Spandidos Publications Logo
  • About
    • About Spandidos
    • Aims and Scopes
    • Abstracting and Indexing
    • Editorial Policies
    • Reprints and Permissions
    • Job Opportunities
    • Terms and Conditions
    • Contact
  • Journals
    • All Journals
    • Oncology Letters
      • Oncology Letters
      • Information for Authors
      • Editorial Policies
      • Editorial Board
      • Aims and Scope
      • Abstracting and Indexing
      • Bibliographic Information
      • Archive
    • International Journal of Oncology
      • International Journal of Oncology
      • Information for Authors
      • Editorial Policies
      • Editorial Board
      • Aims and Scope
      • Abstracting and Indexing
      • Bibliographic Information
      • Archive
    • Molecular and Clinical Oncology
      • Molecular and Clinical Oncology
      • Information for Authors
      • Editorial Policies
      • Editorial Board
      • Aims and Scope
      • Abstracting and Indexing
      • Bibliographic Information
      • Archive
    • Experimental and Therapeutic Medicine
      • Experimental and Therapeutic Medicine
      • Information for Authors
      • Editorial Policies
      • Editorial Board
      • Aims and Scope
      • Abstracting and Indexing
      • Bibliographic Information
      • Archive
    • International Journal of Molecular Medicine
      • International Journal of Molecular Medicine
      • Information for Authors
      • Editorial Policies
      • Editorial Board
      • Aims and Scope
      • Abstracting and Indexing
      • Bibliographic Information
      • Archive
    • Biomedical Reports
      • Biomedical Reports
      • Information for Authors
      • Editorial Policies
      • Editorial Board
      • Aims and Scope
      • Abstracting and Indexing
      • Bibliographic Information
      • Archive
    • Oncology Reports
      • Oncology Reports
      • Information for Authors
      • Editorial Policies
      • Editorial Board
      • Aims and Scope
      • Abstracting and Indexing
      • Bibliographic Information
      • Archive
    • Molecular Medicine Reports
      • Molecular Medicine Reports
      • Information for Authors
      • Editorial Policies
      • Editorial Board
      • Aims and Scope
      • Abstracting and Indexing
      • Bibliographic Information
      • Archive
    • World Academy of Sciences Journal
      • World Academy of Sciences Journal
      • Information for Authors
      • Editorial Policies
      • Editorial Board
      • Aims and Scope
      • Abstracting and Indexing
      • Bibliographic Information
      • Archive
    • International Journal of Functional Nutrition
      • International Journal of Functional Nutrition
      • Information for Authors
      • Editorial Policies
      • Editorial Board
      • Aims and Scope
      • Abstracting and Indexing
      • Bibliographic Information
      • Archive
    • International Journal of Epigenetics
      • International Journal of Epigenetics
      • Information for Authors
      • Editorial Policies
      • Editorial Board
      • Aims and Scope
      • Abstracting and Indexing
      • Bibliographic Information
      • Archive
    • Medicine International
      • Medicine International
      • Information for Authors
      • Editorial Policies
      • Editorial Board
      • Aims and Scope
      • Abstracting and Indexing
      • Bibliographic Information
      • Archive
  • Articles
  • Information
    • Information for Authors
    • Information for Reviewers
    • Information for Librarians
    • Information for Advertisers
    • Conferences
  • Language Editing
Spandidos Publications Logo
  • About
    • About Spandidos
    • Aims and Scopes
    • Abstracting and Indexing
    • Editorial Policies
    • Reprints and Permissions
    • Job Opportunities
    • Terms and Conditions
    • Contact
  • Journals
    • All Journals
    • Biomedical Reports
      • Information for Authors
      • Editorial Policies
      • Editorial Board
      • Aims and Scope
      • Abstracting and Indexing
      • Bibliographic Information
      • Archive
    • Experimental and Therapeutic Medicine
      • Information for Authors
      • Editorial Policies
      • Editorial Board
      • Aims and Scope
      • Abstracting and Indexing
      • Bibliographic Information
      • Archive
    • International Journal of Epigenetics
      • Information for Authors
      • Editorial Policies
      • Editorial Board
      • Aims and Scope
      • Abstracting and Indexing
      • Bibliographic Information
      • Archive
    • International Journal of Functional Nutrition
      • Information for Authors
      • Editorial Policies
      • Editorial Board
      • Aims and Scope
      • Abstracting and Indexing
      • Bibliographic Information
      • Archive
    • International Journal of Molecular Medicine
      • Information for Authors
      • Editorial Policies
      • Editorial Board
      • Aims and Scope
      • Abstracting and Indexing
      • Bibliographic Information
      • Archive
    • International Journal of Oncology
      • Information for Authors
      • Editorial Policies
      • Editorial Board
      • Aims and Scope
      • Abstracting and Indexing
      • Bibliographic Information
      • Archive
    • Medicine International
      • Information for Authors
      • Editorial Policies
      • Editorial Board
      • Aims and Scope
      • Abstracting and Indexing
      • Bibliographic Information
      • Archive
    • Molecular and Clinical Oncology
      • Information for Authors
      • Editorial Policies
      • Editorial Board
      • Aims and Scope
      • Abstracting and Indexing
      • Bibliographic Information
      • Archive
    • Molecular Medicine Reports
      • Information for Authors
      • Editorial Policies
      • Editorial Board
      • Aims and Scope
      • Abstracting and Indexing
      • Bibliographic Information
      • Archive
    • Oncology Letters
      • Information for Authors
      • Editorial Policies
      • Editorial Board
      • Aims and Scope
      • Abstracting and Indexing
      • Bibliographic Information
      • Archive
    • Oncology Reports
      • Information for Authors
      • Editorial Policies
      • Editorial Board
      • Aims and Scope
      • Abstracting and Indexing
      • Bibliographic Information
      • Archive
    • World Academy of Sciences Journal
      • Information for Authors
      • Editorial Policies
      • Editorial Board
      • Aims and Scope
      • Abstracting and Indexing
      • Bibliographic Information
      • Archive
  • Articles
  • Information
    • For Authors
    • For Reviewers
    • For Librarians
    • For Advertisers
    • Conferences
  • Language Editing
Login Register Submit
  • This site uses cookies
  • You can change your cookie settings at any time by following the instructions in our Cookie Policy. To find out more, you may read our Privacy Policy.

    I agree
Search articles by DOI, keyword, author or affiliation
Search
Advanced Search
presentation
Oncology Letters
Join Editorial Board Propose a Special Issue
Print ISSN: 1792-1074 Online ISSN: 1792-1082
Journal Cover
August-2019 Volume 18 Issue 2

Full Size Image

Sign up for eToc alerts
Recommend to Library

Journals

International Journal of Molecular Medicine

International Journal of Molecular Medicine

International Journal of Molecular Medicine is an international journal devoted to molecular mechanisms of human disease.

International Journal of Oncology

International Journal of Oncology

International Journal of Oncology is an international journal devoted to oncology research and cancer treatment.

Molecular Medicine Reports

Molecular Medicine Reports

Covers molecular medicine topics such as pharmacology, pathology, genetics, neuroscience, infectious diseases, molecular cardiology, and molecular surgery.

Oncology Reports

Oncology Reports

Oncology Reports is an international journal devoted to fundamental and applied research in Oncology.

Experimental and Therapeutic Medicine

Experimental and Therapeutic Medicine

Experimental and Therapeutic Medicine is an international journal devoted to laboratory and clinical medicine.

Oncology Letters

Oncology Letters

Oncology Letters is an international journal devoted to Experimental and Clinical Oncology.

Biomedical Reports

Biomedical Reports

Explores a wide range of biological and medical fields, including pharmacology, genetics, microbiology, neuroscience, and molecular cardiology.

Molecular and Clinical Oncology

Molecular and Clinical Oncology

International journal addressing all aspects of oncology research, from tumorigenesis and oncogenes to chemotherapy and metastasis.

World Academy of Sciences Journal

World Academy of Sciences Journal

Multidisciplinary open-access journal spanning biochemistry, genetics, neuroscience, environmental health, and synthetic biology.

International Journal of Functional Nutrition

International Journal of Functional Nutrition

Open-access journal combining biochemistry, pharmacology, immunology, and genetics to advance health through functional nutrition.

International Journal of Epigenetics

International Journal of Epigenetics

Publishes open-access research on using epigenetics to advance understanding and treatment of human disease.

Medicine International

Medicine International

An International Open Access Journal Devoted to General Medicine.

Journal Cover
August-2019 Volume 18 Issue 2

Full Size Image

Sign up for eToc alerts
Recommend to Library

  • Article
  • Citations
    • Cite This Article
    • Download Citation
    • Create Citation Alert
    • Remove Citation Alert
    • Cited By
  • Similar Articles
    • Related Articles (in Spandidos Publications)
    • Similar Articles (Google Scholar)
    • Similar Articles (PubMed)
  • Download PDF
  • Download XML
  • View XML
Article Open Access

Expression of the immune checkpoint receptor TIGIT in seminoma

  • Authors:
    • Andrea Hinsch
    • Niclas C. Blessin
    • Ronald Simon
    • Martina Kluth
    • Kristine Fischer
    • Claudia Hube‑Magg
    • Wenchao Li
    • Georgia Makrypidi‑Fraune
    • Björn Wellge
    • Tim Mandelkow
    • Nicolaus F. Debatin
    • Doris Höflmayer
    • Maximilian Lennartz
    • Guido Sauter
    • Jakob R. Izbicki
    • Sarah Minner
    • Franziska Büscheck
    • Ria Uhlig
    • David Dum
    • Till Krech
    • Andreas M. Luebke
    • Corinna Wittmer
    • Frank Jacobsen
    • Eike Burandt
    • Stefan Steurer
    • Waldemar Wilczak
  • View Affiliations / Copyright

    Affiliations: Department of Pathology, University Medical Center Hamburg‑Eppendorf, D‑20246 Hamburg, Germany, ONCOdianova GmbH, D‑20354 Hamburg, Germany, Department of General, Visceral and Thoracic Surgery, University Medical Center Hamburg‑Eppendorf, D‑20246 Hamburg, Germany
    Copyright: © Hinsch et al. This is an open access article distributed under the terms of Creative Commons Attribution License.
  • Pages: 1497-1502
    |
    Published online on: May 31, 2019
       https://doi.org/10.3892/ol.2019.10428
  • Expand metrics +
Metrics: Total Views: 0 (Spandidos Publications: | PMC Statistics: )
Metrics: Total PDF Downloads: 0 (Spandidos Publications: | PMC Statistics: )
Cited By (CrossRef): 0 citations Loading Articles...

This article is mentioned in:



Abstract

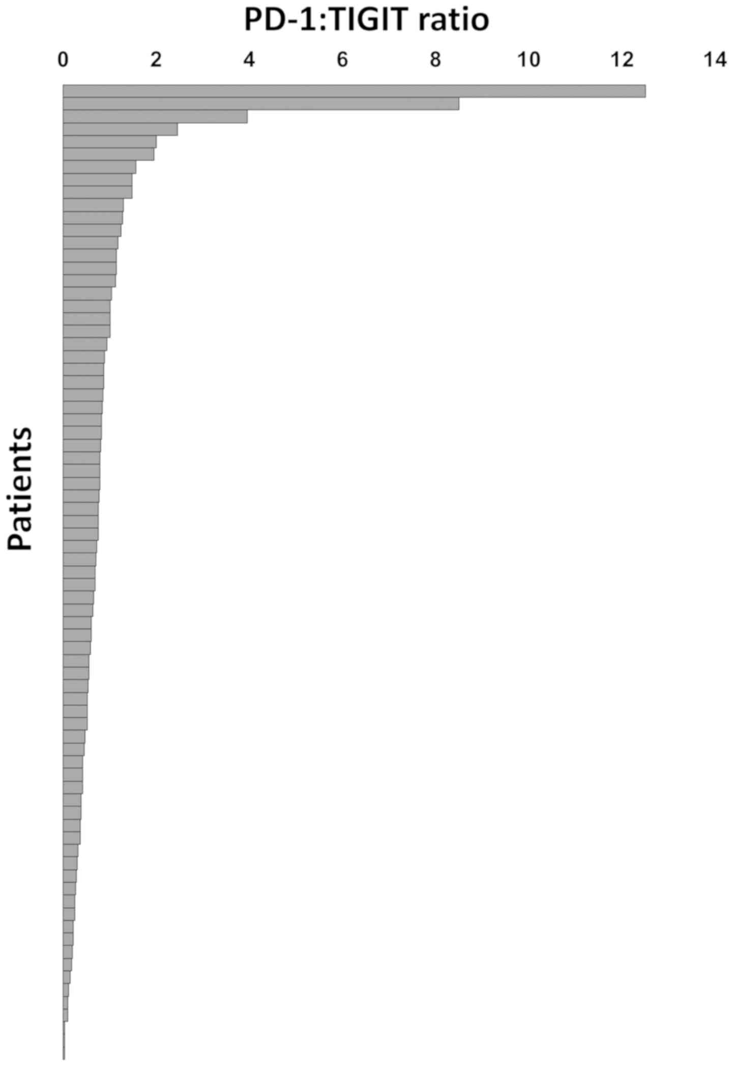
A characteristic feature of testicular seminoma is the abundance of immune cells in the tumor microenvironment, raising the possibility that immune checkpoint inhibitors may serve as a therapeutic option in these types of tumors. T cell immunoreceptor with Ig and ITIM domains (TIGIT) is an inhibitory immune checkpoint receptor in analogy to PD‑1, and drugs targeting TIGIT are currently being investigated in clinical trials. Little is known about the expression of these proteins in testicular seminomas. Therefore the present study performed immunohistochemical analysis to determine the relative abundance of TIGIT and PD‑1 in relation to the total CD3+ immune cell infiltration in a tissue microarray (TMA) constructed from 78 seminoma patients. The fraction of TIGIT+ and PD‑1+ lymphocytes was highly variable in individual cancers and ranged from 2.3 to 69.4% (mean: 32.2±14.7%) for TIGIT and from 0.8 to 56.5% (mean: 21.6±13.2%) for PD‑1. The same high degree of variability was also identified for the ratio of PD‑1 to TIGIT positive cells, which varied from a dominance of TIGIT (PD‑1: TIGIT ratio=0.02) in 74% of patients, to a predominance of PD‑1 (PD‑1: TIGIT ratio=12.5) in 23% of patients. In summary, the immune checkpoint receptors TIGIT and PD‑1 are abundantly expressed in human seminomas. Once available, anti‑TIGIT antibodies, possibly in combination with anti‑PD‑1 drugs, may be a reasonable therapeutic strategy for this type of cancer.
View Figures

Figure 1

Figure 2

Figure 3

View References

1 

Hayes-Lattin B and Nichols CR: Testicular cancer: A prototypic tumor of young adults. Semin Oncol. 36:432–438. 2009. View Article : Google Scholar : PubMed/NCBI

2 

Krege S, Beyer J, Souchon R, Albers P, Albrecht W, Algaba F, Bamberg M, Bodrogi I, Bokemeyer C, Cavallin-Ståhl E, et al: European consensus conference on diagnosis and treatment of germ cell cancer: A report of the second meeting of the European Germ Cell Cancer Consensus group (EGCCCG): Part I. Eur Urol. 53:478–496. 2008. View Article : Google Scholar : PubMed/NCBI

3 

Hanna N and Einhorn LH: Testicular cancer: A reflection on 50 years of discovery. J Clin Oncol. 32:3085–3092. 2014. View Article : Google Scholar : PubMed/NCBI

4 

Adra N and Einhorn LH: Salvage therapy for relapsed testicular cancer. Oncotarget. 8:69200–69201. 2017. View Article : Google Scholar : PubMed/NCBI

5 

Oing C, Alsdorf WH, von Amsberg G, Oechsle K and Bokemeyer C: Platinum-refractory germ cell tumors: An update on current treatment options and developments. World J Urol. 35:1167–1175. 2017. View Article : Google Scholar : PubMed/NCBI

6 

Zschäbitz S, Lasitschka F, Hadaschik B, Hofheinz RD, Jentsch-Ullrich K, Grüner M, Jäger D and Grüllich C: Response to anti-programmed cell death protein-1 antibodies in men treated for platinum refractory germ cell cancer relapsed after high-dose chemotherapy and stem cell transplantation. Eur J Cancer. 76:1–7. 2017. View Article : Google Scholar : PubMed/NCBI

7 

Adra N, Einhorn LH, Althouse SK, Ammakkanavar NR, Musapatika D, Albany C, Vaughn D and Hanna NH: Phase II trial of pembrolizumab in patients with platinum refractory germ-cell tumors: A hoosier cancer research network study GU14-206. Ann Oncol. 29:209–214. 2018. View Article : Google Scholar : PubMed/NCBI

8 

Ansell SM, Lesokhin AM, Borrello I, Halwani A, Scott EC, Gutierrez M, Schuster SJ, Millenson MM, Cattry D, Freeman GJ, et al: PD-1 blockade with nivolumab in relapsed or refractory Hodgkin's lymphoma. N Engl J Med. 372:311–319. 2015. View Article : Google Scholar : PubMed/NCBI

9 

Wolchok JD, Kluger H, Callahan MK, Postow MA, Rizvi NA, Lesokhin AM, Segal NH, Ariyan CE, Gordon RA, Reed K, et al: Nivolumab plus ipilimumab in advanced melanoma. N Engl J Med. 369:122–133. 2013. View Article : Google Scholar : PubMed/NCBI

10 

Alsaab HO, Sau S, Alzhrani R, Tatiparti K, Bhise K, Kashaw SK and Iyer AK: PD-1 and PD-L1 checkpoint signaling inhibition for cancer immunotherapy: Mechanism, combinations, and clinical outcome. Front Pharmacol. 8:5612017. View Article : Google Scholar : PubMed/NCBI

11 

Chovanec M, Cierna Z, Miskovska V, Machalekova K, Svetlovska D, Kalavska K, Rejlekova K, Spanik S, Kajo K, Babal P, et al: Prognostic role of programmed-death ligand 1 (PD-L1) expressing tumor infiltrating lymphocytes in testicular germ cell tumors. Oncotarget. 8:21794–21805. 2017. View Article : Google Scholar : PubMed/NCBI

12 

Cierna Z, Mego M, Miskovska V, Machalekova K, Chovanec M, Svetlovska D, Hainova K, Rejlekova K, Macak D, Spanik S, et al: Prognostic value of programmed-death-1 receptor (PD-1) and its ligand 1 (PD-L1) in testicular germ cell tumors. Ann Oncol. 27:300–305. 2016. View Article : Google Scholar : PubMed/NCBI

13 

Liu XG, Hou M and Liu Y: TIGIT, a novel therapeutic target for tumor immunotherapy. Immunol Invest. 46:172–182. 2017. View Article : Google Scholar : PubMed/NCBI

14 

Manieri NA, Chiang EY and Grogan JL: TIGIT: A key inhibitor of the cancer immunity cycle. Trends Immunol. 38:20–28. 2017. View Article : Google Scholar : PubMed/NCBI

15 

Dougall WC, Kurtulus S, Smyth MJ and Anderson AC: TIGIT and CD96: New checkpoint receptor targets for cancer immunotherapy. Immunol Rev. 276:112–120. 2017. View Article : Google Scholar : PubMed/NCBI

16 

Johnston RJ, Comps-Agrar L, Hackney J, Yu X, Huseni M, Yang Y, Park S, Javinal V, Chiu H, Irving B, et al: The immunoreceptor TIGIT regulates antitumor and antiviral CD8(+) T cell effector function. Cancer Cell. 26:923–937. 2014. View Article : Google Scholar : PubMed/NCBI

17 

Chauvin JM, Pagliano O, Fourcade J, Sun Z, Wang H, Sander C, Kirkwood JM, Chen TH, Maurer M, Korman AJ and Zarour HM: TIGIT and PD-1 impair tumor antigen-specific CD8+ T cells in melanoma patients. J Clin Invest. 125:2046–2058. 2015. View Article : Google Scholar : PubMed/NCBI

18 

Kurtulus S, Sakuishi K, Ngiow SF, Joller N, Tan DJ, Teng MW, Smyth MJ, Kuchroo VK and Anderson AC: TIGIT predominantly regulates the immune response via regulatory T cells. J Clin Invest. 125:4053–4062. 2015. View Article : Google Scholar : PubMed/NCBI

19 

Blessin NC, Simon R, Kluth M, Fischer K, Hube-Magg C, Li W, Makrypidi-Fraune G, Wellge B, Mandelkow T, Debatin NF, et al: Patterns of TIGIT expression in normal lymphatic tissue, inflammation, and cancer. Dis Markers. 2019:51605652019. View Article : Google Scholar : PubMed/NCBI

20 

Garber K: Industry ‘road tests’ new wave of immune checkpoints. Nat Biotechnol. 35:487–488. 2017. View Article : Google Scholar : PubMed/NCBI

21 

Kong Y, Zhu L, Schell TD, Zhang J, Claxton DF, Ehmann WC, Rybka WB, George MR, Zeng H and Zheng H: T-cell immunoglobulin and ITIM domain (TIGIT) associates with CD8+ T-Cell exhaustion and poor clinical outcome in AML patients. Clin Cancer Res. 22:3057–3066. 2016. View Article : Google Scholar : PubMed/NCBI

22 

Kononen J, Bubendorf L, Kallioniemi A, Bärlund M, Schraml P, Leighton S, Torhorst J, Mihatsch MJ, Sauter G and Kallioniemi OP: Tissue microarrays for high-throughput molecular profiling of tumor specimens. Nat Med. 4:844–847. 1998. View Article : Google Scholar : PubMed/NCBI

23 

JMP® V: SAS Institute Inc.; Cary, NC: https://www.jmp.com/1989-2019

24 

Josefsson SE, Huse K, Kolstad A, Beiske K, Pende D, Steen CB, Inderberg EM, Lingjærde OC, Østenstad B, Smeland EB, et al: T cells expressing checkpoint receptor TIGIT are enriched in follicular lymphoma tumors and characterized by reversible suppression of T-cell receptor signaling. Clin Cancer Res. 24:870–881. 2018. View Article : Google Scholar : PubMed/NCBI

25 

Luo Q, Deng Z, Xu C, Zeng L, Ye J, Li X, Guo Y, Huang Z and Li J: Elevated expression of immunoreceptor tyrosine-based inhibitory motif (TIGIT) on T lymphocytes is correlated with disease activity in rheumatoid arthritis. Med Sci Monit. 23:1232–1241. 2017. View Article : Google Scholar : PubMed/NCBI

26 

Yu X, Harden K, Gonzalez LC, Francesco M, Chiang E, Irving B, Tom I, Ivelja S, Refino CJ, Clark H, et al: The surface protein TIGIT suppresses T cell activation by promoting the generation of mature immunoregulatory dendritic cells. Nat Immunol. 10:48–57. 2009. View Article : Google Scholar : PubMed/NCBI

27 

Necchi A, Giannatempo P, Raggi D, Mariani L, Colecchia M, Farè E, Monopoli F, Calareso G, Ali SM, Ross JS, et al: An open-label randomized phase 2 study of durvalumab alone or in combination with tremelimumab in patients with advanced germ cell tumors (APACHE): Results from the first planned interim analysis. Eur Urol. 75:201–203. 2019. View Article : Google Scholar : PubMed/NCBI

28 

Topalian SL, Hodi FS, Brahmer JR, Gettinger SN, Smith DC, McDermott DF, Powderly JD, Carvajal RD, Sosman JA, Atkins MB, et al: Safety, activity, and immune correlates of anti-PD-1 antibody in cancer. N Engl J Med. 366:2443–2454. 2012. View Article : Google Scholar : PubMed/NCBI

29 

Farkona S, Diamandis EP and Blasutig IM: Cancer immunotherapy: The beginning of the end of cancer? BMC Med. 14:732016. View Article : Google Scholar : PubMed/NCBI

30 

Siska PJ, Johnpulle RAN, Zhou A, Bordeaux J, Kim JY, Dabbas B, Dakappagari N, Rathmell JC, Rathmell WK, Morgans AK, et al: Deep exploration of the immune infiltrate and outcome prediction in testicular cancer by quantitative multiplexed immunohistochemistry and gene expression profiling. Oncoimmunology. 6:e13055352017. View Article : Google Scholar : PubMed/NCBI

31 

Mandelkow T, Blessin NC, Lueerss E, Pott L, Simon R, Li W, Wellege B, Debatin NF, Hoflmayer D, Izbicki JR, et al: Immune exclusion is frequent in small cell carcinoma of the bladder. Disease Markers. Article ID 2532518. 2019. View Article : Google Scholar : PubMed/NCBI

32 

Garcia-Martinez E, Gil GL, Benito AC, González-Billalabeitia E, Conesa MA, García García T, García-Garre E, Vicente V and Ayala de la Peña F: Tumor-infiltrating immune cell profiles and their change after neoadjuvant chemotherapy predict response and prognosis of breast cancer. Breast Cancer Res. 16:4882014. View Article : Google Scholar : PubMed/NCBI

33 

Galon J, Costes A, Sanchez-Cabo F, Kirilovsky A, Mlecnik B, Lagorce-Pagès C, Tosolini M, Camus M, Berger A, Wind P, et al: Type, density, and location of immune cells within human colorectal tumors predict clinical outcome. Science. 313:1960–1964. 2006. View Article : Google Scholar : PubMed/NCBI

34 

Fabre E, Jira H, Izard V, Ferlicot S, Hammoudi Y, Theodore C, Di Palma M, Benoit G and Droupy S: ‘Burned-out’ primary testicular cancer. BJU Int. 94:74–78. 2004. View Article : Google Scholar : PubMed/NCBI

35 

Hanna NH and Einhorn LH: Testicular cancer-discoveries and updates. N Engl J Med. 371:2005–2016. 2014. View Article : Google Scholar : PubMed/NCBI

36 

Feldman DR, Patil S, Trinos MJ, Carousso M, Ginsberg MS, Sheinfeld J, Bajorin DF, Bosl GJ and Motzer RJ: Progression-free and overall survival in patients with relapsed/refractory germ cell tumors treated with single-agent chemotherapy: Endpoints for clinical trial design. Cancer. 118:981–986. 2012. View Article : Google Scholar : PubMed/NCBI

37 

Abouassaly R, Fossa SD, Giwercman A, Kollmannsberger C, Motzer RJ, Schmoll HJ and Sternberg CN: Sequelae of treatment in long-term survivors of testis cancer. Eur Urol. 60:516–526. 2011. View Article : Google Scholar : PubMed/NCBI

38 

Wethal T, Kjekshus J, Røislien J, Ueland T, Andreassen AK, Wergeland R, Aukrust P and Fosså SD: Treatment-related differences in cardiovascular risk factors in long-term survivors of testicular cancer. J Cancer Surviv. 1:8–16. 2007. View Article : Google Scholar : PubMed/NCBI

39 

Ribas A, Puzanov I, Dummer R, Schadendorf D, Hamid O, Robert C, Hodi FS, Schachter J, Pavlick AC, Lewis KD, et al: Pembrolizumab versus investigator-choice chemotherapy for ipilimumab-refractory melanoma (KEYNOTE-002): A randomised, controlled, phase 2 trial. Lancet Oncol. 16:908–918. 2015. View Article : Google Scholar : PubMed/NCBI

40 

Brahmer J, Reckamp KL, Baas P, Crinò L, Eberhardt WE, Poddubskaya E, Antonia S, Pluzanski A, Vokes EE, Holgado E, et al: Nivolumab versus docetaxel in advanced squamous-cell non-small-cell lung cancer. N Engl J Med. 373:123–135. 2015. View Article : Google Scholar : PubMed/NCBI

41 

Li W, Blessin NC, Simon R, Kluth M, Fischer K, Hube-Magg C, Makrypidi-Fraune G, Wellge B, Mandelkow T, Debatin NF, et al: Expression of the immune checkpoint receptor TIGIT in Hodgkin's lymphoma. BMC Cancer. 18:12092018. View Article : Google Scholar : PubMed/NCBI

Related Articles

  • Abstract
  • View
  • Download
  • Twitter
Copy and paste a formatted citation
Spandidos Publications style
Hinsch A, Blessin NC, Simon R, Kluth M, Fischer K, Hube‑Magg C, Li W, Makrypidi‑Fraune G, Wellge B, Mandelkow T, Mandelkow T, et al: Expression of the immune checkpoint receptor TIGIT in seminoma. Oncol Lett 18: 1497-1502, 2019.
APA
Hinsch, A., Blessin, N.C., Simon, R., Kluth, M., Fischer, K., Hube‑Magg, C. ... Wilczak, W. (2019). Expression of the immune checkpoint receptor TIGIT in seminoma. Oncology Letters, 18, 1497-1502. https://doi.org/10.3892/ol.2019.10428
MLA
Hinsch, A., Blessin, N. C., Simon, R., Kluth, M., Fischer, K., Hube‑Magg, C., Li, W., Makrypidi‑Fraune, G., Wellge, B., Mandelkow, T., Debatin, N. F., Höflmayer, D., Lennartz, M., Sauter, G., Izbicki, J. R., Minner, S., Büscheck, F., Uhlig, R., Dum, D., Krech, T., Luebke, A. M., Wittmer, C., Jacobsen, F., Burandt, E., Steurer, S., Wilczak, W."Expression of the immune checkpoint receptor TIGIT in seminoma". Oncology Letters 18.2 (2019): 1497-1502.
Chicago
Hinsch, A., Blessin, N. C., Simon, R., Kluth, M., Fischer, K., Hube‑Magg, C., Li, W., Makrypidi‑Fraune, G., Wellge, B., Mandelkow, T., Debatin, N. F., Höflmayer, D., Lennartz, M., Sauter, G., Izbicki, J. R., Minner, S., Büscheck, F., Uhlig, R., Dum, D., Krech, T., Luebke, A. M., Wittmer, C., Jacobsen, F., Burandt, E., Steurer, S., Wilczak, W."Expression of the immune checkpoint receptor TIGIT in seminoma". Oncology Letters 18, no. 2 (2019): 1497-1502. https://doi.org/10.3892/ol.2019.10428
Copy and paste a formatted citation
x
Spandidos Publications style
Hinsch A, Blessin NC, Simon R, Kluth M, Fischer K, Hube‑Magg C, Li W, Makrypidi‑Fraune G, Wellge B, Mandelkow T, Mandelkow T, et al: Expression of the immune checkpoint receptor TIGIT in seminoma. Oncol Lett 18: 1497-1502, 2019.
APA
Hinsch, A., Blessin, N.C., Simon, R., Kluth, M., Fischer, K., Hube‑Magg, C. ... Wilczak, W. (2019). Expression of the immune checkpoint receptor TIGIT in seminoma. Oncology Letters, 18, 1497-1502. https://doi.org/10.3892/ol.2019.10428
MLA
Hinsch, A., Blessin, N. C., Simon, R., Kluth, M., Fischer, K., Hube‑Magg, C., Li, W., Makrypidi‑Fraune, G., Wellge, B., Mandelkow, T., Debatin, N. F., Höflmayer, D., Lennartz, M., Sauter, G., Izbicki, J. R., Minner, S., Büscheck, F., Uhlig, R., Dum, D., Krech, T., Luebke, A. M., Wittmer, C., Jacobsen, F., Burandt, E., Steurer, S., Wilczak, W."Expression of the immune checkpoint receptor TIGIT in seminoma". Oncology Letters 18.2 (2019): 1497-1502.
Chicago
Hinsch, A., Blessin, N. C., Simon, R., Kluth, M., Fischer, K., Hube‑Magg, C., Li, W., Makrypidi‑Fraune, G., Wellge, B., Mandelkow, T., Debatin, N. F., Höflmayer, D., Lennartz, M., Sauter, G., Izbicki, J. R., Minner, S., Büscheck, F., Uhlig, R., Dum, D., Krech, T., Luebke, A. M., Wittmer, C., Jacobsen, F., Burandt, E., Steurer, S., Wilczak, W."Expression of the immune checkpoint receptor TIGIT in seminoma". Oncology Letters 18, no. 2 (2019): 1497-1502. https://doi.org/10.3892/ol.2019.10428
Follow us
  • Twitter
  • LinkedIn
  • Facebook
About
  • Spandidos Publications
  • Careers
  • Cookie Policy
  • Privacy Policy
How can we help?
  • Help
  • Live Chat
  • Contact
  • Email to our Support Team