Spandidos Publications Logo
  • About
    • About Spandidos
    • Aims and Scopes
    • Abstracting and Indexing
    • Editorial Policies
    • Reprints and Permissions
    • Job Opportunities
    • Terms and Conditions
    • Contact
  • Journals
    • All Journals
    • Oncology Letters
      • Oncology Letters
      • Information for Authors
      • Editorial Policies
      • Editorial Board
      • Aims and Scope
      • Abstracting and Indexing
      • Bibliographic Information
      • Archive
    • International Journal of Oncology
      • International Journal of Oncology
      • Information for Authors
      • Editorial Policies
      • Editorial Board
      • Aims and Scope
      • Abstracting and Indexing
      • Bibliographic Information
      • Archive
    • Molecular and Clinical Oncology
      • Molecular and Clinical Oncology
      • Information for Authors
      • Editorial Policies
      • Editorial Board
      • Aims and Scope
      • Abstracting and Indexing
      • Bibliographic Information
      • Archive
    • Experimental and Therapeutic Medicine
      • Experimental and Therapeutic Medicine
      • Information for Authors
      • Editorial Policies
      • Editorial Board
      • Aims and Scope
      • Abstracting and Indexing
      • Bibliographic Information
      • Archive
    • International Journal of Molecular Medicine
      • International Journal of Molecular Medicine
      • Information for Authors
      • Editorial Policies
      • Editorial Board
      • Aims and Scope
      • Abstracting and Indexing
      • Bibliographic Information
      • Archive
    • Biomedical Reports
      • Biomedical Reports
      • Information for Authors
      • Editorial Policies
      • Editorial Board
      • Aims and Scope
      • Abstracting and Indexing
      • Bibliographic Information
      • Archive
    • Oncology Reports
      • Oncology Reports
      • Information for Authors
      • Editorial Policies
      • Editorial Board
      • Aims and Scope
      • Abstracting and Indexing
      • Bibliographic Information
      • Archive
    • Molecular Medicine Reports
      • Molecular Medicine Reports
      • Information for Authors
      • Editorial Policies
      • Editorial Board
      • Aims and Scope
      • Abstracting and Indexing
      • Bibliographic Information
      • Archive
    • World Academy of Sciences Journal
      • World Academy of Sciences Journal
      • Information for Authors
      • Editorial Policies
      • Editorial Board
      • Aims and Scope
      • Abstracting and Indexing
      • Bibliographic Information
      • Archive
    • International Journal of Functional Nutrition
      • International Journal of Functional Nutrition
      • Information for Authors
      • Editorial Policies
      • Editorial Board
      • Aims and Scope
      • Abstracting and Indexing
      • Bibliographic Information
      • Archive
    • International Journal of Epigenetics
      • International Journal of Epigenetics
      • Information for Authors
      • Editorial Policies
      • Editorial Board
      • Aims and Scope
      • Abstracting and Indexing
      • Bibliographic Information
      • Archive
    • Medicine International
      • Medicine International
      • Information for Authors
      • Editorial Policies
      • Editorial Board
      • Aims and Scope
      • Abstracting and Indexing
      • Bibliographic Information
      • Archive
  • Articles
  • Information
    • Information for Authors
    • Information for Reviewers
    • Information for Librarians
    • Information for Advertisers
    • Conferences
  • Language Editing
Spandidos Publications Logo
  • About
    • About Spandidos
    • Aims and Scopes
    • Abstracting and Indexing
    • Editorial Policies
    • Reprints and Permissions
    • Job Opportunities
    • Terms and Conditions
    • Contact
  • Journals
    • All Journals
    • Biomedical Reports
      • Information for Authors
      • Editorial Policies
      • Editorial Board
      • Aims and Scope
      • Abstracting and Indexing
      • Bibliographic Information
      • Archive
    • Experimental and Therapeutic Medicine
      • Information for Authors
      • Editorial Policies
      • Editorial Board
      • Aims and Scope
      • Abstracting and Indexing
      • Bibliographic Information
      • Archive
    • International Journal of Epigenetics
      • Information for Authors
      • Editorial Policies
      • Editorial Board
      • Aims and Scope
      • Abstracting and Indexing
      • Bibliographic Information
      • Archive
    • International Journal of Functional Nutrition
      • Information for Authors
      • Editorial Policies
      • Editorial Board
      • Aims and Scope
      • Abstracting and Indexing
      • Bibliographic Information
      • Archive
    • International Journal of Molecular Medicine
      • Information for Authors
      • Editorial Policies
      • Editorial Board
      • Aims and Scope
      • Abstracting and Indexing
      • Bibliographic Information
      • Archive
    • International Journal of Oncology
      • Information for Authors
      • Editorial Policies
      • Editorial Board
      • Aims and Scope
      • Abstracting and Indexing
      • Bibliographic Information
      • Archive
    • Medicine International
      • Information for Authors
      • Editorial Policies
      • Editorial Board
      • Aims and Scope
      • Abstracting and Indexing
      • Bibliographic Information
      • Archive
    • Molecular and Clinical Oncology
      • Information for Authors
      • Editorial Policies
      • Editorial Board
      • Aims and Scope
      • Abstracting and Indexing
      • Bibliographic Information
      • Archive
    • Molecular Medicine Reports
      • Information for Authors
      • Editorial Policies
      • Editorial Board
      • Aims and Scope
      • Abstracting and Indexing
      • Bibliographic Information
      • Archive
    • Oncology Letters
      • Information for Authors
      • Editorial Policies
      • Editorial Board
      • Aims and Scope
      • Abstracting and Indexing
      • Bibliographic Information
      • Archive
    • Oncology Reports
      • Information for Authors
      • Editorial Policies
      • Editorial Board
      • Aims and Scope
      • Abstracting and Indexing
      • Bibliographic Information
      • Archive
    • World Academy of Sciences Journal
      • Information for Authors
      • Editorial Policies
      • Editorial Board
      • Aims and Scope
      • Abstracting and Indexing
      • Bibliographic Information
      • Archive
  • Articles
  • Information
    • For Authors
    • For Reviewers
    • For Librarians
    • For Advertisers
    • Conferences
  • Language Editing
Login Register Submit
  • This site uses cookies
  • You can change your cookie settings at any time by following the instructions in our Cookie Policy. To find out more, you may read our Privacy Policy.

    I agree
Search articles by DOI, keyword, author or affiliation
Search
Advanced Search
presentation
Oncology Letters
Join Editorial Board Propose a Special Issue
Print ISSN: 1792-1074 Online ISSN: 1792-1082
Journal Cover
May-2018 Volume 15 Issue 5

Full Size Image

Sign up for eToc alerts
Recommend to Library

Journals

International Journal of Molecular Medicine

International Journal of Molecular Medicine

International Journal of Molecular Medicine is an international journal devoted to molecular mechanisms of human disease.

International Journal of Oncology

International Journal of Oncology

International Journal of Oncology is an international journal devoted to oncology research and cancer treatment.

Molecular Medicine Reports

Molecular Medicine Reports

Covers molecular medicine topics such as pharmacology, pathology, genetics, neuroscience, infectious diseases, molecular cardiology, and molecular surgery.

Oncology Reports

Oncology Reports

Oncology Reports is an international journal devoted to fundamental and applied research in Oncology.

Experimental and Therapeutic Medicine

Experimental and Therapeutic Medicine

Experimental and Therapeutic Medicine is an international journal devoted to laboratory and clinical medicine.

Oncology Letters

Oncology Letters

Oncology Letters is an international journal devoted to Experimental and Clinical Oncology.

Biomedical Reports

Biomedical Reports

Explores a wide range of biological and medical fields, including pharmacology, genetics, microbiology, neuroscience, and molecular cardiology.

Molecular and Clinical Oncology

Molecular and Clinical Oncology

International journal addressing all aspects of oncology research, from tumorigenesis and oncogenes to chemotherapy and metastasis.

World Academy of Sciences Journal

World Academy of Sciences Journal

Multidisciplinary open-access journal spanning biochemistry, genetics, neuroscience, environmental health, and synthetic biology.

International Journal of Functional Nutrition

International Journal of Functional Nutrition

Open-access journal combining biochemistry, pharmacology, immunology, and genetics to advance health through functional nutrition.

International Journal of Epigenetics

International Journal of Epigenetics

Publishes open-access research on using epigenetics to advance understanding and treatment of human disease.

Medicine International

Medicine International

An International Open Access Journal Devoted to General Medicine.

Journal Cover
May-2018 Volume 15 Issue 5

Full Size Image

Sign up for eToc alerts
Recommend to Library

  • Article
  • Citations
    • Cite This Article
    • Download Citation
    • Create Citation Alert
    • Remove Citation Alert
    • Cited By
  • Similar Articles
    • Related Articles (in Spandidos Publications)
    • Similar Articles (Google Scholar)
    • Similar Articles (PubMed)
  • Download PDF
  • Download XML
  • View XML
Case Report Open Access

Radiofrequency radiation from nearby base stations gives high levels in an apartment in Stockholm, Sweden: A case report

  • Authors:
    • Lennart Hardell
    • Michael Carlberg
    • Lena K. Hedendahl
  • View Affiliations / Copyright

    Affiliations: Department of Oncology, Faculty of Medicine and Health, Örebro University, SE‑701 82 Örebro, Sweden, The Environment and Cancer Research Foundation, SE‑702 17 Örebro, Sweden
    Copyright: © Hardell et al. This is an open access article distributed under the terms of Creative Commons Attribution License.
  • Pages: 7871-7883
    |
    Published online on: March 16, 2018
       https://doi.org/10.3892/ol.2018.8285
  • Expand metrics +
Metrics: Total Views: 0 (Spandidos Publications: | PMC Statistics: )
Metrics: Total PDF Downloads: 0 (Spandidos Publications: | PMC Statistics: )
Cited By (CrossRef): 0 citations Loading Articles...

This article is mentioned in:



Abstract

Exposure to radiofrequency (RF) radiation was classified in 2011 as a possible human carcinogen, Group 2B, by the International Agency for Research on Cancer of the World Health Organisation. Evidence of the risk of cancer risk has since strengthened. Exposure is changing due to the rapid development of technology resulting in increased ambient radiation. RF radiation of sufficient intensity heats tissues, but the energy is insufficient to cause ionization, hence it is called non‑ionizing radiation. These non‑thermal exposure levels have resulted in biological effects in humans, animals and cells, including an increased cancer risk. In the present study, the levels of RF radiation were measured in an apartment close to two groups of mobile phone base stations on the roof. A total of 74,531 measurements were made corresponding to ~83 h of recording. The total mean RF radiation level was 3,811 µW/m2 (range 15.2‑112,318 µW/m2) for the measurement of the whole apartment, including balconies. Particularly high levels were measured on three balconies and 3 of 4 bedrooms. The total mean RF radiation level decreased by 98% when the measured down‑links from the base stations for 2, 3 and 4 G were disregarded. The results are discussed in relation to the detrimental health effects of non‑thermal RF radiation. Due to the current high RF radiation, the apartment is not suitable for long‑term living, particularly for children who may be more sensitive than adults. For a definitive conclusion regarding the effect of RF radiation from nearby base stations, one option would be to turn them off and repeat the measurements. However, the simplest and safest solution would be to turn them off and dismantle them.

Introduction

The use of wireless digital technology has grown rapidly during the last couple of decades. While in use, mobile and cordless phones emit radiofrequency (RF) radiation. The brain is the main target of exposure to RF radiation with handheld wireless phones (mobile and cordless) (1,2). An increased risk for brain tumors has been of concern for a long time. In May 2011, RF radiation in the range 30–300 GHz could be categorized in Group 2B, i.e., a ‘possible’ human carcinogen, by the International Agency for Research on Cancer (IARC) of WHO (3,4). The decision was based mainly on case-control human studies on the use of wireless phones by the Hardell group in Sweden (mobile and cordless phones; DECT) and the IARC Interphone study (mobile phones), which showed an increased risk for brain and head tumours, i.e., glioma and acoustic neuroma (3–6), which has since been confirmed (7–10), resulting in a recommendation to upgrade IARC's 2011 classification of RF radiation to Group 1, a human carcinogen. This conclusion was published in our up-dated review in 2013 (11) using the so-called Hill viewpoints on the association or causation put forward at the height of the tobacco and lung cancer controversy (12).

Due to the increasing use of the wireless technology, environmental exposure to RF radiation has been increasing, but there has been no systematic study of ambient exposure. We have measured RF radiation at Stockholm Central Station (13) and the Stockholm Old Town in Sweden (14). The results generally exceeded the levels known to have adverse biological effects. By contrast, low levels were measured at certain places in the WHO building in Geneva (15).

We have measured RF radiation in an apartment with a central location at Östermalm in Stockholm. The apartment is located on the 6th floor, with a tower including a bedroom on the first floor of the tower (7th floor) and a conference room on the second and highest floor (8th) of the tower, at the same level as the roof of the building. The measurements did not involve any human subjects, and therefore no ethical permission was needed. We also discuss laboratory studies on RF-radiation and biological effects relative to the levels of RF in question. Of particular interest are the non-thermal levels of RF radiation and biological effects. For comparison, radiation was also measured in another apartment located on the 3rd floor in a high building of 9 floors at Gärdet in central part of Stockholm.

Materials and methods

EME-Spy 200 exposimeter

To measure RF radiation, a calibrated exposimeter EME-Spy 200 (Satimo, MVG Industries, Brest, France) was used. The instrument measures 20 predefined frequency bands (Table I), which cover the frequencies of most public RF radiation emitting devices now in use in Sweden. These frequencies are from 87 to 5,850 MHz. For frequency modulation (FM), TV3, TETRA, TV4&5, Wi-Fi 2.4 GHz and Wi-Fi 5 GHz, the lower detection limit is 0.01 V/m (0.27 µW/m2). For all other bands, the lower detection limit is 0.005 V/m (0.066 µW/m2). For all bands, the upper detection limit is 6 V/m (95,544 µW/m2). Samples were taken every 4th second.

Table I.

Predefined measurement frequency bands of EME-Spy 200 Exposimeter. Frequency ranges.

Table I.

Predefined measurement frequency bands of EME-Spy 200 Exposimeter. Frequency ranges.

Frequency bandFrequency Min (MHz)Frequency Max (MHz)
FM87   107
TV3174   223
TETRA I380   400
TETRA II410   430
TETRA III450   470
TV4&5470   770
LTE 800, 4G (DL)791   821
LTE 800, 4G (UL)832   862
GSM 900 + UMTS 900, 3G (UL)880   915
GSM 900 + UMTS 900, 3G (DL)925   960
GSM 1800, 2G (UL)1,7101,785
GSM 1800, 2G (DL)1,8051,880
DECT1,8801,900
UMTS 2100, 3G (UL)1,9201,980
UMTS 2100, 3G (DL)2,1102,170
Wi-Fi, 2GHz2,400   2,483.5
LTE 2600, 4G (UL)2,5002,570
LTE 2600, 4G (DL)2,6202,690
WiMax3,3003,900
Wi-Fi 5GHz5,1505,850

[i] FM, frequency modulation; TV, television; LTE, long-term evolution; DL, downlink (transmission from base station to mobile phone); UL, uplink (transmission from mobile phone to base station); GSM, global system for mobile communications; UMTS, universal mobile telecommunications system; DECT, digital European cordless telecommunications; WiMAX, worldwide interoperability for microwave access.

The exposimeter measures different telecommunications protocols: FM radio broadcasting; TV broadcasting; TETRA emergency services (police and rescue); GSM second generation mobile communications, 2G; UMTS third generation mobile communications, 3G; long-term evolution (LTE) fourth generation mobile communications standard, 4G; digital European cordless telecommunications (DECT) cordless telephone systems standard; Wi-Fi 2.4 GHz and 5 GHz wireless local area network protocol; worldwide interoperability for microwave access (WiMAX) wireless communication standard for high-speed voice, data and Internet.

EME-Spy 200 has a 3-axis antenna to capture RF radiation from every direction. The unit reports the exposure after statistical processing, since each value is a sampling outcome of many readings after statistical analysis, including minimum, mean, median and maximum values.

Study design

Measurements were taken on June 5, 6, and August 21, 22, 30, 31, 2017. Some measurements were made during the night to assess variation of RF exposure from daytime readings. While walking through all the rooms and balconies, the effect of body shielding was minimized by the exposimeter being held about 0.4 m in front of the investigator. More extended measurements were then taken in places judged to be of interest-bedrooms and the living room. The exposimeter was placed where people tend to occupy, e.g., corresponding to the upper part of the body, including the head of a bed. Three of the five balconies were located close to the 2 groups of base stations located on the roofs. The closest base stations were only 6 m from the balcony outside the tower.

Measurements in another apartment for comparison at Gärdet, Stockholm were taken on October 27–29 and November 6, 2017. This was a smaller apartment with a balcony and no visible surrounding base stations. A group of base stations are located at the top of another 9 floor building, but in the opposite direction to this apartment.

Statistical methods

Means, medians, minimum, and maximum values in µW/m2 were calculated for all measured frequency bands, and box plots and bar graphs were constructed to illustrate the distribution of total exposure for all measurement rounds. Values at the lower detection limit were treated as zero exposure. Total exposure was calculated as the sum of all measured frequency bands. Stata/SE 12.1 (Stata/SE 12.1 for Windows; StataCorp., College Station, TX, USA) was used for all calculations.

Results

Whole apartment

The total of measurements made at the apartment in Östermalm was 74,531 readings (~83 h of recording). The daily data were consistent; therefore, totals are presented for the whole apartment including different locations. Some places of interest will be discussed in greater detail. The results are given as numbers of readings (measurements), and as mean, median, minimum and maximum values in µW/m2.

Table II shows mean level 3,810.8 µW/m2 for the total measurement of the whole apartment, including balconies, a high maximum level of 112,318 µW/m2 being recorded. Over 55% of the mean level was caused by the 4 G down link from base stations (LTE 800 and LTE 2600). The 3G down link (GSM+UMTS 900 and UMTS 2100) yielded >40% of the total mean exposure. About 96% of the total mean value was caused by the 3G and 4G down links, with the 2G down link accounting for only 2% (GSM 1800). The results were calculated excluding all RF radiation from base stations, which gave a mean level 78.8 µW/m2 and maximum 4,616.2 µW/m2, Table II. Thus 3,732.0 µW/m2, 97.9% of the mean RF radiation was caused by down link from the 2G, 3G and 4G base stations.

Table II.

Levels of RF-radiation in total based on 74,531 entries for 6 different tours (Östermalm, Stockholm).

Table II.

Levels of RF-radiation in total based on 74,531 entries for 6 different tours (Östermalm, Stockholm).

VariableMeanMedianMinMax
FM38.33.40.03,441.2
TV34.70.00.0308.4
TETRA I1.20.00.0229.3
TETRA II0.20.00.033.9
TETRA III0.10.00.026.5
TV4&53.00.00.02,206.2
LTE 800 (DL)977.5299.51.152,526.5
LTE 800 (UL)0.00.00.02.5
GSM + UMTS 900 (UL)0.00.00.04.5
GSM + UMTS 900 (DL)1,236.2459.02.544,241.5
GSM 1800 (UL)0.00.00.07.5
GSM 1800 (DL)78.917.80.38,442.1
DECT27.35.10.04,614.8
UMTS 2100 (UL)0.00.00.05.6
UMTS 2100 (DL)301.892.80.218,445.0
WIFI 2G0.00.00.0203.5
LTE 2600 (UL)3.90.00.0904.7
LTE 2600 (DL)1,137.570.50.595,522.5
WIMax0.00.00.02.7
WIFI 5G0.10.00.0105.0
Total3,810.81,312.915.2112,317.7
Total excluding down link78.827.00.04,616.2

[i] Data is based on 74,531 entries for 6 different tours, June 5, 6 and August 21, 22, 30, 31, 2017 (apartment at Östermalm, Stockholm). Analysis of all data (µW/m2) treating values at detection limit as 0. Frequency bands are given. FM, frequency modulation; TV, television; LTE, long-term evolution; DL, downlink (transmission from base station to mobile phone); UL, uplink (transmission from mobile phone to base station); GSM, global system for mobile communications; UMTS, universal mobile telecommunications system; DECT, digital European cordless telecommunications; WiMAX, worldwide interoperability for microwave access.

The measurements in the apartment, excluding the 5 balconies, were based on 64,070 readings (71 h of measurements). The mean level was 1,766 µW/m2; median 1,051 µW/m2 (range min 15.2 µW/m2, max 50,431.0 µW/m2; data not shown). These results nevertheless represent high levels of RF radiation.

Table III gives the levels for different locations within the apartment, and Table IV shows the results where the contribution from base stations is excluded at each location; thereby substantially lower values were generally obtained.

Table III.

Levels of RF-radiation in total for different locations in the apartment (Östermalm, Stockholm).

Table III.

Levels of RF-radiation in total for different locations in the apartment (Östermalm, Stockholm).

Total

LocationNo.MeanMedianMinMax
  1. Balcony outside kitchena1661,083.2895.6226.55,026.6
  2. Kitchen1,973256.4194.070.42,091.7
  3. Dining room4,2721,480.6854.193.612,068.7
  4. Master bedroom12,920569.7370.536.16,280.8
  5. Balcony outside bathrooma5061,912.81,684.431.86,475.8
  6. Living room4,415321.7236.115.28,782.6
  7. Balcony outside living room5,25124,885.922,256.172.0112,317.7
  8. Main halla59185.2154.259.6512.7
  9. Workroom close to kitchena599266.9235.3123.62,135.6
10. Workroom close to laundry3,8991,310.11,044.6266.07,999.8
11. Laundrya3881,561.61,416.0193.27,843.2
12. Girl's bedroom11,4402,531.02,270.579.111,802.6
13. Boy's bedroom14,1611,471.11,122.358.513,739.1
14. Balcony outside boy's rooma7776,803.33,254.965.3107,992.5
15. Hall outside elevatora90251.3197.624.31,590.1
16. Bedroom in tower6,7975,954.34,503.596.850,431.0
17. Conference room in tower3,057432.5229.389.912,840.7
18. Balcony outside tower3,7618,989.47,848.843.556,191.3
Whole apartment74,5313,810.81,312.915.2112,317.7

a Only measured June 2017. Levels of RF-radiation in total for different locations in the apartment (Östermalm, Stockholm) based on measurements in June 5, 6 and August 21, 22, 30, 31, 2017. Analysis of all data (µW/m2) treating values at detection limit as 0. Numbers of entries are given for the different locations.

Table IV.

Levels of RF-radiation in total excluding down links in the apartment (Östermalm, Stockholm).

Table IV.

Levels of RF-radiation in total excluding down links in the apartment (Östermalm, Stockholm).

Total excluding down links

LocationNo.MeanMedianMinMax
  1. Balcony outside kitchena166288.2310.368.1565.1
  2. Kitchen1,97387.444.515.0440.7
  3. Dining room4,27270.868.420.0461.0
  4. Master bedroom12,92032.422.54.8606.5
  5. Balcony outside bathrooma50677.356.85.8687.1
  6. Living room4,41526.825.52.0383.8
  7. Balcony outside living room5,251229.6146.50.04,155.6
  8. Main halla5941.328.45.7282.9
  9. Workroom close to kitchena59940.631.514.02,004.3
10. Workroom close to laundry3,89925.319.46.72,199.0
11. Laundrya38838.426.03.2343.6
12. Girl's bedroom11,44034.123.17.21,069.8
13. Boy's bedroom14,16113.46.80.0427.8
14. Balcony outside boy's rooma77790.252.60.04,616.2
15. Hall outside elevatora9028.322.00.2157.8
16. Bedroom in tower6,797205.4158.413.53,457.8
17. Conference room in tower3,05744.536.79.4743.4
18. Balcony outside tower3,761331.2363.83.81,618.4
Whole apartment74,53178.827.00.04,616.2

a Only measured June 2017. Levels of RF-radiation in total excluding down links for different locations in the apartment (Östermalm, Stockholm) based on measurements in June 5, 6 and August 21, 22, 30, 31, 2017. Analysis of all data (µW/m2) treating values at detection limit as 0. Numbers of entries are given for the different locations. Down links from base stations are excluded.

Balconies

The highest results were inevitably found on the balconies, especially the 3 facing at short distance the visible base stations. The highest mean value (24,885.9 µW/m2) was measured on the balcony outside the living room (Table V), at which the highest maximum exposure was found (112,317.7 µW/m2). The results were based on 5,251 entries corresponding to ~6 h of measurements. If the down link of RF radiation from the base stations was disregarded, the total mean on that balcony fell to 229.6 µW/m2 (~0.9% of the total; Table V). The balconies outside the boy's bedroom and outside the tower gave similar results with high RF radiation from nearby base stations (Tables III and IV). Thus the mean RF radiation value outside the boy's bedroom was reduced from 6,803.3 µW/m2 to 90.2 µW/m2 when disregarding down links from base stations. For the balcony outside the tower, the RF radiation fell from 8,989.4 to 331.2 µW/m2 excluding down links.

Table V.

Levels of RF-radiation at the balcony outside the living room (Östermalm, Stockholm).

Table V.

Levels of RF-radiation at the balcony outside the living room (Östermalm, Stockholm).

VariableMeanMedianMinMax
FM6.31.20.02,139.0
TV30.70.00.066.2
TETRA I0.00.00.03.4
TETRA II0.00.00.00.9
TETRA III0.00.00.02.7
TV4&59.30.00.0828.9
LTE 800 (DL)1,280.2706.24.917,533.3
LTE 800 (UL)0.00.00.00.2
GSM + UMTS 900 (UL)0.00.00.00.3
GSM + UMTS 900 (DL)8,731.611,977.816.144,241.5
GSM 1800 (UL)0.00.00.01.8
GSM 1800 (DL)584.3409.70.76,193.1
DECT212.9137.90.04,124.7
UMTS 2100 (UL)0.00.00.05.6
UMTS 2100 (DL)1,421.61,270.21.118,445.0
WIFI 2G0.00.00.07.2
LTE 2600 (UL)0.40.00.095.8
LTE 2600 (DL)12,638.78,394.81.195,522.5
WIMax0.00.00.00.8
WIFI 5G0.00.00.01.8
Total24,885.922,256.172.0112,317.7
Total excluding down link229.6146.50.04,155.6

[i] Levels of RF-radiation at the balcony outside the living room based on measurements in June 5, 6 and August 21, 22, 30, 31, 2017 (apartment at Östermalm, Stockholm). Analysis of all data (µW/m2) treating values at detection limit as 0. In total 5,251 entries corresponding to almost 6 h of measurements. FM, frequency modulation; TV, television; LTE, long-term evolution; DL, downlink (transmission from base station to mobile phone); UL, uplink (transmission from mobile phone to base station); GSM, global system for mobile communications; UMTS, universal mobile telecommunications system; DECT, digital European cordless telecommunications; WiMAX, worldwide interoperability for microwave access.

Bedrooms

Most of the time is usually spent in bedroom. The master bedroom showed lower RF radiation values compared with the other bedrooms, mean 569.7, and 32.4 µW/m2 excluding down links (Tables III and IV). Especially high levels were recorded in the two children's bedrooms and the one located in the tower (Tables VI–VIII). In the girl's bedroom, the mean level was 2,531.0 µW/m2 (Table VI), whereas in the boy's bedroom it was 1,471.1 µW/m2 (Table VII). The highest RF radiation level in the bedrooms was recorded in the tower bedroom, mean value 5,954.3 µW/m2, Table VIII. Most of the RF radiation came from down links from the base stations, whereas excluding them gave a mean level in the girl's bedroom of 34.1 µW/m2, 13.4 µW/m2 in the boy's bedroom, and 205.4 µW/m2 in the tower bedroom. Thus, RF radiation in the children's bedrooms was reduced ~99%, and by 97% in the tower bedroom by excluding down links from the base stations.

Table VI.

Levels of RF-radiation in the girls's bedroom (Östermalm, Stockholm).

Table VI.

Levels of RF-radiation in the girls's bedroom (Östermalm, Stockholm).

VariableMeanMedianMinMax
FM1.20.50.01,056.1
TV30.10.00.028.7
TETRA I0.00.00.00.0
TETRA II0.00.00.01.0
TETRA III0.00.00.01.4
TV4&50.20.00.044.8
LTE 800 (DL)327.0156.612.63,980.4
LTE 800 (UL)0.00.00.00.3
GSM + UMTS 900 (UL)0.00.00.00.1
GSM + UMTS 900 (DL)774.9590.918.75,561.5
GSM 1800 (UL)0.00.00.00.3
GSM 1800 (DL)29.418.31.2243.5
DECT8.14.00.0167.1
UMTS 2100 (UL)0.00.00.00.1
UMTS 2100 (DL)808.5706.22.93,806.9
WIFI 2G0.00.00.00.5
LTE 2600 (UL)24.515.70.0904.7
LTE 2600 (DL)557.1420.21.47,584.8
WIMax0.00.00.00.0
WIFI 5G0.00.00.00.5
Total2,531.02,270.579.111,802.6
Total excluding34.123.17.21,069.8
down link

[i] Levels of RF-radiation in the girls's bedroom based on measurements in June 5, 6 and August 21, 22, 30, 31, 2017 (apartment at Östermalm, Stockholm). Analysis of all data (µW/m2) treating values at detection limit as 0. In total 11,440 entries corresponding to almost 13 h of measurements. FM, frequency modulation; TV, television; LTE, long-term evolution; DL, downlink (transmission from base station to mobile phone); UL, uplink (transmission from mobile phone to base station); GSM, global system for mobile communications; UMTS, universal mobile telecommunications system; DECT, digital European cordless telecommunications; WiMAX, worldwide interoperability for microwave access.

Table VIII.

Levels of RF-radiation in the tower bedroom (Östermalm, Stockholm).

Table VIII.

Levels of RF-radiation in the tower bedroom (Östermalm, Stockholm).

VariableMeanMedianMinMax
FM155.0127.24.03,441.2
TV36.24.90.0193.4
TETRA I9.10.00.059.7
TETRA II1.61.80.033.9
TETRA III0.60.00.011.9
TV4&514.00.00.02,206.2
LTE 800 (DL)3,712.12,333.88.648,136.9
LTE 800 (UL)0.00.00.00.1
GSM + UMTS 900 (UL)0.00.00.04.5
GSM + UMTS 900 (DL)1,785.41,689.113.811,775.7
GSM 1800 (UL)0.00.00.00.1
GSM 1800 (DL)59.047.60.9657.8
DECT18.813.80.0593.4
UMTS 2100 (UL)0.00.00.00.7
UMTS 2100 (DL)77.765.41.0495.0
WIFI 2G0.00.00.00.7
LTE 2600 (UL)0.00.00.06.4
LTE 2600 (DL)114.875.82.73,321.4
WIMax0.00.00.00.0
WIFI 5G0.00.00.01.5
Total5,954.34,503.596.850,431.0
Total excluding down link205.4158.413.53,457.8

[i] Levels of RF-radiation in the tower bedroom based on measurements in June 5, 6 and August 21, 22, 30, 31, 2017 (apartment at Östermalm, Stockholm). Analysis of all data (µW/m2) treating values at detection limit as 0. In total 6,797 entries corresponding to almost 7.5 h of measurements. FM, frequency modulation; TV, television; LTE, long-term evolution; DL, downlink (transmission from base station to mobile phone); UL, uplink (transmission from mobile phone to base station); GSM, global system for mobile communications; UMTS, universal mobile telecommunications system; DECT, digital European cordless telecommunications; WiMAX, worldwide interoperability for microwave access.

Table VII.

Levels of RF-radiation in the boy's bedroom (Östermalm, Stockholm).

Table VII.

Levels of RF-radiation in the boy's bedroom (Östermalm, Stockholm).

VariableMeanMedianMinMax
FM0.50.40.0407.6
TV30.00.00.06.1
TETRA I0.00.00.016.6
TETRA II0.00.00.01.2
TETRA III0.00.00.00.6
TV4&52.20.00.0304.8
LTE 800 (DL)448.2292.42.48,651.6
LTE 800 (UL)0.00.00.00.0
GSM + UMTS 900 (UL)0.00.00.00.2
GSM + UMTS 900 (DL)756.1558.86.47,056.1
GSM 1800 (UL)0.00.00.00.1
GSM 1800 (DL)29.418.70.7474.6
DECT10.55.90.0353.4
UMTS 2100 (UL)0.00.00.00.1
UMTS 2100 (DL)124.3114.81.51,158.9
WIFI 2G0.00.00.01.2
LTE 2600 (UL)0.20.10.014.1
LTE 2600 (DL)99.757.30.51,352.2
WIMax0.00.00.00.0
WIFI 5G0.00.00.00.9
Total1,471.11,122.358.513,739.1
Total excluding down link13.46.80.0427.8

[i] Levels of RF-radiation in the boy's bedroom based on measurements in June 5, 6 and August 21, 22, 30, 31, 2017 (apartment at Östermalm, Stockholm). Analysis of all data (µW/m2) treating values at detection limit as 0. In total 14,161 entries corresponding to almost 16 h of measurements. FM, frequency modulation; TV, television; LTE, long-term evolution; DL, downlink (transmission from base station to mobile phone); UL, uplink (transmission from mobile phone to base station); GSM, global system for mobile communications; UMTS, universal mobile telecommunications system; DECT, digital European cordless telecommunications; WiMAX, worldwide interoperability for microwave access.

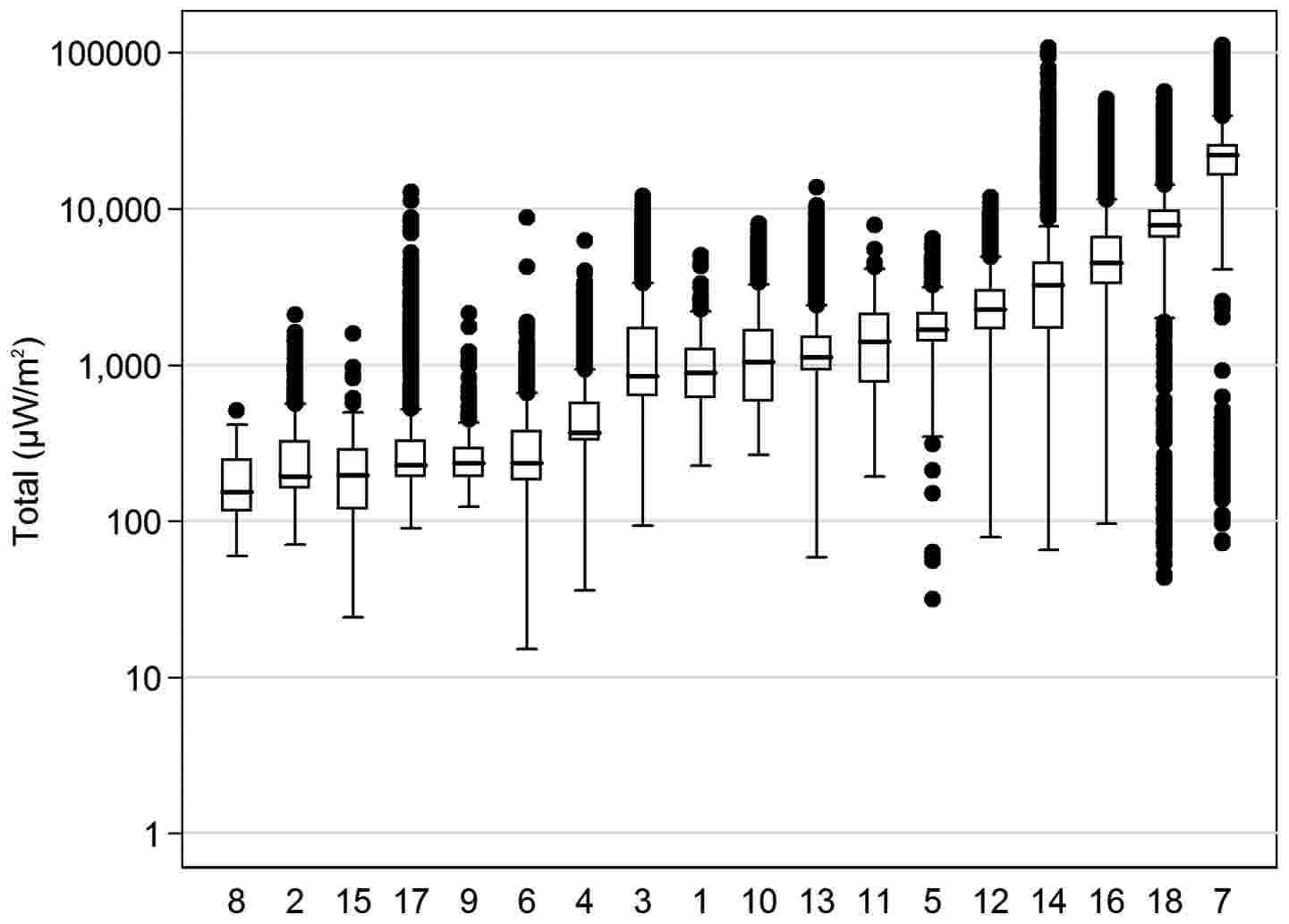
Fig. 1 shows box plots of median levels for all 18 measured areas, with the results in increasing median levels of RF radiation. The bottom and top of the boxes represent first and third quartiles of the levels, with outliers shown as points. Without doubt the balconies had the highest levels, especially the 3 visibly near the surrounding base stations. Fig. 2 shows a bar graph of the mean levels.

Figure 1.

Box plot of exposure in µW/m2, logarithmic scale, for the 6 measurement rounds and total exposure (apartment in Östermalm, Stockholm). The median is indicated by a black line inside each box; the bottom and top of the boxes show first and third quartiles; the end of the whiskers are calculated as 1.5×IQR (interquartile range). Points represent outliers. Results are displayed according to increasing median level. 1, Balcony outside kitchen; 2, Kitchen; 3, Dining room; 4, Master bedroom; 5, Balcony outside bathroom; 6, Living room; 7, Balcony outside living room; 8, Main hall; 9, Workroom close to kitchen; 10, Workroom close to laundry; 11, Laundry; 12, Girl's bedroom; 13, Boy's bedroom; 14, Balcony outside boy's bedroom; 15, Hall outside elevator; 16, Bedroom in tower; 17, Conference room in tower; 18, Balcony outside tower.

Figure 2.

Bar graph on mean levels of total exposure in µW/m2 displayed with a logarithmic scale and ranked according to increasing mean level in the different locations (apartment in Östermalm, Stockholm). 1, Balcony outside kitchen; 2, Kitchen; 3, Dining room; 4, Master bedroom; 5, Balcony outside bathroom; 6, Living room; 7, Balcony outside living room; 8, Main hall; 9, Workroom close to kitchen; 10, Workroom close to laundry; 11, Laundry; 12, Girl's bedroom; 13, Boy's bedroom; 14, Balcony outside boy's bedroom; 15, Hall outside elevator; 16, Bedroom in tower; 17, Conference room in tower; 18, Balcony outside tower.

There was little variation of the levels in the day and night. Some fall in the measurements were noted from midnight until early morning in the boy's bedroom (Fig. 3), but there was still a high level of RF radiation.

Figure 3.

Time variation of measurements in boy's bedroom (apartment in Östermalm, Stockholm) from the afternoon until early next morning (µW/m2 on a logarithmic scale). The spikes represent measurements taken every 4th sec.

Apartment at Gärdet for comparison

Data for the apartment at Gärdet, Stockholm, based on 36,799 entries corresponding to ~40 h of measurements are given in (Table IX). The highest RF radiation was measured on the balcony, but the total mean remained low, 15.6 µW/m2 (min 2.2, max 195.1 µW/m2). About 50% of the RF radiation was caused by the GSM + UMTS 900 (3G) down link.

Table IX.

Levels of RF-radiation in total for different locations in the apartment (Gärdet, Stockholm).

Table IX.

Levels of RF-radiation in total for different locations in the apartment (Gärdet, Stockholm).

LocationNo.MeanMedianMinMax
Kitchen6,8159.27.84.255.6
Dining room5,97016.215.46.260.6
Bedroom8,16310.78.63.958.2
Living room8,22918.417.07.597.8
Hall5,8094.23.92.220.6
Balcony1,81382.473.19.1195.1
Whole apartment36,79915.612.82.2195.1
Whole apartment-excluding down link36,7991.10.70.0124.6

[i] Levels of RF-radiation in total for different locations in the apartment based on measurements in October 27–29 and November 6, 2017 (Gärdet, Stockholm). Analysis of all data (µW/m2) treating values at detection limit as 0. Numbers of entries are given for the different locations.

Discussion

The results were based on a large sample of measurements in the apartment at Östermalm, Stockholm representing about 83 h of recording. High levels of RF radiation were clearly measured throughout the apartment, but especially on the 3 balconies. Most of the RF radiation came from the outside base stations. The total mean level in the apartment fell from 3,810.8 to 78.8 µW/m2, a reduction of ~98% occurring if the down links from base stations were excluded.

Table II shows that TV and radio communications contributed only to a minor extent. The contribution was more pronounced at the balcony outside the kitchen in the direction of the transmitting tower (mean level of 276.4 µW/m2 for all TV and radio communications; data not in the Table). Most of the RF radiation in the tower bedroom was also caused by radio/TV towers when down links from base stations were excluded (see Table VIII). A minor contribution was from the DECT frequency (Table II). The source of radiation was probably from a neighboring apartment, since no DECT phone was used in the present apartment.

The highest RF radiation levels were measured on the balconies (Figs. 1 and 2 give median and mean values). Fig. 4 shows the group of base stations located only 12 m from the balcony outside the living room. It is questionable whether these balconies are suitable for any longer stay due to the high radiation; the balcony outside the living room (with mean level 24,885.9 µW/m2, median 22,256.1 µW/m2, and maximum level 112,317.7 µW/m2) gave the highest of all recorded measurements (Table V). Regarding all 5 balconies, the results were based on 10,461 readings (>11 h of measurements). The mean level was 16,338.7 µW/m2, with a median of 13,775 µW/m2 (range min 31.8, max 112,318 µW/m2). Usually balconies in Sweden are used only briefly due to the climate, but nevertheless these results far exceed levels known to be detrimental to health from RF radiation.

Figure 4.

Image taken from the balcony outside the living room where the highest mean and median were measured (24,885.9 and 22,256.1 µW/m2). One group of base stations is located only 12 m from the balcony.

The use of balconies with decent views can be used for pleasure, a part of comfortable living, but most of the day and night is spent in the apartment. Thus, the level of RF radiation inside is of more concern, especially for a family with children. Notably there was high RF radiation in the bedrooms occupied by children, as also in the tower bedroom. There was little variation with time, although the level declining during night (Fig. 3) still exceeded what is known to give non-thermal biological effects from long-term RF radiation. In the boy's bedroom there seemed to be 2 steps in the reduction of radiation during night, one from approximately 7:00 p.m. and another from midnight, indicating less use of wireless communication after business hours and during late leisure time.

Interestingly measurements recorded in another centrally located apartment in Gärdet were considerably lower in RF radiation. Thus, the mean level was only 0.4% of that found in the apartment at Östermalm. The mean RF radiation on the balcony in Gärdet was much lower; only 0.3% of that on the balcony outside the living room in Östermalm. These results show extreme variation of RF radiation in 2 residential apartments in Stockholm.

The guideline for RF radiation in Sweden is set on the false assumption that adverse health effects are caused only by heating. However, human, animal and cell studies show biological effects at non-thermal exposure levels that are often exceeded during the life-time of most people, especially as shown from the measurements in the Östermalm apartment during this study. Exposure to RF radiation levels in the current study may clearly increase the risk for adverse health effects in the long run, since levels giving non-thermal biological effects are generally exceeded. Our findings will now be related to other measurements of RF radiation exposure, guidelines and studies regarding health issues.

Levels of RF radiation have increased considerably in recent years, both outdoor and indoor, due to new telecommunication technologies and protocols. In 2013, Estenberg and Augustsson (16) measured outdoor exposure with a car-based measuring system in Sweden. The median power-density for RF fields between 30 MHz and 3 GHz was measured in rural areas at 16 µW/m2, urban areas 270 µW/m2, and city areas 2,400 µW/m2. The EME-Spy 200 exposimeter was used to measure 2 areas of high exposure to RF radiation in Stockholm. At the Central Railway Station, the mean total RF radiation level varied between 2,817 and 4,891 µW/m2 (min 5.8, max 155,263 µW/m2) when walking around (13). The total RF radiation in the Stockholm Old Town varied between a mean of 404 µW/m2 (min 20.4, max 4,088 µW/m2) on the streets around the Supreme Court, 756 µW/m2 (min 0.3, max 50,967 µW/m2) around the Royal Castle, and 24,277 µW/m2 (min 257, max 173,302 µW/m2) at Järntorget, which is a popular square with shops and outdoor restaurants (14).

Calvente et al in Spain (17) measured outside the homes of 123 boys aged 10 years. For all houses, the root mean-square of power density (SRMS) was 286 µW/m2 and the maximum power density (SRMS) was 2,760 µW/m2 for frequencies between 100 kHz and 6 GHz. The range between highest and lowest measured mean was large, ranging from 5.5 to 11,560 µW/m2. The 10-year old boys with higher exposure of RF radiation in their immediate surroundings of their dwellings showed statistically significant lower scores in expression and comprehension, and higher behavioral and emotional problems, including anxiety and depressed behavior in different tests.

Usually much lower RF radiation exposure inside homes is measured since the walls can act as a shield against RF radiation. Frei et al (18) got 166 volunteers measure the frequencies 88–2,500 MHz with a body-born exposimeter (EME-Spy 120) in Switzerland. In the homes, the total mean value was 100 µW/m2, and total median 44 µW/m2. The maximum level in the homes was 1,212 µW/m2.

Roser et al (19) got 90 adolescents to carry a body-born exposimeter (Expo-RF) for 3 consecutive days to measure frequencies from 620 to 2,450 MHz. The total mean for these measurements was 63.2 µW/m2, and the total mean measured in the homes was 32.1 µW/m2.

Vermeeren et al (20) measured levels using exposimeters EME-Spy 121 and 140 in schools, kindergartens, offices and homes in Belgium and Greece. In homes, the total average was 0.32 V/m (272 µW/m2) in Belgium and 0.42 V/m (468 µW/m2) in Greece. The maximum levels were 0.77 V/m (1,574 µW/m2) in Belgium and 2.08 V/m (11,482 µW/m2) in Greece. In Belgium, FM-radio, GSM 900 down link from bases stations, and DECT telephones contributed most of the radiation, and in Greece DECT and Wi-Fi 2.45 GHz contributed most.

Verlock et al (21) measured schools, homes and public places in Belgium with a Narda NBM-550 in the frequency range 100 kHz-6 GHz. Total means for the measurements was 0.45 V/m (537 µW/m2), for homes 0.08 V/m (16.9 µW/m2), and maximum value in homes was 1.08 V/m (3,096 µW/m2).

These studies, published from 2009 to 2017, show a large variation in the levels of RF radiation, with highest levels measured in Stockholm.

One obstacle to those concerned with RF radiation exposure in Sweden, as in many other countries, is that different authorities base their guideline for exposure on the International Commission on Non-Ionizing Radiation Protection (ICNIRP). This guideline is based on short-term (acute) exposure. Chronic, low-intensity cumulative exposures, possible long term health effects, and non-thermal biological effects have been ignored. The ICNIRP safety limit established in 1998 (22) was updated in 2009 (23) without change. The guideline from the ICNIRP for RF radiation is 2 to 10 W/m2 (2,000,000 to 10,000,000 µW/m2) depending on frequency (22). The Swedish Radiation Safety Authority (SSM) has adopted the ICNIRP guideline. Many experts at the SSM panel are also members of ICNIRP, which suggests a conflict of interest, since they would rarely compromise the ICNIRP view by expressing critical opinions (15).

Our results on RF radiation exposure in Östermalm are orders of magnitude lower than the ICNIRP guideline, with the median level of exposure being ~10,000 times lower. Using the ICNIRP guideline gives a ‘green card’ to roll out the technology, and position mobile phone base stations on roofs on apartment houses, in close to those living in the surrounding houses, since the high exposure level by ICNIRP is rarely compromised.

In contrast to ICNIRP, the BioInitiative Reports from 2007 and updated in 2012, based the evaluation on non-thermal health effects of RF radiation (24,25). A summary of the BioInitiative Report (2007) was published in a peer-reviewed article (26). Furthermore in both reports, all chapters were based on peer-review published articles, many of them by the authors of the different chapters. Thus, it is incorrect to suggest that the reports represent views and results that are not supported by the scientific literature.

The BioInitiative Report (2012) with updated references defined the scientific benchmark for possible health risks as 30–60 µW/m2. Considering also chronic exposure and the sensitivity of children, the precautionary target level was proposed at 1/10th of this, i.e., 3–6 µW/m2 (25). This exposure target level has not been acknowledged by SSM in Sweden, thus making it possible to neglect results on exposure, such as in the apartment we measured, and not in providing precaution for the potential detrimental effects on health for those living therein.

We used the same exposimeter in the Geneva WHO building on March 3, 2017. The results show a low mean total exposure level of 21.5 µW/m2, median 13.3 µW/m2 (range min 4.8, max 433 µW/m2), i.e., a mean level below the scientific benchmark of 30–60 µW/m2 that has been proposed as the ‘lowest observed effect level’ (LOEL) for RF radiation, [see Chapter 24 in the BioInitiative Report (25)]. The major sources were GSM + UMTS 900 DL (3G), GSM 1800 DL (2G) and UMTS 2100 DL (3G), i.e., down link (DL) of RF radiation from base stations. Thus these results indicate that, whether known or unknown, the WHO staff seems to protect themselves from high involuntary RF radiation levels at least within the measured areas of the Geneva building (15).

In the present study, for the whole apartment including the balconies, the measurements of RF radiation had a total mean of 3,811 µW/m2 and a total median of 1,313 µW/m2. For rooms inside the apartment, the tower bedroom had the highest mean (5,954 µW/m2) and median (4,504 µW/m2). Also the girl's bedroom with mean 2,531 µW/m2 and median 2,271 µW/m2 and the boy's bedroom with a mean of 1,471 µW/m2 and median 1,122 µW/m2 were high values. Time spent in a bedroom is usually many hours per night, which means long term exposure when relatively high levels of RF radiation are still present.

RF radiation exposure at or below these levels indicated above have influenced several physiological parameters in the body of mammals in laboratory studies. Effects on oxidative cell stress and DNA damage in cells, opening of the blood-brain barrier, up or down regulated proteins and microRNA in the brain, and testicular dysfunction, have been found. For people living near mobile phone base stations, effects have been seen on neurotransmitters, peripheral blood lymphocytes with DNA damage, lower antioxidant levels, decreased salivary secretion, adverse neuro-behavioral symptoms, and an increased incidence of cancer. People residing near mobile phone base stations have more often complained of sleep disturbances, headaches, dizziness, irritability, concentration difficulties and hypertension. Exposures to RF radiation were all below the reference levels in the ICNIRP guidelines. The effects were caused by non-thermal RF radiation exposure and will now be briefly discussed.

In rats exposed to RF radiation, the blood brain barrier (BBB) has opened up, leading to leakage into the brain tissues of large molecules, e.g., albumin and toxins that can damage the brain tissue. The BBB is supposed to protect and prevent pathological leakage of toxins from the blood vessels (27). Several studies have shown that the BBB can open after RF radiation from a GSM mobile phone with a peak power output of only 1,000 µW, and with an average whole body specific energy absorption rate (SAR) of down to 120 µW/kg (28). Stronger effects on health due to RF radiation at lower exposure levels than at higher exposure indicate a U-shaped response curve (28,29).

Difference between sexes exposed to different RF radiation frequencies has been reported, where only female rats showed increased BBB permeability at 900 MHz frequency, whereas male rats had increased BBB permeability at both GSM 900 and 1,800 MHz pulse-modulated RF radiation (30).

Exposure to 900 MHz for 3 h per day for 28 days caused extravasation of albumin in the hippocampus and cortex, and impaired spatial memory in rats. The hippocampus, a center for co-ordination of memory and learning in the brain, seems in particular to be a primary target for neuronal damage from RF radiation and opening of the BBB (31). Exposure for 2 h each week for 55 weeks impaired the memory in rats exposed to GSM 900 MHz, but histopathological parameters did not seem to be statistically significantly affected (32,33).

Higher sensitivity to RF radiation has been reported in growing organisms. An increase in protein synthesis in proliferating human cells has been seen after 8 h of RF radiation exposure, but not in quiescent white blood cells (34). In stems cells, the capacity to repair DNA double-strand breaks was more affected by RF radiation compared to differentiated cells (fibroblasts) (35).

Mice exposed to RF radiation from a GSM 900 MHz mobile phone for 3 h/day or to DECT base station for 8 h/day over 8 months showed an up or down regulation of 143 out of 432 proteins analyzed from the cerebellum, hippocampus and frontal lobes of the brain. Several proteins involved in the brain metabolism and different neural functions were altered (36).

Two long-term studies have exposed rats for 24 h a day for 12 months to RF radiation emitted from a Wi-Fi system at 2.4 GHz. The peak power was 100,000 µW, with the antenna 50 cm above the cage. The SAR value over 10 g of brain tissue was 1,030 µW/kg. One study examined 5 different microRNAs (miRNA) in the rat brains, 2 of which decreased at least 70%. miRNA is important in the proliferation, differentiation, function and maintenance of all cells, including neurons; and dysfunction of their pathways can contribute to pathogenesis of neurodegenerative disorders, as well as being a key indicator of epigenetic changes and cancer risk (37).

Rat testes and prostate were examined in another study, where the SAR value was 1,020 W/kg over 10 gram tissue. The Wi-Fi exposed rats showed statistically significant greater effects on testicular function and histology, and increased defects in the heads of sperms (38). DNA damage in sperms has been reported in several other Wi-Fi exposure investigations (39–41).

In a review of 100 studies, Yakymenko et al (42) showed oxidative effects of low-intensity RF radiation on living cells, with exposure down to 2,500 µW/m2 (43). SAR values down to 600 µW/kg increased oxidative stress in the cells (44,45). Embryos of Japanese quails were exposed to RF radiation using GSM 900 MHz (46). The average intensity of RF radiation on the surface of hatching eggs was 2,500 µW/m2 (0.25 µW/cm2). SAR was calculated to be 3 µW/kg. A statistically significant overproduction of reactive oxygen species (ROS) and oxidative damage of DNA in living cells was reported compared with the control group given no exposure. The exposure was far below the guideline of the ICNIRP for RF radiation at 2 to 10 W/m2 depending on frequency and 2 W/kg to the brain. The results showed that the ICNIRP guidelines are outdated. Moreover, using a safety factor of 10 would give 250 µW/m2 as a guideline, a level easily exceeded in many places, e.g., our measurements taken at the Stockholm Central Railway Station (13), in the Old Town (14) and in most rooms in the present apartment at Östermalm.

Long-term RF radiation exposure for 2 h per day 5 days per week for 30–180 days at SAR values of 595–667 µW/kg and at the frequencies 900, 1,800 and 2,450 MHz resulted in oxidative stress, increase in pro-inflammatory cytokines, DNA damage with single-strand breaks, reduced levels of neurotransmitters and downregulation of mRNA in the hippocampus in the brain of rats (45,47,48), with memory and learning also being affected (47). More deleterious effects on several of the parameters were seen with an increase in frequency; 1,800 MHz and 2,450 MHz had a statistically significant effect, not only compared with sham exposed animals, but in some cases compared with 900 MHz exposure.

Even a SAR value down to 85 µW/kg exposure from 900 MHz during 2 h/day, 5 days/week for 30 days, increased oxidative stress parameters in lipid peroxidation and protein oxidation, and resulted in a statistically significant impairment in spatial memory in rats (49).

The pancreas was examined in young rats of 6 weeks of age exposed for 3 h/day for 30 days to 2.45 MHz, pulsed 217 Hz, from a RF test generator, with similar exposure to Wi-Fi 2.45 GHz. Compared to the control group, these rats had statistically significant increased levels of glucose, lipase and amylase in the blood, degenerative changes in both endocrine and exocrine cells, increased inflammatory cells and immune-positive markers, especially in the islets of Langerhans. These findings point to a deleterious effect on both endocrine and exocrine functioning of the pancreas. Langerhans islets secret hormones like insulin, glucagon and somatostatin, which regulate blood glucose levels; insufficient secretion can lead to diabetes, which have seen a big increase during the last few decades in parallel with the fast increasing use of wireless techniques (50).

The National Toxicology Program (NTP) under the National Institutes of Health (NIH) in the USA released a report in 2016 which showed an increased incidence of glioma in the brain and malignant schwannoma in the heart in up to 2 years in RF irradiated rats. These findings support human epidemiological studies on brain tumor risk and strengthen the association between RF radiation and cancer (51). Recent results from the NTP study showed genotoxicity of RF radiation in rats and mice (52). This result supports several previous findings of DNA strand-breaks in rat brain cells exposed to RF radiation, as first published by Lai and Singh (53). RF radiation leads to oxidative stress in biological systems, including the brain, due to an increase in free radicals and changes in antioxidant defence systems.

The NTP study has greatly strengthened the evidence of cancer risk, and reaffirms that there is sufficient scientific evidence to reclassify wireless phone radiation as a carcinogenic agent in Group 1, according to the IARC classification. It confirms that the current public safety limits based only on the thermal effects are inadequate and do not protect us against the associated detrimental health effects (10,11).

In the village of Rimbach in Germany, a GSM mobile base station was built in 2004. Buchner and Eger (54) studied 60 inhabitants (aged 0–69 years), measuring the neurotransmitters adrenaline, noradrenaline, dopamine and phenyletylamine (PEA) in second morning urine samples before the base station was activated, and at 6, 12 and 18 months after activation. RF radiation was measured in peak value of the power density after the activation of the base station outside each participant's houses. The participants were divided into 3 groups based on exposure: less than 60, 60–100 or >100 µW/m2. The stress hormones adrenaline and noradrenaline were significantly increased over the first 6 months after the activation of the GSM base station. The levels decreased, but were not restored to initial level, after 18 months. This was especially evident in the children and the chronically ill adults. A statistically significant decrease was seen for dopamine levels over the first 6 months, after which dopamine levels increased, but did not return to their initial level. For the participants with RF radiation exposure over 100 µW/m2 at home, the 3 neurotransmitters showed a clear dose-response relationship. PEA levels decreased first for the highest exposed group, but after 18 months the 3 groups were all statistically significantly decreased. DECT, Wi-Fi and other wireless devices at home seemed to amplify the effect of GSM radiation. After 18 months, even the lowest exposed group (RF radiation <60 µW/m2) had decreased dopamine and PEA levels.

PEA is often low in patients with depression, and in adults and children with attention deficit hyperactivity disorder (ADHD). Chronic dysregulation of the catecholamine system and PEA may contribute to chronic illnesses and health problems in the long term. Several of the 60 participants had new symptoms, including headache, dizziness, concentration problems, sleep disturbances and allergies (54).

Khurana et al (55) reviewed epidemiological studies on populations living near mobile phone base stations for indications of any health risks for humans. In 80% of the studies, people living <500 m from base stations had an increased prevalence in particular of adverse neuro-behavioral symptoms and cancer. In another review of 56 studies, Levitt and Lai (56) found that exposure from base stations and other antenna arrays induced changes in immunological and reproductive systems, DNA double-strand breaks, influence on calcium movement in the heart, and increased proliferation of astrocytoma cancer cells in humans and laboratory animals. Cortisol and thyroid hormones were also affected in people living near base stations (57,58).

A study with 40 healthy persons in India living <80 m from a mobile phone base station showed that RF radiation definitely induced DNA damage, a lowering of antioxidants levels, and a higher frequency of micronuclei in peripheral blood lymphocytes compared with a control group living >300 m from the base station. Those exposed were between 20 and 40 years old, 18 being male and 22 female. All but 3 used a mobile phone every day. None of the participants had occupational exposure to RF radiation and none lived near a high tension electric power line or electric transformer station (59).

Sleep disturbances, burned-out syndromes, depressions, pain problems and sick leaves are being increasingly reported in our daily papers. Scientific studies on humans, animals and biological material show adverse effects on physiological parameters due to RF radiation. The complex picture relates to wellbeing within the stress of working life and at home, and the rapid technological development leading to more sedentary behavior, with both children and adults watching the screen of a smart phone, laptop or television for many hours each day. RF radiation may contribute to deterioration in physical and mental wellbeing and health. There seems also to be a large difference in sensitivity to RF radiation between individuals, both in humans and animals (28,60). One example is the findings of downregulation of a sleep-inducing neurohormone in the age group of 18–30 years. Its level decreased with increasing number of years in use of a wireless phone (61), whereas no effect was seen among older persons (62). Since tumors take several decades to develop, and chronic illnesses, like neurological and cardiac diseases, come in older ages, we will only know in the future if and to what degree RF radiation may influence on the incidence of these illnesses and disorders.

Children are probably more sensitive to RF radiation because of their growing bodies and more immature cells, and also because they will be exposed for probably a whole lifetime in contrast to present generation (34,35,63). High mean exposure levels in the bedrooms of growing children (one at 2,531 µW/m2 and the other at 1,471 µW/m2) may have deleterious effects on their physical and mental health, based on data already obtained from humans and animals. Cognitive effects have also been found in such studies (17,32,48,49), which might affect a child's future work and memory function in older age.

This study shows high RF radiation levels in an apartment with 2 groups of base stations in the near vicinity. Of special concern is the levels in bedrooms, especially those two used by children, since they seem to be more vulnerable to adverse health effects than grown-ups. They have also a longer expected life in which illnesses may later become manifest. The results indicate that this apartment is unsuitable for long-term living based on current knowledge of the potential adverse effects on health of RF radiation. For definitive conclusions regarding the effects of RF radiation levels from the base stations, one option would be to turn off all nearby base stations and make new measurements; some exposure from more distant located base stations cannot be excluded. However, the present results show that the safest solution is to turn off permanently and dismantle the base stations.

Acknowledgements

Not applicable.

Funding

The study was supported by grants from Mr Brian Stein, Cancer och Allergifonden, Cancerhjälpen, and the Pandora-Foundation for Independent Research, Berlin, Germany.

Availability of data and materials

The datasets generated and analyzed during the current study are not publicly available due to measurements performed in a private apartment, but are available from the corresponding author on reasonable request.

Authors' contributions

LHa made all measurements and drafted the article. MC made all statistical analyses, tables and figures. LHe was responsible for the literature review of other measurement studies in homes and studies about the biological effects from non-thermal levels of RF radiation. All authors contributed to the final article and approved the submitted version.

Ethics approval and consent to participate

Not applicable.

Consent for publication

Not applicable.

Competing interests

The authors declare that they have no competing interests.

References

1 

Cardis E, Deltour I, Mann S, Moissonnier M, Taki M, Varsier N, Wake K and Wiart J: Distribution of RF energy emitted by mobile phones in anatomical structures of the brain. Phys Med Biol. 53:2771–2783. 2008. View Article : Google Scholar : PubMed/NCBI

2 

Gandhi OP, Morgan LL, de Salles AA, Han YY, Herberman RB and Davis DL: Exposure limits: The underestimation of absorbed cell phone radiation, especially in children. Electromagn Biol Med. 31:34–35. 2012. View Article : Google Scholar : PubMed/NCBI

3 

Baan R, Grosse Y, Secretan Lauby B, El Ghissassi F, Bouvard V, Benbrahim-Tallaa L, Guha N, Islami F, Galichet L and Straif K: WHO International Agency for Research on Cancer Monograph Working Group: Carcinogenicity of radiofrequency electromagnetic fields. Lancet Oncol. 12:624–626. 2011. View Article : Google Scholar : PubMed/NCBI

4 

IARC Monographs on the Evaluation of Carcinogenic Risks to Humans, Non-Ionizing RadiationPart 2: Radiofrequency Electromagnetic Fields. 102. IARC; Lyon: 2013, http://monographs.iarc.fr/ENG/Monographs/vol102/mono102.pdfNovember 9–2017

5 

Hardell L, Carlberg M and Mild Hansson K: Pooled analysis of case-control studies on malignant brain tumours and the use of mobile and cordless phones including living and deceased subjects. Int J Oncol. 38:1465–1474. 2011. View Article : Google Scholar : PubMed/NCBI

6 

INTERPHONE Study Group: Brain tumour risk in relation to mobile telephone use: Results of the INTERPHONE international case-control study. Int J Epidemiol. 39:675–694. 2010. View Article : Google Scholar : PubMed/NCBI

7 

Hardell L, Carlberg M, Söderqvist F and Mild Hansson K: Pooled analysis of case-control studies on acoustic neuroma diagnosed 1997–2003 and 2007–2009 and use of mobile and cordless phones. Int J Oncol. 43:1036–1044. 2013. View Article : Google Scholar : PubMed/NCBI

8 

Coureau G, Bouvier G, Lebailly P, Fabbro-Peray P, Gruber A, Leffondre K, Guillamo JS, Loiseau H, Mathoulin-Pélissier S, Salamon R and Baldi I: Mobile phone use and brain tumours in the CERENAT case-control study. Occup Environ Med. 71:514–522. 2014. View Article : Google Scholar : PubMed/NCBI

9 

Hardell L and Carlberg M: Mobile phone and cordless phone use and the risk for glioma-Analysis of pooled case-control studies in Sweden, 1997–2003 and 2007–2009. Pathophysiology. 22:1–13. 2015. View Article : Google Scholar : PubMed/NCBI

10 

Carlberg M and Hardell L: Evaluation of mobile phone and cordless phone use and glioma risk using the Bradford Hill viewpoints from 1965 on association or causation. Biomed Res Int. 2017:92184862017. View Article : Google Scholar : PubMed/NCBI

11 

Hardell L and Carlberg M: Using the Hill viewpoints from 1965 for evaluating strengths of evidence of the risk for brain tumors associated with use of mobile and cordless phones. Rev Environ Health. 28:97–106. 2013. View Article : Google Scholar : PubMed/NCBI

12 

Hill AB: The environment and disease: Association or causation? Proc R Soc Med. 58:295–300. 1965.PubMed/NCBI

13 

Hardell L, Koppel T, Carlberg M, Ahonen M and Hedendahl L: Radiofrequency radiation at Stockholm central railway station in Sweden and some medical aspects on public exposure to RF fields. Int J Oncol. 49:1315–1324. 2016. View Article : Google Scholar : PubMed/NCBI

14 

Hardell L, Carlberg M, Koppel T and Hedendahl L: High radiofrequency radiation at Stockholm Old Town: An exposimeter study including the Royal Castle, Supreme Court, three major squares and the Swedish Parliament. Mol Clin Oncol. 6:462–476. 2017. View Article : Google Scholar : PubMed/NCBI

15 

Hardell L: World Health Organization, radiofrequency radiation and health-a hard nut to crack (Review). Int J Oncol. 51:405–413. 2017. View Article : Google Scholar : PubMed/NCBI

16 

Estenberg J and Augustsson T: Extensive frequency selective measurements of radiofrequency fields in outdoor environments performed with a novel mobile monitoring system. Bioelectromagnetics. 35:227–230. 2014. View Article : Google Scholar : PubMed/NCBI

17 

Calvente I, Pérez-Lobato R, Núñez MI, Ramos R, Guxens M, Villalba J, Olea N and Fernández MF: Does exposure to environmental radiofrequency electromagnetic fields cause cognitive and behavioral effects in 10-year-old boys? Bioelectromagnetics. 37:25–36. 2016. View Article : Google Scholar : PubMed/NCBI

18 

Frei P, Mohler E, Neubauer G, Theis G, Bürgi A, Fröhlich J, Braun-Fahrländer C, Bolte J, Egger M and Röösli M: Temporal and spatial variability of personal exposure to radio frequency electromagnetic fields. Environ Res. 109:779–785. 2009. View Article : Google Scholar : PubMed/NCBI

19 

Roser K, Schoeni A, Struchen B, Zahner M, Eeftens M, Fröhlich J and Röösli M: Personal radiofrequency electromagnetic field exposure measurements in Swiss adolescents. Environ Int. 99:303–314. 2017. View Article : Google Scholar : PubMed/NCBI

20 

Vermeeren G, Markakis I, Goeminne F, Samaras T, Martens L and Joseph W: Spatial and temporal RF electromagnetic field exposure of children and adults in indoor micro environments in Belgium and Greece. Prog Biophys Mol Biol. 113:254–263. 2013. View Article : Google Scholar : PubMed/NCBI

21 

Verlock L, Joseph W, Goeminne F, Martens L, Verlack M and Constandt K: Assessment of radiofrequency exposures in schools, homes, and public places in Belgium. Health Phys. 107:503–513. 2014. View Article : Google Scholar : PubMed/NCBI

22 

International Commission on Non-Ionizing Radiation Protection: Guidelines for limiting exposure to time-varying electric, magnetic, and electromagnetic fields (up to 300 GHz). Health Phys. 74:494–522. 1998.PubMed/NCBI

23 

International Commission on Non-Ionizing Radiation Protection: ICNIRP statement on the ‘Guidelines for limiting exposure to time-varying electric, magnetic, and electromagnetic fields (up to 300 GHz)’. Health Phys. 97:257–258. 2009. View Article : Google Scholar : PubMed/NCBI

24 

BioInitiative Working Group: BioInitiative Report 2007: A Rationale for a Biologically-based Public Exposure Standard for Electromagnetic Fields (ELF and RF), . Sage C and Carpenter DO: Bioinitiative. 2007.http://www.bioinitiative.org/table-of-contents/November 9–2017

25 

BioInitiative Working Group: BioInitiative Report 2012: A Rationale for Biologically-based Public Exposure Standards for Electromagnetic Radiation. Sage C and Carpenter DO: http://www.bioinitiative.orgNovember 9–2017

26 

Hardell L and Sage C: Biological effects from electromagnetic field exposure and public exposure standards. Biomed Pharmacother. 62:104–109. 2008. View Article : Google Scholar : PubMed/NCBI

27 

Salford LG, Brun AE, Eberhardt JL, Malmgren L and Persson BR: Nerve cell damage in mammalian brain after exposure to microwaves from GSM mobile phones. Environ Health Perspect. 111:881–883, Discussion A408. 2003. View Article : Google Scholar : PubMed/NCBI

28 

Nittby H, Brun A, Eberhardt J, Malmgren L, Persson BR and Salford LG: Increased blood-brain barrier permeability in mammalian brain 7 days after exposure to the radiation from a GSM-900 mobile phone. Pathophysiology. 16:103–112. 2009. View Article : Google Scholar : PubMed/NCBI

29 

Eberhardt JL, Persson BR, Brun AE, Salford LG and Malmgren LO: Blood-brain barrier permeability and nerve cell damage in rat brain 14 and 28 days after exposure to microwaves from GSM mobile phones. Electromagn Biol Med. 27:215–229. 2008. View Article : Google Scholar : PubMed/NCBI

30 

Sırav B and Seyhan N: Effects of GSM modulated radio-frequency electromagnetic radiation on permeability of blood-brain barrier in male & female rats. J Chem Neuroanat. 75:123–127. 2016. View Article : Google Scholar : PubMed/NCBI

31 

Tang J, Zhang Y, Yang L, Chen Q, Tan L, Zuo S, Feng H, Chen Z and Zhu G: Exposure to 900 MHz electromagnetic fields activates the mkp-1/ERK pathway and causes blood-brain barrier damage and cognitive impairment in rats. Brain Res. 1601:92–101. 2015. View Article : Google Scholar : PubMed/NCBI

32 

Nittby H, Grafström G, Tian DP, Malmgren L, Brun A, Persson BR, Salford LG and Eberhardt J: Cognitive impairment in rats after long-term exposure to GSM-900 mobile phone radiation. Bioelectromagnetics. 29:219–232. 2008. View Article : Google Scholar : PubMed/NCBI

33 

Grafström G, Nittby H, Brun A, Malmgren L, Persson BR, Salford LG and Eberhardt J: Histopathological examinations of rat brains after long-term exposure to GSM-900 mobile phone radiation. Brain Res Bull. 77:257–263. 2008. View Article : Google Scholar : PubMed/NCBI

34 

Gerner C, Haudek V, Schandl U, Bayer E, Gundacker N, Hutter HP and Mosgoeller W: Increased protein synthesis by cells exposed to a 1,800-MHz radio-frequency mobile phone electromagnetic field, detected by proteome profiling. Int Arch Occup Environ Health. 83:691–702. 2010. View Article : Google Scholar : PubMed/NCBI

35 

Markovà E, Malmgren LO and Belyaev IY: Microwaves from mobile phones inhibit 53BP1 focus formation in human stem cells stronger than in differentiated cells: Possible mechanistic link to cancer risk. Environ Health Perspect. 118:394–399. 2010.PubMed/NCBI

36 

Fragopoulou AF, Samara A, Antonelou MH, Xanthopoulou A, Papadopoulou A, Vougas K, Koutsogiannopoulou E, Anastasiadou E, Stravopodis DJ, Tsangaris GT and Margaritis LH: Brain proteome response following whole body exposure of mice to mobile phone or wireless DECT base radiation. Electromagn Biol Med. 31:250–274. 2012. View Article : Google Scholar : PubMed/NCBI

37 

Dasdag S, Akdag MZ, Erdal ME, Erdal N, Ay OI, Ay ME, Yilmaz SG, Tasdelen B and Yegin K: Effects of 2.4 GHz radiofrequency radiation emitted from Wi-Fi equipment on microRNA expression in brain tissue. Int J Radiat Biol. 91:555–561. 2015. View Article : Google Scholar : PubMed/NCBI

38 

Dasdag S, Tas M, Akdag MZ and Yegin K: Effect of long-term exposure of 2.4 GHz radiofrequency radiation emitted from Wi-Fi equipment on testes functions. Electromagn Biol Med. 34:37–42. 2015. View Article : Google Scholar : PubMed/NCBI

39 

Avendaño C, Mata A, Samiento Sanchez CA and Doncel GF: Use of laptop computers connected to internet through Wi-Fi decreases human sperm motility and increases sperm DNA fragmentation. Fertil Steril. 97:39–45.e2. 2012. View Article : Google Scholar : PubMed/NCBI

40 

Atasoy HI, Gunal MY, Atasoy P, Elgun S and Bugdayci G: Immunohistopathologic demonstration of deleterious effects on growing rat testes of radiofrequency waves emitted from conventional Wi-Fi devices. J Pediatr Urol. 9:223–229. 2013. View Article : Google Scholar : PubMed/NCBI

41 

Akdag MZ, Dasdag S, Canturk F, Karabulut D, Caner Y and Adalier N: Does prolonged radiofrequency radiation emitted from Wi-Fi devices induce DNA damage in various tissues of rats? J Chem Neuroanat. 75:116–122. 2016. View Article : Google Scholar : PubMed/NCBI

42 

Yakymenko I, Tsybulin O, Sidorik E, Henshel D, Kyrylenko O and Kyrylenko S: Oxidative mechanisms of biological activity of low-intensity radiofrequency radiation. Electromagn Biol Med. 35:186–202. 2016. View Article : Google Scholar : PubMed/NCBI

43 

Burlaka A, Tsybulin O, Sidorik E, Lukin S, Polishuk V, Tsehmistrenko S and Yakymenko I: Overproduction of free radical species in embryonal cells exposed to low intensity radiofrequency radiation. Exp Oncol. 35:219–225. 2013.PubMed/NCBI

44 

Megha K, Deshmukh PS, Banerjee BD, Tripathi AK and Abegaonkar MP: Microwave radiation induced oxidative stress, cognitive impairment and inflammation in brain of Fischer rats. Indian J Exp Biol. 50:889–896. 2012.PubMed/NCBI

45 

Megha K, Deshmukh PS, Banerjee BD, Tripathi AK, Ahmed R and Abegaonkar MP: Low intensity microwave radiation induced oxidative stress, inflammatory response and DNA damage in rat brain. Neurotoxicology. 51:158–165. 2015. View Article : Google Scholar : PubMed/NCBI

46 

Tsybulin O, Sidorik E and Yakymenko I: Oxidative effect of low-intensity microwave radiation in the model of developing quail embryos. Oxid Antioxid Med Sci. 6:9–13. 2017. View Article : Google Scholar

47 

Megha K, Deshmukh PS, Ravi AK, Tripathi AK, Abegaonkar MP and Banerjee BD: Effect of low-intensity microwave radiation on monoamine neurotransmitters and their key regulating enzymes in rat brain. Cell Biochem Biophys. 73:93–100. 2015. View Article : Google Scholar : PubMed/NCBI

48 

Deshmukh PS, Nasare N, Megha K, Banerjee BD, Ahmed RS, Singh D, Abegaonkar MP, Tripathi AK and Mediratta PK: Cognitive impairment and neurogenotoxic effects in rats exposed to low-intensity microwave radiation. Int J Toxicol. 34:284–290. 2015. View Article : Google Scholar : PubMed/NCBI

49 

Deshmukh PS, Banerjee BD, Abegaonkar MP, Megha K, Ahmed RS, Tripath AK and Mediratta PK: Effect of low level microwave radiation exposure on cognitive function and oxidative stress in rats. Indian J Biochem Biophys. 50:114–119. 2013.PubMed/NCBI

50 

Topsakal S, Ozmen O, Cicek E and Comlekci S: The amelioratove effect of gallic acid on pancreas lesions induced by 2,45 GHz electromagnetic radiation (Wi-Fi) in young rats. J Rad Res Appl Sci. 10:233–240. 2017.

51 

Wyde M, Cesta M, Blystone C, Elmore S, Foster P, Hooth M, Kissling G, Malarkey D, Sills R, Stout M, et al: Report of Partial findings from the National Toxicology Program Carcinogenesis Studies of Cell Phone Radiofrequency Radiation in Hsd: Sprague Dawley® SD rats (Whole Body Exposure). US National Toxicology Program (NTP). 2016.http://biorxiv.org/content/biorxiv/early/2016/05/26/055699.full.pdfNovember 9–2017

52 

Smith-Roe SL, Wyde ME, Stout MD, Winters JW, Hobbs CA, Shepard KG, Green AS, Kissling GA and Tice RR: Evaluation of the genotoxicity of cell phone radiofrequency radiation in male and female rats and mice following subchronic exposureProceedings of the Environmental Mutagenesis and Genomics Society, 48th Annual Meeting. Raleigh, NC: 2017

53 

Lai H and Singh NP: Melatonin and a spin-trap compound block radiofrequency electromagnetic radiation-induced DNA strand breaks in rat brain cells. Bioelectromagnetics. 18:446–454. 1997. View Article : Google Scholar : PubMed/NCBI

54 

Buchner K and Eger H: Changes of clinically important neurotransmitters under the influence of modulated RF-fields-a long term study under real-life conditions. Umwelt Med Ges. 24:44–57. 2011.

55 

Khurana VG, Hardell L, Everaert J, Bortkiewicz A, Carlberg M and Ahonen M: Epidemiological evidence for a health risk from mobile phone base stations. Int J Occup Environ Health. 16:263–267. 2010. View Article : Google Scholar : PubMed/NCBI

56 

Levitt BB and Lai H: Biological effects from exposure to electromagnetic radiation emitted by cell tower base stations and other antenna arrays. Environ Rev. 18:369–395. 2010. View Article : Google Scholar

57 

Augner C, Hacker GW, Oberfeld G, Florian M, Hitzl W, Hutter J and Pauser G: Effects of exposure to GSM mobile phone base station signals on salivary cortisol, alpha-amylase, and immunoglobulin A. Biomed Environ Sci. 23:199–207. 2010. View Article : Google Scholar : PubMed/NCBI

58 

Eskander EF, Estefan SF and Abd-Rabou AA: How does long term exposure to base stations and mobile phones affect human hormone profiles? Clin Biochem. 45:157–161. 2012. View Article : Google Scholar : PubMed/NCBI

59 

Zothansiama, Zosangzuali M, Lalramdinpuii M and Jagetia GC: Impact of radiofrequency radiation on DNA damage and antioxidants in peripheral blood lymphocytes of humans residing in the vicinity of mobile phone base stations. Electromagn Biol Med. 36:295–305. 2017. View Article : Google Scholar : PubMed/NCBI

60 

Hedendahl L, Carlberg M and Hardell L: Electromagnetic hypersensitivity-an increasing challenge to the medical profession. Rev Environ Health. 30:209–215. 2015. View Article : Google Scholar : PubMed/NCBI

61 

Hardell L, Söderqvist F, Carlberg M, Zetterberg H and Mild K: Exposure to wireless phone emissions and serum beta-trace protein. Int J Mol Med. 26:301–306. 2010. View Article : Google Scholar : PubMed/NCBI

62 

Söderqvist F, Carlberg M, Zetterberg H and Hardell L: Use of wireless phones and serum β-trace protein in randomly recruited persons aged 18–65 years: A cross-sectional study. Electromagn Biol Med. 31:416–424. 2012. View Article : Google Scholar : PubMed/NCBI

63 

Morgan LL, Kesari S and Davis DL: Why children absorb more microwave radiation than adults: The consequences. J Microsc Ultrastruct. 2:197–204. 2014. View Article : Google Scholar

Related Articles

  • Abstract
  • View
  • Download
  • Twitter
Copy and paste a formatted citation
Spandidos Publications style
Hardell L, Carlberg M and Hedendahl LK: Radiofrequency radiation from nearby base stations gives high levels in an apartment in Stockholm, Sweden: A case report. Oncol Lett 15: 7871-7883, 2018.
APA
Hardell, L., Carlberg, M., & Hedendahl, L.K. (2018). Radiofrequency radiation from nearby base stations gives high levels in an apartment in Stockholm, Sweden: A case report. Oncology Letters, 15, 7871-7883. https://doi.org/10.3892/ol.2018.8285
MLA
Hardell, L., Carlberg, M., Hedendahl, L. K."Radiofrequency radiation from nearby base stations gives high levels in an apartment in Stockholm, Sweden: A case report". Oncology Letters 15.5 (2018): 7871-7883.
Chicago
Hardell, L., Carlberg, M., Hedendahl, L. K."Radiofrequency radiation from nearby base stations gives high levels in an apartment in Stockholm, Sweden: A case report". Oncology Letters 15, no. 5 (2018): 7871-7883. https://doi.org/10.3892/ol.2018.8285
Copy and paste a formatted citation
x
Spandidos Publications style
Hardell L, Carlberg M and Hedendahl LK: Radiofrequency radiation from nearby base stations gives high levels in an apartment in Stockholm, Sweden: A case report. Oncol Lett 15: 7871-7883, 2018.
APA
Hardell, L., Carlberg, M., & Hedendahl, L.K. (2018). Radiofrequency radiation from nearby base stations gives high levels in an apartment in Stockholm, Sweden: A case report. Oncology Letters, 15, 7871-7883. https://doi.org/10.3892/ol.2018.8285
MLA
Hardell, L., Carlberg, M., Hedendahl, L. K."Radiofrequency radiation from nearby base stations gives high levels in an apartment in Stockholm, Sweden: A case report". Oncology Letters 15.5 (2018): 7871-7883.
Chicago
Hardell, L., Carlberg, M., Hedendahl, L. K."Radiofrequency radiation from nearby base stations gives high levels in an apartment in Stockholm, Sweden: A case report". Oncology Letters 15, no. 5 (2018): 7871-7883. https://doi.org/10.3892/ol.2018.8285
Follow us
  • Twitter
  • LinkedIn
  • Facebook
About
  • Spandidos Publications
  • Careers
  • Cookie Policy
  • Privacy Policy
How can we help?
  • Help
  • Live Chat
  • Contact
  • Email to our Support Team