Spandidos Publications Logo
  • About
    • About Spandidos
    • Aims and Scopes
    • Abstracting and Indexing
    • Editorial Policies
    • Reprints and Permissions
    • Job Opportunities
    • Terms and Conditions
    • Contact
  • Journals
    • All Journals
    • Oncology Letters
      • Oncology Letters
      • Information for Authors
      • Editorial Policies
      • Editorial Board
      • Aims and Scope
      • Abstracting and Indexing
      • Bibliographic Information
      • Archive
    • International Journal of Oncology
      • International Journal of Oncology
      • Information for Authors
      • Editorial Policies
      • Editorial Board
      • Aims and Scope
      • Abstracting and Indexing
      • Bibliographic Information
      • Archive
    • Molecular and Clinical Oncology
      • Molecular and Clinical Oncology
      • Information for Authors
      • Editorial Policies
      • Editorial Board
      • Aims and Scope
      • Abstracting and Indexing
      • Bibliographic Information
      • Archive
    • Experimental and Therapeutic Medicine
      • Experimental and Therapeutic Medicine
      • Information for Authors
      • Editorial Policies
      • Editorial Board
      • Aims and Scope
      • Abstracting and Indexing
      • Bibliographic Information
      • Archive
    • International Journal of Molecular Medicine
      • International Journal of Molecular Medicine
      • Information for Authors
      • Editorial Policies
      • Editorial Board
      • Aims and Scope
      • Abstracting and Indexing
      • Bibliographic Information
      • Archive
    • Biomedical Reports
      • Biomedical Reports
      • Information for Authors
      • Editorial Policies
      • Editorial Board
      • Aims and Scope
      • Abstracting and Indexing
      • Bibliographic Information
      • Archive
    • Oncology Reports
      • Oncology Reports
      • Information for Authors
      • Editorial Policies
      • Editorial Board
      • Aims and Scope
      • Abstracting and Indexing
      • Bibliographic Information
      • Archive
    • Molecular Medicine Reports
      • Molecular Medicine Reports
      • Information for Authors
      • Editorial Policies
      • Editorial Board
      • Aims and Scope
      • Abstracting and Indexing
      • Bibliographic Information
      • Archive
    • World Academy of Sciences Journal
      • World Academy of Sciences Journal
      • Information for Authors
      • Editorial Policies
      • Editorial Board
      • Aims and Scope
      • Abstracting and Indexing
      • Bibliographic Information
      • Archive
    • International Journal of Functional Nutrition
      • International Journal of Functional Nutrition
      • Information for Authors
      • Editorial Policies
      • Editorial Board
      • Aims and Scope
      • Abstracting and Indexing
      • Bibliographic Information
      • Archive
    • International Journal of Epigenetics
      • International Journal of Epigenetics
      • Information for Authors
      • Editorial Policies
      • Editorial Board
      • Aims and Scope
      • Abstracting and Indexing
      • Bibliographic Information
      • Archive
    • Medicine International
      • Medicine International
      • Information for Authors
      • Editorial Policies
      • Editorial Board
      • Aims and Scope
      • Abstracting and Indexing
      • Bibliographic Information
      • Archive
  • Articles
  • Information
    • Information for Authors
    • Information for Reviewers
    • Information for Librarians
    • Information for Advertisers
    • Conferences
  • Language Editing
Spandidos Publications Logo
  • About
    • About Spandidos
    • Aims and Scopes
    • Abstracting and Indexing
    • Editorial Policies
    • Reprints and Permissions
    • Job Opportunities
    • Terms and Conditions
    • Contact
  • Journals
    • All Journals
    • Biomedical Reports
      • Information for Authors
      • Editorial Policies
      • Editorial Board
      • Aims and Scope
      • Abstracting and Indexing
      • Bibliographic Information
      • Archive
    • Experimental and Therapeutic Medicine
      • Information for Authors
      • Editorial Policies
      • Editorial Board
      • Aims and Scope
      • Abstracting and Indexing
      • Bibliographic Information
      • Archive
    • International Journal of Epigenetics
      • Information for Authors
      • Editorial Policies
      • Editorial Board
      • Aims and Scope
      • Abstracting and Indexing
      • Bibliographic Information
      • Archive
    • International Journal of Functional Nutrition
      • Information for Authors
      • Editorial Policies
      • Editorial Board
      • Aims and Scope
      • Abstracting and Indexing
      • Bibliographic Information
      • Archive
    • International Journal of Molecular Medicine
      • Information for Authors
      • Editorial Policies
      • Editorial Board
      • Aims and Scope
      • Abstracting and Indexing
      • Bibliographic Information
      • Archive
    • International Journal of Oncology
      • Information for Authors
      • Editorial Policies
      • Editorial Board
      • Aims and Scope
      • Abstracting and Indexing
      • Bibliographic Information
      • Archive
    • Medicine International
      • Information for Authors
      • Editorial Policies
      • Editorial Board
      • Aims and Scope
      • Abstracting and Indexing
      • Bibliographic Information
      • Archive
    • Molecular and Clinical Oncology
      • Information for Authors
      • Editorial Policies
      • Editorial Board
      • Aims and Scope
      • Abstracting and Indexing
      • Bibliographic Information
      • Archive
    • Molecular Medicine Reports
      • Information for Authors
      • Editorial Policies
      • Editorial Board
      • Aims and Scope
      • Abstracting and Indexing
      • Bibliographic Information
      • Archive
    • Oncology Letters
      • Information for Authors
      • Editorial Policies
      • Editorial Board
      • Aims and Scope
      • Abstracting and Indexing
      • Bibliographic Information
      • Archive
    • Oncology Reports
      • Information for Authors
      • Editorial Policies
      • Editorial Board
      • Aims and Scope
      • Abstracting and Indexing
      • Bibliographic Information
      • Archive
    • World Academy of Sciences Journal
      • Information for Authors
      • Editorial Policies
      • Editorial Board
      • Aims and Scope
      • Abstracting and Indexing
      • Bibliographic Information
      • Archive
  • Articles
  • Information
    • For Authors
    • For Reviewers
    • For Librarians
    • For Advertisers
    • Conferences
  • Language Editing
Login Register Submit
  • This site uses cookies
  • You can change your cookie settings at any time by following the instructions in our Cookie Policy. To find out more, you may read our Privacy Policy.

    I agree
Search articles by DOI, keyword, author or affiliation
Search
Advanced Search
presentation
Oncology Letters
Join Editorial Board Propose a Special Issue
Print ISSN: 1792-1074 Online ISSN: 1792-1082
Journal Cover
January-2020 Volume 19 Issue 1

Full Size Image

Sign up for eToc alerts
Recommend to Library

Journals

International Journal of Molecular Medicine

International Journal of Molecular Medicine

International Journal of Molecular Medicine is an international journal devoted to molecular mechanisms of human disease.

International Journal of Oncology

International Journal of Oncology

International Journal of Oncology is an international journal devoted to oncology research and cancer treatment.

Molecular Medicine Reports

Molecular Medicine Reports

Covers molecular medicine topics such as pharmacology, pathology, genetics, neuroscience, infectious diseases, molecular cardiology, and molecular surgery.

Oncology Reports

Oncology Reports

Oncology Reports is an international journal devoted to fundamental and applied research in Oncology.

Experimental and Therapeutic Medicine

Experimental and Therapeutic Medicine

Experimental and Therapeutic Medicine is an international journal devoted to laboratory and clinical medicine.

Oncology Letters

Oncology Letters

Oncology Letters is an international journal devoted to Experimental and Clinical Oncology.

Biomedical Reports

Biomedical Reports

Explores a wide range of biological and medical fields, including pharmacology, genetics, microbiology, neuroscience, and molecular cardiology.

Molecular and Clinical Oncology

Molecular and Clinical Oncology

International journal addressing all aspects of oncology research, from tumorigenesis and oncogenes to chemotherapy and metastasis.

World Academy of Sciences Journal

World Academy of Sciences Journal

Multidisciplinary open-access journal spanning biochemistry, genetics, neuroscience, environmental health, and synthetic biology.

International Journal of Functional Nutrition

International Journal of Functional Nutrition

Open-access journal combining biochemistry, pharmacology, immunology, and genetics to advance health through functional nutrition.

International Journal of Epigenetics

International Journal of Epigenetics

Publishes open-access research on using epigenetics to advance understanding and treatment of human disease.

Medicine International

Medicine International

An International Open Access Journal Devoted to General Medicine.

Journal Cover
January-2020 Volume 19 Issue 1

Full Size Image

Sign up for eToc alerts
Recommend to Library

  • Article
  • Citations
    • Cite This Article
    • Download Citation
    • Create Citation Alert
    • Remove Citation Alert
    • Cited By
  • Similar Articles
    • Related Articles (in Spandidos Publications)
    • Similar Articles (Google Scholar)
    • Similar Articles (PubMed)
  • Download PDF
  • Download XML
  • View XML
Article Open Access

High expression of fibronectin 1 indicates poor prognosis in gastric cancer

  • Authors:
    • Yang Sun
    • Chunlin Zhao
    • Yanwei Ye
    • Zhen Wang
    • Yuanhang He
    • Yulin Li
    • Haoxun Mao
  • View Affiliations / Copyright

    Affiliations: Department of Gastrointestinal Surgery, The First Affiliated Hospital of Zhengzhou University, Zhengzhou, Henan 450052, P.R. China
    Copyright: © Sun et al. This is an open access article distributed under the terms of Creative Commons Attribution License.
  • Pages: 93-102
    |
    Published online on: November 13, 2019
       https://doi.org/10.3892/ol.2019.11088
  • Expand metrics +
Metrics: Total Views: 0 (Spandidos Publications: | PMC Statistics: )
Metrics: Total PDF Downloads: 0 (Spandidos Publications: | PMC Statistics: )
Cited By (CrossRef): 0 citations Loading Articles...

This article is mentioned in:



Abstract

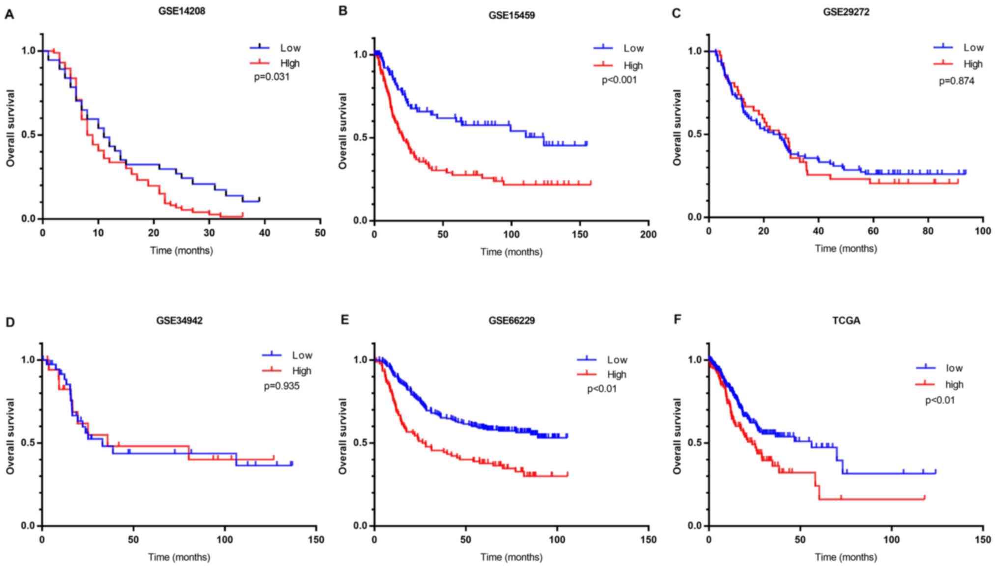
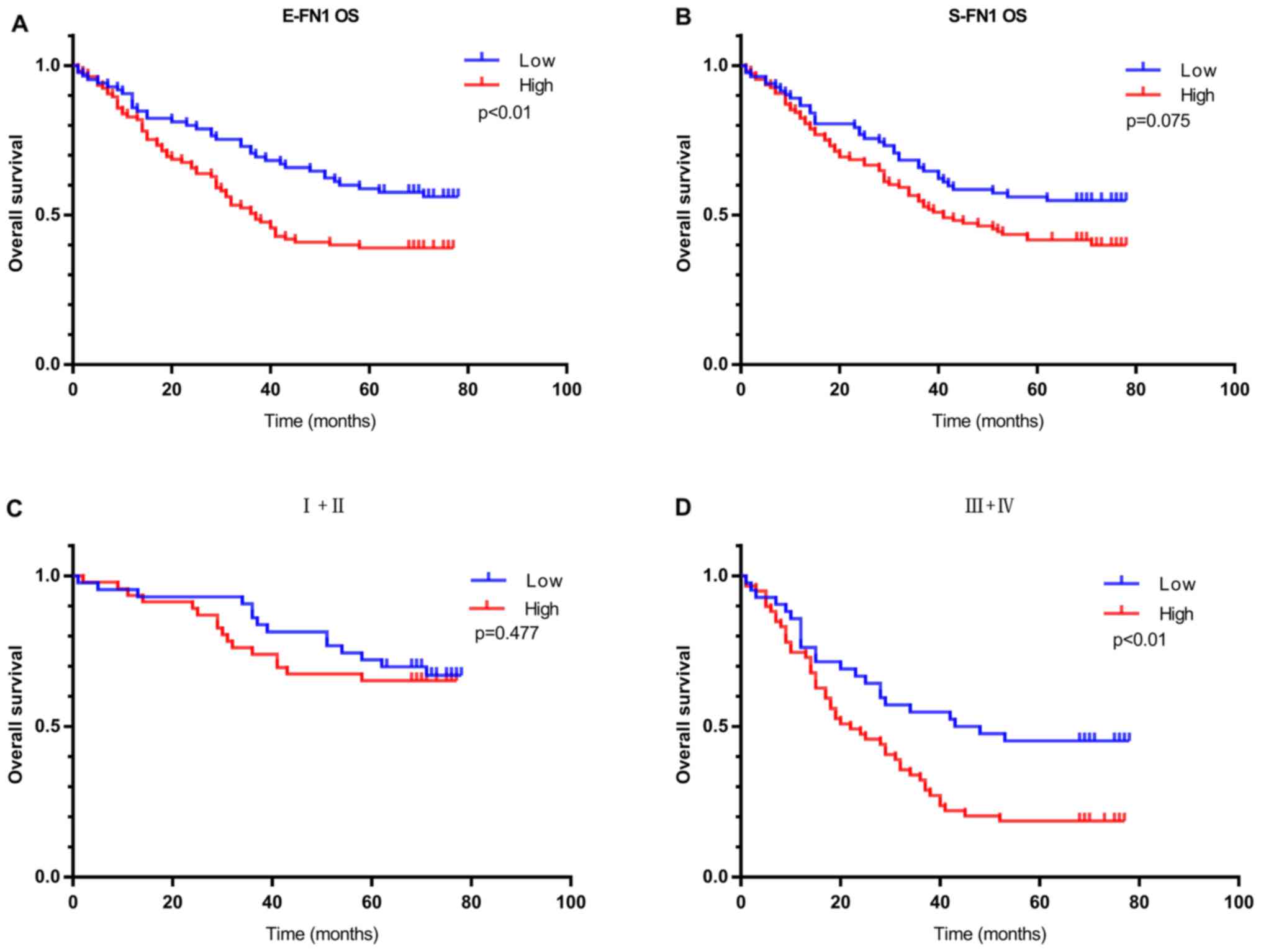
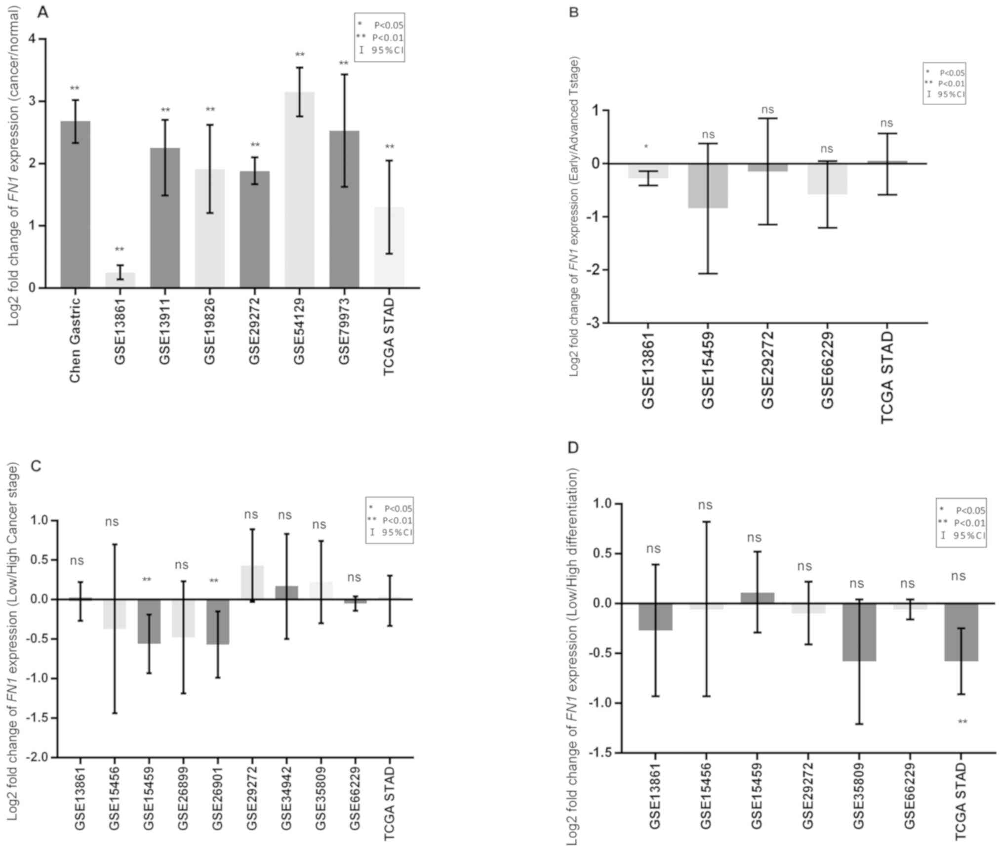
Fibronectin 1 (FN1) is involved in the occurrence and development of various tumors and is upregulated in multiple cancer types. FN1 has been demonstrated to promote cell proliferation and migration in gastric cancer cell lines. However, the relationship between the expression of FN1 and clinicopathological factors and prognosis is not clear in gastric cancer (GC). The aim of the present study was to investigate the association between FN1 expression and clinicopathology and prognosis of gastric cancer. In this study, 17 publicly available GC cohorts (n=2,376) with gene expression data from the Gene Expression Omnibus (GEO), The Cancer Genome Atlas (TCGA) and Oncomine databases were tested. In addition, FN1 protein expression was validated by immunohistochemistry in a separate cohort (n=190). The meta‑analysis results demonstrated an increase in FN1 expression at the protein and mRNA level in GC tissues, and the FN1 gene was highly expressed at the mRNA level in the advanced T stage (T2 + T3 + T4) group compared with that in the early T stage (T1) group. In addition, the expression of epithelial FN1 at the protein level was positively correlated with tumor size. FN1 expression at the protein and mRNA level was a predictor of poor prognosis following radical resection of GC. In conclusion, the expression of FN1 in GC tissues is upregulated compared with adjacent normal tissues, and it is a potential biomarker of poor prognosis in patients with GC.
View Figures

Figure 1

Figure 2

Figure 3

Figure 4

Figure 5

View References

1 

Bray F, Ferlay J, Soerjomataram I, Siegel RL, Torre LA and Jemal A: Global cancer statistics 2018: GLOBOCAN estimates of incidence and mortality worldwide for 36 cancers in 185 countries. CA Cancer J Clin. 68:394–424. 2018. View Article : Google Scholar : PubMed/NCBI

2 

Chen W, Zheng R, Baade PD, Zhang S, Zeng H, Bray F, Jemal A, Yu XQ and He J: Cancer statistics in China, 2015. CA Cancer J Clin. 66:115–132. 2016. View Article : Google Scholar : PubMed/NCBI

3 

Katai H, Ishikawa T, Akazawa K, Isobe Y, Miyashiro I, Oda I, Tsujitani S, Ono H, Tanabe S, Fukagawa T, et al: Five-year survival analysis of surgically resected gastric cancer cases in Japan: A retrospective analysis of more than 100,000 patients from the nationwide registry of the Japanese gastric cancer association (2001–2007). Gastric Cancer. 21:144–154. 2018. View Article : Google Scholar : PubMed/NCBI

4 

Peng PL, Zhou XY, Yi GD, Chen PF, Wang F and Dong WG: Identification of a novel gene pairs signature in the prognosis of gastric cancer. Cancer Med. 7:344–350. 2018. View Article : Google Scholar : PubMed/NCBI

5 

Pankov R and Yamada KM: Fibronectin at a glance. J Cell Sci. 115:3861–3863. 2002. View Article : Google Scholar : PubMed/NCBI

6 

Plow EF, Haas TA, Zhang L, Loftus J and Smith JW: Ligand binding to integrins. J Biol Chem. 275:21785–21788. 2000. View Article : Google Scholar : PubMed/NCBI

7 

Korah R, Boots M and Wieder R: Integrin alpha5beta1 promotes survival of growth-arrested breast cancer cells: An in vitro paradigm for breast cancer dormancy in bone marrow. Cancer Res. 64:4514–4522. 2004. View Article : Google Scholar : PubMed/NCBI

8 

Xiao J, Yang W, Xu B, Zhu H, Zou J, Su C, Rong J, Wang T and Chen Z: Expression of fibronectin in esophageal squamous cell carcinoma and its role in migration. BMC Cancer. 18:9762018. View Article : Google Scholar : PubMed/NCBI

9 

Cai X, Liu C, Zhang TN, Zhu YW, Dong X and Xue P: Down-regulation of FN1 inhibits colorectal carcinogenesis by suppressing proliferation, migration, and invasion. J Cell Biochem. 119:4717–4728. 2018. View Article : Google Scholar : PubMed/NCBI

10 

Nakagawa Y, Nakayama H, Nagata M, Yoshida R, Kawahara K, Hirosue A, Tanaka T, Yuno A, Matsuoka Y, Kojima T, et al: Overexpression of fibronectin confers cell adhesion-mediated drug resistance (CAM-DR) against 5-FU in oral squamous cell carcinoma cells. Int J Oncol. 44:1376–1384. 2014. View Article : Google Scholar : PubMed/NCBI

11 

Wang J, Deng L, Huang J, Cai R, Zhu X, Liu F, Wang Q, Zhang J and Zheng Y: High expression of fibronectin 1 suppresses apoptosis through the NF-κB pathway and is associated with migration in nasopharyngeal carcinoma. Am J Transl Res. 9:4502–4511. 2017.PubMed/NCBI

12 

Lou X, Han X, Jin C, Tian W, Yu W, Ding D, Cheng L, Huang B, Jiang H and Lin B: SOX2 targets fibronectin 1 to promote cell migration and invasion in ovarian cancer: New molecular leads for therapeutic intervention. OMICS. 17:510–518. 2013. View Article : Google Scholar : PubMed/NCBI

13 

Waalkes S, Atschekzei F, Kramer MW, Hennenlotter J, Vetter G, Becker JU, Stenzl A, Merseburger AS, Schrader AJ, Kuczyk MA and Serth J: Fibronectin 1 mRNA expression correlates with advanced disease in renal cancer. BMC Cancer. 10:5032010. View Article : Google Scholar : PubMed/NCBI

14 

Sponziello M, Rosignolo F, Celano M, Maggisano V, Pecce V, De Rose RF, Lombardo GE, Durante C, Filetti S, Damante G, et al: Fibronectin-1 expression is increased in aggressive thyroid cancer and favors the migration and invasion of cancer cells. Mol Cell Endocrinol. 431:123–132. 2016. View Article : Google Scholar : PubMed/NCBI

15 

Xu TP, Huang MD, Xia R, Liu XX, Sun M, Yin L, Chen WM, Han L, Zhang EB, Kong R, et al: Decreased expression of the long non-coding RNA FENDRR is associated with poor prognosis in gastric cancer and FENDRR regulates gastric cancer cell metastasis by affecting fibronectin1 expression. J Hematol Oncol. 7:632014. View Article : Google Scholar : PubMed/NCBI

16 

Zhang H, Sun Z, Li Y, Fan D and Jiang H: MicroRNA-200c binding to FN1 suppresses the proliferation, migration and invasion of gastric cancer cells. Biomed Pharmacother. 88:285–292. 2017. View Article : Google Scholar : PubMed/NCBI

17 

Wang W, Chin-Sheng H, Kuo LJ, Wei PL, Lien YC, Lin FY, Liu HH, Ho YS, Wu CH and Chang YJ: NNK enhances cell migration through alpha7-nicotinic acetylcholine receptor accompanied by increased of fibronectin expression in gastric cancer. Ann Surg Oncol. 19 (Suppl):S580–S588. 2012. View Article : Google Scholar : PubMed/NCBI

18 

Cho JY, Lim JY, Cheong JH, Park YY, Yoon SL, Kim SM, Kim SB, Kim H, Hong SW, Park YN, et al: Gene expression signature-based prognostic risk score in gastric cancer. Clin Cancer Res. 17:1850–1857. 2011. View Article : Google Scholar : PubMed/NCBI

19 

D'Errico M, de Rinaldis E, Blasi MF, Viti V, Falchetti M, Calcagnile A, Sera F, Saieva C, Ottini L, Palli D, et al: Genome-wide expression profile of sporadic gastric cancers with microsatellite instability. Eur J Cancer. 45:461–469. 2009. View Article : Google Scholar

20 

Kim HK, Choi IJ, Kim CG, Kim HS, Oshima A, Michalowski A and Green JE: A gene expression signature of acquired chemoresistance to cisplatin and fluorouracil combination chemotherapy in gastric cancer patients. PLoS One. 6:e166942011. View Article : Google Scholar : PubMed/NCBI

21 

Ooi CH, Ivanova T, Wu J, Lee M, Tan IB, Tao J, Ward L, Koo JH, Gopalakrishnan V, Zhu Y, et al: Oncogenic pathway combinations predict clinical prognosis in gastric cancer. PLoS Genet. 5:e10006762009. View Article : Google Scholar : PubMed/NCBI

22 

Chia NY, Deng N, Das K, Huang D, Hu L, Zhu Y, Lim KH, Lee MH, Wu J, Sam XX, et al: Regulatory crosstalk between lineage-survival oncogenes KLF5, GATA4 and GATA6 cooperatively promotes gastric cancer development. Gut. 64:707–719. 2015. View Article : Google Scholar : PubMed/NCBI

23 

Lei Z, Tan IB, Das K, Deng N, Zouridis H, Pattison S, Chua C, Feng Z, Guan YK, Ooi CH, et al: Identification of molecular subtypes of gastric cancer with different responses to PI3-kinase inhibitors and 5-fluorouracil. Gastroenterology. 145:554–565. 2013. View Article : Google Scholar : PubMed/NCBI

24 

Muratani M, Deng N, Ooi WF, Lin SJ, Xing M, Xu C, Qamra A, Tay ST, Malik S, Wu J, et al: Nanoscale chromatin profiling of gastric adenocarcinoma reveals cancer-associated cryptic promoters and somatically acquired regulatory elements. Nat Commun. 5:43612014. View Article : Google Scholar : PubMed/NCBI

25 

Cristescu R, Lee J, Nebozhyn M, Kim KM, Ting JC, Wong SS, Liu J, Yue YG, Wang J, Yu K, et al: Molecular analysis of gastric cancer identifies subtypes associated with distinct clinical outcomes. Nat Med. 21:449–456. 2015. View Article : Google Scholar : PubMed/NCBI

26 

He J, Jin Y, Chen Y, Yao HB, Xia YJ, Ma YY, Wang W and Shao QS: Downregulation of ALDOB is associated with poor prognosis of patients with gastric cancer. Onco Targets Ther. 9:6099–6109. 2016. View Article : Google Scholar : PubMed/NCBI

27 

Tao J, Deng NT, Ramnarayanan K, Huang B, Oh HK, Leong SH, Lim SS, Tan IB, Ooi CH, Wu J, et al: CD44-SLC1A2 gene fusions in gastric cancer. Sci Transl Med. 3:77ra302011. View Article : Google Scholar : PubMed/NCBI

28 

Lee J, Sohn I, Do IG, Kim KM, Park SH, Park JO, Park YS, Lim HY, Sohn TS, Bae JM, et al: Nanostring-based multigene assay to predict recurrence for gastric cancer patients after surgery. PLoS One. 9:e901332014. View Article : Google Scholar : PubMed/NCBI

29 

Li WQ, Hu N, Burton VH, Yang HH, Su H, Conway CM, Wang L, Wang C, Ding T, Xu Y, et al: PLCE1 mRNA and protein expression and survival of patients with esophageal squamous cell carcinoma and gastric adenocarcinoma. Cancer Epidemiol Biomarkers Prev. 23:1579–1588. 2014. View Article : Google Scholar : PubMed/NCBI

30 

Wang Q, Wen YG, Li DP, Xia J, Zhou CZ, Yan DW, Tang HM and Peng ZH: Upregulated INHBA expression is associated with poor survival in gastric cancer. Med Oncol. 29:77–83. 2012. View Article : Google Scholar : PubMed/NCBI

31 

Wang G, Hu N, Yang HH, Wang L, Su H, Wang C, Clifford R, Dawsey EM, Li JM, Ding T, et al: Comparison of global gene expression of gastric cardia and noncardia cancers from a high-risk population in china. PLoS One. 8:e638262013. View Article : Google Scholar : PubMed/NCBI

32 

Wu Y, Grabsch H, Ivanova T, Tan IB, Murray J, Ooi CH, Wright AI, West NP, Hutchins GG, Wu J, et al: Comprehensive genomic meta-analysis identifies intra-tumoural stroma as a predictor of survival in patients with gastric cancer. Gut. 62:1100–1111. 2013. View Article : Google Scholar : PubMed/NCBI

33 

Sung CO, Park CK and Kim SH: Classification of epithelial-mesenchymal transition phenotypes in esophageal squamous cell carcinoma is strongly associated with patient prognosis. Mod Pathol. 24:1060–1068. 2011. View Article : Google Scholar : PubMed/NCBI

34 

Bae YK, Kim A, Kim MK, Choi JE, Kang SH and Lee SJ: Fibronectin expression in carcinoma cells correlates with tumor aggressiveness and poor clinical outcome in patients with invasive breast cancer. Hum Pathol. 44:2028–2037. 2013. View Article : Google Scholar : PubMed/NCBI

35 

Sandsmark E, Andersen MK, Bofin AM, Bertilsson H, Drablos F, Bathen TF, Rye MB and Tessem MB: SFRP4 gene expression is increased in aggressive prostate cancer. Sci Rep. 7:142762017. View Article : Google Scholar : PubMed/NCBI

36 

Washington K: 7th edition of the AJCC cancer staging manual: Stomach. Ann Surg Oncol. 17:3077–3079. 2010. View Article : Google Scholar : PubMed/NCBI

37 

Morita Y, Hata K, Nakanishi M, Omata T, Morita N, Yura Y, Nishimura R and Yoneda T: Cellular fibronectin 1 promotes VEGF-C expression, lymphangiogenesis and lymph node metastasis associated with human oral squamous cell carcinoma. Clin Exp Metastasis. 32:739–753. 2015. View Article : Google Scholar : PubMed/NCBI

38 

Sengupta S, Nandi S, Hindi ES, Wainwright DA, Han Y and Lesniak MS: Short hairpin RNA-mediated fibronectin knockdown delays tumor growth in a mouse glioma model. Neoplasia. 12:837–847. 2010. View Article : Google Scholar : PubMed/NCBI

39 

Hanamura N, Yoshida T, Matsumoto E, Kawarada Y and Sakakura T: Expression of fibronectin and tenascin-C mRNA by myofibroblasts, vascular cells and epithelial cells in human colon adenomas and carcinomas. Int J Cancer. 73:10–15. 1997. View Article : Google Scholar : PubMed/NCBI

40 

Soikkeli J, Podlasz P, Yin M, Nummela P, Jahkola T, Virolainen S, Krogerus L, Heikkila P, von Smitten K, Saksela O and Hölttä E: Metastatic outgrowth encompasses COL-I, FN1, and POSTN up-regulation and assembly to fibrillar networks regulating cell adhesion, migration, and growth. Am J Pathol. 177:387–403. 2010. View Article : Google Scholar : PubMed/NCBI

Related Articles

  • Abstract
  • View
  • Download
  • Twitter
Copy and paste a formatted citation
Spandidos Publications style
Sun Y, Zhao C, Ye Y, Wang Z, He Y, Li Y and Mao H: High expression of fibronectin 1 indicates poor prognosis in gastric cancer. Oncol Lett 19: 93-102, 2020.
APA
Sun, Y., Zhao, C., Ye, Y., Wang, Z., He, Y., Li, Y., & Mao, H. (2020). High expression of fibronectin 1 indicates poor prognosis in gastric cancer. Oncology Letters, 19, 93-102. https://doi.org/10.3892/ol.2019.11088
MLA
Sun, Y., Zhao, C., Ye, Y., Wang, Z., He, Y., Li, Y., Mao, H."High expression of fibronectin 1 indicates poor prognosis in gastric cancer". Oncology Letters 19.1 (2020): 93-102.
Chicago
Sun, Y., Zhao, C., Ye, Y., Wang, Z., He, Y., Li, Y., Mao, H."High expression of fibronectin 1 indicates poor prognosis in gastric cancer". Oncology Letters 19, no. 1 (2020): 93-102. https://doi.org/10.3892/ol.2019.11088
Copy and paste a formatted citation
x
Spandidos Publications style
Sun Y, Zhao C, Ye Y, Wang Z, He Y, Li Y and Mao H: High expression of fibronectin 1 indicates poor prognosis in gastric cancer. Oncol Lett 19: 93-102, 2020.
APA
Sun, Y., Zhao, C., Ye, Y., Wang, Z., He, Y., Li, Y., & Mao, H. (2020). High expression of fibronectin 1 indicates poor prognosis in gastric cancer. Oncology Letters, 19, 93-102. https://doi.org/10.3892/ol.2019.11088
MLA
Sun, Y., Zhao, C., Ye, Y., Wang, Z., He, Y., Li, Y., Mao, H."High expression of fibronectin 1 indicates poor prognosis in gastric cancer". Oncology Letters 19.1 (2020): 93-102.
Chicago
Sun, Y., Zhao, C., Ye, Y., Wang, Z., He, Y., Li, Y., Mao, H."High expression of fibronectin 1 indicates poor prognosis in gastric cancer". Oncology Letters 19, no. 1 (2020): 93-102. https://doi.org/10.3892/ol.2019.11088
Follow us
  • Twitter
  • LinkedIn
  • Facebook
About
  • Spandidos Publications
  • Careers
  • Cookie Policy
  • Privacy Policy
How can we help?
  • Help
  • Live Chat
  • Contact
  • Email to our Support Team