Spandidos Publications Logo
  • About
    • About Spandidos
    • Aims and Scopes
    • Abstracting and Indexing
    • Editorial Policies
    • Reprints and Permissions
    • Job Opportunities
    • Terms and Conditions
    • Contact
  • Journals
    • All Journals
    • Oncology Letters
      • Oncology Letters
      • Information for Authors
      • Editorial Policies
      • Editorial Board
      • Aims and Scope
      • Abstracting and Indexing
      • Bibliographic Information
      • Archive
    • International Journal of Oncology
      • International Journal of Oncology
      • Information for Authors
      • Editorial Policies
      • Editorial Board
      • Aims and Scope
      • Abstracting and Indexing
      • Bibliographic Information
      • Archive
    • Molecular and Clinical Oncology
      • Molecular and Clinical Oncology
      • Information for Authors
      • Editorial Policies
      • Editorial Board
      • Aims and Scope
      • Abstracting and Indexing
      • Bibliographic Information
      • Archive
    • Experimental and Therapeutic Medicine
      • Experimental and Therapeutic Medicine
      • Information for Authors
      • Editorial Policies
      • Editorial Board
      • Aims and Scope
      • Abstracting and Indexing
      • Bibliographic Information
      • Archive
    • International Journal of Molecular Medicine
      • International Journal of Molecular Medicine
      • Information for Authors
      • Editorial Policies
      • Editorial Board
      • Aims and Scope
      • Abstracting and Indexing
      • Bibliographic Information
      • Archive
    • Biomedical Reports
      • Biomedical Reports
      • Information for Authors
      • Editorial Policies
      • Editorial Board
      • Aims and Scope
      • Abstracting and Indexing
      • Bibliographic Information
      • Archive
    • Oncology Reports
      • Oncology Reports
      • Information for Authors
      • Editorial Policies
      • Editorial Board
      • Aims and Scope
      • Abstracting and Indexing
      • Bibliographic Information
      • Archive
    • Molecular Medicine Reports
      • Molecular Medicine Reports
      • Information for Authors
      • Editorial Policies
      • Editorial Board
      • Aims and Scope
      • Abstracting and Indexing
      • Bibliographic Information
      • Archive
    • World Academy of Sciences Journal
      • World Academy of Sciences Journal
      • Information for Authors
      • Editorial Policies
      • Editorial Board
      • Aims and Scope
      • Abstracting and Indexing
      • Bibliographic Information
      • Archive
    • International Journal of Functional Nutrition
      • International Journal of Functional Nutrition
      • Information for Authors
      • Editorial Policies
      • Editorial Board
      • Aims and Scope
      • Abstracting and Indexing
      • Bibliographic Information
      • Archive
    • International Journal of Epigenetics
      • International Journal of Epigenetics
      • Information for Authors
      • Editorial Policies
      • Editorial Board
      • Aims and Scope
      • Abstracting and Indexing
      • Bibliographic Information
      • Archive
    • Medicine International
      • Medicine International
      • Information for Authors
      • Editorial Policies
      • Editorial Board
      • Aims and Scope
      • Abstracting and Indexing
      • Bibliographic Information
      • Archive
  • Articles
  • Information
    • Information for Authors
    • Information for Reviewers
    • Information for Librarians
    • Information for Advertisers
    • Conferences
  • Language Editing
Spandidos Publications Logo
  • About
    • About Spandidos
    • Aims and Scopes
    • Abstracting and Indexing
    • Editorial Policies
    • Reprints and Permissions
    • Job Opportunities
    • Terms and Conditions
    • Contact
  • Journals
    • All Journals
    • Biomedical Reports
      • Information for Authors
      • Editorial Policies
      • Editorial Board
      • Aims and Scope
      • Abstracting and Indexing
      • Bibliographic Information
      • Archive
    • Experimental and Therapeutic Medicine
      • Information for Authors
      • Editorial Policies
      • Editorial Board
      • Aims and Scope
      • Abstracting and Indexing
      • Bibliographic Information
      • Archive
    • International Journal of Epigenetics
      • Information for Authors
      • Editorial Policies
      • Editorial Board
      • Aims and Scope
      • Abstracting and Indexing
      • Bibliographic Information
      • Archive
    • International Journal of Functional Nutrition
      • Information for Authors
      • Editorial Policies
      • Editorial Board
      • Aims and Scope
      • Abstracting and Indexing
      • Bibliographic Information
      • Archive
    • International Journal of Molecular Medicine
      • Information for Authors
      • Editorial Policies
      • Editorial Board
      • Aims and Scope
      • Abstracting and Indexing
      • Bibliographic Information
      • Archive
    • International Journal of Oncology
      • Information for Authors
      • Editorial Policies
      • Editorial Board
      • Aims and Scope
      • Abstracting and Indexing
      • Bibliographic Information
      • Archive
    • Medicine International
      • Information for Authors
      • Editorial Policies
      • Editorial Board
      • Aims and Scope
      • Abstracting and Indexing
      • Bibliographic Information
      • Archive
    • Molecular and Clinical Oncology
      • Information for Authors
      • Editorial Policies
      • Editorial Board
      • Aims and Scope
      • Abstracting and Indexing
      • Bibliographic Information
      • Archive
    • Molecular Medicine Reports
      • Information for Authors
      • Editorial Policies
      • Editorial Board
      • Aims and Scope
      • Abstracting and Indexing
      • Bibliographic Information
      • Archive
    • Oncology Letters
      • Information for Authors
      • Editorial Policies
      • Editorial Board
      • Aims and Scope
      • Abstracting and Indexing
      • Bibliographic Information
      • Archive
    • Oncology Reports
      • Information for Authors
      • Editorial Policies
      • Editorial Board
      • Aims and Scope
      • Abstracting and Indexing
      • Bibliographic Information
      • Archive
    • World Academy of Sciences Journal
      • Information for Authors
      • Editorial Policies
      • Editorial Board
      • Aims and Scope
      • Abstracting and Indexing
      • Bibliographic Information
      • Archive
  • Articles
  • Information
    • For Authors
    • For Reviewers
    • For Librarians
    • For Advertisers
    • Conferences
  • Language Editing
Login Register Submit
  • This site uses cookies
  • You can change your cookie settings at any time by following the instructions in our Cookie Policy. To find out more, you may read our Privacy Policy.

    I agree
Search articles by DOI, keyword, author or affiliation
Search
Advanced Search
presentation
Oncology Letters
Join Editorial Board Propose a Special Issue
Print ISSN: 1792-1074 Online ISSN: 1792-1082
Journal Cover
September-2018 Volume 16 Issue 3

Full Size Image

Sign up for eToc alerts
Recommend to Library

Journals

International Journal of Molecular Medicine

International Journal of Molecular Medicine

International Journal of Molecular Medicine is an international journal devoted to molecular mechanisms of human disease.

International Journal of Oncology

International Journal of Oncology

International Journal of Oncology is an international journal devoted to oncology research and cancer treatment.

Molecular Medicine Reports

Molecular Medicine Reports

Covers molecular medicine topics such as pharmacology, pathology, genetics, neuroscience, infectious diseases, molecular cardiology, and molecular surgery.

Oncology Reports

Oncology Reports

Oncology Reports is an international journal devoted to fundamental and applied research in Oncology.

Experimental and Therapeutic Medicine

Experimental and Therapeutic Medicine

Experimental and Therapeutic Medicine is an international journal devoted to laboratory and clinical medicine.

Oncology Letters

Oncology Letters

Oncology Letters is an international journal devoted to Experimental and Clinical Oncology.

Biomedical Reports

Biomedical Reports

Explores a wide range of biological and medical fields, including pharmacology, genetics, microbiology, neuroscience, and molecular cardiology.

Molecular and Clinical Oncology

Molecular and Clinical Oncology

International journal addressing all aspects of oncology research, from tumorigenesis and oncogenes to chemotherapy and metastasis.

World Academy of Sciences Journal

World Academy of Sciences Journal

Multidisciplinary open-access journal spanning biochemistry, genetics, neuroscience, environmental health, and synthetic biology.

International Journal of Functional Nutrition

International Journal of Functional Nutrition

Open-access journal combining biochemistry, pharmacology, immunology, and genetics to advance health through functional nutrition.

International Journal of Epigenetics

International Journal of Epigenetics

Publishes open-access research on using epigenetics to advance understanding and treatment of human disease.

Medicine International

Medicine International

An International Open Access Journal Devoted to General Medicine.

Journal Cover
September-2018 Volume 16 Issue 3

Full Size Image

Sign up for eToc alerts
Recommend to Library

  • Article
  • Citations
    • Cite This Article
    • Download Citation
    • Create Citation Alert
    • Remove Citation Alert
    • Cited By
  • Similar Articles
    • Related Articles (in Spandidos Publications)
    • Similar Articles (Google Scholar)
    • Similar Articles (PubMed)
  • Download PDF
  • Download XML
  • View XML
Article

Circulating plasma microRNAs in the detection of esophageal squamous cell carcinoma

  • Authors:
    • Lu Zhang
    • Bing Dong
    • Pengfei Ren
    • Hua Ye
    • Jianxiang Shi
    • Jiejie Qin
    • Kaijuan Wang
    • Peng Wang
    • Jianying Zhang
  • View Affiliations / Copyright

    Affiliations: Department of Epidemiology and Health Statistics, College of Public Health, Zhengzhou University, Zhengzhou, Henan 450001, P.R. China, Department of Molecular Pathology, Henan Cancer Hospital, The Affiliated Cancer Hospital of Zhengzhou University, Zhengzhou, Henan 450008, P.R. China
  • Pages: 3303-3318
    |
    Published online on: June 20, 2018
       https://doi.org/10.3892/ol.2018.8995
  • Expand metrics +
Metrics: Total Views: 0 (Spandidos Publications: | PMC Statistics: )
Metrics: Total PDF Downloads: 0 (Spandidos Publications: | PMC Statistics: )
Cited By (CrossRef): 0 citations Loading Articles...

This article is mentioned in:



Abstract

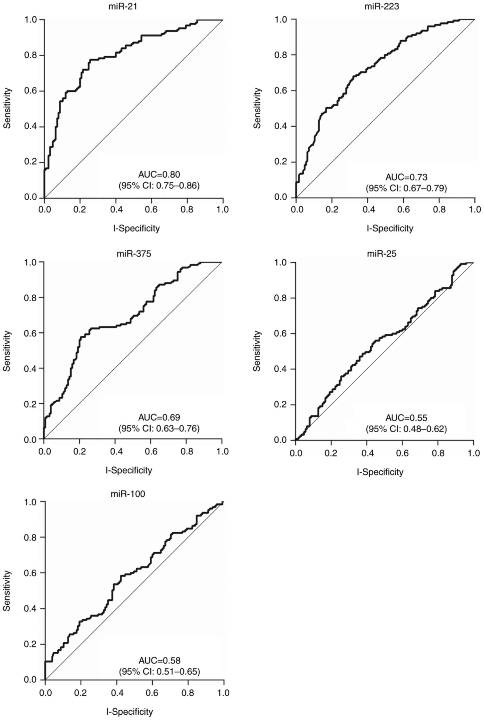
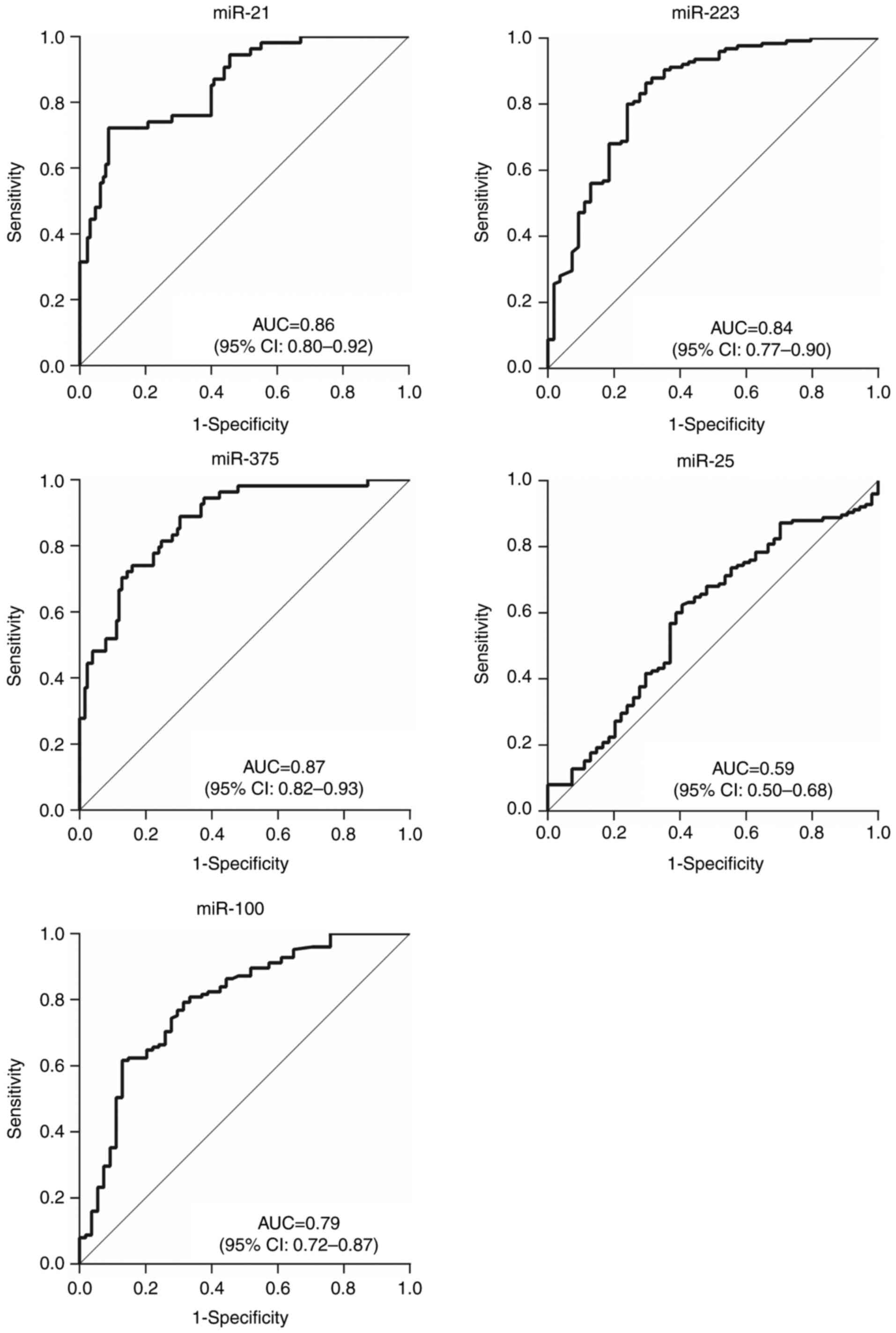
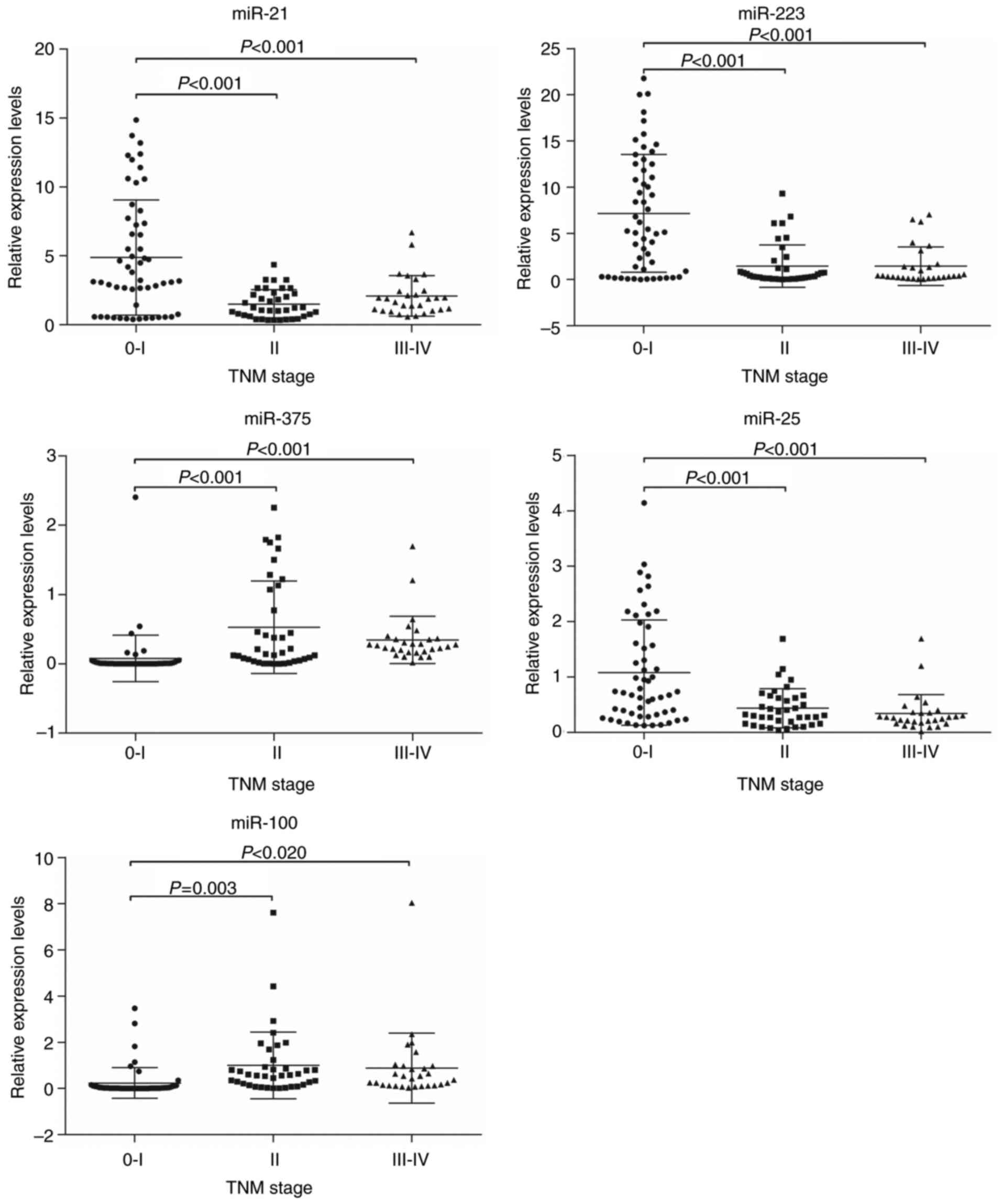
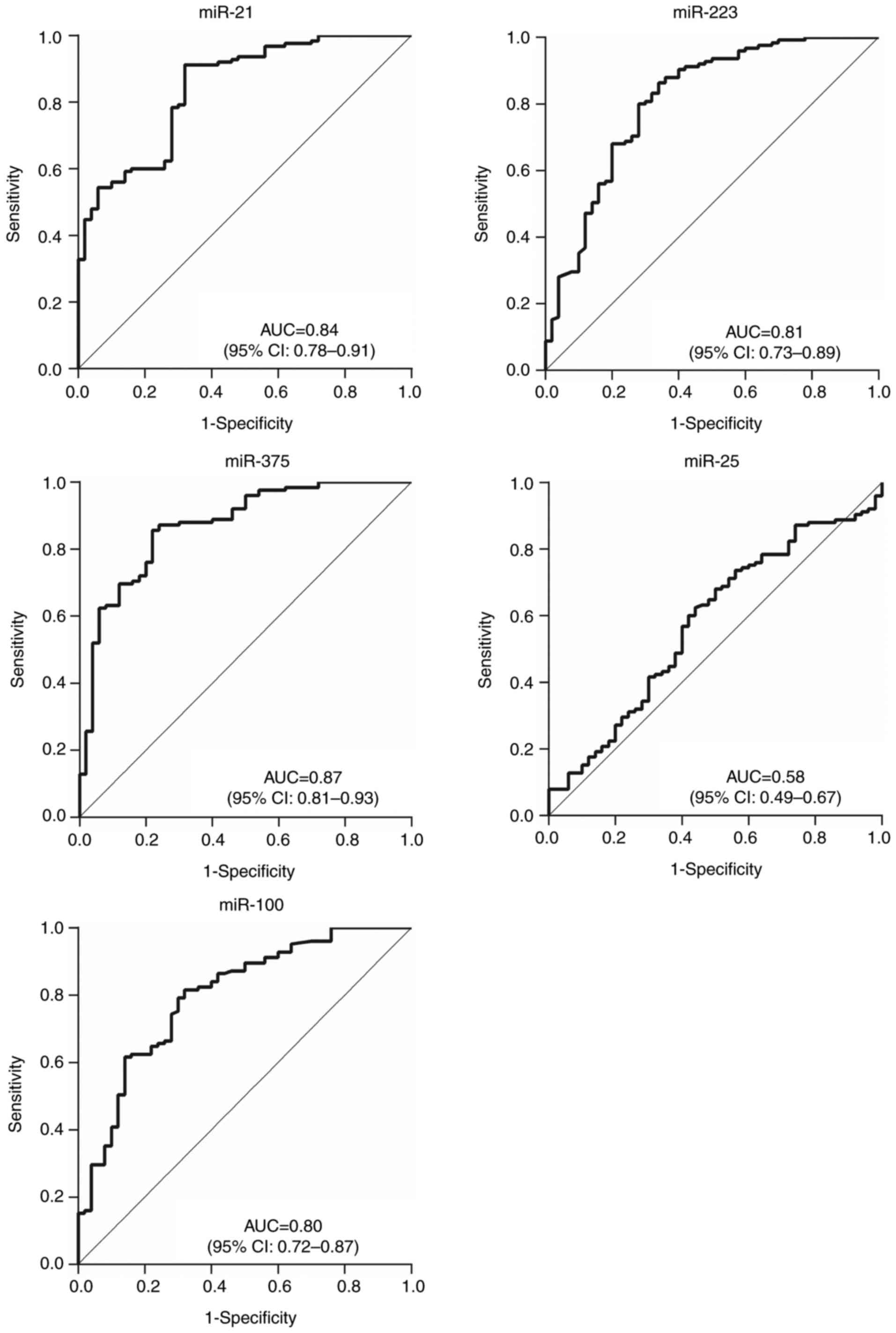
Circulating microRNAs (miRNAs/miRs) have been reported as diagnostic biomarkers for esophageal cancer (EC) diagnosis. However, contrasting results have been achieved in different studies. In the present study, a meta‑analysis was performed, based on the systematic search of PubMed and Web of Science, to evaluate the diagnostic value of circulating miRNAs in the peripheral blood in EC. The top 5 most‑studied miRNAs were selected for confirmation by reverse transcription quantitative‑polymerase chain reaction using the blood plasma of 125 patients with esophageal squamous cell carcinoma (ESCC) and 125 healthy individuals from Henan, China. A total of 45 studies from 22 articles, regarding 33 miRNAs were considered in the meta‑analysis. The pooled sensitivity and specificity were both 0.79 (95% confidence interval, 0.76‑0.82 for both). Among the 5 miRNAs considered (miR‑21, miR‑223, miR‑375, miR‑25 and miR‑100), miR‑21 and miR‑223 were significantly overexpressed whereas miR‑375 expression was reduced in patients with ESCC compared with healthy individuals (all P<0.001). The areas under the curves (AUCs) were 0.80, 0.73, and 0.69 for miR‑21, miR‑223, and miR‑375, respectively. The AUCs increased when discriminating between patients with early ESCC in stage 0‑I and the non‑invasive carcinoma stage Tis‑T1 stage from controls. Thus, it was concluded that plasma miR‑21, miR‑223 and miR‑375 may serve as non‑invasive diagnostic biomarkers in patients with ESCC, especially early ESCC in stages 0‑I and Tis‑T1.
View Figures

Figure 1

Figure 2

Figure 3

Figure 4

Figure 5

Figure 6

Figure 7

View References

1 

Ferlay J, Soerjomataram I, Dikshit R, Eser S, Mathers C, Rebelo M, Parkin DM, Forman D and Bray F: Cancer incidence and mortality worldwide: Sources, methods and major patterns in GLOBOCAN 2012. Int J Cancer. 136:E359–E386. 2015. View Article : Google Scholar : PubMed/NCBI

2 

Torre LA, Bray F, Siegel RL, Ferlay J, Lortet-Tieulent J and Jemal A: Global cancer statistics, 2012. CA Cancer J Clin. 65:87–108. 2015. View Article : Google Scholar : PubMed/NCBI

3 

Hiyama T, Yoshihara M, Tanaka S and Chayama K: Genetic polymorphisms and esophageal cancer risk. Int J Cancer. 121:1643–1658. 2007. View Article : Google Scholar : PubMed/NCBI

4 

Law S and Wong J: The current management of esophageal cancer. Adv Surg. 41:93–119. 2007. View Article : Google Scholar : PubMed/NCBI

5 

Pennathur A, Gibson MK, Jobe BA and Luketich JD: Oesophageal carcinoma. Lancet. 381:400–412. 2013. View Article : Google Scholar : PubMed/NCBI

6 

Zhang JY, Looi KS and Tan EM: Identification of tumor-associated antigens as diagnostic and predictive biomarkers in cancer. Methods Mol Biol. 520:1–10. 2009. View Article : Google Scholar : PubMed/NCBI

7 

Liu BC, Wang LD and Pei H: Tumor-associated autoantibody measurement for screening esophageal cancer. J Clin Exp Med. 2007.

8 

Dai L, Ren P, Liu M, Imai H, Tan EM and Zhang J: Using immunomic approach to enhance tumor-associated autoantibody detection in diagnosis of hepatocellular carcinoma. Clin Immunol. 152:127–139. 2014. View Article : Google Scholar : PubMed/NCBI

9 

Anderson KS and LaBaer J: The sentinel within: Exploiting the immune system for cancer biomarkers. J Proteome Res. 4:1123–1133. 2005. View Article : Google Scholar : PubMed/NCBI

10 

Mroczko B, Kozłowski M, Groblewska M, Łukaszewicz M, Nikliński J, Jelski W, Laudański J, Chyczewski L and Szmitkowski M: The diagnostic value of the measurement of matrix metalloproteinase 9 (MMP-9), squamous cell cancer antigen (SCC) and carcinoembryonic antigen (CEA) in the sera of esophageal cancer patients. Clin Chim Acta. 389:61–66. 2008. View Article : Google Scholar : PubMed/NCBI

11 

Łukaszewicz-Zając M, Mroczko B, Kozłowski M, Nikliński J, Laudański J and Szmitkowski M: Higher importance of interleukin 6 than classic tumor markers (carcinoembryonic antigen and squamous cell cancer antigen) in the diagnosis of esophageal cancer patients. Dis Esophagus. 25:242–249. 2012. View Article : Google Scholar : PubMed/NCBI

12 

Mitchell PS, Parkin RK, Kroh EM, Fritz BR, Wyman SK, Pogosova-Agadjanyan EL, Peterson A, Noteboom J, O'Briant KC, Allen A, et al: Circulating microRNAs as stable blood-based markers for cancer detection. Proc Natl Acad Sci USA. 105:10513–10518. 2008. View Article : Google Scholar : PubMed/NCBI

13 

Asaga S, Kuo C, Nguyen T, Terpenning M, Giuliano AE and Hoon DS: Direct serum assay for microRNA-21 concentrations in early and advanced breast cancer. Clin Chem. 57:84–91. 2011. View Article : Google Scholar : PubMed/NCBI

14 

Jiang L, Cheng Q, Zhang BH and Zhang MZ: Circulating microRNAs as biomarkers in hepatocellular carcinoma screening: A validation set from China. Medicine (Baltimore). 94:e6032015. View Article : Google Scholar : PubMed/NCBI

15 

Guo Z, Zhao C and Wang Z: MicroRNAs as ideal biomarkers for the diagnosis of lung cancer. Tumour Biol. 35:10395–10407. 2014. View Article : Google Scholar : PubMed/NCBI

16 

Yan L, Zhao W, Yu H, Wang Y, Liu Y and Xie C: A comprehensive meta-analysis of MicroRNAs for predicting colorectal cancer. Medicine (Baltimore). 95:e27382016. View Article : Google Scholar : PubMed/NCBI

17 

Hou C, Tan G and Feng S: Clinical significance of microRNA expressions in diagnosing uterine cancer and predicting lymph node metastasis. Tumour Biol. 35:10789–10798. 2014. View Article : Google Scholar : PubMed/NCBI

18 

Qu S, Guan J and Liu Y: Identification of microRNAs as novel biomarkers for glioma detection: A meta-analysis based on 11 articles. J Neurol Sci. 348:181–187. 2015. View Article : Google Scholar : PubMed/NCBI

19 

Song JH and Meltzer SJ: MicroRNAs in pathogenesis, diagnosis, and treatment of gastroesophageal cancers. Gastroenterology. 143:35–47. 2012. View Article : Google Scholar : PubMed/NCBI

20 

Zhang B, Pan X, Cobb GP and Anderson TA: microRNAs as oncogenes and tumor suppressors. Dev Biol. 302:1–12. 2007. View Article : Google Scholar : PubMed/NCBI

21 

Liu F, Tian T, Xia LL, Ding Y, Cormier RT and He Y: Circulating miRNAs as novel potential biomarkers for esophageal squamous cell carcinoma diagnosis: A meta-analysis update. Dis Esophagus. 30:1–9. 2017. View Article : Google Scholar

22 

Li B, Yu Q, Shi Z, Li P and Fu S: Circulating microRNAs in esophageal squamous cell carcinoma: Association with locoregional staging and survival. Int J Clin Exp Med. 8:7241–7250. 2015.PubMed/NCBI

23 

Komatsu S, Ichikawa D, Takeshita H, Tsujiura M, Morimura R, Nagata H, Kosuga T, Iitaka D, Konishi H, Shiozaki A, et al: Circulating microRNAs in plasma of patients with oesophageal squamous cell carcinoma. Br J Cancer. 105:104–111. 2011. View Article : Google Scholar : PubMed/NCBI

24 

Ding L, Xu Y, Zhang W, Deng Y, Si M, Du Y, Yao H, Liu X, Ke Y, Si J and Zhou T: MiR-375 frequently downregulated in gastric cancer inhibits cell proliferation by targeting JAK2. Cell Res. 20:784–793. 2010. View Article : Google Scholar : PubMed/NCBI

25 

Wang F, Li Y, Zhou J, Xu J, Peng C, Ye F, Shen Y, Lu W, Wan X and Xie X: miR-375 is down-regulated in squamous cervical cancer and inhibits cell migration and invasion via targeting transcription factor SP1. Am J Pathol. 179:2580–2588. 2011. View Article : Google Scholar : PubMed/NCBI

26 

Kong KL, Kwong DL, Chan TH, Law SY, Chen L, Li Y, Qin YR and Guan XY: MicroRNA-375 inhibits tumour growth and metastasis in oesophageal squamous cell carcinoma through repressing insulin-like growth factor 1 receptor. Gut. 61:33–42. 2012. View Article : Google Scholar : PubMed/NCBI

27 

Tsukamoto Y, Nakada C, Noguchi T, Tanigawa M, Nguyen LT, Uchida T, Hijiya N, Matsuura K, Fujioka T, Seto M and Moriyama M: MicroRNA-375 is downregulated in gastric carcinomas and regulates cell survival by targeting PDK1 and 14-3-3zeta. Cancer Res. 70:2339–2349. 2010. View Article : Google Scholar : PubMed/NCBI

28 

Sobin LH, Gospodarowicz MK and Wittekind C: TNM Classification of Malignant Tumors. 7th edition. Wiley-Blackwell; Oxford, UK: 2009

29 

Livak KJ and Schmittgen TD: Analysis of relative gene expression data using real-time quantitative PCR and the 2(-Delta Delta C(T)) method. Methods. 25:402–408. 2001. View Article : Google Scholar : PubMed/NCBI

30 

Dwamena B: MIDAS: Stata module for meta-analytical integration of diagnostic test accuracy studies. Stat Softw Components. 14:2007.

31 

Reitsma JB, Glas AS, Rutjes AW, Scholten RJ, Bossuyt PM and Zwinderman AH: Bivariate analysis of sensitivity and specificity produces informative summary measures in diagnostic reviews. J Clin Epidemiol. 58:982–990. 2005. View Article : Google Scholar : PubMed/NCBI

32 

Higgins JP, Thompson SG, Deeks JJ and Altman DG: Measuring inconsistency in meta-analyses. BMJ. 327:557–560. 2003. View Article : Google Scholar : PubMed/NCBI

33 

Akobeng AK: Understanding diagnostic tests 3: Receiver operating characteristic curves. Acta Paediatr. 96:644–647. 2007. View Article : Google Scholar : PubMed/NCBI

34 

Zhang T, Wang Q, Zhao D, Cui Y, Cao B, Guo L and Lu SH: The oncogenetic role of microRNA-31 as a potential biomarker in oesophageal squamous cell carcinoma. Clin Sci (Lond). 121:437–447. 2011. View Article : Google Scholar : PubMed/NCBI

35 

Liu R, Liao J, Yang M, Shi Y, Peng Y, Wang Y, Pan E, Guo W, Pu Y and Yin L: Circulating miR-155 expression in plasma: A potential biomarker for early diagnosis of esophageal cancer in humans. J Toxicol Environ Health A. 75:1154–1162. 2012. View Article : Google Scholar : PubMed/NCBI

36 

Zhang Y, Li Y, Wang C, Guan X, Chen X, Zeng K and Zhang C and Zhang C: Sequencing and identification of mircORNAs from a genome-wide expression profile in serum of esophageal squamous cell carcinoma. J Clin Lab Sci. 2012.

37 

Xie Z, Chen G, Huang J and Li Z: The diagnostic significance of plasma miR-10 for esophageal cancer. Guangdong Med J. 34:2465–2468. 2013.

38 

Hui B, Chen X, Hui L, Xi R and Zhang X: Serum miRNA expression in patients with esophageal squamous cell carcinoma. Oncol Lett. 10:3008–3012. 2015. View Article : Google Scholar : PubMed/NCBI

39 

Zhang C, Wang C, Chen X, Yang C, Li K, Wang J, Dai J, Hu Z, Zhou X, Chen L, et al: Expression profile of microRNAs in serum: A fingerprint for esophageal squamous cell carcinoma. Clin Chem. 56:1871–1879. 2010. View Article : Google Scholar : PubMed/NCBI

40 

Wang B and Zhang Q: The expression and clinical significance of circulating microRNA-21 in serum of five solid tumors. J Cancer Res Clin Oncol. 138:1659–1666. 2012. View Article : Google Scholar : PubMed/NCBI

41 

Hirajima S, Komatsu S, Ichikawa D, Takeshita H, Konishi H, Shiozaki A, Morimura R, Tsujiura M, Nagata H, Kawaguchi T, et al: Clinical impact of circulating miR-18a in plasma of patients with oesophageal squamous cell carcinoma. Br J Cancer. 108:1822–1829. 2013. View Article : Google Scholar : PubMed/NCBI

42 

Sharma P, Saraya A, Gupta P and Sharma R: Decreased levels of circulating and tissue miR-107 in human esophageal cancer. Biomarkers. 18:322–330. 2013. View Article : Google Scholar : PubMed/NCBI

43 

Takeshita N, Hoshino I, Mori M, Akutsu Y, Hanari N, Yoneyama Y, Ikeda N, Isozaki Y, Maruyama T, Akanuma N, et al: Serum microRNA expression profile: miR-1246 as a novel diagnostic and prognostic biomarker for oesophageal squamous cell carcinoma. Br J Cancer. 108:644–652. 2013. View Article : Google Scholar : PubMed/NCBI

44 

Zhang T, Zhao D, Wang Q, Yu X, Cui Y, Guo L and Lu SH: MicroRNA-1322 regulates ECRG2 allele specifically and acts as a potential biomarker in patients with esophageal squamous cell carcinoma. Mol Carcinog. 52:581–590. 2013. View Article : Google Scholar : PubMed/NCBI

45 

Komatsu S, Ichikawa D, Hirajima S, Kawaguchi T, Miyamae M, Okajima W, Ohashi T, Arita T, Konishi H, Shiozaki A, et al: Plasma microRNA profiles: Identification of miR-25 as a novel diagnostic and monitoring biomarker in oesophageal squamous cell carcinoma. Br J Cancer. 111:1614–1624. 2014. View Article : Google Scholar : PubMed/NCBI

46 

Wu C, Wang C, Guan X, Liu Y, Li D, Zhou X, Zhang Y, Chen X, Wang J, Zen K, et al: Diagnostic and prognostic implications of a serum miRNA panel in oesophageal squamous cell carcinoma. PLoS One. 9:e922922014. View Article : Google Scholar : PubMed/NCBI

47 

He FC, Meng WW, Qu YH, Zhou MX, He J, Lv P and Ming L: Expression of circulating microRNA-20a and let-7a in esophageal squamous cell carcinoma. World J Gastroenterol. 21:4660–4665. 2015. View Article : Google Scholar : PubMed/NCBI

48 

Jiang Z, Song Q, Yang S, Zeng R, Li X, Jiang C, Ding W, Zhang J and Zheng Y: Serum microRNA-218 is a potential biomarker for esophageal cancer. Cancer Biomark. 15:381–389. 2015. View Article : Google Scholar : PubMed/NCBI

49 

Xu H, Yao Y, Meng F, Qian X, Jiang X, Li X, Gao Z and Gao L: Predictive value of serum miR-10b, miR-29c, and miR-205 as promising biomarkers in esophageal squamous cell carcinoma screening. Medicine (Baltimore). 94:e15582015. View Article : Google Scholar : PubMed/NCBI

50 

Guan S, Wang C, Chen X, Liu B, Tan B, Liu F, Wang D, Han L, Wang L, Huang X, et al: miR-613: A novel diagnostic and prognostic biomarker for patients with esophageal squamous cell carcinoma. Tumour Biol. 37:4383–4391. 2016. View Article : Google Scholar : PubMed/NCBI

51 

Sun L, Dong S, Dong C, Sun K, Meng W, Lv P, Yin H, Ming L and He F: Predictive value of plasma miRNA-718 for esophageal squamous cell carcinoma. Cancer Biomark. 16:265–273. 2016. View Article : Google Scholar : PubMed/NCBI

52 

Ye M, Ye P, Zhang W, Rao J and Xie Z: Diagnostic values of salivary versus and plasma microRNA-21 for early esophageal cancer. Nan Fang Yi Ke Da Xue Xue Bao. 34:885–889. 2014.(In Chinese). PubMed/NCBI

53 

Li BX, Shi ZL, Yu Q and Fu S: Dynamic monitoring of miR-21 in peripheral blood before and after radiotherapy in patients with esophageal carcinoma and its clinical implication. Tumor. 35:550–555. 2015.

54 

Whiting PF, Rutjes AW, Westwood ME, Mallett S, Deeks JJ, Reitsma JB, Leeflang MM, Sterne JA and Bossuyt PM: QUADAS-2 Group: QUADAS-2: A revised tool for the quality assessment of diagnostic accuracy studies. Ann Intern Med. 155:529–536. 2011. View Article : Google Scholar : PubMed/NCBI

55 

Kosaka N, Iguchi H, Yoshioka Y, Takeshita F, Matsuki Y and Ochiya T: Secretory mechanisms and intercellular transfer of microRNAs in living cells. J Biol Chem. 285:17442–17452. 2010. View Article : Google Scholar : PubMed/NCBI

56 

Chen X, Ba Y, Ma L, Cai X, Yin Y, Wang K, Guo J, Zhang Y, Chen J, Guo X, et al: Characterization of microRNAs in serum: A novel class of biomarkers for diagnosis of cancer and other diseases. Cell Res. 18:997–1006. 2008. View Article : Google Scholar : PubMed/NCBI

57 

Redshaw N, Wilkes T, Whale A, Cowen S, Huggett J and Foy CA: A comparison of miRNA isolation and RT-qPCR technologies and their effects on quantification accuracy and repeatability. Biotechniques. 54:155–164. 2013. View Article : Google Scholar : PubMed/NCBI

58 

Wang Y, Wang Q, Zhang N, Ma H, Gu Y, Tang H, Xu Z and Gao Y: Identification of microRNAs as novel biomarkers for detecting esophageal squamous cell carcinoma in Asians: A meta-analysis. Tumor Biol. 35:11595–11604. 2014. View Article : Google Scholar

59 

Wan J, Wu W, Che Y, Kang N and Zhang R: Insights into the potential use of microRNAs as a novel class of biomarkers in esophageal cancer. Dis Esophagus. 29:412–420. 2016. View Article : Google Scholar : PubMed/NCBI

60 

Meng F, Henson R, Wehbe-Janek H, Ghoshal K, Jacob ST and Patel T: MicroRNA-21 regulates expression of the PTEN tumor suppressor gene in human hepatocellular cancer. Gastroenterology. 133:647–658. 2007. View Article : Google Scholar : PubMed/NCBI

61 

Ma WJ, Lv GD, Tuersun A, Liu Q, Liu H, Zheng ST, Huang CG, Feng JG, Wang X, Lin RY, et al: Role of microRNA-21 and effect on PTEN in Kazakh's esophageal squamous cell carcinoma. Mol Biol Rep. 38:3253–3260. 2011. View Article : Google Scholar : PubMed/NCBI

62 

Asangani IA, Rasheed SA, Nikolova DA, Leupold JH, Colburn NH, Post S and Allgayer H: MicroRNA-21 (miR-21) post-transcriptionally downregulates tumor suppressor Pdcd4 and stimulates invasion, intravasation and metastasis in colorectal cancer. Oncogene. 27:2128–2136. 2008. View Article : Google Scholar : PubMed/NCBI

63 

Lu Z, Liu M, Stribinskis V, Klinge CM, Ramos KS, Colburn NH and Li Y: MicroRNA-21 promotes cell transformation by targeting the programmed cell death 4 gene. Oncogene. 27:4373–4379. 2008. View Article : Google Scholar : PubMed/NCBI

64 

Zhu S, Si ML, Wu H and Mo YY: MicroRNA-21 targets the tumor suppressor gene tropomyosin 1 (TPM1). J Biol Chem. 282:14328–14336. 2007. View Article : Google Scholar : PubMed/NCBI

65 

Sayed D, Rane S, Lypowy J, He M, Chen IY, Vashistha H, Yan L, Malhotra A, Vatner D and Abdellatif M: MicroRNA-21 targets Sprouty2 and promotes cellular outgrowths. Mol Biol Cell. 19:3272–3282. 2008. View Article : Google Scholar : PubMed/NCBI

66 

Schramedei K, Mörbt N, Pfeifer G, Läuter J, Rosolowski M, Tomm JM, von Bergen M, Horn F and Brocke-Heidrich K: MicroRNA-21 targets tumor suppressor genes ANP32A and SMARCA4. Oncogene. 30:2975–2985. 2011. View Article : Google Scholar : PubMed/NCBI

67 

Kurashige J, Kamohara H, Watanabe M, Tanaka Y, Kinoshita K, Saito S, Hiyoshi Y, Iwatsuki M, Baba Y and Baba H: Serum microRNA-21 is a novel biomarker in patients with esophageal squamous cell carcinoma. J Surg Oncol. 106:188–192. 2012. View Article : Google Scholar : PubMed/NCBI

68 

Komatsu S, Ichikawa D, Takeshita H, Konishi H, Nagata H, Hirajima S, Kawaguchi T, Arita T, Shiozaki A, Fujiwara H, et al: Prognostic impact of circulating miR-21 and miR-375 in plasma of patients with esophageal squamous cell carcinoma. Expert Opin Biol Ther. 12 Suppl 1:S53–S59. 2012. View Article : Google Scholar : PubMed/NCBI

69 

Bloomston M, Frankel WL, Petrocca F, Volinia S, Alder H, Hagan JP, Liu CG, Bhatt D, Taccioli C and Croce CM: MicroRNA expression patterns to differentiate pancreatic adenocarcinoma from normal pancreas and chronic pancreatitis. JAMA. 297:1901–1908. 2007. View Article : Google Scholar : PubMed/NCBI

70 

Avissar M, Christensen BC, Kelsey KT and Marsit CJ: MicroRNA expression ratio is predictive of head and neck squamous cell carcinoma. Clin Cancer Res. 15:2850–2855. 2009. View Article : Google Scholar : PubMed/NCBI

71 

Ladeiro Y, Couchy G, Balabaud C, Bioulac-Sage P, Pelletier L, Rebouissou S and Zucman-Rossi J: MicroRNA profiling in hepatocellular tumors is associated with clinical features and oncogene/tumor suppressor gene mutations. Hepatology. 47:1955–1963. 2008. View Article : Google Scholar : PubMed/NCBI

72 

Mathé EA, Nguyen GH, Bowman ED, Zhao Y, Budhu A, Schetter AJ, Braun R, Reimers M, Kumamoto K, Hughes D, et al: MicroRNA expression in squamous cell carcinoma and adenocarcinoma of the esophagus: Associations with survival. Clin Cancer Res. 15:6192–6200. 2009. View Article : Google Scholar : PubMed/NCBI

73 

Miko E, Czimmerer Z, Csánky E, Boros G, Buslig J, Dezso B and Scholtz B: Differentially expressed microRNAs in small cell lung cancer. Exp Lung Res. 35:646–664. 2009. View Article : Google Scholar : PubMed/NCBI

74 

Li Q, Zou C, Zou C, Han Z, Xiao H, Wei H, Wang W, Zhang L, Zhang X, Tang Q, et al: MicroRNA-25 functions as a potential tumor suppressor in colon cancer by targeting Smad7. Cancer Lett. 335:168–174. 2013. View Article : Google Scholar : PubMed/NCBI

75 

Esposito F, Tornincasa M, Pallante P, Federico A, Borbone E, Pierantoni GM and Fusco A: Down-regulation of the miR-25 and miR-30d contributes to the development of anaplastic thyroid carcinoma targeting the polycomb protein EZH2. J Clin Endocrinol Metab. 97:E710–E718. 2012. View Article : Google Scholar : PubMed/NCBI

Related Articles

  • Abstract
  • View
  • Download
  • Twitter
Copy and paste a formatted citation
Spandidos Publications style
Zhang L, Dong B, Ren P, Ye H, Shi J, Qin J, Wang K, Wang P and Zhang J: Circulating plasma microRNAs in the detection of esophageal squamous cell carcinoma. Oncol Lett 16: 3303-3318, 2018.
APA
Zhang, L., Dong, B., Ren, P., Ye, H., Shi, J., Qin, J. ... Zhang, J. (2018). Circulating plasma microRNAs in the detection of esophageal squamous cell carcinoma. Oncology Letters, 16, 3303-3318. https://doi.org/10.3892/ol.2018.8995
MLA
Zhang, L., Dong, B., Ren, P., Ye, H., Shi, J., Qin, J., Wang, K., Wang, P., Zhang, J."Circulating plasma microRNAs in the detection of esophageal squamous cell carcinoma". Oncology Letters 16.3 (2018): 3303-3318.
Chicago
Zhang, L., Dong, B., Ren, P., Ye, H., Shi, J., Qin, J., Wang, K., Wang, P., Zhang, J."Circulating plasma microRNAs in the detection of esophageal squamous cell carcinoma". Oncology Letters 16, no. 3 (2018): 3303-3318. https://doi.org/10.3892/ol.2018.8995
Copy and paste a formatted citation
x
Spandidos Publications style
Zhang L, Dong B, Ren P, Ye H, Shi J, Qin J, Wang K, Wang P and Zhang J: Circulating plasma microRNAs in the detection of esophageal squamous cell carcinoma. Oncol Lett 16: 3303-3318, 2018.
APA
Zhang, L., Dong, B., Ren, P., Ye, H., Shi, J., Qin, J. ... Zhang, J. (2018). Circulating plasma microRNAs in the detection of esophageal squamous cell carcinoma. Oncology Letters, 16, 3303-3318. https://doi.org/10.3892/ol.2018.8995
MLA
Zhang, L., Dong, B., Ren, P., Ye, H., Shi, J., Qin, J., Wang, K., Wang, P., Zhang, J."Circulating plasma microRNAs in the detection of esophageal squamous cell carcinoma". Oncology Letters 16.3 (2018): 3303-3318.
Chicago
Zhang, L., Dong, B., Ren, P., Ye, H., Shi, J., Qin, J., Wang, K., Wang, P., Zhang, J."Circulating plasma microRNAs in the detection of esophageal squamous cell carcinoma". Oncology Letters 16, no. 3 (2018): 3303-3318. https://doi.org/10.3892/ol.2018.8995
Follow us
  • Twitter
  • LinkedIn
  • Facebook
About
  • Spandidos Publications
  • Careers
  • Cookie Policy
  • Privacy Policy
How can we help?
  • Help
  • Live Chat
  • Contact
  • Email to our Support Team