Spandidos Publications Logo
  • About
    • About Spandidos
    • Aims and Scopes
    • Abstracting and Indexing
    • Editorial Policies
    • Reprints and Permissions
    • Job Opportunities
    • Terms and Conditions
    • Contact
  • Journals
    • All Journals
    • Oncology Letters
      • Oncology Letters
      • Information for Authors
      • Editorial Policies
      • Editorial Board
      • Aims and Scope
      • Abstracting and Indexing
      • Bibliographic Information
      • Archive
    • International Journal of Oncology
      • International Journal of Oncology
      • Information for Authors
      • Editorial Policies
      • Editorial Board
      • Aims and Scope
      • Abstracting and Indexing
      • Bibliographic Information
      • Archive
    • Molecular and Clinical Oncology
      • Molecular and Clinical Oncology
      • Information for Authors
      • Editorial Policies
      • Editorial Board
      • Aims and Scope
      • Abstracting and Indexing
      • Bibliographic Information
      • Archive
    • Experimental and Therapeutic Medicine
      • Experimental and Therapeutic Medicine
      • Information for Authors
      • Editorial Policies
      • Editorial Board
      • Aims and Scope
      • Abstracting and Indexing
      • Bibliographic Information
      • Archive
    • International Journal of Molecular Medicine
      • International Journal of Molecular Medicine
      • Information for Authors
      • Editorial Policies
      • Editorial Board
      • Aims and Scope
      • Abstracting and Indexing
      • Bibliographic Information
      • Archive
    • Biomedical Reports
      • Biomedical Reports
      • Information for Authors
      • Editorial Policies
      • Editorial Board
      • Aims and Scope
      • Abstracting and Indexing
      • Bibliographic Information
      • Archive
    • Oncology Reports
      • Oncology Reports
      • Information for Authors
      • Editorial Policies
      • Editorial Board
      • Aims and Scope
      • Abstracting and Indexing
      • Bibliographic Information
      • Archive
    • Molecular Medicine Reports
      • Molecular Medicine Reports
      • Information for Authors
      • Editorial Policies
      • Editorial Board
      • Aims and Scope
      • Abstracting and Indexing
      • Bibliographic Information
      • Archive
    • World Academy of Sciences Journal
      • World Academy of Sciences Journal
      • Information for Authors
      • Editorial Policies
      • Editorial Board
      • Aims and Scope
      • Abstracting and Indexing
      • Bibliographic Information
      • Archive
    • International Journal of Functional Nutrition
      • International Journal of Functional Nutrition
      • Information for Authors
      • Editorial Policies
      • Editorial Board
      • Aims and Scope
      • Abstracting and Indexing
      • Bibliographic Information
      • Archive
    • International Journal of Epigenetics
      • International Journal of Epigenetics
      • Information for Authors
      • Editorial Policies
      • Editorial Board
      • Aims and Scope
      • Abstracting and Indexing
      • Bibliographic Information
      • Archive
    • Medicine International
      • Medicine International
      • Information for Authors
      • Editorial Policies
      • Editorial Board
      • Aims and Scope
      • Abstracting and Indexing
      • Bibliographic Information
      • Archive
  • Articles
  • Information
    • Information for Authors
    • Information for Reviewers
    • Information for Librarians
    • Information for Advertisers
    • Conferences
  • Language Editing
Spandidos Publications Logo
  • About
    • About Spandidos
    • Aims and Scopes
    • Abstracting and Indexing
    • Editorial Policies
    • Reprints and Permissions
    • Job Opportunities
    • Terms and Conditions
    • Contact
  • Journals
    • All Journals
    • Biomedical Reports
      • Information for Authors
      • Editorial Policies
      • Editorial Board
      • Aims and Scope
      • Abstracting and Indexing
      • Bibliographic Information
      • Archive
    • Experimental and Therapeutic Medicine
      • Information for Authors
      • Editorial Policies
      • Editorial Board
      • Aims and Scope
      • Abstracting and Indexing
      • Bibliographic Information
      • Archive
    • International Journal of Epigenetics
      • Information for Authors
      • Editorial Policies
      • Editorial Board
      • Aims and Scope
      • Abstracting and Indexing
      • Bibliographic Information
      • Archive
    • International Journal of Functional Nutrition
      • Information for Authors
      • Editorial Policies
      • Editorial Board
      • Aims and Scope
      • Abstracting and Indexing
      • Bibliographic Information
      • Archive
    • International Journal of Molecular Medicine
      • Information for Authors
      • Editorial Policies
      • Editorial Board
      • Aims and Scope
      • Abstracting and Indexing
      • Bibliographic Information
      • Archive
    • International Journal of Oncology
      • Information for Authors
      • Editorial Policies
      • Editorial Board
      • Aims and Scope
      • Abstracting and Indexing
      • Bibliographic Information
      • Archive
    • Medicine International
      • Information for Authors
      • Editorial Policies
      • Editorial Board
      • Aims and Scope
      • Abstracting and Indexing
      • Bibliographic Information
      • Archive
    • Molecular and Clinical Oncology
      • Information for Authors
      • Editorial Policies
      • Editorial Board
      • Aims and Scope
      • Abstracting and Indexing
      • Bibliographic Information
      • Archive
    • Molecular Medicine Reports
      • Information for Authors
      • Editorial Policies
      • Editorial Board
      • Aims and Scope
      • Abstracting and Indexing
      • Bibliographic Information
      • Archive
    • Oncology Letters
      • Information for Authors
      • Editorial Policies
      • Editorial Board
      • Aims and Scope
      • Abstracting and Indexing
      • Bibliographic Information
      • Archive
    • Oncology Reports
      • Information for Authors
      • Editorial Policies
      • Editorial Board
      • Aims and Scope
      • Abstracting and Indexing
      • Bibliographic Information
      • Archive
    • World Academy of Sciences Journal
      • Information for Authors
      • Editorial Policies
      • Editorial Board
      • Aims and Scope
      • Abstracting and Indexing
      • Bibliographic Information
      • Archive
  • Articles
  • Information
    • For Authors
    • For Reviewers
    • For Librarians
    • For Advertisers
    • Conferences
  • Language Editing
Login Register Submit
  • This site uses cookies
  • You can change your cookie settings at any time by following the instructions in our Cookie Policy. To find out more, you may read our Privacy Policy.

    I agree
Search articles by DOI, keyword, author or affiliation
Search
Advanced Search
presentation
Oncology Letters
Join Editorial Board Propose a Special Issue
Print ISSN: 1792-1074 Online ISSN: 1792-1082
Journal Cover
August 2012 Volume 4 Issue 2

Full Size Image

Sign up for eToc alerts
Recommend to Library

Journals

International Journal of Molecular Medicine

International Journal of Molecular Medicine

International Journal of Molecular Medicine is an international journal devoted to molecular mechanisms of human disease.

International Journal of Oncology

International Journal of Oncology

International Journal of Oncology is an international journal devoted to oncology research and cancer treatment.

Molecular Medicine Reports

Molecular Medicine Reports

Covers molecular medicine topics such as pharmacology, pathology, genetics, neuroscience, infectious diseases, molecular cardiology, and molecular surgery.

Oncology Reports

Oncology Reports

Oncology Reports is an international journal devoted to fundamental and applied research in Oncology.

Experimental and Therapeutic Medicine

Experimental and Therapeutic Medicine

Experimental and Therapeutic Medicine is an international journal devoted to laboratory and clinical medicine.

Oncology Letters

Oncology Letters

Oncology Letters is an international journal devoted to Experimental and Clinical Oncology.

Biomedical Reports

Biomedical Reports

Explores a wide range of biological and medical fields, including pharmacology, genetics, microbiology, neuroscience, and molecular cardiology.

Molecular and Clinical Oncology

Molecular and Clinical Oncology

International journal addressing all aspects of oncology research, from tumorigenesis and oncogenes to chemotherapy and metastasis.

World Academy of Sciences Journal

World Academy of Sciences Journal

Multidisciplinary open-access journal spanning biochemistry, genetics, neuroscience, environmental health, and synthetic biology.

International Journal of Functional Nutrition

International Journal of Functional Nutrition

Open-access journal combining biochemistry, pharmacology, immunology, and genetics to advance health through functional nutrition.

International Journal of Epigenetics

International Journal of Epigenetics

Publishes open-access research on using epigenetics to advance understanding and treatment of human disease.

Medicine International

Medicine International

An International Open Access Journal Devoted to General Medicine.

Journal Cover
August 2012 Volume 4 Issue 2

Full Size Image

Sign up for eToc alerts
Recommend to Library

  • Article
  • Citations
    • Cite This Article
    • Download Citation
    • Create Citation Alert
    • Remove Citation Alert
    • Cited By
  • Similar Articles
    • Related Articles (in Spandidos Publications)
    • Similar Articles (Google Scholar)
    • Similar Articles (PubMed)
  • Download PDF
  • Download XML
  • View XML
Article

Expression of miR-21, miR-31, miR-96 and miR-135b is correlated with the clinical parameters of colorectal cancer

  • Authors:
    • Xin Min Xu
    • Jian Chang Qian
    • Zhou Lu Deng
    • Zhe Cai
    • Tao  Tang
    • Peng Wang
    • Ke Hua Zhang
    • Jian-Ping Cai
  • View Affiliations / Copyright

    Affiliations: Graduate School, Chinese Academy of Medical Sciences and Peking Union Medical College, Beijing 100730, P.R. China, Department of Pharmacology, Wenzhou Medical College, Zhejiang 325035, P.R. China, Department of General Surgery, Institute of Clinical Medicine, China-Japan Friendship Hospital, Beijing 100029, P.R. China, Department of Immunology, Institute of Clinical Medicine, China-Japan Friendship Hospital, Beijing 100029, P.R. China, The Key Laboratory of Geriatrics, Beijing Hospital and Beijing Institute of Geriatrics, Ministry of Health, Beijing 100730, P.R. China
  • Pages: 339-345
    |
    Published online on: May 14, 2012
       https://doi.org/10.3892/ol.2012.714
  • Expand metrics +
Metrics: Total Views: 0 (Spandidos Publications: | PMC Statistics: )
Metrics: Total PDF Downloads: 0 (Spandidos Publications: | PMC Statistics: )
Cited By (CrossRef): 0 citations Loading Articles...

This article is mentioned in:



Abstract

The aim of this study was to determine the expression of miR-21, miR-31, miR-96 and miR-135b in 52 paired colorectal cancer (CRC) tissues and to analyze the correlation between microRNAs (miRNAs) and clinicopathological features. We developed a quantification method that relies on a standard plot, constructed from known concentrations of standards, in order to measure the number of miRNAs. In addition to this, we analyzed the expression levels of miR-21, miR-31, miR-96 and miR-135b in 52 cases of primary CRC and corresponding normal mucosal tissue using real-time PCR with SYBR-Green I. An independent sample t-test was used to compare the differential expression between tumor tissues and normal mucosal tissues. The Mann-Whitney U and Kruskall‑Wallis tests were used to compare the correlation between miRNA expression levels and clinicopathological features. The expression of miR-21, miR-31, miR-96 and miR‑135b was upregulated in the CRC tissues compared to normal mucosal tissues (P<0.05). Furthermore, miR-21 and miR-135b were positively correlated with the clinical stage (P=0.048 and P=0.029, respectively), while miR-96 and miR-135b were correlated with liver metastasis (P=0.006 and P=0.013, respectively). Our results suggest that miR-21, miR-31, miR-96 and miR-135b may function in the process of CRC development and progression. miR-135b levels in particular may correlate with the degree of malignancy.

Introduction

Colorectal cancer (CRC) is the third most common type of malignant neoplasm and the third leading cause of cancer-related mortalities worldwide (1). Conventional pathological diagnosis is traumatic, with the majority of cases being detected in the later stage. Early detection of CRC has puzzled clinicians and scientists for years. Even with annual fecal occult-blood testing, which has decreased the 13-year cumulative mortality rate from CRC by 33% (2), the outcome remains poor in patients with advanced disease. Only CRC diagnosed at an early stage is likely to be cured by surgical resection. Genetic alterations present in CRC, including those in APC, K-ras or p53, do not demonstrate a confirmed correlation between their mutation rate and clinical stage (3). Therefore, a reliable, sensitive and specific molecular diagnostic test for CRC is highly desirable from a clinical perspective.

Accumulating evidence suggests that microRNAs (miRNAs) play a crucial role in the tumorigenesis and prognosis of cancer (4–7). miRNAs are non-coding, single-stranded RNAs of 18–25 nucleotides in length, which are able to regulate gene expression by inhibiting translation or decreasing stability of target mRNAs. Over the past few years, interest in the identification, detection and utilization of miRNA molecules has expanded rapidly. Bioinformatic analysis suggests that up to 30% of human genes may be regulated by miRNAs, despite the fact that they only constitute approximately 1% of the human genome (8,9).

Changes in miRNA expression have been observed in a variety of human tumors, including breast (5), prostate (6), hepatocellular (7), colorectal (10) and oral cancer (11), chronic lymphocytic leukemia (12) and bladder cancer (13) (Table I). miRNAs are involved oncogenesis, disease progression, invasion and metastasis, and are associated with patient prognosis (4,14). Studies have confirmed that the expression of miR-21 and miR-31 is upregulated in CRC patients (15). miR-21 has been demonstrated to accelerate tumorigenesis by targeting tumor suppressor genes, including phosphatase and tensin homolog (PTEN), tropomyosin 1 (TPM1) and programmed cell death 4 (PDCD4) (7,16,17). Ultimately, this increases tumor cell growth, migration and invasion.

Table I

Mean fold change of analyzed miRNAs in colorectal tumor samples.

Table I

Mean fold change of analyzed miRNAs in colorectal tumor samples.

miRNAMean fold changeChromosome localizationCorrelation with cancer in previous studies (Refs.)Putative targets (Refs.)
miR-211.517q23.2↑CRC (10,15), ↑CLL (12), ↑breast cancer (5), ↑pancreatic cancer (32), ↑HCC (7)PTEN (5,7), TPM1 (16), PDCD4 (17), TIAM1 (18)
miR-3133.59p21.3↑CRC (10,15,29), ↑oral cancer (11)FOXC-2, FOXC-3 (15), SATB2 (24), TIAM1 (18)
miR-962.27q32.2↑CRC (15), ↑bladder cancer (13), (26)
↑prostate carcinoma (6), ↓pancreatic cancer (26)
K-ras (26), CHES1 (15)
miR-135b17.91q32.1↑CRC (15,19), ↑prostate cancer (33)MSH2 (15), APC (19)

[i] CRC, colorectal cancer; CLL, chronic lymphocytic leukemia; HCC, human hepatocellular cancer.

Recent studies have demonstrated that miR-21 and miR-31 are positive regulators of colon carcinoma cells with migratory and invasive properties. As the direct target gene of miR-21 and miR-31, the T lymphoma and metastasis gene 1 (TIAM1) has been found to regulate the migration and invasion of colon carcinoma cells (18). Bandrés et al (15) examined the expression of 156 mature miRNAs using real-time PCR in 15 CRC cell lines as well as 12 matched pairs of tumoral and non-tumoral adjacent tissues. These authors found that miR-31, miR-96 and miR-135b were upregulated in both cell lines and tissues and the expression level of miR-31 was correlated with the clinical stage of CRC. Another study confirmed that there was a considerable upregulation of miR-135b in CRC (19). The same study also revealed that the two miR-135, isoforms a and b, correlated with low APC mRNA levels, suggesting that miR-135a and miR-135b contribute to the pathogenesis of CRC.

Accordingly, we predicted that miR-21, miR-31, miR-96 and miR-135b may function as micro-oncogenes in colorectal carcinogenesis and regulate CRC development and progression.

In the present study, we developed a highly sensitive and specific quantitative real-time PCR (qPCR) method based on SYBR-Green I. This was used to detect the expression of miR-21, miR-31, miR-96 and miR-135b and to analyze their correlation to the clinicopathological parameters of CRC. An understanding of the miRNA association with CRC clinicopathological features is essential to gain an insight into the miRNA involvement in colorectal carcinogenesis. This method is less costly than the method based on the TaqMan probe assay. Therefore, it may become more widely utilized in conventional laboratories, as well as used for the analysis of numerous samples.

Materials and methods

Study population and tissue sample preparation

In the present study, we recruited 52 patients with CRC, who were diagnosed and received surgery at the China-Japan Friendship Hospital, Beijing, China, between October 2009 and December 2010. After obtaining written informed consent from all subjects or their guardians and approval from the Beijing Hospital Institutional Review Committee, resected tumors and the corresponding adjacent normal mucosa tissues were obtained from surgically treated patients with CRC. Samples were immediately stored in liquid nitrogen until RNA extraction was performed. Generally, normal mucosal tissue was obtained from a region >10 cm away from the cancer tissue. The eligible tumors had to result from primary CRC without prior preoperative radiotherapy or chemotherapy treatment. The study group comprised 26 males and 26 females, with a median age of 62 years, range 36–89. The TNM classification was in accordance with the American Joint Committee on Cancer (AJCC) TNM staging. Patient details, including gender, tumor location, TNM stage, grade and lymphovascular invasion, are shown in Table II.

Table II

Correlation between miR-21, miR-31, miR-96 and miR-135b relative expression levels and clinicopathological features in CRC patients.

Table II

Correlation between miR-21, miR-31, miR-96 and miR-135b relative expression levels and clinicopathological features in CRC patients.

miR-21miR-31amiR-96bmiR-135ba




nMean ± SDP-valueMean ± SDP-valueMean ± SDP-valueMean ± SDP-value
Tissue
 Cancer524.803±3.0370.0030.804±0.8510.0031.242±0.9610.0131.167±1.186 <0.001
 Normal523.192±2.2420.024±0.0300.553±0.8110.065±0.074
Gender
 Male264.603±3.1500.40.644±0.8460.5281.153±0.8570.2861.161±1.1530.808
 Female265.003±2.9690.399±0.6281.334±1.0691.239±1.510
Localization
 Right side174.330±3.3440.0670.852±1.0930.4931.119±0.9900.6280.883±0.8490.2
 Left side355.033±2.9000.448±0.6711.625±2.1261.486±1.661
Lymph node
 Positive326.560±2.8050.0320.498±0.7570.5291.358±1.0390.8291.319±1.3320.127
 Negative204.191±3.4160.714±0.9761.062±0.8190.932±0.898
Differentiation
 High115.925±4.5460.3480.816±1.1980.9680.975±0.8280.121.058±1.1940.194
 Moderate314.847±2.6340.427±0.5931.452±0.9951.353±1.261
 Low103.433±1.6000.414±0.4940.855±0.8650.702±0.849
Stage
 II193.782±1.4600.0480.462±0.4540.761.055±0.7510.0631.206±1.0980.029
 III244.272±2.1200.697±0.9701.156±0.9321.002±1.508
 IV65.828±2.9480.145±0.1072.298±1.2832.826±1.903
Liver metastasis
 Yes75.076±3.1130.7780.131±0.1040.292.387±1.1950.0062.560±1.8750.013
 No454.760±3.0590.655±0.8901.060±0.7920.946±0.883

{ label (or @symbol) needed for fn[@id='tfn2-ol-04-02-0339'] } Significant differences (P<0.05) are noted in bold.

a Median of relative expression ×10.

b Median of relative expression ×100.

{ label (or @symbol) needed for fn[@id='tfn5-ol-04-02-0339'] } CRC, colorectal cancer.

Total RNAs of the tumor tissues and the corresponding normal tissues were isolated using the mirVana miRNA Isolation kit (Ambion, Carlsbad, CA, USA), according to the manufacturer’s instructions. RNA concentration and purity were analyzed using a UV spectrophotometer (A260/A280 >2.0; A260/A230 >1.8).

Preparation and quantification of standards

Reliable standards are essential in qPCR analysis. Therefore, we selected a cloned circular plasmid, which is more stable than PCR products (20). The four miRNAs (miR-21, miR-31, miR-96 and miR-135b) and U6 snRNA from the HT29 cells were reverse-transcribed. The target miRNAs were then amplified according to the procedures described below. Following these procedures, the products were cloned into a pMD-18T vector (Takara, Otsu, Shiga, Japan), the ligated fragments were transformed into DH5α competent cells and the transformed cultures were spread onto lysogeny broth plates containing ampicillin (75 μg/ml). Clones were screened by PCR reactions and positive clones were selected and processed for plasmid isolation. The purity and concentration of the plasmids were accurately quantified using a Qubit™ dsDNA BR Assay kit (Invitrogen, Ltd., Inchinnan Business Park, UK). The exact sequence of the inserted plasmids was analyzed and confirmed by sequencing with RV-M universal primers. We obtained a copy number based upon the molecular weight of the plasmid and insert (21). The plasmids were then diluted in 1× Tris-EDTA (TE) to 1010 copy/μl. To maximize accuracy, dilutions were performed over a range of copy numbers that included the amount of target mRNA expected in the experimental RNA samples. Thus, serial 10-fold dilutions from 1010 to 100 copy/μl of the plasmids were used as standards. Plots of the logarithm of the template concentration versus the Ct were graphed, and the PCR efficiency was calculated using the equation: E = 10(−1/slope) (22).

Reverse transcription and real-time PCR

Stem-loop real-time RT-PCR was used to analyze the expression of miRNA. We designed miR-21, miR-31, miR-96 and miR-135b stem-loop RT primers and amplification primers according to the method developed by Chen et al (23). cDNAs were synthesized from the total RNA using unique stem-loop RT primers. The sequences were as follows: 5′-GTCGTATCCAGTGCAGG GTCCGAGGTATTCGCACTGGATACGACTCAACA-3′ (miR-21), 5′-GTCGTATCCAGTGCAGGGTCCGAGGT ATTCGCACTGGATACGACAGCTAT-3′ (miR-31), 5′-GTCGTATCCAGTGCAGGGTCCGAGGTATTCGCACT GGATACGACAGCAAA-3′ (miR-96) and 5′-GTCGT ATCCAGTGCAGGGTCCGAGGTATTCGCACTGGATAC GACTCACAT-3′ (miR-135b). Reverse transcriptase reactions contained the following reagents: 10 ng RNA sample, 60 nM stem-loop RT primer, 1× RT buffer, 0.25 mM each of dNTP, 4 U/μl M-MLV reverse transcriptase (Promega, Madison, WI, USA) and 0.4 U/μl RNase inhibitor (Takara). Reactions (10 μl) were incubated in a GenAmp PCR System 9700 (Applied Biosystems, Foster City, CA, USA) at 16°C for 30 min, 42°C for 30 min and 85°C for 5 min. The samples were then held at 4°C. Real-time PCR was performed using the Thermal Cycler Dice real-time system TP800 (Takara). The universal reverse primer for the four miRNAs was 5′-CAGTGCAGGGTCC GAGGT-3′. The specific forward primers were as follows: 5′-GCCCGCTAGCTTATCAGACTGATG-3′ (miR-21), 5′-GCCGCAGGCAAGATGCTGGC-3′ (miR-31), 5′-GCCC GCTTTGGCACTAGCACATT-3′ (miR-96) and 5′-GCCCG CTATGGCTTTCATTCCT-3′ (miR-135b). The 25 μl PCR reaction mixture included 1× SYBR premix Ex Taq mix (Takara), 2 μl RT products and 10 nM of each forward and reverse primer. Reactions were incubated in a 96-well plate at 95°C for 30 sec, followed by 45 cycles of 95°C for 15 sec and 60°C for 21 sec. Dissociation from 65 to 95°C was conducted to confirm the specificity of the amplification products. The threshold cycle data were determined using second derivative max settings. U6 was used as an internal control to normalize the level of target miRNAs. The stem-loop RT primers and amplification primers of U6 were obtained from Ribobio Co., Ltd., Guangzhou, China).

Normalization and data analysis

In the present study, we applied a quantification method using U6 as an internal reference to analyze the expression of the miRNAs. The cycle number at the threshold level of the log-based fluorescence is defined as the Ct value. According to the principle that the Ct value is inversely proportional to the logarithm of the initial copy number, the copy number of the target miRNA can be accurately and quantitatively calculated based on the construction of a standard curve. For each sample, the normalized expression of the miRNAs was calculated according to the equation (24): En = Copy (target)/Copy (reference); where En is the normalized expression of the miRNA in either tumor tissue or normal mucosal tissue, copy (target) is the copy number of the target miRNA by comparing it to the corresponding standard curve, and copy (reference) is the copy number of U6 by comparing it with the corresponding standard curve. The fold change of the miRNA expression level in tumor tissue was calculated as: FC = ET/EN; where ET is the normalized expression in the tumor tissue and EN is the normalized expression in the normal mucosal tissue.

Statistical analysis

An independent sample t-test was used to compare the differential expression between the tumor tissues and the normal mucosal tissues. Statistical differences between the clinicopathological parameters and the miRNA levels were evaluated using non-parametric tests. The Mann-Whitney U test was used between 2 groups and the Kruskall-Wallis test was used between 3 or more groups. P<0.05 was considered to indicate a statistically significant difference. All calculations were performed using SPSS version 16.0 software.

Results

Sensitivity and specificity of detecting miRNAs

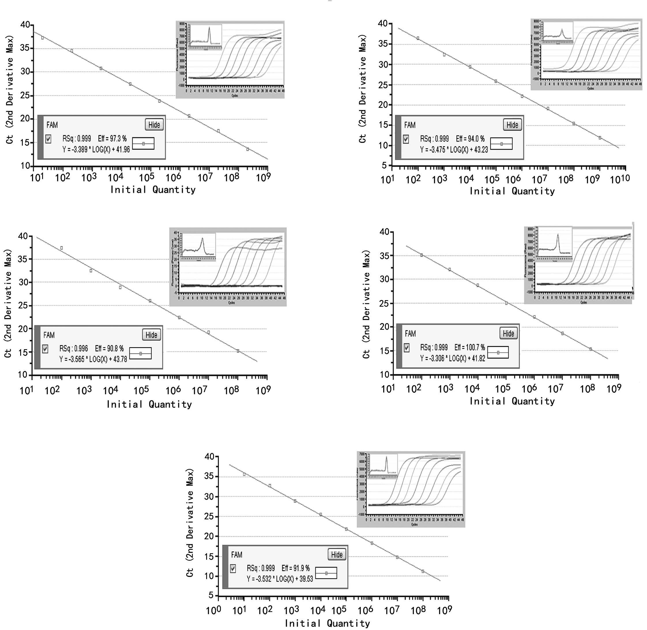
Standard curves were created by plotting the input copy number of a standard plasmid DNA, which contained 62–65 bp of the miR-21, miR-31, miR-96, miR-135b or U6 and the Ct value. Each of the plasmid DNAs were confirmed using sequencing to guarantee the authenticity of the PCR products. Using serial 10-fold dilutions of the plasmid standard, a wide linear range of 101–108 copies for miR-21, 102–109 copies for miR-31, 102–108 copies for miR-96 and miR-135b, and 101–108 copies for U6 snRNA, was detected. Dissociation curves of each miRNA are shown as single, sharply-defined narrow peaks, indicating that specific, homogeneous PCR products were produced (Fig. 1).

Figure 1

Standard curves were created with 10-fold serially diluted plasmid DNA containing (A) miR-21, (B) miR-31, (C) miR-96, (D) miR-135b or (E) U6 by SYBR-Green I real-time PCR. The Ct values obtained from the real-time PCR assays were plotted against the initial plasmid DNA copy number. The curves demonstrated a wide linear range: 101–108 copies for miR-21, 102–109 copies for miR-31, 102–108 copies for miR-96 and miR-135b and 101–108 copies for U6 snRNA. Correlation coefficients were >0.996, and the melting-curves of miR-21, miR-31, miR-96, miR-135b and U6 are shown as a single, sharply-narrow peak, indicating that pure, homogeneous qPCR products were produced.

Expression of miRNAs in the tumor and corresponding normal tissues

The expression levels of all analyzed miRNAs were significantly different between the tumor and normal adjacent tissues. Expression levels of miR-21, miR-31, miR-96 and miR-135b were upregulated in CRC tissues by 1.5, 33.5, 2.2 and 17.9 times, respectively, compared to the normal tissues (P<0.05) (Table I; Fig. 2). The mean fold changes of the miRNAs analyzed in the colorectal tumor samples and their possible correlation with cancer and putative targets were detected (Table I).

Figure 2

Scatter graphs showing the copy number of miRNAs in CA and NA. (A) miR-21, (B) miR-31, (C) miR-96 and (D) miR-135b were all significantly (P<0.05) upregulated when compared to normal mucosal tissues. CA, cancer tissues; NA, normal tissues.

Among the 52 CRC tissues, 35 (67.3%), 47 (90.4%), 42 (80.8%) and 48 (92.3%) tumors demonstrated overexpression of miR-21, miR-31, miR-96 and miR-135b, respectively. The average levels of miRNA expression in the tumor and normal tissues are shown in Table II. We also examined the frequency of the combined upregulated expression of the four miRNAs and revealed that there were 31 cases (31/52, 59.6%) where all four miRNAs were upregulated and 49 cases (49/52, 94.2%) where at least one of the miRNAs was upregulated (data not shown).

Correlation between miRNAs and clinical parameters

miR-96 and miR-135b were found to be associated with liver metastasis (p=0.006 and p=0.013, respectively) (Table II and Fig. 3). miR-21 expression is associated with lymph node metastasis (P=0.032) and clinical stage (P=0.048). However, no correlations were observed between miR-31 and gender, localization, lymph node metastasis, differentiation or clinical stage. Notably, the miR-31 expression was higher in stage III compared to II, but decreased in stage IV. A possible explanation for this phenomenon may involve the stress response. Although the mean expression levels of miR-96 increased progressively with the disease stage, a statistical significance was not achieved.

Figure 3

Correlation between the normalized expression levels of miRNAs and clinicopathological features. (A) Normalized expression levels of miR-96 and miR-135b between LM tissues and non-LM tissues. (B) Normalized expression levels of miR-21 and miR-135b among clinical stages II, III and IV. LM, liver metastasis; Non-LM, non-liver metastasis.

Discussion

miRNAs are emerging as major contributors in normal and diseased cell processes and have been demonstrated to be involved in oncogenesis, disease progression, invasion and metastasis (14). To date, a number of different approaches to quantify miRNAs have been described, including northern blotting (25,26), microarrays (15), bead-based hybridization (27), modified invader assays (28) and real-time PCR. Among these approaches, real-time PCR is a more quantitative and sensitive method when compared to other high-throughput assays. Real-time PCR based on TaqMan probes and SYBR-Green I is the most commonly used method for miRNA detection. TaqMan probes, which are designed to hybridize to an internal stretch of the amplicon, are more specific. However, with this method, one miRNA must match a single and unique probe, thereby increasing the overall cost. In contrast, real-time RT-PCR that uses SYBR-Green I is a more cost-effective method. It should be considered that SYBR-Green I is not able to discriminate between different PCR products. Additionally, it binds to all dsDNA, including non-specific products, such as primer dimers. Thus, melting point analysis must be performed to monitor the homogeneity of qPCR products when using the SYBR-Green I method.

Although altered expression levels of numerous miRNAs have been identified in human cancers, limited information is available regarding their physiological and pathological roles. In the present study, we established a specific and sensitive SYBR-Green I real-time RT-PCR method to detect miRNA expression. The melting-curves of miR-21, miR-31, miR-96, miR-135b and U6 were each shown as a single, sharply-defined melting curve with a narrow peak, indicating that pure, homogeneous qPCR products were produced (Fig. 1).

In our study, we analyzed 52 cases of CRC tissues and corresponding normal mucosal tissue, including 7 cases that were liver metastasis-positive and 45 cases that were liver metastasis-negative, in order to identify the expression levels of miR-21, miR-31, miR-96 and miR-135b. The expression levels of the four miRNAs were significantly higher in the tumor tissues than in the matched normal musocal tissues (P<0.05), which supports previous studies (10,15,19,29). Furthermore, we identified that the expression of miR-21 was not only associated with lymph node metastasis, but also with the clinical stage; this also corresponds with a previous study (10). Bandrés et al (15) examined 12 matched pairs of tumoral and non-tumoral adjacent tissues and revealed that miR-31 was correlated with stage of CRC (P=0.028). However, we did not observe this correlation, nor did we find any other significant link between miR-31 and the clinical features examined. Slaby et al (10) examined 29 primary colorectal carcinomas and 6 non-tumoral adjacent tissue specimens using real-time PCR and also found that miR-21 and miR-31 were upregulated in CRC patients. In our study, miR-21 was correlated with the clinical stage (P=0.032), but miR-31 did not significantly change in the different clinical stages. This discrepancy may partly be due to differences in the specimens analyzed.

We also found that miR-96 and miR-135b were upregulated in the CRC samples and were correlated with liver metastasis (P=0.006 and P=0.013, respectively). To the best of our knowledge, this is the first study to describe the relationship between miR-96 and miR-135b in CRC patients with liver metastasis. We found no correlation between miR-96 and miR-135b and other clinicopathological characteristics such as gender, localization, lymph node metastasis, differentiation or clinical stage (Table II).

Further studies are required to determine the interactions of miR-21, miR-31, miR-96 and miR-135b with their potential targets. The genes targeted by miR-21 have been under extensive study. The PTEN tumor suppressor gene was first selected as a potential miR-21 target in hepatocellular cancer based on its well-characterized role in tumor biology (7). Following this, TPM and PDCD4 were confirmed as functionally significant targets for miR-21 in breast cancer (16,30). It was demonstrated that miR-21 promoted cell migration, invasion and metastasis by downregulating PDCD4 gene expression. Studies on other cancer types have also confirmed that miRNAs are able to promote metastasis and have confirmed their role in tumor migration and invasion (31). miR-31 is able to directly target the homeobox gene SATB2, which is responsible for chromatin remodeling and regulation of gene expression in cancer-associated fibroblasts (24).

miR-135b regulates APC expression and the Wnt signaling pathway, suggesting its contribution to CRC pathogenesis (19). miR-96 was upregulated in colorectal, bladder and prostate cancer, but downregulated in pancreatic cancer (6,13,15,26), where it targets the K-ras oncogene and acts as a tumor suppressor gene (26). From these results it is evident that miRNAs may function as oncogenes or tumor suppressors depending on the tissue type or target gene expression.

In conclusion, we have established a sensitive and specific assay to detect miRNA expression. miR-21, miR-31, miR-96 and miR-135b were upregulated in tumor tissues compared to adjacent normal mucosal tissues. These miRNAs may have roles as oncogenes during the development of CRC. miR-135b, in particular, may be correlated with malignancy and the process of liver metastasis in CRC.

Acknowledgements

This study was supported by the Key International Science and Technology Cooperation Projects of China (No. 2006DFB31410) and the National Natural Science Foundation of China (No. 81171028). We are grateful to the members of the Institute of Geriatrics of the Ministry of Health for their advice and assistance.

References

1 

Jemal A, Siegel R, Xu J and Ward E: Cancer statistics. CA Cancer J Clin. 60:277–300. 2010.

2 

Mandel JS, Bond JH, Church TR, et al: Reducing mortality from colorectal cancer by screening for fecal occult blood. Minnesota Colon Cancer Control Study. N Engl J Med. 328:1365–1371. 1993. View Article : Google Scholar : PubMed/NCBI

3 

Jeon CH, Lee HI, Shin IH and Park JW: Genetic alterations of APC, K-ras, p53, MSI, and MAGE in Korean colorectal cancer patients. Int J Colorectal Dis. 23:29–35. 2008. View Article : Google Scholar : PubMed/NCBI

4 

Slack FJ and Weidhaas JB: MicroRNA in cancer prognosis. N Engl J Med. 359:2720–2722. 2008. View Article : Google Scholar : PubMed/NCBI

5 

Huang GL, Zhang XH, Guo GL, et al: Clinical significance of miR-21 expression in breast cancer: SYBR-Green I-based real-time RT-PCR study of invasive ductal carcinoma. Oncol Rep. 21:673–679. 2009.PubMed/NCBI

6 

Schaefer A, Jung M, Mollenkopf HJ, et al: Diagnostic and prognostic implications of microRNA profiling in prostate carcinoma. Int J Cancer. 126:1166–1176. 2010.PubMed/NCBI

7 

Meng F, Henson R, Wehbe-Janek H, et al: MicroRNA-21 regulates expression of the PTEN tumor suppressor gene in human hepatocellular cancer. Gastroenterology. 133:647–658. 2007. View Article : Google Scholar : PubMed/NCBI

8 

Filipowicz W, Bhattacharyya SN and Sonenberg N: Mechanisms of post-transcriptional regulation by microRNAs: are the answers in sight? Nat Rev Genet. 9:102–114. 2008. View Article : Google Scholar : PubMed/NCBI

9 

Bartel DP: MicroRNAs: genomics, biogenesis, mechanism, and function. Cell. 116:281–297. 2004. View Article : Google Scholar : PubMed/NCBI

10 

Slaby O, Svoboda M, Fabian P, et al: Altered expression of miR-21, miR-31, miR-143 and miR-145 is related to clinicopathologic features of colorectal cancer. Oncology. 72:397–402. 2007. View Article : Google Scholar : PubMed/NCBI

11 

Liu CJ, Kao SY, Tu HF, et al: Increase of microRNA miR-31 level in plasma could be a potential marker of oral cancer. Oral Dis. 16:360–364. 2010. View Article : Google Scholar : PubMed/NCBI

12 

Borkhardt A, Fuchs U and Tuschl T: MicroRNA in chronic lymphocytic leukemia. N Engl J Med. 354:524–525. 2006. View Article : Google Scholar : PubMed/NCBI

13 

Han Y, Chen J, Zhao X, et al: MicroRNA expression signatures of bladder cancer revealed by deep sequencing. PLoS One. 6:e182862011. View Article : Google Scholar : PubMed/NCBI

14 

Aslam MI, Taylor K, Pringle JH and Jameson JS: MicroRNAs are novel biomarkers of colorectal cancer. Br J Surg. 96:702–710. 2009. View Article : Google Scholar : PubMed/NCBI

15 

Bandrés E, Cubedo E, Agirre X, et al: Identification by Real-time PCR of 13 mature microRNAs differentially expressed in colorectal cancer and non-tumoral tissues. Mol Cancer. 5:292006.PubMed/NCBI

16 

Zhu S, Si ML, Wu H and Mo YY: MicroRNA-21 targets the tumor suppressor gene tropomyosin 1 (TPM1). J Biol Chem. 282:14328–14336. 2007. View Article : Google Scholar : PubMed/NCBI

17 

Frankel LB, Christoffersen NR, Jacobsen A, et al: Programmed cell death 4 (PDCD4) is an important functional target of the microRNA miR-21 in breast cancer cells. J Biol Chem. 283:1026–1033. 2008. View Article : Google Scholar : PubMed/NCBI

18 

Cottonham CL, Kaneko S and Xu L: miR-21 and miR-31 converge on TIAM1 to regulate migration and invasion of colon carcinoma cells. J Biol Chem. 285:35293–35302. 2010. View Article : Google Scholar : PubMed/NCBI

19 

Nagel R, le Sage C, Diosdado B, et al: Regulation of the adenomatous polyposis coli gene by the miR-135 family in colorectal cancer. Cancer Res. 68:5795–5802. 2008. View Article : Google Scholar : PubMed/NCBI

20 

Dhanasekaran S, Doherty TM and Kenneth J: Comparison of different standards for real-time PCR-based absolute quantification. J Immunol Methods. 354:34–39. 2010. View Article : Google Scholar : PubMed/NCBI

21 

Whelan JA, Russell NB and Whelan MA: A method for the absolute quantification of cDNA using real-time PCR. J Immunol Methods. 278:261–269. 2003. View Article : Google Scholar : PubMed/NCBI

22 

Lee C, Kim J, Shin SG and Hwang S: Absolute and relative QPCR quantification of plasmid copy number in Escherichia coli. J Biotechnol. 123:273–280. 2006. View Article : Google Scholar : PubMed/NCBI

23 

Chen C, Ridzon DA, Broomer AJ, et al: Real-time quantification of microRNAs by stem-loop RT-PCR. Nucleic Acids Res. 33:e1792005. View Article : Google Scholar : PubMed/NCBI

24 

Aprelikova O, Yu X, Palla J, et al: The role of miR-31 and its target gene SATB2 in cancer-associated fibroblasts. Cell Cycle. 9:4387–4398. 2010. View Article : Google Scholar : PubMed/NCBI

25 

Michael MZ, SM OC, van Holst Pellekaan NG, et al: Reduced accumulation of specific microRNAs in colorectal neoplasia. Mol Cancer Res. 1:882–891. 2003.PubMed/NCBI

26 

Yu S, Lu Z, Liu C, et al: miRNA-96 suppresses KRAS and functions as a tumor suppressor gene in pancreatic cancer. Cancer Res. 70:6015–6025. 2010. View Article : Google Scholar : PubMed/NCBI

27 

Lu J, Getz G, Miska EA, et al: MicroRNA expression profiles classify human cancers. Nature. 435:834–838. 2005. View Article : Google Scholar : PubMed/NCBI

28 

Allawi HT, Dahlberg JE, Olson S, et al: Quantitation of microRNAs using a modified Invader assay. RNA. 10:1153–1161. 2004. View Article : Google Scholar : PubMed/NCBI

29 

Wang CJ, Zhou ZG, Wang L, et al: Clinicopathological significance of microRNA-31, -143 and -145 expression in colorectal cancer. Dis Markers. 26:27–34. 2009. View Article : Google Scholar : PubMed/NCBI

30 

Lu Z, Liu M, Stribinskis V, et al: MicroRNA-21 promotes cell transformation by targeting the programmed cell death 4 gene. Oncogene. 27:4373–4379. 2008. View Article : Google Scholar : PubMed/NCBI

31 

Huang Q, Gumireddy K, Schrier M, et al: The microRNAs miR-373 and miR-520c promote tumour invasion and metastasis. Nat Cell Biol. 10:202–210. 2008. View Article : Google Scholar : PubMed/NCBI

32 

Lee EJ, Gusev Y, Jiang J, et al: Expression profiling identifies microRNA signature in pancreatic cancer. Int J Cancer. 120:1046–1054. 2007. View Article : Google Scholar : PubMed/NCBI

33 

Tong AW, Fulgham P, Jay C, et al: MicroRNA profile analysis of human prostate cancers. Cancer Gene Ther. 16:206–216. 2009.PubMed/NCBI

Related Articles

  • Abstract
  • View
  • Download
  • Twitter
Copy and paste a formatted citation
Spandidos Publications style
Xu XM, Qian JC, Deng ZL, Cai Z, Tang T, Wang P, Zhang KH and Cai J: Expression of miR-21, miR-31, miR-96 and miR-135b is correlated with the clinical parameters of colorectal cancer. Oncol Lett 4: 339-345, 2012.
APA
Xu, X.M., Qian, J.C., Deng, Z.L., Cai, Z., Tang, T., Wang, P. ... Cai, J. (2012). Expression of miR-21, miR-31, miR-96 and miR-135b is correlated with the clinical parameters of colorectal cancer. Oncology Letters, 4, 339-345. https://doi.org/10.3892/ol.2012.714
MLA
Xu, X. M., Qian, J. C., Deng, Z. L., Cai, Z., Tang, T., Wang, P., Zhang, K. H., Cai, J."Expression of miR-21, miR-31, miR-96 and miR-135b is correlated with the clinical parameters of colorectal cancer". Oncology Letters 4.2 (2012): 339-345.
Chicago
Xu, X. M., Qian, J. C., Deng, Z. L., Cai, Z., Tang, T., Wang, P., Zhang, K. H., Cai, J."Expression of miR-21, miR-31, miR-96 and miR-135b is correlated with the clinical parameters of colorectal cancer". Oncology Letters 4, no. 2 (2012): 339-345. https://doi.org/10.3892/ol.2012.714
Copy and paste a formatted citation
x
Spandidos Publications style
Xu XM, Qian JC, Deng ZL, Cai Z, Tang T, Wang P, Zhang KH and Cai J: Expression of miR-21, miR-31, miR-96 and miR-135b is correlated with the clinical parameters of colorectal cancer. Oncol Lett 4: 339-345, 2012.
APA
Xu, X.M., Qian, J.C., Deng, Z.L., Cai, Z., Tang, T., Wang, P. ... Cai, J. (2012). Expression of miR-21, miR-31, miR-96 and miR-135b is correlated with the clinical parameters of colorectal cancer. Oncology Letters, 4, 339-345. https://doi.org/10.3892/ol.2012.714
MLA
Xu, X. M., Qian, J. C., Deng, Z. L., Cai, Z., Tang, T., Wang, P., Zhang, K. H., Cai, J."Expression of miR-21, miR-31, miR-96 and miR-135b is correlated with the clinical parameters of colorectal cancer". Oncology Letters 4.2 (2012): 339-345.
Chicago
Xu, X. M., Qian, J. C., Deng, Z. L., Cai, Z., Tang, T., Wang, P., Zhang, K. H., Cai, J."Expression of miR-21, miR-31, miR-96 and miR-135b is correlated with the clinical parameters of colorectal cancer". Oncology Letters 4, no. 2 (2012): 339-345. https://doi.org/10.3892/ol.2012.714
Follow us
  • Twitter
  • LinkedIn
  • Facebook
About
  • Spandidos Publications
  • Careers
  • Cookie Policy
  • Privacy Policy
How can we help?
  • Help
  • Live Chat
  • Contact
  • Email to our Support Team