Spandidos Publications Logo
  • About
    • About Spandidos
    • Aims and Scopes
    • Abstracting and Indexing
    • Editorial Policies
    • Reprints and Permissions
    • Job Opportunities
    • Terms and Conditions
    • Contact
  • Journals
    • All Journals
    • Oncology Letters
      • Oncology Letters
      • Information for Authors
      • Editorial Policies
      • Editorial Board
      • Aims and Scope
      • Abstracting and Indexing
      • Bibliographic Information
      • Archive
    • International Journal of Oncology
      • International Journal of Oncology
      • Information for Authors
      • Editorial Policies
      • Editorial Board
      • Aims and Scope
      • Abstracting and Indexing
      • Bibliographic Information
      • Archive
    • Molecular and Clinical Oncology
      • Molecular and Clinical Oncology
      • Information for Authors
      • Editorial Policies
      • Editorial Board
      • Aims and Scope
      • Abstracting and Indexing
      • Bibliographic Information
      • Archive
    • Experimental and Therapeutic Medicine
      • Experimental and Therapeutic Medicine
      • Information for Authors
      • Editorial Policies
      • Editorial Board
      • Aims and Scope
      • Abstracting and Indexing
      • Bibliographic Information
      • Archive
    • International Journal of Molecular Medicine
      • International Journal of Molecular Medicine
      • Information for Authors
      • Editorial Policies
      • Editorial Board
      • Aims and Scope
      • Abstracting and Indexing
      • Bibliographic Information
      • Archive
    • Biomedical Reports
      • Biomedical Reports
      • Information for Authors
      • Editorial Policies
      • Editorial Board
      • Aims and Scope
      • Abstracting and Indexing
      • Bibliographic Information
      • Archive
    • Oncology Reports
      • Oncology Reports
      • Information for Authors
      • Editorial Policies
      • Editorial Board
      • Aims and Scope
      • Abstracting and Indexing
      • Bibliographic Information
      • Archive
    • Molecular Medicine Reports
      • Molecular Medicine Reports
      • Information for Authors
      • Editorial Policies
      • Editorial Board
      • Aims and Scope
      • Abstracting and Indexing
      • Bibliographic Information
      • Archive
    • World Academy of Sciences Journal
      • World Academy of Sciences Journal
      • Information for Authors
      • Editorial Policies
      • Editorial Board
      • Aims and Scope
      • Abstracting and Indexing
      • Bibliographic Information
      • Archive
    • International Journal of Functional Nutrition
      • International Journal of Functional Nutrition
      • Information for Authors
      • Editorial Policies
      • Editorial Board
      • Aims and Scope
      • Abstracting and Indexing
      • Bibliographic Information
      • Archive
    • International Journal of Epigenetics
      • International Journal of Epigenetics
      • Information for Authors
      • Editorial Policies
      • Editorial Board
      • Aims and Scope
      • Abstracting and Indexing
      • Bibliographic Information
      • Archive
    • Medicine International
      • Medicine International
      • Information for Authors
      • Editorial Policies
      • Editorial Board
      • Aims and Scope
      • Abstracting and Indexing
      • Bibliographic Information
      • Archive
  • Articles
  • Information
    • Information for Authors
    • Information for Reviewers
    • Information for Librarians
    • Information for Advertisers
    • Conferences
  • Language Editing
Spandidos Publications Logo
  • About
    • About Spandidos
    • Aims and Scopes
    • Abstracting and Indexing
    • Editorial Policies
    • Reprints and Permissions
    • Job Opportunities
    • Terms and Conditions
    • Contact
  • Journals
    • All Journals
    • Biomedical Reports
      • Information for Authors
      • Editorial Policies
      • Editorial Board
      • Aims and Scope
      • Abstracting and Indexing
      • Bibliographic Information
      • Archive
    • Experimental and Therapeutic Medicine
      • Information for Authors
      • Editorial Policies
      • Editorial Board
      • Aims and Scope
      • Abstracting and Indexing
      • Bibliographic Information
      • Archive
    • International Journal of Epigenetics
      • Information for Authors
      • Editorial Policies
      • Editorial Board
      • Aims and Scope
      • Abstracting and Indexing
      • Bibliographic Information
      • Archive
    • International Journal of Functional Nutrition
      • Information for Authors
      • Editorial Policies
      • Editorial Board
      • Aims and Scope
      • Abstracting and Indexing
      • Bibliographic Information
      • Archive
    • International Journal of Molecular Medicine
      • Information for Authors
      • Editorial Policies
      • Editorial Board
      • Aims and Scope
      • Abstracting and Indexing
      • Bibliographic Information
      • Archive
    • International Journal of Oncology
      • Information for Authors
      • Editorial Policies
      • Editorial Board
      • Aims and Scope
      • Abstracting and Indexing
      • Bibliographic Information
      • Archive
    • Medicine International
      • Information for Authors
      • Editorial Policies
      • Editorial Board
      • Aims and Scope
      • Abstracting and Indexing
      • Bibliographic Information
      • Archive
    • Molecular and Clinical Oncology
      • Information for Authors
      • Editorial Policies
      • Editorial Board
      • Aims and Scope
      • Abstracting and Indexing
      • Bibliographic Information
      • Archive
    • Molecular Medicine Reports
      • Information for Authors
      • Editorial Policies
      • Editorial Board
      • Aims and Scope
      • Abstracting and Indexing
      • Bibliographic Information
      • Archive
    • Oncology Letters
      • Information for Authors
      • Editorial Policies
      • Editorial Board
      • Aims and Scope
      • Abstracting and Indexing
      • Bibliographic Information
      • Archive
    • Oncology Reports
      • Information for Authors
      • Editorial Policies
      • Editorial Board
      • Aims and Scope
      • Abstracting and Indexing
      • Bibliographic Information
      • Archive
    • World Academy of Sciences Journal
      • Information for Authors
      • Editorial Policies
      • Editorial Board
      • Aims and Scope
      • Abstracting and Indexing
      • Bibliographic Information
      • Archive
  • Articles
  • Information
    • For Authors
    • For Reviewers
    • For Librarians
    • For Advertisers
    • Conferences
  • Language Editing
Login Register Submit
  • This site uses cookies
  • You can change your cookie settings at any time by following the instructions in our Cookie Policy. To find out more, you may read our Privacy Policy.

    I agree
Search articles by DOI, keyword, author or affiliation
Search
Advanced Search
presentation
Oncology Letters
Join Editorial Board Propose a Special Issue
Print ISSN: 1792-1074 Online ISSN: 1792-1082
Journal Cover
September-2018 Volume 16 Issue 3

Full Size Image

Sign up for eToc alerts
Recommend to Library

Journals

International Journal of Molecular Medicine

International Journal of Molecular Medicine

International Journal of Molecular Medicine is an international journal devoted to molecular mechanisms of human disease.

International Journal of Oncology

International Journal of Oncology

International Journal of Oncology is an international journal devoted to oncology research and cancer treatment.

Molecular Medicine Reports

Molecular Medicine Reports

Covers molecular medicine topics such as pharmacology, pathology, genetics, neuroscience, infectious diseases, molecular cardiology, and molecular surgery.

Oncology Reports

Oncology Reports

Oncology Reports is an international journal devoted to fundamental and applied research in Oncology.

Experimental and Therapeutic Medicine

Experimental and Therapeutic Medicine

Experimental and Therapeutic Medicine is an international journal devoted to laboratory and clinical medicine.

Oncology Letters

Oncology Letters

Oncology Letters is an international journal devoted to Experimental and Clinical Oncology.

Biomedical Reports

Biomedical Reports

Explores a wide range of biological and medical fields, including pharmacology, genetics, microbiology, neuroscience, and molecular cardiology.

Molecular and Clinical Oncology

Molecular and Clinical Oncology

International journal addressing all aspects of oncology research, from tumorigenesis and oncogenes to chemotherapy and metastasis.

World Academy of Sciences Journal

World Academy of Sciences Journal

Multidisciplinary open-access journal spanning biochemistry, genetics, neuroscience, environmental health, and synthetic biology.

International Journal of Functional Nutrition

International Journal of Functional Nutrition

Open-access journal combining biochemistry, pharmacology, immunology, and genetics to advance health through functional nutrition.

International Journal of Epigenetics

International Journal of Epigenetics

Publishes open-access research on using epigenetics to advance understanding and treatment of human disease.

Medicine International

Medicine International

An International Open Access Journal Devoted to General Medicine.

Journal Cover
September-2018 Volume 16 Issue 3

Full Size Image

Sign up for eToc alerts
Recommend to Library

  • Article
  • Citations
    • Cite This Article
    • Download Citation
    • Create Citation Alert
    • Remove Citation Alert
    • Cited By
  • Similar Articles
    • Related Articles (in Spandidos Publications)
    • Similar Articles (Google Scholar)
    • Similar Articles (PubMed)
  • Download PDF
  • Download XML
  • View XML
Article Open Access

Exopolysaccharides produced by Lactobacillus strains suppress HT‑29 cell growth via induction of G0/G1 cell cycle arrest and apoptosis

  • Authors:
    • Wei Di
    • Lanwei Zhang
    • Huaxi Yi
    • Xue Han
    • Yingchun Zhang
    • Liang Xin
  • View Affiliations / Copyright

    Affiliations: Department of Food Science and Engineering, School of Chemistry and Chemical Engineering, Harbin Institute of Technology, Harbin, Heilongjiang 150090, P.R. China, Functional Dairy and Probiotics Engineering Laboratory, College of Food Science and Engineering, Ocean University of China, Qingdao, Shandong 266003, P.R. China
    Copyright: © Di et al. This is an open access article distributed under the terms of Creative Commons Attribution License.
  • Pages: 3577-3586
    |
    Published online on: July 11, 2018
       https://doi.org/10.3892/ol.2018.9129
  • Expand metrics +
Metrics: Total Views: 0 (Spandidos Publications: | PMC Statistics: )
Metrics: Total PDF Downloads: 0 (Spandidos Publications: | PMC Statistics: )
Cited By (CrossRef): 0 citations Loading Articles...

This article is mentioned in:



Abstract

In the present study, the effects of exopolysaccharides (EPS) from nine Lactobacillus strains with a high degree of bio‑activity on human colon cancer cell line HT‑29 were studied. The extracellular polymeric substances from 4 strains, namely K11, M5, SB27 and X12, displayed desirable anti‑proliferative activity against HT‑29 cells. Crude and acidic EPS were purified from the 4 strains and the inhibitory effects were further investigated. The crude and acidic EPS from these 4 strains exerted anti‑proliferation effects on HT‑29 cells in a dose‑dependent manner but were nontoxic to Vero cells. Treatment with EPS significantly induced G0/G1 cell cycle arrest and apoptosis of HT‑29 cells. Hoechst 33258 staining of acidic EPS‑treated HT‑29 cells revealed different degrees of morphological changes within the nucleus and the formation of apoptotic bodies. Caspase‑3 activity was markedly upregulated in HT‑29 cells following treatment with acidic EPS. In addition, acidic EPS from the SB27 strain demonstrated the most robust inhibitory effect on HT‑29 cells. The results of the present study suggest that as an inducer of apoptosis EPS has the potential to be applied in the treatment of colorectal cancer.

Introduction

Colorectal cancer is one of the leading causes of cancer-related deaths among men and women, causing approximately 1.4 million new cases and more than 0.5 million deaths per year worldwide (1). Its onset is insidious, often without any obvious clinical manifestations (2). Several factors were responsible for the development of colon cancer (3,4). The accumulation of mutations in certain protooncogenes and tumor suppressor genes might result in cacer initiation (5). Dietary factors as well as lifestyle have been considered to play a major role in its incidence (6,7). Diet with high fat and low carbohydrate can increase the possibility of occurrence of colon cancer. In particular, consumption with red meat and processed meats, highly refined grains and starches, and sugars is related to rising risk of colon cancer (8).

Lactic acid bacteria (LAB) are commonly known as a kind of probiotics which are facultative anaerobes and widely exist in human intestine and have been reported to possess many useful properties, including immune-modulatory, anti-inflammatory, anti-oxidant and anti-proliferative activity (9). Although recent studies have revealed that desirable biological activity of LAB can be achieved by using living or dead bacteria (10,11), exopolysaccharides (EPS) produced by LAB have particularly received intensive interests for their potential as valuable compounds and in health applications (12). EPS is generally related to all forms of polysaccharides found outside the microbial cell wall. Moreover, EPS represents one of the most important functional components of LAB metabolic products (13), which have been reported to exerted several physiological functions such as immunoregulatory effects (14), anti-oxidant activities (15), anti-hypertensive effects (16) and antitumor activities (17). Among them, antitumor activity has particularly received intensive interest due to the growing number and the high mortality of patients suffered from cancer. Though the antitumor agents used currently in chemotherapy practice possess strong activity, many doubts have raised about their safety and side effects (18) that the public attention has transferred to identification of antitumor agents from natural sources (19). Whether EPS from LAB could be served as an ideal substitute to the synthetic antitumor agents from the safe natural sources has been investigated by a large number of studies (14,17,20–22). However, most of them focused on the EPS produced only by a single LAB strain. Lactobacillus is one of the most notable strains of the LAB group and also commonly used in dairy product fermentation and as probiotic (23,24). The primary aim of this study was to investigate the effects of EPS from different Lactobacillus strains, which were facultative anaerobes and showed activity in large intestine (25–27), on a mostly used colon cancer cell line called HT-29. The potential application as an anticancer agent was further discussed.

Materials and methods

Strains and culture conditions

Nine Lactobacillus strains with high bio-activity, namely L. casei ×11, L. casei ×12, L. casei K11, L. casei J5, L. rhamnosus J10, L. casei M5, L. casei M23, L. rhamnosus IN4125, and L. casei SB27 were choosen based on previous researches (25,26,28). Among them, Lactobacillus IN4125 was isolated from infant faeces; Lactobacillus J5 and J10 were isolated from fermented foods in Gansu Province; Lactobacillus M5 and M23 were isolated from Koumiss in Sinkiang; Lactobacillus ×11 and ×12 were isolated from Cheese in Sinkiang; Lactobacillus K11 was isolated from Kefir in Tibet.

L. rhamnosus GG (LGG, ATCC53103) was used as reference strain, which is a probiotic of human origin and commercially exploited to help maintain a ‘good balance’ of bacteria in the human intestines by preventing the growth of harmful bacteria (29,30). Stock culture of all Lactobacillus strains was maintained at −80°C in freeze-dried 12.5% skim milk containing 2.5% glycerol. All strains were subcultured twice at 37°C for 24 h prior to use in the experiments in 12.5% sterilized skim milk medium under anaerobic conditions.

Colon cancer cell culture

The human colon cancer cell line, HT-29, was obtained from the Cancer Institute of the Chinese Academy of Medical Science (Beijing, China). HT-29 cells were grown in RPMI-1640 medium (Thermo Fisher Scientific, Inc., Waltham, MA, USA) containing 10% FBS (Gibco; Thermo Fisher Scientific, Inc.). The cells were incubated in 25 cm2 flasks at 37°C in a humidified atmosphere of 95% filtered air and 5% CO2 in a CO2 incubator (HEPA class 100; Thermo Fisher Scientific, Inc.). The medium was changed daily to maintain exponential growth of the cells. Cell counts were assessed by standard procedures of cell counting using a hemacytometer.

Preparation of extracellular polymeric substances and MTT assay

Two hundred mini-liter inoculum was prepared as described by Ai et al with some modifications (31). After an approximately 36 h incubation period, pH values of the fermentation broth were decreased to 4.5 and the final fermentation was then boiled for 10 min at 100°C to coagulate the protein and inhibit enzyme activity. After cooling, coagulated proteins and heat-treated bacterial cells were separated by centrifugation (12,000 × g for 15 min at 4°C). Supernatants of the 10 Lactobacillus strains (9 experimental strains and 1 control strain) were filtered by 0.22 µm membrane and their pH was adjusted to 7.4 with 10 M NaOH to obtain the extracellular polymeric substances as the previous description (32).

MTT [3-(4, 5-dimethylthiazol-2-yl)-2,5-diphenyltetrazolium bromide] assay was used to test the anti-proliferative effects of the EPS which had little effects on noncancerous cells (33–35). Briefly, HT-29 colon cells at a density of 1×105 cells per ml were seeded into 96-well plates. After 12 h of incubation, cells were treated with 100 µl extracellular polymeric substances and then incubated for 48 h. Negative controls were treated with equal volume of RPMI-1640 medium (35,36). Positive controls were treated with 5 µg/ml daunorubicin (37,38). At the end of each treatment, 10 µl (5 mg/ml) of MTT was added and the tumor cells were inoculated for another 4 h. The liquid was then removed and 100 µl DMSO was added to the well. After dissolving of the formed crystal formazan, the absorbance was measured at 570 nm with an enzyme-linked immunosorbent assay plate reader (BioTek-Eon, Gene Company Limited, USA). Results were displayed as the inhibition rates. All results were transformed into percentages based on their separate controls. Calculation was performed by using the following formula: Inhibition rate={1-(absorbance in test well)/(absorbance in control well)} ×100%.

Extract and purification of EPS

Starter culture was prepared as previously described of inoculum, then batch fermentation was performed in a 5.0L capacity fermentor (Biotech-2002; Bao Xing Bio-Engineering Equipment Co., Ltd, Shanghai, China) at 37°C with an inoculum concentration of 3.0% to obtain the fermented broth (15). Extracellular polymeric substances were obtained as described previously (34). The crude EPS fractions were separated and purified according to procedures described by Lin et al with slight modifications (39). The obtained crude EPS fractions were then lyophilized in a freeze-drier (FD-1C-50; Boyikang, Beijing, China). The acidic EPS was purified by using anion exchange chromatography on a DEAE Sepharose Fast-Flow (GE Healthcare, Chicago, IL, USA) column (1.6×20 cm) with the NaCl gradient (0~1M) as the elution buffer at a flow rate of 1.0 ml/min. The purified acidic EPS was collected by using a fraction collector with 5 ml per tube. The eluent was assayed for carbohydrate contents by the phenol-sulfuric acid method described by DuBois et al (40). The peak fractions containing polysaccharides were pooled and dialyzed with deionized water every 6 h for 48 h and freeze-dried.

Measurement of anti-proliferative effects of EPS

The anti-proliferation activity of crude and acidic EPS on HT-29 cells was measured by using MTT assay as described above. After 12 h of incubation, cells were treated with EPS at a range of concentrations of 10, 20, 100, 200, and 500 µg/ml (41) and then incubated for 48 h. The ultimate treatment concentration was determined as 500 µg/ml in consideration of the solubility of EPS in RPMI-1640 medium being less than 600 µg/ml. The cells treated only with RPMI-1640 medium were used as the control. All samples were subjected to polysaccharide concentration test before MTT assay. All concentrations of crude and acidic EPS that tested for their inhibition effect on HT-29 colon cell were compared with the control to calculate the inhibition ratio.

Cell cycle analysis

Measurements of HT-29 cell cycles were performed as described by Liu et al by flow cytometry (FACS Calibur; BD Biosciences, Franklin Lakes, NJ, USA) (42). Like the apoptosis determination procedure, HT-29 cells were seeded onto 6-well plates and treated after 24 h of incubation with crude or acidic EPS fractions for 48 h. HT-29 cells were trypsinized and washed twice with pro-cooling PBS and fixed in 70% ethanol at 20°C for 1 h. Fixed cells were then washed twice with PBS and re-suspended in 500 µl of 0.5% Triton X-100/PBS at 37°C for 30 min with 1 mg/ml of RNase A (Sigma-Aldrich; Merck KGaA, Darmstadt, Germany). Cells were stained with 10 µl of propidium iodide (PI) solution (BD Biosciences) in the dark and analyzed using a FACS Calibur flow cytometer installed with Cell Quest software (both BD Biosciences) (43,44).

Hoechst 33258 staining

Morphological changes in the nuclear chromatin of HT-29 cells treated with acidic EPS fractions were detected by Hoechst 33258 staining. Cells were cultured in RPMI 1640 medium containing 10% FBS and seeded onto 6-well plates with the concentration of 2×106 cells/well in 2 ml medium. After 24 h of incubation, cells were treated with 500 µg/ml acidic EPS fractions for 48 h. Subsequently, the EPS-treated cells were harvested and washed twice with PBS. Then cells were fixed with 4% paraformaldehyde at 37°C for 20 min. After washed twice with PBS, the cells were incubated with 50 µg/ml Hoechst 33258 staining solution for 15 min at room temperature in the dark followed by wash with PBS for 5 min and repeated twice. Cells were examined and photographed using the inverted fluorescence microscope (Axio Vert. A1; Zeiss AG, Oberkochen, Germany).

Cell apoptosis by flow cytometry

Measurements of cell apoptosis and necrosis were performed as previously described by Sharma et al (45). Briefly, HT-29 cells were seeded onto 6-well plates 24 h and then treated with 500 µg/ml of crude or acidic EPS fractions for 48 h. Then cells were harvested, washed twice with pro-cooling PBS (pH 7.4) and resuspended in 100 µl binding buffer (BD Biosciences). Annexin V-FITC (5 µl Fluorescein isothiocyanate; Ex 488 nm, Em 515 nm) and 5 µl of PI (Ex 633 nm) were added to the solution at room temperature (25°C) in the dark. The cells were supplemented with 200 µl of binding buffer and further analyzed by flow cytometry using FACS Calibur (BD Biosciences). Data were analyzed by Cell Quest software that a region with less cell debris to calculate the percentages of four quadrants and apoptosis rate%=(Q2+Q4)/(Q2+Q4) ×100% (46,47).

Measurement of caspase-3 activity

The commercially available caspase-3 colorimetric assay kit (Keygen Biotech, Nanjing, China) was employed to determine the activity of caspase-3. Lysates of HT-29 cells were prepared after treatment with 500 µg/ml acidic EPS fractions (47). Assays were performed by incubating 150 µl of cell lysate per sample with 50 µl of reaction buffers (including 0.5 µl DTT) on 96-well microtiter plates. Then 5 µl of caspase-3 substrate was added into the samples and incubated at 37°C for 4 h. The absorbance was measured at 405 nm to determine the caspase-3 activity of the tested samples using a microplate reader. Detailed data analyses process was performed according to the manufacturer's recommendation.

Statistical analysis

All data were expressed as mean ± standard deviation (SD) of three replicates (x ± SD, n=3). Tests of significant differences were determined by one-way ANOVA by SPSS 20.0 (IBM Corp., Armonk, NY, USA). Duncan's and LSD's multiple range tests were used to determine differences among groups. P<0.05 was considered to indicate a statistically significantly differenence.

Results

Screening of Lactobacillus strains for anti-proliferation effects by MTT assay

A comparative analysis of proliferation inhibition on HT-29 cells by extracellular polymeric substances, which were produced by 9 Lactobacillus strains and one reference strain LGG, respectively, was presented in Table I. The results indicated that 3 Lactobacillus strains, L. casei M5, L. casei SB27 and L. casei ×12, exerted the most robust anti-proliferation activity, which were significantly higher than LGG reference strain (P<0.01). The extracellular polymeric substances from L. casei K11 also showed significant higher anti-proliferation activities compared with that of the LGG strain (P<0.05). The extracellular polymeric substances produced by other 5 strains, however, presented moderate anti-proliferation activity on HT-29 cells. Thus, we identified 4 of 9 tested strains presented a significant higher inhibitory effect upon HT-29 cellular proliferation.

Table I.

Anti-proliferation activity of extracellular polymeric substances isolated from Lactobacillus strains.

Table I.

Anti-proliferation activity of extracellular polymeric substances isolated from Lactobacillus strains.

StrainOriginaSpeciesInhibitory rate (%)
X11Traditional cheese; Sinkiang, ChinaL. casei 16.22±0.40c
X12Traditional cheese; Sinkiang, ChinaL. casei 21.10±0.98c
K11Traditional Tibetan kefir; Tibet, ChinaL. casei20.11±0.36
J5Traditional fermented vegetable juice; Gansu Province, ChinaL. casei 5.07±1.39c
J10Traditional fermented vegetable juice; Gansu Province, ChinaL. rhamnosus 11.07±1.07c
M5Traditional koumiss; Sinkiang, ChinaL. casei 25.75±0.63c
M23Traditional koumiss; Sinkiang, ChinaL. casei 10.04±0.50c
IN4125Infant feces; W/21 monthsL. rhamnosus 9.66±0.48c
SB27Traditional fermented yaks' milk food; Gansu Province, ChinaL. casei 35.98±0.47c
LGGbATCC53103L. rhamnosus GG18.82±1.01

a The strains were obtained from infant feces and traditional fermented foods. The fermented foods were made by local residents using traditional methods under environmental conditions present in northwestern China (Sinkiang, Tibet and Gansu).

b LGG strain was used as the reference strain. The positive control group was the absorbance of the system treated with extracellular polymeric substances isolated from LGG strain.

c P<0.01 vs. the positive control group.

In vitro anti-proliferation activity of crude and acidic EPS on HT-29 cells

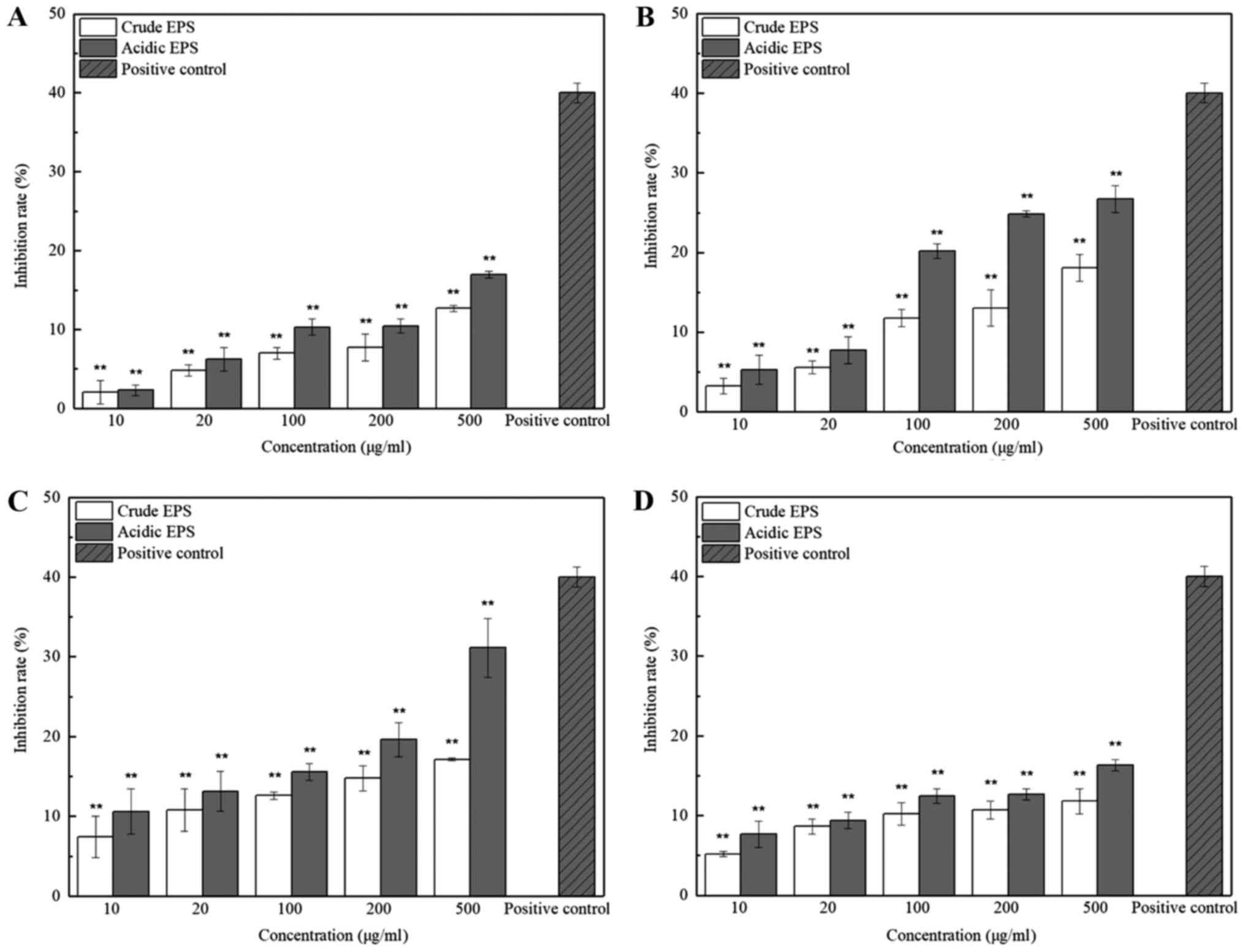
The anti-proliferation effect of crude and acidic EPS produced by L. casei K11, L. casei M5, L. casei SB27 and L. casei ×12 on HT-29 cells was determined by MTT assay under 5 different concentrations. As shown in Fig. 1(c), the inhibition effect of both crude and acidic EPS produced by L. casei SB27 on HT-29 cells significantly increased along with the increased concentrations (P<0.01). Inhibition of the crude and acidic EPS produced by other 3 strains showed same trend but with less effect. These results indicated the dose-dependent inhibition effects of EPS on HT-29 cells. In addition, the anti-proliferation activities of the acidic EPS group was higher than that of the crude EPS group, especially at higher concentration. Since 500 µg/ml EPS showed the highest inhibition rate on HT-29 cells, especially in that of L. casei SB27, subsequent experiments were conducted with EPS at this concentration further tested. The inhibition rate of 500 µg/ml acidic EPS from K11 M5, SB27, and ×12 strain in Vero cell line was 1.02±0.71, 4.20±0.77, 2.38±1.37, and 4.76±0.93%, respectively, which implied that the EPS was non-toxic for normal cells. This concentration was accordingly selected for subsequent experiments.

Figure 1.

Anti-proliferation effect of crude and acidic EPS produced by (A) L. casei K11, (B) L. casei M5, (C) L. casei SB27 and (D) L. casei ×12 on HT-29 cells. The negative control group was the absorbance of the system without the addition of EPS. The positive control group was the absorbance of the system treated with 5 µg/ml daunorubicin. **P<0.01 vs. the positive control group. EPS, exopolysaccharides.

Effects of crude and acidic EPS on cell division cycle

Excessive proliferation is well known as one of the most salient characteristics of cancer cells. Therefore, any agent by which cancer cell cycles can be arrested represents an effective anticancer substance. The effects of crude and acidic EPS from 4 L. casei strains on the HT-29 cell cycle phase distribution was examined by flow cytometry (Fig. 2). The percentage of G0/G1 phase increased significantly (P<0.01) when HT-29 cells were incubated with crude and acidic for 48 h, while the percentage of cells at G2 and S phases decreased. L. casei K11 crude EPS group were the exception, whose cell percentage at the S phase increased compared with control but cell percentage of the G2 phase was with a sharp decrease (P<0.01). In addition, acidic EPS group gained more percentage of cells at the G0/G1 phase compared with crude EPS group. Specially, maximal increase (from 71.93 to 81.93%) of HT-29 cell percentage at the G0/G1 phase was observed in L. casei SB27 acidic EPS group.

Figure 2.

Effects of crude and acidic EPS on the cell cycle progression of HT-29 cells. (A) Representative histograms depicting cell cycle distribution in HT-29 cells treated with 500 µg/ml crude or acidic EPS. (B) Column statistics depicting cell cycle distribution in HT-29 cells treated with crude or acidic EPS. *P<0.05 and **P<0.01 vs. the control group. EPS, exopolysaccharides.

Effects of crude and acidic EPS on HT-29 cell apoptosis by flow cytometry

Annexin V-FITC and PI staining method was employed and apoptosis analyses were performed to evaluate the apoptosis induction effect of EPS on HT-29 cells. As illustrated in Fig. 3, the four L. casei strains induced HT-29 cell apoptosis to different levels compared to the untreated control cells. Acidic EPS induced a higher apoptosis rate on HT-29 cells than crude EPS, which was consistent with the effect on anti-proliferation. Significant induction of apoptosis was observed in HT-29 cells after treatment with EPS either from L. casei SB27 or L. casei M5, whereas only mild apoptosis was triggered by L. casei ×12. For L. casei K11, its acidic EPS induced a moderate apoptosis on HT-29 cells while crude EPS did not show significant effects on induction of apoptosis.

Figure 3.

(A) Flow cytometry analysis with Annexin V-FITC/PI. Cells treated with medium were used as the control. (B) The flow cyometry results were statistically analysed. *P<0.05 and **P<0.01 vs. the control group. PI, propidium iodide; FITC, Fluorescein isothiocyanate; EPS, exopolysaccharides.

Acidic EPS induced nuclei morphological changes in HT-29 cell

Hoechst staining was conducted to further appraise the apoptosis of HT-29 cells treated with acidic EPS. As shown in Fig. 4A, EPS-untreated cells appeared circular or elliptical, with no condensation of the nucleus being presented. In contrast, cells treated with acidic EPS produced by 4 kinds of L. casei strains showed different degrees of morphological changes within nucleus and markedly condensed dots known as apoptotic bodies. Furthermore, cells treated with acidic L. casei SB27 EPS exhibited the most obvious morphological changes when subjected to Hoechst 33258 staining (Fig. 4D). Overall, based on the results of nuclei morphological changes, acid EPS group indeed induced HT-29 colon cancer cell apoptosis.

Figure 4.

Hoechst staining of HT-29 cells either untreated or treated with acidic EPS for 48 h. The blue fluorescence marks the nucleus of HT-29 cells and the white arrows indicate apoptotic or dead cells. (A) HT-29 cells un-treated with acidic EPS; (B) HT-29 cells treated with acidic EPS from K11; (C) HT-29 cells treated with acidic EPS from M5; (D) HT-29 cells treated with acidic EPS from SB27; (E) HT-29 cells treated with acidic EPS from ×12. EPS, exopolysaccharides.

Effects of acidic EPS treatment on activity of caspase-3

HT-29 cells treated with acidic EPS were subjected to caspase-3 activity assay. A statistically increase in the ratio of absorbance over that of controls was obtained (Fig. 5), which revealed that all 4 kinds of tested EPS were able to activate caspase-3. The maximal increase of caspase-3 activation was observed in HT-29 colon cancer cells treated with L. casei SB27 acidic EPS, while the minimal increase of caspase-3 activation was observed in L. casei K11 acidic EPS group. The results indicated that L. casei SB27 acidic EPS was more effective in activating caspase-3, which was consistent with its effect on inducing apoptosis.

Figure 5.

Caspase-3 activity in HT-29 cells following 48 h treatment with acidic EPS. The differences between groups was determined by one-way ANOVA with Duncan's post hoc test. *P<0.05 vs. the L. casai K11 group; #P<0.05 vs. the L. casai M5 group; @P<0.05 vs. the L. casai ×12 group. EPS, exopolysaccharides

Discussion

Colon cancer is one of the most notorious malignant tumors with high incidence and mortality. Chemotherapy is one of the most commonly used therapeutic modalities for the treatment of cancer, but most anticancer drugs currently used in chemotherapy are cytotoxic to normal cells, resulting in multiple-organ toxicity such as hemopoetic suppression and immunotoxicity (18). Polysaccharides from natural sources are recently found as effective, relatively nontoxic substance with a wide range of biological activities and accordingly have attracted lots of attention (48). It suggested that the polysaccharides with antitumor property can be used as one ideal substitute for tumor therapy. The present study evaluated the effects of EPS from nine previously reported Lactobacillus strains with high degree of bio-activity on HT-29 cells which were used in several studies of antitumor activity of EPS (36,38).

We identified 4 L. casei strains, including L. casei M5, L. casei SB27, L. casei ×12, and L. casei K11, having a significant inhibitory effect on HT-29 cell proliferation, whereas the rest 5 strains presented poor anti-proliferation effects. Subsequent MTT assay of purified EPS from these four strains further verified their anti-proliferation effects on HT-29 cells but nontoxic to Vero cells, a normal cell. Since the inhibition rate of EPS in cancer cells was less than that of clinical drugs, the inhibition was considered to be effective when the rate was >20% by using 100 µg/ml EPS (17,36). While the inhibition effect of EPS produced by L. casei SB27 on HT-29 cells significantly increased along with the increased concentrations (P<0.01), acidic EPS produced by L. casei M5 showed a inhibition rate close to 20% at a concentration of 100 µg/ml. The inhibition effect of produced EPS on HT-29 cells varied from strain to strain, although these nine Lactobacillus strains belong to the same genus. Our results were consistent with previous report that EPS isolated from different strains showed clear differences in their characteristics and biological activities (49), which may be attributed to the genetic differences of the strains.

Cell proliferation is tightly regulated by the cell cycle: S phase for DNA synthesis, M phase for mitosis, G0/G1 and G2 phase. The G1/S transition is a vital checkpoint in the progress of cell cycle and responsible for the initiation and completion of DNA replication (50). By using FACS analyses we observed that the inhibitory effect of crude and acidic EPS on HT-29 cell proliferation was related to the prevention of G1 to S transition.

Cell shrinkage, nuclear fragmentation, and chromatin condensation are included in a series of typical morphological features of apoptosis (51). Both flow cytometry and hoechst staining showed the apoptotic evidence of EPS on HT-29 cells. Caspase-3 is initially formed as a 32 kDa zymogen and cleaved into 17 and 12 kDa subunits when it was activated in the apoptotic cell both by extrinsic (death ligand) and intrinsic (mitochondrial) pathways. Activation of caspase-3 is often the signal to ensure that the cellular components are degraded in a controlled manner, carrying out cell death with minimal effect on surrounding tissues (52). The increased caspase-3 activity indicated the apoptosis induced in HT-29 colon cancer cells by acidic ESPs were, in part, mediated by a caspase-dependent pathway. In the near future, it would be interesting to further study the molecular events of cell apoptosis under the treatment of EPS.

An interesting finding in the present study is that acidic EPS has stronger effect of anti-proliferation and apoptosis on HT-29 cell than crude EPS. Coincidentally, Zhang et al compared the antitumor activity of neutral vs. acidic polysaccharides isolated and purified from the dried bulbs of Allium macrostemon Bunge against human gastric carcinoma cells BGC-823 and found that acidic polysaccharides showed significantly higher inhibition rate than neutral polysaccharides (53). This phenomenon might be attributed to differences between crude and acidic EPS in composition and structure characteristics. In this study, the obtained crude EPS were mixtures of acidic polysaccharides and proteins, while the acidic EPS primarily consisted of acidic polysaccharides with trace proteins. In our previous study, two high molecular weight fractions (LW1 and LW2) were identified in EPS from L casei SB27 and showed a sheet-like appearance with a folded surface and a compact structure (54). We will continue to determine the structural characteristics of the acidic EPS to further understand the key factors affecting its activity.

There were some limitations of our study. The effect of 500 ug/ml EPS was only tested on HT-29 cells. It is unclear whether the EPS identified in present study has effects on other cancer cell lines. Meanwhile, this concentration is relatively high and expected to be toxic when used in human. The toxicity of EPS was tested on Vero cell line in consideration of its extensive usage in researches of various types of biological pharmaceuticals (55) and little effect on its proliferation was found, which was consistent to reports from other group (56). However, in order to evaluate its safety, it is necessary to test the toxicity of EPS on normal human colon cells and human in vivo. We are planning to do this after elucidating the mechanism of antitumor activity of EPS. Furthermore, previous reports showed the immunologic reaction elicited by the EPS, such as increased expression of TNF-α, IL-10, and IL-1β (57–59). Whether the EPS from the 9 Lactobacillus strains has immunomodulatory activity on cells and human being is unknown.

In conclusion, the results of present study suggest that EPS from L. casei M5, L. casei SB27, L. casei ×12, and L. casei K11, especially acidic EPS produced by L. casei SB27, exerted significant anti-proliferation effect on HT-29 cells via the induction of G0/G1 cell cycle arrest and caspase-3-dependent apoptosis. In the future, it is necessary to detect whether the EPS has broad spectrum antitumor activity on other cancer cell lines and immunomodulatory activity in order to help us to evaluate the clinical implications and safety of EPS.

Acknowledgements

Not applicable.

Funding

The present study was financially supported by the program of Harbin outstanding academic leaders (grant no. 2014RFXXJ026), the National Natural Science Foundation of China (grant no. 31271906/C200204) and the National Natural Science Foundation of China (grant no. 31301515).

Availability of data and materials

All data generated or analyzed during this study are included in this published article.

Authors' contributions

WD performed the experiments and wrote the manuscript. LZ and XH contributed to the conception of the study and revised the manuscript. HY performed the data analyses and revised the manuscript. XH reviewed and polished the manuscript. YZ helped perform the analysis. LX performed the data analyses and all authors approved the final version of the manuscript.

Ethics approval and consent to participate

Not applicable.

Patient consent for publication

Not applicable.

Conflict of interests

The authors declare that they have no competing interests.

References

1 

Jemal A, Bray F, Center MM, Ferlay J, Ward E and Forman D: Global cancer statistics. CA Cancer J Clin. 61:69–90. 2011. View Article : Google Scholar : PubMed/NCBI

2 

Fotiadis CI, Stoidis CN, Spyropoulos BG and Zografos ED: Role of probiotics, prebiotics and synbiotics in chemoprevention for colorectal cancer. World J Gastroenterol. 14:6453–6457. 2008. View Article : Google Scholar : PubMed/NCBI

3 

Commane D, Hughes R, Shortt C and Rowland I: The potential mechanisms involved in the anti-carcinogenic action of probiotics. Mutat Res. 591:276–289. 2005. View Article : Google Scholar : PubMed/NCBI

4 

Wong YN, Chang WC, Clapper M and Engstrom PF: Chemoprevention of colorectal cancerSaltz L.B.: Colorectal Cancer: Evidence-Based Chemotherapy Strategies. Humana Press Inc.; Totowa, NJ: pp. 33–49. 2006

5 

Wollowski I, Rechkemmer G and Pool-Zobel BL: Protective role of probiotics and prebiotics in colon cancer. Am J Clin Nutr. 73 2 Suppl:451S–455S. 2001. View Article : Google Scholar : PubMed/NCBI

6 

Aachary AA, Gobinath D, Srinivasan K and Prapulla SG: Protective effect of xylooligosaccharide from corncob on 1,2-dimethylhydrazine induced colon cancer in rats. Bioact Carbohydr Dietary Fibre. 5:146–152. 2015. View Article : Google Scholar

7 

Huang L, Shan YJ, He CX, Ren MH, Tian PJ and Song W: Effects of L. paracasei subp. paracasei ×12 on cell cycle of colon cancer HT-29 cells and regulation of mTOR signalling pathway. J Funct Foods. 21:431–439. 2016. View Article : Google Scholar

8 

Chan AT and Giovannucci EL: Primary prevention of colorectal cancer. Gastroenterology. 138:2029–2043. 2010. View Article : Google Scholar : PubMed/NCBI

9 

García-Ruiz A, Llano DGD, Esteban-Fernández A, Requena T, Bartolomé B and Moreno-Arribas MV: Assessment of probiotic properties in lactic acid bacteria isolated from wine. Food Microbiol. 44:220–225. 2014. View Article : Google Scholar : PubMed/NCBI

10 

Gonet AK, Strus M and Heczko PB: P1250 Influence of Lactobacilli probiotic strains on apoptosis of colon cancer cells lines. Int J Antimicrob Agents. 29 2 Suppl:S343–S344. 2007. View Article : Google Scholar

11 

Hu P, Song W, Shan Y, Du M, Huang M, Song C and Zhang L: Lactobacillus paracasei subsp. paracasei M5L induces cell cycle arrest and calreticulin translocation via the generation of reactive oxygen species in HT-29 cell apoptosis. Food Function. 6:2257–2265. 2015. View Article : Google Scholar : PubMed/NCBI

12 

Laiño J, Villena J, Kanmani P and Kitazawa HL: Immunoregulatory effects triggered by lactic acid bacteria exopolysaccharides: New insights into molecular interactions with host cells. Microorganisms. 4:E272016. View Article : Google Scholar : PubMed/NCBI

13 

Ruas-Madiedo P, Hugenholtz J and Zoon PL: An overview of the functionality of exopolysaccharides produced by lactic acid bacteria. Int Dairy J. 12:163–171. 2002. View Article : Google Scholar

14 

Górska-Frączek S, Sandström C, Kenne L, Paściak M, Brzozowska E, Strus M, Heczko P and Gamian A: The structure and immunoreactivity of exopolysaccharide isolated from Lactobacillus johnsonii strain 151. Carbohydr Res. 378:148–153. 2013. View Article : Google Scholar : PubMed/NCBI

15 

Chen Z, Shi J, Yang X, Nan B, Liu Y and Wang Z: Chemical and physical characteristics and antioxidant activities of the exopolysaccharide produced by Tibetan kefir grains during milk fermentation. Int Dairy J. 43:15–21. 2015. View Article : Google Scholar

16 

Ai LZ, Zhang H, Guo BH, Chen W, Wu ZJ and Wu Y: Preparation, partial characterization and bioactivity of exopolysaccharides from Lactobacillus casei LC2W. Carbohydr Polym. 74:353–357. 2008. View Article : Google Scholar

17 

Liu CT, Chu FJ, Chou CC and Yu RC: Antiproliferative and anticytotoxic effects of cell fractions and exopolysaccharides from Lactobacillus casei 01. Mutat Res. 721:157–162. 2011. View Article : Google Scholar : PubMed/NCBI

18 

Ehrke MJ: Immunomodulation in cancer therapeutics. Int Immunopharmacol. 3:1105–1119. 2003. View Article : Google Scholar : PubMed/NCBI

19 

Yang Z, Xu J, Fu Q, Fu X, Shu T, Bi Y and Song B: Antitumor activity of a polysaccharide from Pleurotus eryngii on mice bearing renal cancer. Carbohydr Polym. 95:615–620. 2013. View Article : Google Scholar : PubMed/NCBI

20 

Deepak V, Ramachandran S, Balahmar RM, Pandian SR, Sivasubramaniam SD, Nellaiah H and Sundar K: In vitro evaluation of anticancer properties of exopolysaccharides from Lactobacillus acidophilus in colon cancer cell lines. In Vitro Cell Dev Biol Anim. 52:163–173. 2016. View Article : Google Scholar : PubMed/NCBI

21 

Marta CL, Bernadeta N, Malgorzata S, Maria W, Sabina GF, Andrzej G and Janusz M: Further studies on immunomodulatory effects of exopolysaccharide isolated from Lactobacillus rhamnosus KL37C. Cent Eur J Immunol. 38:1270–1271. 2013.

22 

Li JY, Jin MM, Meng J, Gao SM and Lu RR: Exopolysaccharide from Lactobacillus planterum LP6: Antioxidation and the effect on oxidative stress. Carbohydr Polym. 98:1147–1152. 2013. View Article : Google Scholar : PubMed/NCBI

23 

Collins MD, Phillips BA and Zanoni P: Deoxyribonucleic Acid Homology Studies of Lactobacillus casei, Lactobacillus paracasei sp. nov., subsp. paracasei and subsp. tolerans and Lactobacillus rhamnosus sp. nov., comb. nov. Int J Syst Bacteriol. 39:105–108. 1989. View Article : Google Scholar

24 

Ortu S, Felis GE, Marzotto M, Deriu A, Molicotti P, Sechi LA, Dellaglio F and Zanetti S: Identification and functional characterization of Lactobacillus strains isolated from milk and Gioddu, a traditional Sardinian fermented milk. Int Dairy J. 17:1312–1320. 2007. View Article : Google Scholar

25 

Wang SM, Zhang LW, Fan RB, Han X, Yi HX, Zhang LL, Xue CH, Li HB, Zhang YH and Shigwedha N: Induction of HT-29 cells apoptosis by lactobacilli isolated from fermented products. Res Microbiol. 165:202–214. 2014. View Article : Google Scholar : PubMed/NCBI

26 

Zhang YC, Zhang LW, Tuo YF, Guo CF, Yi HX, Li JY, Han X and Du M: Inhibition of Shigella sonnei adherence to HT-29 cells by lactobacilli from Chinese fermented food and preliminary characterization of S-layer protein involvement. Res Microbiol. 161:667–672. 2010. View Article : Google Scholar : PubMed/NCBI

27 

Wang S, Han X, Zhang L, Zhang Y, Li H and Jiao Y: Whole peptidoglycan extracts from the lactobacillus paracasei subsp. Paracasei M5 strain exert anticancer activity in vitro. Biomed Res Int. 2018:28717102018.PubMed/NCBI

28 

Tuo YF, Zhang LW, Yi HX, Zhang YC, Zhang WQ, Han X, Du M, Jiao YH and Wang SM: Short communication: Antiproliferative effect of wild Lactobacillus strains isolated from fermented foods on HT-29 cells. J Dairy Sci. 93:2362–2366. 2010. View Article : Google Scholar : PubMed/NCBI

29 

Saxelin M: Lactobacillus GG-A human probiotic strain with thorough clinical documentation. Food Rev Int. 13:293e3131997. View Article : Google Scholar

30 

Caro SD, Tao H, Grillo A, Elia C, Gasbarrini G, Sepulveda AR and Gasbarrini A: Effects of Lactobacillus GG on genes expression pattern in small bowel mucosa. Dig Liver Dis. 37:320–329. 2005. View Article : Google Scholar : PubMed/NCBI

31 

Ai LZ, Zhang H, Guo BH, Chen W, Wu ZJ and Tang J: Optimization of culture conditions for exopolysaccharide production by Lactobacillus casei LC2W. Milchwissenschaft-milk Sci Int. 61:374–377. 2006.

32 

Ramos AN, Gobbato N, Rachid M, Gonzalez L, Yantorno O and Valdez JC: Effect of Lactobacillus plantarum and Pseudomonas aeruginosa culture supernatants on polymorphonuclear damage and inflammatory response. Int Immunopharmacol. 10:247–251. 2010. View Article : Google Scholar : PubMed/NCBI

33 

Choi SS, Kim Y, Han KS, You S, Oh S and Kim SH: Effects of Lactobacillus strains on cancer cell proliferation and oxidative stress in vitro. Lett Appl Microbiol. 42:452–458. 2006. View Article : Google Scholar : PubMed/NCBI

34 

Liu Z, Zhang Z, Qiu L, Zhang F, Xu X, Wei H and Tao X: Characterization and bioactivities of the exopolysaccharide from a probiotic strain of Lactobacillus plantarum WLPL04. J Dairy Sci. 100:6895–6905. 2017. View Article : Google Scholar : PubMed/NCBI

35 

Wang K, Li W, Rui X, Chen X, Jiang M and Dong M: Characterization of a novel exopolysaccharide with antitumor activity from Lactobacillus plantarum 70810. Int J Biol Macromol. 63:133–139. 2014. View Article : Google Scholar : PubMed/NCBI

36 

Wang J, Zhao X, Yang Y, Zhao A and Yang Z: Characterization and bioactivities of an exopolysaccharide produced by lactobacillus plantarum Yw32. Int J Biol Macromol. 74:119–126. 2015. View Article : Google Scholar : PubMed/NCBI

37 

Stefano DD, Tommonaro G, Simeon V, Poli A, Nicolaus B and Carnuccio R: A polysaccharide from tomato (Lycopersicon Esculentum) peels affects Nf-κb activation in Lps-stimulated J774 macrophages. J Nat Prod. 70:1636–1639. 2007. View Article : Google Scholar : PubMed/NCBI

38 

Park S Y, Kim E J, Shin H K, Kwon DY, Kim MS, Surh YJ and Park JH: Induction of apoptosis in Ht-29 colon cancer cells by phloretin. J Med Food. 10:581–586. 2007. View Article : Google Scholar : PubMed/NCBI

39 

Lin R, Liu H, Wu S, Pang L, Jia M, Fan K, Jia S and Jia L: Production and in vitro antioxidant activity of exopolysaccharide by a mutant, Cordyceps militaris SU5-08. Int J Biol Macromol. 51:153–157. 2012. View Article : Google Scholar : PubMed/NCBI

40 

DuBois M, Gilles KA, Hamilton JK, Rebers PA and Smith F: Colorimetric Method for Determination of Sugars and Related Substances. Analytical Chemistry. 28:350–356. 1956. View Article : Google Scholar

41 

Wang X, Wang S, Li Y, Wang F, Yang X and Yao J: Sulfated Astragalus polysaccharide can regulate the inflammatory reaction induced by LPS in Caco2 cells. Int J Biol Macromol. 60:248–252. 2013. View Article : Google Scholar : PubMed/NCBI

42 

Liu H, Xiao Y, Xiong C, Wei A and Ruan J: Apoptosis induced by a new flavonoid in human hepatoma HepG2 cells involves reactive oxygen species-mediated mitochondrial dysfunction and MAPK activation. Eur J Pharmacol. 654:209–216. 2011. View Article : Google Scholar : PubMed/NCBI

43 

Choi HJ, Do Lim Y and Park JH: Induction of G1 and G2/M cell cycle arrests by the dietary compound 3,3′-diindolylmethane in ht-29 human colon cancer cells. BMC Gastroenterol. 9:1–11. 2009. View Article : Google Scholar : PubMed/NCBI

44 

Shang LH, Li CM, Yang ZY, Che DH, Cao JY and Yu Y: Luffa echinata roxb. induces human colon cancer cell (Ht-29) death by triggering the mitochondrial apoptosis pathway. Molecules. 17:5780–5794. 2012. View Article : Google Scholar : PubMed/NCBI

45 

Sharma S, Singh RL and Kakkar P: Modulation of Bax/Bcl-2 and caspases by probiotics during acetaminophen induced apoptosis in primary hepatocytes. Food Chemical Toxicol. 49:770–779. 2011. View Article : Google Scholar

46 

Huang T, Lin J, Cao J, Zhang P, Bai Y, Chen G and Chen K: An exopolysaccharide from trichoderma pseudokoningii and its apoptotic activity on human leukemia k562 cells. Carbohydr Polym. 89:701–708. 2012. View Article : Google Scholar : PubMed/NCBI

47 

Liu Y, Zhang SP and Cai YQ: Cytoprotective effects of selenium on cadmium-induced LLC-PK1 cells apoptosis by activating JNK pathway. Toxicol In Vitro. 21:677–684. 2007. View Article : Google Scholar : PubMed/NCBI

48 

Ooi VE and Liu F: Immunomodulation and anti-cancer activity of polysaccharide-protein complexes. Curr Med Chem. 7:715–729. 2000. View Article : Google Scholar : PubMed/NCBI

49 

Kanmani P, kumar Satish R, Yuvaraj N, Paari KA, Pattukumar V and Arul V: Production and purification of a novel exopolysaccharide from lactic acid bacterium Streptococcus phocae PI80 and its functional characteristics activity in vitro. Bioresour Technol. 102:4827–4833. 2011. View Article : Google Scholar : PubMed/NCBI

50 

Nurse P: Ordering S phase and M phase in the cell cycle. Cell. 79:547–550. 1994. View Article : Google Scholar : PubMed/NCBI

51 

Saraste A and Pulkki K: Morphologic and biochemical hallmarks of apoptosis. Cardiovasc Res. 45:528–537. 2000. View Article : Google Scholar : PubMed/NCBI

52 

Jung MY, Kwon SK and Moon A: Chemopreventive allylthiopyridazine derivatives induce apoptosis in SK-Hep-1 hepatocarcinoma cells through a caspase-3-dependent mechanism. Eur J Cancer. 37:2104–2110. 2001. View Article : Google Scholar : PubMed/NCBI

53 

Zhang Z, Wang F, Wang M, Ma L, Ye H and Zeng XA: Comparative study of the neutral and acidic polysaccharides from Allium macrostemon Bunge. Carbohydr Polym. 117:980–987. 2015. View Article : Google Scholar : PubMed/NCBI

54 

Di W, Zhang L, Wang S, Yi H, Han X, Fan R and Zhang Y: Physicochemical characterization and antitumour activity of exopolysaccharides produced by Lactobacillus casei SB27 from yak milk. Carbohydr Polym. 171:307–315. 2017. View Article : Google Scholar : PubMed/NCBI

55 

Osada N, Kohara A, Yamaji T, Hirayama N, Kasai F, Sekizuka T, Kuroda M and Hanada K: The genome landscape of the african green monkey kidney-derived vero cell line. DNA Res. 21:673–683. 2014. View Article : Google Scholar : PubMed/NCBI

56 

Mukhopadhyay SK, Chatterjee S, Gauri SS, Das SS, Mishra A, Patra M, Ghosh AK, Das AK, Singh SM and Dey S: Isolation and characterization of extracellular polysaccharide Thelebolan produced by a newly isolated psychrophilic Antarctic fungus Thelebolus. Carbohydr Polym. 104:204–212. 2014. View Article : Google Scholar : PubMed/NCBI

57 

López P, Monteserín DC, Gueimonde M, de los Reyes-Gavilán CG, Margolles A, Suárez A and Ruas-Madiedo P: Exopolysaccharide-producing Bifidobacterium strains elicit different in vitro responses upon interaction with human cells. Food Res Int. 46:99–107. 2012. View Article : Google Scholar

58 

Nikolic M, Lopez P, Strahinic I, Suarez A, Kojic M, Fernandez-Garcia M, Topisirovic L, Golic N and Ruas-Madiedo P: Characterisation of the exopolysaccharide (EPS)-producing Lactobacillus paraplantarum BGCG11 and its non-EPS producing derivative strains as potential probiotics. Int J Food Microbiol. 158:155–162. 2012. View Article : Google Scholar : PubMed/NCBI

59 

Patten DA, Leivers S, Chadha MJ, Maqsood M, Humphreys PN, Laws AP and Collett A: The structure and immunomodulatory activity on intestinal epithelial cells of the EPSs isolated from Lactobacillus helveticus sp. Rosyjski and Lactobacillus acidophilus sp. 5e2. Carbohydr Res. 384:119–127. 2014. View Article : Google Scholar : PubMed/NCBI

Related Articles

  • Abstract
  • View
  • Download
  • Twitter
Copy and paste a formatted citation
Spandidos Publications style
Di W, Zhang L, Yi H, Han X, Zhang Y and Xin L: Exopolysaccharides produced by Lactobacillus strains suppress HT‑29 cell growth via induction of G0/G1 cell cycle arrest and apoptosis. Oncol Lett 16: 3577-3586, 2018.
APA
Di, W., Zhang, L., Yi, H., Han, X., Zhang, Y., & Xin, L. (2018). Exopolysaccharides produced by Lactobacillus strains suppress HT‑29 cell growth via induction of G0/G1 cell cycle arrest and apoptosis. Oncology Letters, 16, 3577-3586. https://doi.org/10.3892/ol.2018.9129
MLA
Di, W., Zhang, L., Yi, H., Han, X., Zhang, Y., Xin, L."Exopolysaccharides produced by Lactobacillus strains suppress HT‑29 cell growth via induction of G0/G1 cell cycle arrest and apoptosis". Oncology Letters 16.3 (2018): 3577-3586.
Chicago
Di, W., Zhang, L., Yi, H., Han, X., Zhang, Y., Xin, L."Exopolysaccharides produced by Lactobacillus strains suppress HT‑29 cell growth via induction of G0/G1 cell cycle arrest and apoptosis". Oncology Letters 16, no. 3 (2018): 3577-3586. https://doi.org/10.3892/ol.2018.9129
Copy and paste a formatted citation
x
Spandidos Publications style
Di W, Zhang L, Yi H, Han X, Zhang Y and Xin L: Exopolysaccharides produced by Lactobacillus strains suppress HT‑29 cell growth via induction of G0/G1 cell cycle arrest and apoptosis. Oncol Lett 16: 3577-3586, 2018.
APA
Di, W., Zhang, L., Yi, H., Han, X., Zhang, Y., & Xin, L. (2018). Exopolysaccharides produced by Lactobacillus strains suppress HT‑29 cell growth via induction of G0/G1 cell cycle arrest and apoptosis. Oncology Letters, 16, 3577-3586. https://doi.org/10.3892/ol.2018.9129
MLA
Di, W., Zhang, L., Yi, H., Han, X., Zhang, Y., Xin, L."Exopolysaccharides produced by Lactobacillus strains suppress HT‑29 cell growth via induction of G0/G1 cell cycle arrest and apoptosis". Oncology Letters 16.3 (2018): 3577-3586.
Chicago
Di, W., Zhang, L., Yi, H., Han, X., Zhang, Y., Xin, L."Exopolysaccharides produced by Lactobacillus strains suppress HT‑29 cell growth via induction of G0/G1 cell cycle arrest and apoptosis". Oncology Letters 16, no. 3 (2018): 3577-3586. https://doi.org/10.3892/ol.2018.9129
Follow us
  • Twitter
  • LinkedIn
  • Facebook
About
  • Spandidos Publications
  • Careers
  • Cookie Policy
  • Privacy Policy
How can we help?
  • Help
  • Live Chat
  • Contact
  • Email to our Support Team