Spandidos Publications Logo
  • About
    • About Spandidos
    • Aims and Scopes
    • Abstracting and Indexing
    • Editorial Policies
    • Reprints and Permissions
    • Job Opportunities
    • Terms and Conditions
    • Contact
  • Journals
    • All Journals
    • Oncology Letters
      • Oncology Letters
      • Information for Authors
      • Editorial Policies
      • Editorial Board
      • Aims and Scope
      • Abstracting and Indexing
      • Bibliographic Information
      • Archive
    • International Journal of Oncology
      • International Journal of Oncology
      • Information for Authors
      • Editorial Policies
      • Editorial Board
      • Aims and Scope
      • Abstracting and Indexing
      • Bibliographic Information
      • Archive
    • Molecular and Clinical Oncology
      • Molecular and Clinical Oncology
      • Information for Authors
      • Editorial Policies
      • Editorial Board
      • Aims and Scope
      • Abstracting and Indexing
      • Bibliographic Information
      • Archive
    • Experimental and Therapeutic Medicine
      • Experimental and Therapeutic Medicine
      • Information for Authors
      • Editorial Policies
      • Editorial Board
      • Aims and Scope
      • Abstracting and Indexing
      • Bibliographic Information
      • Archive
    • International Journal of Molecular Medicine
      • International Journal of Molecular Medicine
      • Information for Authors
      • Editorial Policies
      • Editorial Board
      • Aims and Scope
      • Abstracting and Indexing
      • Bibliographic Information
      • Archive
    • Biomedical Reports
      • Biomedical Reports
      • Information for Authors
      • Editorial Policies
      • Editorial Board
      • Aims and Scope
      • Abstracting and Indexing
      • Bibliographic Information
      • Archive
    • Oncology Reports
      • Oncology Reports
      • Information for Authors
      • Editorial Policies
      • Editorial Board
      • Aims and Scope
      • Abstracting and Indexing
      • Bibliographic Information
      • Archive
    • Molecular Medicine Reports
      • Molecular Medicine Reports
      • Information for Authors
      • Editorial Policies
      • Editorial Board
      • Aims and Scope
      • Abstracting and Indexing
      • Bibliographic Information
      • Archive
    • World Academy of Sciences Journal
      • World Academy of Sciences Journal
      • Information for Authors
      • Editorial Policies
      • Editorial Board
      • Aims and Scope
      • Abstracting and Indexing
      • Bibliographic Information
      • Archive
    • International Journal of Functional Nutrition
      • International Journal of Functional Nutrition
      • Information for Authors
      • Editorial Policies
      • Editorial Board
      • Aims and Scope
      • Abstracting and Indexing
      • Bibliographic Information
      • Archive
    • International Journal of Epigenetics
      • International Journal of Epigenetics
      • Information for Authors
      • Editorial Policies
      • Editorial Board
      • Aims and Scope
      • Abstracting and Indexing
      • Bibliographic Information
      • Archive
    • Medicine International
      • Medicine International
      • Information for Authors
      • Editorial Policies
      • Editorial Board
      • Aims and Scope
      • Abstracting and Indexing
      • Bibliographic Information
      • Archive
  • Articles
  • Information
    • Information for Authors
    • Information for Reviewers
    • Information for Librarians
    • Information for Advertisers
    • Conferences
  • Language Editing
Spandidos Publications Logo
  • About
    • About Spandidos
    • Aims and Scopes
    • Abstracting and Indexing
    • Editorial Policies
    • Reprints and Permissions
    • Job Opportunities
    • Terms and Conditions
    • Contact
  • Journals
    • All Journals
    • Biomedical Reports
      • Information for Authors
      • Editorial Policies
      • Editorial Board
      • Aims and Scope
      • Abstracting and Indexing
      • Bibliographic Information
      • Archive
    • Experimental and Therapeutic Medicine
      • Information for Authors
      • Editorial Policies
      • Editorial Board
      • Aims and Scope
      • Abstracting and Indexing
      • Bibliographic Information
      • Archive
    • International Journal of Epigenetics
      • Information for Authors
      • Editorial Policies
      • Editorial Board
      • Aims and Scope
      • Abstracting and Indexing
      • Bibliographic Information
      • Archive
    • International Journal of Functional Nutrition
      • Information for Authors
      • Editorial Policies
      • Editorial Board
      • Aims and Scope
      • Abstracting and Indexing
      • Bibliographic Information
      • Archive
    • International Journal of Molecular Medicine
      • Information for Authors
      • Editorial Policies
      • Editorial Board
      • Aims and Scope
      • Abstracting and Indexing
      • Bibliographic Information
      • Archive
    • International Journal of Oncology
      • Information for Authors
      • Editorial Policies
      • Editorial Board
      • Aims and Scope
      • Abstracting and Indexing
      • Bibliographic Information
      • Archive
    • Medicine International
      • Information for Authors
      • Editorial Policies
      • Editorial Board
      • Aims and Scope
      • Abstracting and Indexing
      • Bibliographic Information
      • Archive
    • Molecular and Clinical Oncology
      • Information for Authors
      • Editorial Policies
      • Editorial Board
      • Aims and Scope
      • Abstracting and Indexing
      • Bibliographic Information
      • Archive
    • Molecular Medicine Reports
      • Information for Authors
      • Editorial Policies
      • Editorial Board
      • Aims and Scope
      • Abstracting and Indexing
      • Bibliographic Information
      • Archive
    • Oncology Letters
      • Information for Authors
      • Editorial Policies
      • Editorial Board
      • Aims and Scope
      • Abstracting and Indexing
      • Bibliographic Information
      • Archive
    • Oncology Reports
      • Information for Authors
      • Editorial Policies
      • Editorial Board
      • Aims and Scope
      • Abstracting and Indexing
      • Bibliographic Information
      • Archive
    • World Academy of Sciences Journal
      • Information for Authors
      • Editorial Policies
      • Editorial Board
      • Aims and Scope
      • Abstracting and Indexing
      • Bibliographic Information
      • Archive
  • Articles
  • Information
    • For Authors
    • For Reviewers
    • For Librarians
    • For Advertisers
    • Conferences
  • Language Editing
Login Register Submit
  • This site uses cookies
  • You can change your cookie settings at any time by following the instructions in our Cookie Policy. To find out more, you may read our Privacy Policy.

    I agree
Search articles by DOI, keyword, author or affiliation
Search
Advanced Search
presentation
Oncology Letters
Join Editorial Board Propose a Special Issue
Print ISSN: 1792-1074 Online ISSN: 1792-1082
Journal Cover
February-2019 Volume 17 Issue 2

Full Size Image

Sign up for eToc alerts
Recommend to Library

Journals

International Journal of Molecular Medicine

International Journal of Molecular Medicine

International Journal of Molecular Medicine is an international journal devoted to molecular mechanisms of human disease.

International Journal of Oncology

International Journal of Oncology

International Journal of Oncology is an international journal devoted to oncology research and cancer treatment.

Molecular Medicine Reports

Molecular Medicine Reports

Covers molecular medicine topics such as pharmacology, pathology, genetics, neuroscience, infectious diseases, molecular cardiology, and molecular surgery.

Oncology Reports

Oncology Reports

Oncology Reports is an international journal devoted to fundamental and applied research in Oncology.

Experimental and Therapeutic Medicine

Experimental and Therapeutic Medicine

Experimental and Therapeutic Medicine is an international journal devoted to laboratory and clinical medicine.

Oncology Letters

Oncology Letters

Oncology Letters is an international journal devoted to Experimental and Clinical Oncology.

Biomedical Reports

Biomedical Reports

Explores a wide range of biological and medical fields, including pharmacology, genetics, microbiology, neuroscience, and molecular cardiology.

Molecular and Clinical Oncology

Molecular and Clinical Oncology

International journal addressing all aspects of oncology research, from tumorigenesis and oncogenes to chemotherapy and metastasis.

World Academy of Sciences Journal

World Academy of Sciences Journal

Multidisciplinary open-access journal spanning biochemistry, genetics, neuroscience, environmental health, and synthetic biology.

International Journal of Functional Nutrition

International Journal of Functional Nutrition

Open-access journal combining biochemistry, pharmacology, immunology, and genetics to advance health through functional nutrition.

International Journal of Epigenetics

International Journal of Epigenetics

Publishes open-access research on using epigenetics to advance understanding and treatment of human disease.

Medicine International

Medicine International

An International Open Access Journal Devoted to General Medicine.

Journal Cover
February-2019 Volume 17 Issue 2

Full Size Image

Sign up for eToc alerts
Recommend to Library

  • Article
  • Citations
    • Cite This Article
    • Download Citation
    • Create Citation Alert
    • Remove Citation Alert
    • Cited By
  • Similar Articles
    • Related Articles (in Spandidos Publications)
    • Similar Articles (Google Scholar)
    • Similar Articles (PubMed)
  • Download PDF
  • Download XML
  • View XML
Article

WZY‑321, a novel evodiamine analog, inhibits glioma cell growth in an autophagy‑associated manner

  • Authors:
    • Guan Sun
    • Chuang Zhang
    • Hongmao Song
    • Jun Guo
    • Min Li
    • Ying Cao
  • View Affiliations / Copyright

    Affiliations: Department of Neurosurgery, The First People's Hospital of Yancheng, Fourth Affiliated Hospital of Nantong University, Yancheng, Jiangsu 224001, P.R. China, Department of Medical Oncology, The Eighty‑First Hospital of People's Liberation Army, Nanjing, Jiangsu 210002, P.R. China, Department of Ear‑Nose‑Throat, Huai'an Second People's Hospital, The Affiliated Huai'an Hospital of Xuzhou Medical University, Huai'an, Jiangsu 223002, P.R. China, Department of Neurosurgery, Jiangning Hospital Affiliated with Nanjing Medical University, Nanjing, Jiangsu 211100, P.R. China
  • Pages: 2465-2472
    |
    Published online on: December 18, 2018
       https://doi.org/10.3892/ol.2018.9847
  • Expand metrics +
Metrics: Total Views: 0 (Spandidos Publications: | PMC Statistics: )
Metrics: Total PDF Downloads: 0 (Spandidos Publications: | PMC Statistics: )
Cited By (CrossRef): 0 citations Loading Articles...

This article is mentioned in:



Abstract

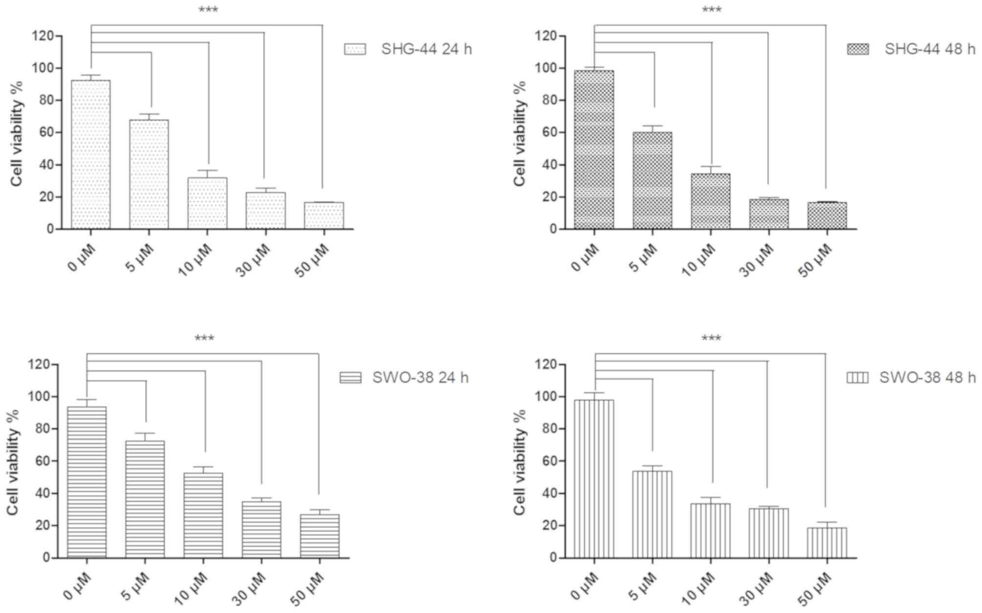
Glioblastoma is one of the most aggressive types of brain tumor. The median survival rate of patients with glioblastoma (World Health Organization grade IV) is <15 months. Therefore, there is an urgent requirement for the development of novel and efficient therapeutic agents against glioma. In previous studies, WZY‑321 (10‑hydroxy‑1‑methyl‑8,13b‑dihydro‑5H,7H‑benzo[e]benzofuro[2',3':3,4]pyrido[2,1‑b][1,3]oxazin‑5‑one), a novel evodiamine (Evo) analog, was reported to exhibit enhanced pharmacological properties and improved cytotoxicity against a number of human cancer cell lines compared with Evo. In the current study, the anti‑proliferative effect of WZY‑321 on SHG‑44 and SWO‑38 glioma cells was further studied, and its mechanism of action investigated. The results indicated that WZY‑321 inhibited the proliferation of SHG‑44 cells in a dose‑ and time‑dependent manner by enhancing cellular apoptosis and inducing cell cycle arrest at the G2‑M phase. Treatment of glioma cells with WZY‑321 concomitantly increased the expression levels of microtubule associated protein 1 light chain 3α and Beclin1, indicating enhanced autophagy. Overall, the results of the present study revealed the anti‑proliferative potential of WZY‑321 in glioma cells, thus providing a possible autophagy‑based therapeutic strategy for the treatment of glioblastoma.
View Figures

Figure 1

Figure 2

Figure 3

Figure 4

Figure 5

Figure 6

View References

1 

Curry RC, Dahiya S, Alva Venur V, Raizer JJ and Ahluwalia MS: Bevacizumab in high-grade gliomas: Past, present, and future. Expert Rev Anticancer Ther. 15:387–397. 2015. View Article : Google Scholar : PubMed/NCBI

2 

Baskar R, Lee KA, Yeo R and Yeoh KW: Cancer and radiation therapy: Current advances and future directions. Int J Med Sci. 9:193–199. 2012. View Article : Google Scholar : PubMed/NCBI

3 

Chang KY: Specificity protein 1-modulated superoxide dismutase 2 enhances temozolomide resistance in glioblastoma, which is independent of O6-methylguanine-DNA methyltransferase. Redox Biol. 13:655–664. 2017. View Article : Google Scholar : PubMed/NCBI

4 

Kumthekar P: A phase II trial of arsenic trioxide and temozolomide in combination with radiation therapy for patients with malignant gliomas. J Neurooncol. 133:589–594. 2017. View Article : Google Scholar : PubMed/NCBI

5 

Blakeley JO, Grossman SA, Mikkelsen T, Rosenfeld MR, Peereboom D, Nabors LB, Chi AS, Emmons G, Garcia Ribas I, Supko JG, et al: Phase I study of iniparib concurrent with monthly or continuous temozolomide dosing schedules in patients with newly diagnosed malignant gliomas. J Neurooncol. 125:123–131. 2015. View Article : Google Scholar : PubMed/NCBI

6 

Wong ET, Timmons J, Callahan A, O'Loughlin L, Giarusso B and Alsop DC: Phase I study of low-dose metronomic temozolomide for recurrent malignant gliomas. BMC Cancer. 16:9142016. View Article : Google Scholar : PubMed/NCBI

7 

Messaoudi K, Clavreul A and Lagarce F: Toward an effective strategy in glioblastoma treatment. Part I: Resistance mechanisms and strategies to overcome resistance of glioblastoma to temozolomide. Drug Discov Today. 20:899–905. 2015. View Article : Google Scholar : PubMed/NCBI

8 

Nakada M, Kita D, Watanabe T, Hayashi Y and Hamada J: Mechanism of chemoresistance against tyrosine kinase inhibitors in malignant glioma. Brain Tumor Pathol. 31:198–207. 2014. View Article : Google Scholar : PubMed/NCBI

9 

Klionsky DJ: Autophagy revisited: A conversation with Christian de Duve. Autophagy. 4:740–743. 2008. View Article : Google Scholar : PubMed/NCBI

10 

Ohsumi Y: Historical landmarks of autophagy research. Cell Res. 24:9–23. 2014. View Article : Google Scholar : PubMed/NCBI

11 

Liang XH, Jackson S, Seaman M, Brown K, Kempkes B, Hibshoosh H and Levine B: Induction of autophagy and inhibition of tumorigenesis bybeclin 1. Nature. 402:672–676. 1999. View Article : Google Scholar : PubMed/NCBI

12 

Kabeya Y, Mizushima N, Ueno T, Yamamoto A, Kirisako T, Noda T, Kominami E, Ohsumi Y and Yoshimori T: LC3, a mammalian homologue of yeast Apg8p, is localized in autophagosome membranes after processing. EMBO J. 19:5720–5728. 2000. View Article : Google Scholar : PubMed/NCBI

13 

Hart LS, Cunningham JT, Datta T, Dey S, Tameire F, Lehman SL, Qiu B, Zhang H, Cerniglia G, Bi M, et al: ER stress-mediated autophagy promotes Myc-dependent transformation and tumor growth. J Clin Invest. 122:4621–4634. 2012. View Article : Google Scholar : PubMed/NCBI

14 

Aoki H, Kondo Y, Aldape K, Yamamoto A, Iwado E, Yokoyama T, Hollingsworth EF, Kobayashi R, Hess K, Shinojima N, et al: Monitoring autophagy in glioblastoma with antibody against isoform B of human microtubule-associated protein 1 light chain 3. Autophagy. 4:467–475. 2008. View Article : Google Scholar : PubMed/NCBI

15 

Palumbo S and Comincini S: Autophagy and ionizing radiation in tumors: The ‘survive or not survive’ dilemma. J Cell Physiol. 228:1–8. 2013. View Article : Google Scholar : PubMed/NCBI

16 

Huang X, Bai HM, Chen L, Li B and Lu YC: Reduced expression of LC3B-II and Beclin 1 in glioblastoma multiforme indicates a downregulated autophagic capacity that relates to the progression of astrocytic tumors. J Clin Nuronsci. 17:1515–1519. 2010. View Article : Google Scholar

17 

Miracco C, Cosci E, Oliveri G, Luzi P, Pacenti L, Monciatti I, Mannucci S, De Nisi MC, Toscano M, Malagnino V, et al: Protein and mRNA expression of autophagy gene Beclin 1 in human brain tumours. Int J Oncol. 30:429–436. 2007.PubMed/NCBI

18 

National Pharmacopoeia Committee: Pharmacopoeia of People's Republic of China, Part 1. The Medicine Science and Technology Press of China; Beijing: pp. 160–161. 2010

19 

Fan X, Zhu JY, Sun Y, Luo L, Yan J, Yang X, Yu J, Tang WQ, Ma W and Liang HP: Evodiamine inhibits zymosan-induced inflammation in vitro and in vivo: Inactivation of NF-κB by inhibiting IκBα phosphorylation. Inflammation. 40:1012–1027. 2017. View Article : Google Scholar : PubMed/NCBI

20 

Wu WS, Chien CC, Liu KH, Chen YC and Chiu WT: Evodiamine prevents glioma growth, induces glioblastoma cell apoptosis and cell cycle arrest through JNK activation. Am J Chin Med. 45:879–899. 2017. View Article : Google Scholar : PubMed/NCBI

21 

Liu LH, Xie JY, Guo WW, Wu GY, Chen ZF, Yi JY, Zhang L, Zhang ZJ and Li Z: Evodiamine activates AMPK and promotes adiponectin multimerization in 3T3-L1 adipocytes. J Asian Nat Prod Res. 16:1074–1083. 2014. View Article : Google Scholar : PubMed/NCBI

22 

Zhao T, Zhang X, Zhao Y, Zhang L, Bai X, Zhang J, Zhao X, Chen L, Wang L and Cui L: Pretreatment by evodiamine is neuroprotective in cerebral ischemia: Up-regulated pAkt, pGSK3β, down-regulated NF-κB expression, and ameliorated BBB permeability. Neurochem Res. 39:1612–1620. 2014. View Article : Google Scholar : PubMed/NCBI

23 

Pan X, Hartley JM, Hartley JA, White KN, Wang Z and Bligh SW: Evodiamine, a dual catalytic inhibitor of type I and II topoisomerases, exhibits enhanced inhibition against camptothecin resistant cells. Phytomedicine. 19:618–624. 2012. View Article : Google Scholar : PubMed/NCBI

24 

Sun HZ, Fang ZZ, Cao YF, Sun XY and Hong M: Investigation of the in vitro metabolism of evodiamine: Characterization of metabolites and involved cytochrome p450 isoforms. Phytother Res. 27:705–712. 2013. View Article : Google Scholar : PubMed/NCBI

25 

Xu JY, Xu ST and Qiu YY: Evodiamine a novel class of derivatives, their preparation and use. Chinese patent 201611019652. Filed November. 16:2016.

26 

Situ R, Wang HH, Wang JH, He LP, Zhu XL and Ou WF: Establishment of human brain malignant glioma cell line (SWO-38) and observation of its biologic properties. Chin J Cancer. 6:235–238. 1987.(In Chinese).

27 

Pisapia DJ: The updated world health organization glioma classification: Cellular and molecular origins of adult infiltrating gliomas. Arch Pathol Lab Med. 141:1633–1645. 2017. View Article : Google Scholar : PubMed/NCBI

28 

Yang L, Liang Q, Shen K, Ma L, An N, Deng W, Fei Z and Liu J: A novel class I histone deacetylase inhibitor, I-7ab, induces apoptosis and arrests cell cycle progression in human colorectal cancer cells. Biomed Pharmacother. 71:70–78. 2015. View Article : Google Scholar : PubMed/NCBI

29 

Zhou X, Yue GG, Chan AM, Tsui SK, Fung KP, Sun H, Pu J and Lau CB: Eriocalyxin B, a novel autophagy inducer, exerts anti-tumor activity through the suppression of Akt-mTOR-p70S6K signaling pathway in breast cancer. Biochem Pharmacol. 142:58–70. 2017. View Article : Google Scholar : PubMed/NCBI

30 

Cheng YC, Hueng DY, Huang HY, Chen JY and Chen Y: Magnolol and honokiol exert a synergistic anti-tumor effect through autophagy and apoptosis in human glioblastomas. Oncotarget. 7:29116–29130. 2016.PubMed/NCBI

31 

Wang XJ, Chu NY, Wang QH, Liu C, Jiang CG, Wang XY, Ikejima T and Cheng MS: Newly synthesized bis-benzimidazole derivatives exerting anti-tumor activity through induction of apoptosis and autophagy. Bioorg Med Chem Lett. 22:6297–6300. 2012. View Article : Google Scholar : PubMed/NCBI

32 

Yang F, Shi L, Liang T, Ji L, Zhang G, Shen Y, Zhu F and Xu L: Anti-tumor effect of evodiamine by inducing Akt-mediated apoptosis in hepatocellular carcinoma. Biochem Biophys Res Commun. 485:54–61. 2017. View Article : Google Scholar : PubMed/NCBI

33 

Eimer S, Belaud-Rotureau MA, Airiau K, Jeanneteau M, Laharanne E, Véron N, Vital A, Loiseau H, Merlio JP and Belloc F: Autophagy inhibition cooperates with erlotinib to induce glioblastoma cell death. Cancer Biol Ther. 11:1017–1027. 2011. View Article : Google Scholar : PubMed/NCBI

34 

Kanzawa T, Zhang L, Xiao L, Germano IM, Kondo Y and Kondo S: Arsenic trioxide induces autophagic cell death in malignant glioma cells by upregulation of mitochondrial cell death protein BNIP3. Oncogene. 24:980–991. 2005. View Article : Google Scholar : PubMed/NCBI

35 

Chang CY, Kuan YH, Ou YC, Li JR, Wu CC, Pan PH, Chen WY, Huang HY and Chen CJ: Autophagy contributes to gefitinib-induced glioma cell growth inhibition. Exp Cell Res. 327:102–112. 2014. View Article : Google Scholar : PubMed/NCBI

36 

Grandér D and Panaretakis T: Autophagy: Cancer therapy's friend or foe? Future Med Chem. 2:285–297. 2010. View Article : Google Scholar : PubMed/NCBI

37 

Liu AJ, Wang SH, Chen KC, Kuei HP, Shih YL, Hou SY, Chiu WT, Hsiao SH and Shih CM: Evodiamine, a plant alkaloid, induces calcium-JNK-mediated autophagy and calcium-mitochondria-mediated apoptosis in human glioblastoma cells. Chem Biol Interact. 205:20–28. 2013. View Article : Google Scholar : PubMed/NCBI

38 

Dong G, Sheng C, Wang S, Miao Z, Yao J and Zhang W: Selection of evodiamine as a novel topoisomerase I inhibitor by structure-based virtual screening and hit optimization of evodiamine derivatives as antitumor agents. J Med Chem. 53:7521–7531. 2010. View Article : Google Scholar : PubMed/NCBI

Related Articles

  • Abstract
  • View
  • Download
  • Twitter
Copy and paste a formatted citation
Spandidos Publications style
Sun G, Zhang C, Song H, Guo J, Li M and Cao Y: WZY‑321, a novel evodiamine analog, inhibits glioma cell growth in an autophagy‑associated manner. Oncol Lett 17: 2465-2472, 2019.
APA
Sun, G., Zhang, C., Song, H., Guo, J., Li, M., & Cao, Y. (2019). WZY‑321, a novel evodiamine analog, inhibits glioma cell growth in an autophagy‑associated manner. Oncology Letters, 17, 2465-2472. https://doi.org/10.3892/ol.2018.9847
MLA
Sun, G., Zhang, C., Song, H., Guo, J., Li, M., Cao, Y."WZY‑321, a novel evodiamine analog, inhibits glioma cell growth in an autophagy‑associated manner". Oncology Letters 17.2 (2019): 2465-2472.
Chicago
Sun, G., Zhang, C., Song, H., Guo, J., Li, M., Cao, Y."WZY‑321, a novel evodiamine analog, inhibits glioma cell growth in an autophagy‑associated manner". Oncology Letters 17, no. 2 (2019): 2465-2472. https://doi.org/10.3892/ol.2018.9847
Copy and paste a formatted citation
x
Spandidos Publications style
Sun G, Zhang C, Song H, Guo J, Li M and Cao Y: WZY‑321, a novel evodiamine analog, inhibits glioma cell growth in an autophagy‑associated manner. Oncol Lett 17: 2465-2472, 2019.
APA
Sun, G., Zhang, C., Song, H., Guo, J., Li, M., & Cao, Y. (2019). WZY‑321, a novel evodiamine analog, inhibits glioma cell growth in an autophagy‑associated manner. Oncology Letters, 17, 2465-2472. https://doi.org/10.3892/ol.2018.9847
MLA
Sun, G., Zhang, C., Song, H., Guo, J., Li, M., Cao, Y."WZY‑321, a novel evodiamine analog, inhibits glioma cell growth in an autophagy‑associated manner". Oncology Letters 17.2 (2019): 2465-2472.
Chicago
Sun, G., Zhang, C., Song, H., Guo, J., Li, M., Cao, Y."WZY‑321, a novel evodiamine analog, inhibits glioma cell growth in an autophagy‑associated manner". Oncology Letters 17, no. 2 (2019): 2465-2472. https://doi.org/10.3892/ol.2018.9847
Follow us
  • Twitter
  • LinkedIn
  • Facebook
About
  • Spandidos Publications
  • Careers
  • Cookie Policy
  • Privacy Policy
How can we help?
  • Help
  • Live Chat
  • Contact
  • Email to our Support Team