Spandidos Publications Logo
  • About
    • About Spandidos
    • Aims and Scopes
    • Abstracting and Indexing
    • Editorial Policies
    • Reprints and Permissions
    • Job Opportunities
    • Terms and Conditions
    • Contact
  • Journals
    • All Journals
    • Oncology Letters
      • Oncology Letters
      • Information for Authors
      • Editorial Policies
      • Editorial Board
      • Aims and Scope
      • Abstracting and Indexing
      • Bibliographic Information
      • Archive
    • International Journal of Oncology
      • International Journal of Oncology
      • Information for Authors
      • Editorial Policies
      • Editorial Board
      • Aims and Scope
      • Abstracting and Indexing
      • Bibliographic Information
      • Archive
    • Molecular and Clinical Oncology
      • Molecular and Clinical Oncology
      • Information for Authors
      • Editorial Policies
      • Editorial Board
      • Aims and Scope
      • Abstracting and Indexing
      • Bibliographic Information
      • Archive
    • Experimental and Therapeutic Medicine
      • Experimental and Therapeutic Medicine
      • Information for Authors
      • Editorial Policies
      • Editorial Board
      • Aims and Scope
      • Abstracting and Indexing
      • Bibliographic Information
      • Archive
    • International Journal of Molecular Medicine
      • International Journal of Molecular Medicine
      • Information for Authors
      • Editorial Policies
      • Editorial Board
      • Aims and Scope
      • Abstracting and Indexing
      • Bibliographic Information
      • Archive
    • Biomedical Reports
      • Biomedical Reports
      • Information for Authors
      • Editorial Policies
      • Editorial Board
      • Aims and Scope
      • Abstracting and Indexing
      • Bibliographic Information
      • Archive
    • Oncology Reports
      • Oncology Reports
      • Information for Authors
      • Editorial Policies
      • Editorial Board
      • Aims and Scope
      • Abstracting and Indexing
      • Bibliographic Information
      • Archive
    • Molecular Medicine Reports
      • Molecular Medicine Reports
      • Information for Authors
      • Editorial Policies
      • Editorial Board
      • Aims and Scope
      • Abstracting and Indexing
      • Bibliographic Information
      • Archive
    • World Academy of Sciences Journal
      • World Academy of Sciences Journal
      • Information for Authors
      • Editorial Policies
      • Editorial Board
      • Aims and Scope
      • Abstracting and Indexing
      • Bibliographic Information
      • Archive
    • International Journal of Functional Nutrition
      • International Journal of Functional Nutrition
      • Information for Authors
      • Editorial Policies
      • Editorial Board
      • Aims and Scope
      • Abstracting and Indexing
      • Bibliographic Information
      • Archive
    • International Journal of Epigenetics
      • International Journal of Epigenetics
      • Information for Authors
      • Editorial Policies
      • Editorial Board
      • Aims and Scope
      • Abstracting and Indexing
      • Bibliographic Information
      • Archive
    • Medicine International
      • Medicine International
      • Information for Authors
      • Editorial Policies
      • Editorial Board
      • Aims and Scope
      • Abstracting and Indexing
      • Bibliographic Information
      • Archive
  • Articles
  • Information
    • Information for Authors
    • Information for Reviewers
    • Information for Librarians
    • Information for Advertisers
    • Conferences
  • Language Editing
Spandidos Publications Logo
  • About
    • About Spandidos
    • Aims and Scopes
    • Abstracting and Indexing
    • Editorial Policies
    • Reprints and Permissions
    • Job Opportunities
    • Terms and Conditions
    • Contact
  • Journals
    • All Journals
    • Biomedical Reports
      • Information for Authors
      • Editorial Policies
      • Editorial Board
      • Aims and Scope
      • Abstracting and Indexing
      • Bibliographic Information
      • Archive
    • Experimental and Therapeutic Medicine
      • Information for Authors
      • Editorial Policies
      • Editorial Board
      • Aims and Scope
      • Abstracting and Indexing
      • Bibliographic Information
      • Archive
    • International Journal of Epigenetics
      • Information for Authors
      • Editorial Policies
      • Editorial Board
      • Aims and Scope
      • Abstracting and Indexing
      • Bibliographic Information
      • Archive
    • International Journal of Functional Nutrition
      • Information for Authors
      • Editorial Policies
      • Editorial Board
      • Aims and Scope
      • Abstracting and Indexing
      • Bibliographic Information
      • Archive
    • International Journal of Molecular Medicine
      • Information for Authors
      • Editorial Policies
      • Editorial Board
      • Aims and Scope
      • Abstracting and Indexing
      • Bibliographic Information
      • Archive
    • International Journal of Oncology
      • Information for Authors
      • Editorial Policies
      • Editorial Board
      • Aims and Scope
      • Abstracting and Indexing
      • Bibliographic Information
      • Archive
    • Medicine International
      • Information for Authors
      • Editorial Policies
      • Editorial Board
      • Aims and Scope
      • Abstracting and Indexing
      • Bibliographic Information
      • Archive
    • Molecular and Clinical Oncology
      • Information for Authors
      • Editorial Policies
      • Editorial Board
      • Aims and Scope
      • Abstracting and Indexing
      • Bibliographic Information
      • Archive
    • Molecular Medicine Reports
      • Information for Authors
      • Editorial Policies
      • Editorial Board
      • Aims and Scope
      • Abstracting and Indexing
      • Bibliographic Information
      • Archive
    • Oncology Letters
      • Information for Authors
      • Editorial Policies
      • Editorial Board
      • Aims and Scope
      • Abstracting and Indexing
      • Bibliographic Information
      • Archive
    • Oncology Reports
      • Information for Authors
      • Editorial Policies
      • Editorial Board
      • Aims and Scope
      • Abstracting and Indexing
      • Bibliographic Information
      • Archive
    • World Academy of Sciences Journal
      • Information for Authors
      • Editorial Policies
      • Editorial Board
      • Aims and Scope
      • Abstracting and Indexing
      • Bibliographic Information
      • Archive
  • Articles
  • Information
    • For Authors
    • For Reviewers
    • For Librarians
    • For Advertisers
    • Conferences
  • Language Editing
Login Register Submit
  • This site uses cookies
  • You can change your cookie settings at any time by following the instructions in our Cookie Policy. To find out more, you may read our Privacy Policy.

    I agree
Search articles by DOI, keyword, author or affiliation
Search
Advanced Search
presentation
Oncology Letters
Join Editorial Board Propose a Special Issue
Print ISSN: 1792-1074 Online ISSN: 1792-1082
Journal Cover
September-2018 Volume 16 Issue 3

Full Size Image

Sign up for eToc alerts
Recommend to Library

Journals

International Journal of Molecular Medicine

International Journal of Molecular Medicine

International Journal of Molecular Medicine is an international journal devoted to molecular mechanisms of human disease.

International Journal of Oncology

International Journal of Oncology

International Journal of Oncology is an international journal devoted to oncology research and cancer treatment.

Molecular Medicine Reports

Molecular Medicine Reports

Covers molecular medicine topics such as pharmacology, pathology, genetics, neuroscience, infectious diseases, molecular cardiology, and molecular surgery.

Oncology Reports

Oncology Reports

Oncology Reports is an international journal devoted to fundamental and applied research in Oncology.

Experimental and Therapeutic Medicine

Experimental and Therapeutic Medicine

Experimental and Therapeutic Medicine is an international journal devoted to laboratory and clinical medicine.

Oncology Letters

Oncology Letters

Oncology Letters is an international journal devoted to Experimental and Clinical Oncology.

Biomedical Reports

Biomedical Reports

Explores a wide range of biological and medical fields, including pharmacology, genetics, microbiology, neuroscience, and molecular cardiology.

Molecular and Clinical Oncology

Molecular and Clinical Oncology

International journal addressing all aspects of oncology research, from tumorigenesis and oncogenes to chemotherapy and metastasis.

World Academy of Sciences Journal

World Academy of Sciences Journal

Multidisciplinary open-access journal spanning biochemistry, genetics, neuroscience, environmental health, and synthetic biology.

International Journal of Functional Nutrition

International Journal of Functional Nutrition

Open-access journal combining biochemistry, pharmacology, immunology, and genetics to advance health through functional nutrition.

International Journal of Epigenetics

International Journal of Epigenetics

Publishes open-access research on using epigenetics to advance understanding and treatment of human disease.

Medicine International

Medicine International

An International Open Access Journal Devoted to General Medicine.

Journal Cover
September-2018 Volume 16 Issue 3

Full Size Image

Sign up for eToc alerts
Recommend to Library

  • Article
  • Citations
    • Cite This Article
    • Download Citation
    • Create Citation Alert
    • Remove Citation Alert
    • Cited By
  • Similar Articles
    • Related Articles (in Spandidos Publications)
    • Similar Articles (Google Scholar)
    • Similar Articles (PubMed)
  • Download PDF
  • Download XML
  • View XML
Article Open Access

LncRNAs KB‑1836B5, LINC00566 and FAM27L are associated with the survival time of patients with ovarian cancer

  • Authors:
    • Huijian Li
    • Mi Gong
    • Min Zhao
    • Xinru Wang
    • Wenjun Cheng
    • Yankai Xia
  • View Affiliations / Copyright

    Affiliations: Department of Gynecology, The First Affiliated Hospital of Nanjing Medical University, Nanjing, Jiangsu 210029, P.R. China, Department of Gynecology, The First Affiliated Hospital of Nanjing Medical University, Nanjing, Jiangsu 210029, P.R. China, Department of Gynecology, The Affiliated Wuxi Maternity and Child Health Care Hospital of Nanjing Medical University, Wuxi, Jiangsu 214002, P.R. China, State Key Laboratory of Reproductive Medicine, Institute of Toxicology, Nanjing Medical University, Nanjing, Jiangsu 211166, P.R. China, State Key Laboratory of Reproductive Medicine, Institute of Toxicology, Nanjing Medical University, Nanjing, Jiangsu 211166, P.R. China
    Copyright: © Li et al. This is an open access article distributed under the terms of Creative Commons Attribution License.
  • Pages: 3735-3745
    |
    Published online on: July 12, 2018
       https://doi.org/10.3892/ol.2018.9143
  • Expand metrics +
Metrics: Total Views: 0 (Spandidos Publications: | PMC Statistics: )
Metrics: Total PDF Downloads: 0 (Spandidos Publications: | PMC Statistics: )
Cited By (CrossRef): 0 citations Loading Articles...

This article is mentioned in:



Abstract

Ovarian cancer (OvCa) is the most common gynecological malignancy type in the United States in 2014. Functions of long non‑coding RNAs (lncRNAs) in OvCa have attracted increasing attention from researchers. The present study aimed to identify an lncRNA‑based signature for survival prediction in patients with OvCa. On the basis of lncRNA expression profiles from The Cancer Genome Atlas data portal, differentially expressed lncRNAs (DELs) were selected from patients with good prognosis and poor prognosis in the training set, from which the prognostic lncRNAs were identified using univariate and multivariate Cox regression analyses and used to construct a risk scoring system. The prognostic power of this lncRNA signature was tested in the training set and validated in validation dataset and entire dataset. Gene Ontology (GO) and Kyoto Encyclopedia of Genes and Genomes (KEGG) pathway enrichment analyses were performed on the genes significantly associated with ≥1 prognostic lncRNA, and a total of 112 DELs were identified. LncRNAs KB‑1836B5, long intergenic non‑protein coding RNA 566 (LINC00566) and family with sequence similarity E5 (FAM27L) were determined to be prognostic lncRNAs. A three‑lncRNAs signature‑based risk scoring system was developed, which classified the patients from the training set into high‑risk and low‑risk groups with significantly different overall survival time. Risk stratification capability of the three‑lncRNAs signature was validated in the validation and entire set. Multivariate Cox regression and data stratification analyses determined that the three‑lncRNAs signature was independent of other clinical variables. GO and KEGG pathway enrichment analyses determined that the three prognostic lncRNAs may be involved in a number of metabolic processes and signaling pathways, including the mechanistic target of rapamycin signaling pathway, ubiquitin‑mediated proteolysis, and complement and coagulation cascades pathways. In conclusion, the results of the present study demonstrated that the three‑lncRNAs signature may be an independent biomarker for predicting prognosis in patients with OvCa.

Introduction

Ovarian cancer (OvCa) has the highest incidence of mortality of any gynecological cancer type in the United States, and is the primary cause of female cancer-associated mortality in the United States in 2014 (1). Owing to the mild or absent signs and symptoms during early stage OvCa, and the lack of a reliable early detection test, OvCa has a disproportionately poor prognosis, with a 5-year survival rate of 44% between 1995–2007 in the United States (2), therefore further understanding of its regulatory mechanisms at the molecular level is vital, in order to identify reliable prognostic biomarkers for the prediction of survival times of patients with OvCa.

Long non-coding RNAs (lncRNAs) are a group of non-coding RNAs with >200 nucleotides (3). An increasing number of studies have demonstrated that lncRNAs are implicated in cancer development, and their dysregulated expression confers on the cancer cell capability for tumor initiation and development (4,5). Previous evidence indicated the functions of the lncRNAs H19 (H19, imprinted maternally expressed transcript), long stress-induced non-coding transcript 5 and X-inactive-specific transcript in the tumorigenesis and progression of OvCa (6). Cheng et al (7), demonstrated that upregulated lncRNA AB073614 predicts a poor prognosis; however, it has been indicated that lncRNA homeobox A11 antisense enhances cell proliferation and invasion in serous OvCa, and is associated with prognosis (8). Chen et al (9) determined the function of lncRNA nuclear paraspeckle assembly transcript 1 as a clinical prognostic biomarker for OvCa. Although previous studies have made notable progress, the prognostic functions of lncRNAs in OvCa and the underlying mechanisms remain poorly characterized.

In the present study, an in-depth analysis of lncRNA and mRNA expression profiles, and corresponding clinical characteristics of patients with OvCa from The Cancer Genome Atlas (TCGA) data portal was conducted. In contrast with the study by Zhou et al (10), which identifies a 10-lncRNA signature for predicting survival using the competing endogenous RNAs-network driven method, the present study searched for prognostic lncRNAs based on univariate and multivariate Cox regression analyses in a training set, and then validated their prognostic power in a validation set. Furthermore, Gene Ontology (GO) function and Kyoto Encyclopedia of Genes and Genomes (KEGG) pathway enrichment analysis was performed to determine the possible biological functions of identified prognostic lncRNAs. The results of the present study improved the understanding of the molecular mechanisms of OvCa.

Materials and methods

Data resource

lncRNA and mRNA expression data of OvCa samples, together with corresponding clinical information were downloaded from TCGA data portal (gdc-portal.nci.nih.gov). Each sample was annotated according to its barcode ID. Consequently, a total of 419 samples with lncRNA and mRNA data, based on the Illumina HiSeq 2000 RNA Sequencing platform, were collected. Out of these samples, the samples at early and middle stages according to American Joint Committee on Cancer standard (11) with available clinical information (n=353) were selected for the present study, and randomly and the validation set were combined and defined as the entire set. Clinical characteristics of these datasets are listed in Table I.

Table I.

Clinical characteristics of patients in the training set, the validation set and the entire set.

Table I.

Clinical characteristics of patients in the training set, the validation set and the entire set.

CharacteristicsTraining set (n=160)Validation set (n=177)Entire set (n=337)
Age at diagnosis (mean ± SD)59.63±11.1860.11±11.8659.88±11.53
Clinical stage (I/II/III)0/7/1530/15/1620/22/315
Neoplasm histological grade (G1/G2/G3/G4/-)0/12/145/1/20/32/142/0/30/44/287/1/5
Lymphatic invasion (yes/no/-)33/28/9954/21/10287/49/201
Tumor recurrence (yes/no)96/64101/76197/140
Status (deceased/alive)86/74107/70193/144
Overall survival time (mean ± SD, months)38.18±27.1434.58±26.9936.29±27.08

[i] SD, standard deviation.

Screening for differentially expressed lncRNAs (DELs)

A total of 16 patients with prognosis of <6 months were excluded from the training set (remaining patients, n=160). No patients were excluded from the validation set. Good prognosis was defined as patients alive after >24 months, and poor prognosis was defined as patients who succumbed within 24 months. Patients with good prognosis and poor prognosis were selected from the training set, and defined as the good prognosis and poor prognosis groups, respectively. DELs between the groups were screened using two packages in R3.1.0 (https://www.r-project.org/), Differential Expression for Sequence Count Data (DESeq) (12) and edgeR (13). An lncRNA was considered a significant DEL when false discovery rate (FDR) <0.05 and |fold change|>1.3. The overlapping DELs between the two methods were incorporated into the subsequent analyses.

Identification of survival-associated lncRNAs

Univariate Cox proportional hazards regression model was employed to evaluate the associations between these significant DELs and the overall survival (OS) time of the patients with OvCa in the training set, followed by the log-rank test. The DELs with log-rank P<0.05 were defined as survival-associated lncRNAs, which were then subjected to multivariate Cox regression analysis with OS time as the dependent variable.

Construction of an lncRNA-based risk scoring system

On the basis of the linear combination of expression levels of the predictive lncRNAs selected by the multivariate Cox regression analysis with the regression coefficient, a risk scoring system was produced to calculate the risk score for each sample using the following equation (10,14): Risk score=β1 × Expr1 + β2 × Expr2 + ··· + βn × Exprn, where βn represents estimated regression coefficient of lncRNAn, and Exprn represents lncRNAn expression level.

All samples in the training and validation set were classified into a high-risk (>median risk score) and a low-risk group (≤median risk score), with the median risk score of the dataset as the cut-off value.

Prognosis correlation analysis

Univariate Cox regression analysis and Student's t-test (unpaired) was used to characterize OS time of each risk group. The log-rank test was then used following univariate analysis to compare the difference between the two risk groups. The results were shown by Kaplan-Meier survival curve. With OS time as the dependent variable, and risk score and clinical variables as explanatory variables, multivariate Cox regression analysis and data stratification analysis were conducted to evaluate whether the risk score was independent of other clinical variables, from which hazard ratios and 95% confidence intervals (CI) were calculated. P<0.05 was considered to indicate a statistically significant difference. To appraise the prognostic power of the lncRNAs-based risk scoring system, the time-dependent receiver operating characteristic (ROC) curve analyses were carried out using the pROC package (15), followed by calculation of the area under the ROC curves (AUC). All analyses were conducted by R 3.0.1 software and Bioconductor 1.14.3. The data are presented as mean ± standard deviation.

GO function and KEGG pathway enrichment analyses

Spearman correlation coefficients were computed to assess the association between the prognostic lncRNAs and corresponding mRNAs, by analyzing expression profiles of the paired lncRNA and protein-coding genes in all OvCa samples. The protein-coding genes significantly correlated with at least one prognostic lncRNA with a Spearman correlation coefficient >0.4 were selected and underwent functional enrichment analyses using the Database for Annotation, Visualization and Integrated Discovery (16) tool limited to GO biological process terms (17) and KEGG pathway categories (18). GO terms or KEGG pathways with P<0.05 were considered to indicate a statistically significant difference.

Results

Identification of significant DELs

Following the deletion of lncRNAs with notably low expression, 2,035 lncRNAs were acquired from TCGA. According to the survival time information, 28 patients were included in the poor prognosis group and 41 patients were included in the good prognosis group. As presented in Fig. 1, the edgeR method detected 145 DELs between the two groups, whereas the DESeq method identified 133 DELs. A total of 112 DELs were shared by the two methods and were selected for further analyses.

Figure 1.

DEL analysis. (A) DELs identified using the DESeq package. (B) DELs identified using the edgeR package. (C) Overlapping DELs. DESeq, Differential Expression for Sequence Count Data; FDR, false discovery rate; DEL, differentially expressed long non-coding RNA.

Three-lncRNAs signature for survival prediction

Out of the 112 overlapping DELs, 33 lncRNAs were determined to be significantly associated with survival (P<0.05; Table II), and were then included in the multivariate Cox regression analysis. Subsequently, the lncRNAs KB-1836B5, long intergenic non-protein coding RNA 566 (LINC00566) and FAM27L were selected following multivariate Cox regression analysis and used to construct a risk scoring system as follows: Risk score=[(−1.10205) × Exp KB-1836B5] + [(−0.58589) × Exp LINC00566] + [(−1.69273) × Exp FAM27L]. Exp was taken as the expression level of the lncRNA.

Table II.

Three prognostic lncRNAs analyzed by multivariate Cox regression analysis.

Table II.

Three prognostic lncRNAs analyzed by multivariate Cox regression analysis.

LncRNACox regression coefficient95% CIP-value
KB-1836B5−1.1020.163–0.6760.002a
LINC00566−0.5860.362–0.8570.008a
FAM27L−1.6930.044–0.7610.020a
LINC007060.718720.9464–4.44830.039a
LINC010400.746520.93732–4.74820.047a
RP11-49K4−0.182540.67114–1.03430.050
LINC011090.399720.80386–2.7670.205
KB-1254G80.711920.66577–6.23790.212
GM1400.92532 0.54335–11.71240.238
LINC011950.314060.77485–2.41870.280
GHET1−0.702530.13395–1.83170.292
LINC01447−0.267290.46046–1.27240.303
RP1-84O15−0.33370.37818–1.35660.306
FOXD1-AS1−0.881840.07468–2.29520.313
LINC00032−0.951710.05269–2.82920.349
DIRC3-AS10.83933 0.31433–17.04670.410
RP11-490B180.074830.88091–1.31850.467
LINC01135−0.259250.37569–1.58480.480
LINC011620.145330.74264–1.80080.520
LINC00364−0.3040.28455–1.91330.532
RP11-61L19−0.110590.62889–1.27460.540
LINC00562−0.159520.5056–1.43760.550
RP11-680F2000.111080.77155–1.61850.557
LINC015140.158650.63662–2.15730.610
MIR219A20.108260.72297–1.71750.624
LINC007010.151130.58805–2.30070.664
LINC01349−0.143090.37503–2.00290.738
TTTY1B0.43506 0.06779–35.21690.785
TTTY23−0.261920.0745–7.94930.826
TTTY3−0.195170.10562–6.40820.852
LINC00366−0.032840.6815–1.37410.854
LINC01034−0.031650.48084–1.95210.929
D21S2088E0.01730.36988–2.79880.973

{ label (or @symbol) needed for fn[@id='tfn2-ol-0-0-9143'] } lncRNA, long non-coding RNA; CI, confidence interval

a P<0.05.

The 160 patients in the training set were classified into a high-risk (n=80) and low-risk group (n=80) by the three-lncRNAs panel-based risk scoring system, with the median risk score as the cut-off value.

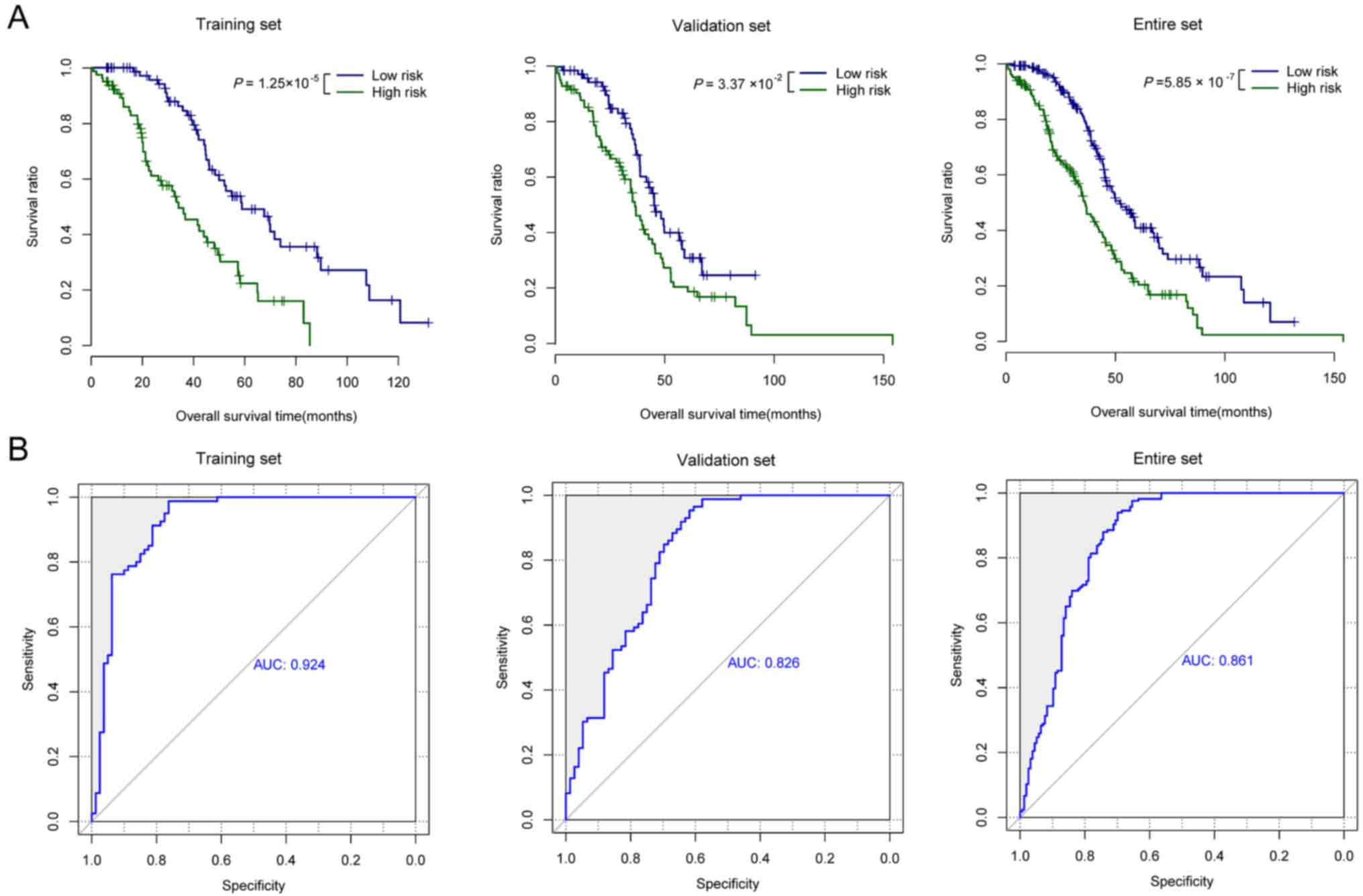
The Kaplan-Meier survival analysis demonstrated notable differences in OS time between the two risk groups (28.29±21.25 months for the high-risk group vs. 48.07±28.85 months for the low-risk group; log-rank P<0.001; Fig. 2A). The AUC for the three-lncRNAs panel in the training set was 0.924 (Fig. 2B). In order to validate the prognostic capability of the three-lncRNAs panel, 177 patients of the validation set were grouped into high-risk and low-risk groups with the risk scoring system based on the three-lncRNAs derived from the training set. The results of the validation set (32.47±21.02 months for the high-risk group vs 36.66±31.79 months for the low-risk group; log-rank P<0.001; Fig. 2A) were similar to the observations for the training set. The AUC of the validation set was 0.826 (Fig. 2B). The entire set was also classified into a high-risk and low-risk group with the same three-lncRNAs panel and the β value derived from the training set. Similarly, the OS time was significantly different between the two risk groups (32.47±21.02 months for the high-risk group vs. 36.66±31.79 months for the low-risk group; log-rank P<0.001; Fig. 2A), with an AUC of 0.861 (Fig. 2B).

Figure 2.

Three-lncRNAs signature for predicting survival in patients with OvCa. (A) The Kaplan-Meier curves for the high-risk and low-risk groups in the training, validation and entire dataset. (B) The receiver operating characteristic curves for survival prediction by the three-lncRNAs signature in the training dataset, the validation set and the entire set. AUC, area under the receiver operating characteristic curve; lncRNA, long non-coding RNA; OvCa, ovarian cancer.

Association of the expression levels of the three prognostic lncRNAs with OS time

Expression levels of KB-1836B5, LINC00566 and FAM27L were significantly different between the high-risk and low-risk group in the training set, the validation set and the entire set (P<0.005, Fig. 3). All samples in the training set (n=160) were assorted into a high-expression and a low-expression group. There were notable differences in the OS time between the two expression groups for each prognostic lncRNA (P=0.0079 and AUC=0.763 for KB-1836B5; P=0.043 and AUC=0.777 for LINC00566; and P=0.023 and AUC=0.704 for FAM27L; Fig. 4).

Figure 3.

Comparison of expression levels of KB-1836B5, LINC00566 and FAM27L between the high-risk and low risk-groups in the (A) training, (B) validation and (C) entire dataset. ***P<0.005. Student's t-test was used for comparison. LINC00566, long intergenic non-protein coding RNA 566; lncRNA, long non-coding RNA.

Figure 4.

Risk stratification according to the expression levels of the three prognostic lncRNAs. Patients in the training set were stratified by expression level of one prognostic lncRNA into a high-expression and a low-expression group. (A) The Kaplan-Meier curves for the high-expression and low-expression groups of KB-1836B5, LINC00566 or FAM27L, individually. (B) The receiver operating characteristic curves for survival prediction by the expression levels of KB-1836B5, LINC00566 or FAM27L, individually. LNC00566, long intergenic non-protein coding RNA 566; lncRNA, long non-coding RNA; AUC, area under receiver operating characteristic curve.

The distribution of the three-lncRNAs risk score, OS time of patients and the expression profiles of the three prognostic lncRNAs in the training, validation and entire sets is presented in Fig. 5. The expression levels of KB-1836B5, LINC00566 and FAM27L were upregulated in the low-risk patients, compared with the high-risk patients.

Figure 5.

Three-lncRNAs risk score distribution, overall survival time of patients and heatmap of the three prognostic lncRNAs expression profiles in the (A) training, (B) validation and entire dataset (C). lncRNA, long non-coding RNA; OS, overall survival; LNC00566, long intergenic non-protein coding RNA 566.

Independence of the prognostic performance of the three-lncRNAs panel from other clinical variables

Univariate and multivariate Cox regression, and data stratification analyses were performed in order to determine whether the prognostic power of the three-lncRNAs signature was independent of other clinical variables, including neoplasm histological grade, lymphatic invasion and tumor recurrence. Univariate Cox regression analysis determined that the three-lncRNAs risk score was significantly associated with OS time in the training set (P<0.001; 95% CI=1.736–4.258), the validation set (P=0.034; 95% CI=0.969–2.135) and the entire set (P<0.001; 95% CI=1.476–2.636; Table III). Furthermore, via multivariate Cox regression analyses, the three-lncRNAs risk score was determined to be an independent predictor of survival in the training set (P<0.001; 95% CI=2.787–15.389), the validation set (P=0.013; 95% CI=1.241–6.200) and the entire set (P≤0.001; 95% CI=2.487–7.549; Table III).

Table III.

Univariate and multivariate Cox regression analyses with three-lncRNAs risk score and other clinical variables.

Table III.

Univariate and multivariate Cox regression analyses with three-lncRNAs risk score and other clinical variables.

Univariate analysisMultivariate analysis


VariablesHR95% CIP-valueHR95% CIP-value
Training set (n=160)
  Three-lncRNAs risk score (low/high risk)2.7181.736–4.258 <0.001a6.5482.787–15.389 <0.001a
  Age (≤60/>60)1.1710.763–1.7980.4711.8790.938–3.7640.075
  Neoplasm histological grade (G1+G2/G3+G4)0.9780.370–2.5840.9641.2070.476–3.0630.692
  Lymphatic invasion (yes/no)1.2810.659–2.4880.4661.1150.556–2.2350.759
  Tumor recurrence (yes/no)1.1390.686–1.8880.6150.3550.149–0.8490.020
Validation set (n=177)
  Three-lncRNAs risk score (low/high risk)1.4390.969–2.1350.033a2.7731.241–6.2000.013a
  Age, years (≤60/>60)1.3500.913–1.9970.1331.1950.489–2.9200.696
  Neoplasm histological grade (G1+G2/G3+G4)1.8871.115–3.1920.016a4.2290.828–5.6130.083
  Lymphatic invasion (yes/no)1.1290.399–1.9650.7650.9980.388–2.5700.997
  Tumor recurrence (yes/no)1.1930.552–1.2730.4080.8090.353–1.8560.617
Entire set (n=337)
  Three-lncRNAs risk score (low/high risk)1.9721.476–2.636 <0.001a4.3332.487–7.549 <0.001a
  Age, years (≤60/>60)1.2600.947–1.6860.1121.4540.871–2.4280.152
  Neoplasm histological grade (G1+G2/G3+G4)1.5841.063–2.3620.024a1.9310.928–4.0200.079
  Lymphatic invasion (yes/no)1.1330.681–1.8840.6321.1480.670–1.9660.615
Tumor recurrence (yes/no)1.0590.686–1.3000.7260.6200.357–1.0790.091

{ label (or @symbol) needed for fn[@id='tfn4-ol-0-0-9143'] } HR, hazard ratio; CI, confidence interval; lncRNA, long non-coding RNA

a P<0.05.

Data stratification analyses were carried out according to age, neoplasm histological grade, lymphatic invasion and tumor recurrence, individually (Table IV; Fig. 6). All patients in the entire set were stratified by age into a younger (≤60 years) and elder dataset (>60 years). The younger dataset was further divided according to the three-lncRNAs signature into a low-risk and a high-risk group, which had significantly different OS time (median, 42.57 vs. 29.29 months, respectively; log-rank P=0.001; Fig. 6A). Similarly, the elder dataset was further classified into a low-risk and high-risk group, and the difference in OS time between the two risk groups was also significant (median, 41.73 vs. 28.98 months, respectively; log-rank P<0.001; Fig. 6A). Subsequently, all patients of the entire set were stratified by neoplasm histological grade into a grade 1+2 and grade 3+4 dataset. These datasets was classified by the three-lncRNAs signature into a low-risk group with longer OS time and a high-risk group with shorter OS time (median, 49.74 vs. 41.65 months, respectively; log-rank P=0.012, for the grade 1+2 dataset; median, 41.25 vs. 28.37 months, respectively; log-rank P<0.001, for the grade 3+4 dataset; Fig. 6B). Similarly, all patients were stratified by lymphatic invasion into a non-lymphatic invasion and lymphatic invasion dataset. In the two datasets, differences in OS time between the low-risk and high-risk groups were significant (median, 39.97 vs. 23.30 months, respectively; log-rank P=0.022, for the non-lymphatic invasion dataset; median, 35.58 vs. 20.58 months, respectively; log-rank P≤0.001, for the lymphatic invasion dataset; Fig. 6C). Subsequently, all patients were stratified by tumor recurrence into a no recurrence and a recurrence dataset. Significant differences between the low-risk and high-risk groups were observed in the two datasets (median 34.15 vs. 21.38 months, respectively; log-rank P=0.005, for the no recurrence dataset; median, 46.78 vs. 21.38 months, respectively; log-rank P<0.001, for the recurrence dataset; Fig. 6D). These data indicated that the prognostic value of the three-lncRNAs panel is independent from age, neoplasm histological grade, lymphatic invasion and tumor recurrence.

Figure 6.

Kaplan-Meier survival analyses of all patients with OvCa stratified by age, neoplasm histological grade, lymphatic invasion and tumor recurrence with the three-long non-coding RNAs signature. (A) Kaplan-Meier curves for the younger (age, ≤60 years; n=173) and elder dataset (age, >60 years; n=164). (B) Kaplan-Meier curves for the neoplasm histological grade 1+2 dataset (n=44) and the neoplasm histological grade 3+4 dataset (n=208). (C) Kaplan-Meier curves for the non-lymphatic invasion (n=49) and lymphatic invasion dataset (n=87). (D) Kaplan-Meier curves for the no recurrence (n=140) and recurrence (n=197) dataset. OvCa, ovarian cancer.

Table IV.

Results of data stratification analysis.

Table IV.

Results of data stratification analysis.

Univariate analysis

VariablesHR95% CIP-value
Age, years
  ≤60 (n=173)2.0121.323–3.0610.001
  >60 (n=164)2.0851.380–3.148<0.001
Neoplasm histological grade
  G1+G2 (n=44)1.9490.844–4.5000.012
  G3+G4 (n=288)1.9931.460–2.721<0.001
Lymphatic invasion
  Yes (n=49)3.9402.032–7.642<0.001
  No (n=87)2.7611.161–6.5630.022
Tumor recurrence
  Yes (n=197)1.8451.313–2.594<0.001
  No (n=140)2.2741.290–4.0090.005

[i] HR, hazard ratio; CI, confidence interval. n values varied as some clinical features for certain samples were unavailable in the TCGA database.

Potential functions of the three-lncRNAs signature in OvCa tumorigenesis

It has been demonstrated that lncRNAs affect various cellular processes such as organ or tissue development, cellular transport or metabolic processes via regulating protein-coding genes (19). For the purpose of determining the potential functions of the three prognostic lncRNAs in OvCa, the protein-coding genes associated with ≥1 of the three prognostic lncRNAs with a Spearman correlation coefficient >0.4 were selected. Subsequently, GO function and KEGG pathway enrichment analyses were performed for these genes. As presented in Fig. 7A, these genes were significantly associated with 13 GO terms (P<0.05), which were categorized into four functional clusters, ATP metabolic process, transport, electron transport chain and cellular metabolic process. Furthermore, 10 pathways were significantly associated with these genes (P<0.05), consisting of oxidative phosphorylation, prion diseases, RNA polymerase, apoptosis, ubiquitin-mediated proteolysis, complement and coagulation cascades, pyrimidine metabolism, systemic lupus erythematosus, mechanistic target of rapamycin (mTOR) signaling pathway and amyotrophic lateral sclerosis pathways (Fig. 7B).

Figure 7.

Functional enrichment analysis for the genes associated with the three prognostic long non-coding RNAs. (A) The functional enriched GO terms. Each node represents a GO term. An edge represents the overlapped genes between two connecting terms. Node size is positively associated with the number of genes enriched in each GO term. Color intensity is positively associated with enrichment significance. (B) Significantly enriched KEGG pathway. Gene count represents the number of genes significantly enriched in each pathway. FDR, false discovery rate; ALS, amyotrophic lateral sclerosis; mTOR, mechanistic target of rapamycin; NADH, reduced nicotinamide-adenine dinucleotide; GO, Gene Ontology; Kyoto Encyclopedia of Genes and Genomes.

Discussion

OvCa has the highest malignancy incidence of all gynecological malignancy types globally in 2013 (20). LncRNAs may serve as independent biomarkers for survival prediction, due to lncRNAs not coding proteins (21). To investigate an lncRNA-based signature for predicting the prognosis of patients with OvCa, the present study initially selected 112 DELs between patients with good prognosis and poor prognosis using DESeq and edgeR methods. On the basis of the results of univariate and multivariate Cox regression analysis, a three-lncRNAs signature (lncRNA KB-1836B5, LINC00566 and FAM27L) for survival prediction was determined and used to construct a risk scoring system. The three-lncRNAs signature-based risk scoring system classified the patients in the training set into a high-risk and low-risk group, indicating significantly different OS time. The risk stratification capability of the three-lncRNAs signature was confirmed in the validation and entire set. Furthermore, the results of the multivariate Cox regression analysis and data stratification analysis demonstrated that the prognostic value of the three-lncRNAs signature was independent of age, neoplasm histological grade, lymphatic invasion and tumor recurrence. It is notable that histology was not a significant predictor of survival, and established risk factors for the patient's outcome, including tumor stage and residual tumor, were not included in the multivariate model. Although tumor stage is an important prognostic factor in OvCa (20), only early-stage samples were selected for analysis in the present study, with the majority of samples being stage II and III; therefore, the samples were considered to be at a ‘fixed’ stage, and were not used in the analysis. Furthermore, there are numerous clinical features that are associated with the prognosis of patients with OvCa (22,23), but clinical information for these features were not available for all patients in the datasets downloaded from TCGA. Furthermore, the aim of the multivariate Cox regression analyses was to investigate whether the three-lncRNAs signature was a significant variable, and whether it was independent of other clinical variables; thus, only available clinical features were analyzed in the present study. The results of the present study demonstrated that the three-lncRNAs panel may be a promising independent biomarker to predict the OS time of patients with OvCa.

It has been demonstrated that lncRNAs serve a function in a number of biological processes by functioning as important regulators of gene regulation at transcriptional, posttranscriptional and epigenetic levels (24,25); therefore, the present study investigated the protein-coding genes regulated by the three prognostic lncRNAs, in order to determine their possible biological function in the molecular mechanisms of OvCa. In the present study, the protein-coding genes associated with ≥1 of the three prognostic lncRNAs (Spearman correlation coefficient >0.4) were selected. Results of GO function enrichment analysis demonstrated that these genes were significantly associated with ATP metabolic process, transport, electron transport chain and cellular metabolic process. Furthermore, these genes were significantly enriched in a number of KEGG signaling pathways, including the mTOR signaling pathway, ubiquitin-mediated proteolysis, and complement and coagulation cascade pathways. mTOR, a member of phosphoinositide 3-kinase-associated kinase family of protein kinases, is a serine/threonine protein kinase (26). The mTOR signaling pathway serves a central function in a number of major cellular processes, including cell growth, cell proliferation and cell survival, and is being identified to be involved in an increasing number of diseases, including cancer, obesity and type 2 diabetes (27,28). Previous studies have demonstrated that mTOR pathway activation is frequently observed in OvCa and is involved in tumorigenesis and progression, indicating this pathway as a potential therapeutic target for OvCa (29–31). Ubiquitin-mediated proteolysis serves a pivotal function in protein turnover, thereby exerting a regulatory effect on carcinogenesis-associated cellular processes, including cell cycle, apoptosis and gene transcription (32). Furthermore, proteasome inhibitors have attracted considerable interest as a treatment option for solid tumor types (33). Complement is a central part of innate immunity, and is also involved in the adaptive immune response, inflammation and other biological processes (34). Emerging studies have demonstrated that complement activation exerts a tumor-promoting effect by strengthening tumor growth and metastasis (35,36). Results of the present study indicated that the lncRNAs KB-1836B5, LINC00566 and FAM27L may exert an effect on mTOR signaling pathway, ubiquitin-mediated proteolysis, and complement and coagulation cascade pathways via gene regulation, thus influencing OvCa cancerogenesis and progression.

Currently, the investigation of lncRNAs is in the early stages. According to the literature surveyed, there are few studies involving lncRNAs KB-1836B5, LINC00566 and FAM27L. To the best of our knowledge, their involvement in OvCa has not been reported previously. The present study determined and validated a three-lncRNAs predictive signature via comprehensive analysis, based on lncRNA expression files downloaded from TCGA.

However, two limitations of the present study should be mentioned. First, the number of patients in the training set (n=160) and validation set (n=177) is limited, which may affect the prediction accuracy of this three-lncRNAs prognostic signature; therefore, further work is required to verify the results of the present study in a larger cohort of patients prior to applications of these data in the clinic. Secondly, the present results were all derived from bioinformatics analysis of clinical data, and no direct in vitro experimental validations were performed. Although bioinformatics has been a reliable method to select the genetic factors implicated in the cellular progress, molecular function, and even tumorigenesis and its prognosis, and provides a possible method to screen the majority of potential factors from a huge information pool, it is considered that the present study will be more reliable following validation with cell or animal experiments; therefore, determining the potential factors is the first step to accelerate the study of tumor mechanisms, and further in vitro analyses required to validate the present results.

In conclusion, the present study identified and validated a three-lncRNAs signature for survival prediction in OvCa. The prognostic capability of this signature was independent of other clinical variables and may be recommended as a promising prognostic biomarker for OvCa. The three prognostic lncRNAs are associated with several cellular processes and signaling pathways, including the mTOR signaling pathway, ubiquitin-mediated proteolysis, and complement and coagulation cascades pathways. The present study provides an insight into the involvement of lncRNAs into the molecular mechanisms of OvCa.

Acknowledgements

Not applicable.

Funding

The present study was supported by the National Science Fund for Outstanding Young Scholars (grant no. 81322039); the National Natural Science Foundation (grant no. 81602884); and the National Nature Science Foundation of China (grant nos. 81472442 and 81272871).

Availability of data and materials

The datasets used and/or analyzed during the current study are available from the corresponding author on reasonable request.

Authors' contributions

HJL performed data analyses and wrote the manuscript. MG, MZ and XRW contributed significantly to the data analyses and provided important suggestions. WJC and YKX conceived and designed the study. All authors read and approved the final manuscript.

Ethics approval and consent to participate

Not applicable.

Patient consent for publication

Not applicable.

Competing interests

The authors declare that they have no competing interests.

References

1 

Siegel R, Ma J, Zou Z and Jemal A: Cancer statistics, 2014. Ca A Cancer J Clin. 65:5–29. 2014. View Article : Google Scholar

2 

Baldwin LA, Huang B, Miller RW, Tucker T, Goodrich ST, Podzielinski I, DeSimone CP, Ueland FR, van Nagell JR and Seamon LG: Ten-year relative survival for epithelial ovarian cancer. Obstet Gynecol. 120:612–618. 2012. View Article : Google Scholar : PubMed/NCBI

3 

Dey BK, Mueller AC and Dutta A: Long non-coding RNAs as emerging regulators of differentiation, development, and disease. Transcription. 5:e9440142014. View Article : Google Scholar : PubMed/NCBI

4 

Yang G, Lu X and Yuan L: LncRNA: A link between RNA and cancer. Biochim Biophys Acta (BBA)-Gene Regul Mech. 1839:1097–1109. 2014. View Article : Google Scholar

5 

Huarte M: The emerging role of lncRNAs in cancer. Nat Med. 21:12532015. View Article : Google Scholar : PubMed/NCBI

6 

Ren C, Li X, Wang T, Zhao C, Liang T, Zhu Y, Li M, Yang C, Zhao Y and Zhang GM: Functions and mechanisms of long noncoding RNAs in ovarian cancer. Int J Gynecol Cancer. 25:566–569. 2015. View Article : Google Scholar : PubMed/NCBI

7 

Cheng Z, Guo J, Chen L, Luo N, Yang W and Qu X: A long noncoding RNA AB073614 promotes tumorigenesis and predicts poor prognosis in ovarian cancer. Oncotarget. 6:25381–25389. 2015. View Article : Google Scholar : PubMed/NCBI

8 

Yim GW, Kim HJ, Kim LK, Kim SW, Kim S, Nam EJ and Kim YT: Long non-coding RNA HOXA11 antisense promotes cell proliferation and invasion and predicts patient prognosis in serous ovarian cancer. Cancer Res Treat. 49:656–668. 2016. View Article : Google Scholar : PubMed/NCBI

9 

Chen ZJ, Zhang Z, Xie BB and Zhang HY: Clinical significance of up-regulated lncRNA NEAT1 in prognosis of ovarian cancer. Eur Rev Med Pharmacol Sci. 20:3373–3377. 2016.PubMed/NCBI

10 

Zhou M, Wang X, Shi H, Cheng L, Wang Z, Zhao H, Yang L and Sun J: Characterization of long non-coding RNA-associated ceRNA network to reveal potential prognostic lncRNA biomarkers in human ovarian cancer. Oncotarget. 7:12598–12611. 2016.PubMed/NCBI

11 

Bristow RE, Palis BE, Chi DS and Cliby WA: The national cancer database report on advanced-stage epithelial ovarian cancer: Impact of hospital surgical case volume on overall survival and surgical treatment paradigm. Gynecol Oncol. 118:262–267. 2010. View Article : Google Scholar : PubMed/NCBI

12 

Anders S and Huber W: Differential expression of RNA-Seq data at the gene level-the DESeq package. Embl. 2012.

13 

Robinson MD, Mccarthy DJ and Smyth GK: edgeR: A bioconductor package for differential expression analysis of digital gene expression data. Bioinformatics. 26:139–140. 2010. View Article : Google Scholar : PubMed/NCBI

14 

Wang P, Wang Y, Bo H, Zou X and Mao JH: A novel gene expression-based prognostic scoring system to predict survival in gastric cancer. Oncotarget. 7:55343–55351. 2016.PubMed/NCBI

15 

Hanley JA: The robustness of the ‘binormal’ assumptions used in fitting ROC curves. Med Decis Making. 8:197–203. 1988. View Article : Google Scholar : PubMed/NCBI

16 

Huang DW, Sherman BT, Tan Q, Kir J, Liu D, Bryant D, Guo Y, Stephens R, Baseler MW, Lane HC and Lempicki RA: DAVID bioinformatics resources: Expanded annotation database and novel algorithms to better extract biology from large gene lists. Nucleic Acids Res. 35:169–175. 2007. View Article : Google Scholar

17 

Consortium GO: Gene ontology consortium: Going forward. Nucleic Acids Res. 43:1049–1056. 2015. View Article : Google Scholar

18 

Minoru K, Yoko S, Masayuki K, Miho F and Mao T: KEGG as a reference resource for gene and protein annotation. Nucleic Acids Res. 44:457–462. 2016. View Article : Google Scholar

19 

Qi L, Liu C, Yuan X, Kang S, Miao R, Xiao H, Zhao G, Luo H, Bu D, Zhao H, et al: Large-scale prediction of long non-coding RNA functions in a coding-non-coding gene co-expression network. Nucleic Acids Res. 39:3864–3878. 2011. View Article : Google Scholar : PubMed/NCBI

20 

Jayson GC, Kohn EC, Kitchener HC and Ledermann JA: Ovarian cancer. Lancet. 384:1376–1388. 2014. View Article : Google Scholar : PubMed/NCBI

21 

Nina H and Damjan G: Long non-coding RNA in cancer. Int J Mol Sci. 14:4655–4669. 2013. View Article : Google Scholar : PubMed/NCBI

22 

Rooth C: Ovarian cancer: Risk factors, treatment and management. Br J Nurs. 22:S23–S30. 2013. View Article : Google Scholar : PubMed/NCBI

23 

Hunn J and Rodriguez GC: Ovarian cancer: Etiology, risk factors, and epidemiology. Clin Obstet Gynecol. 55:3–23. 2012. View Article : Google Scholar : PubMed/NCBI

24 

Fatica A and Bozzoni I: Long non-coding RNAs: New players in cell differentiation and development. Nature Rev Genet. 15:7–21. 2014. View Article : Google Scholar : PubMed/NCBI

25 

Kornienko AE, Guenzl PM, Barlow DP and Pauler FM: Gene regulation by the act of long non-coding RNA transcription. BMC Biol. 11:592013. View Article : Google Scholar : PubMed/NCBI

26 

Dello Russo C, Lisi L, Feinstein DL and Navarra P: mTOR kinase, a key player in the regulation of glial functions: Relevance for the therapy of multiple sclerosis. Glia. 61:301–311. 2013. View Article : Google Scholar : PubMed/NCBI

27 

Laplante M and Sabatini DM: mTOR signaling in growth control and disease. Cell. 149:274–293. 2012. View Article : Google Scholar : PubMed/NCBI

28 

Laplante M and Sabatini DM: mTOR signaling at a glance. J Cell Sci. 122:3589–3594. 2009. View Article : Google Scholar : PubMed/NCBI

29 

Mabuchi S, Kuroda H, Takahashi R and Sasano T: The PI3K/AKT/mTOR pathway as a therapeutic target in ovarian cancer. Gynecol Oncol. 137:173–179. 2015. View Article : Google Scholar : PubMed/NCBI

30 

Li H, Zeng J and Shen K: PI3K/AKT/mTOR signaling pathway as a therapeutic target for ovarian cancer. Arch Gynecol Obstet. 290:1067–1078. 2014. View Article : Google Scholar : PubMed/NCBI

31 

Dobbin ZC and Landen CN: The importance of the PI3K/AKT/MTOR pathway in the progression of ovarian cancer. Int J Mol Sci. 14:8213–8227. 2013. View Article : Google Scholar : PubMed/NCBI

32 

Bassermann F, Eichner R and Pagano M: The ubiquitin proteasome system-implications for cell cycle control and the targeted treatment of cancer. Biochim Biophys Acta. 1843:150–162. 2014. View Article : Google Scholar : PubMed/NCBI

33 

Johnson DE: The ubiquitin-proteasome system: Opportunities for therapeutic intervention in solid tumors. Endocr Relat Cancer. 22:1–17. 2015. View Article : Google Scholar : PubMed/NCBI

34 

Varela JC and Tomlinson S: Complement: An overview for the clinician. Hematol Oncol Clin North Am. 29:409–427. 2015. View Article : Google Scholar : PubMed/NCBI

35 

Afshar-Kharghan V: The role of the complement system in cancer. J Clin Invest. 127:780–789. 2017. View Article : Google Scholar : PubMed/NCBI

36 

Pio R, Corrales L and Lambris JD: The role of complement in tumor growth. Tumor Microenviron Cell Stress. 229–262. 2013.

Related Articles

  • Abstract
  • View
  • Download
  • Twitter
Copy and paste a formatted citation
Spandidos Publications style
Li H, Gong M, Zhao M, Wang X, Cheng W and Xia Y: LncRNAs KB‑1836B5, LINC00566 and FAM27L are associated with the survival time of patients with ovarian cancer. Oncol Lett 16: 3735-3745, 2018.
APA
Li, H., Gong, M., Zhao, M., Wang, X., Cheng, W., & Xia, Y. (2018). LncRNAs KB‑1836B5, LINC00566 and FAM27L are associated with the survival time of patients with ovarian cancer. Oncology Letters, 16, 3735-3745. https://doi.org/10.3892/ol.2018.9143
MLA
Li, H., Gong, M., Zhao, M., Wang, X., Cheng, W., Xia, Y."LncRNAs KB‑1836B5, LINC00566 and FAM27L are associated with the survival time of patients with ovarian cancer". Oncology Letters 16.3 (2018): 3735-3745.
Chicago
Li, H., Gong, M., Zhao, M., Wang, X., Cheng, W., Xia, Y."LncRNAs KB‑1836B5, LINC00566 and FAM27L are associated with the survival time of patients with ovarian cancer". Oncology Letters 16, no. 3 (2018): 3735-3745. https://doi.org/10.3892/ol.2018.9143
Copy and paste a formatted citation
x
Spandidos Publications style
Li H, Gong M, Zhao M, Wang X, Cheng W and Xia Y: LncRNAs KB‑1836B5, LINC00566 and FAM27L are associated with the survival time of patients with ovarian cancer. Oncol Lett 16: 3735-3745, 2018.
APA
Li, H., Gong, M., Zhao, M., Wang, X., Cheng, W., & Xia, Y. (2018). LncRNAs KB‑1836B5, LINC00566 and FAM27L are associated with the survival time of patients with ovarian cancer. Oncology Letters, 16, 3735-3745. https://doi.org/10.3892/ol.2018.9143
MLA
Li, H., Gong, M., Zhao, M., Wang, X., Cheng, W., Xia, Y."LncRNAs KB‑1836B5, LINC00566 and FAM27L are associated with the survival time of patients with ovarian cancer". Oncology Letters 16.3 (2018): 3735-3745.
Chicago
Li, H., Gong, M., Zhao, M., Wang, X., Cheng, W., Xia, Y."LncRNAs KB‑1836B5, LINC00566 and FAM27L are associated with the survival time of patients with ovarian cancer". Oncology Letters 16, no. 3 (2018): 3735-3745. https://doi.org/10.3892/ol.2018.9143
Follow us
  • Twitter
  • LinkedIn
  • Facebook
About
  • Spandidos Publications
  • Careers
  • Cookie Policy
  • Privacy Policy
How can we help?
  • Help
  • Live Chat
  • Contact
  • Email to our Support Team