Spandidos Publications Logo
  • About
    • About Spandidos
    • Aims and Scopes
    • Abstracting and Indexing
    • Editorial Policies
    • Reprints and Permissions
    • Job Opportunities
    • Terms and Conditions
    • Contact
  • Journals
    • All Journals
    • Oncology Letters
      • Oncology Letters
      • Information for Authors
      • Editorial Policies
      • Editorial Board
      • Aims and Scope
      • Abstracting and Indexing
      • Bibliographic Information
      • Archive
    • International Journal of Oncology
      • International Journal of Oncology
      • Information for Authors
      • Editorial Policies
      • Editorial Board
      • Aims and Scope
      • Abstracting and Indexing
      • Bibliographic Information
      • Archive
    • Molecular and Clinical Oncology
      • Molecular and Clinical Oncology
      • Information for Authors
      • Editorial Policies
      • Editorial Board
      • Aims and Scope
      • Abstracting and Indexing
      • Bibliographic Information
      • Archive
    • Experimental and Therapeutic Medicine
      • Experimental and Therapeutic Medicine
      • Information for Authors
      • Editorial Policies
      • Editorial Board
      • Aims and Scope
      • Abstracting and Indexing
      • Bibliographic Information
      • Archive
    • International Journal of Molecular Medicine
      • International Journal of Molecular Medicine
      • Information for Authors
      • Editorial Policies
      • Editorial Board
      • Aims and Scope
      • Abstracting and Indexing
      • Bibliographic Information
      • Archive
    • Biomedical Reports
      • Biomedical Reports
      • Information for Authors
      • Editorial Policies
      • Editorial Board
      • Aims and Scope
      • Abstracting and Indexing
      • Bibliographic Information
      • Archive
    • Oncology Reports
      • Oncology Reports
      • Information for Authors
      • Editorial Policies
      • Editorial Board
      • Aims and Scope
      • Abstracting and Indexing
      • Bibliographic Information
      • Archive
    • Molecular Medicine Reports
      • Molecular Medicine Reports
      • Information for Authors
      • Editorial Policies
      • Editorial Board
      • Aims and Scope
      • Abstracting and Indexing
      • Bibliographic Information
      • Archive
    • World Academy of Sciences Journal
      • World Academy of Sciences Journal
      • Information for Authors
      • Editorial Policies
      • Editorial Board
      • Aims and Scope
      • Abstracting and Indexing
      • Bibliographic Information
      • Archive
    • International Journal of Functional Nutrition
      • International Journal of Functional Nutrition
      • Information for Authors
      • Editorial Policies
      • Editorial Board
      • Aims and Scope
      • Abstracting and Indexing
      • Bibliographic Information
      • Archive
    • International Journal of Epigenetics
      • International Journal of Epigenetics
      • Information for Authors
      • Editorial Policies
      • Editorial Board
      • Aims and Scope
      • Abstracting and Indexing
      • Bibliographic Information
      • Archive
    • Medicine International
      • Medicine International
      • Information for Authors
      • Editorial Policies
      • Editorial Board
      • Aims and Scope
      • Abstracting and Indexing
      • Bibliographic Information
      • Archive
  • Articles
  • Information
    • Information for Authors
    • Information for Reviewers
    • Information for Librarians
    • Information for Advertisers
    • Conferences
  • Language Editing
Spandidos Publications Logo
  • About
    • About Spandidos
    • Aims and Scopes
    • Abstracting and Indexing
    • Editorial Policies
    • Reprints and Permissions
    • Job Opportunities
    • Terms and Conditions
    • Contact
  • Journals
    • All Journals
    • Biomedical Reports
      • Information for Authors
      • Editorial Policies
      • Editorial Board
      • Aims and Scope
      • Abstracting and Indexing
      • Bibliographic Information
      • Archive
    • Experimental and Therapeutic Medicine
      • Information for Authors
      • Editorial Policies
      • Editorial Board
      • Aims and Scope
      • Abstracting and Indexing
      • Bibliographic Information
      • Archive
    • International Journal of Epigenetics
      • Information for Authors
      • Editorial Policies
      • Editorial Board
      • Aims and Scope
      • Abstracting and Indexing
      • Bibliographic Information
      • Archive
    • International Journal of Functional Nutrition
      • Information for Authors
      • Editorial Policies
      • Editorial Board
      • Aims and Scope
      • Abstracting and Indexing
      • Bibliographic Information
      • Archive
    • International Journal of Molecular Medicine
      • Information for Authors
      • Editorial Policies
      • Editorial Board
      • Aims and Scope
      • Abstracting and Indexing
      • Bibliographic Information
      • Archive
    • International Journal of Oncology
      • Information for Authors
      • Editorial Policies
      • Editorial Board
      • Aims and Scope
      • Abstracting and Indexing
      • Bibliographic Information
      • Archive
    • Medicine International
      • Information for Authors
      • Editorial Policies
      • Editorial Board
      • Aims and Scope
      • Abstracting and Indexing
      • Bibliographic Information
      • Archive
    • Molecular and Clinical Oncology
      • Information for Authors
      • Editorial Policies
      • Editorial Board
      • Aims and Scope
      • Abstracting and Indexing
      • Bibliographic Information
      • Archive
    • Molecular Medicine Reports
      • Information for Authors
      • Editorial Policies
      • Editorial Board
      • Aims and Scope
      • Abstracting and Indexing
      • Bibliographic Information
      • Archive
    • Oncology Letters
      • Information for Authors
      • Editorial Policies
      • Editorial Board
      • Aims and Scope
      • Abstracting and Indexing
      • Bibliographic Information
      • Archive
    • Oncology Reports
      • Information for Authors
      • Editorial Policies
      • Editorial Board
      • Aims and Scope
      • Abstracting and Indexing
      • Bibliographic Information
      • Archive
    • World Academy of Sciences Journal
      • Information for Authors
      • Editorial Policies
      • Editorial Board
      • Aims and Scope
      • Abstracting and Indexing
      • Bibliographic Information
      • Archive
  • Articles
  • Information
    • For Authors
    • For Reviewers
    • For Librarians
    • For Advertisers
    • Conferences
  • Language Editing
Login Register Submit
  • This site uses cookies
  • You can change your cookie settings at any time by following the instructions in our Cookie Policy. To find out more, you may read our Privacy Policy.

    I agree
Search articles by DOI, keyword, author or affiliation
Search
Advanced Search
presentation
Oncology Letters
Join Editorial Board Propose a Special Issue
Print ISSN: 1792-1074 Online ISSN: 1792-1082
Journal Cover
February-2018 Volume 15 Issue 2

Full Size Image

Sign up for eToc alerts
Recommend to Library

Journals

International Journal of Molecular Medicine

International Journal of Molecular Medicine

International Journal of Molecular Medicine is an international journal devoted to molecular mechanisms of human disease.

International Journal of Oncology

International Journal of Oncology

International Journal of Oncology is an international journal devoted to oncology research and cancer treatment.

Molecular Medicine Reports

Molecular Medicine Reports

Covers molecular medicine topics such as pharmacology, pathology, genetics, neuroscience, infectious diseases, molecular cardiology, and molecular surgery.

Oncology Reports

Oncology Reports

Oncology Reports is an international journal devoted to fundamental and applied research in Oncology.

Experimental and Therapeutic Medicine

Experimental and Therapeutic Medicine

Experimental and Therapeutic Medicine is an international journal devoted to laboratory and clinical medicine.

Oncology Letters

Oncology Letters

Oncology Letters is an international journal devoted to Experimental and Clinical Oncology.

Biomedical Reports

Biomedical Reports

Explores a wide range of biological and medical fields, including pharmacology, genetics, microbiology, neuroscience, and molecular cardiology.

Molecular and Clinical Oncology

Molecular and Clinical Oncology

International journal addressing all aspects of oncology research, from tumorigenesis and oncogenes to chemotherapy and metastasis.

World Academy of Sciences Journal

World Academy of Sciences Journal

Multidisciplinary open-access journal spanning biochemistry, genetics, neuroscience, environmental health, and synthetic biology.

International Journal of Functional Nutrition

International Journal of Functional Nutrition

Open-access journal combining biochemistry, pharmacology, immunology, and genetics to advance health through functional nutrition.

International Journal of Epigenetics

International Journal of Epigenetics

Publishes open-access research on using epigenetics to advance understanding and treatment of human disease.

Medicine International

Medicine International

An International Open Access Journal Devoted to General Medicine.

Journal Cover
February-2018 Volume 15 Issue 2

Full Size Image

Sign up for eToc alerts
Recommend to Library

  • Article
  • Citations
    • Cite This Article
    • Download Citation
    • Create Citation Alert
    • Remove Citation Alert
    • Cited By
  • Similar Articles
    • Related Articles (in Spandidos Publications)
    • Similar Articles (Google Scholar)
    • Similar Articles (PubMed)
  • Download PDF
  • Download XML
  • View XML
Article

Mechanism of the anti-angiogenic effect of Avemar on tumor cells

  • Authors:
    • Nilüfer Gülmen Imir
    • Esra Aydemir
    • Ece Şimşek
  • View Affiliations / Copyright

    Affiliations: Department of Biology Education, Akdeniz University, Antalya 07058, Turkey, Department of Biology, Akdeniz University, Antalya 07058, Turkey, Department of Nutrition and Dietetics, Antalya School of Health, Akdeniz University, Antalya 07058, Turkey
  • Pages: 2673-2678
    |
    Published online on: December 13, 2017
       https://doi.org/10.3892/ol.2017.7604
  • Expand metrics +
Metrics: Total Views: 0 (Spandidos Publications: | PMC Statistics: )
Metrics: Total PDF Downloads: 0 (Spandidos Publications: | PMC Statistics: )
Cited By (CrossRef): 0 citations Loading Articles...

This article is mentioned in:



Abstract

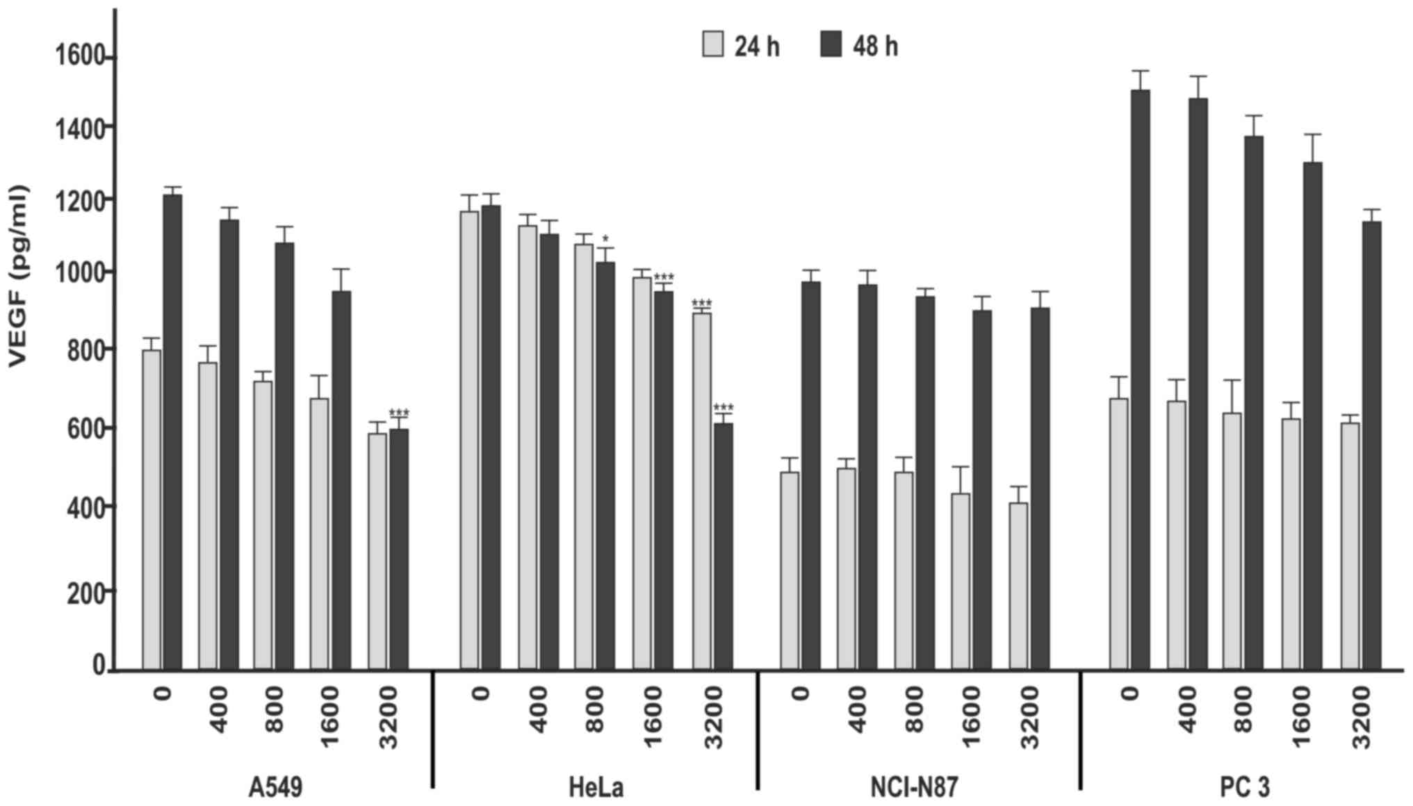
Avemar, a derivative of fermented wheat germ extract, is a non‑toxic and natural compound that is used as a dietary supplement by cancer patients undergoing chemotherapy and radiotherapy. Avemar has numerous biological activities, and several recent studies have reported that it may also have metastatic and anti‑angiogenic effects. In the present study, the mechanism of the anti‑angiogenic effect of Avemar on human cancer cells was investigated. The human cell lines NCI‑N87 (gastric tubular adenocarcinoma), PC3 (prostate carcinoma), HeLa (endocervical adenocarcinoma) and A549 (lung adenocarcinoma) were treated with various doses (400, 800, 1,600 and 3,200 µg/ml) of Avemar, and the changes in mRNA and protein levels of two important markers of angiogenesis, vascular endothelial growth factor (VEGF) and cyclooxygenase‑2 (Cox‑2), were assessed by reverse transcription‑quantitative polymerase chain reaction and ELISA. VEGF and Cox‑2 protein and mRNA levels were significantly lower in Avemar‑treated cells than in untreated cells. The data suggest that Avemar may exert an anti‑angiogenic effect on cancer cells. Thus, it is suggested to medical doctors as a potential agent for the anti‑angiogenic treatment of cancer.
View Figures

Figure 1

Figure 2

Figure 3

Figure 4

Figure 5

View References

1 

Folkman J: Angiogenesis in cancer, vascular, rheumatoid and other disease. Nat Med. 1:27–31. 1995. View Article : Google Scholar : PubMed/NCBI

2 

Adams RH and Alitalo K: Molecular regulation of angiogenesis and lymphangiogenesis. Nat Rev Mol Cell Biol. 8:464–478. 2007. View Article : Google Scholar : PubMed/NCBI

3 

Bar J and Onn A: Combined anti-proliferative and anti-angiogenic strategies for cancer. Expert Opin Pharmacother. 9:701–715. 2008. View Article : Google Scholar : PubMed/NCBI

4 

Cao Y: Angiogenesis: What can it offer for future medicine? Exp Cell Res. 316:1304–1308. 2010. View Article : Google Scholar : PubMed/NCBI

5 

Mueller T and Voigt W: Fermented wheat germ extract-nutrional supplement or anticancer drug? Nutrition. 10:892011. View Article : Google Scholar

6 

Saiko P, Ozsvar-Kozma M, Madlener S, Bernhaus A, Lackner A, Grusch M, Horvath Z, Krupitza G, Jaeger W, Ammer K, et al: Avemar, a nontoxic fermented wheat germ extract, induces apoptosis and inhibits ribonucleotide reductase in human HL-60 promyelocytic leukemia cells. Cancer Lett. 250:323–328. 2007. View Article : Google Scholar : PubMed/NCBI

7 

Hidvégi M, Ráso E, Tömösközi-Farkas R, Paku S, Lapis K and Szende B: Effect of Avemar and Avemar C vitamin C on tumor growth and metastasis in experimental animals. Anticancer Res. 18:2353–2358. 1998.PubMed/NCBI

8 

Demidov LV, Manziuk LV, Kharkevitch GY, Pirogova NA and Artamonova EV: Adjuvant fermented wheat germ extract (Avemar) nutraceutical improves survival of high-risk skin melanoma patients: A randomized, pilot, phase II clinical study with a 7-year follow-up. Cancer Biother Radiopharm. 23:477–482. 2008. View Article : Google Scholar : PubMed/NCBI

9 

Heimbach JT, Sebestyen G, Semjen G and Kennepohl E: Safety studies regarding a standardized extract of fermented wheat germ. Int J Toxicol. 26:253–259. 2007. View Article : Google Scholar : PubMed/NCBI

10 

Comin-Anduix B, Boros LG, Marin S, Boren J, Callol-Masot C, Centelles JJ, Torres JL, Angell N, Bassilian S and Cascante M: Fermented wheat germ extract inhibits glycolysis/pentose cycle enzymes and induces apoptosis through Poly(ADP-riboz) polymerase activation in Jurkat T-cell leukemia tumor cells. J Biol Chem. 277:46408–46414. 2002. View Article : Google Scholar : PubMed/NCBI

11 

Mueller T, Jordan K and Voigt W: Promising cytotoxic profile of fermented wheat germ extract (Avemar®) in human cancer cell lines. J Exp Clin Cancer Res. 30:422011. View Article : Google Scholar : PubMed/NCBI

12 

Garami M, Schuler D, Babosa M, Borgulya G, Hauser P, Müller J, Paksy A, Szabó E, Hidvégi M and Fekete G: Fermented wheat germ extract reduces chemotherapy-induced febrile neutropenia in pediatric cancer patients. J Pediatr Hematol Oncol. 26:631–635. 2004. View Article : Google Scholar

13 

Jakab F, Shoenfeld Y, Balogh A, Nichelatti M, Hoffmann A, Kahán Z, Lapis K, Mayer A, Sápy P, Szentpétery F, et al: A medical nutriment has supportive value in the treatment of colorectal cancer. Br J Cancer. 89:465–469. 2003. View Article : Google Scholar : PubMed/NCBI

14 

Zhang JY, Xiao X, Dong Y, Wu J, Yao F and Zhou XH: Effect of fermented wheat germ extract with lactobacillus plantarum dy-1 on HT-29 cell proliferation and apoptosis. J Agric Food Chem. 63:2449–2457. 2015. View Article : Google Scholar : PubMed/NCBI

15 

Koyama S, Sato E, Tsukadaira A, Haniuda M, Numanami H, Kurai M, Nagai S and Izumi T: Vascular endothelial growth factor mRNA and protein expression in airway epithelial cell lines in vitro. Eur Respir J. 20:1449–1456. 2002. View Article : Google Scholar : PubMed/NCBI

16 

Şimşek E, Aydemir EA, İmir N, Koçak O, Kuruoğlu A and Fışkın K: Dimethyl sulfoxide-caused changes in pro- and anti-angiogenic factor levels could contribute to an anti-angiogenic response in HeLa cells. Neuropeptides. 53:37–43. 2015. View Article : Google Scholar : PubMed/NCBI

17 

Livak KJ and Schmittgen TD: Analysis of relative gene expression data using real-time quantitative PCR and the 2(-delta delta C(T)) method. Methods. 25:402–408. 2001. View Article : Google Scholar : PubMed/NCBI

18 

Hidvégi M, Rásό E, Tömösközi-Farkas R, Lapis K and Szende B: Effect of MSC on the immune response of mice. Immunopharmacology. 41:183–186. 1999. View Article : Google Scholar : PubMed/NCBI

19 

Szende B, Rásό E, Hidvégi M, Tömösköziné FR, Paku S, Prónai L, Bocsi J and Lapis K: A new benzoquinone-containing antimetastatic product. Orv Hetil. 139:2893–2897. 1998.(In Hungarian). PubMed/NCBI

20 

Hidvégi M, Rásό E, Tömösközi-Farkas R, Szende B, Paku S, Prónai L, Bocsi J and Lapis K: MSC, a new benzoquinone-containing natural product with antimetastatic effect. Cancer Biother Radiopharm. 14:277–289. 1999. View Article : Google Scholar : PubMed/NCBI

21 

Kerbel RS: Tumor angiogenesis. N Engl J Med. 358:2039–2049. 2008. View Article : Google Scholar : PubMed/NCBI

22 

Taleb H, Morris RK, Withycombe CE, Maddocks SE and Kanekanian AD: Date syrup derived polyphenols attenuate angiogenic responses and exhibits anti-inflammatory activity mediated by VEGF and COX-2 expression in endothelial cells. Nutr Res. 36:636–647. 2016. View Article : Google Scholar : PubMed/NCBI

23 

Costa C, Incio J and Soares R: Angiogenesis and chronic inflammation: Cause or consequence? Angiogenesis. 10:149–166. 2007. View Article : Google Scholar : PubMed/NCBI

24 

Scoditti E, Calabriso N, Massaro M, Pellegrino M, Storelli C, Martines G, De Caterina R and Carluccio MA: Mediterranean diet polyphenols reduce inflammatory angiogenesis through MMP-9 and Cox-2 inhibition in human vascular endothelial cells: A potentially protective mechanism in atherosclerotic vascular disease and cancer. Arch Biochem Biophys. 527:81–89. 2012. View Article : Google Scholar : PubMed/NCBI

25 

Corona G, Deiana M, Incani A, Vauzour D, Dessí MA and Spencer JP: Inhibition of p38/CREB phosphorylation and Cox-2 expression by olive oil polyphenols underlies their anti-proliferative effects. Biochem Biophys Res Commun. 362:606–611. 2007. View Article : Google Scholar : PubMed/NCBI

26 

Medda R, Lyros O, Schmidt JL, Jovanovic N, Nie L, Link BJ, Otterson MF, Stoner GD, Shaker R and Rafiee P: Anti-inflammatory and anti-angiogenic effect of black raspberry extract on human esophageal and intestinal microvascular endothelial cells. Microvasc Res. 97:167–180. 2015. View Article : Google Scholar : PubMed/NCBI

27 

Tsujii M, Kawano S and DuBois RN: Cyclooxygenase-2 expression in human colon cancer cells increases metastatic potential. Proc Natl Acad Sci USA. 94:3336–3340. 1997. View Article : Google Scholar : PubMed/NCBI

28 

Sawaoka H, Tsuji S, Tsujii M, Gunawan ES, Sasaki Y, Kawano S and Hori M: Cyclooxygenase inhibitors suppress angiogenesis and reduce tumor growth in vivo. Lab Invest. 79:1469–1477. 1999.PubMed/NCBI

29 

Braunhut SJ and Moses MA: Retinoids modulate endothelial cell production of matrix-degrading proteases and tissue inhibitors of metalloproteinases (TIMP). J Biol Chem. 269:13472–13479. 1994.PubMed/NCBI

30 

Vacca A, Moretti S, Ribatti D, Pellegrino A, Pimpinelli N, Bianchi B, Bonifazi E, Ria R, Serio G and Dammacco F: Progression of mycosis fungoides is associated with changes in angiogenesis and expression of the matrix metalloproteinases 2 and 9. Eur J Cancer. 33:1685–1692. 1997. View Article : Google Scholar : PubMed/NCBI

31 

Itoh T, Tanioka M, Yoshida H, Yoshioka T, Nishimoto H and Itohara S: Reduced angiogenesis and tumor progression in gelatinase A-deficient mice. Cancer Res. 58:1048–1051. 1998.PubMed/NCBI

32 

Yang MD, Chang WS, Tsaia CW, Wang MF, Chan YC, Chan KC, Lu MC, Kao AW, Hsu CM and Bau DT: Inhibitory effects of AVEMAR on proliferation and metastasis of oral cancer cells. Nutr Cancer. 68:473–480. 2016. View Article : Google Scholar : PubMed/NCBI

Related Articles

  • Abstract
  • View
  • Download
  • Twitter
Copy and paste a formatted citation
Spandidos Publications style
Imir NG, Aydemir E and Şimşek E: Mechanism of the anti-angiogenic effect of Avemar on tumor cells. Oncol Lett 15: 2673-2678, 2018.
APA
Imir, N.G., Aydemir, E., & Şimşek, E. (2018). Mechanism of the anti-angiogenic effect of Avemar on tumor cells. Oncology Letters, 15, 2673-2678. https://doi.org/10.3892/ol.2017.7604
MLA
Imir, N. G., Aydemir, E., Şimşek, E."Mechanism of the anti-angiogenic effect of Avemar on tumor cells". Oncology Letters 15.2 (2018): 2673-2678.
Chicago
Imir, N. G., Aydemir, E., Şimşek, E."Mechanism of the anti-angiogenic effect of Avemar on tumor cells". Oncology Letters 15, no. 2 (2018): 2673-2678. https://doi.org/10.3892/ol.2017.7604
Copy and paste a formatted citation
x
Spandidos Publications style
Imir NG, Aydemir E and Şimşek E: Mechanism of the anti-angiogenic effect of Avemar on tumor cells. Oncol Lett 15: 2673-2678, 2018.
APA
Imir, N.G., Aydemir, E., & Şimşek, E. (2018). Mechanism of the anti-angiogenic effect of Avemar on tumor cells. Oncology Letters, 15, 2673-2678. https://doi.org/10.3892/ol.2017.7604
MLA
Imir, N. G., Aydemir, E., Şimşek, E."Mechanism of the anti-angiogenic effect of Avemar on tumor cells". Oncology Letters 15.2 (2018): 2673-2678.
Chicago
Imir, N. G., Aydemir, E., Şimşek, E."Mechanism of the anti-angiogenic effect of Avemar on tumor cells". Oncology Letters 15, no. 2 (2018): 2673-2678. https://doi.org/10.3892/ol.2017.7604
Follow us
  • Twitter
  • LinkedIn
  • Facebook
About
  • Spandidos Publications
  • Careers
  • Cookie Policy
  • Privacy Policy
How can we help?
  • Help
  • Live Chat
  • Contact
  • Email to our Support Team