Spandidos Publications Logo
  • About
    • About Spandidos
    • Aims and Scopes
    • Abstracting and Indexing
    • Editorial Policies
    • Reprints and Permissions
    • Job Opportunities
    • Terms and Conditions
    • Contact
  • Journals
    • All Journals
    • Oncology Letters
      • Oncology Letters
      • Information for Authors
      • Editorial Policies
      • Editorial Board
      • Aims and Scope
      • Abstracting and Indexing
      • Bibliographic Information
      • Archive
    • International Journal of Oncology
      • International Journal of Oncology
      • Information for Authors
      • Editorial Policies
      • Editorial Board
      • Aims and Scope
      • Abstracting and Indexing
      • Bibliographic Information
      • Archive
    • Molecular and Clinical Oncology
      • Molecular and Clinical Oncology
      • Information for Authors
      • Editorial Policies
      • Editorial Board
      • Aims and Scope
      • Abstracting and Indexing
      • Bibliographic Information
      • Archive
    • Experimental and Therapeutic Medicine
      • Experimental and Therapeutic Medicine
      • Information for Authors
      • Editorial Policies
      • Editorial Board
      • Aims and Scope
      • Abstracting and Indexing
      • Bibliographic Information
      • Archive
    • International Journal of Molecular Medicine
      • International Journal of Molecular Medicine
      • Information for Authors
      • Editorial Policies
      • Editorial Board
      • Aims and Scope
      • Abstracting and Indexing
      • Bibliographic Information
      • Archive
    • Biomedical Reports
      • Biomedical Reports
      • Information for Authors
      • Editorial Policies
      • Editorial Board
      • Aims and Scope
      • Abstracting and Indexing
      • Bibliographic Information
      • Archive
    • Oncology Reports
      • Oncology Reports
      • Information for Authors
      • Editorial Policies
      • Editorial Board
      • Aims and Scope
      • Abstracting and Indexing
      • Bibliographic Information
      • Archive
    • Molecular Medicine Reports
      • Molecular Medicine Reports
      • Information for Authors
      • Editorial Policies
      • Editorial Board
      • Aims and Scope
      • Abstracting and Indexing
      • Bibliographic Information
      • Archive
    • World Academy of Sciences Journal
      • World Academy of Sciences Journal
      • Information for Authors
      • Editorial Policies
      • Editorial Board
      • Aims and Scope
      • Abstracting and Indexing
      • Bibliographic Information
      • Archive
    • International Journal of Functional Nutrition
      • International Journal of Functional Nutrition
      • Information for Authors
      • Editorial Policies
      • Editorial Board
      • Aims and Scope
      • Abstracting and Indexing
      • Bibliographic Information
      • Archive
    • International Journal of Epigenetics
      • International Journal of Epigenetics
      • Information for Authors
      • Editorial Policies
      • Editorial Board
      • Aims and Scope
      • Abstracting and Indexing
      • Bibliographic Information
      • Archive
    • Medicine International
      • Medicine International
      • Information for Authors
      • Editorial Policies
      • Editorial Board
      • Aims and Scope
      • Abstracting and Indexing
      • Bibliographic Information
      • Archive
  • Articles
  • Information
    • Information for Authors
    • Information for Reviewers
    • Information for Librarians
    • Information for Advertisers
    • Conferences
  • Language Editing
Spandidos Publications Logo
  • About
    • About Spandidos
    • Aims and Scopes
    • Abstracting and Indexing
    • Editorial Policies
    • Reprints and Permissions
    • Job Opportunities
    • Terms and Conditions
    • Contact
  • Journals
    • All Journals
    • Biomedical Reports
      • Information for Authors
      • Editorial Policies
      • Editorial Board
      • Aims and Scope
      • Abstracting and Indexing
      • Bibliographic Information
      • Archive
    • Experimental and Therapeutic Medicine
      • Information for Authors
      • Editorial Policies
      • Editorial Board
      • Aims and Scope
      • Abstracting and Indexing
      • Bibliographic Information
      • Archive
    • International Journal of Epigenetics
      • Information for Authors
      • Editorial Policies
      • Editorial Board
      • Aims and Scope
      • Abstracting and Indexing
      • Bibliographic Information
      • Archive
    • International Journal of Functional Nutrition
      • Information for Authors
      • Editorial Policies
      • Editorial Board
      • Aims and Scope
      • Abstracting and Indexing
      • Bibliographic Information
      • Archive
    • International Journal of Molecular Medicine
      • Information for Authors
      • Editorial Policies
      • Editorial Board
      • Aims and Scope
      • Abstracting and Indexing
      • Bibliographic Information
      • Archive
    • International Journal of Oncology
      • Information for Authors
      • Editorial Policies
      • Editorial Board
      • Aims and Scope
      • Abstracting and Indexing
      • Bibliographic Information
      • Archive
    • Medicine International
      • Information for Authors
      • Editorial Policies
      • Editorial Board
      • Aims and Scope
      • Abstracting and Indexing
      • Bibliographic Information
      • Archive
    • Molecular and Clinical Oncology
      • Information for Authors
      • Editorial Policies
      • Editorial Board
      • Aims and Scope
      • Abstracting and Indexing
      • Bibliographic Information
      • Archive
    • Molecular Medicine Reports
      • Information for Authors
      • Editorial Policies
      • Editorial Board
      • Aims and Scope
      • Abstracting and Indexing
      • Bibliographic Information
      • Archive
    • Oncology Letters
      • Information for Authors
      • Editorial Policies
      • Editorial Board
      • Aims and Scope
      • Abstracting and Indexing
      • Bibliographic Information
      • Archive
    • Oncology Reports
      • Information for Authors
      • Editorial Policies
      • Editorial Board
      • Aims and Scope
      • Abstracting and Indexing
      • Bibliographic Information
      • Archive
    • World Academy of Sciences Journal
      • Information for Authors
      • Editorial Policies
      • Editorial Board
      • Aims and Scope
      • Abstracting and Indexing
      • Bibliographic Information
      • Archive
  • Articles
  • Information
    • For Authors
    • For Reviewers
    • For Librarians
    • For Advertisers
    • Conferences
  • Language Editing
Login Register Submit
  • This site uses cookies
  • You can change your cookie settings at any time by following the instructions in our Cookie Policy. To find out more, you may read our Privacy Policy.

    I agree
Search articles by DOI, keyword, author or affiliation
Search
Advanced Search
presentation
Oncology Letters
Join Editorial Board Propose a Special Issue
Print ISSN: 1792-1074 Online ISSN: 1792-1082
Journal Cover
November-2015 Volume 10 Issue 5

Full Size Image

Sign up for eToc alerts
Recommend to Library

Journals

International Journal of Molecular Medicine

International Journal of Molecular Medicine

International Journal of Molecular Medicine is an international journal devoted to molecular mechanisms of human disease.

International Journal of Oncology

International Journal of Oncology

International Journal of Oncology is an international journal devoted to oncology research and cancer treatment.

Molecular Medicine Reports

Molecular Medicine Reports

Covers molecular medicine topics such as pharmacology, pathology, genetics, neuroscience, infectious diseases, molecular cardiology, and molecular surgery.

Oncology Reports

Oncology Reports

Oncology Reports is an international journal devoted to fundamental and applied research in Oncology.

Experimental and Therapeutic Medicine

Experimental and Therapeutic Medicine

Experimental and Therapeutic Medicine is an international journal devoted to laboratory and clinical medicine.

Oncology Letters

Oncology Letters

Oncology Letters is an international journal devoted to Experimental and Clinical Oncology.

Biomedical Reports

Biomedical Reports

Explores a wide range of biological and medical fields, including pharmacology, genetics, microbiology, neuroscience, and molecular cardiology.

Molecular and Clinical Oncology

Molecular and Clinical Oncology

International journal addressing all aspects of oncology research, from tumorigenesis and oncogenes to chemotherapy and metastasis.

World Academy of Sciences Journal

World Academy of Sciences Journal

Multidisciplinary open-access journal spanning biochemistry, genetics, neuroscience, environmental health, and synthetic biology.

International Journal of Functional Nutrition

International Journal of Functional Nutrition

Open-access journal combining biochemistry, pharmacology, immunology, and genetics to advance health through functional nutrition.

International Journal of Epigenetics

International Journal of Epigenetics

Publishes open-access research on using epigenetics to advance understanding and treatment of human disease.

Medicine International

Medicine International

An International Open Access Journal Devoted to General Medicine.

Journal Cover
November-2015 Volume 10 Issue 5

Full Size Image

Sign up for eToc alerts
Recommend to Library

  • Article
  • Citations
    • Cite This Article
    • Download Citation
    • Create Citation Alert
    • Remove Citation Alert
    • Cited By
  • Similar Articles
    • Related Articles (in Spandidos Publications)
    • Similar Articles (Google Scholar)
    • Similar Articles (PubMed)
  • Download PDF
  • Download XML
  • View XML
Article

miR-128 downregulation promotes growth and metastasis of bladder cancer cells and involves VEGF-C upregulation

  • Authors:
    • Xu Zhou
    • Lin Qi
    • Shiyu Tong
    • Yu Cui
    • Jinbo Chen
    • Tianxiang Huang
    • Zhi Chen
    • Xiong-Bing Zu
  • View Affiliations / Copyright

    Affiliations: Department of Urology, Xiangya Hospital, Central South University, Changsha, Hunan 430121, P.R. China, Department of Neurosurgery, Xiangya Hospital, Central South University, Changsha, Hunan 430121, P.R. China
  • Pages: 3183-3190
    |
    Published online on: September 9, 2015
       https://doi.org/10.3892/ol.2015.3689
  • Expand metrics +
Metrics: Total Views: 0 (Spandidos Publications: | PMC Statistics: )
Metrics: Total PDF Downloads: 0 (Spandidos Publications: | PMC Statistics: )
Cited By (CrossRef): 0 citations Loading Articles...

This article is mentioned in:



Abstract

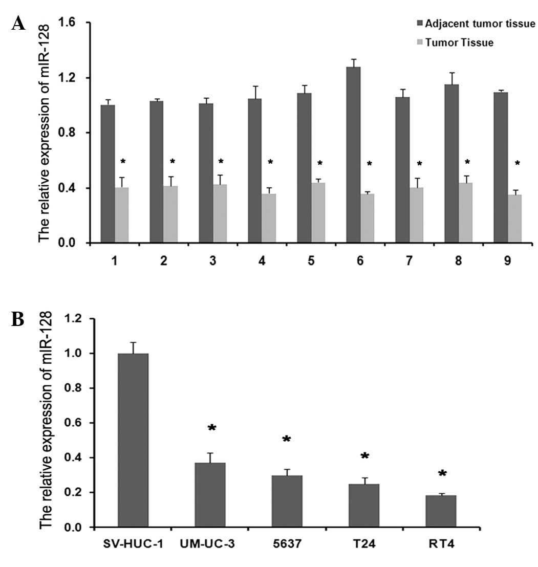
MicroRNA-128 (miR-128) serves an important role in regulating growth, invasiveness, stem cell‑like traits, differentiation and apoptosis of different types of tumor cells. Vascular endothelial growth factor-C (VEGF-C) has been associated with angiogenesis, lymphangiogenesis and regional lymph node metastasis and has previously been reported to have an anti‑apoptotic and proliferative role in bladder cancer (BC). To investigate the regulation of miR‑128 on VEGF‑C expression and their effects on proliferation and metastasis of bladder cancer, T24 and 5637 BC cells were transfected with pre‑miR‑128, anti‑miR‑128 and their respective negative control. miR‑128 was downregulated in BC tissues and cell lines, while the expression levels of VEGF‑C were upregulated. The present results indicated that miR‑128 negatively regulated VEGF‑C expression in BC T24 and 5637 BC cells. VEGF‑C is a direct target of miR‑128 in BC cells. Overexpression of miR‑128 inhibited cell proliferation, migration and invasion. Knockdown of miR‑128 promoted proliferation, migration and invasion in BC cells. Therefore, downregulation mediated malignant progression of BC may be partly attributed to increased VEGF‑C expression. Consequently, the findings of the present study provide a molecular basis for the role of miR-128/VEGF-C in the progression of human BC and indicate a novel target for treatment of BC.
View Figures

Figure 1

Figure 2

Figure 3

Figure 4

Figure 5

Figure 6

View References

1 

Hussain SA and James ND: The systemic treatment of advanced and metastatic bladder cancer. Lancet Oncol. 4:489–497. 2003. View Article : Google Scholar : PubMed/NCBI

2 

Overdevest JB, Thomas S, Kristiansen G, Hansel DE, Smith SC and Theodorescu D: CD24 offers a therapeutic target for control of bladder cancer metastasis based on a requirement for lung colonization. Cancer Res. 71:3802–3811. 2011. View Article : Google Scholar : PubMed/NCBI

3 

Zhang Y, Huang Z, Zhu Z, Zheng X, Liu J, Han Z, Ma X and Zhang Y: Upregulated UHRF1 promotes bladder cancer cell invasion by epigenetic silencing of KiSS1. PLoS One. 9:e1042522014. View Article : Google Scholar : PubMed/NCBI

4 

Kusenda B, Mraz M, Mayer J and Pospisilova S: MicroRNA biogenesis, functionality and cancer relevance. Biomed Pap Med Fac Univ Palacky Olomouc Czech Repub. 150:205–215. 2006. View Article : Google Scholar : PubMed/NCBI

5 

Calin GA, Sevignani C, Dumitru CD, Hyslop T, Noch E, Yendamuri S, Shimizu M, Rattan S, Bullrich F, Negrini M and Croce CM: Human microRNA genes are frequently located at fragile sites and genomic regions involved in cancers. Proc Natl Acad Sci USA. 101:2999–3004. 2004. View Article : Google Scholar : PubMed/NCBI

6 

Zabolotneva AA, Zhavoronkov A, Garazha AV, Roumiantsev SA and Buzdin AA: Characteristic patterns of microRNA expression in human bladder cancer. Front Genet. 3:3102013. View Article : Google Scholar : PubMed/NCBI

7 

Godlewski J, Nowicki MO, Bronisz A, Williams S, Otsuki A, Nuovo G, Raychaudhury A, Newton HB, Chiocca EA and Lawler S: Targeting of the Bmi-1 oncogene/stem cell renewal factor by microRNA-128 inhibits glioma proliferation and self-renewal. Cancer Res. 68:9125–9130. 2008. View Article : Google Scholar : PubMed/NCBI

8 

Papagiannakopoulos T, Friedmann-Morvinski D, Neveu P, Dugas JC, Gill RM, Huillard E, Liu C, Zong H, Rowitch DH, Barres BA, et al: Pro-neural miR-128 is a glioma tumor suppressor that targets mitogenic kinases. Oncogene. 31:1884–1895. 2012. View Article : Google Scholar : PubMed/NCBI

9 

Zhang Y, Chao T, Li R, Liu W, Chen Y, Yan X, Gong Y, Yin B, Liu W, Qiang B, et al: MicroRNA-128 inhibits glioma cells proliferation by targeting transcription factor E2F3a. J Mol Med (Berl). 87:43–51. 2009. View Article : Google Scholar : PubMed/NCBI

10 

Shi ZM, Wang J, Yan Z, You YP, Li CY, Qian X, Yin Y, Zhao P, Wang YY, Wang XF, et al: MiR-128 inhibits tumor growth and angiogenesis by targeting p70S6K1. PLoS One. 7:e327092012. View Article : Google Scholar : PubMed/NCBI

11 

Lin L, Chen X, Peng X, Zhou J, Kung HF, Lin MC and Jiang S: MicroRNA-128 promotes cell-cell adhesion in U87 glioma cells via regulation of EphB2. Oncol Rep. 30:1239–1248. 2013.PubMed/NCBI

12 

Dong Q, Cai N, Tao T, Zhang R, Yan W, Li R, Zhang J, Luo H, Shi Y, Luan W, et al: An axis involving SNAI1, microRNA-128 and SP1 modulates glioma progression. PLoS One. 9:e986512014. View Article : Google Scholar : PubMed/NCBI

13 

Peruzzi P, Bronisz A, Nowicki MO, Wang Y, Ogawa D, Price R, Nakano I, Kwon CH, Hayes J, Lawler SE, et al: MicroRNA-128 coordinately targets polycomb repressor complexes in glioma stem cells. Neuro Oncol. 15:1212–1224. 2013. View Article : Google Scholar : PubMed/NCBI

14 

Takahashi Y, Iwaya T, Sawada G, Kurashige J, Matsumura T, Uchi R, Ueo H, Takano Y, Eguchi H, Sudo T, et al: Up-regulation of NEK2 by microRNA-128 methylation is associated with poor prognosis in colorectal cancer. Ann Surg Oncol. 21:205–212. 2014. View Article : Google Scholar : PubMed/NCBI

15 

Evangelisti C, Florian MC, Massimi I, Dominici C, Giannini G, Galardi S, Buè MC, Massalini S, McDowell HP, Messi E, et al: MiR-128 up-regulation inhibits Reelin and DCX expression and reduces neuroblastoma cell motility and invasiveness. FASEB J. 23:4276–4287. 2009. View Article : Google Scholar : PubMed/NCBI

16 

Khan AP, Poisson LM, Bhat VB, Fermin D, Zhao R, Kalyana-Sundaram S, Michailidis G, Nesvizhskii AI, Omenn GS, Chinnaiyan AM and Sreekumar A: Quantitative proteomic profiling of prostate cancer reveals a role for miR-128 in prostate cancer. Mol Cell Proteomics. 9:298–312. 2010. View Article : Google Scholar : PubMed/NCBI

17 

Adlakha YK and Saini N: MicroRNA-128 downregulates Bax and induces apoptosis in human embryonic kidney cells. Cell Mol Life Sci. 68:1415–1428. 2011. View Article : Google Scholar : PubMed/NCBI

18 

Guidi M, Muiños-Gimeno M, Kagerbauer B, Martí E, Estivill X and Espinosa-Parrilla Y: Overexpression of miR-128 specifically inhibits the truncated isoform of NTRK3 and upregulates BCL2 in SH-SY5Y neuroblastoma cells. BMC Mol Biol. 11:952010. View Article : Google Scholar : PubMed/NCBI

19 

Li B, Chen H, Wu N, Zhang WJ and Shang LX: Deregulation of miR-128 in ovarian cancer promotes cisplatin resistance. Int J Gynecol Cancer. 24:1381–1388. 2014. View Article : Google Scholar : PubMed/NCBI

20 

She X, Yu Z, Cui Y, Lei Q, Wang Z, Xu G, Xiang J, Wu M and Li G: MiR-128 and miR-149 enhance the chemosensitivity of temozolomide by Rap1B-mediated cytoskeletal remodeling in glioblastoma. Oncol Rep. 32:957–964. 2014.PubMed/NCBI

21 

Zhu Y, Yu F, Jiao Y, Feng J, Tang W, Yao H, Gong C, Chen J, Su F, Zhang Y and Song E: Reduced miR-128 in breast tumor-initiating cells induces chemotherapeutic resistance via Bmi-1 and ABCC5. Clin Cancer Res. 17:7105–7115. 2011. View Article : Google Scholar : PubMed/NCBI

22 

Tian Z, Guo B, Yu M, Wang C, Zhang H, Liang Q, Jiang K and Cao L: Upregulation of micro-ribonucleic acid-128 cooperating with downregulation of PTEN confers metastatic potential and unfavorable prognosis in patients with primary osteosarcoma. Onco Targets Ther. 7:1601–1608. 2014.PubMed/NCBI

23 

Mylona E, Magkou C, Gorantonakis G, Giannopoulou I, Nomikos A, Zarogiannos A, Zervas A and Nakopoulou L: Evaluation of the vascular endothelial growth factor (VEGF)-C role in urothelial carcinomas of the bladder. Anticancer Res. 26:3567–3571. 2006.PubMed/NCBI

24 

Li Z, Qi F, Qi L, Zhang H, Chen M, Wang L and Zu X: VEGF-C as a decision-making biomarker for selected patients with invasive bladder cancer who underwent bladder-preserving radical surgery. Arch Med Res. 42:405–411. 2011. View Article : Google Scholar : PubMed/NCBI

25 

Suzuki K, Morita T and Tokue A: Vascular endothelial growth factor-C (VEGF-C) expression predicts lymph node metastasis of transitional cell carcinoma of the bladder. Int J Urol. 12:152–158. 2005. View Article : Google Scholar : PubMed/NCBI

26 

Zu X, Tang Z, Li Y, Gao N, Ding J and Qi L: Vascular endothelial growth factor-C expression in bladder transitional cell cancer and its relationship to lymph node metastasis. BJU Int. 98:1090–1093. 2006. View Article : Google Scholar : PubMed/NCBI

27 

Zhang HH, Qi F, Shi YR, Miao JG, Zhou M, He W, Chen MF, Li Y, Zu XB and Qi L: RNA interference-mediated vascular endothelial growth factor-C reduction suppresses malignant progression and enhances mitomycin C sensitivity of bladder cancer T24 cells. Cancer Biother Radiopharm. 27:291–298. 2012. View Article : Google Scholar : PubMed/NCBI

28 

Hu J, Cheng Y, Li Y, Jin Z, Pan Y, Liu G, Fu S, Zhang Y, Feng K and Feng Y: microRNA-128 plays a critical role in human non-small cell lung cancer tumourigenesis, angiogenesis and lymphangiogenesis by directly targeting vascular endothelial growth factor-C. Eur J Cancer. 50:2336–2350. 2014. View Article : Google Scholar : PubMed/NCBI

29 

Arocho A, Chen B, Ladanyi M and Pan Q: Validation of the 2-DeltaDeltaCt calculation as an alternate method of data analysis for quantitative PCR of BCR-ABL P210 transcripts. Diagn Mol Pathol. 15:56–61. 2006. View Article : Google Scholar : PubMed/NCBI

30 

Barbosa H, Slater NK and Marcos JC: Protein quantification in the presence of poly(ethylene glycol) and dextran using the Bradford method. Anal Biochem. 395:108–110. 2009. View Article : Google Scholar : PubMed/NCBI

31 

Saadoun S, Papadopoulos MC, Hara-Chikuma M and Verkman AS: Impairment of angiogenesis and cell migration by targeted aquaporin-1 gene disruption. Nature. 434:786–792. 2005. View Article : Google Scholar : PubMed/NCBI

32 

Shen L, Chen XD and Zhang YH: MicroRNA-128 promotes proliferation in osteosarcoma cells by downregulating PTEN. Tumour Biol. 35:2069–2074. 2014. View Article : Google Scholar : PubMed/NCBI

33 

Tao T, Li G, Dong Q, Liu D, Liu C, Han D, Huang Y, Chen S, Xu B and Chen M: Loss of SNAIL inhibits cellular growth and metabolism through the miR-128-mediated RPS6KB1/HIF-1α/PKM2 signaling pathway in prostate cancer cells. Tumour Biol. 35:8543–8550. 2014. View Article : Google Scholar : PubMed/NCBI

Related Articles

  • Abstract
  • View
  • Download
  • Twitter
Copy and paste a formatted citation
Spandidos Publications style
Zhou X, Qi L, Tong S, Cui Y, Chen J, Huang T, Chen Z and Zu X: miR-128 downregulation promotes growth and metastasis of bladder cancer cells and involves VEGF-C upregulation. Oncol Lett 10: 3183-3190, 2015.
APA
Zhou, X., Qi, L., Tong, S., Cui, Y., Chen, J., Huang, T. ... Zu, X. (2015). miR-128 downregulation promotes growth and metastasis of bladder cancer cells and involves VEGF-C upregulation. Oncology Letters, 10, 3183-3190. https://doi.org/10.3892/ol.2015.3689
MLA
Zhou, X., Qi, L., Tong, S., Cui, Y., Chen, J., Huang, T., Chen, Z., Zu, X."miR-128 downregulation promotes growth and metastasis of bladder cancer cells and involves VEGF-C upregulation". Oncology Letters 10.5 (2015): 3183-3190.
Chicago
Zhou, X., Qi, L., Tong, S., Cui, Y., Chen, J., Huang, T., Chen, Z., Zu, X."miR-128 downregulation promotes growth and metastasis of bladder cancer cells and involves VEGF-C upregulation". Oncology Letters 10, no. 5 (2015): 3183-3190. https://doi.org/10.3892/ol.2015.3689
Copy and paste a formatted citation
x
Spandidos Publications style
Zhou X, Qi L, Tong S, Cui Y, Chen J, Huang T, Chen Z and Zu X: miR-128 downregulation promotes growth and metastasis of bladder cancer cells and involves VEGF-C upregulation. Oncol Lett 10: 3183-3190, 2015.
APA
Zhou, X., Qi, L., Tong, S., Cui, Y., Chen, J., Huang, T. ... Zu, X. (2015). miR-128 downregulation promotes growth and metastasis of bladder cancer cells and involves VEGF-C upregulation. Oncology Letters, 10, 3183-3190. https://doi.org/10.3892/ol.2015.3689
MLA
Zhou, X., Qi, L., Tong, S., Cui, Y., Chen, J., Huang, T., Chen, Z., Zu, X."miR-128 downregulation promotes growth and metastasis of bladder cancer cells and involves VEGF-C upregulation". Oncology Letters 10.5 (2015): 3183-3190.
Chicago
Zhou, X., Qi, L., Tong, S., Cui, Y., Chen, J., Huang, T., Chen, Z., Zu, X."miR-128 downregulation promotes growth and metastasis of bladder cancer cells and involves VEGF-C upregulation". Oncology Letters 10, no. 5 (2015): 3183-3190. https://doi.org/10.3892/ol.2015.3689
Follow us
  • Twitter
  • LinkedIn
  • Facebook
About
  • Spandidos Publications
  • Careers
  • Cookie Policy
  • Privacy Policy
How can we help?
  • Help
  • Live Chat
  • Contact
  • Email to our Support Team