Spandidos Publications Logo
  • About
    • About Spandidos
    • Aims and Scopes
    • Abstracting and Indexing
    • Editorial Policies
    • Reprints and Permissions
    • Job Opportunities
    • Terms and Conditions
    • Contact
  • Journals
    • All Journals
    • Oncology Letters
      • Oncology Letters
      • Information for Authors
      • Editorial Policies
      • Editorial Board
      • Aims and Scope
      • Abstracting and Indexing
      • Bibliographic Information
      • Archive
    • International Journal of Oncology
      • International Journal of Oncology
      • Information for Authors
      • Editorial Policies
      • Editorial Board
      • Aims and Scope
      • Abstracting and Indexing
      • Bibliographic Information
      • Archive
    • Molecular and Clinical Oncology
      • Molecular and Clinical Oncology
      • Information for Authors
      • Editorial Policies
      • Editorial Board
      • Aims and Scope
      • Abstracting and Indexing
      • Bibliographic Information
      • Archive
    • Experimental and Therapeutic Medicine
      • Experimental and Therapeutic Medicine
      • Information for Authors
      • Editorial Policies
      • Editorial Board
      • Aims and Scope
      • Abstracting and Indexing
      • Bibliographic Information
      • Archive
    • International Journal of Molecular Medicine
      • International Journal of Molecular Medicine
      • Information for Authors
      • Editorial Policies
      • Editorial Board
      • Aims and Scope
      • Abstracting and Indexing
      • Bibliographic Information
      • Archive
    • Biomedical Reports
      • Biomedical Reports
      • Information for Authors
      • Editorial Policies
      • Editorial Board
      • Aims and Scope
      • Abstracting and Indexing
      • Bibliographic Information
      • Archive
    • Oncology Reports
      • Oncology Reports
      • Information for Authors
      • Editorial Policies
      • Editorial Board
      • Aims and Scope
      • Abstracting and Indexing
      • Bibliographic Information
      • Archive
    • Molecular Medicine Reports
      • Molecular Medicine Reports
      • Information for Authors
      • Editorial Policies
      • Editorial Board
      • Aims and Scope
      • Abstracting and Indexing
      • Bibliographic Information
      • Archive
    • World Academy of Sciences Journal
      • World Academy of Sciences Journal
      • Information for Authors
      • Editorial Policies
      • Editorial Board
      • Aims and Scope
      • Abstracting and Indexing
      • Bibliographic Information
      • Archive
    • International Journal of Functional Nutrition
      • International Journal of Functional Nutrition
      • Information for Authors
      • Editorial Policies
      • Editorial Board
      • Aims and Scope
      • Abstracting and Indexing
      • Bibliographic Information
      • Archive
    • International Journal of Epigenetics
      • International Journal of Epigenetics
      • Information for Authors
      • Editorial Policies
      • Editorial Board
      • Aims and Scope
      • Abstracting and Indexing
      • Bibliographic Information
      • Archive
    • Medicine International
      • Medicine International
      • Information for Authors
      • Editorial Policies
      • Editorial Board
      • Aims and Scope
      • Abstracting and Indexing
      • Bibliographic Information
      • Archive
  • Articles
  • Information
    • Information for Authors
    • Information for Reviewers
    • Information for Librarians
    • Information for Advertisers
    • Conferences
  • Language Editing
Spandidos Publications Logo
  • About
    • About Spandidos
    • Aims and Scopes
    • Abstracting and Indexing
    • Editorial Policies
    • Reprints and Permissions
    • Job Opportunities
    • Terms and Conditions
    • Contact
  • Journals
    • All Journals
    • Biomedical Reports
      • Information for Authors
      • Editorial Policies
      • Editorial Board
      • Aims and Scope
      • Abstracting and Indexing
      • Bibliographic Information
      • Archive
    • Experimental and Therapeutic Medicine
      • Information for Authors
      • Editorial Policies
      • Editorial Board
      • Aims and Scope
      • Abstracting and Indexing
      • Bibliographic Information
      • Archive
    • International Journal of Epigenetics
      • Information for Authors
      • Editorial Policies
      • Editorial Board
      • Aims and Scope
      • Abstracting and Indexing
      • Bibliographic Information
      • Archive
    • International Journal of Functional Nutrition
      • Information for Authors
      • Editorial Policies
      • Editorial Board
      • Aims and Scope
      • Abstracting and Indexing
      • Bibliographic Information
      • Archive
    • International Journal of Molecular Medicine
      • Information for Authors
      • Editorial Policies
      • Editorial Board
      • Aims and Scope
      • Abstracting and Indexing
      • Bibliographic Information
      • Archive
    • International Journal of Oncology
      • Information for Authors
      • Editorial Policies
      • Editorial Board
      • Aims and Scope
      • Abstracting and Indexing
      • Bibliographic Information
      • Archive
    • Medicine International
      • Information for Authors
      • Editorial Policies
      • Editorial Board
      • Aims and Scope
      • Abstracting and Indexing
      • Bibliographic Information
      • Archive
    • Molecular and Clinical Oncology
      • Information for Authors
      • Editorial Policies
      • Editorial Board
      • Aims and Scope
      • Abstracting and Indexing
      • Bibliographic Information
      • Archive
    • Molecular Medicine Reports
      • Information for Authors
      • Editorial Policies
      • Editorial Board
      • Aims and Scope
      • Abstracting and Indexing
      • Bibliographic Information
      • Archive
    • Oncology Letters
      • Information for Authors
      • Editorial Policies
      • Editorial Board
      • Aims and Scope
      • Abstracting and Indexing
      • Bibliographic Information
      • Archive
    • Oncology Reports
      • Information for Authors
      • Editorial Policies
      • Editorial Board
      • Aims and Scope
      • Abstracting and Indexing
      • Bibliographic Information
      • Archive
    • World Academy of Sciences Journal
      • Information for Authors
      • Editorial Policies
      • Editorial Board
      • Aims and Scope
      • Abstracting and Indexing
      • Bibliographic Information
      • Archive
  • Articles
  • Information
    • For Authors
    • For Reviewers
    • For Librarians
    • For Advertisers
    • Conferences
  • Language Editing
Login Register Submit
  • This site uses cookies
  • You can change your cookie settings at any time by following the instructions in our Cookie Policy. To find out more, you may read our Privacy Policy.

    I agree
Search articles by DOI, keyword, author or affiliation
Search
Advanced Search
presentation
Oncology Letters
Join Editorial Board Propose a Special Issue
Print ISSN: 1792-1074 Online ISSN: 1792-1082
Journal Cover
August-2018 Volume 16 Issue 2

Full Size Image

Sign up for eToc alerts
Recommend to Library

Journals

International Journal of Molecular Medicine

International Journal of Molecular Medicine

International Journal of Molecular Medicine is an international journal devoted to molecular mechanisms of human disease.

International Journal of Oncology

International Journal of Oncology

International Journal of Oncology is an international journal devoted to oncology research and cancer treatment.

Molecular Medicine Reports

Molecular Medicine Reports

Covers molecular medicine topics such as pharmacology, pathology, genetics, neuroscience, infectious diseases, molecular cardiology, and molecular surgery.

Oncology Reports

Oncology Reports

Oncology Reports is an international journal devoted to fundamental and applied research in Oncology.

Experimental and Therapeutic Medicine

Experimental and Therapeutic Medicine

Experimental and Therapeutic Medicine is an international journal devoted to laboratory and clinical medicine.

Oncology Letters

Oncology Letters

Oncology Letters is an international journal devoted to Experimental and Clinical Oncology.

Biomedical Reports

Biomedical Reports

Explores a wide range of biological and medical fields, including pharmacology, genetics, microbiology, neuroscience, and molecular cardiology.

Molecular and Clinical Oncology

Molecular and Clinical Oncology

International journal addressing all aspects of oncology research, from tumorigenesis and oncogenes to chemotherapy and metastasis.

World Academy of Sciences Journal

World Academy of Sciences Journal

Multidisciplinary open-access journal spanning biochemistry, genetics, neuroscience, environmental health, and synthetic biology.

International Journal of Functional Nutrition

International Journal of Functional Nutrition

Open-access journal combining biochemistry, pharmacology, immunology, and genetics to advance health through functional nutrition.

International Journal of Epigenetics

International Journal of Epigenetics

Publishes open-access research on using epigenetics to advance understanding and treatment of human disease.

Medicine International

Medicine International

An International Open Access Journal Devoted to General Medicine.

Journal Cover
August-2018 Volume 16 Issue 2

Full Size Image

Sign up for eToc alerts
Recommend to Library

  • Article
  • Citations
    • Cite This Article
    • Download Citation
    • Create Citation Alert
    • Remove Citation Alert
    • Cited By
  • Similar Articles
    • Related Articles (in Spandidos Publications)
    • Similar Articles (Google Scholar)
    • Similar Articles (PubMed)
  • Download PDF
  • Download XML
  • View XML
Article Open Access

Monitoring immunoglobulin heavy chain and T‑cell receptor gene rearrangement in cfDNA as minimal residual disease detection for patients with acute myeloid leukemia

  • Authors:
    • Ling Zhong
    • Jiao Chen
    • Xiaobing Huang
    • Yanxing Li
    • Tao Jiang
  • View Affiliations / Copyright

    Affiliations: Department of Clinical Laboratory, Sichuan Academy of Medical Science, Sichuan Provincial People's Hospital, Chengdu, Sichuan 610072, P.R. China, Department of Hematology, Sichuan Academy of Medical Science, Sichuan Provincial People's Hospital, Chengdu, Sichuan 610072, P.R. China
    Copyright: © Zhong et al. This is an open access article distributed under the terms of Creative Commons Attribution License.
  • Pages: 2279-2288
    |
    Published online on: June 13, 2018
       https://doi.org/10.3892/ol.2018.8966
  • Expand metrics +
Metrics: Total Views: 0 (Spandidos Publications: | PMC Statistics: )
Metrics: Total PDF Downloads: 0 (Spandidos Publications: | PMC Statistics: )
Cited By (CrossRef): 0 citations Loading Articles...

This article is mentioned in:



Abstract

The present study aimed to examine whether monoclonal immunoglobulin heavy chain (IGH) or T‑cell receptor (TCR) gene rearrangement in cell‑free DNA (cfDNA) may be used for minimal residual disease (MRD) monitoring in patients with acute myeloid leukemia (AML). Monoclonal IGH and TCR rearrangement in cfDNA were monitored in patients with AML. A total of 94 (40%) patients had monoclonal IGH or TCR rearrangements in cfDNA at diagnosis; 84% of these patients (79 cases) achieved complete remission following 1‑3 courses of induction chemotherapy. Among these cases, 89.9% were negative for monoclonal IGH or TCR rearrangement in cfDNA following consolidation chemotherapies. A total of 8 patients with consistently positive monoclonal IGH or TCR rearrangement in cfDNA relapsed within 6‑10 months. During follow up, 39 patients demonstrated positive monoclonal IGH or TCR rearrangement in cfDNA and relapsed. Recurrence of monoclonal IGH or TCR rearrangement in cfDNA was observed 1‑3 months earlier than bone marrow relapse and 11 patients with solitary extramedullary relapse demonstrated positive monoclonal IGH or TCR rearrangement recurrence in cfDNA. In conclusion, the detection of monoclonal IGH and TCR rearrangement in cfDNA may represent a useful tool for MRD monitoring in patients with AML.

Introduction

Circulating tumor DNA, which is tumor-derived soluble cell-free DNA (cfDNA) found in plasma, contains the same mutations as the cellular DNA of the tumor. In 1977, Leon et al (1) found that the concentration of cfDNA in patients with cancer was much higher than in normal controls. Several studies have shown that tumor-derived DNA is released into blood and enriched in plasma. As tumor-derived cfDNA contains the same mutations as tumor cellular DNA (2,3), the former may be used as evidence of the presence of a tumor. Using cfDNA as a diagnostic sample represents a novel, convenient, and noninvasive method for tumor detection, as cfDNA derived from tumors possesses mutations specific to these tumors (4). Furthermore, such analyses are expected to provide information regarding minimal residual disease (MRD).

Acute myeloid leukemia (AML) is a highly aggressive hematologic malignancy; MRD monitoring is crucial for the successful management of this disease (5). Currently, two strategies are employed for MRD monitoring of AML- detection of specific gene abnormalities in leukemia cells by quantitative polymerase chain reaction (qPCR) and detection of phenotypic abnormal tumor cells by flow cytometry (6). Several patients with AML harbor recurrent genetic abnormalities of prognostic significance, such as PML-RARα, AML1-ETO, and CBFβ-MYH11. The quantitative measurement of PML-RARα by real-time polymerase chain reaction (PCR) has been extremely useful for MRD monitoring of AML. However, not all AML patients may be monitored using qPCR, and flow cytometry is less satisfactory than qPCR for MRD monitoring (6).

Leukemia cells represent the clonal outgrowth of hematopoietic stem cells arrested at early stages of myeloid differentiation. Numerous patients with AML display surface antigens associated with lymphoid development. In the last few decades, several studies have reported the prognostic utility of lymphoid antigen expression in AML (7). Furthermore, monoclonal rearrangements of immunoglobulin heavy chain (IGH) and/or T-cell receptor (TCR) have been detected in AML (8,9). For most patients with AML without recurrent genetic abnormalities, monoclonal rearrangements of IGH and/or TCR represent useful tools for MRD monitoring. In the present study, we aimed to use clonal rearrangement of IGH and the TCR gene in cfDNA as MRD markers in AML. Additionally, we determined the incidence of monoclonal IGH and TCR gene rearrangement in patients with AML, using cfDNA as well as DNA from bone marrow (BM) and peripheral blood (PB) samples. Finally, we examined the prognostic utility of these variables and their relationship with early relapse for MRD monitoring.

Patients and methods

Patients

We recruited 235 adult patients diagnosed with AML at our hospital between September 2009 and September 2014 according to the World Health Organization (WHO) Classification of Tumors of Hematopoietic and Lymphoid Tissue (4th edition) criteria. Patients with acute promyelocytic leukemia were excluded. PB, BM, and plasma samples were collected and archived before induction chemotherapy, after two and four courses of consolidation chemotherapies, and every 3 months thereafter. Control samples were obtained from 40 patients without malignant hematologic disease. The present study was approved by the ethics committee of Sichuan Academy of Medical Science and Sichuan Provincial Peoples' Hospital (Sichuan, China) according to the Declaration of Helsinki. All patients provided written informed consent.

DNA extraction

PB samples were drawn and then immediately centrifuged at 3,000 rpm for 5 min. Plasma and cells were collected and stored in liquid nitrogen. The mononuclear cells of BM samples were isolated as previously described (8) and stored in liquid nitrogen.

DNA from the PB was extracted using an SBS DNA extraction kit (SBS, Beijing, China) according to the manufacturer's instructions. cfDNA and DNA from BM samples were extracted using a QIAamp DNA Mini kit (Qiagen GmbH, Hilden, Germany) according to the manufacturer's instructions. To enrich the cfDNA, we modified the extraction protocol by adding 10% PEG 8000 solution. Briefly, 20 µl of proteinase K was added to 200 µl of thawed plasma, and the mixed samples were incubated at 56°C for 30 min. Then, after being cooled to room temperature, an equal volume of 10% PEG 8000 solution was added and the samples were placed at 4°C for 30 min. Then, 200 µl of 100% ethanol was added to the samples, which were subsequently eluted using the QIAamp spin column, in two equivalent increments. The column was then washed with three different buffers (AW1, AW2, AE; Qiagen GmbH). DNA was eluted to a volume of 50 µl with the final buffer; 10 µg of cfDNA was obtained from 3 ml PB.

PCR

The DNA products from plasma, PB, and BM were analyzed for clonality using the strict quality control protocols established by Kwok and Higuchi (10). In addition, for each experiment, cellular DNA from the normal and empty controls was used as a double-negative control. Raji and Jurkat cells were used as positive controls for monoclonal IGH and TCR rearrangement, respectively. PCR was performed in a total volume of 25 µl containing 12.5 µl of 2× reaction mix (Takara Biotechnology Co., Ltd., Dalian, China), 0.1 µl of golden DNA polymerase, 25 µM primer mix (Invitrogen; Thermo Fisher Scientific, Inc., Waltham, MA, USA; Table I), DNA template (<0.5 µg), and dH2O. A Bio-Rad thermal cycler (Bio-Rad Laboratories, Inc., Hercules, CA, USA) was used for PCR; the final PCR products were separated on 8% polyacrylamide gels and confirmed by DNA sequencing. A sample was defined as monoclonal if the assay showed a distinct, single band in the appropriate region. If there was no band or smear, the sample was considered polyclonal. Globin was set as an internal reference. Touchdown PCR consisted of an initial denaturation step of 3 min at 95°C; followed by five cycles of denaturation at 94°C for 30 sec, annealing for 30 sec from 60°C to 55°C decreasing by 1°C every cycle, and extension at 72°C for 40 sec; and then 30 cycles of 30 sec at 94°C, 30 sec at 55°C, and 40 sec at 72°C, with a final extension step of 10 min at 72°C. The IGH gene was amplified by PCR using a mixture of oligonucleotides specific for each of the VH leader sequences of the VH1-6 (11) gene families, together with a mixture of oligonucleotides complementary to all possible JH gene segments (JH1-6). Amplification consisted of an initial denaturation step of 5 min at 94°C for 1 min, annealing at 61°C for 1 min, and extension at 72°C for 1 min, with a final extension step of 10 min at 72°C. In the second round (nested PCR), 1 µl of amplified DNA (first-round product) was re-amplified using oligonucleotides representative of framework regions (FWR)-2 and −3 (FWR2/FWR3) together with the mixture of JH1-6 oligonucleotides as primers. PCR was carried out as described above. Amplification consisted of an initial denaturation step of 5 min at 94°C, followed by 30 cycles of denaturation at 94°C for 1 min, annealing at 55°C for 1 min, and extension at 72°C for 1 min, with a final extension step of 10 min at 72°C. Touchdown PCR for the TCR gene consisted of an initial denaturation step of 3 min at 95°C; followed by five cycles of denaturation at 94°C for 30 sec, annealing for 30 sec from 60°C to 55°C decreasing by 1°C every cycle, extension at 72°C for 40 sec; and then 30 cycles of 30 sec at 94°C, 30 sec at 55°C, 40 sec at 72°C, with a final extension step of 10 min at 72°C.

Table I.

Clinical characteristics at presentation for patients in the IGHneg and TCRneg, IGHposor TCRpos, IGHpos and TCRpos genotype groups.

Table I.

Clinical characteristics at presentation for patients in the IGHneg and TCRneg, IGHposor TCRpos, IGHpos and TCRpos genotype groups.

CharacteristicsIGHneg and TCRnegIGHposor TCRposIGHpos and TCRposP-value
Hemoglobin (g/dl)
  Median86.077.574.00.094
  Range59–19264–1315–106
Platelets (109/l)
  Median4237240.16
  Range6–2084–1352–87
WBC (109/l)
  Median14.2940.99213.230.010
  Range1.13–39.3719.86–114.6563.18–277.80
PB Blast (%)
  Median5271810.05
  Range0–9611–9069–91
BW blasts (%)
  Median6164790.29
  Range23–8737–8550–82
Serum LDH
  Median36956017250.010
  Range92–949225–1203581–5450
Immune marker
  CD3480901000.40
  HLA-DR80901000.40
  CD1376901000.39
  CD3375881000.36
  CD11768871000.35
  CD736401000.024
  CD191517750.016
  CD5606500.010
  CD400250.011
Hepatomegaly46110.32
Splenomegaly413120.17
Lymphadenopathy136110.86
Gum hypertrophy2312120.61
Skin infiltrates912120.87

[i] WBC, white blood cell; PB, peripheral blood; BM, bone marrow; LDH, lactate dehydrogenase; CD, cluster of differentitation; IGH, immunoglobulin heavy chain; TCR, T-cell receptor.

PCR product analysis

PCR products were analyzed by 5% agarose electrophoresis. A distinct band was interpreted as a clonal rearrangement. If the results were unclear, polyacrylamide gels were used to confirm monoclonal rearrangement. DNA sequencing was performed to validate that the PCR products corresponded to clonal IGH or TCR rearrangements, and that the initial monoclonal rearrangement reappeared in follow-up samples. Furthermore, in follow-up samples, clone conformity of AML samples at diagnosis and before relapse was tested through capillary electrophoresis.

Multiparameter flow cytometry

Assessment of MRD by multi-parameter flow cytometry (MFC) was conducted as previously described (12). A minimum of 1000,000 events were acquired to achieve a potential sensitivity level of 10-4. In each tube, after excluding debris and doublets, an initial wide gate (CD45dim gate) is drawn around the CD45dim blast and monocyte regions on a traditional CD45/SSC display, followed by back-gating to identify the CD34+ population, as well as CD117 cells on the CD45/SSC plot. CD19 is used as an exclusion gate on most plots, to separate out normal immature precursor B cells and plasma cells from the CD45dim gate.

qPCR

qPCR was used for analysis of the status of rearranged IGH and TCR over time in remittent patients, as well as to monitor MRD. The primers used in the present study are shown in Table II. The results of DNA sequencing were inputted into VBASE database or IMGT database to acquire missed or inserted bases. Primer3.0 and BLAST were used to design primers and probes. The procedure for amplification included establishment of standard curves by both serial dilution of DNA templates from patients undertaking initial therapy (10:1 to 10:6) targeting specific IGH/TCR rearrangements and serial dilution of DNA templates from normal individuals (10:1 to 10:4) targeting the internal control gene encoding albumin. qPCR was performed using the following protocol: 95°C for 60 sec; followed by 40 cycles of 95°C for 15 sec and 60°C for 60 sec. The standard curves of IGH/TCR for each patient and the control gene encoding albumin were obtained after qPCR.

Table II.

Oligonucleotide primers used for PCR.

Table II.

Oligonucleotide primers used for PCR.

Gene namePrimerSequence (5′-3′)
β-GlobinGlobin-F GATCTGTCCACTCCTGATGCTG
Globin-R ATCAAGCGTCCCATAGACTCAC
IGHVH1 CAGGRGCAGCTGGTGCAGTCTGG
VH2 CAGGTCAACTTAAGGGAGTCTGG
VH3 GAGGTGCAGCTGGTGGAGTCTGG
VH4 CAGGTGCAGCTGCAGGAGTCGGG
VH5 GAGGTGCAGCTGTTGCAGTCTGC
VH6 CAGGTACAGCTGCAGCAGTCAGG
JH1-2 TGAGGAGACGGTGACCAGGGTGCC
JH3 TGAAGAGACGGTGACCATTGTCCC
JH4-5 TGAGGAGACGGTGACCAGGGTTCC
JH6 TGAGGAGACGGTGACCGTGGTCCC
FWR2 TGGATCCGACAGGCCCCAGGG
FWR3 ACACGGCCGTGTATTACTGT
TCRBVβ2: AACTATGTTTTGGTATCGTCA
Vβ4: CACGATGTTCTGGTACCGTCAGCA
Vβ5/1: CAGTGTGTCCTGGTACCAACAG
Vβ6a/11: AACCCCTTTATTGGTACCGACA
Vβ6b/25: ATCCCTTTTTTGGTACCAACAG
Vβ6c: AACCCTTTATTGGTATCAACAG
Vβ7: CGCTATGTATTGGTACAAGCA
Vβ8a: CTCCCGTTTTCTGGTACAGACAGAC
Vβ9: CGCTATGTATTGGTATAAACAG
Vβ10: TTATGTTTACTGGTATCGTAAGAAGCC
Vβ11: CAAAATGTACTGGTATCAACAA
Vβ12a/3/13a/15: ATACATGTACTGGTATCGACAAGAC
Vβ13b: GGCCATGTACTGGTATAGACAAG
Vβ13c/12b/14: GTATATGTCCTGGTATCGACAAGA
Vβ16: TAACCTTTATTGGTATCGACGTGT
Vβ17: GGCCATGTACTGGTACCGACA
Vβ18: TCATGTTTACTGGTATCGGCAG
Vβ19: TTATGTTTATTGGTATCAACAGAATCA
Vβ20: CAACCTATACTGGTACCGACA
Vβ21: TACCCTTTACTGGTACCGGCAG
Vβ22: ATACTTCTATTGGTACAGACAAATCT
Vβ23/8b: CACGGTCTACTGGTACCAGCA
Vβ24: CGTCATGTACTGGTACCAGCA
Jβ1.1: CTTACCTACAACTGTGAATCTGGTG
Jβ1.2: CTTACCTACAACGGTTAACCTGGTC
Jβ1.3: CTTACCTACAACAGTGAGCCAACTT
Jβ1.4: CATACCCAAGACAGAGCTGGGTTC
Jβ1.5: CTTACCTAGGATGGAGAGTCGAGTC
Jβ1.6: CATACCTGTCACGATGAGCCTG
Jβ2.2: CTTACCCAGTACGGTCAGCCT
Jβ2.6: CTCGCCCAGCACGGTCAGCCT
Jβ2.7: CTTACCTGTAACCGTGAGCCTG
Jβ2.1: CCTTCTTACCTAGCACGGTGA
Jβ2.3: CCCGCTTACCGAGCACTGTCA
Jβ2.4: CCAGCTTACCCAGCACTGAGA
Jβ2.5: CGCGCACACCGAGCAC
TCRγVγ1f: GGAAGGCCCCACAGCGTCTT
Vγ10: AGCATGGGTAAGACAAGCAA
Vγ9: CGGCACTGTCAGAAAGGAATC
Vγ11: CTTCCACTTCCACTTTGAAA
J γ1.1/2.1: TTACCAGGCGAAGTTACTATGAGC
J γ1.3/2.3: GTGTTGTTCCACTGCCAAAGAG
albuminabm-FGCT GTC ATC TCT TGT GGG CTG T
abm-RAAA CTC ATG GGA GCT GGT T
abm-PCCT GTC ATG CCC ACA CAA ATC TCT CC

[i] PCR, polymerase chain reaction; F, forward; R, reverse; abm, albumin; V, variable zone; H, heavy chain; J, J chain; IGH, immunoglobulin heavy chain; TCRB, T cell receptor beta chain; TCRG, T cell receptor gamma chain; FR, frame region.

qPCR was performed using TaqMan probe detection of both genes at different time points during therapy, and further quantification was carried out based on the expression and proportion of both genes, reflecting the MRD level. The positive standard for MRD was relative IGH/TCR expression of at least 10:4 according to the European Study Group criteria (13).

Therapeutic regimen

All patients received standard induction chemotherapy, i.e., doxorubicin 60 mg/m2 or idarubicin 12 mg/m2 administered intravenously (i.v.) for 3 days and cytarabine 200 mg/m2 in 24-h continuous i.v. infusion for 7 days. Dual induction was administered if BM blasts decreased more than 50% but with residue blasts exceeding 10% at 7 days after completion of first induction. High-dose cytarabine was administered for eligible patients if BM blasts were reduced to less than 50% at 7 days after completion of initial induction. After complete remission (CR), 4–6 cycles of intermediate-dose cytarabine or high-dose cytarabine were given for consolidation. Patients with suitable donors received allogeneic hematopoietic stem cell transplantation.

Statistical analysis

Categorical variables, such as cluster of differentiation (CD) and leukemic involvement of skin, gum, liver, and spleen, were compared using the chi squared test and Fisher's exact tests. Continuous variables, such as platelets, hemoglobin, and white blood cell (WBC) count, were compared using the Kruskal-Wallis test followed by a Nemenyi multiple comparisons post hoc test. Pairwise comparisons of cfDNA vs. BM DNA and cfDNA vs. PB DNA were conducted using McNemar's tests. Overall survival (OS) was determined from the date of diagnosis to death or last follow-up. The Kaplan-Meier estimator was used to estimate OS rates, and log-rank tests were used for comparison. All statistical analysis was performed using IBM SPSS v22.0 software (IBM Corp., Armonk, NY, USA).

Results

Detection of monoclonal IGH and TCR rearrangements at diagnosis

cfDNA was successfully isolated from all 235 patients, and no cfDNA was extracted from the normal control group (Fig. 1A). In cfDNA samples, 94 cases showed monoclonal IGH and/or TCR rearrangement (40%, 94/235); among these cases, 73 showed monoclonal IGH rearrangement (31.1%, 73/235), 21 showed monoclonal TCR rearrangement (8.9%, 21/235), and nine showed both monoclonal IGH and TCR rearrangement (Fig. 1B and C). Monoclonal rearrangement was present at a significantly higher frequency in patients with AML-M4 and -M5 than other type AML (P=0.01).

Figure 1.

Example of monoclonal IGH and TCR rearrangement in cfDNA. (A) Detection of Globin DNA in the plasma of patients with AML. Lane M, DNA marker. Lanes 1, 2, 4, 6–12, 14 PCR product of cfDNA from AML patients. Lanes 3, 5 and 13 PCR product of cfDNA from normal control. (B) Detection of monoclonal TCR rearrangement in cfDNA of patients with AML. Lane M, DNA marker. Lane 1, negative result from AML patient. Lane 8, positive control (Raji cells). Lanes 2–4, positive results from AML patients. Lanes 5–7 and 9–13, negative results from AML patients. (C) Detection of monoclonal IGH rearrangement in the cfDNA of patients with AML. Lane M, DNA marker. Lanes 6 and 8, negative result from AML patient. Lanes 1–5 and 9–11, positive result from AML patients. Lane 12, negative control. Lane 7, positive control (Jurkat cells). IGH, immunoglobulin heavy chain; TCR, T-cell receptor; AML, acute myeloid leukemia; cfDNA, cell free DNA; PCR, polymerase chain reaction.

There were no differences between cfDNA and BM DNA in terms of IGH (χ2=1.32, P=0.25) or TCR (χ2=0.45, P=0.5) rearrangement, and there were no significant differences between cfDNA and PB DNA in terms of IGH (χ2=1.32, P=0.25) or TCR (χ2=2.71, P=0.1) rearrangement.

Clinical characteristics of patients with AML having different genotypes

Next, we compared the clinical characteristics of patients with IGH-negative (IGHneg)/TCR-negative (TCRneg), IGH-positive (IGHpos) or TCR-positive (TCRpos), and IGHpos/TCRpos genotypes. There were no significant differences in hemoglobin, platelets, and other clinical characteristics such as gum hypertrophy, lymphadenopathy, splenomegaly, and hepatomegaly, across all three groups (Table I). The median WBC counts were significantly different between the three groups, ranging from 14.29×109/l to a maximum of 213.23×109/l. However, the increases in the percentages of PB leukemic blasts and BM blasts were not statistically significant. Serum lactate dehydrogenase (LDH) levels increased from 369 IU/l in patients in the IGHneg/TCRneg group to 560 IU/l in patients in the IGHpos or TCRpos group and reached a maximum in patients in the IGHpos/TCRpos group (1725 IU/l, P=0.01). Only CD7, CD19, CD56, and CD4 showed differential expression in the three groups, with increased frequency observed in the IGHpos/TCRpos group. No association between CD7, CD19, CD56 and CD4 expression on blast cells and clinical outcomes was observed (data not shown).

Detection of monoclonal IGH and TCR rearrangements in remission

Among 94 patients with monoclonal IGH and/or TCR rearrangements, 44 exhibited abnormal cytogenetics; 5 patients had t(8;21), 2 had inv(16), 7 had complex abnormality, 7 had del5(q31), 3 had −5, 6 had del7(q22), 4 had −7, 2 had -y, 1 had der(1;14) and +1, 2 had t(8;16), 3 had t(6;11), and 3 had t(9;11). There were 6 patients for whom cytogenetic results could not be obtained as unqualified samples, and the remaining 44 patients had normal cytogenetic results. The molecular genetic results for these 94 patients were as follows: 12 patients carried the AML1-ETO fusion gene, 3 carried the CBFβ-MHY11 fusion gene, 3 carried the MLL-AF6 fusion gene, 1 carried the CEBPA double mutation, 2 carried the CEBPA single mutation, 13 carried the NPM1 mutation, 4 carried the FLT3-ITD mutation, 4 carried the IDH2R140 mutation, 8 carried the IDH2R170 mutation, 9 carried the DNMT3A mutation, 14 carried the TET2 mutation, 3 carried the TP53 mutation, and 1 carried the NRAS/RUNX1 mutation. Thirty-one patients showed normal results for molecular genetic tests; for 9 patients, results could not be obtained as the samples were unqualified. There were 21 low-risk, 40 intermediate-risk, and 33 high-risk patients according to ELN category (13) based on the cytogenetic and molecular genetic abnormalities detected.

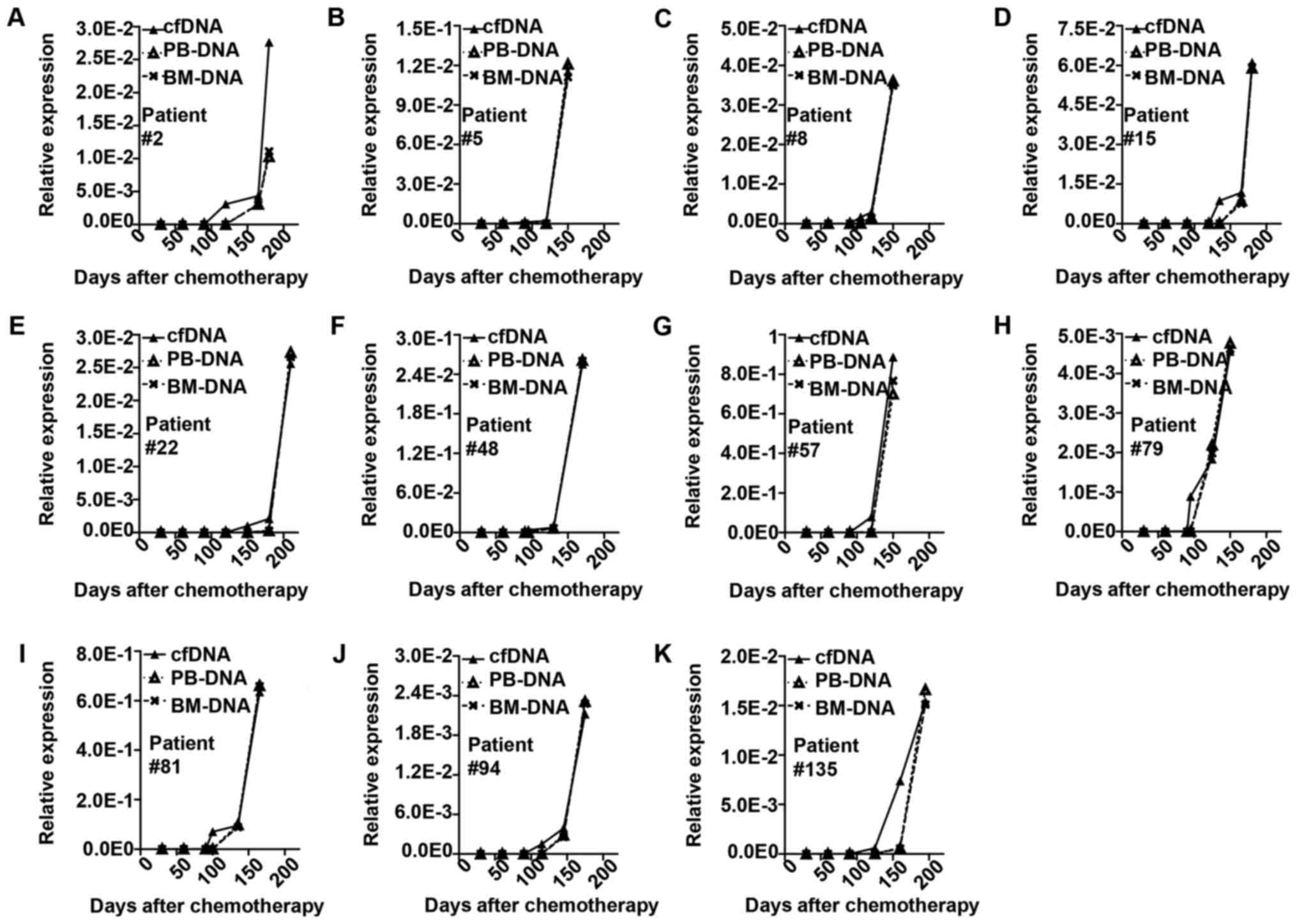
After one to two courses of induction chemotherapy 79 patients achieved CR. Among these, 24 patients received allo-HSCT and 55 patients received chemotherapy only. The donors for patients who received allo-HSCT were as follows: One unrelated matched donor, six related matched donors, and 17 related HLA-haplotype-mismatched donors. The conditioning regimens and GVHD prophylaxes were as previously reported, with minor modification (we used short-term cyclophosphamide 600 mg/m2 on day +1, 400 mg/m2 on days +3, +5, +11 instead of methotrexate) (14). The median follow-up was 27 months and the range was 7.5 to 60 months. There were 37 recorded relapses and 34 deaths. During follow up, 71 patients were negative for monoclonal IGH and TCR rearrangements in PB DNA, BM DNA, and cfDNA after 2–4 courses of consolidation chemotherapy, and eight patients with continuous positive monoclonal rearrangements relapsed within 6–10 months. Thirty-two patients were continuously negative for monoclonal IGH and TCR rearrangements during follow-up both from cfDNA and BM cells, and were in continuous CR with negative MRD confirmed by BM aspiration and flow cytometry. For the remaining 39 patients, monoclonal IGH or TCR rearrangements were positive both in cfDNA and in BM DNA prior to clinical relapse (median 28 days prior to overt clinical relapse, range: 15–59 days). There were 11 patients with extramedullary relapse who showed positive IGH/TCR rearrangements in cfDNA but not in BM DNA or PB DNA (Fig. 2). The change occurred earlier in cfDNA than in BM cells (median, 31 days; Fig. 3).

Figure 2.

Demonstration of a case with dynamic monitoring minimal residual disease by cfDNA. (A) Monoclonal IGH rearrangement in a BM sample at diagnosis. (B) Identical monoclonal IGH rearrangement in cfDNA prior to relapse. (C) Negative result of BM sample at the same time. (D) Negative result of PB sample at the same time. cfDNA, cell free DNA; BM, bone marrow; IGH, immunoglobulin heavy chain; PB, peripheral blood.

Figure 3.

Representative cases of minimal residual disease monitored by monoclonal IGH or TCR rearrangement in cfDNA, BM and PB. The solid line represents change in cfDNA. The long dotted line represents change in BM. The short dotted line represents change in PB. (A) Patient no. 2, monoclonal IGH rearrangement in cfDNA increased at the 120 day after chemotherapy, while in BM and PB it increased at day 165. The clinical relapse occurred at day 180. (B) Patient no. 5 IGH in cfDNA at day 90, in BM and PB day 120, clinical relapse day 150. (C) Patient no. 8 TCR in cfDNA day 105, in BM and PB day 120, clinical relapse day 150. (D) Patient no. 15 IGH in cfDNA day 135, in BM and PB day 165, clinical relapse day 180. (E) Patient no. 22IGH in cfDNA day 150, in BM and PB day 180, clinical relapse day 210. (F) Patient no. 48 IGH in cfDNA day 95, in BM and PB day 130, clinical relapse day 170. (G) Patient no. 57 IGH in cfDNA day 90, in BM and PB day 120, clinical relapse day 150. (H) Patient no. 79 IGH in cfDNA day 95, in BM and PB day 125, clinical relapse day 150. (I) Patient no. 81 IGH in cfDNA day 100, in BM and PB day 135, clinical relapse day 165. (J) Patient no. 94 IGH in cfDNA day 115, in BM and PB day 145, clinical relapse day 175. (K) Patient no. 135 IGH in cfDNA day 125, in BM and PB day 160, clinical relapse day 195. IGH, immunoglobulin heavy chain; TCR, T-cell receptor; cfDNA, cell free DNA; BM, bone marrow; PB, peripheral blood.

Prognostic impact of monoclonal IGH and TCR rearrangement status in cfDNA on OS and LFS

For patients who achieved CR, we performed survival analysis based on the monoclonal IGH and TCR rearrangement status in cfDNA. We found that the monoclonal IGH and/or TCR rearrangement status in cfDNA was in agreement with MRD status (Table III). And there were more negative status in cfDNA been found in low risk patients, followed by intermediate risk patients, and least in high risk patients (Table III). We found that patients with monoclonal IGH or TCR rearrangement in cfDNA at any time point had worse outcomes, with a 21 months median LFS and 27 months median OS, whereas patients with persistent negative monoclonal IGH or TCR rearrangement showed significantly improved outcomes (median LFS and OS not reached; P<0.01; Fig. 4A and B). The difference in survival based on monoclonal IGH or TCR rearrangement was similar to that of MRD, as indicated by flow cytometry analysis (Fig. 4C and D).

Figure 4.

Survival according to IGH and TCR results in cfDNA. (A) Overall survival according to cfDNA status. (B) Overall survival according to MRD status. (C) Leukemia free survival according to cfDNA status. (D) Leukemia free survival according to MRD status. IGH, immunoglobulin heavy chain; TCR, T-cell receptor; MRD, minimal residual disease; AML, acute myeloid leukemia; MRD+, AML patients with positive MRD by flow cytometry at any time point; MRD-, AML patients with persistent negative MRD by flow cytometry; cfDNA-, AML patients with persistent negative monoclonal IGH or/and TCR rearrangement; cfDNA+, AML patients with positive monoclonal IGH or/and TCR rearrangement at any time point.

Table III.

Association between cfDNA status and MRD as determined by flow cytometry and ELN risk group based on molecular genetic and cytogenetic alterations.

Table III.

Association between cfDNA status and MRD as determined by flow cytometry and ELN risk group based on molecular genetic and cytogenetic alterations.

MRD status n (%)ELN risk group n (%)


cfDNA statusMRD-MRD+Low riskIntermediate riskHigh risk
cfDNA-23 (71.8)  9 (28.2)14 (73.7)  8 (38.1)10 (25.6)
cfDNA+12 (25.5)35 (74.5)  5 (26.3)13 (61.9)29 (74.4)

[i] cfDNA, cell free DNA; MRD, minimal residue disease; ELN, Europe leukemia net.

Discussion

In the present study, we found that tumor-derived DNA could be collected from the plasma of patients with AML whose tumor cells were informative on PCR analysis. cfDNA cannot be detected in healthy individuals (limit of detection <100 µg/ml) (15). Some reports have described the successful amplification of genomic or tumor-associated DNA from fresh or archived plasma samples, which supports our observations (16). Moreover, cfDNA may be associated with highly proliferative tumor cells. Treatment of patients with cytotoxic drugs is followed by rapid clearance of DNA from the PB. These findings suggest that soluble tumor-derived DNA can only be tested during specific disease stages and may be highly predictive of resistance to treatment and impending relapse (17). Degradation of clonal DNA by nucleases in vitro was shown to be one cause of false-negative PCR results. This technical drawback may be overcome by adding a nuclease inhibitor such as ethylenediaminetetraacetic acid (EDTA). Thus, the use of EDTA-anticoagulant tubes is recommended.

PCR amplification of IGH and TCR rearrangement may be helpful for diagnosing and predicting the prognosis of hematologic malignancies. If DNA shows a distinct band with the same electrophoretic mobility, the sample is defined as monoclonal. Normal DNA and reactive hyperplastic DNA are polyclonal with smeared bands (18). Recent studies have reported that the positive ratios may be as high as 99% for IGH and 94% for TCR using multiplex primers (19). However, the specific frequency of antigen receptor gene rearrangement in AML is difficult to calculate from previously reported data (20) because of the selection of specific AML subtypes and the use of different experimental protocols with markedly different sensitivities. Based on the experiences of our group and others, we adopted a sensitive two-round amplification method; touchdown PCR may also be performed for analysis of large samples.

Our results confirmed that some patients with AML harbor monoclonal IGH and TCR rearrangements; this phenomenon is referred to as distortion of series or lineage promiscuity. There are three explanations for this phenomenon: first, most scholars believe that distortion may be related to pluripotent stem cells. Cells with crossed rearrangement originate from pluripotent stem cells; further, tumors may promote changes in stem cells, allowing them to develop into myeloid cells. Therefore, based on morphology, tumor cells still exhibit myeloid characteristics. However, transient mixed gene expression is still observed (21). Second, tumor cells usually exhibit disruption of normal proliferation and differentiation. Hematopoietic stem cells in patients with hematological malignancies may only exhibit gene clonal rearrangement during the process of maturation to a specific lineage; however, these cells do not successfully differentiate into the specific cell lineage, resulting in functional disorders (22). Consequently, IGH and TCR monoclonal rearrangement may represent markers for the monitoring of some patients with AML, specifically those without recurrent genetic abnormalities.

Cen et al (23), proposed that IGH and TCR rearrangements rarely occur in M4 and M5 subtypes. In contrast, Boeckx et al (24) suggested that IGH and TCR rearrangements are irrelevant to FAB classification. Our results showed that these rearrangements were more frequent in M4 and M5 subtypes. However, additional large-scale studies are needed. These above-described results suggest that malignant clones tend to behave abnormally, providing evidence for biological differences between cases lacking clonally rearranged IGH and TCR genes. Importantly, we did not find any healthy individuals positive for monoclonal rearrangements. Patients with the IGHpos/TCRpos genotype showed far higher WBC counts and serum LDH levels and exhibited more frequent occurrence of lymphoid-associated markers such as CD7, CD19, and CD56. Their disease-specific survival rates were also significantly lower. These findings supported the poor prognoses of these patients. Similarly, Qiu et al (25) reported that IGH and TCR gene rearrangements were adverse factors in patients with AML. Therefore, detection and monitoring of IGH and TCR rearrangements are critical in patients with AML; cfDNA may have applications in such monitoring procedures. The use of cfDNA as a sample to detect IGH and TCR rearrangements is also a more convenient and noninvasive method than the use of other types of samples, and is expected to yield the same clinical information as biopsy samples.

Furthermore, we found that gene rearrangements identified using cfDNA were correlated with pathological results, suggesting that the use of cfDNA as a sample enables high accuracy. Importantly, IGH and TCR rearrangements were detected earlier in cfDNA than in BM cells. In a total of 11 patients, significantly increased IGH and TCR rearrangements were detected only in cfDNA, but not in BM cell DNA, prior to clinical relapse. Moreover, the relapsed patients who had increased IGH and TCR rearrangements in BM cells prior to clinical relapse succumbed to their disease. However, the elevated levels of monoclonal IGH or TCR rearrangement could be detected earlier and more reliably using cfDNA than using BM cells for the monitoring of MRD. These data suggest that plasma is more enriched with leukemic cell nucleotides than with normal nucleotides. BM cell aspirates almost always contain residual normal cells in addition to leukemic cells, with variations dependent on the stage of the disease. Unfortunately, it is impossible to determine the minimum number of leukemic cells required in the BM to yield positive plasma PCR results. We assumed that even extramedullary leukemic cells provide nucleotides that may be detected during cfDNA analysis. Data from studies of solid tumors support the concept that plasma/serum samples are enriched with tumor-specific cfDNA (26,27). This enrichment is perhaps attributable to the high turnover of tumor cells compared with that in normal tissues. Plasma samples from patients with leukemia may be more enriched with leukemia-specific cfDNA than those from patients with solid tumors, as the cells in the former have greater contact with circulating blood. Furthermore, monitoring cfDNA may be more important for predicting leukemic extramedullary relapse than BM relapse. The extramedullar tissues or organs may show evidence of relapse, while the BM still shows CR. Extramedullary relapse is common in the central nervous system, reproductive system, and skin infiltrations such as green tumors, and can exist alone, but often predicts overall leukemia recurrence. Treatment of the impending relapse should be initiated in advance, if possible. Overall there was no difference between cfDNA and BM in terms of predicting an upcoming relapse when analyzing remission samples. At present, the methods usually used to isolate bone marrow mononuclear cells (BMNCs) are density gradient centrifugation, flow cytometry and immunomagnetic beads. The purity of BMNCs was higher using immunomagnetic beads or flow cytometry than density gradient centrifugation but with much higher cost. We used Ficoll density gradient centrifugation to concentrate BMNC with lower cost, and then used qPCR for amplification in order to assure the sensitivity and specificity. And the other advantage of using cfDNA for MRD detection compared with MFC is that the sampling procedure for cfDNA is simpler than flow cytometry since we need only blood to extract cfDNA while we need BM for flow cytometry. As shown in our results for patients with solitary extramedullary relapse the cfDNA is superior compared to flow cytometry.

There are some limitations of our study. First with much larger sample size the association of monoclonal IGH and/or TCR rearrangement and CD markers of blast and cytogenetics and molecular abnormalities would be clearer; second using Ficoll density gradient centrifugation may lead to contamination by lymphocytes which may cause false positive result due to oligo clones of reactive lymphocytes, hopefully a repeated test would lower the risk; last bias would be limited to the minimum with a clinical trial cohort.

In conclusion, the use of circulating tumor DNA may provide a useful, noninvasive approach for the detection of tumor cells that secrete DNA. In hematologic malignancies, particularly leukemia, tumor cells frequently circulate in the blood; this enables the direct examination of blood cells for the presence of molecular markers at the DNA/RNA level or aberrant protein expression. Our findings suggest that analysis of circulating plasma DNA may be useful in cases in which PB cellular analysis is negative and the BM is positive for the disease.

Acknowledgements

The authors would like to thank Professor Yongqian Jia (Department of Hematology, West China Hospital, Chengdu, China) for the gift of several cell lines (Raji and Jurkat) and DNA probes.

Funding

No funding was received.

Availability of data and material

The datasets used and/or analyzed during the present study are available from the corresponding author on reasonable request.

Authors' contributions

LZ and TJ conceived the study and wrote the manuscript. LZ and YXL performed the majority of the experiments. TJ, JC and XBH collected and analyzed the clinical data. YXL, JC and XBH critically revised the manuscript.

Ethics approval and consent to participate

The present study was approved by the Ethics Committee of Sichuan Academy of Medical Science and Sichuan Provincial Peoples' Hospital (Sichuan, China). All patients provided written informed consent prior to their inclusion within the study.

Consent for publication

Not applicable.

Competing interests

The authors declare that they have no competing interests.

Glossary

Abbreviations

Abbreviations:

MRD

minimal residual disease

IDAC

intermediate-dose cytarabine

HDAC

high dose cytarabine

AML

acute myeloid leukemia

IHG

immunoglobulin heavy chain

TCR

T-cell receptor

PB

peripheral blood

BM

bone marrow

CD

cluster of differentiation

cfDNA

circulating tumor DNA

DSS

disease-specific survival

References

1 

Leon SA, Shapiro B, Sklaroff DM and Yaros MJ: Free DNA in the serum of cancer patients and the effect of therapy. Cancer Res. 37:646–650. 1977.PubMed/NCBI

2 

Li L, Choi JY, Lee KM, Sung H, Park SK, Oze I, Pan KF, You WC, Chen YX, Fang JY, et al: DNA methylation in peripheral blood: A potential biomarker for cancer molecular epidemiology. J Epidemiol. 22:384–394. 2012. View Article : Google Scholar : PubMed/NCBI

3 

Aung KL, Board RE, Ellison G, Donald E, Ward T, Clack G, Ranson M, Hughes A, Newman W and Dive C: Current status and future potential of somatic mutation testing from circulating free DNA in patients with solid tumours. Hugo J. 4:11–21. 2010. View Article : Google Scholar : PubMed/NCBI

4 

Elshimali YI, Khaddour H, Sarkissyan M, Wu Y and Vadgama JV: The clinical utilization of circulating cell free DNA (CCFDNA) in blood of cancer patients. Int J Mol Sci. 14:18925–18958. 2013. View Article : Google Scholar : PubMed/NCBI

5 

Vedula RS and Lindsley RC: Measurement of residual disease in acute myeloid leukemia. Curr Hematol Malig Rep. 12:574–581. 2017. View Article : Google Scholar : PubMed/NCBI

6 

Hourigan CS, Gale RP, Gormley NJ, Ossenkoppele GJ and Walter RB: Measurable residual disease testing in acute myeloid leukaemia. Leukemia. 31:1482–1490. 2017. View Article : Google Scholar : PubMed/NCBI

7 

Venditti A, Del Poeta G, Buccisano F, Tamburini A, Cox-Froncillo MC, Aronica G, Bruno A, Del Moro B, Epiceno AM, Battaglia A, et al: Prognostic relevance of the expression of Tdt and CD7 in 335 cases of acute myeloid leukemia. Leukemia. 12:1056–1063. 1998. View Article : Google Scholar : PubMed/NCBI

8 

Kyoda K, Nakamura S, Matano S, Ohtake S and Matsuda T: Prognostic significance of immunoglobulin heavy chain gene rearrangement in patients with acute myelogenous leukemia. Leukemia. 11:803–806. 1997. View Article : Google Scholar : PubMed/NCBI

9 

Yen CC, Liu JH, Wang WS, Chiou TJ, Fan FS and Chen PM: Prognostic significance of immunoglobulin and T cell receptor gene rearrangements in patients with acute myeloid leukemia: Taiwan experience. Leuk Lymphoma. 35:179–187. 1999. View Article : Google Scholar : PubMed/NCBI

10 

Kwok S and Higuchi R: Avoiding false positives with PCR. Nature. 339:237–238. 1989. View Article : Google Scholar : PubMed/NCBI

11 

Kosari F, Shishehbor F, Saffar H and Sadeghipour A: PCR-based clonality analysis in diffuse large B-cell lymphoma using BIOMED-2 primers of IgH (FR3) on formalin-fixed paraffin-embedded tissue. Arch Iran Med. 16:526–529. 2013.PubMed/NCBI

12 

van der Velden VH, Cazzaniga G, Schrauder A, Hancock J, Bader P, Panzer-Grumayer ER, Flohr T, Sutton R, Cave H, Madsen HO, et al: Analysis of minimal residual disease by Ig/TCR gene rearrangements: Guidelines for interpretation of real-time quantitative PCR data. Leukemia. 21:604–611. 2007. View Article : Google Scholar : PubMed/NCBI

13 

Döhner H, Weisdorf DJ and Bloomfield CD: Acute myeloid leukemia. N Engl J Med. 373:1136–1152. 2015. View Article : Google Scholar : PubMed/NCBI

14 

Wang Y, Liu QF, Xu LP, Liu KY, Zhang XH, Ma X, Fan ZP, Wu DP and Huang XJ: Haploidentical vs identical-sibling transplant for AML in remission: A multicenter, prospective study. Blood. 125:3956–3962. 2015. View Article : Google Scholar : PubMed/NCBI

15 

Kuhlmann JD, Schwarzenbach H, Wimberger P, Poetsch M, Kimmig R and Kasimir-Bauer S: LOH at 6q and 10q in fractionated circulating DNA of ovarian cancer patients is predictive for tumor cell spread and overall survival. BMC Cancer. 12:3252012. View Article : Google Scholar : PubMed/NCBI

16 

Salvianti F, Pinzani P, Verderio P, Ciniselli CM, Massi D, De Giorgi V, Grazzini M, Pazzagli M and Orlando C: Multiparametric analysis of cell-free DNA in melanoma patients. PLoS One. 7:e498432012. View Article : Google Scholar : PubMed/NCBI

17 

Mussolin L, Burnelli R, Pillon M, Carraro E, Farruggia P, Todesco A, Mascarin M and Rosolen A: Plasma cell-free DNA in paediatric lymphomas. J Cancer. 4:323–329. 2013. View Article : Google Scholar : PubMed/NCBI

18 

Poopak B, Saki N, Purfatholah AA, Najmabadi H, Mortazavi Y, Arzanian MT, Khosravipour G, Haghnejad F, Salari F and Shahjahani M: Pattern of immunoglobulin and T-cell receptor-δ/γ gene rearrangements in Iranian children with B-precursor acute lymphoblastic leukemia. Hematology. 19:259–266. 2014. View Article : Google Scholar : PubMed/NCBI

19 

Kim Y, Choi YD, Choi C and Nam JH: Diagnostic utility of a clonality test for lymphoproliferative diseases in koreans using the BIOMED-2 PCR assay. Korean J Pathol. 47:458–465. 2013. View Article : Google Scholar : PubMed/NCBI

20 

Garcia-Castillo H, Leal-Ugarte E, Lazareno Ortiz PC, Barrera-Chairez E, Rosales-Garcia VH and Barros-Núñez P: Detection of monoclonal IGH rearrangements in circulating cells from healthy first-degree relatives of patients with multiple myeloma. Med Oncol. 31:9002014. View Article : Google Scholar : PubMed/NCBI

21 

Huang J, Sun X, Gong X, He Z, Chen L, Qiu X and Yin CC: Rearrangement and expression of the immunoglobulin µ-chain gene in human myeloid cells. Cell Mol Immunol. 11:94–104. 2014. View Article : Google Scholar : PubMed/NCBI

22 

Haslina Noor MN, Marini R, Rosnah B, Shafini MY, Haslindawani Wan WM, Nazri Mohd H, Salamah G, Hasnan J and Rosline H: Immunoglobulin heavy chain gene rearrangement in non b-cell haematological malignancies. West Indian Med J. 62:701–704. 2013.PubMed/NCBI

23 

Cen L, Jiang Y, Chen T, Zhang Y and Zhou M: Clinical feature and cytogenetic analysis of 80 patients with acute monocytic leukemia. Zhonghua Yi Xue Yi Chuan Xue Za Zhi. 31:206–209. 2014.(In Chinese). PubMed/NCBI

24 

Boeckx N, Willemse MJ, Szczepanski T, van der Velden VH, Langerak AW, Vandekerckhove P and van Dongen JJ: Fusion gene transcripts and Ig/TCR gene rearrangements are complementary but infrequent targets for PCR-based detection of minimal residual disease in acute myeloid leukemia. Leukemia. 16:368–375. 2002. View Article : Google Scholar : PubMed/NCBI

25 

Qiu X, Sun X, He Z, Huang J, Hu F, Chen L, Lin P, You MJ, Medeiros LJ and Yin CC: Immunoglobulin gamma heavy chain gene with somatic hypermutation is frequently expressed in acute myeloid leukemia. Leukemia. 27:92–99. 2013. View Article : Google Scholar : PubMed/NCBI

26 

Cilloni D, Renneville A, Hermitte F, Hills RK, Daly S, Jovanovic JV, Gottardi E, Fava M, Schnittger S, Weiss T, et al: Real-time quantitative polymerase chain reaction detection of minimal residual disease by standardized WT1 assay to enhance risk stratification in acute myeloid leukemia: A European LeukemiaNet study. J Clin Onco. 27:5195–5201. 2009. View Article : Google Scholar

27 

Gianfaldoni G, Mannelli F, Ponziani V, Longo G, Bencini S, Bosi A and Vannucchi AM: Early reduction of WT1 transcripts during induction chemotherapy predicts for longer disease free and overall survival in acute myeloid leukemia. Haematologica. 95:833–836. 2010. View Article : Google Scholar : PubMed/NCBI

Related Articles

  • Abstract
  • View
  • Download
  • Twitter
Copy and paste a formatted citation
Spandidos Publications style
Zhong L, Chen J, Huang X, Li Y and Jiang T: Monitoring immunoglobulin heavy chain and T‑cell receptor gene rearrangement in cfDNA as minimal residual disease detection for patients with acute myeloid leukemia. Oncol Lett 16: 2279-2288, 2018.
APA
Zhong, L., Chen, J., Huang, X., Li, Y., & Jiang, T. (2018). Monitoring immunoglobulin heavy chain and T‑cell receptor gene rearrangement in cfDNA as minimal residual disease detection for patients with acute myeloid leukemia. Oncology Letters, 16, 2279-2288. https://doi.org/10.3892/ol.2018.8966
MLA
Zhong, L., Chen, J., Huang, X., Li, Y., Jiang, T."Monitoring immunoglobulin heavy chain and T‑cell receptor gene rearrangement in cfDNA as minimal residual disease detection for patients with acute myeloid leukemia". Oncology Letters 16.2 (2018): 2279-2288.
Chicago
Zhong, L., Chen, J., Huang, X., Li, Y., Jiang, T."Monitoring immunoglobulin heavy chain and T‑cell receptor gene rearrangement in cfDNA as minimal residual disease detection for patients with acute myeloid leukemia". Oncology Letters 16, no. 2 (2018): 2279-2288. https://doi.org/10.3892/ol.2018.8966
Copy and paste a formatted citation
x
Spandidos Publications style
Zhong L, Chen J, Huang X, Li Y and Jiang T: Monitoring immunoglobulin heavy chain and T‑cell receptor gene rearrangement in cfDNA as minimal residual disease detection for patients with acute myeloid leukemia. Oncol Lett 16: 2279-2288, 2018.
APA
Zhong, L., Chen, J., Huang, X., Li, Y., & Jiang, T. (2018). Monitoring immunoglobulin heavy chain and T‑cell receptor gene rearrangement in cfDNA as minimal residual disease detection for patients with acute myeloid leukemia. Oncology Letters, 16, 2279-2288. https://doi.org/10.3892/ol.2018.8966
MLA
Zhong, L., Chen, J., Huang, X., Li, Y., Jiang, T."Monitoring immunoglobulin heavy chain and T‑cell receptor gene rearrangement in cfDNA as minimal residual disease detection for patients with acute myeloid leukemia". Oncology Letters 16.2 (2018): 2279-2288.
Chicago
Zhong, L., Chen, J., Huang, X., Li, Y., Jiang, T."Monitoring immunoglobulin heavy chain and T‑cell receptor gene rearrangement in cfDNA as minimal residual disease detection for patients with acute myeloid leukemia". Oncology Letters 16, no. 2 (2018): 2279-2288. https://doi.org/10.3892/ol.2018.8966
Follow us
  • Twitter
  • LinkedIn
  • Facebook
About
  • Spandidos Publications
  • Careers
  • Cookie Policy
  • Privacy Policy
How can we help?
  • Help
  • Live Chat
  • Contact
  • Email to our Support Team