Spandidos Publications Logo
  • About
    • About Spandidos
    • Aims and Scopes
    • Abstracting and Indexing
    • Editorial Policies
    • Reprints and Permissions
    • Job Opportunities
    • Terms and Conditions
    • Contact
  • Journals
    • All Journals
    • Oncology Letters
      • Oncology Letters
      • Information for Authors
      • Editorial Policies
      • Editorial Board
      • Aims and Scope
      • Abstracting and Indexing
      • Bibliographic Information
      • Archive
    • International Journal of Oncology
      • International Journal of Oncology
      • Information for Authors
      • Editorial Policies
      • Editorial Board
      • Aims and Scope
      • Abstracting and Indexing
      • Bibliographic Information
      • Archive
    • Molecular and Clinical Oncology
      • Molecular and Clinical Oncology
      • Information for Authors
      • Editorial Policies
      • Editorial Board
      • Aims and Scope
      • Abstracting and Indexing
      • Bibliographic Information
      • Archive
    • Experimental and Therapeutic Medicine
      • Experimental and Therapeutic Medicine
      • Information for Authors
      • Editorial Policies
      • Editorial Board
      • Aims and Scope
      • Abstracting and Indexing
      • Bibliographic Information
      • Archive
    • International Journal of Molecular Medicine
      • International Journal of Molecular Medicine
      • Information for Authors
      • Editorial Policies
      • Editorial Board
      • Aims and Scope
      • Abstracting and Indexing
      • Bibliographic Information
      • Archive
    • Biomedical Reports
      • Biomedical Reports
      • Information for Authors
      • Editorial Policies
      • Editorial Board
      • Aims and Scope
      • Abstracting and Indexing
      • Bibliographic Information
      • Archive
    • Oncology Reports
      • Oncology Reports
      • Information for Authors
      • Editorial Policies
      • Editorial Board
      • Aims and Scope
      • Abstracting and Indexing
      • Bibliographic Information
      • Archive
    • Molecular Medicine Reports
      • Molecular Medicine Reports
      • Information for Authors
      • Editorial Policies
      • Editorial Board
      • Aims and Scope
      • Abstracting and Indexing
      • Bibliographic Information
      • Archive
    • World Academy of Sciences Journal
      • World Academy of Sciences Journal
      • Information for Authors
      • Editorial Policies
      • Editorial Board
      • Aims and Scope
      • Abstracting and Indexing
      • Bibliographic Information
      • Archive
    • International Journal of Functional Nutrition
      • International Journal of Functional Nutrition
      • Information for Authors
      • Editorial Policies
      • Editorial Board
      • Aims and Scope
      • Abstracting and Indexing
      • Bibliographic Information
      • Archive
    • International Journal of Epigenetics
      • International Journal of Epigenetics
      • Information for Authors
      • Editorial Policies
      • Editorial Board
      • Aims and Scope
      • Abstracting and Indexing
      • Bibliographic Information
      • Archive
    • Medicine International
      • Medicine International
      • Information for Authors
      • Editorial Policies
      • Editorial Board
      • Aims and Scope
      • Abstracting and Indexing
      • Bibliographic Information
      • Archive
  • Articles
  • Information
    • Information for Authors
    • Information for Reviewers
    • Information for Librarians
    • Information for Advertisers
    • Conferences
  • Language Editing
Spandidos Publications Logo
  • About
    • About Spandidos
    • Aims and Scopes
    • Abstracting and Indexing
    • Editorial Policies
    • Reprints and Permissions
    • Job Opportunities
    • Terms and Conditions
    • Contact
  • Journals
    • All Journals
    • Biomedical Reports
      • Information for Authors
      • Editorial Policies
      • Editorial Board
      • Aims and Scope
      • Abstracting and Indexing
      • Bibliographic Information
      • Archive
    • Experimental and Therapeutic Medicine
      • Information for Authors
      • Editorial Policies
      • Editorial Board
      • Aims and Scope
      • Abstracting and Indexing
      • Bibliographic Information
      • Archive
    • International Journal of Epigenetics
      • Information for Authors
      • Editorial Policies
      • Editorial Board
      • Aims and Scope
      • Abstracting and Indexing
      • Bibliographic Information
      • Archive
    • International Journal of Functional Nutrition
      • Information for Authors
      • Editorial Policies
      • Editorial Board
      • Aims and Scope
      • Abstracting and Indexing
      • Bibliographic Information
      • Archive
    • International Journal of Molecular Medicine
      • Information for Authors
      • Editorial Policies
      • Editorial Board
      • Aims and Scope
      • Abstracting and Indexing
      • Bibliographic Information
      • Archive
    • International Journal of Oncology
      • Information for Authors
      • Editorial Policies
      • Editorial Board
      • Aims and Scope
      • Abstracting and Indexing
      • Bibliographic Information
      • Archive
    • Medicine International
      • Information for Authors
      • Editorial Policies
      • Editorial Board
      • Aims and Scope
      • Abstracting and Indexing
      • Bibliographic Information
      • Archive
    • Molecular and Clinical Oncology
      • Information for Authors
      • Editorial Policies
      • Editorial Board
      • Aims and Scope
      • Abstracting and Indexing
      • Bibliographic Information
      • Archive
    • Molecular Medicine Reports
      • Information for Authors
      • Editorial Policies
      • Editorial Board
      • Aims and Scope
      • Abstracting and Indexing
      • Bibliographic Information
      • Archive
    • Oncology Letters
      • Information for Authors
      • Editorial Policies
      • Editorial Board
      • Aims and Scope
      • Abstracting and Indexing
      • Bibliographic Information
      • Archive
    • Oncology Reports
      • Information for Authors
      • Editorial Policies
      • Editorial Board
      • Aims and Scope
      • Abstracting and Indexing
      • Bibliographic Information
      • Archive
    • World Academy of Sciences Journal
      • Information for Authors
      • Editorial Policies
      • Editorial Board
      • Aims and Scope
      • Abstracting and Indexing
      • Bibliographic Information
      • Archive
  • Articles
  • Information
    • For Authors
    • For Reviewers
    • For Librarians
    • For Advertisers
    • Conferences
  • Language Editing
Login Register Submit
  • This site uses cookies
  • You can change your cookie settings at any time by following the instructions in our Cookie Policy. To find out more, you may read our Privacy Policy.

    I agree
Search articles by DOI, keyword, author or affiliation
Search
Advanced Search
presentation
Oncology Letters
Join Editorial Board Propose a Special Issue
Print ISSN: 1792-1074 Online ISSN: 1792-1082
Journal Cover
October-2018 Volume 16 Issue 4

Full Size Image

Sign up for eToc alerts
Recommend to Library

Journals

International Journal of Molecular Medicine

International Journal of Molecular Medicine

International Journal of Molecular Medicine is an international journal devoted to molecular mechanisms of human disease.

International Journal of Oncology

International Journal of Oncology

International Journal of Oncology is an international journal devoted to oncology research and cancer treatment.

Molecular Medicine Reports

Molecular Medicine Reports

Covers molecular medicine topics such as pharmacology, pathology, genetics, neuroscience, infectious diseases, molecular cardiology, and molecular surgery.

Oncology Reports

Oncology Reports

Oncology Reports is an international journal devoted to fundamental and applied research in Oncology.

Experimental and Therapeutic Medicine

Experimental and Therapeutic Medicine

Experimental and Therapeutic Medicine is an international journal devoted to laboratory and clinical medicine.

Oncology Letters

Oncology Letters

Oncology Letters is an international journal devoted to Experimental and Clinical Oncology.

Biomedical Reports

Biomedical Reports

Explores a wide range of biological and medical fields, including pharmacology, genetics, microbiology, neuroscience, and molecular cardiology.

Molecular and Clinical Oncology

Molecular and Clinical Oncology

International journal addressing all aspects of oncology research, from tumorigenesis and oncogenes to chemotherapy and metastasis.

World Academy of Sciences Journal

World Academy of Sciences Journal

Multidisciplinary open-access journal spanning biochemistry, genetics, neuroscience, environmental health, and synthetic biology.

International Journal of Functional Nutrition

International Journal of Functional Nutrition

Open-access journal combining biochemistry, pharmacology, immunology, and genetics to advance health through functional nutrition.

International Journal of Epigenetics

International Journal of Epigenetics

Publishes open-access research on using epigenetics to advance understanding and treatment of human disease.

Medicine International

Medicine International

An International Open Access Journal Devoted to General Medicine.

Journal Cover
October-2018 Volume 16 Issue 4

Full Size Image

Sign up for eToc alerts
Recommend to Library

  • Article
  • Citations
    • Cite This Article
    • Download Citation
    • Create Citation Alert
    • Remove Citation Alert
    • Cited By
  • Similar Articles
    • Related Articles (in Spandidos Publications)
    • Similar Articles (Google Scholar)
    • Similar Articles (PubMed)
  • Download PDF
  • Download XML
  • View XML
Article

Unfolded protein response, a link between endometrioid ovarian carcinoma and endometriosis: A pilot study

  • Authors:
    • Andrea Ciavattini
    • Giovanni Delli Carpini
    • Matteo Serri
    • Alessandra Tozzi
    • Francesca Leoni
    • Eugenia Di Loreto
    • Franca Saccucci
  • View Affiliations / Copyright

    Affiliations: Woman's Health Sciences Department, Gynecologic Section, Polytechnic University of Marche, Ancona I-60123, Italy, Department of Biochemistry, Biology and Genetics, Polytechnic University of Marche, Ancona I-60121, Italy
  • Pages: 5449-5454
    |
    Published online on: August 2, 2018
       https://doi.org/10.3892/ol.2018.9256
  • Expand metrics +
Metrics: Total Views: 0 (Spandidos Publications: | PMC Statistics: )
Metrics: Total PDF Downloads: 0 (Spandidos Publications: | PMC Statistics: )
Cited By (CrossRef): 0 citations Loading Articles...

This article is mentioned in:



Abstract

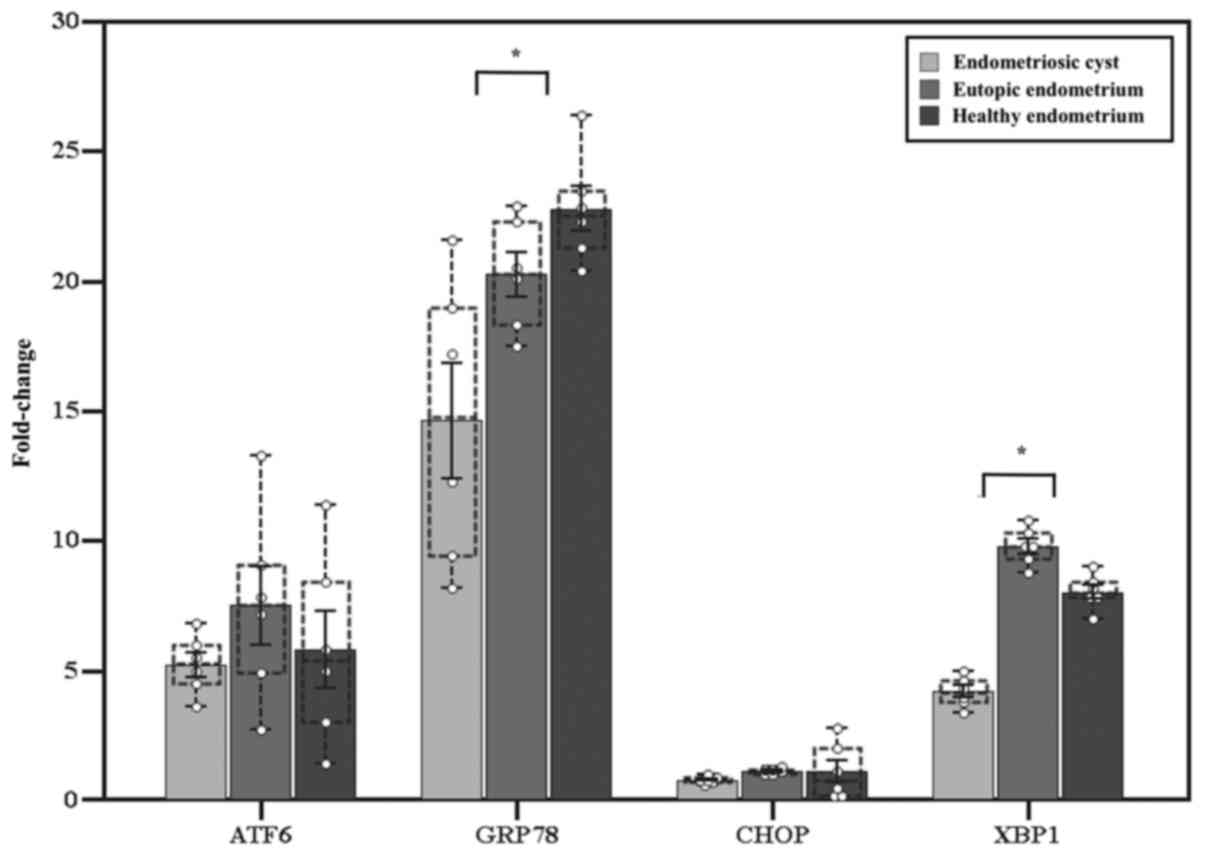
The aim of the present study was to analyze the expression profile of unfolded protein response (UPR) genes in endometrioid ovarian carcinoma and to evaluate its possible involvement in the neoplastic progression of endometriosis. An experimental retrospective pilot study was conducted on women with a diagnosis of endometrioid ovarian carcinoma at FIGO stage IA, ovarian endometriotic cysts or healthy subjects without a previous diagnosis of endometriosis. The expression profiles of UPR genes (ATF6, GRP78, CHOP and XBP1) were compared among ovaries with endometrioid ovarian cancer, endometriotic ovarian cysts, healthy contralateral ovaries and eutopic and healthy endometrial tissues. A significantly higher expression of ATF6 and GRP78 was detected in the affected ovaries in comparison with the healthy contralateral ovaries, while CHOP and XBP1 exhibited a significantly lower expression. XBP1 was overexpressed in endometrial tissues and its expression gradually decreased in endometriosis cysts and endometrioid ovarian carcinoma. These results support the hypothesis that alterations in the UPR genes CHOP and XBP1 are involved in the neoplastic progression of endometrioid ovarian cancer and are acquired following ovarian localization of ectopic endometrial cells.
View Figures

Figure 1

Figure 2

View References

1 

Buggio L, Somigliana E, Barbara G, Frattaruolo MP and Vercellini P: Oral and depot progestin therapy for endometriosis: Towards a personalized medicine. Expert Opin Pharmacother. 18:1569–1581. 2017. View Article : Google Scholar : PubMed/NCBI

2 

Giudice LC: Clinical practice. Endometriosis. N Engl J Med. 362:2389–2398. 2010. View Article : Google Scholar : PubMed/NCBI

3 

Kennedy S, Bergqvist A, Chapron C, D'Hooghe T, Dunselman G, Greb R, Hummelshoj L, Prentice A and Saridogan E; ESHRE Special Interest Group for Endometriosis and Endometrium Guideline Development Group, : ESHRE guideline for the diagnosis and treatment of endometriosis. Hum Reprod. 20:2698–2704. 2005. View Article : Google Scholar : PubMed/NCBI

4 

Giudice LC and Kao LC: Endometriosis. Lancet. 364:1789–1799. 2004. View Article : Google Scholar : PubMed/NCBI

5 

Pavone ME and Lyttle BM: Endometriosis and ovarian cancer: Links, risks and challenges faced. Int J Womens Health. 7:663–672. 2015. View Article : Google Scholar : PubMed/NCBI

6 

Donnez J, Nisolle M, Gillet N, Smets M, Bassil S and Casanas-Roux F: Large ovarian endometriomas. Hum Reprod. 11:641–646. 1996. View Article : Google Scholar : PubMed/NCBI

7 

Waller KG, Lindsay P, Curtis P and Shaw RW: The prevalence of endometriosis in women with infertile partners. Eur J Obstet Gynecol Reprod Biol. 48:135–139. 1993. View Article : Google Scholar : PubMed/NCBI

8 

Sampson J: Endometrial carcinoma of the ovary arising in endometrial tissue of that organ. Arch Surg. 10:1–72. 1925. View Article : Google Scholar

9 

Kokcu A: Relationship between endometriosis and cancer from current perspective. Arch Gynecol Obstet. 284:1473–1479. 2011. View Article : Google Scholar : PubMed/NCBI

10 

Dorner AJ, Wasley LC and Kaufman RJ: Increased synthesis of secreted proteins induces expression of glucose-regulated proteins in butyrate-treated Chinese hamster ovary cells. J Biol Chem. 264:20602–20607. 1989.PubMed/NCBI

11 

Poole EM, Lin WT, Kvaskoff M, De Vivo I, Terry KL and Missmer SA: Endometriosis and risk of ovarian and endometrial cancers in a large prospective cohort of U.S. nurses. Cancer Causes Control. 28:437–445. 2017. View Article : Google Scholar : PubMed/NCBI

12 

Dubeau L and Drapkin R: Coming into focus: The nonovarian origins of ovarian cancer. Ann Oncol. 24 Suppl 8:viii28–viii35. 2013. View Article : Google Scholar : PubMed/NCBI

13 

Prat J: New insights into ovarian cancer pathology. Annals of Oncology. 23 Suppl 10:x111–x117. 2012. View Article : Google Scholar : PubMed/NCBI

14 

Schröder M and Kaufman RJ: The mammalian unfolded protein response. Annu Rev Biochem. 74:739–789. 2005. View Article : Google Scholar : PubMed/NCBI

15 

Rutkowski DT, Arnold SM, Miller CN, Wu J, Li J, Gunnison KM, Mori K, Sadighi Akha AA, Raden D and Kaufman RJ: Adaptation to ER stress is mediated by differential stabilities of pro-survival and pro-apoptotic mRNAs and proteins. PLoS Biol. 4:e3742006. View Article : Google Scholar : PubMed/NCBI

16 

Prat J; FIGO Committee on Gynecologic Oncology, : FIGO's staging classification for cancer of the ovary, fallopian tube and peritoneum: Abridged republication. J Gynecol Oncol. 26:87–89. 2015. View Article : Google Scholar : PubMed/NCBI

17 

Ledermann JA, Raja FA, Fotopoulou C, Gonzalez-Martin A, Colombo N and Sessa C; ESMO, Guidelines Working Group, : Newly diagnosed and relapsed epithelial ovarian carcinoma: ESMO Clinical Practice Guidelines for diagnosis, treatment and follow-up. Ann Oncol. 24 Suppl 6:vi24–vi32. 2013. View Article : Google Scholar : PubMed/NCBI

18 

Schmittgen TD and Livak KJ: Analyzing real-time PCR data by the comparative C(T) method. Nat Protoc. 3:1101–1108. 2008. View Article : Google Scholar : PubMed/NCBI

19 

Bifulco G, Miele C, Di Jeso B, Beguinot F, Nappi C, Di Carlo C, Capuozzo S, Terrazzano G, Insabato L and Ulianich L: Endoplasmic reticulum stress is activated in endometrial adenocarcinoma. Gynecol Oncol. 125:220–225. 2012. View Article : Google Scholar : PubMed/NCBI

20 

Shuda M, Kondoh N, Imazeki N, Tanaka K, Okada T, Mori K, Hada A, Arai M, Wakatsuki T, Matsubara O, et al: Activation of the ATF6, XBP1 and grp78 genes in human hepatocellular carcinoma: A possible involvement of the ER stress pathway in hepatocarcinogenesis. J Hepatol. 38:605–614. 2003. View Article : Google Scholar : PubMed/NCBI

21 

Feldman DE, Chauhan V and Koong AC: The unfolded protein response: A novel component of the hypoxic stress response in tumors. Mol Cancer Res. 3:597–605. 2005. View Article : Google Scholar : PubMed/NCBI

22 

Jamora C, Dennert G and Lee AS: Inhibition of tumor progression by suppression of stress protein GRP78/BiP induction in fibrosarcoma B/C10ME. Proc Natl Acad Sci USA. 93:7690–7694. 1996. View Article : Google Scholar : PubMed/NCBI

23 

Bernstein H, Payne CM, Bernstein C, Schneider J, Beard SE and Crowley CL: Activation of the promoters of genes associated with DNA damage, oxidative stress, ER stress and protein malfolding by the bile salt, deoxycholate. Toxicol Lett. 108:37–46. 1999. View Article : Google Scholar : PubMed/NCBI

24 

Reddy RK, Mao C, Baumeister P, Austin RC, Kaufman RJ and Lee AS: Endoplasmic reticulum chaperone protein GRP78 protects cells from apoptosis induced by topoisomerase inhibitors: Role of ATP binding site in suppression of caspase-7 activation. J Biol Chem. 278:20915–20924. 2003. View Article : Google Scholar : PubMed/NCBI

25 

Huber AL, Lebeau J, Guillaumot P, Pétrilli V, Malek M, Chilloux J, Fauvet F, Payen L, Kfoury A, Renno T, et al: p58IPK-mediated attenuation of the proapoptotic PERK-CHOP pathway allows malignant progression upon low glucose. Mol Cell. 49:1049–1059. 2013. View Article : Google Scholar : PubMed/NCBI

26 

Romero-Ramirez L, Cao H, Nelson D, Hammond E, Lee AH, Yoshida H, Mori K, Glimcher LH, Denko NC, Giaccia AJ, et al: XBP1 is essential for survival under hypoxic conditions and is required for tumor growth. Cancer Res. 64:5943–5947. 2004. View Article : Google Scholar : PubMed/NCBI

27 

Fujimoto T, Yoshimatsu K, Watanabe K, Yokomizo H, Otani T, Matsumoto A, Osawa G, Onda M and Ogawa K: Overexpression of human X-box binding protein 1 (XBP-1) in colorectal adenomas and adenocarcinomas. Anticancer Res. 27:127–131. 2007.PubMed/NCBI

28 

Ghosh R, Wang L, Wang ES, Perera BG, Igbaria A, Morita S, Prado K, Thamsen M, Caswell D, Macias H, et al: Allosteric inhibition of the IRE1α RNase preserves cell viability and function during endoplasmic reticulum stress. Cell. 158:534–548. 2014. View Article : Google Scholar : PubMed/NCBI

29 

Niederreiter L, Fritz TM, Adolph TE, Krismer AM, Offner FA, Tschurtschenthaler M, Flak MB, Hosomi S, Tomczak MF, Kaneider NC, et al: ER stress transcription factor Xbp1 suppresses intestinal tumorigenesis and directs intestinal stem cells. J Exp Med. 210:2041–2056. 2013. View Article : Google Scholar : PubMed/NCBI

30 

Zhu H, Abulimiti M, Liu H, Su XJ, Liu CH and Pei HP: RITA enhances irradiation-induced apoptosis in p53-defective cervical cancer cells via upregulation of IRE1α/XBP1 signaling. Oncol Rep. 34:1279–1288. 2015. View Article : Google Scholar : PubMed/NCBI

31 

Bulun SE: Endometriosis. N Engl J Med. 360:268–279. 2009. View Article : Google Scholar : PubMed/NCBI

32 

Shaffer AL, Shapiro-Shelef M, Iwakoshi NN, Lee AH, Qian SB, Zhao H, Yu X, Yang L, Tan BK, Rosenwald A, et al: XBP1, downstream of Blimp-1, expands the secretory apparatus and other organelles and increases protein synthesis in plasma cell differentiation. Immunity. 21:81–93. 2004. View Article : Google Scholar : PubMed/NCBI

33 

Sengupta S, Sharma CG and Jordan VC: Estrogen regulation of X-box binding protein-1 and its role in estrogen induced growth of breast and endometrial cancer cells. Horm Mol Biol Clin Investig. 2:235–243. 2010.PubMed/NCBI

34 

Bruner-Tran KL, Herington JL, Duleba AJ, Taylor HS and Osteen KG: Medical management of endometriosis: Emerging evidence linking inflammation to disease pathophysiology. Minerva Ginecol. 65:199–213. 2013.PubMed/NCBI

35 

Burney RO, Talbi S, Hamilton AE, Vo KC, Nyegaard M, Nezhat CR, Lessey BA and Giudice LC: Gene expression analysis of endometrium reveals progesterone resistance and candidate susceptibility genes in women with endometriosis. Endocrinology. 148:3814–3826. 2007. View Article : Google Scholar : PubMed/NCBI

Related Articles

  • Abstract
  • View
  • Download
  • Twitter
Copy and paste a formatted citation
Spandidos Publications style
Ciavattini A, Delli Carpini G, Serri M, Tozzi A, Leoni F, Di Loreto E and Saccucci F: Unfolded protein response, a link between endometrioid ovarian carcinoma and endometriosis: A pilot study. Oncol Lett 16: 5449-5454, 2018.
APA
Ciavattini, A., Delli Carpini, G., Serri, M., Tozzi, A., Leoni, F., Di Loreto, E., & Saccucci, F. (2018). Unfolded protein response, a link between endometrioid ovarian carcinoma and endometriosis: A pilot study. Oncology Letters, 16, 5449-5454. https://doi.org/10.3892/ol.2018.9256
MLA
Ciavattini, A., Delli Carpini, G., Serri, M., Tozzi, A., Leoni, F., Di Loreto, E., Saccucci, F."Unfolded protein response, a link between endometrioid ovarian carcinoma and endometriosis: A pilot study". Oncology Letters 16.4 (2018): 5449-5454.
Chicago
Ciavattini, A., Delli Carpini, G., Serri, M., Tozzi, A., Leoni, F., Di Loreto, E., Saccucci, F."Unfolded protein response, a link between endometrioid ovarian carcinoma and endometriosis: A pilot study". Oncology Letters 16, no. 4 (2018): 5449-5454. https://doi.org/10.3892/ol.2018.9256
Copy and paste a formatted citation
x
Spandidos Publications style
Ciavattini A, Delli Carpini G, Serri M, Tozzi A, Leoni F, Di Loreto E and Saccucci F: Unfolded protein response, a link between endometrioid ovarian carcinoma and endometriosis: A pilot study. Oncol Lett 16: 5449-5454, 2018.
APA
Ciavattini, A., Delli Carpini, G., Serri, M., Tozzi, A., Leoni, F., Di Loreto, E., & Saccucci, F. (2018). Unfolded protein response, a link between endometrioid ovarian carcinoma and endometriosis: A pilot study. Oncology Letters, 16, 5449-5454. https://doi.org/10.3892/ol.2018.9256
MLA
Ciavattini, A., Delli Carpini, G., Serri, M., Tozzi, A., Leoni, F., Di Loreto, E., Saccucci, F."Unfolded protein response, a link between endometrioid ovarian carcinoma and endometriosis: A pilot study". Oncology Letters 16.4 (2018): 5449-5454.
Chicago
Ciavattini, A., Delli Carpini, G., Serri, M., Tozzi, A., Leoni, F., Di Loreto, E., Saccucci, F."Unfolded protein response, a link between endometrioid ovarian carcinoma and endometriosis: A pilot study". Oncology Letters 16, no. 4 (2018): 5449-5454. https://doi.org/10.3892/ol.2018.9256
Follow us
  • Twitter
  • LinkedIn
  • Facebook
About
  • Spandidos Publications
  • Careers
  • Cookie Policy
  • Privacy Policy
How can we help?
  • Help
  • Live Chat
  • Contact
  • Email to our Support Team