. Foods. 9:18632020. View Article : Google Scholar : PubMed/NCBI

Related Articles

  • Abstract
  • View
  • Download
  • Twitter
Copy and paste a formatted citation
Spandidos Publications style
Patouna A, Vardakas P, Skaperda Z, Spandidos DA and Kouretas D: Evaluation of the antioxidant potency of Greek honey from the Taygetos and Pindos mountains using a combination of cellular and molecular methods. Mol Med Rep 27: 54, 2023.
APA
Patouna, A., Vardakas, P., Skaperda, Z., Spandidos, D.A., & Kouretas, D. (2023). Evaluation of the antioxidant potency of Greek honey from the Taygetos and Pindos mountains using a combination of cellular and molecular methods. Molecular Medicine Reports, 27, 54. https://doi.org/10.3892/mmr.2023.12941
MLA
Patouna, A., Vardakas, P., Skaperda, Z., Spandidos, D. A., Kouretas, D."Evaluation of the antioxidant potency of Greek honey from the Taygetos and Pindos mountains using a combination of cellular and molecular methods". Molecular Medicine Reports 27.2 (2023): 54.
Chicago
Patouna, A., Vardakas, P., Skaperda, Z., Spandidos, D. A., Kouretas, D."Evaluation of the antioxidant potency of Greek honey from the Taygetos and Pindos mountains using a combination of cellular and molecular methods". Molecular Medicine Reports 27, no. 2 (2023): 54. https://doi.org/10.3892/mmr.2023.12941
Copy and paste a formatted citation
x
Spandidos Publications style
Patouna A, Vardakas P, Skaperda Z, Spandidos DA and Kouretas D: Evaluation of the antioxidant potency of Greek honey from the Taygetos and Pindos mountains using a combination of cellular and molecular methods. Mol Med Rep 27: 54, 2023.
APA
Patouna, A., Vardakas, P., Skaperda, Z., Spandidos, D.A., & Kouretas, D. (2023). Evaluation of the antioxidant potency of Greek honey from the Taygetos and Pindos mountains using a combination of cellular and molecular methods. Molecular Medicine Reports, 27, 54. https://doi.org/10.3892/mmr.2023.12941
MLA
Patouna, A., Vardakas, P., Skaperda, Z., Spandidos, D. A., Kouretas, D."Evaluation of the antioxidant potency of Greek honey from the Taygetos and Pindos mountains using a combination of cellular and molecular methods". Molecular Medicine Reports 27.2 (2023): 54.
Chicago
Patouna, A., Vardakas, P., Skaperda, Z., Spandidos, D. A., Kouretas, D."Evaluation of the antioxidant potency of Greek honey from the Taygetos and Pindos mountains using a combination of cellular and molecular methods". Molecular Medicine Reports 27, no. 2 (2023): 54. https://doi.org/10.3892/mmr.2023.12941
Follow us
  • Twitter
  • LinkedIn
  • Facebook
About
  • Spandidos Publications
  • Careers
  • Cookie Policy
  • Privacy Policy
How can we help?
  • Help
  • Live Chat
  • Contact
  • Email to our Support Team