Spandidos Publications Logo
  • About
    • About Spandidos
    • Aims and Scopes
    • Abstracting and Indexing
    • Editorial Policies
    • Reprints and Permissions
    • Job Opportunities
    • Terms and Conditions
    • Contact
  • Journals
    • All Journals
    • Oncology Letters
      • Oncology Letters
      • Information for Authors
      • Editorial Policies
      • Editorial Board
      • Aims and Scope
      • Abstracting and Indexing
      • Bibliographic Information
      • Archive
    • International Journal of Oncology
      • International Journal of Oncology
      • Information for Authors
      • Editorial Policies
      • Editorial Board
      • Aims and Scope
      • Abstracting and Indexing
      • Bibliographic Information
      • Archive
    • Molecular and Clinical Oncology
      • Molecular and Clinical Oncology
      • Information for Authors
      • Editorial Policies
      • Editorial Board
      • Aims and Scope
      • Abstracting and Indexing
      • Bibliographic Information
      • Archive
    • Experimental and Therapeutic Medicine
      • Experimental and Therapeutic Medicine
      • Information for Authors
      • Editorial Policies
      • Editorial Board
      • Aims and Scope
      • Abstracting and Indexing
      • Bibliographic Information
      • Archive
    • International Journal of Molecular Medicine
      • International Journal of Molecular Medicine
      • Information for Authors
      • Editorial Policies
      • Editorial Board
      • Aims and Scope
      • Abstracting and Indexing
      • Bibliographic Information
      • Archive
    • Biomedical Reports
      • Biomedical Reports
      • Information for Authors
      • Editorial Policies
      • Editorial Board
      • Aims and Scope
      • Abstracting and Indexing
      • Bibliographic Information
      • Archive
    • Oncology Reports
      • Oncology Reports
      • Information for Authors
      • Editorial Policies
      • Editorial Board
      • Aims and Scope
      • Abstracting and Indexing
      • Bibliographic Information
      • Archive
    • Molecular Medicine Reports
      • Molecular Medicine Reports
      • Information for Authors
      • Editorial Policies
      • Editorial Board
      • Aims and Scope
      • Abstracting and Indexing
      • Bibliographic Information
      • Archive
    • World Academy of Sciences Journal
      • World Academy of Sciences Journal
      • Information for Authors
      • Editorial Policies
      • Editorial Board
      • Aims and Scope
      • Abstracting and Indexing
      • Bibliographic Information
      • Archive
    • International Journal of Functional Nutrition
      • International Journal of Functional Nutrition
      • Information for Authors
      • Editorial Policies
      • Editorial Board
      • Aims and Scope
      • Abstracting and Indexing
      • Bibliographic Information
      • Archive
    • International Journal of Epigenetics
      • International Journal of Epigenetics
      • Information for Authors
      • Editorial Policies
      • Editorial Board
      • Aims and Scope
      • Abstracting and Indexing
      • Bibliographic Information
      • Archive
    • Medicine International
      • Medicine International
      • Information for Authors
      • Editorial Policies
      • Editorial Board
      • Aims and Scope
      • Abstracting and Indexing
      • Bibliographic Information
      • Archive
  • Articles
  • Information
    • Information for Authors
    • Information for Reviewers
    • Information for Librarians
    • Information for Advertisers
    • Conferences
  • Language Editing
Spandidos Publications Logo
  • About
    • About Spandidos
    • Aims and Scopes
    • Abstracting and Indexing
    • Editorial Policies
    • Reprints and Permissions
    • Job Opportunities
    • Terms and Conditions
    • Contact
  • Journals
    • All Journals
    • Biomedical Reports
      • Information for Authors
      • Editorial Policies
      • Editorial Board
      • Aims and Scope
      • Abstracting and Indexing
      • Bibliographic Information
      • Archive
    • Experimental and Therapeutic Medicine
      • Information for Authors
      • Editorial Policies
      • Editorial Board
      • Aims and Scope
      • Abstracting and Indexing
      • Bibliographic Information
      • Archive
    • International Journal of Epigenetics
      • Information for Authors
      • Editorial Policies
      • Editorial Board
      • Aims and Scope
      • Abstracting and Indexing
      • Bibliographic Information
      • Archive
    • International Journal of Functional Nutrition
      • Information for Authors
      • Editorial Policies
      • Editorial Board
      • Aims and Scope
      • Abstracting and Indexing
      • Bibliographic Information
      • Archive
    • International Journal of Molecular Medicine
      • Information for Authors
      • Editorial Policies
      • Editorial Board
      • Aims and Scope
      • Abstracting and Indexing
      • Bibliographic Information
      • Archive
    • International Journal of Oncology
      • Information for Authors
      • Editorial Policies
      • Editorial Board
      • Aims and Scope
      • Abstracting and Indexing
      • Bibliographic Information
      • Archive
    • Medicine International
      • Information for Authors
      • Editorial Policies
      • Editorial Board
      • Aims and Scope
      • Abstracting and Indexing
      • Bibliographic Information
      • Archive
    • Molecular and Clinical Oncology
      • Information for Authors
      • Editorial Policies
      • Editorial Board
      • Aims and Scope
      • Abstracting and Indexing
      • Bibliographic Information
      • Archive
    • Molecular Medicine Reports
      • Information for Authors
      • Editorial Policies
      • Editorial Board
      • Aims and Scope
      • Abstracting and Indexing
      • Bibliographic Information
      • Archive
    • Oncology Letters
      • Information for Authors
      • Editorial Policies
      • Editorial Board
      • Aims and Scope
      • Abstracting and Indexing
      • Bibliographic Information
      • Archive
    • Oncology Reports
      • Information for Authors
      • Editorial Policies
      • Editorial Board
      • Aims and Scope
      • Abstracting and Indexing
      • Bibliographic Information
      • Archive
    • World Academy of Sciences Journal
      • Information for Authors
      • Editorial Policies
      • Editorial Board
      • Aims and Scope
      • Abstracting and Indexing
      • Bibliographic Information
      • Archive
  • Articles
  • Information
    • For Authors
    • For Reviewers
    • For Librarians
    • For Advertisers
    • Conferences
  • Language Editing
Login Register Submit
  • This site uses cookies
  • You can change your cookie settings at any time by following the instructions in our Cookie Policy. To find out more, you may read our Privacy Policy.

    I agree
Search articles by DOI, keyword, author or affiliation
Search
Advanced Search
presentation
Oncology Letters
Join Editorial Board Propose a Special Issue
Print ISSN: 1792-1074 Online ISSN: 1792-1082
Journal Cover
June-2016 Volume 11 Issue 6

Full Size Image

Sign up for eToc alerts
Recommend to Library

Journals

International Journal of Molecular Medicine

International Journal of Molecular Medicine

International Journal of Molecular Medicine is an international journal devoted to molecular mechanisms of human disease.

International Journal of Oncology

International Journal of Oncology

International Journal of Oncology is an international journal devoted to oncology research and cancer treatment.

Molecular Medicine Reports

Molecular Medicine Reports

Covers molecular medicine topics such as pharmacology, pathology, genetics, neuroscience, infectious diseases, molecular cardiology, and molecular surgery.

Oncology Reports

Oncology Reports

Oncology Reports is an international journal devoted to fundamental and applied research in Oncology.

Experimental and Therapeutic Medicine

Experimental and Therapeutic Medicine

Experimental and Therapeutic Medicine is an international journal devoted to laboratory and clinical medicine.

Oncology Letters

Oncology Letters

Oncology Letters is an international journal devoted to Experimental and Clinical Oncology.

Biomedical Reports

Biomedical Reports

Explores a wide range of biological and medical fields, including pharmacology, genetics, microbiology, neuroscience, and molecular cardiology.

Molecular and Clinical Oncology

Molecular and Clinical Oncology

International journal addressing all aspects of oncology research, from tumorigenesis and oncogenes to chemotherapy and metastasis.

World Academy of Sciences Journal

World Academy of Sciences Journal

Multidisciplinary open-access journal spanning biochemistry, genetics, neuroscience, environmental health, and synthetic biology.

International Journal of Functional Nutrition

International Journal of Functional Nutrition

Open-access journal combining biochemistry, pharmacology, immunology, and genetics to advance health through functional nutrition.

International Journal of Epigenetics

International Journal of Epigenetics

Publishes open-access research on using epigenetics to advance understanding and treatment of human disease.

Medicine International

Medicine International

An International Open Access Journal Devoted to General Medicine.

Journal Cover
June-2016 Volume 11 Issue 6

Full Size Image

Sign up for eToc alerts
Recommend to Library

  • Article
  • Citations
    • Cite This Article
    • Download Citation
    • Create Citation Alert
    • Remove Citation Alert
    • Cited By
  • Similar Articles
    • Related Articles (in Spandidos Publications)
    • Similar Articles (Google Scholar)
    • Similar Articles (PubMed)
  • Download PDF
  • Download XML
  • View XML
Article

Retrospective analysis of 140 cases of medullary thyroid carcinoma followed‑up in a single institution

  • Authors:
    • Joana Simões‑Pereira
    • Maria João Bugalho
    • Edward Limbert
    • Valeriano Leite
  • View Affiliations / Copyright

    Affiliations: Department of Endocrinology, Portuguese Institute of Oncology Francisco Gentil, Lisbon 1099‑023, Portugal
  • Pages: 3870-3874
    |
    Published online on: April 20, 2016
       https://doi.org/10.3892/ol.2016.4482
  • Expand metrics +
Metrics: Total Views: 0 (Spandidos Publications: | PMC Statistics: )
Metrics: Total PDF Downloads: 0 (Spandidos Publications: | PMC Statistics: )
Cited By (CrossRef): 0 citations Loading Articles...

This article is mentioned in:



Abstract

Familial cases of medullary thyroid carcinoma (MTC) may be diagnosed by genetic screening, while in sporadic tumors the diagnosis relies mainly on fine‑needle aspiration cytology. The aim of the present study was to determine the demographic, clinical and pathological characteristics of MTC patients followed‑up at the Portuguese Institute of Oncology Francisco Gentil (Lisbon, Portugal). For that purpose, a retrospective analysis of 140 MTC patients diagnosed between 1990 and 2010 was performed. The results indicated that patients with hereditary MTC (11.4%) were significantly younger than patients with sporadic MTC. Of the latter, 34.3% had no clinical suspicion of MTC prior to surgery. The sensitivity of cytology and calcitonin (CT) assay in diagnosing MTC were 51.3 and 98.7%, respectively. All familial index cases and 69.0% of sporadic cases presented with advanced stage disease at the time of diagnosis, while 73.0% of familial MTC detected by genetic/pentagastrin screening were diagnosed at the early stage of the disease. Biochemical cure (BC) was achieved in 39.7% of patients and, of these, only 6.5% relapsed. The 5 and 10‑year survival rates were 79.3 and 73.6%, respectively. Age >45 years (P=0.026), advanced stage at diagnosis (P<0.001) and absence of BC (P<0.001) were predictors of a worse prognosis on univariate analysis. However, when the patients detected by genetic/pentagastrin screening were excluded from the analysis, age was no longer a prognostic factor, although disease stage remained a significant prognostic factor. On multivariate analysis, BC was the only factor with a significant impact on prognosis (P=0.031). In addition, the present study confirmed that the majority of patients were diagnosed at advanced stages, and CT determination was observed to be more sensitive than cytology to diagnose MTC. Patients at early stages were more prone to achieve BC, which was a favorable prognostic factor. To the best of our knowledge, the present study reports for the first time that age at diagnosis is not a predictor of survival for patients with MTC when cases diagnosed by genetic/pentagastrin screening (who are usually young patients at the initial stages of the disease), are excluded from the analysis.

Introduction

Medullary thyroid carcinoma (MTC) accounts for 5–10% of all thyroid cancer cases (1). MTC is a neuroendocrine tumor derived from parafollicular or ‘C’ cells that secrete calcitonin (CT), which is a sensitive serum biomarker, useful for diagnosis of MTC and postoperative follow-up. MTC may be sporadic or familial, either in an isolated form [familial MTC (FMTC)] or as part of multiple endocrine neoplasia (MEN) type 2A or 2B syndromes (2). Familial forms of MTC are associated with mutations in the proto-oncogene rearranged during transfection (RET), which are transmitted by an autosomal dominant mode. Genetic testing enables an early diagnosis among relatives of patients with FMTC. By contrast, the diagnosis of familial index cases and sporadic tumors mainly relies on fine-needle aspiration cytology (FNAC), which has a considerable number of false-negative results that may delay the diagnosis (3). Measurement of serum CT levels in nodular thyroid diseases is not unanimously considered a routine procedure. Surgery is the most effective treatment for these tumors (4,5).

The overall cause specific mortality of these tumors is 13.3–32.6% and 21.6–38.6% at 5 and 10 years, respectively (6). In previously reported cases, the main independent prognostic factors with influence on survival have been age and stage at diagnosis (survival rates at 10 years vary between 100% for patients in stage I and 20% for those diagnosed at stage IV) (7).

The aim of the present study was to determine the demographic, clinical and pathological characteristics of MTC patients followed-up at the Portuguese Institute of Oncology Francisco Gentil (Lisbon, Portugal).

Materials and methods

The medical files of 140 patients with MTC who were diagnosed between 1990 and 2010 were reviewed in the present study. Cases were identified through the Portuguese South Regional Cancer Registry (Lisbon, Portugal) (http://www.ror-sul.org.pt/) and from the database of the Department of Endocrinology of the Portuguese Institute of Oncology Francisco Gentil. This study was approved by the Ethics Committee of our center. Written informed consent was obtained from patients submitted to genetic testing. Inclusion criterion was histological diagnosis of MTC, which was reviewed by pathologists at the Portuguese Institute of Oncology Francisco Gentil in those cases of patients who had been operated at other institutions. Familial cases subjected to prophylactic surgery and reported by the pathologists as C-cell hyperplasia were not included in the study. Screening of familial cases was performed by CT stimulation with pentagastrin until 1994, and by RET mutation analysis thereafter. Calcitonin assay was performed by different methods over the years, from July 1988 to July 2000: ELSA-hCT (CIS bio international, Gif-sur-Yvette, France); solid-phase two-site immunoradiometric assay (IRMA), Reference Interval (RI) <10 pg/ml; from July 2000 to June 2006: IRMA hCT (CIS bio international, Gif-sur-Yvette, France); IRMA, RI<10 pg/ml; from June 2006 to present time: Calcitonin Immulite 2000 (Siemens Healthcare Diagnostics, Llanberis, Gwynedd, United Kingdom); IRMA, RI <8.5 pg/ml. Tumor stages were defined according to the tumor-node-metastasis (TNM) classification (8): Stage I (T1, N0 and M0); stage II (T2, N0 and M0); stage III (T3, N0 and M0 or T1–3, N1a and M0); stage IVA (T4a, any N and M0 or T1-T3, N1b and M0); stage IVB (T4b, any N and M0); and stage IVC (any T, any N and M1). Biochemical cure (BC) following surgery was considered when the CT levels measured at 3–6 months following surgery were lower than the reference values. Recurrence was defined as the reappearance of high levels of CT or locoregional and/or distant metastasis following a period of no evidence of disease. Patients were classified based on their status at the last follow-up as succumbed to MTC, succumbed to other causes, alive without disease, alive with disease (biochemical or locoregional and/or distant metastasis) or not available for follow-up.

Statistical analysis was performed with SPSS version 20.0 (IBM SPSS, Armonk, NY, USA). χ2 test was used to compare categorical variables, while one-way analysis of variance and Tukey's test were used to compare means. Cumulative survival curves were constructed using the Kaplan–Meier method; log rank test was used to evaluate differences in the survival between groups and an adjusted Cox regression model was performed to find the independent prognostic factors with influence on survival. Age was assessed as a categorical variable (≤45 versus >45 years) in this analysis. P<0.05 was considered to indicate a statistically significant difference.

Results

Of the 140 patients enrolled in the study, 87 (62.1%) were diagnosed with MTC at the Portuguese Institute of Oncology Francisco Gentil, whereas the remaining patients were referred to the above hospital following a first surgical intervention performed elsewhere. The average number of patients treated per year was 6.7. In total, 80 (57.1%) patients were females (female:male ratio, 1.3:1.0). Patients with FMTC were significantly younger than patients with sporadic MTC (33±20 vs. 57±15 years, respectively; P<0.05). Among the familial cases, there were 12 MEN type 2A, 1 MEN type 2B and 3 FMTC. Of these patients, 4 were index and 12 were diagnosed by genetic/pentagastrin screening across 7 different families. The genetic profiles and results of early thyroidectomy of the familial cases analyzed in the present study were previously reported by Bugalho et al (9).

The underlying conditions leading to the diagnosis of MTC in patients not detected by screening were: Presence of thyroid nodules in 105 cases; cervical lymph nodes in 12 cases; distant metastases in 2 cases; increased serum CT levels in 2 cases; increased serum carcinoembryonic antigen levels in 1 patient; incidental finding in 1 patient operated for a larynx carcinoma; and in 5 patients the reason was not specified in their clinical files. Neck symptoms were present in 23 cases, while 15 patients complained of diarrhea, 6 of which had distant metastases. A total of 14 patients exhibited distant metastases at diagnosis, 5 of them in the liver, 4 in the lungs, 2 in the bones, 2 in the liver, lungs and bones, and 1 in the liver and bones.

Among the 128 (91.4%) patients not detected by screening, 44 (34.4%) did not exhibit a preoperative suspicion of MTC, since FNAC was either negative for MTC or not requested and serum CT determination was not performed. FNAC and serum CT assay sensitivities were 51.3% and 98.7%, respectively. Patients with a negative FNAC for MTC (58 cases) had cytological findings reported as non-diagnostic in 6 cases, benign in 13 cases and suspicious for a different tumor in 39 cases. In total, 129 (92.1%) patients were subjected to surgery, and total thyroidectomy with cervical lymph node clearance was performed in 72 cases (level VI in 6 of them), while total thyroidectomy was performed in 5 patients and hemithyroidectomy in 6 patients. Of the remaining 11 patients, 7 underwent palliative surgery, while 4 were not operated due to advanced disease. Neck radiotherapy was performed in 21 (15.0%) patients, with a palliative intention in 18 cases and in an adjuvant setting in 3 patients. Of the patients with advanced disease, 9 (6.4%) were treated with classic chemotherapy and/or off-label kinase inhibitors. The histological characteristics of the patients are presented in Table I. Somatic mutations in the RET, Ras and B-Raf genes were evaluated in 53 patients, and the results were previously published by Moura et al (10,11).

Table I.

Histological characteristics of patients with medullary thyroid carcinoma.

Table I.

Histological characteristics of patients with medullary thyroid carcinoma.

Histological characteristicsPatients
Tumor size, cm (mean ± standard deviation)3.6±2.3
Side, %
  Right lobe48
  Left lobe35
  Right and left lobes17
Multifocality, %23
Angioinvasion, %43
Extrathyroidal extension, %44
Lymph node metastasis, %
  Total43
  N1  5
  N1a  5
  N1b90
Associated histological diagnosis
  Total, %33
  Follicular hyperplasia, n19
  C-cell hyperplasia, n10
  Papillary carcinoma, n  4
  Follicular carcinoma, n  3
  Lymphocytic thyroiditis, n  8

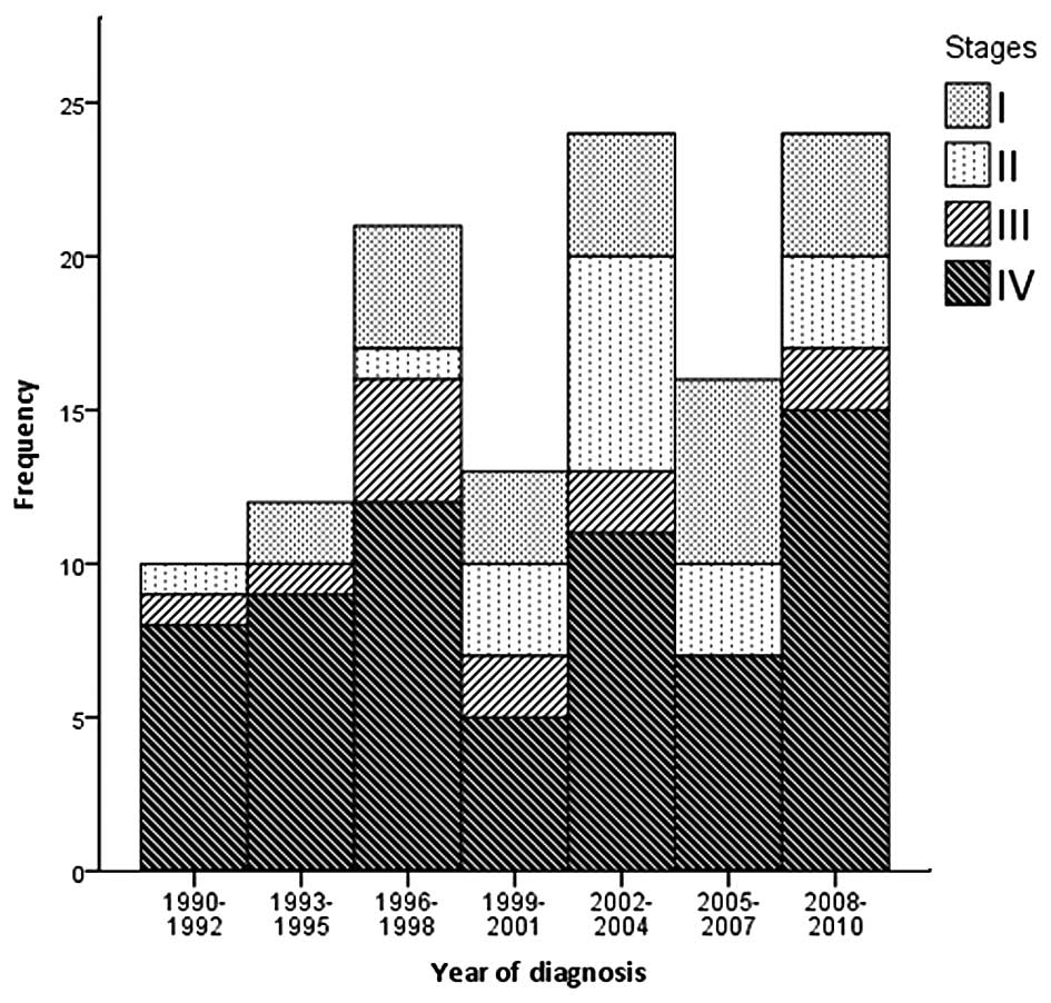
Staging at diagnosis was possible in 120 patients (Fig. 1), and demonstrated that 23 (19.2%) patients were in stage I, 18 (15.0%) in stage II, 12 (10.0%) in stage III and 67 (55.8%) in stage IV (of which, 42 were in stage IVA, 11 in stage IVB and 14 in stage IVC) (P<0.05). The majority of the sporadic cases [72 (68.6%)] and all familial index cases presented with advanced stage (III–IV) whilst 72.7% (8 patients) of familial cases, detected by screening, were diagnosed at early stages of disease (stages I and II) (P=0.008). Among 116 patients with serum CT evaluation following primary surgery, BC was achieved in 46 patients (39.7%). Of these, only 3 patients (6.5%) relapsed, 1 of them with biochemical recurrence and 2 with recurrence in the thyroidectomy surgical bed.

Figure 1.

Stages at diagnosis of medullary thyroid carcinoma along the years.

The median follow-up time was 5 years. At the last follow-up, 32 (22.9%) patients had succumbed to MTC, while 4 (2.9%) had deceased due to other causes, 38 (27.1%) were in remission and 38 (27.1%) were alive with disease. The remaining 28 patients (20.0%) were not available for follow-up. In the group of patients that were alive with disease, biochemical evidence of disease (high serum CT levels) was present in 17 (44.7%) cases, while structural disease (locorregional disease, metastatic cervical lymph nodes or a mass in thyroidectomy surgical bed) was detected in 15 patients (39.5%) and distant metastasis in 6 patients (15.8%).

Survival analysis

The survival rates at 5 and 10 years were 79.3 and 73.6%, respectively, while median survival was not reached. When survival rate was analyzed for tumor stage at diagnosis, only 1 patient in stage II was observed to succumb to MTC, while no patients in stages I or III succumbed to MTC. The survival rates at 5 and 10 years for patients diagnosed with stage IV MTC were 58.6 and 49.0%, respectively. The patient in stage II who succumbed to MTC had been subjected to total thyroidectomy plus unilateral cervical lymph node dissection. His initial TNM staging was T2N0M0, and a RET somatic mutation in codon 918 was also detected in the tumor. Biochemical evidence of disease persisted, and 8 months following surgery, liver and bone metastases were detected. The serum CT levels of the patient during his last follow-up were 97,706 pg/ml. The patient succumbed to disease 4 months later. None of the patients who achieved BC succumbed to MTC, and the survival rates at 5 and 10 years for patients with postoperative hypercalcitoninemia were 71.9 and 62.4%, respectively. Patients detected by genetic screening exhibited a 100.0% survival rate at 5 and 10 years, while sporadic MTC patients exhibited a survival rate at 5 and 10 years of 78.3 and 71.4%, respectively. For familial index cases, the survival rate at 5 and 10 years was 75.0 and 37.5%, respectively.

Univariate analysis was initially performed with the 129 patients who underwent surgery with a curative intent. The following adverse prognostic factors for survival were identified: Age >45 years (P=0.026), advanced stage at diagnosis (P=0.0001) and absence of BC (P=0.00001). When patients detected by genetic/pentagastrin screening were excluded from the analysis, age was no longer a prognostic factor (P=0.077), but stage of disease remained a strong predictor of survival (P<0.001) (Fig. 2). Multivariate analysis, performed with the initial 129 patients, revealed that only the absence of BC (P=0.031; 95% confidence interval, 0.001–0.691) had a negative impact on prognosis.

Figure 2.

Univariate analysis. (A) Biochemical cure following primary surgery was a favorable prognostic factor (P<0.001). (B) Age did not influence survival when patients diagnosed by genetic screening or calcitonin stimulation with pentagastrin were excluded from the analysis (P=0.077).

Discussion

The incidence of MTC among the present patients remained stable throughout the years, although a high proportion of advanced cases was observed, probably due to the absence of routine serum CT determination in the management of thyroid nodules. At diagnosis, MTC was frequently revealed in an advanced stage of disease, as observed by other authors (6,12). A diagnosis of MTC, either in sporadic or in familial index cases, is usually suspected by FNAC and/or by detection of high serum CT levels in patients with thyroid nodules. In the present study, the sensitivities of FNAC and serum CT analysis for the diagnosis of MCT were 51.3 and 98.7%, respectively. Among the patients analyzed in the present study, there was only 1 patient whose levels of preoperative CT (determined at another institution) were below the reference value. Following total thyroidectomy, the CT levels of this patient (measured at the Portuguese Institute of Oncology Francisco Gentil) were elevated, thus ruling out the possibility of a non-secreting tumor. Routine CT determination in thyroid nodules is a controversial issue (2,13). For instance, Elisei et al (3), performed CT determination in 10,864 patients with thyroid nodules, and detected 1 case of MTC in every 250 patients screened. The authors verified that CT determination enabled a diagnosis of MTC at an early stage with 10-year survival rates higher than those observed in MCT cases who were not detected by screening. In the present study, in 67.2% (39/58) of patients with a negative FNAC, the cytological findings were suspicious for carcinoma. Thus, FNAC provided an indication for surgery in ~2/3 of patients with negative-MTC FNAC. However, in the present cohort, 22% of the patients would have not been subjected surgery due to a benign FNAC result. This value was higher than that previously published by the present authors in a smaller cohort (14), which was similar to the value described by Elisei et al (3), but lower than that reported by Papaparaskeva et al (15), whereby FNAC was positive for MTC in 89.0% (81/91) of the cases analyzed.

Of the 140 patients included in the present study, only 11% represented familial cases, which indicates a prevalence significantly lower than that reported by others (6,16–19). However, the present study only included patients with MTC confirmed by histology, which may have underestimated the total number of familial cases. Patients detected by genetic screening were diagnosed at younger ages than sporadic cases, which is in agreement with the literature (6,19,20), and were also diagnosed at earlier stages of the disease (6,19,20), presenting 5 and 10-year survival rates of 100.0%. This underlines the importance of early screening for mutation carriers. It also supports the idea that germline mutations should be investigated in sporadic cases, particularly in those with multifocality or C-cell hyperplasia, since ≤10% of these patients represent hereditary MTC index cases (9,12). In agreement with previous studies (21,22), mutation in the codon 634 in the RET gene was the most prevalent among the present cohort. In previous studies published by the present authors (10,11), it was demonstrated that patients with 918 and 883 somatic mutations were associated with aggressive disease and higher number of lymph nodes metastases, higher percentage of multifocality, persistent hypercalcitoninemia following surgery and more advanced stages of disease at presentation than those with other RET mutations. Patients with Ras mutations exhibited an intermediate behavior between these two groups. Therefore, these results suggest that analyzing tumor DNA for RET and Ras mutations may be important, since their impact in patient prognosis may differ.

Specific survival at 5 and 10 years in the present cohort was 79.3 and 73.6%, respectively, which was similar to previous reports (16,19,20,22,23). Another possible adverse prognostic factor identified in the present study was age >45 years. However, when patients detected by genetic/pentagastrin screening were omitted in the univariate analysis, age was no longer a prognostic factor for survival, contrarily to disease stage, which remained a significant factor. This is due to the fact that patients detected by genetic screening were significantly younger than index or sporadic cases and exhibited a survival rate at 5 and 10 years of 100.0%. Therefore, the influence of age on prognosis should be carefully assessed in cohorts with a high number of hereditary MTC cases, such as those available in the literature (4,6). This is important considering that there are certain studies (6) who defend that age should be considered in the staging of MTCs, as it happens in thyroid cancer of the follicular epithelium.

In the present study, postoperative CT was the only prognostic factor observed to exert a significant impact on survival, as previously described by other authors (20). In fact, of the 40.0% of patients who achieved BC following the first surgical procedure, only 3 patients (6.5%) relapsed. Therefore, complete resection should be performed, if feasible.

The present cohort consisted of a considerable number of MTC patients followed-up in a single institution (and therefore, with uniform criteria for collecting data) and with a median follow-up time similar to other published studies (6,16). However, the current study presents certain limitations: i) It is a retrospective analysis that included patients referred from other institutions; thus, it was not possible to retrieve certain information for these patients. In addition, the surgical protocols for these patients may have varied across institutions, which may have influenced the results in terms of cure, survival and recurrence; ii) since the studied period was long, it is likely that the surgical protocols varied for each tumor stage over the years.

In conclusion, the present study confirms that the majority of MTCs are detected in advanced stages of disease, and that CT determination is more sensitive than FNAC in the diagnosis of these types of carcinoma. Furthermore, the present study demonstrated that the annual incidence of these tumors has remained stable for the past two decades, contrarily to the ‘epidemic’ increase that has been observed for papillary thyroid carcinomas. Once subjected to primary surgery treatment, if BC is achieved, relapse of MTC is rarely observed. To the best of our knowledge, the present study is the first to report that age is only capable of acting as a potential prognostic factor if patients detected by genetic screening are considered in the analysis, since these patients are usually diagnosed earlier and at initial stages of the disease.

References

1 

Hundahl SA, Fleming ID, Fremgen AM and Menck HR: A National Cancer Data Base report on 53,856 cases of thyroid carcinoma treated in the U.S., 1985–1995. Cancer. 83:2638–2648. 1998. View Article : Google Scholar : PubMed/NCBI

2 

Kloos RT, Eng C, Evans DB, Francis GL, Gagel RF, Gharib H, Moley JF, Pacini F, Ringel MD, Schlumberger M and Wells SA Jr: American Thyroid Association Guidelines Task Force: Medullary thyroid cancer: Management guidelines of the American Thyroid Association. Thyroid. 19:565–612. 2009. View Article : Google Scholar : PubMed/NCBI

3 

Elisei R, Bottici V, Luchetti F, Di Coscio G, Romei C, Grasso L, Miccoli P, Iacconi P, Basolo F, Pinchera A and Pacini F: Impact of routine measurement of serum calcitonin on the diagnosis and outcome of medullary thyroid cancer: Experience in 10,864 patients with nodular thyroid disorders. J Clin Endocrinol Metab. 89:163–168. 2004. View Article : Google Scholar : PubMed/NCBI

4 

Evans DB, Fleming JB, Lee JE, Cote G and Gagel RF: The surgical treatment of medullary thyroid carcinoma. Semin Surg Oncol. 16:50–63. 1999. View Article : Google Scholar : PubMed/NCBI

5 

Fleming JB, Lee JE, Bouvet M, Schultz PN, Sherman SI, Sellin RV, Friend KE, Burgess MA, Cote GJ, Gagel RF and Evans DB: Surgical strategy for the treatment of medullary thyroid carcinoma. Ann Surg. 230:697–707. 1999. View Article : Google Scholar : PubMed/NCBI

6 

Kebebew E, Ituarte PH, Siperstein AE, Duh QY and Clark OH: Medullary thyroid carcinoma: Clinical characteristics, treatment, prognostic factors, and a comparison of staging systems. Cancer. 88:1139–1148. 2000. View Article : Google Scholar : PubMed/NCBI

7 

Leboulleux S, Baudin E, Travagli JP and Schlumberger M: Medullary thyroid carcinoma. Clin Endocrinol (Oxf). 61:299–310. 2004. View Article : Google Scholar : PubMed/NCBI

8 

Greene FL, Page DL, Fleming ID, Fritz A and Balch DM: AJCC Cancer Staging Manual (6th). Springer Verlag. Chicago: 2003.

9 

Bugalho MJ, Domingues R, Santos JR, Catarino AL and Sobrinho L: Mutation analysis of the RET proto-oncogene and early thyroidectomy: Results of a Portuguese cancer centre. Surgery. 141:90–95. 2007. View Article : Google Scholar : PubMed/NCBI

10 

Moura MM, Cavaco BM, Pinto AE, Domingues R, Santos JR, Cid MO, Bugalho MJ and Leite V: Correlation of RET somatic mutations with clinicopathological features in sporadic medullary thyroid carcinomas. Br J Cancer. 100:1777–1783. 2009. View Article : Google Scholar : PubMed/NCBI

11 

Moura MM, Cavaco BM, Pinto AE and Leite V: High prevalence of RAS mutations in RET-negative sporadic medullary thyroid carcinomas. J Clin Endocrinol Metab. 96:E863–E868. 2011. View Article : Google Scholar : PubMed/NCBI

12 

Marsh DJ, Learoyd DL and Robinson BG: Medullary thyroid carcinoma: Recent advances and management update. Thyroid. 5:407–424. 1995. View Article : Google Scholar : PubMed/NCBI

13 

Gharib H, Papini E, Paschke R, Duick DS, Valcavi R, Hegedüs L and Vitti P: AACE/AME/ETA Task Force on Thyroid Nodules: American Association of Clinical Endocrinologists, Associazione Medici Endocrinologi, and European Thyroid Association medical guidelines for clinical practice for the diagnosis and management of thyroid nodules: Executive summary of recommendations. J Endocrinol Invest. 33(Suppl 5): S51–S56. 2010.

14 

Bugalho MJ, Santos JR and Sobrinho L: Preoperative diagnosis of medullary thyroid carcinoma: Fine needle aspiration cytology as compared with serum calcitonin measurement. J Surg Oncol. 91:56–60. 2005. View Article : Google Scholar : PubMed/NCBI

15 

Papaparaskeva K, Nagel H and Droese M: Cytologic diagnosis of medullary carcinoma of the thyroid gland. Diagn Cytopathol. 22:351–358. 2000. View Article : Google Scholar : PubMed/NCBI

16 

Cupisti K, Wolf A, Raffel A, Schott M, Miersch D, Yang Q, Eisenberger CF, Röher HD and Knoefel WT: Long-term clinical and biochemical follow-up in medullary thyroid carcinoma: A single institution's experience over 20 years. Ann Surg. 246:815–821. 2007. View Article : Google Scholar : PubMed/NCBI

17 

Wells SA Jr and Franz C: Medullary carcinoma of the thyroid gland. World J Surg. 24:952–956. 2000. View Article : Google Scholar : PubMed/NCBI

18 

Kameyama K and Takami H: Medullary thyroid carcinoma: Nationwide Japanese survey of 634 cases in 1996 and 271 cases in 2002. Endocr J. 51:453–456. 2004. View Article : Google Scholar : PubMed/NCBI

19 

Modigliani E, Cohen R, Campos JM, Conte-Devolx B, Maes B, Boneu A, Schlumberger M, Bigorgne JC, Dumontier P, Leclerc L, et al: Prognostic factors for survival and for biochemical cure in medullary thyroid carcinoma: Results in 899 patients. The GETC Study Group. Groupe d'etude des tumeurs à calcitonine. Clin Endocrinol (Oxf). 48:265–273. 1998. View Article : Google Scholar : PubMed/NCBI

20 

Grozinsky-Glasberg S, Benbassat CA, Tsvetov G, Feinmesser R, Peretz H, Shimon I and Lapidot M: Medullary thyroid cancer: A retrospective analysis of a cohort treated at a single tertiary care center between 1970 and 2005. Thyroid. 17:549–556. 2007. View Article : Google Scholar : PubMed/NCBI

21 

Rohmer V, Vidal-Trecan G, Bourdelot A, Niccoli P, Murat A, Wemeau JL, Borson-Chazot F, Schvartz C, Tabarin A, Chabre O, et al: Groupe Français des Tumeurs Endocrines: Prognostic factors of disease-free survival after thyroidectomy in 170 young patients with a RET germline mutation: A multicenter study of the Groupe Français d'Etude des Tumeurs Endocrines. J Clin Endocrinol Metab. 96:E509–E518. 2011. View Article : Google Scholar : PubMed/NCBI

22 

Frank-Raue K, Buhr H, Dralle H, Klar E, Senninger N, Weber T, Rondot S, Höppner W and Raue F: Long-term outcome in 46 gene carriers of hereditary medullary thyroid carcinoma after prophylactic thyroidectomy: Impact of individual RET genotype. Eur J Endocrinol. 155:229–236. 2006. View Article : Google Scholar : PubMed/NCBI

23 

Dottorini ME, Assi A, Sironi M, Sangalli G, Spreafico G and Colombo L: Multivariate analysis of patients with medullary thyroid carcinoma. Prognostic significance and impact on treatment of clinical and pathologic variables. Cancer. 77:1556–1565. 1996. View Article : Google Scholar : PubMed/NCBI

Related Articles

  • Abstract
  • View
  • Download
  • Twitter
Copy and paste a formatted citation
Spandidos Publications style
Simões‑Pereira J, Bugalho MJ, Limbert E and Leite V: Retrospective analysis of 140 cases of medullary thyroid carcinoma followed‑up in a single institution. Oncol Lett 11: 3870-3874, 2016.
APA
Simões‑Pereira, J., Bugalho, M.J., Limbert, E., & Leite, V. (2016). Retrospective analysis of 140 cases of medullary thyroid carcinoma followed‑up in a single institution. Oncology Letters, 11, 3870-3874. https://doi.org/10.3892/ol.2016.4482
MLA
Simões‑Pereira, J., Bugalho, M. J., Limbert, E., Leite, V."Retrospective analysis of 140 cases of medullary thyroid carcinoma followed‑up in a single institution". Oncology Letters 11.6 (2016): 3870-3874.
Chicago
Simões‑Pereira, J., Bugalho, M. J., Limbert, E., Leite, V."Retrospective analysis of 140 cases of medullary thyroid carcinoma followed‑up in a single institution". Oncology Letters 11, no. 6 (2016): 3870-3874. https://doi.org/10.3892/ol.2016.4482
Copy and paste a formatted citation
x
Spandidos Publications style
Simões‑Pereira J, Bugalho MJ, Limbert E and Leite V: Retrospective analysis of 140 cases of medullary thyroid carcinoma followed‑up in a single institution. Oncol Lett 11: 3870-3874, 2016.
APA
Simões‑Pereira, J., Bugalho, M.J., Limbert, E., & Leite, V. (2016). Retrospective analysis of 140 cases of medullary thyroid carcinoma followed‑up in a single institution. Oncology Letters, 11, 3870-3874. https://doi.org/10.3892/ol.2016.4482
MLA
Simões‑Pereira, J., Bugalho, M. J., Limbert, E., Leite, V."Retrospective analysis of 140 cases of medullary thyroid carcinoma followed‑up in a single institution". Oncology Letters 11.6 (2016): 3870-3874.
Chicago
Simões‑Pereira, J., Bugalho, M. J., Limbert, E., Leite, V."Retrospective analysis of 140 cases of medullary thyroid carcinoma followed‑up in a single institution". Oncology Letters 11, no. 6 (2016): 3870-3874. https://doi.org/10.3892/ol.2016.4482
Follow us
  • Twitter
  • LinkedIn
  • Facebook
About
  • Spandidos Publications
  • Careers
  • Cookie Policy
  • Privacy Policy
How can we help?
  • Help
  • Live Chat
  • Contact
  • Email to our Support Team