Spandidos Publications Logo
  • About
    • About Spandidos
    • Aims and Scopes
    • Abstracting and Indexing
    • Editorial Policies
    • Reprints and Permissions
    • Job Opportunities
    • Terms and Conditions
    • Contact
  • Journals
    • All Journals
    • Oncology Letters
      • Oncology Letters
      • Information for Authors
      • Editorial Policies
      • Editorial Board
      • Aims and Scope
      • Abstracting and Indexing
      • Bibliographic Information
      • Archive
    • International Journal of Oncology
      • International Journal of Oncology
      • Information for Authors
      • Editorial Policies
      • Editorial Board
      • Aims and Scope
      • Abstracting and Indexing
      • Bibliographic Information
      • Archive
    • Molecular and Clinical Oncology
      • Molecular and Clinical Oncology
      • Information for Authors
      • Editorial Policies
      • Editorial Board
      • Aims and Scope
      • Abstracting and Indexing
      • Bibliographic Information
      • Archive
    • Experimental and Therapeutic Medicine
      • Experimental and Therapeutic Medicine
      • Information for Authors
      • Editorial Policies
      • Editorial Board
      • Aims and Scope
      • Abstracting and Indexing
      • Bibliographic Information
      • Archive
    • International Journal of Molecular Medicine
      • International Journal of Molecular Medicine
      • Information for Authors
      • Editorial Policies
      • Editorial Board
      • Aims and Scope
      • Abstracting and Indexing
      • Bibliographic Information
      • Archive
    • Biomedical Reports
      • Biomedical Reports
      • Information for Authors
      • Editorial Policies
      • Editorial Board
      • Aims and Scope
      • Abstracting and Indexing
      • Bibliographic Information
      • Archive
    • Oncology Reports
      • Oncology Reports
      • Information for Authors
      • Editorial Policies
      • Editorial Board
      • Aims and Scope
      • Abstracting and Indexing
      • Bibliographic Information
      • Archive
    • Molecular Medicine Reports
      • Molecular Medicine Reports
      • Information for Authors
      • Editorial Policies
      • Editorial Board
      • Aims and Scope
      • Abstracting and Indexing
      • Bibliographic Information
      • Archive
    • World Academy of Sciences Journal
      • World Academy of Sciences Journal
      • Information for Authors
      • Editorial Policies
      • Editorial Board
      • Aims and Scope
      • Abstracting and Indexing
      • Bibliographic Information
      • Archive
    • International Journal of Functional Nutrition
      • International Journal of Functional Nutrition
      • Information for Authors
      • Editorial Policies
      • Editorial Board
      • Aims and Scope
      • Abstracting and Indexing
      • Bibliographic Information
      • Archive
    • International Journal of Epigenetics
      • International Journal of Epigenetics
      • Information for Authors
      • Editorial Policies
      • Editorial Board
      • Aims and Scope
      • Abstracting and Indexing
      • Bibliographic Information
      • Archive
    • Medicine International
      • Medicine International
      • Information for Authors
      • Editorial Policies
      • Editorial Board
      • Aims and Scope
      • Abstracting and Indexing
      • Bibliographic Information
      • Archive
  • Articles
  • Information
    • Information for Authors
    • Information for Reviewers
    • Information for Librarians
    • Information for Advertisers
    • Conferences
  • Language Editing
Spandidos Publications Logo
  • About
    • About Spandidos
    • Aims and Scopes
    • Abstracting and Indexing
    • Editorial Policies
    • Reprints and Permissions
    • Job Opportunities
    • Terms and Conditions
    • Contact
  • Journals
    • All Journals
    • Biomedical Reports
      • Information for Authors
      • Editorial Policies
      • Editorial Board
      • Aims and Scope
      • Abstracting and Indexing
      • Bibliographic Information
      • Archive
    • Experimental and Therapeutic Medicine
      • Information for Authors
      • Editorial Policies
      • Editorial Board
      • Aims and Scope
      • Abstracting and Indexing
      • Bibliographic Information
      • Archive
    • International Journal of Epigenetics
      • Information for Authors
      • Editorial Policies
      • Editorial Board
      • Aims and Scope
      • Abstracting and Indexing
      • Bibliographic Information
      • Archive
    • International Journal of Functional Nutrition
      • Information for Authors
      • Editorial Policies
      • Editorial Board
      • Aims and Scope
      • Abstracting and Indexing
      • Bibliographic Information
      • Archive
    • International Journal of Molecular Medicine
      • Information for Authors
      • Editorial Policies
      • Editorial Board
      • Aims and Scope
      • Abstracting and Indexing
      • Bibliographic Information
      • Archive
    • International Journal of Oncology
      • Information for Authors
      • Editorial Policies
      • Editorial Board
      • Aims and Scope
      • Abstracting and Indexing
      • Bibliographic Information
      • Archive
    • Medicine International
      • Information for Authors
      • Editorial Policies
      • Editorial Board
      • Aims and Scope
      • Abstracting and Indexing
      • Bibliographic Information
      • Archive
    • Molecular and Clinical Oncology
      • Information for Authors
      • Editorial Policies
      • Editorial Board
      • Aims and Scope
      • Abstracting and Indexing
      • Bibliographic Information
      • Archive
    • Molecular Medicine Reports
      • Information for Authors
      • Editorial Policies
      • Editorial Board
      • Aims and Scope
      • Abstracting and Indexing
      • Bibliographic Information
      • Archive
    • Oncology Letters
      • Information for Authors
      • Editorial Policies
      • Editorial Board
      • Aims and Scope
      • Abstracting and Indexing
      • Bibliographic Information
      • Archive
    • Oncology Reports
      • Information for Authors
      • Editorial Policies
      • Editorial Board
      • Aims and Scope
      • Abstracting and Indexing
      • Bibliographic Information
      • Archive
    • World Academy of Sciences Journal
      • Information for Authors
      • Editorial Policies
      • Editorial Board
      • Aims and Scope
      • Abstracting and Indexing
      • Bibliographic Information
      • Archive
  • Articles
  • Information
    • For Authors
    • For Reviewers
    • For Librarians
    • For Advertisers
    • Conferences
  • Language Editing
Login Register Submit
  • This site uses cookies
  • You can change your cookie settings at any time by following the instructions in our Cookie Policy. To find out more, you may read our Privacy Policy.

    I agree
Search articles by DOI, keyword, author or affiliation
Search
Advanced Search
presentation
Oncology Letters
Join Editorial Board Propose a Special Issue
Print ISSN: 1792-1074 Online ISSN: 1792-1082
Journal Cover
November-2019 Volume 18 Issue 5

Full Size Image

Sign up for eToc alerts
Recommend to Library

Journals

International Journal of Molecular Medicine

International Journal of Molecular Medicine

International Journal of Molecular Medicine is an international journal devoted to molecular mechanisms of human disease.

International Journal of Oncology

International Journal of Oncology

International Journal of Oncology is an international journal devoted to oncology research and cancer treatment.

Molecular Medicine Reports

Molecular Medicine Reports

Covers molecular medicine topics such as pharmacology, pathology, genetics, neuroscience, infectious diseases, molecular cardiology, and molecular surgery.

Oncology Reports

Oncology Reports

Oncology Reports is an international journal devoted to fundamental and applied research in Oncology.

Experimental and Therapeutic Medicine

Experimental and Therapeutic Medicine

Experimental and Therapeutic Medicine is an international journal devoted to laboratory and clinical medicine.

Oncology Letters

Oncology Letters

Oncology Letters is an international journal devoted to Experimental and Clinical Oncology.

Biomedical Reports

Biomedical Reports

Explores a wide range of biological and medical fields, including pharmacology, genetics, microbiology, neuroscience, and molecular cardiology.

Molecular and Clinical Oncology

Molecular and Clinical Oncology

International journal addressing all aspects of oncology research, from tumorigenesis and oncogenes to chemotherapy and metastasis.

World Academy of Sciences Journal

World Academy of Sciences Journal

Multidisciplinary open-access journal spanning biochemistry, genetics, neuroscience, environmental health, and synthetic biology.

International Journal of Functional Nutrition

International Journal of Functional Nutrition

Open-access journal combining biochemistry, pharmacology, immunology, and genetics to advance health through functional nutrition.

International Journal of Epigenetics

International Journal of Epigenetics

Publishes open-access research on using epigenetics to advance understanding and treatment of human disease.

Medicine International

Medicine International

An International Open Access Journal Devoted to General Medicine.

Journal Cover
November-2019 Volume 18 Issue 5

Full Size Image

Sign up for eToc alerts
Recommend to Library

  • Article
  • Citations
    • Cite This Article
    • Download Citation
    • Create Citation Alert
    • Remove Citation Alert
    • Cited By
  • Similar Articles
    • Related Articles (in Spandidos Publications)
    • Similar Articles (Google Scholar)
    • Similar Articles (PubMed)
  • Download PDF
  • Download XML
  • View XML
Article Open Access

Screening and identification of key biomarkers in adrenocortical carcinoma based on bioinformatics analysis

  • Authors:
    • Zengmiao Xing
    • Zuojie Luo
    • Haiyan Yang
    • Zhenxing Huang
    • Xinghuan Liang
  • View Affiliations / Copyright

    Affiliations: Department of Endocrinology, The First Affiliated Hospital of Guangxi Medical University, Nanning, Guangxi 530021, P.R. China
    Copyright: © Xing et al. This is an open access article distributed under the terms of Creative Commons Attribution License.
  • Pages: 4667-4676
    |
    Published online on: September 6, 2019
       https://doi.org/10.3892/ol.2019.10817
  • Expand metrics +
Metrics: Total Views: 0 (Spandidos Publications: | PMC Statistics: )
Metrics: Total PDF Downloads: 0 (Spandidos Publications: | PMC Statistics: )
Cited By (CrossRef): 0 citations Loading Articles...

This article is mentioned in:



Abstract

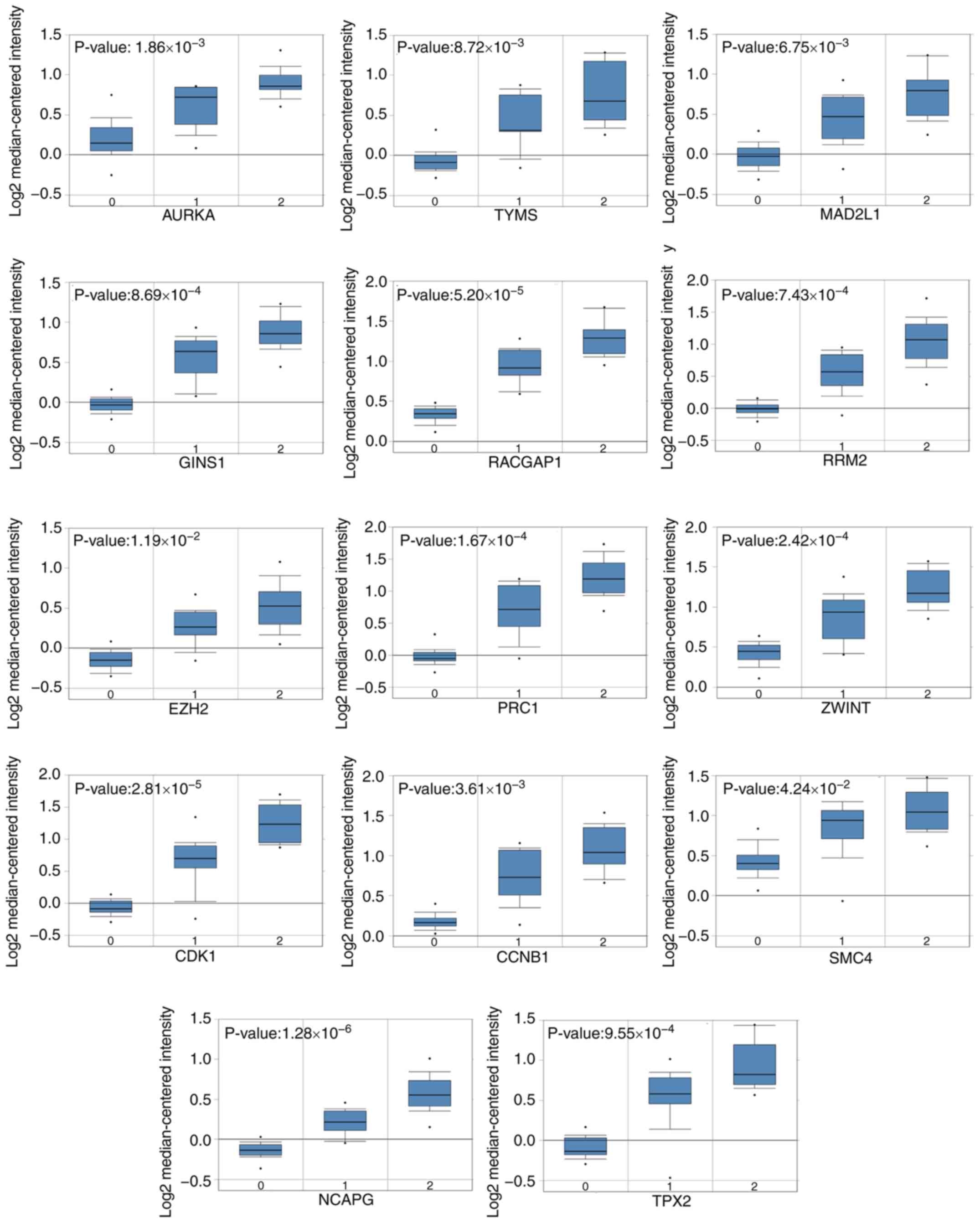
Adrenocortical carcinoma (ACC) is a rare malignancy with a poor prognosis. The presently available understanding of the pathogenesis of ACC is incomplete and the treatment options for patients with ACC are limited. Gene marker identification is required for accurate and timely diagnosis of the disease. In order to identify novel candidate genes associated with the occurrence and progression of ACC, the microarray datasets, GSE12368 and GSE19750, were obtained from Gene Expression Omnibus. Differentially expressed genes (DEGs) were identified, and functional enrichment analysis was performed. A protein‑protein interaction network (PPI) was constructed to identify significantly altered modules, and module analysis was performed using Search Tool for the Retrieval of Interacting Genes and Cytoscape. A total of 228 DEGs were screened, consisting of 29 up and 199 downregulated genes. The enriched functions and pathways of the DEGs primarily included ‘cell division’, ‘regulation of transcription involved in G1/S transition of mitotic cell cycle’, ‘G1/S transition of mitotic cell cycle’, ‘p53 signaling pathway’ and ‘oocyte meiosis’. A total of 14 hub genes were identified, and biological process analysis revealed that these genes were significantly enriched in cell division and mitotic cell cycle. Furthermore, survival analysis revealed that AURKA, TYMS, GINS1, RACGAP1, RRM2, EZH2, ZWINT, CDK1, CCNB1, NCAPG and TPX2 may be involved in the tumorigenesis, progression or prognosis of ACC. In conclusion, the 14 hub genes identified in the present study may aid researchers in elucidating the molecular mechanisms associated with the tumorigenesis and progression of ACC, and may be powerful and promising candidate biomarkers for the diagnosis and treatment of ACC.
View Figures

Figure 1

Figure 2

Figure 3

Figure 4

Figure 5

View References

1 

Kebebew E, Reiff E, Duh QY, Clark OH and McMillan A: Extent of disease at presentation and outcome for adrenocortical carcinoma: Have we made progress? World J Surg. 30:872–878. 2006. View Article : Google Scholar : PubMed/NCBI

2 

Kerkhofs TM, Verhoeven RH, Van der Zwan JM, Dieleman J, Kerstens MN, Links TP, Van de Poll-Franse LV and Haak HR: Adrenocortical carcinoma: A population-based study on incidence and survival in the Netherlands since 1993. Eur J Cancer. 49:2579–2586. 2013. View Article : Google Scholar : PubMed/NCBI

3 

Sharma E and Dahal S, Sharma P, Bhandari A, Gupta V, Amgai B and Dahal S: The characteristics and trends in adrenocortical carcinoma: A united states population based study. J Clin Med Res. 10:636–640. 2018. View Article : Google Scholar : PubMed/NCBI

4 

Bourdeau I, MacKenzie-Feder J and Lacroix A: Recent advances in adrenocortical carcinoma in adults. Curr Opin Endocrinol Diabetes Obes. 20:192–197. 2013. View Article : Google Scholar : PubMed/NCBI

5 

Wandoloski M, Bussey KJ and Demeure MJ: Adrenocortical cancer. Surg Clin North Am. 89:1255–1267. 2009. View Article : Google Scholar : PubMed/NCBI

6 

Else T, Kim AC, Sabolch A, Raymond VM, Kandathil A, Caoili EM, Jolly S, Miller BS, Giordano TJ and Hammer GD: Adrenocortical carcinoma. Endocr Rev. 35:282–326. 2014. View Article : Google Scholar : PubMed/NCBI

7 

Grubbs EG, Callender GG, Xing Y, Perrier ND, Evans DB, Phan AT and Lee JE: Recurrence of adrenal cortical carcinoma following resection: Surgery alone can achieve results equal to surgery plus mitotane. Ann Surg Oncol. 17:263–270. 2010. View Article : Google Scholar : PubMed/NCBI

8 

Postlewait LM, Ethun CG, Tran TB, Prescott JD, Pawlik TM, Wang TS, Glenn J, Hatzaras I, Shenoy R, Phay JE, et al: Outcomes of adjuvant mitotane after resection of adrenocortical carcinoma: A 13-institution study by the us adrenocortical carcinoma group. J Am Coll Surg. 222:480–490. 2016. View Article : Google Scholar : PubMed/NCBI

9 

Stephan EA, Chung TH, Grant CS, Kim S, Von Hoff DD, Trent JM and Demeure MJ: Adrenocortical carcinoma survival rates correlated to genomic copy number variants. Mol Cancer Ther. 7:425–431. 2008. View Article : Google Scholar : PubMed/NCBI

10 

Lam AK: Update on adrenal tumours in 2017 world health organization (WHO) of endocrine tumours. Endocr Pathol. 28:213–227. 2017. View Article : Google Scholar : PubMed/NCBI

11 

Erickson LA: Challenges in surgical pathology of adrenocortical tumours. Histopathology. 72:82–96. 2018. View Article : Google Scholar : PubMed/NCBI

12 

Papotti M, Libè R, Duregon E, Volante M, Bertherat J and Tissier F: The weiss score and beyond-histopathology for adrenocortical carcinoma. Horm Cancer. 2:333–340. 2011. View Article : Google Scholar : PubMed/NCBI

13 

Giordano TJ, Kuick R, Else T, Gauger PG, Vinco M, Bauersfeld J, Sanders D, Thomas DG, Doherty G and Hammer G: Molecular classification and prognostication of adrenocortical tumors by transcriptome profiling. Clin Cancer Res. 15:668–676. 2009. View Article : Google Scholar : PubMed/NCBI

14 

Kulshrestha A and Suman S: Common module analysis reveals prospective targets and mechanisms of pediatric adrenocortical adenoma and carcinoma. Oncol Lett. 15:3267–3272. 2018.PubMed/NCBI

15 

Yuan L, Qian G, Chen L, Wu CL, Dan HC, Xiao Y and Wang X: Co-expression network analysis of biomarkers for adrenocortical carcinoma. Front Genet. 9:3282018. View Article : Google Scholar : PubMed/NCBI

16 

Kulshrestha A, Suman S and Ranjan R: Network analysis reveals potential markers for pediatric adrenocortical carcinoma. OncoTargets Ther. 9:4569–4581. 2016. View Article : Google Scholar

17 

Duregon E, Rapa I, Votta A, Giorcelli J, Daffara F, Terzolo M, Scagliotti GV, Volante M and Papotti M: MicroRNA expression patterns in adrenocortical carcinoma variants and clinical pathologic correlations. Hum Pathol. 45:1555–1562. 2014. View Article : Google Scholar : PubMed/NCBI

18 

Soon PS, Gill AJ, Benn DE, Clarkson A, Robinson BG, McDonald KL and Sidhu SB: Microarray gene expression and immunohistochemistry analyses of adrenocortical tumors identify IGF2 and Ki-67 as useful in differentiating carcinomas from adenomas. Endocr Relat Cancer. 16:573–583. 2009. View Article : Google Scholar : PubMed/NCBI

19 

Demeure MJ, Coan KE, Grant CS, Komorowski RA, Stephan E, Sinari S, Mount D and Bussey KJ: PTTG1 overexpression in adrenocortical cancer is associated with poor survival and represents a potential therapeutic target. Surgery. 154:1405–1416. 2013. View Article : Google Scholar : PubMed/NCBI

20 

Clough E and Barrett T: The gene expression omnibus database. Methods Mol Biol. 1418:93–110. 2016. View Article : Google Scholar : PubMed/NCBI

21 

Barrett T, Wilhite SE, Ledoux P, Evangelista C, Kim IF, Tomashevsky M, Marshall KA, Phillippy KH, Sherman PM, Holko M, et al: NCBI GEO: Archive for functional genomics data sets-update. Nucleic Acids Res 41 (Database Issue). D991–D995. 2013.

22 

Li L, Lei Q, Zhang S, Kong L and Qin B: Screening and identification of key biomarkers in hepatocellular carcinoma: Evidence from bioinformatic analysis. Oncol Rep. 38:2607–2618. 2017. View Article : Google Scholar : PubMed/NCBI

23 

Huang DW, Sherman BT, Tan Q, Collins JR, Alvord WG, Roayaei J, Stephens R, Baseler MW, Lane HC and Lempicki RA: The DAVID gene functional classification tool: A novel biological module-centric algorithm to functionally analyze large gene lists. Genome Biol. 8:R1832007. View Article : Google Scholar : PubMed/NCBI

24 

Kanehisa M: The KEGG database. Novartis Found Symp. 247:91–103, 119-128, 244–252. 2002. View Article : Google Scholar : PubMed/NCBI

25 

Ashburner M, Ball CA, Blake JA, Botstein D, Butler H, Cherry JM, Davis AP, Dolinski K, Dwight SS, Eppig JT, et al: Gene ontology: Tool for the unification of biology. The gene ontology consortium. Nat Genet. 25:25–29. 2000. View Article : Google Scholar : PubMed/NCBI

26 

Szklarczyk D, Franceschini A, Wyder S, Forslund K, Heller D, Huerta-Cepas J, Simonovic M, Roth A, Santos A, Tsafou KP, et al: STRING v10: Protein-protein interaction networks, integrated over the tree of life. Nucleic Acids Res. 43:D447–D452. 2015. View Article : Google Scholar : PubMed/NCBI

27 

Alshabi AM, Vastrad B, Shaikh IA and Vastrad C: Identification of important invasion and proliferation related genes in adrenocortical carcinoma. Med Oncol. 36:732019. View Article : Google Scholar : PubMed/NCBI

28 

Xia WX, Yu Q, Li GH, Liu YW, Xiao FH, Yang LQ, Rahman ZU, Wang HT and Kong QP: Identification of four hub genes associated with adrenocortical carcinoma progression by WGCNA. PEERJ. 7:e65552019. View Article : Google Scholar : PubMed/NCBI

29 

Smoot ME, Ono K, Ruscheinski J, Wang PL and Ideker T: Cytoscape 2.8: New features for data integration and network visualization. Bioinformatics. 27:431–432. 2011. View Article : Google Scholar : PubMed/NCBI

30 

Bandettini WP, Kellman P, Mancini C, Booker OJ, Vasu S, Leung SW, Wilson JR, Shanbhag SM, Chen MY and Arai AE: Multicontrast delayed enhancement (MCODE) improves detection of subendocardial myocardial infarction by late gadolinium enhancement cardiovascular magnetic resonance: A clinical validation study. J Cardiovasc Magn Reson. 14:832012. View Article : Google Scholar : PubMed/NCBI

31 

Gao J, Aksoy BA, Dogrusoz U, Dresdner G, Gross B, Sumer SO, Sun Y, Jacobsen A, Sinha R, Larsson E, et al: Integrative analysis of complex cancer genomics and clinical profiles using the cBioPortal. Sci Signal. 6:pl12013. View Article : Google Scholar : PubMed/NCBI

32 

Zhang AM, Song H, Shen YH and Liu Y: Construction of a gene-gene interaction network with a combined score across multiple approaches. Genet Mol Res. 14:7018–7030. 2015. View Article : Google Scholar : PubMed/NCBI

33 

Goldman M, Craft B, Swatloski T, Cline M, Morozova O, Diekhans M, Haussler D and Zhu J: The UCSC cancer genomics browser: Update 2015. Nucleic Acids Res. 43:D812–D817. 2015. View Article : Google Scholar : PubMed/NCBI

34 

Giordano TJ, Thomas DG, Kuick R, Lizyness M, Misek DE, Smith AL, Sanders D, Aljundi RT, Gauger PG, Thompson NW, et al: Distinct transcriptional profiles of adrenocortical tumors uncovered by DNA microarray analysis. Am J Pathol. 162:521–531. 2003. View Article : Google Scholar : PubMed/NCBI

35 

Altieri B, Colao A and Faggiano A: The role of insulin-like growth factor system in the adrenocortical tumors. Minerva Endocrinol. 44:43–57. 2019.PubMed/NCBI

36 

Gaujoux S, Grabar S, Fassnacht M, Ragazzon B, Launay P, Libé R, Chokri I, Audebourg A, Royer B, Sbiera S, et al: β-catenin activation is associated with specific clinical and pathologic characteristics and a poor outcome in adrenocortical carcinoma. Clin Cancer Res. 17:328–336. 2011. View Article : Google Scholar : PubMed/NCBI

37 

Dworakowska D, Drabarek A, Wenzel I, Babińska A, Świątkowska-Stodulska R and Sworczak K: Adrenocortical cancer (ACC)-literature overview and own experience. Endokrynol Pol. 65:492–502. 2014.PubMed/NCBI

38 

Varghese J and Habra MA: Update on adrenocortical carcinoma management and future directions. Curr Opin Endocrinol Diabetes Obes. 24:208–214. 2017. View Article : Google Scholar : PubMed/NCBI

39 

Borges KS, Moreno DA, Martinelli CE Jr, Antonini SR, de Castro M, Tucci S Jr, Neder L, Ramalho LN, Seidinger AL, Cardinalli I, et al: Spindle assembly checkpoint gene expression in childhood adrenocortical tumors (ACT): Overexpression of aurora kinases A and B is associated with a poor prognosis. Pediatr Blood Cancer. 60:1809–1816. 2013. View Article : Google Scholar : PubMed/NCBI

40 

Damodaran AP, Vaufrey L, Gavard O and Prigent C: Aurora a kinase is a priority pharmaceutical target for the treatment of cancers. Trends Pharmacol Sci. 38:687–700. 2017. View Article : Google Scholar : PubMed/NCBI

41 

Ye C, Wang J, Wu P, Li X and Chai Y: Prognostic role of cyclin B1 in solid tumors: A meta-analysis. Oncotarget. 8:2224–2232. 2017.PubMed/NCBI

42 

Terrano DT, Upreti M and Chambers TC: Cyclin-dependent kinase 1-mediated Bcl-xL/Bcl-2 phosphorylation acts as a functional link coupling mitotic arrest and apoptosis. Mol Cell Biol. 30:640–656. 2010. View Article : Google Scholar : PubMed/NCBI

43 

Glover AR, Zhao JT, Gill AJ, Weiss J, Mugridge N, Kim E, Feeney AL, Ip JC, Reid G, Clarke S, et al: MicroRNA-7 as a tumor suppressor and novel therapeutic for adrenocortical carcinoma. Oncotarget. 6:36675–36688. 2015. View Article : Google Scholar : PubMed/NCBI

44 

Nilubol N, Boufraqech M, Zhang L, Gaskins K, Shen M, Zhang YQ, Gara SK, Austin CP and Kebebew E: Synergistic combination of flavopiridol and carfilzomib targets commonly dysregulated pathways in adrenocortical carcinoma and has biomarkers of response. Oncotarget. 9:33030–33042. 2018. View Article : Google Scholar : PubMed/NCBI

45 

Ip JC, Pang TC, Glover AR, Soon P, Zhao JT, Clarke S, Robinson BG, Gill AJ and Sidhu SB: Immunohistochemical validation of overexpressed genes identified by global expression microarrays in adrenocortical carcinoma reveals potential predictive and prognostic biomarkers. Oncologist. 20:247–256. 2015. View Article : Google Scholar : PubMed/NCBI

46 

Drelon C, Berthon A, Mathieu M, Ragazzon B, Kuick R, Tabbal H, Septier A, Rodriguez S, Batisse-Lignier M, Sahut-Barnola I, et al: EZH2 is overexpressed in adrenocortical carcinoma and is associated with disease progression. Hum Mol Genet. 25:2789–2800. 2016.PubMed/NCBI

47 

Kotoula V, Krikelis D, Karavasilis V, Koletsa T, Eleftheraki AG, Televantou D, Christodoulou C, Dimoudis S, Korantzis I, Pectasides D, et al: Expression of DNA repair and replication genes in non-small cell lung cancer (NSCLC): A role for thymidylate synthetase (TYMS). BMC Cancer. 12:3422012. View Article : Google Scholar : PubMed/NCBI

48 

Formentini A, Henne-Bruns D and Kornmann M: Thymidylate synthase expression and prognosis of patients with gastrointestinal cancers receiving adjuvant chemotherapy: A review. Langenbecks Arch Surg. 389:405–413. 2004. View Article : Google Scholar : PubMed/NCBI

49 

Popat S, Matakidou A and Houlston RS: Thymidylate synthase expression and prognosis in colorectal cancer: A systematic review and meta-analysis. J Clin Oncol. 22:529–536. 2004. View Article : Google Scholar : PubMed/NCBI

50 

Yang YC, Wu GC, Jin L, Wang KL, Bai ZG, Wang J and Zhang ZT: Association of thymidylate synthase polymorphisms with the tumor response to preoperative chemoradiotherapy in rectal cancer: A systematic review and meta-analysis. Pharmacogenomics J. 17:265–273. 2017. View Article : Google Scholar : PubMed/NCBI

51 

Mizutani Y, Wada H, Yoshida O, Fukushima M, Nonomura M, Nakao M and Miki T: Significance of thymidylate synthase activity in renal cell carcinoma. Clin Cancer Res. 9:1453–1460. 2003.PubMed/NCBI

52 

Burdelski C, Strauss C, Tsourlakis MC, Kluth M, Hube-Magg C, Melling N, Lebok P, Minner S, Koop C, Graefen M, et al: Overexpression of thymidylate synthase (TYMS) is associated with aggressive tumor features and early PSA recurrence in prostate cancer. Oncotarget. 6:8377–8387. 2015. View Article : Google Scholar : PubMed/NCBI

53 

Grolmusz VK, Karászi K, Micsik T, Tóth EA, Mészáros K, Karvaly G, Barna G, Szabó PM, Baghy K, Matkó J, et al: Cell cycle dependent RRM2 may serve as proliferation marker and pharmaceutical target in adrenocortical cancer. Am J Cancer Res. 6:2041–2053. 2016.PubMed/NCBI

54 

Wang N, Zhan T, Ke T, Huang X, Ke D, Wang Q and Li H: Increased expression of RRM2 by human papillomavirus E7 oncoprotein promotes angiogenesis in cervical cancer. Br J Cancer. 110:1034–1044. 2014. View Article : Google Scholar : PubMed/NCBI

55 

Ying H, Xu Z, Chen M, Zhou S, Liang X and Cai X: Overexpression of Zwint predicts poor prognosis and promotes the proliferation of hepatocellular carcinoma by regulating cell-cycle-related proteins. Onco Targets Ther. 11:689–702. 2018. View Article : Google Scholar : PubMed/NCBI

56 

Woo Seo D, Yeop You S, Chung WJ, Cho DH, Kim JS and Su Oh J: Zwint-1 is required for spindle assembly checkpoint function and kinetochore-microtubule attachment during oocyte meiosis. Sci Rep. 5:154312015. View Article : Google Scholar : PubMed/NCBI

57 

Cottineau J, Kottemann MC, Lach FP, Kang YH, Vély F, Deenick EK, Lazarov T, Gineau L, Wang Y, Farina A, et al: Inherited GINS1 deficiency underlies growth retardation along with neutropenia and NK cell deficiency. J Clin Invest. 127:1991–2006. 2017. View Article : Google Scholar : PubMed/NCBI

58 

Nakahara I, Miyamoto M, Shibata T, Akashi-Tanaka S, Kinoshita T, Mogushi K, Oda K, Ueno M, Takakura N, Mizushima H, et al: Up-regulation of PSF1 promotes the growth of breast cancer cells. Genes Cells. 15:1015–1024. 2010. View Article : Google Scholar : PubMed/NCBI

59 

Tahara H, Naito H, Kise K, Wakabayashi T, Kamoi K, Okihara K, Yanagisawa A, Nakai Y, Nonomura N, Morii E, et al: Evaluation of PSF1 as a prognostic biomarker for prostate cancer. Prostate Cancer Prostatic Dis. 18:56–62. 2015. View Article : Google Scholar : PubMed/NCBI

60 

Zhang J, Wu Q, Wang Z, Zhang Y, Zhang G, Fu J and Liu C: Knockdown of PSF1 expression inhibits cell proliferation in lung cancer cells in vitro. Tumour Biol. 36:2163–2168. 2015. View Article : Google Scholar : PubMed/NCBI

61 

Zhou L, Sun XJ, Liu C, Wu QF, Tai MH, Wei JC, Lei L, Meng FD, Qu K and Xu J: Overexpression of PSF1 is correlated with poor prognosis in hepatocellular carcinoma patients. Int J Biol Markers. 30:e56–e64. 2015. View Article : Google Scholar : PubMed/NCBI

62 

Zhou B, Yuan T, Liu M, Liu H, Xie J, Shen Y and Chen P: Overexpression of the structural maintenance of chromosome 4 protein is associated with tumor de-differentiation, advanced stage and vascular invasion of primary liver cancer. Oncol Rep. 28:1263–1268. 2012. View Article : Google Scholar : PubMed/NCBI

63 

Feng XD, Song Q, Li CW, Chen J, Tang HM, Peng ZH and Wang XC: Structural maintenance of chromosomes 4 is a predictor of survival and a novel therapeutic target in colorectal cancer. Asian Pac J Cancer Prev. 15:9459–9465. 2014. View Article : Google Scholar : PubMed/NCBI

64 

Liu W, Liang B, Liu H, Huang Y, Yin X, Zhou F, Yu X, Feng Q, Li E, Zou Z and Wu L: Overexpression of non-SMC condensin I complex subunit G serves as a promising prognostic marker and therapeutic target for hepatocellular carcinoma. Int J Mol Med. 40:731–738. 2017. View Article : Google Scholar : PubMed/NCBI

Related Articles

  • Abstract
  • View
  • Download
  • Twitter
Copy and paste a formatted citation
Spandidos Publications style
Xing Z, Luo Z, Yang H, Huang Z and Liang X: Screening and identification of key biomarkers in adrenocortical carcinoma based on bioinformatics analysis. Oncol Lett 18: 4667-4676, 2019.
APA
Xing, Z., Luo, Z., Yang, H., Huang, Z., & Liang, X. (2019). Screening and identification of key biomarkers in adrenocortical carcinoma based on bioinformatics analysis. Oncology Letters, 18, 4667-4676. https://doi.org/10.3892/ol.2019.10817
MLA
Xing, Z., Luo, Z., Yang, H., Huang, Z., Liang, X."Screening and identification of key biomarkers in adrenocortical carcinoma based on bioinformatics analysis". Oncology Letters 18.5 (2019): 4667-4676.
Chicago
Xing, Z., Luo, Z., Yang, H., Huang, Z., Liang, X."Screening and identification of key biomarkers in adrenocortical carcinoma based on bioinformatics analysis". Oncology Letters 18, no. 5 (2019): 4667-4676. https://doi.org/10.3892/ol.2019.10817
Copy and paste a formatted citation
x
Spandidos Publications style
Xing Z, Luo Z, Yang H, Huang Z and Liang X: Screening and identification of key biomarkers in adrenocortical carcinoma based on bioinformatics analysis. Oncol Lett 18: 4667-4676, 2019.
APA
Xing, Z., Luo, Z., Yang, H., Huang, Z., & Liang, X. (2019). Screening and identification of key biomarkers in adrenocortical carcinoma based on bioinformatics analysis. Oncology Letters, 18, 4667-4676. https://doi.org/10.3892/ol.2019.10817
MLA
Xing, Z., Luo, Z., Yang, H., Huang, Z., Liang, X."Screening and identification of key biomarkers in adrenocortical carcinoma based on bioinformatics analysis". Oncology Letters 18.5 (2019): 4667-4676.
Chicago
Xing, Z., Luo, Z., Yang, H., Huang, Z., Liang, X."Screening and identification of key biomarkers in adrenocortical carcinoma based on bioinformatics analysis". Oncology Letters 18, no. 5 (2019): 4667-4676. https://doi.org/10.3892/ol.2019.10817
Follow us
  • Twitter
  • LinkedIn
  • Facebook
About
  • Spandidos Publications
  • Careers
  • Cookie Policy
  • Privacy Policy
How can we help?
  • Help
  • Live Chat
  • Contact
  • Email to our Support Team