Spandidos Publications Logo
  • About
    • About Spandidos
    • Aims and Scopes
    • Abstracting and Indexing
    • Editorial Policies
    • Reprints and Permissions
    • Job Opportunities
    • Terms and Conditions
    • Contact
  • Journals
    • All Journals
    • Oncology Letters
      • Oncology Letters
      • Information for Authors
      • Editorial Policies
      • Editorial Board
      • Aims and Scope
      • Abstracting and Indexing
      • Bibliographic Information
      • Archive
    • International Journal of Oncology
      • International Journal of Oncology
      • Information for Authors
      • Editorial Policies
      • Editorial Board
      • Aims and Scope
      • Abstracting and Indexing
      • Bibliographic Information
      • Archive
    • Molecular and Clinical Oncology
      • Molecular and Clinical Oncology
      • Information for Authors
      • Editorial Policies
      • Editorial Board
      • Aims and Scope
      • Abstracting and Indexing
      • Bibliographic Information
      • Archive
    • Experimental and Therapeutic Medicine
      • Experimental and Therapeutic Medicine
      • Information for Authors
      • Editorial Policies
      • Editorial Board
      • Aims and Scope
      • Abstracting and Indexing
      • Bibliographic Information
      • Archive
    • International Journal of Molecular Medicine
      • International Journal of Molecular Medicine
      • Information for Authors
      • Editorial Policies
      • Editorial Board
      • Aims and Scope
      • Abstracting and Indexing
      • Bibliographic Information
      • Archive
    • Biomedical Reports
      • Biomedical Reports
      • Information for Authors
      • Editorial Policies
      • Editorial Board
      • Aims and Scope
      • Abstracting and Indexing
      • Bibliographic Information
      • Archive
    • Oncology Reports
      • Oncology Reports
      • Information for Authors
      • Editorial Policies
      • Editorial Board
      • Aims and Scope
      • Abstracting and Indexing
      • Bibliographic Information
      • Archive
    • Molecular Medicine Reports
      • Molecular Medicine Reports
      • Information for Authors
      • Editorial Policies
      • Editorial Board
      • Aims and Scope
      • Abstracting and Indexing
      • Bibliographic Information
      • Archive
    • World Academy of Sciences Journal
      • World Academy of Sciences Journal
      • Information for Authors
      • Editorial Policies
      • Editorial Board
      • Aims and Scope
      • Abstracting and Indexing
      • Bibliographic Information
      • Archive
    • International Journal of Functional Nutrition
      • International Journal of Functional Nutrition
      • Information for Authors
      • Editorial Policies
      • Editorial Board
      • Aims and Scope
      • Abstracting and Indexing
      • Bibliographic Information
      • Archive
    • International Journal of Epigenetics
      • International Journal of Epigenetics
      • Information for Authors
      • Editorial Policies
      • Editorial Board
      • Aims and Scope
      • Abstracting and Indexing
      • Bibliographic Information
      • Archive
    • Medicine International
      • Medicine International
      • Information for Authors
      • Editorial Policies
      • Editorial Board
      • Aims and Scope
      • Abstracting and Indexing
      • Bibliographic Information
      • Archive
  • Articles
  • Information
    • Information for Authors
    • Information for Reviewers
    • Information for Librarians
    • Information for Advertisers
    • Conferences
  • Language Editing
Spandidos Publications Logo
  • About
    • About Spandidos
    • Aims and Scopes
    • Abstracting and Indexing
    • Editorial Policies
    • Reprints and Permissions
    • Job Opportunities
    • Terms and Conditions
    • Contact
  • Journals
    • All Journals
    • Biomedical Reports
      • Information for Authors
      • Editorial Policies
      • Editorial Board
      • Aims and Scope
      • Abstracting and Indexing
      • Bibliographic Information
      • Archive
    • Experimental and Therapeutic Medicine
      • Information for Authors
      • Editorial Policies
      • Editorial Board
      • Aims and Scope
      • Abstracting and Indexing
      • Bibliographic Information
      • Archive
    • International Journal of Epigenetics
      • Information for Authors
      • Editorial Policies
      • Editorial Board
      • Aims and Scope
      • Abstracting and Indexing
      • Bibliographic Information
      • Archive
    • International Journal of Functional Nutrition
      • Information for Authors
      • Editorial Policies
      • Editorial Board
      • Aims and Scope
      • Abstracting and Indexing
      • Bibliographic Information
      • Archive
    • International Journal of Molecular Medicine
      • Information for Authors
      • Editorial Policies
      • Editorial Board
      • Aims and Scope
      • Abstracting and Indexing
      • Bibliographic Information
      • Archive
    • International Journal of Oncology
      • Information for Authors
      • Editorial Policies
      • Editorial Board
      • Aims and Scope
      • Abstracting and Indexing
      • Bibliographic Information
      • Archive
    • Medicine International
      • Information for Authors
      • Editorial Policies
      • Editorial Board
      • Aims and Scope
      • Abstracting and Indexing
      • Bibliographic Information
      • Archive
    • Molecular and Clinical Oncology
      • Information for Authors
      • Editorial Policies
      • Editorial Board
      • Aims and Scope
      • Abstracting and Indexing
      • Bibliographic Information
      • Archive
    • Molecular Medicine Reports
      • Information for Authors
      • Editorial Policies
      • Editorial Board
      • Aims and Scope
      • Abstracting and Indexing
      • Bibliographic Information
      • Archive
    • Oncology Letters
      • Information for Authors
      • Editorial Policies
      • Editorial Board
      • Aims and Scope
      • Abstracting and Indexing
      • Bibliographic Information
      • Archive
    • Oncology Reports
      • Information for Authors
      • Editorial Policies
      • Editorial Board
      • Aims and Scope
      • Abstracting and Indexing
      • Bibliographic Information
      • Archive
    • World Academy of Sciences Journal
      • Information for Authors
      • Editorial Policies
      • Editorial Board
      • Aims and Scope
      • Abstracting and Indexing
      • Bibliographic Information
      • Archive
  • Articles
  • Information
    • For Authors
    • For Reviewers
    • For Librarians
    • For Advertisers
    • Conferences
  • Language Editing
Login Register Submit
  • This site uses cookies
  • You can change your cookie settings at any time by following the instructions in our Cookie Policy. To find out more, you may read our Privacy Policy.

    I agree
Search articles by DOI, keyword, author or affiliation
Search
Advanced Search
presentation
Oncology Letters
Join Editorial Board Propose a Special Issue
Print ISSN: 1792-1074 Online ISSN: 1792-1082
Journal Cover
October-2017 Volume 14 Issue 4

Full Size Image

Sign up for eToc alerts
Recommend to Library

Journals

International Journal of Molecular Medicine

International Journal of Molecular Medicine

International Journal of Molecular Medicine is an international journal devoted to molecular mechanisms of human disease.

International Journal of Oncology

International Journal of Oncology

International Journal of Oncology is an international journal devoted to oncology research and cancer treatment.

Molecular Medicine Reports

Molecular Medicine Reports

Covers molecular medicine topics such as pharmacology, pathology, genetics, neuroscience, infectious diseases, molecular cardiology, and molecular surgery.

Oncology Reports

Oncology Reports

Oncology Reports is an international journal devoted to fundamental and applied research in Oncology.

Experimental and Therapeutic Medicine

Experimental and Therapeutic Medicine

Experimental and Therapeutic Medicine is an international journal devoted to laboratory and clinical medicine.

Oncology Letters

Oncology Letters

Oncology Letters is an international journal devoted to Experimental and Clinical Oncology.

Biomedical Reports

Biomedical Reports

Explores a wide range of biological and medical fields, including pharmacology, genetics, microbiology, neuroscience, and molecular cardiology.

Molecular and Clinical Oncology

Molecular and Clinical Oncology

International journal addressing all aspects of oncology research, from tumorigenesis and oncogenes to chemotherapy and metastasis.

World Academy of Sciences Journal

World Academy of Sciences Journal

Multidisciplinary open-access journal spanning biochemistry, genetics, neuroscience, environmental health, and synthetic biology.

International Journal of Functional Nutrition

International Journal of Functional Nutrition

Open-access journal combining biochemistry, pharmacology, immunology, and genetics to advance health through functional nutrition.

International Journal of Epigenetics

International Journal of Epigenetics

Publishes open-access research on using epigenetics to advance understanding and treatment of human disease.

Medicine International

Medicine International

An International Open Access Journal Devoted to General Medicine.

Journal Cover
October-2017 Volume 14 Issue 4

Full Size Image

Sign up for eToc alerts
Recommend to Library

  • Article
  • Citations
    • Cite This Article
    • Download Citation
    • Create Citation Alert
    • Remove Citation Alert
    • Cited By
  • Similar Articles
    • Related Articles (in Spandidos Publications)
    • Similar Articles (Google Scholar)
    • Similar Articles (PubMed)
  • Download PDF
  • Download XML
  • View XML
Article

Pregnancy promotes pituitary tumors by increasing the rate of the cell cycle

  • Authors:
    • Changjiang Yin
    • Xiaoxia Qi
  • View Affiliations / Copyright

    Affiliations: Department of Neurosurgery, Shandong Traffic Hospital, Jinan, Shandong 250031, P.R. China, Department of Obstetrics and Gynecology, Maternal and Child Health Care of Shandong, Jinan, Shandong 250031, P.R. China
  • Pages: 4873-4877
    |
    Published online on: August 16, 2017
       https://doi.org/10.3892/ol.2017.6756
  • Expand metrics +
Metrics: Total Views: 0 (Spandidos Publications: | PMC Statistics: )
Metrics: Total PDF Downloads: 0 (Spandidos Publications: | PMC Statistics: )
Cited By (CrossRef): 0 citations Loading Articles...

This article is mentioned in:



Abstract

Pituitary tumors may secrete hormones that affect pregnancy. Pregnancy also induces pituitary tumor growth; however, how pregnancy increases the growth of pituitary tumors remains unclear. The present study investigated pregnant female mice with subcutaneous pituitary tumors. The time of tumor occurrence and tumor weight were detected in pregnant and control mice. Tumor weights were measured at the end of the experiment. Blood was collected from pregnant and control mice. Brain‑derived neurotrophic factor (BDNF) levels in the blood were detected using an ELISA kit. The in vitro effects of BDNF on pituitary tumor AtT‑20 cell proliferation and cell cycle were investigated. It was revealed that pregnancy promoted the growth of pituitary tumors. In comparison to non‑pregnant mice, the pregnant mice exhibited increased BDNF levels in the blood. In vitro BDNF treatment was able to increase the rate of proliferation of pituitary tumor cells. Additional cell cycle analysis revealed that BDNF was able to alter the cell cycle distribution of pituitary tumor cells. These results indicated that pregnancy was able to increase the BDNF level and promote the growth of pituitary tumor cells by increasing the rate of the cell cycle, leading to increased tumor growth rate in vivo. The present study provides insights into how pregnancy affects the growth of pituitary tumors. Therefore, it may be beneficial to perform pituitary tumor diagnosis or therapy on pregnant patients.

Introduction

Pituitary tumors are primarily adenomas and occur in the pituitary gland (1). They consist of three categories, according to their biological functions: Benign tumors, invasive tumors and carcinomas (2). Pituitary carcinomas are the malignant tumor type, occurring in only 0.1–0.2% of pituitary tumor cases (3). Pituitary carcinomas are only diagnosed when metastasis inside or outside the nervous system is observed (1). Since the pituitary gland is close to the brain, invasive pituitary adenomas may invade the cranial bone and lead to side effects (4). They may induce increased intracranial pressure and various types of headache (5,6).

Pituitary tumors are divided into secreting and non-secreting tumors, with the majority of tumors being the secreting type (7). They produce abundant amounts of hormones, and hormone secretion may cause several forms of hyperpituitarism (8). In pregnant females, excessive hormone secretion may induce maternal or fetal morbidity (9). Surveillance for tumor growth and hormone levels in the blood of pregnant patients aids the fetus to grow healthily and be successfully delivered (10).

For these pregnant females with pituitary tumors, pituitary tumors may secrete hormones to affect the health of the mother and fetus; furthermore, pregnancy may also promote tumor growth (11). Pregnant individuals secrete various types of hormone, including progesterone and human placental lactogen (12), which may promote tumor growth (13,14). Surveillance for tumor size is also essential for tumor growth itself, as pregnancy may promote pituitary tumor progression (11). However, how pregnancy affects pituitary tumor growth remains unclear. It has been shown that brain-derived neurotrophic factor (BDNF) is detected at an increased level in pregnant females compared with non-pregnant females (15). BDNF is associated with lung cancer prognosis (16). However, to the best of our knowledge, it has not yet been reported whether BDNF is involved in the effect that pregnancy exhibits in inducing pituitary tumor cell growth. The present study established pregnant mouse models. The time of tumor occurrence and tumor weight were determined, and the BDNF levels in the pregnant or control mice were measured. In addition, the effect of BDNF on the proliferation of pituitary tumor cells was investigated. How BDNF affects the growth of tumor cells growth was investigated using cell cycle distribution analysis. The results of the present study revealed whether pregnancy promoted pituitary tumor growth in the mouse model, and identified the underlying molecular mechanism of how pregnancy affects pituitary tumor growth. The results of the present study indicate that it may be beneficial to monitor the effect of pregnancy on pituitary tumors and therapy of pituitary tumors.

Materials and methods

Animal experiments

A total of 16 female nude mice at 8 weeks-old were purchased from Shanghai Laboratory Animal Center (Shanghai, China). All the mice are kept in Specific-pathogen-free (SPF) animal facility and fed with sterilized food and water. The average weight of the mice was 30 g. All the mice were randomly separated into 2 groups with 8 mice in each group and numbered with identifiers. Each mouse was subcutaneously injected with 5×106 AtT-20 cells. After 7 days, one group of mice was mated with male mice, whereas the other group were raised in the same conditions as the pregnant mice (SPF animal facility and fed with sterilized food and water). The female mice were checked whether with pessaries in the morning to indicate its possibility of pregnancy, and mice with pessaries were selected for subsequent experiments. The pregnancy of the female mice was checked at 14 days post-mating. A total of 17 female mice were used for mating, and 8 pregnant mice were finally used in the pregnant group, and 8 female mice that were unmated were used as control. The occurrence of the tumors was checked every 3 days post-tumor cell injection. The mice were euthanized 28 days after the tumor injection. The tumors were isolated and weighed. The orbital blood of mice was collected at day 14 for ELISA assay. All the animal experiments were approved by the Institutional Animal Board of Shandong Traffic Hospital (Shandong, China) and performed following the US Public Health Service Policy on Humane Care and the Use of Laboratory Animals (17).

Determination of BDNF levels

The BDNF level in mice serum was detected using the BDNF ELISA kit (R&D Systems, Inc., Minneapolis, MN, USA; cat. no. DBNT00), containing horseradish peroxidase-conjugated detection antibody, and dilution and wash buffers, according to the manufacturer's protocol. The blood samples and standard proteins were prepared prior to the experiment (18). Assay diluent (100 µl) was added to each well of the 96-well plates, followed by addition of 50 µl blood samples from pregnant mice or non-pregnant mice and incubation at room temperature for 2 h. A total of 100 µl detection antibody diluted in the reagent diluent was added into each well and incubated at room temperature for 1 h. The 100 µl aliquots of the working dilution of Streptavidin-HRP were incubated at room temperature for 20 min following antibody incubation and washed 3 times with wash buffer. Subsequently, substrate solution was added for 30 min at room temperature in the dark, followed by termination with stop solution from the ELISA kit (R&D Systems, Inc.). Absorbance at 450 nm was evaluated and calculated based on the standard curve.

Cell culture

Mouse pituitary tumor AtT-20 cells were purchased from the Cell Bank of Shanghai Institutes for Biological Sciences (Shanghai, China). The cells were maintained in RPMI-1640 medium (Thermo Fisher Scientific, Inc., Waltham, MA) with 10% fetal bovine serum (Thermo Fisher Scientific, Inc.), supplemented with 100 µg/ml streptomycin and 100 U/ml penicillin. The cells were split at a ratio of 1:3 once they reached 90–100% confluence and cultured at 37°C in a humid atmosphere with 5% CO2.

Detection of cell proliferation

The AtT-20 cells were trypsinized and split into 96-well dishes at 3×103 cells/well. The cells were treated with 50 ng/ml BDNF. The cells were maintained at 37°C for 2, 4 and 6 days, respectively. Cell viability was measured at indicated days (2, 4 and 6 days) by the Cell Counting kit-8 assay (CCK-8; Beyotime Institute of Biotechnology, Haimen, China), according to the manufacturer's protocol. CCK-8 reaction reagent (10 µl) was directly added to each well. The cells were incubated for 4 h at 37°C. The cell viability was measured at 450 nm. The proliferation curve was constructed with the absorbance of cells at day 0 as control.

Cell cycle detection

The AtT-20 cells were split into 6-well dishes at 3×105 cells/well. The cells were treated with 50 ng/ml BDNF at 37°C for 2 days. After 2 days of treatment, the cell cultures were trypsinized into single cell suspensions and fixed with 70% ethanol at 4°C for 30 min. The cells were centrifuged at 300 × g at room temperature for 5 min and washed with PBS three times. The cells were then incubated with 50 µg/ml RNaseA (Sigma-Aldrich; Merck KGaA) in a water bath at 37°C for 30 min and stained with 50 µg/ml propidium iodide (Sigma-Aldrich; Merck KGaA) at room temperature in the dark for 30 min. The cells were filtered and subjected to flow cytometry for cell cycle detection. The samples were detected using LSR II (BD Biosciences, Franklin Lakes, NJ, USA) and analyzed using FlowJo software version 8 (Tree Star, Inc., Ashland, OR, USA).

Statistical analysis

All the data are presented as the mean ± standard deviation (SD) or the mean ± SD. Independent experiments were performed three times. Comparisons between groups were analyzed using Student's t-test and R software version 3.2.2 (https://www.r-project.org/). P<0.05 was considered to indicate a statistically significant difference between groups.

Results

Pregnancy promotes AtT20 cell tumor growth

To test whether pregnancy promotes the progression of pituitary tumors, pituitary tumor AtT-20 cells were subcutaneously injected into 8 mice in each group and the mice were mated 7 days later. The pregnancy of mice was verified 14 days after mating and the tumors were collected 28 days post-tumor cell injection (Fig. 1A). Pregnancy was found to promote tumor growth in nude mice. Tumor occurrence in pregnant mice was earlier compared with the control mice (Table I). The tumors grew larger in the pregnant mice compared with mice that were unmated (Fig. 1B).

Figure 1.

Pregnancy promotes AtT-20 cell tumor growth. (A) Schematic diagram of time points of tumor injection, mating and tumor collection. (B) Weight of subcutaneous tumors in pregnant mice and control mice. **P<0.01.

Table I.

Time of tumor occurrence.

Table I.

Time of tumor occurrence.

Time, daysControl group, nPregnant group, n
  70/80/8
100/80/8
142/86/8
176/88/8
218/88/8
248/88/8
288/88/8
BDNF production is increased in pregnant nude mice

To check whether the pregnant mice exhibited an increased level of BDNF, the BDNF level in serum was determined using an ELISA kit. It was identified that pregnant mice exhibited increased levels of BDNF compared with the control mice (Fig. 2).

Figure 2.

BDNF production is increased in pregnant nude mice. Levels of BDNF in pregnant mice and control mice were measured. *P<0.05. BDNF, brain-derived neurotrophic factor. Pg, picogram.

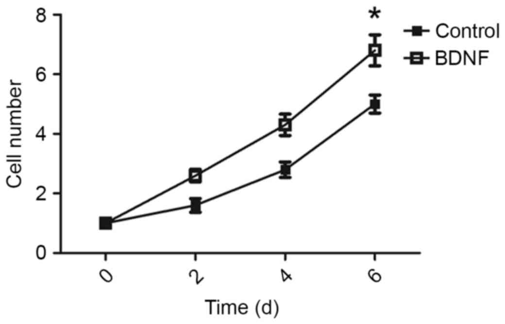
BDNF promotes AtT-20 cell growth

To test whether BDNF was able to promote tumor growth, BDNF levels of AtT-20 cells were analyzed in vitro. The AtT-20 cells were treated with or without BDNF, and cell viability was determined at 2, 4 and 6 days following BDNF treatment. BDNF increased the proliferation rate of AtT-20 cells (Fig. 3).

Figure 3.

BDNF promotes AtT-20 cell growth. Cell viability of AtT-20 cells with or without BDNF treatment was measured at the indicated days. *P<0.05. BDNF, brain-derived neurotrophic factor; d, days.

BDNF alters AtT20 cell cycle distribution

To elucidate how BDNF regulated AtT-20 cell growth, the cell cycle of AtT-20 cells was examined. It was identified that BDNF treatment was able to alter the cell cycle distribution of AtT-20 cells. Decreased G0/G1 phase cells were present in BDNF-treated cells (Fig. 4). As cells in the G0 phase are quiescent cells (19), BDNF treatment may promote quiescent AtT-20 cells entering the cell cycle and proliferating. BDNF treatment increases the rate of the cell cycle.

Figure 4.

BDNF alters cell cycle distribution of AtT-20. (A) Cell cycle distribution of AtT-20 cells with or without BDNF treatment. (B) Quantification of cells in G0/G1 phase, S phase and G2/M phase. *P<0.05; **P<0.01. BDNF, brain-derived neurotrophic factor.

Discussion

Pituitary tumors are primarily benign tumors, and rarely metastasize to other organs (4). Only 0.1–0.2% are classified as carcinomas (1). Pituitary tumors originate from the pituitary gland (1). The majority of pituitary tumors secrete excessive hormones (11). The increased level of hormones may have certain side effects on the patients, particularly for pregnant females (11).

Not only pituitary tumors secrete hormones; pregnancy may also promote the secretion of an abundance of hormones (13). Pituitary tumors are hormone-secreting tumors, and they are also affected by the secreted hormones from pregnancy. Pituitary tumors are disordered by pregnancy (20,21). However, how pregnancy affects pituitary tumor growth is not well investigated.

BDNF has been reported to be associated with pregnancy (22). Increased levels of BDNF have been identified in the blood of pregnant females (9). To identify whether BDNF is the reason that pregnancy promotes pituitary tumor growth, a mouse model was established in the present study. Subcutaneous xenograft was established on the nude female mice with pituitary tumor AtT-20 cells. The female mice were mated with male mice, and the tumor occurrence time, tumor weight and BDNF level in the blood were detected. Increased levels of BDNF were identified in pregnant mice compared with in the control mice (Fig. 2). Tumors occurred earlier in pregnant mice compared with the control mice (Table I). In comparison with the control mice, the tumors grew faster in the pregnant mice and larger tumors had developed at the end of the experiment (Fig. 1). This indicated that BDNF may be associated with promoting pituitary tumor growth. To confirm this hypothesis, the AtT-20 cells were treated with BDNF in vitro and the proliferation rate of the cells was measured. Increased proliferation ability was identified in the BDNF-treated cells (Fig. 3). As proliferation is markedly associated with cell cycle (23), to elucidate how BDNF affects the proliferation rate of AtT-20 cells, the cell cycle distribution of BDNF-treated cells and control cells was detected. BDNF altered the cell cycle distribution of AtT-20 cells. A decreased ratio of G0/G1 cells and increased number of S phase cells were identified in the experiments (Fig. 4). Cells at the G0 phase are in a state of quiescence (19). BDNF decreased this subpopulation and increased the number of cells in the S phase. This indicated that quiescent cells were driven by BDNF into entering the cell cycle. Following BDNF treatment, more cells were proliferated. This may lead to earlier occurrence of tumors and larger tumors in the mice.

In the present study, BDNF was identified to alter the cell cycle distribution of AtT-20 cells. The number of quiescent cells were decreased by BDNF treatment. Quiescence is associated with cancer stem cells, a subpopulation of cancer cells that are critical for tumor progression (24–26). Tumor stem cells were reported primarily at the status of quiescence (27,28). Differentiation of tumor stem cells may lead to the loss of quiescent status (29,30). The existence of pituitary tumor stem cells is widely accepted (31,32). BDNF expression is associated with neuron stem cells (33). It is possible that BDNF treatment enhances the rate of pituitary tumor stem cell self-renewal, promoting the cells to enter the cell cycle for tumor growth.

The results of the present study demonstrated that pregnancy may promote pituitary tumor growth in the mice model. BDNF serves a critical role in promoting tumor progression by increasing the rate of the cell cycle, leading to growth of the pituitary tumor cells in vitro and in vivo. The results of the present study suggest that monitoring the effect of pregnancy on pituitary tumors may be beneficial for the therapy of pituitary tumors.

References

1 

Ezzat S, Asa SL, Couldwell WT, Barr CE, Dodge WE, Vance ML and McCutcheon IE: ‘The prevalence of pituitary adenomas’: A systematic review. Cancer. 101:613–619. 2004. View Article : Google Scholar

2 

Karavitaki N: Prevalence and incidence of pituitary adenomas. Ann Endocrinol (Paris). 73:79–80. 2012. View Article : Google Scholar

3 

Heaney AP: Clinical review: Pituitary carcinoma: Difficult diagnosis and treatment. J Clin Endocrinol Metab. 96:3649–3660. 2011. View Article : Google Scholar

4 

Scheithauer BW, Kovacs KT, Laws ER Jr and Randall RV: Pathology of invasive pituitary tumors with special reference to functional classification. J Neurosurg. 65:733–744. 1986. View Article : Google Scholar

5 

Levy MJ, Matharu MS, Meeran K, Powell M and Goadsby PJ: The clinical characteristics of headache in patients with pituitary tumours. Brain. 128:1921–1930. 2005. View Article : Google Scholar

6 

Milos P, Havelius U and Hindfelt B: Clusterlike headache in a patient with a pituitary adenoma. With a review of the literature. Headache. 36:184–188. 1996. View Article : Google Scholar

7 

Kirk LF Jr, Hash RB, Katner HP and Jones T: Cushing's disease: Clinical manifestations and diagnostic evaluation. Am Fam Physician. 62(1119–1127): 1133–1134. 2000.

8 

Kumar V, Abbas A, Fausto N and Aster J: Robbins and Cotran pathologic basis of disease. 9th. Elsevier Health Sciences. ISBN 9780323296397 (eBook).

9 

Lee NM and Saha S: Nausea and vomiting of pregnancy. Gastroenterol Clin North Am. 40:309–334, vii. 2011. View Article : Google Scholar

10 

Sharma JB, Roy KK, Mohanraj P, Kumar S, Karmakar D and Barua J: Pregnancy outcome in pituitary tumors. Arch Gynecol Obstet. 280:401–404. 2009. View Article : Google Scholar

11 

Molitch ME: Pituitary tumors and pregnancy. Growth Horm IGF Res. 13:Suppl A. S38–S44. 2003. View Article : Google Scholar

12 

Kumar P and Magon N: Hormones in pregnancy. Niger Med J. 53:179–183. 2012. View Article : Google Scholar

13 

Karaca Z, Tanriverdi F, Unluhizarci K and Kelestimur F: Pregnancy and pituitary disorders. Eur J Endocrinol. 162:453–475. 2010. View Article : Google Scholar

14 

Molitch ME: Pituitary disorders during pregnancy. Endocrinol Metab Clin North Am. 35:99–116, vi. 2006. View Article : Google Scholar

15 

Mirshokraei P, Hassanpour H, Rahnama A and Foster WG: Gene expression of BDNF and its receptors, TrkB and p75 in the uterus and oviduct of pregnant and non-pregnant ewes. Res Vet Sci. 95:164–168. 2013. View Article : Google Scholar

16 

Okamura K, Harada T, Wang S, Ijichi K, Furuyama K, Koga T, Okamoto T, Takayama K, Yano T and Nakanishi Y: Expression of TrkB and BDNF is associated with poor prognosis in non-small cell lung cancer. Lung Cancer. 78:100–106. 2012. View Article : Google Scholar

17 

U.S. National Institutes of Health: Laboratory animal welfare: Public health service policy on humane care and use of laboratory animals by awardee institutions; notice. Fed Regist. 50:19584–19585. 1985.

18 

Ma H, Guo J, Xia J, Niu C, Shen X, Sun H and Zheng Y: Preparation and application of rabbit anti-mouse Setd8 polyclonal antibody. Xi Bao Yu Fen Zi Mian Yi Xue Za Zhi. 33:246–251. 2017.(In Chinese).

19 

Tomura M, Sakaue-Sawano A, Mori Y, Takase-Utsugi M, Hata A, Ohtawa K, Kanagawa O and Miyawaki A: Contrasting quiescent G0 phase with mitotic cell cycling in the mouse immune system. PLoS One. 8:e738012013. View Article : Google Scholar

20 

Prager D and Braunstein GD: Pituitary disorders during pregnancy. Endocrinol Metab Clin North Am. 24:1–14. 1995.

21 

Nader S: Pituitary disorders and pregnancy. Semin Perinatol. 14:24–33. 1990.

22 

Fung J, Gelaye B, Zhong QY, Rondon MB, Sanchez SE, Barrios YV, Hevner K, Qiu C and Williams MA: Association of decreased serum brain-derived neurotrophic factor (BDNF) concentrations in early pregnancy with antepartum depression. BMC Psychiatry. 15:432015. View Article : Google Scholar

23 

Evan GI and Vousden KH: Proliferation, cell cycle and apoptosis in cancer. Nature. 411:342–348. 2001. View Article : Google Scholar

24 

Beck B and Blanpain C: Unravelling cancer stem cell potential. Nat Rev Cancer. 13:727–738. 2013. View Article : Google Scholar

25 

Nguyen LV, Vanner R, Dirks P and Eaves CJ: Cancer stem cells: An evolving concept. Nat Rev Cancer. 12:133–143. 2012.

26 

Dean M: Cancer stem cells: Implications for cancer causation and therapy resistance. Discov Med. 5:278–282. 2005.

27 

Yang Y, Xu H, Huang W, Ding M, Xiao J, Yang D, Li H, Liu XY and Chu L: Targeting lung cancer stem-like cells with TRAIL gene armed oncolytic adenovirus. J Cell Mol Med. 19:915–923. 2015. View Article : Google Scholar

28 

Martín V, Sanchez-Sanchez AM, Herrera F, Gomez-Manzano C, Fueyo J, Alvarez-Vega MA, Antolín I and Rodriguez C: Melatonin-induced methylation of the ABCG2/BCRP promoter as a novel mechanism to overcome multidrug resistance in brain tumour stem cells. Br J Cancer. 108:2005–2012. 2013. View Article : Google Scholar

29 

Li N, Yang Y, Ding M, Huang W, Li H, Ye J, Xiao J, Zha X and Xu H: GFP stable transfection facilitated the characterization of lung cancer stem cells. Mol Biotechnol. 56:1079–1088. 2014. View Article : Google Scholar

30 

Chen K, Huang YH and Chen JL: Understanding and targeting cancer stem cells: Therapeutic implications and challenges. Acta Pharmacol Sin. 34:732–740. 2013. View Article : Google Scholar

31 

Andoniadou CL, Matsushima D, Gharavy Mousavy SN, Signore M, Mackintosh AI, Schaeffer M, Gaston-Massuet C, Mollard P, Jacques TS, Le Tissier P, et al: Sox2(+) stem/progenitor cells in the adult mouse pituitary support organ homeostasis and have tumor-inducing potential. Cell Stem Cell. 13:433–445. 2013. View Article : Google Scholar

32 

Tunici P and Yu JS: Pituitary adenoma stem cells. Methods Mol Biol. 568:195–201. 2009. View Article : Google Scholar

33 

Chen SQ, Cai Q, Shen YY, Cai XY and Lei HY: Combined use of NGF/BDNF/bFGF promotes proliferation and differentiation of neural stem cells in vitro. Int J Dev Neurosci. 38:74–78. 2014. View Article : Google Scholar

Related Articles

  • Abstract
  • View
  • Download
  • Twitter
Copy and paste a formatted citation
Spandidos Publications style
Yin C and Qi X: Pregnancy promotes pituitary tumors by increasing the rate of the cell cycle. Oncol Lett 14: 4873-4877, 2017.
APA
Yin, C., & Qi, X. (2017). Pregnancy promotes pituitary tumors by increasing the rate of the cell cycle. Oncology Letters, 14, 4873-4877. https://doi.org/10.3892/ol.2017.6756
MLA
Yin, C., Qi, X."Pregnancy promotes pituitary tumors by increasing the rate of the cell cycle". Oncology Letters 14.4 (2017): 4873-4877.
Chicago
Yin, C., Qi, X."Pregnancy promotes pituitary tumors by increasing the rate of the cell cycle". Oncology Letters 14, no. 4 (2017): 4873-4877. https://doi.org/10.3892/ol.2017.6756
Copy and paste a formatted citation
x
Spandidos Publications style
Yin C and Qi X: Pregnancy promotes pituitary tumors by increasing the rate of the cell cycle. Oncol Lett 14: 4873-4877, 2017.
APA
Yin, C., & Qi, X. (2017). Pregnancy promotes pituitary tumors by increasing the rate of the cell cycle. Oncology Letters, 14, 4873-4877. https://doi.org/10.3892/ol.2017.6756
MLA
Yin, C., Qi, X."Pregnancy promotes pituitary tumors by increasing the rate of the cell cycle". Oncology Letters 14.4 (2017): 4873-4877.
Chicago
Yin, C., Qi, X."Pregnancy promotes pituitary tumors by increasing the rate of the cell cycle". Oncology Letters 14, no. 4 (2017): 4873-4877. https://doi.org/10.3892/ol.2017.6756
Follow us
  • Twitter
  • LinkedIn
  • Facebook
About
  • Spandidos Publications
  • Careers
  • Cookie Policy
  • Privacy Policy
How can we help?
  • Help
  • Live Chat
  • Contact
  • Email to our Support Team