Spandidos Publications Logo
  • About
    • About Spandidos
    • Aims and Scopes
    • Abstracting and Indexing
    • Editorial Policies
    • Reprints and Permissions
    • Job Opportunities
    • Terms and Conditions
    • Contact
  • Journals
    • All Journals
    • Oncology Letters
      • Oncology Letters
      • Information for Authors
      • Editorial Policies
      • Editorial Board
      • Aims and Scope
      • Abstracting and Indexing
      • Bibliographic Information
      • Archive
    • International Journal of Oncology
      • International Journal of Oncology
      • Information for Authors
      • Editorial Policies
      • Editorial Board
      • Aims and Scope
      • Abstracting and Indexing
      • Bibliographic Information
      • Archive
    • Molecular and Clinical Oncology
      • Molecular and Clinical Oncology
      • Information for Authors
      • Editorial Policies
      • Editorial Board
      • Aims and Scope
      • Abstracting and Indexing
      • Bibliographic Information
      • Archive
    • Experimental and Therapeutic Medicine
      • Experimental and Therapeutic Medicine
      • Information for Authors
      • Editorial Policies
      • Editorial Board
      • Aims and Scope
      • Abstracting and Indexing
      • Bibliographic Information
      • Archive
    • International Journal of Molecular Medicine
      • International Journal of Molecular Medicine
      • Information for Authors
      • Editorial Policies
      • Editorial Board
      • Aims and Scope
      • Abstracting and Indexing
      • Bibliographic Information
      • Archive
    • Biomedical Reports
      • Biomedical Reports
      • Information for Authors
      • Editorial Policies
      • Editorial Board
      • Aims and Scope
      • Abstracting and Indexing
      • Bibliographic Information
      • Archive
    • Oncology Reports
      • Oncology Reports
      • Information for Authors
      • Editorial Policies
      • Editorial Board
      • Aims and Scope
      • Abstracting and Indexing
      • Bibliographic Information
      • Archive
    • Molecular Medicine Reports
      • Molecular Medicine Reports
      • Information for Authors
      • Editorial Policies
      • Editorial Board
      • Aims and Scope
      • Abstracting and Indexing
      • Bibliographic Information
      • Archive
    • World Academy of Sciences Journal
      • World Academy of Sciences Journal
      • Information for Authors
      • Editorial Policies
      • Editorial Board
      • Aims and Scope
      • Abstracting and Indexing
      • Bibliographic Information
      • Archive
    • International Journal of Functional Nutrition
      • International Journal of Functional Nutrition
      • Information for Authors
      • Editorial Policies
      • Editorial Board
      • Aims and Scope
      • Abstracting and Indexing
      • Bibliographic Information
      • Archive
    • International Journal of Epigenetics
      • International Journal of Epigenetics
      • Information for Authors
      • Editorial Policies
      • Editorial Board
      • Aims and Scope
      • Abstracting and Indexing
      • Bibliographic Information
      • Archive
    • Medicine International
      • Medicine International
      • Information for Authors
      • Editorial Policies
      • Editorial Board
      • Aims and Scope
      • Abstracting and Indexing
      • Bibliographic Information
      • Archive
  • Articles
  • Information
    • Information for Authors
    • Information for Reviewers
    • Information for Librarians
    • Information for Advertisers
    • Conferences
  • Language Editing
Spandidos Publications Logo
  • About
    • About Spandidos
    • Aims and Scopes
    • Abstracting and Indexing
    • Editorial Policies
    • Reprints and Permissions
    • Job Opportunities
    • Terms and Conditions
    • Contact
  • Journals
    • All Journals
    • Biomedical Reports
      • Information for Authors
      • Editorial Policies
      • Editorial Board
      • Aims and Scope
      • Abstracting and Indexing
      • Bibliographic Information
      • Archive
    • Experimental and Therapeutic Medicine
      • Information for Authors
      • Editorial Policies
      • Editorial Board
      • Aims and Scope
      • Abstracting and Indexing
      • Bibliographic Information
      • Archive
    • International Journal of Epigenetics
      • Information for Authors
      • Editorial Policies
      • Editorial Board
      • Aims and Scope
      • Abstracting and Indexing
      • Bibliographic Information
      • Archive
    • International Journal of Functional Nutrition
      • Information for Authors
      • Editorial Policies
      • Editorial Board
      • Aims and Scope
      • Abstracting and Indexing
      • Bibliographic Information
      • Archive
    • International Journal of Molecular Medicine
      • Information for Authors
      • Editorial Policies
      • Editorial Board
      • Aims and Scope
      • Abstracting and Indexing
      • Bibliographic Information
      • Archive
    • International Journal of Oncology
      • Information for Authors
      • Editorial Policies
      • Editorial Board
      • Aims and Scope
      • Abstracting and Indexing
      • Bibliographic Information
      • Archive
    • Medicine International
      • Information for Authors
      • Editorial Policies
      • Editorial Board
      • Aims and Scope
      • Abstracting and Indexing
      • Bibliographic Information
      • Archive
    • Molecular and Clinical Oncology
      • Information for Authors
      • Editorial Policies
      • Editorial Board
      • Aims and Scope
      • Abstracting and Indexing
      • Bibliographic Information
      • Archive
    • Molecular Medicine Reports
      • Information for Authors
      • Editorial Policies
      • Editorial Board
      • Aims and Scope
      • Abstracting and Indexing
      • Bibliographic Information
      • Archive
    • Oncology Letters
      • Information for Authors
      • Editorial Policies
      • Editorial Board
      • Aims and Scope
      • Abstracting and Indexing
      • Bibliographic Information
      • Archive
    • Oncology Reports
      • Information for Authors
      • Editorial Policies
      • Editorial Board
      • Aims and Scope
      • Abstracting and Indexing
      • Bibliographic Information
      • Archive
    • World Academy of Sciences Journal
      • Information for Authors
      • Editorial Policies
      • Editorial Board
      • Aims and Scope
      • Abstracting and Indexing
      • Bibliographic Information
      • Archive
  • Articles
  • Information
    • For Authors
    • For Reviewers
    • For Librarians
    • For Advertisers
    • Conferences
  • Language Editing
Login Register Submit
  • This site uses cookies
  • You can change your cookie settings at any time by following the instructions in our Cookie Policy. To find out more, you may read our Privacy Policy.

    I agree
Search articles by DOI, keyword, author or affiliation
Search
Advanced Search
presentation
Oncology Letters
Join Editorial Board Propose a Special Issue
Print ISSN: 1792-1074 Online ISSN: 1792-1082
Journal Cover
June-2020 Volume 19 Issue 6

Full Size Image

Sign up for eToc alerts
Recommend to Library

Journals

International Journal of Molecular Medicine

International Journal of Molecular Medicine

International Journal of Molecular Medicine is an international journal devoted to molecular mechanisms of human disease.

International Journal of Oncology

International Journal of Oncology

International Journal of Oncology is an international journal devoted to oncology research and cancer treatment.

Molecular Medicine Reports

Molecular Medicine Reports

Covers molecular medicine topics such as pharmacology, pathology, genetics, neuroscience, infectious diseases, molecular cardiology, and molecular surgery.

Oncology Reports

Oncology Reports

Oncology Reports is an international journal devoted to fundamental and applied research in Oncology.

Experimental and Therapeutic Medicine

Experimental and Therapeutic Medicine

Experimental and Therapeutic Medicine is an international journal devoted to laboratory and clinical medicine.

Oncology Letters

Oncology Letters

Oncology Letters is an international journal devoted to Experimental and Clinical Oncology.

Biomedical Reports

Biomedical Reports

Explores a wide range of biological and medical fields, including pharmacology, genetics, microbiology, neuroscience, and molecular cardiology.

Molecular and Clinical Oncology

Molecular and Clinical Oncology

International journal addressing all aspects of oncology research, from tumorigenesis and oncogenes to chemotherapy and metastasis.

World Academy of Sciences Journal

World Academy of Sciences Journal

Multidisciplinary open-access journal spanning biochemistry, genetics, neuroscience, environmental health, and synthetic biology.

International Journal of Functional Nutrition

International Journal of Functional Nutrition

Open-access journal combining biochemistry, pharmacology, immunology, and genetics to advance health through functional nutrition.

International Journal of Epigenetics

International Journal of Epigenetics

Publishes open-access research on using epigenetics to advance understanding and treatment of human disease.

Medicine International

Medicine International

An International Open Access Journal Devoted to General Medicine.

Journal Cover
June-2020 Volume 19 Issue 6

Full Size Image

Sign up for eToc alerts
Recommend to Library

  • Article
  • Citations
    • Cite This Article
    • Download Citation
    • Create Citation Alert
    • Remove Citation Alert
    • Cited By
  • Similar Articles
    • Related Articles (in Spandidos Publications)
    • Similar Articles (Google Scholar)
    • Similar Articles (PubMed)
  • Download PDF
  • Download XML
  • View XML
Article

Inhibition of miR‑18a‑3p reduces proliferation of mesothelioma cells and sensitizes them to cisplatin

  • Authors:
    • Rui Suzuki
    • Vishwa Jeet Amatya
    • Kei Kushitani
    • Yuichiro Kai
    • Takahiro Kambara
    • Yutaro Fujii
    • Yukio Takeshima
  • View Affiliations / Copyright

    Affiliations: Department of Pathology, Hiroshima University Graduate School of Biomedical and Health Sciences, Hiroshima 734‑8551, Japan
  • Pages: 4161-4168
    |
    Published online on: April 1, 2020
       https://doi.org/10.3892/ol.2020.11504
  • Expand metrics +
Metrics: Total Views: 0 (Spandidos Publications: | PMC Statistics: )
Metrics: Total PDF Downloads: 0 (Spandidos Publications: | PMC Statistics: )
Cited By (CrossRef): 0 citations Loading Articles...

This article is mentioned in:



Abstract

Malignant pleural mesothelioma is a notorious human malignancy. Despite combination chemotherapy with cisplatin and pemetrexed, the majority of patients with advanced malignant pleural mesothelioma have a poor prognosis. MicroRNAs (miRNAs/miRs) are short non‑coding RNAs that regulate various biological processes by binding to the 3'‑untranslated region of target gene mRNAs and suppressing their expression. Since abnormal expression patterns of miRNAs are a common feature in human malignancies, a number of them have been researched as potential therapeutic targets. Our previous study demonstrated that microRNA‑18a (miR‑18a) is upregulated in mesothelioma cell lines compared with in non‑neoplastic mesothelial tissues, but its function remains unclear. In the present study, miRNA inhibitor was transfected into mesothelioma cell lines and then analyzed various cellular functions. Mesothelioma cells transfected with the miR‑18a inhibitor exhibited lower proliferation and migration rates compared with cells transfected with a negative control inhibitor in proliferation and wound scratch assays, respectively. Additionally, the present study revealed that downregulation of miR‑18a increased mesothelioma cell apoptosis. In a chemosensitivity assay, transfection of the miR‑18a inhibitor significantly increased the sensitivity of mesothelioma cells to cisplatin but not to pemetrexed. Therefore, miR‑18a may be a potential therapeutic target for mesothelioma resistant to cisplatin.

Introduction

Malignant pleural mesothelioma, an aggressive tumor, is commonly caused by exposure to asbestos with a median latency of 22.8 years (1). The incidence of malignant mesothelioma is predicted to reach a peak around 2020 in Europe (2) and around 2030 in Japan (3), and has not yet declined this century in the United States (4). The incidence of malignant mesothelioma in developing countries is predicted to increase due to their heavy use of asbestos without restriction (5).

Because many cases of malignant pleural mesothelioma are detected at an advanced stage and are thus unresectable by surgery, systemic anticancer chemotherapy is the first choice of treatment. The present standard regimen of chemotherapy for advanced malignant pleural mesothelioma is a combination of pemetrexed and cisplatin; however, the median survival of patients treated with this regimen scarcely exceeds 12 months (6).

MicroRNAs (miRNAs) are short non-coding, single-strand RNAs that suppress gene expression by binding to the 3′-untranslated region of their target mRNAs (7). Recently, several studies reported different miRNAs that play important roles in the pathogenesis of various human cancers as onco-miRNAs or tumor suppressor miRNAs (8–10).

In a previous study, we investigated the expression profiles of miRNAs in mesothelioma cell lines and found some to be significantly down- or upregulated (11). In that study, microRNA-18a (miR-18a) was one of the upregulated miRNAs. Further, miR-18a has been identified as an onco-miRNA associated with many human malignancies including glioblastoma (12), esophageal cancer (13), and non-small cell lung cancer (14). The current study was performed to elucidate the biological function of miR-18a in mesothelioma.

Materials and methods

Mesothelioma cell lines

Four human mesothelioma cell lines were used in this study. Two cell lines (ACC-MESO1 and ACC-MESO4) were purchased from the RIKEN BioResearch Center (Tsukuba, Japan) (15) and the other two (CRL-5915 and CRL-5946) were purchased from the American Type Culture Collection. Cells were cultured with Roswell Park Memorial Institute 1640 medium with GlutaMax added, containing 10% fetal bovine serum, sodium pyruvate, kanamycin, and fungizone (all purchased from Thermo Fisher Scientific). Cells were maintained in a 5% CO2 incubator at 37°C.

Transient transfection of mesothelioma cells

The miR-18a inhibitor (mirVana; has-miR-18a-3p MH12264) and a negative control miRNA inhibitor (mirVana; negative control #1) were purchased from Thermo Fisher Scientific. Mesothelioma cells at 60–80% confluence were transfected with 50 nM of the miR-18a or negative control inhibitor using Lipofectamine RNAiMAX (Thermo Fisher Scientific) in Opti-Mem Reduced Serum Medium (Thermo Fisher Scientific) according to the manufacturer's recommended protocols.

Cell proliferation assay

After transfection, mesothelioma cell lines were incubated in growth medium in a 96-well plate. The proliferation rate was determined at 24, 48, and 72 h with the Cell Titer Glo 2.0 reagent (Promega KK), which measures the number of viable cells relative to their ATP level, using a GloMax Explore microplate reader (Promega) according to the manufacturer's recommended protocols.

Colony formation assay

Mesothelioma cell lines transfected with the miRNA inhibitor or control were seeded into collagen-coated 6-well plates at a density of 500 cells/well and incubated in growth medium for three weeks. Cellmatrix Type I-A (Nitta Gelatin) was used for collagen coating. Colonies were stained by Cell Stain (EMD Millipore) and counted.

Wound scratch assay

The migration ability of mesothelioma cells was analyzed by a wound scratch assay. miRNA inhibitor- and control-transfected cells were incubated in collagen-coated 24-well plates. After making wounds with 1 ml micropipette tips, floating cells were removed by washing twice with fresh growth medium. Microscopic images were obtained at 0, 12, and 24 h (ACC-MESO1 cells), or at 0, 24, and 48 h (ACC-MESO4, CRL-5915, and CRL-5946 cells). The wound area was measured using TScratch software (16).

Cell invasion assay

Mesothelioma cell lines were incubated with the miRNA or control inhibitor in FluoroBlok culture inserts with 8-µm pores (BD Biosciences) and coated with Geltrex Matrigel (Thermo Fisher Scientific) according to the manufacturers' protocols. Invaded cells were measured at 24 or 48 h after incubation with the miRNA inhibitor.

Apoptosis and necrosis assays

Mesothelioma cells were incubated with the miRNA or control inhibitor in 96-well plates for 24 h, and the RealTime Glo Annexin V Apoptosis Assay reagent (Promega) was added to the cells after transfection. Relative levels of apoptosis and necrosis were measured by analyzing luminescence and fluorescence with a GloMax microplate reader according to the manufacturer's recommended protocol.

Chemosensitivity to pemetrexed and cisplatin

Mesothelioma cells transfected with the miRNA or control inhibitor were seeded into 96-well plates containing 0 to 50 µM cisplatin or 0–100 µM pemetrexed (both purchased from Fujifilm Wako Pure Chemical Corporation). Viable cells were measured with the Cell Titer Glo 2.0 reagent (Promega) 72 h after the addition of chemical agents.

Reverse transcription-quantitative polymerase chain reaction (RT-qPCR)

RNA was extracted from cells transfected with the miRNA inhibitor or control using a Maxwell RSC simplyRNA Cells kit and analyzed on a Maxwell RSC Instrument (Promega) according to the manufacturer's instructions. The extracted RNA was reverse-transcribed with SuperScript IV VILO Master Mix (Thermo Fisher Scientific) and amplified using PowerUp SYBR Green Master Mix (Thermo Fisher Scientific) on an AriaMax Real-Time PCR System (Agilent Technologies). Relative expression levels were calculated according to the comparative CT (ΔΔCT) method (17). Expression levels were normalized against the expression level of glyceraldehyde 3-phosphate dehydrogenase (GAPDH). The following primers were used: CDKN2D forward, 5′-TCACACTGCTGTGGTCAGCTTT-3′, reverse, 5′-AGGATGTCCACGAGGTCCTGA-3′, GAPDH forward, 5′-ACAACTTTTGGTATCATGGAAGG-3′, and reverse, 5′-GCCATCACGCCACAGTTTC-3′.

Statistical analysis

All experiments were conducted at least three times. Experimental data are presented as means ± standard deviation. Statistical significance of differences between two groups was analyzed with an unpaired Student's t-test. Statistical significance was set at P<0.05.

Results

Inhibition of miR-18a reduces mesothelioma cell proliferation

Inhibition of miR-18a significantly decreased proliferation of mesothelioma cells compared to that by the negative control inhibitor in all four cell lines (Fig. 1A). After 3 days, inhibition of miR-18a significantly reduced viability by 42.3% in ACC-MESO1, 33.5% in ACC-MESO4, 32.9% in CRL-5915, and 27.5% in CRL-5946 cells. The role of miR-18a in mesothelioma cell proliferation was also evaluated by the colony formation assay (Fig. 1B and C). Inhibition of miR-18a significantly reduced the colony forming ability of all four cell lines.

Figure 1.

Cell proliferation and colony formation assay. (A) Mesothelioma cells (ACC-MESO1, ACC-MESO4, CRL-5915 and CRL-5946) transfected with the miR-18a inh exhibited lower proliferation rates compared with cells transfected with a NC inh. *P<0.05 vs. NC inh. (B) Representative images of the colony formation assay. (C) Inhibition of miR-18a reduces the colony forming ability in four mesothelioma cell lines. *P<0.05. miR-18a inh, microRNA-18a inhibitor; NC inh, negative control inhibitor.

miR-18a inhibition upregulates CDKN2D expression in mesothelioma cell lines

To understand the mechanism of miR-18a in inhibiting mesothelioma cell growth, we searched for its target gene using the online miRNA target database, Target Scan Human 7.2 (www.targetscan.org). CDKN2D was identified as a target gene of miR-18a. Furthermore, RT-qPCR analysis showed that inhibition of miR-18a significantly upregulated the expression of CDKN2D (Fig. 2).

Figure 2.

Reverse transcription-quantitative polymerase chain reaction analysis. CDKN2D mRNA was upregulated in mesothelioma cells transfected with miR-18a inh compared with in cells transfected with NC inh. *P<0.05. miR-18a inh, microRNA-18a inhibitor; NC inh, negative control inhibitor.

Inhibition of miR-18a reduces mesothelioma cell migration

Mesothelioma cells transfected with the miR-18a inhibitor exhibited lower migration rates compared to those transfected with the negative control inhibitor in all four cell lines (Fig. 3). At 24 h, inhibition of miR-18a reduced the migration of ACC-MESO1 cells by 41.0%, and at 48 h inhibition of miR-18a reduced the migration of ACC-MESO4, CRL-5915, and CRL-5946 cells by 50.5, 53.0, and 33.7%, respectively. Mesothelioma cell invasion was not significantly changed by inhibiting miR-18a (data not shown).

Figure 3.

Wound scratch assay. Microscopy images representative of the wound gaps at 0, 12 and 24 h (ACC-MESO1 cells), or 0, 24 and 48 h (ACC-MESO4, CRL-5915 and CRL-5946 cells). Line graphs show reduced migration rates in cells transfected with miR-18a inh compared with in cells transfected with NC inh for all mesothelioma cell lines. All images were captured using an inverted microscope with a 4X objective. *P<0.05 vs. NC inh. miR-18a inh, microRNA-18a inhibitor; NC inh, negative control inhibitor.

Inhibition of miR-18a increases apoptosis, but not necrosis, in mesothelioma cell lines

Transfection of the miR-18a inhibitor significantly increased the extent of apoptosis compared to that caused by the negative control inhibitor (Fig. 4A). Notably, ACC-MESO4 cells transfected with the miR-18a inhibitor exhibited over a three times increase in apoptosis compared to cells transfected with the negative control. However, no obvious change was observed in the extent of necrosis (Fig. 4B).

Figure 4.

Apoptosis and necrosis assays. (A) Extent of apoptosis of mesothelioma cells transfected with miR-18a inh was significantly increased compared with cells transfected with NC inh. *P<0.05 vs. NC inh. (B) No significant change in necrosis was observed between mesothelioma cells transfected with miR-18a inh and NC inh. miR-18a inh, microRNA-18a inhibitor; NC inh, negative control inhibitor.

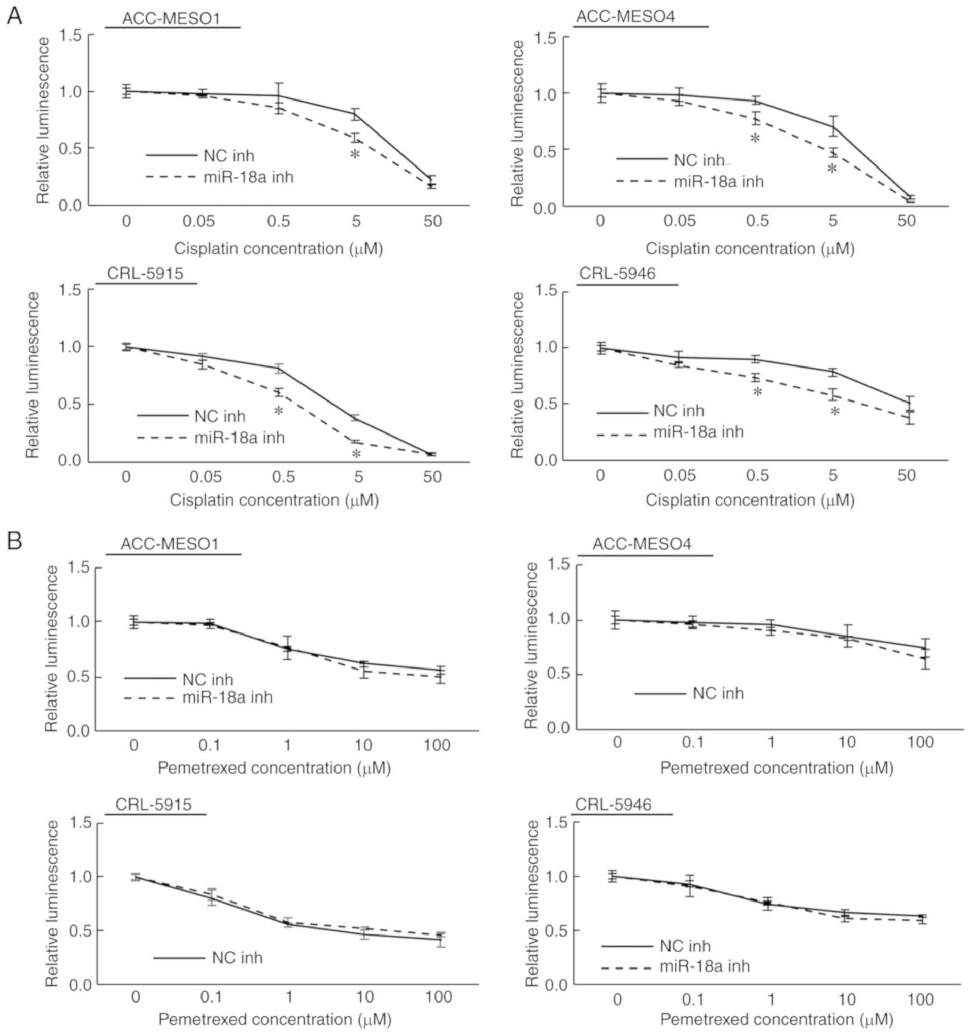
Inhibition of miR-18a increases the sensitivity of mesothelioma cells to cisplatin, but not pemetrexed

In the chemosensitivity assay, CRL-5915 cells were more sensitive to both cisplatin and pemetrexed than the other three cell lines (ACC-MESO1, ACC-MESO4, and CRL-5946). We also found that transfection with the miR-18a inhibitor significantly enhanced sensitivity to cisplatin independent of the original sensitivity (Fig. 5A). At 0.5 µM cisplatin, transfection of the miR-18a inhibitor reduced viability by 10.9, 16.0, 20.6, and 16.3% in ACC-MESO1, ACC-MESO4, CRL-5915, and CRL-5946 cells, respectively (statistically significant in ACC-MESO4, CRL-5915, and CRL-5946 cells). At 5 µM cisplatin, transfection of the miR-18a inhibitor reduced viability by 20.5, 23.3, 20.5, and 19.7% in ACC-MESO1, ACC-MESO4, CRL-5915, and CRL-5946 cells, respectively (statistically significant in all four cell lines). In this experiment, no obvious change in pemetrexed sensitivity was observed by transfection of the miR-18a inhibitor in cell lines relatively sensitive or resistant to this drug (Fig. 5B).

Figure 5.

Chemosensitivity to cisplatin and pemetrexed. (A) Viability of mesothelioma cells transfected with miR-18a inh or NC inh 72 h after the addition of cisplatin (0–50 µM). Transfection with miR-18a inh caused significant increases in sensitivity to 0.5 and 5 µM cisplatin in ACC-MESO4, CRL-5915 and CRL-5946 cells, and 5 µM cisplatin in ACC-MESO1 cells, compared with cells transfected with NC inh. *P<0.05 vs. NC inh. (B) Viability of mesothelioma cells transfected with miR-18a inh or NC inh measured 72 h after the addition of pemetrexed (0–100 µM). Cell lines transfected with miR-18a inh exhibited no significant change in pemetrexed sensitivity compared with those transfected with NC inh. miR-18a inh, microRNA-18a inhibitor; NC inh, negative control inhibitor.

Discussion

miRNAs are short, non-coding RNAs that perform a variety of functions through incomplete binding to the 3′-untranslated region of a target gene (18). Because many miRNAs regulate important cell functions, such as proliferation and invasion, some have been researched as therapeutic agents for various human malignancies (19).

Several studies have focused on the role of miRNAs in the progression of mesothelioma cells (20,21). Johnson et al (22) found that a miR-137 mimic inhibited the proliferation, invasion, and migration of mesothelioma cells, and Williams et al (23) found that miR-13 reduced proliferation, and increased apoptosis and necrosis of mesothelioma cells by downregulating MCL1. Further, we demonstrated previously that miR-1 and miR-214 inhibited mesothelioma cell progression by suppressing PIM1 (11,24), and miR-182 and miR-183 promoted mesothelioma cell progression by suppressing FOXO1 (25).

In our previous comprehensive analysis of miRNA expression by RT-qPCR using TaqMan Low Density Array Human miRNA Cards, both miR-18a-3p and miR-18a-5p were upregulated in malignant mesothelioma cell lines (ACC-MESO1, ACC-MESO4, CRL-2081, CRL-5820, CRL-5826, CRL-5915, and CRL-5946) compared to non-neoplastic mesothelial tissues (11). He et al (26) found that miR-18a-5p promoted mesothelioma cell proliferation by downregulating PIAS3, but little is known about the function of miR-18a-3p in mesothelioma cells. In the present study, we showed that inhibition of miR-18a-3p reduced proliferation and migration, but increased apoptosis of mesothelioma cells. miR-16 is the most extensively investigated miRNA in malignant mesothelioma and inhibits mesothelioma cell growth and enhances sensitivity to epidermal growth factor receptor inhibition (27). A clinical phase 1 trial using TargomiR, a miR-16-based miRNA mimic that targets the epidermal growth factor receptor, has been conducted. The objective partial response rate observed was 5% and the stable disease rate 67% (28). Thus, miRNA-based therapeutic targeting of malignant mesothelioma is promising.

In this study, we found that CDKN2D, a target gene of miR-18a-3p in malignant mesothelioma, was upregulated. The CDKN2D gene (p19INK4d) is located on chromosome 19p13, and its gene product negatively regulates the cell cycle by preventing the activation of CDK4 and CDK6 (29,30). Thus, CDK4 represses the proliferation of non-small cell lung cancer (31). However, further research on the target genes is needed to understand the mechanism of miR-18a-3p in terms of migration, apoptosis, and chemosensitivity to cisplatin in malignant mesothelioma.

Recent studies have demonstrated that some miRNAs play important roles, not only in cellular proliferation and invasion, but also in chemosensitivity. For example, miR-362-5p and miR-613 suppress chemosensitivity to cisplatin in gastric cancer (32,33). Additionally, a correlation between the expression levels of miR-25, miR-145, and miR-210, and the effectiveness of pemetrexed maintenance treatment in lung adenocarcinoma, has been observed (34). Current standard chemotherapy for advanced stage malignant mesothelioma includes a combination of pemetrexed and cisplatin, but median survival remains only about 12 months, even though there is an approximately 40% response rate (6). This suggests that mesothelioma cells have chemoresistance to these anticancer agents. Moody et al (35) demonstrated that the loss of miR-31 enhanced sensitivity of malignant mesothelioma cells to cisplatin. Moreover, transfection of miR-145 and miR-379/411 induced chemosensitivity to pemetrexed in mesothelioma (36,37). In the current study, we found that inhibition of miR-18a enhanced chemosensitivity to cisplatin in all four cell lines tested, including ACC-MESO1, ACC-MESO4, and CRL-5946 cells that showed only a slight decrease in viability at 5 µM. These results indicate that miR-18a targeted therapy may have benefits for patients with cisplatin-resistant mesothelioma. However, to clarify the detailed mechanism of miR-18a-3p in mesothelioma cell progression and chemosensitivity, further research is needed.

In conclusion, this study demonstrated that inhibition of miR-18a-3p significantly reduced mesothelioma progression and promoted chemosensitivity to cisplatin. Therefore, miR-18a is a potential therapeutic target for malignant mesothelioma.

Acknowledgements

The authors would like to thank Ms. Yukari Go and Mr. Tatsuya Nakagawa (Department of Pathology, Hiroshima University, Hiroshima, Japan) for their excellent technical assistance, and Ms Naomi Fukuhara (Department of Pathology, Hiroshima University, Hiroshima, Japan) for administrative support.

Funding

No funding was received.

Availability of data and materials

The datasets used and/or analyzed during the current study are available from the corresponding author on reasonable request.

Authors' contributions

RS, VJA and YT designed the study. VJA and YT supervised and facilitated the study. RS, KK, YK, TK and YF performed the experiments. RS analyzed the data. RS and VJA interpreted the results and wrote the manuscript. All authors read and approved the final manuscript.

Ethics approval and consent to participate

Not applicable.

Patient consent for publication

Not applicable.

Competing interests

The authors declare that they have no competing interests.

References

1 

Frost G: The latency period of mesothelioma among a cohort of British asbestos workers (1978–2005). Br J Cancer. 109:1965–1973. 2013. View Article : Google Scholar : PubMed/NCBI

2 

Peto J, Decarli A, La Vecchia C, Levi F and Negri E: The European mesothelioma epidemic. Br J Cancer. 79:666–672. 1999. View Article : Google Scholar : PubMed/NCBI

3 

Myojin T, Azuma K, Okumura J and Uchiyama I: Future trends of mesothelioma mortality in Japan based on a risk function. Ind Health. 50:197–204. 2012. View Article : Google Scholar : PubMed/NCBI

4 

Keshava HB, Tang A, Siddiqui HU, Raja S, Raymond DP, Bribriesco A, Stevenson J, Murthy SC and Ahmad U: Largely Unchanged annual incidence and overall survival of pleural mesothelioma in the USA. World J Surg. 43:3239–3247. 2019. View Article : Google Scholar : PubMed/NCBI

5 

Joshi TK and Gupta RK: Asbestos in developing countries: Magnitude of risk and its practical implications. Int J Occup Med Environ Health. 17:179–185. 2004.PubMed/NCBI

6 

Vogelzang NJ, Rusthoven JJ, Symanowski J, Denham C, Kaukel E, Ruffie P, Gatzemeier U, Boyer M, Emri S, Manegold C, et al: Phase III study of pemetrexed in combination with cisplatin versus cisplatin alone in patients with malignant pleural mesothelioma. J Clin Oncol. 21:2636–2644. 2003. View Article : Google Scholar : PubMed/NCBI

7 

Bartel DP: MicroRNAs: Genomics, biogenesis, mechanism, and function. Cell. 116:281–297. 2004. View Article : Google Scholar : PubMed/NCBI

8 

Wu KL, Tsai YM, Lien CT, Kuo PL and Hung AJ: The roles of MicroRNA in lung cancer. Int J Mol Sci. 20:E16112019. View Article : Google Scholar : PubMed/NCBI

9 

Chen SN, Chang R, Lin LT, Chern CU, Tsai HW, Wen ZH, Li YH, Li CJ and Tsui KH: MicroRNA in ovarian cancer: Biology, pathogenesis, and therapeutic opportunities. Int J Environ Res Public Health. 16:E15102019. View Article : Google Scholar : PubMed/NCBI

10 

Banelli B, Forlani A, Allemanni G, Morabito A, Pistillo MP and Romani M: MicroRNA in glioblastoma: An overview. Int J Genomics. 2017:76390842017. View Article : Google Scholar : PubMed/NCBI

11 

Amatya VJ, Mawas AS, Kushitani K, Mohi El-Din MM and Takeshima Y: Differential microRNA expression profiling of mesothelioma and expression analysis of miR-1 and miR-214 in mesothelioma. Int J Oncol. 48:1599–1607. 2016. View Article : Google Scholar : PubMed/NCBI

12 

Song Y, Wang P, Zhao W, Yao Y, Liu X, Ma J, Xue Y and Liu Y: miR-18a regulates the proliferation, migration and invasion of human glioblastoma cell by targeting neogenin. Exp Cell Res. 324:54–64. 2014. View Article : Google Scholar : PubMed/NCBI

13 

Zhang W, Lei C, Fan J and Wang J: miR-18a promotes cell proliferation of esophageal squamous cell carcinoma cells by increasing cylin D1 via regulating PTEN-PI3K-AKT-mTOR signaling axis. Biochem Biophys Res Commun. 477:144–149. 2016. View Article : Google Scholar : PubMed/NCBI

14 

Xiao H, Liu Y, Liang P, Wang B, Tan H, Zhang Y, Gao X and Gao J: TP53TG1 enhances cisplatin sensitivity of non-small cell lung cancer cells through regulating miR-18a/PTEN axis. Cell Biosci. 8:232018. View Article : Google Scholar : PubMed/NCBI

15 

Usami N, Fukui T, Kondo M, Taniguchi T, Yokoyama T, Mori S, Yokoi K, Horio Y, Shimokata K, Sekido Y and Hida T: Establishment and characterization of four malignant pleural mesothelioma cell lines from Japanese patients. Cancer Sci. 97:387–394. 2006. View Article : Google Scholar : PubMed/NCBI

16 

Gebäck T, Schulz MM, Koumoutsakos P and Detmar M: TScratch: A novel and simple software tool for automated analysis of monolayer wound healing assays. Biotechniques. 46:265–274. 2009. View Article : Google Scholar : PubMed/NCBI

17 

Livak KJ and Schmittgen TD: Analysis of relative gene expression data using real-time quantitative PCR and the 2(-Delta Delta C(T)) method. Methods. 25:402–408. 2001. View Article : Google Scholar : PubMed/NCBI

18 

Ventura A and Jacks T: MicroRNAs and cancer: Short RNAs go a long way. Cell. 136:586–591. 2009. View Article : Google Scholar : PubMed/NCBI

19 

Hanna J, Hossain GS and Kocerha J: The potential for microRNA therapeutics and clinical research. Front Genet. 10:4782019. View Article : Google Scholar : PubMed/NCBI

20 

Truini A, Coco S, Genova C, Mora M, Dal Bello MG, Vanni I, Alama A, Rijavec E, Barletta G, Biello F, et al: Prognostic and therapeutic implications of MicroRNA in malignant pleural mesothelioma. Microrna. 5:12–18. 2016. View Article : Google Scholar : PubMed/NCBI

21 

Lo Russo G, Tessari A, Capece M, Galli G, de Braud F, Garassino MC and Palmieri D: MicroRNAs for the diagnosis and management of malignant pleural mesothelioma: A literature review. Front Oncol. 8:6502018. View Article : Google Scholar : PubMed/NCBI

22 

Johnson TG, Schelch K, Cheng YY, Williams M, Sarun KH, Kirschner MB, Kao S, Linton A, Klebe S, McCaughan BC, et al: Dysregulated expression of the microRNA miR-137 and its target YBX1 contribute to the invasive characteristics of malignant pleural mesothelioma. J Thorac Oncol. 13:258–272. 2018. View Article : Google Scholar : PubMed/NCBI

23 

Williams M, Kirschner MB, Cheng YY, Hanh J, Weiss J, Mugridge N, Wright CM, Linton A, Kao SC, Edelman JJ, et al: miR-193a-3p is a potential tumor suppressor in malignant pleural mesothelioma. Oncotarget. 6:23480–23495. 2015. View Article : Google Scholar : PubMed/NCBI

24 

Mawas AS, Amatya VJ, Suzuki R, Kushitani K, Mohi El-Din MM and Takeshima Y: PIM1 knockdown inhibits cell proliferation and invasion of mesothelioma cells. Int J Oncol. 50:1029–1034. 2017. View Article : Google Scholar : PubMed/NCBI

25 

Suzuki R, Amatya VJ, Kushitani K, Kai Y, Kambara T and Takeshima Y: miR-182 and miR-183 promote cell proliferation and invasion by targeting FOXO1 in mesothelioma. Front Oncol. 8:4462018. View Article : Google Scholar : PubMed/NCBI

26 

He T, McColl K, Sakre N, Chen Y, Wildey G and Dowlati A: Post-transcriptional regulation of PIAS3 expression by miR-18a in malignant mesothelioma. Mol Oncol. 12:2124–2135. 2018. View Article : Google Scholar : PubMed/NCBI

27 

Schelch K, Kirschner MB, Williams M, Cheng YY, van Zandwijk N, Grusch M and Reid G: A link between the fibroblast growth factor axis and the miR-16 family reveals potential new treatment combinations in mesothelioma. Mol Oncol. 12:58–73. 2018. View Article : Google Scholar : PubMed/NCBI

28 

van Zandwijk N, Pavlakis N, Kao SC, Linton A, Boyer MJ, Clarke S, Huynh Y, Chrzanowska A, Fulham MJ, Bailey DL, et al: Safety and activity of microRNA-loaded minicells in patients with recurrent malignant pleural mesothelioma: A first-in-man, phase 1, open-label, dose-escalation study. Lancet Oncol. 18:1386–1396. 2017. View Article : Google Scholar : PubMed/NCBI

29 

Roussel MF: The INK4 family of cell cycle inhibitors in cancer. Oncogene. 18:5311–5317. 1999. View Article : Google Scholar : PubMed/NCBI

30 

Bartkova J, Rajpert-De Meyts E, Skakkebaek NE, Lukas J and Bartek J: Deregulation of the G1/S-phase control in human testicular germ cell tumours. APMIS. 111:252–265; discussion 265-256. 2003. View Article : Google Scholar : PubMed/NCBI

31 

Lin S, Wang MJ and Tseng KY: Polypyrimidine tract-binding protein induces p19(Ink4d) expression and inhibits the proliferation of H1299 cells. PLoS One. 8:e582272013. View Article : Google Scholar : PubMed/NCBI

32 

Wei X, Gao M, Ahmed Y, Gao M, Liu W, Zhang Y, Xie X, Zhao Q, Wang H and Gu K: MicroRNA-362-5p enhances the cisplatin sensitivity of gastric cancer cells by targeting suppressor of zeste 12 protein. Oncol Lett. 18:1607–1616. 2019.PubMed/NCBI

33 

Xue M, Li G, Sun P, Zhang D, Fang X and Li W: MicroRNA-613 induces the sensitivity of gastric cancer cells to cisplatin through targeting SOX9 expression. Am J Transl Res. 11:885–894. 2019.PubMed/NCBI

34 

Shi SB, Wang M, Tian J, Li R, Chang CX and Qi JL: MicroRNA 25, microRNA 145, and microRNA 210 as biomarkers for predicting the efficacy of maintenance treatment with pemetrexed in lung adenocarcinoma patients who are negative for epidermal growth factor receptor mutations or anaplastic lymphoma kinase translocations. Transl Res. 170:1–7. 2016. View Article : Google Scholar : PubMed/NCBI

35 

Moody HL, Lind MJ and Maher SG: MicroRNA-31 regulates chemosensitivity in malignant pleural mesothelioma. Mol Ther Nucleic Acids. 8:317–329. 2017. View Article : Google Scholar : PubMed/NCBI

36 

Cioce M, Ganci F, Canu V, Sacconi A, Mori F, Canino C, Korita E, Casini B, Alessandrini G, Cambria A, et al: Protumorigenic effects of mir-145 loss in malignant pleural mesothelioma. Oncogene. 33:5319–5331. 2014. View Article : Google Scholar : PubMed/NCBI

37 

Yamamoto K, Seike M, Takeuchi S, Soeno C, Miyanaga A, Noro R, Minegishi Y, Kubota K and Gemma A: miR-379/411 cluster regulates IL-18 and contributes to drug resistance in malignant pleural mesothelioma. Oncol Rep. 32:2365–2372. 2014. View Article : Google Scholar : PubMed/NCBI

Related Articles

  • Abstract
  • View
  • Download
  • Twitter
Copy and paste a formatted citation
Spandidos Publications style
Suzuki R, Amatya VJ, Kushitani K, Kai Y, Kambara T, Fujii Y and Takeshima Y: Inhibition of miR‑18a‑3p reduces proliferation of mesothelioma cells and sensitizes them to cisplatin. Oncol Lett 19: 4161-4168, 2020.
APA
Suzuki, R., Amatya, V.J., Kushitani, K., Kai, Y., Kambara, T., Fujii, Y., & Takeshima, Y. (2020). Inhibition of miR‑18a‑3p reduces proliferation of mesothelioma cells and sensitizes them to cisplatin. Oncology Letters, 19, 4161-4168. https://doi.org/10.3892/ol.2020.11504
MLA
Suzuki, R., Amatya, V. J., Kushitani, K., Kai, Y., Kambara, T., Fujii, Y., Takeshima, Y."Inhibition of miR‑18a‑3p reduces proliferation of mesothelioma cells and sensitizes them to cisplatin". Oncology Letters 19.6 (2020): 4161-4168.
Chicago
Suzuki, R., Amatya, V. J., Kushitani, K., Kai, Y., Kambara, T., Fujii, Y., Takeshima, Y."Inhibition of miR‑18a‑3p reduces proliferation of mesothelioma cells and sensitizes them to cisplatin". Oncology Letters 19, no. 6 (2020): 4161-4168. https://doi.org/10.3892/ol.2020.11504
Copy and paste a formatted citation
x
Spandidos Publications style
Suzuki R, Amatya VJ, Kushitani K, Kai Y, Kambara T, Fujii Y and Takeshima Y: Inhibition of miR‑18a‑3p reduces proliferation of mesothelioma cells and sensitizes them to cisplatin. Oncol Lett 19: 4161-4168, 2020.
APA
Suzuki, R., Amatya, V.J., Kushitani, K., Kai, Y., Kambara, T., Fujii, Y., & Takeshima, Y. (2020). Inhibition of miR‑18a‑3p reduces proliferation of mesothelioma cells and sensitizes them to cisplatin. Oncology Letters, 19, 4161-4168. https://doi.org/10.3892/ol.2020.11504
MLA
Suzuki, R., Amatya, V. J., Kushitani, K., Kai, Y., Kambara, T., Fujii, Y., Takeshima, Y."Inhibition of miR‑18a‑3p reduces proliferation of mesothelioma cells and sensitizes them to cisplatin". Oncology Letters 19.6 (2020): 4161-4168.
Chicago
Suzuki, R., Amatya, V. J., Kushitani, K., Kai, Y., Kambara, T., Fujii, Y., Takeshima, Y."Inhibition of miR‑18a‑3p reduces proliferation of mesothelioma cells and sensitizes them to cisplatin". Oncology Letters 19, no. 6 (2020): 4161-4168. https://doi.org/10.3892/ol.2020.11504
Follow us
  • Twitter
  • LinkedIn
  • Facebook
About
  • Spandidos Publications
  • Careers
  • Cookie Policy
  • Privacy Policy
How can we help?
  • Help
  • Live Chat
  • Contact
  • Email to our Support Team