Spandidos Publications Logo
  • About
    • About Spandidos
    • Aims and Scopes
    • Abstracting and Indexing
    • Editorial Policies
    • Reprints and Permissions
    • Job Opportunities
    • Terms and Conditions
    • Contact
  • Journals
    • All Journals
    • Oncology Letters
      • Oncology Letters
      • Information for Authors
      • Editorial Policies
      • Editorial Board
      • Aims and Scope
      • Abstracting and Indexing
      • Bibliographic Information
      • Archive
    • International Journal of Oncology
      • International Journal of Oncology
      • Information for Authors
      • Editorial Policies
      • Editorial Board
      • Aims and Scope
      • Abstracting and Indexing
      • Bibliographic Information
      • Archive
    • Molecular and Clinical Oncology
      • Molecular and Clinical Oncology
      • Information for Authors
      • Editorial Policies
      • Editorial Board
      • Aims and Scope
      • Abstracting and Indexing
      • Bibliographic Information
      • Archive
    • Experimental and Therapeutic Medicine
      • Experimental and Therapeutic Medicine
      • Information for Authors
      • Editorial Policies
      • Editorial Board
      • Aims and Scope
      • Abstracting and Indexing
      • Bibliographic Information
      • Archive
    • International Journal of Molecular Medicine
      • International Journal of Molecular Medicine
      • Information for Authors
      • Editorial Policies
      • Editorial Board
      • Aims and Scope
      • Abstracting and Indexing
      • Bibliographic Information
      • Archive
    • Biomedical Reports
      • Biomedical Reports
      • Information for Authors
      • Editorial Policies
      • Editorial Board
      • Aims and Scope
      • Abstracting and Indexing
      • Bibliographic Information
      • Archive
    • Oncology Reports
      • Oncology Reports
      • Information for Authors
      • Editorial Policies
      • Editorial Board
      • Aims and Scope
      • Abstracting and Indexing
      • Bibliographic Information
      • Archive
    • Molecular Medicine Reports
      • Molecular Medicine Reports
      • Information for Authors
      • Editorial Policies
      • Editorial Board
      • Aims and Scope
      • Abstracting and Indexing
      • Bibliographic Information
      • Archive
    • World Academy of Sciences Journal
      • World Academy of Sciences Journal
      • Information for Authors
      • Editorial Policies
      • Editorial Board
      • Aims and Scope
      • Abstracting and Indexing
      • Bibliographic Information
      • Archive
    • International Journal of Functional Nutrition
      • International Journal of Functional Nutrition
      • Information for Authors
      • Editorial Policies
      • Editorial Board
      • Aims and Scope
      • Abstracting and Indexing
      • Bibliographic Information
      • Archive
    • International Journal of Epigenetics
      • International Journal of Epigenetics
      • Information for Authors
      • Editorial Policies
      • Editorial Board
      • Aims and Scope
      • Abstracting and Indexing
      • Bibliographic Information
      • Archive
    • Medicine International
      • Medicine International
      • Information for Authors
      • Editorial Policies
      • Editorial Board
      • Aims and Scope
      • Abstracting and Indexing
      • Bibliographic Information
      • Archive
  • Articles
  • Information
    • Information for Authors
    • Information for Reviewers
    • Information for Librarians
    • Information for Advertisers
    • Conferences
  • Language Editing
Spandidos Publications Logo
  • About
    • About Spandidos
    • Aims and Scopes
    • Abstracting and Indexing
    • Editorial Policies
    • Reprints and Permissions
    • Job Opportunities
    • Terms and Conditions
    • Contact
  • Journals
    • All Journals
    • Biomedical Reports
      • Information for Authors
      • Editorial Policies
      • Editorial Board
      • Aims and Scope
      • Abstracting and Indexing
      • Bibliographic Information
      • Archive
    • Experimental and Therapeutic Medicine
      • Information for Authors
      • Editorial Policies
      • Editorial Board
      • Aims and Scope
      • Abstracting and Indexing
      • Bibliographic Information
      • Archive
    • International Journal of Epigenetics
      • Information for Authors
      • Editorial Policies
      • Editorial Board
      • Aims and Scope
      • Abstracting and Indexing
      • Bibliographic Information
      • Archive
    • International Journal of Functional Nutrition
      • Information for Authors
      • Editorial Policies
      • Editorial Board
      • Aims and Scope
      • Abstracting and Indexing
      • Bibliographic Information
      • Archive
    • International Journal of Molecular Medicine
      • Information for Authors
      • Editorial Policies
      • Editorial Board
      • Aims and Scope
      • Abstracting and Indexing
      • Bibliographic Information
      • Archive
    • International Journal of Oncology
      • Information for Authors
      • Editorial Policies
      • Editorial Board
      • Aims and Scope
      • Abstracting and Indexing
      • Bibliographic Information
      • Archive
    • Medicine International
      • Information for Authors
      • Editorial Policies
      • Editorial Board
      • Aims and Scope
      • Abstracting and Indexing
      • Bibliographic Information
      • Archive
    • Molecular and Clinical Oncology
      • Information for Authors
      • Editorial Policies
      • Editorial Board
      • Aims and Scope
      • Abstracting and Indexing
      • Bibliographic Information
      • Archive
    • Molecular Medicine Reports
      • Information for Authors
      • Editorial Policies
      • Editorial Board
      • Aims and Scope
      • Abstracting and Indexing
      • Bibliographic Information
      • Archive
    • Oncology Letters
      • Information for Authors
      • Editorial Policies
      • Editorial Board
      • Aims and Scope
      • Abstracting and Indexing
      • Bibliographic Information
      • Archive
    • Oncology Reports
      • Information for Authors
      • Editorial Policies
      • Editorial Board
      • Aims and Scope
      • Abstracting and Indexing
      • Bibliographic Information
      • Archive
    • World Academy of Sciences Journal
      • Information for Authors
      • Editorial Policies
      • Editorial Board
      • Aims and Scope
      • Abstracting and Indexing
      • Bibliographic Information
      • Archive
  • Articles
  • Information
    • For Authors
    • For Reviewers
    • For Librarians
    • For Advertisers
    • Conferences
  • Language Editing
Login Register Submit
  • This site uses cookies
  • You can change your cookie settings at any time by following the instructions in our Cookie Policy. To find out more, you may read our Privacy Policy.

    I agree
Search articles by DOI, keyword, author or affiliation
Search
Advanced Search
presentation
Oncology Letters
Join Editorial Board Propose a Special Issue
Print ISSN: 1792-1074 Online ISSN: 1792-1082
Journal Cover
August-2020 Volume 20 Issue 2

Full Size Image

Sign up for eToc alerts
Recommend to Library

Journals

International Journal of Molecular Medicine

International Journal of Molecular Medicine

International Journal of Molecular Medicine is an international journal devoted to molecular mechanisms of human disease.

International Journal of Oncology

International Journal of Oncology

International Journal of Oncology is an international journal devoted to oncology research and cancer treatment.

Molecular Medicine Reports

Molecular Medicine Reports

Covers molecular medicine topics such as pharmacology, pathology, genetics, neuroscience, infectious diseases, molecular cardiology, and molecular surgery.

Oncology Reports

Oncology Reports

Oncology Reports is an international journal devoted to fundamental and applied research in Oncology.

Experimental and Therapeutic Medicine

Experimental and Therapeutic Medicine

Experimental and Therapeutic Medicine is an international journal devoted to laboratory and clinical medicine.

Oncology Letters

Oncology Letters

Oncology Letters is an international journal devoted to Experimental and Clinical Oncology.

Biomedical Reports

Biomedical Reports

Explores a wide range of biological and medical fields, including pharmacology, genetics, microbiology, neuroscience, and molecular cardiology.

Molecular and Clinical Oncology

Molecular and Clinical Oncology

International journal addressing all aspects of oncology research, from tumorigenesis and oncogenes to chemotherapy and metastasis.

World Academy of Sciences Journal

World Academy of Sciences Journal

Multidisciplinary open-access journal spanning biochemistry, genetics, neuroscience, environmental health, and synthetic biology.

International Journal of Functional Nutrition

International Journal of Functional Nutrition

Open-access journal combining biochemistry, pharmacology, immunology, and genetics to advance health through functional nutrition.

International Journal of Epigenetics

International Journal of Epigenetics

Publishes open-access research on using epigenetics to advance understanding and treatment of human disease.

Medicine International

Medicine International

An International Open Access Journal Devoted to General Medicine.

Journal Cover
August-2020 Volume 20 Issue 2

Full Size Image

Sign up for eToc alerts
Recommend to Library

  • Article
  • Citations
    • Cite This Article
    • Download Citation
    • Create Citation Alert
    • Remove Citation Alert
    • Cited By
  • Similar Articles
    • Related Articles (in Spandidos Publications)
    • Similar Articles (Google Scholar)
    • Similar Articles (PubMed)
  • Download PDF
  • Download XML
  • View XML
Article Open Access

Levels of MUC1 in tumours and serum of patients with different sub‑types of squamous cell carcinoma of the head and neck

  • Authors:
    • Linda Boldrup
    • Philip Coates
    • Xiaolian Gu
    • Lixiao Wang
    • Robin Fåhraeus
    • Torben Wilms
    • Nicola Sgaramella
    • Jonathan Baumgarth
    • Lena Norberg‑Spaak
    • Karin Nylander
  • View Affiliations / Copyright

    Affiliations: Department of Medical Biosciences, Umeå University, Umeå, Västerbotten 901 87, Sweden, Regional Centre for Applied Molecular Oncology, Masaryk Memorial Cancer Institute, Brno, Southern Moravia 656 53, Czech Republic, Department of Clinical Sciences, Umeå University Hospital, Umeå, Västerbotten 901 87, Sweden
    Copyright: © Boldrup et al. This is an open access article distributed under the terms of Creative Commons Attribution License.
  • Pages: 1709-1718
    |
    Published online on: June 17, 2020
       https://doi.org/10.3892/ol.2020.11746
  • Expand metrics +
Metrics: Total Views: 0 (Spandidos Publications: | PMC Statistics: )
Metrics: Total PDF Downloads: 0 (Spandidos Publications: | PMC Statistics: )
Cited By (CrossRef): 0 citations Loading Articles...

This article is mentioned in:



Abstract

Mucin 1 (MUC1) is a membrane‑bound and secreted glycoprotein that has a protective role in surface epithelia. We recently demonstrated that MUC1 mRNA expression was upregulated in tumour‑free tongue tissues adjacent to squamous cell carcinoma of the oral tongue (SCCOT) compared with that in the tumour tissues. The present study investigated MUC1 protein in SCCOT tissue and serum from patients with squamous cell carcinoma of the head and neck (SCCHN) at different sub‑sites. The results from immunohistochemistry demonstrated that all SCCOT tissues expressed MUC1; however, the protein levels were not correlated with MUC1 mRNA levels in the same tumours. Furthermore, serum MUC1 level was lower in patients with SCCOT, tonsil SCC and gingival SCC compared with that in healthy subjects; however, the difference was only significant for patients with SCCOT (P=0.0421). No correlation was seen between MUC1 level in tumour tissues and MUCI level in serum from the same patients. The absence of correlation between MUC1 protein and mRNA levels in SCCOT tissues emphasized the importance of validating genomic data in clinical samples. Although significant MUC1 downregulation was observed in the serum of patients with SCCOT, there was a large variation within the groups, suggesting that MUC1 may not be used as a biomarker for these types of tumors.

Introduction

Squamous cell carcinoma of the head and neck (SCCHN) is a heterogeneous group of malignancies that includes tumours from different locations within the head and neck area. More than 650,000 new cases are diagnosed every year worldwide and 330,000 death are caused by SCCHN (1) The most important sites in terms of number of cases are the oral cavity, oropharynx and larynx. The most well known risk factors are smoking and alcohol abuse (2), and for some sub-locations also HPV virus (3). From a functional and aesthetic aspect, SCCHN is a devastating disease with a low 5-year survival rate (4), mainly due to late detection and a high recurrence rate (5,6). Numerous studies have therefore focused on finding reliable markers for diagnostic and prognostic use (7–10).

In a recent RNA profiling analysis of tumour and clinically normal tongue tissues from patients with squamous cell carcinoma of the oral tongue (SCCOT), the tongue being the most prevalent subsite of SCCHN, several genes were reported to be dysregulated in normal tongue tissues compared with those in tumour tissues, which was also the case in tongue samples from healthy individuals (11). These findings indicated that these genes may serve a crucial role in tumour induction and may therefore act as potential biomarkers of early neoplastic changes. One of the top 10 upregulated genes in tumour-free tissues was mucin 1 (MUC1), which encodes a membrane bound and secreted member of the mucin family known to have a protective role in epithelial surfaces (12). MUC1 also plays an essential role in maintaining cell homeostasis, promotes cell survival and participates in cell signal transduction (13,14).

The soluble form of MUC1, which is often referred to as CA15-3, is generated by cleavage of the extracellular part of MUC1 from the cell surface by certain enzymes, including disintegrin and metalloproteases (15,16). Elevated MUC1 serum level is associated with shorter disease-free survival and overall survival time in patients with breast cancer (17). Since MUC1 is one of the most highly upregulated genes in tumour-free tongue tissues (7), it could be used as a potential marker of so-called ‘field changes’ in SCCOT. These changes could be due to pre-neoplastic genetic events or be indicative of environmental alterations predisposing to tumour formation (18,19). These field changes, including MUC1, could therefore represent biomarkers of early disease.

In order to investigate this further, the present study compared MUC1 protein levels to previous MUC1 mRNA levels in FFPE tumour material from the same patients analysed for MUC1 mRNA, and evaluated MUC1 level in the serum from patients with SCCHN of different subsites.

Materials and methods

Patient samples

Paraffin-embedded tissues from 25 SCCOT tumours were used for immunohistochemistry analysis, performed by the accredited lab in clinical pathology at Umeå University, Sweden. Positive controls were biopsies of breast skin from breast reduction surgery and informed consent from the patients was obtained at the time of surgery. Only primary cases of SCC from the mobile tongue, with full access to clinicopathological data were included. In addition, 11 of these patients were also included in the blood analysis (Table I). All patients provided informed consent at Umeå University Hospital and the study was approved by the local Ethics Committee (approval no. Dnr 08-003M). All samples were collected at Umeå University Hospital between February 2003 and August 2017 during a diagnostic biopsy procedure. All tumours are classified with the Tumor-Node-Metastasis (TNM) system according to the 7th edition (20).

Table I.

Clinical characteristics, QS for MUC1 in tissues and levels of serum MUC1 from patients with squamous cell carcinomas of the tongue.

Table I.

Clinical characteristics, QS for MUC1 in tissues and levels of serum MUC1 from patients with squamous cell carcinomas of the tongue.

ID SampleSexAge, yearsTNMLocalizationStatusRecurrenceCirculating MUC1, U/mlDegree of differentiation% of stained cells in tumorsIntensity of staining in tumourQuickscore for tumour
14F77T2N1M02ADFNo 1428 (Med)
29F64T2N0M02DWDYes 4212 (Low)
35F24T2N0M01DODYes 4111 (Low)
42F68T2N0M01DWDYes 35210 (Med)
49F52T4N2cM03DWDNo 55210 (Med)
51M74T2N0M01ADFNo 2224 (Low)
58M61T1N0M01ADFNo 5212 (Low)
59F68T2N0M01DODNo 1111 (Low)
61M69T4aN0M03DDFNo0.4764428 (Med)
65F81T2N0M03ADFNo0.5422
68M62T2N0M01DODYes0.5203428 (Med)
70M71T1N0M02ADFNo 3326 (Med)
73M80T4aN0M03DODYes 35210 (Med)
76M58T4aN0M03ADFNo 4326 (Med)
79M60T1N0M02ADFNo 3428 (Med)
82F19T4N0M02DODYes0.8184212 (Low)
83F64T1N0M02ADFNo0.3272
85F87T2N0M01DODYes 2224 (Low)
92F63T2N0M02DODYes 3326 (Med)
98M31T2N0M03ADFNo0.67035210 (Med)
99M64T4aN2cM03ADFNo0.9842
105M63T1N0M02ADFNo0.2723212 (Low)
111F31T1N0M02ADFNo0.3125428 (Med)
119M66T2N0M02ADFNo0.2702224 (Low)
124M54T4aN2bM03DODNever T free0.2753428 (Med)
127M27T1pN1M02ADFNo1.2333
131F74T2N0M02ADFNo0.4684122 (Low)
137F71T2N0M02ADFNo1.00746212 (Me)
138M50T2N1M02ADFNo1.3272122 (Low)
148M80T1N0M01ADFNo0.7674
149F69T1N0M02DADNo0.4192
154F42T1N1M01ADFNo0.5894
155F84T2N0M02?No1.6375
157M68T1N0M01ADFNo0.3113
187F73T1N0M01ADFNo1.6804
197M58T1N0M01ADFNo0.2954
204F73T1N0M02ADFNo0.4943
206F71T1N0M02ADFNo1.6003
212M52T4aN2bM01ADFYes0.3103
213F72T3N0M01ADFNo0.8822
89F80T4aN2bM04DODNo1.8984
91M54T4aN0M04ADFNo0.6252
100M52T4aN0M04DODNo1.2064
101M69T4aN1M04ADFNo0.3443
104F69T4aN0M04ADFNo1.1034
109M70T4aN0M04DODYes0.3763
129M59T3N0M04ADFNo0.2324
132M67T4apN2bM4ADFNo1.7063
133M33T4bN2bM04DODYes0.2683
134F84T4bN0M04?No3.8682
143F37T4aN0M04DODNo0.9793
146F81T4bN0M04ADFYes1.0353
170M67T4aN0M04ADFNo0.8722
184F80T4aN0M04ADFNo0.8403
188M55T4aN0M04ADFNo0.4253
199M56T4N0M04ADFNo0.2364
200F65T1N0M04ADFNo0.4373
210M73T4aN0M04ADFNo1.3503
211F83T2N0M04ADFNo0.7353
215M69T4aN3M04AWDNever T free2.6742
80M49T4aN2cM05??1.5884
95M53T3N0M05ADFNo0.4191
142M66T4aN2bM05DODYes1.2943
158M64T2N0M05ADFNo0.5231
160M71T2N2bM05ADFNo0.8313
163F77T2N2bM05DODYes0.9272
166M56T2N2bM05ADFNo0.8091
168M58T4aN2bM05ADFNo0.2341
180M61T4bN2bM05ADFNo1.3032
182M52T2N2bM05ADFNo0.2022
183M52T2N2bM05ADFNo0.3212
192M64T4aN2bM05DODNever T free0.2114
214M44T2N2aM05ADFNo0.35652

[i] QS=A × B; QS 1–5=low; QS 6–12=med. A, percentage of stained cells; B, intensity of staining; med, medium. Localization: 1, tongue; 2, border of the tongue; 3, tongue and outside mobile tongue; 4, gingiva; 5, tonsil. Degree of differentiation: 1, poor; 2, poor to medium; 3, medium, 4; medium to high, 5, high. ADF, alive disease-free; DWD, dead with disease; DOD, dead from other disease; DDF, dead disease-free; ?, not known; QS, quickscore; MUC1, mucin 1; TNM, Tumor-Node-Metastasis; Never T free; patient was never tumour free.

Blood collection

Blood was collected from healthy 28 controls, 26 patients with SCCOT, 20 patients with gingival SCC and 13 patients with tonsil SCC. Blood samples were collected in connection with diagnostic examination/surgical procedure. The inclusion criteria were the same as stated for the aforementioned patient samples. The clinicopathological information for all patients are presented in Table I; however, the data for the control cohort of 28 healthy volunteers (median age of 50.5 consisting of 17 females and 11 males) were not available. Peripheral blood (3 ml) was collected using standardized venipuncture procedures into vacutainers (SST™ II; cat. no. 368498; BD Biosciences) containing a serum separator, an acrylic-based gel that forms a barrier between the clot and the serum after centrifugation, but not an anticoagulant. Tubes were left standing for at least 30 min at room temperature after blood collection and centrifuged at 1,300 × g for 10 min at room temperature. The serum layer was subsequently collected and stored at −80°C until further use. All controls and patients provided informed consent at Umeå University Hospital and the study was approved by the local Ethics Committee (approval no. Dnr 08-003M).

Immunohistochemistry

Immunohistochemistry was performed in an accredited pathology laboratory at Umeå University Hospital, with positive controls (normal skin from breast taken at reduction surgery) included in each batch. In brief, paraffin-embedded SCCOT tissues were sectioned into 5-µm thick sections. Sections were pre-treated in EDTA-antigen retrieval solution (Cell Conditioning Solution, CC1; Ventana Medical Systems, Inc.) for 64 min and then incubated with the primary antibody against MUC1 in 36°C (ready to use, Roche Diagnostics; cat. no. 790-4574 H2) for 32 min. Detection was performed with an ULTRAVIEW kit (cat. no. 760-500; Ventana Medical Systems, Inc.) following the manufacturers' protocols. MUC1 staining was evaluated by determining a quickscore (QS) system (21) using the light microscope, Olympus BX51 with a magnification of 3.2X and 20X. The percentage of MUC1-expressing tumour cells ranged from 1 to 6 as follows: 0–4%, score 1; 5–19%, score 2; 20–39%, score 3; 40–59%, score 4; 60–79%, score 5; and 80–100%, score 6. The staining intensity was classified as follows: Negative, score 0; weak, score 1; intermediate, score 2; or strong, score 3. The QS was obtained by multiplying the expression and intensity scores, which provided a range from 0 to 18. QS between 1–5 are interpreted as low expression and QS between 6–12 medium expression. The scoring was performed blinded by two individuals, and in cases of disagreement, slides were re-evaluated and discussed until a consensus score was given. Differentiation of tumours were classified as poor, poor-moderate, moderate, moderate-high and high.

MUC1 blood detection

Serum samples were analysed using the R-PLEX Human CA15.3 Antibody Set (Meso Scale Diagnostics). The R-plex singleplex assay protocol was followed. Briefly, a 96-well plate was coated with 200 µl biotinylated capture antibody (Meso Scale Diagnostics) in coating diluent consisting of 0.5% BSA (Roche Diagnostics) in PBS for 1 h at room temperature with agitation, and subsequently washed with PBS containing 0.05% Tween. Eight calibrator standards (25 µl) of a 4-fold serial dilution were prepared from the Meso Scale Diagnostics supplied calibrator in triplicate. Serum samples were diluted 5-fold (total volume 25 µl). Plates were incubated for 1 h, with agitation, at room temperature. After washing with PBS with 0.05% Tween, 50 µl detection antibody solution was added to each well and incubated for 1 h at room temperature under shaking. The plate was washed with PBS with 0.05% Tween before adding 150 µl MSD GOLD read buffer (from the aforementioned kit) to each well. The plate was immediately analysed using an Meso scale Diagnostics instrument, MESO QuickPlex SQ120 (Meso Scale Diagnostics). MUC1 concentration (U/ml) was calculated from the calibrator standard curve.

Statistical methods

Data were analyzed using SPSS version 26 (IBM Corp.). For comparison of MUC1 serum levels in SCCHN and controls, the non-parametric Mann-Whitney U test was used, and for comparison between controls and multiple sub-groups, Kruskal-Wallis test with Dunn's post hoc test was used. To investigate the correlation between MUC1 protein levels in tissue and MUC1 RNA expression in tissue, and between MUC1 protein levels in serum and tissue, Spearman correlation coefficient (ρ) was used. Furthermore, patients were divided into two groups depending on the QS score as follows: MUC1 low, represented by a QS of 1 to 5; and MUC1 medium, represented by a QS of 6 to 12. The associations between clinicopathological characteristics of patients and the MUC1 serum levels were determined by using the χ2 test. For parameters where ≥20% of the cells had an expected count of <5, Fisher's exact test was used instead. For associations between categorized clinicopathological variables and circulating MUC1, Mann-Whitney U or Kruskal-Wallis test were used. One-way ANCOVA was used to correct for age in the comparison of gender. P<0.05 was considered to indicate a statistically significant difference.

Results

MUC1 protein expression was evaluated in primary SCCOT tissues. The results demonstrated that MUC1 was primarily located in the plasma membrane; however, MUC1 was also located in the cytoplasm of some samples (Fig. 1). All 25 tumours analysed expressed MUC1, with 11 tumours presenting low levels (QS 1–5) and 14 presenting medium levels (QS 6–12). No tumour had a QS >12 (Table I). No correlation between QS and our previously measured mRNA levels (11) was observed (ρ=0.11; P=0.599) (data not shown).

Figure 1.

Representative images of tissues following MUC1 immunohistochemistry: (A) Patient 137 with medium levels of MUC1 and (B) patient 131 with low levels of MUC1. MUC1, mucin 1.

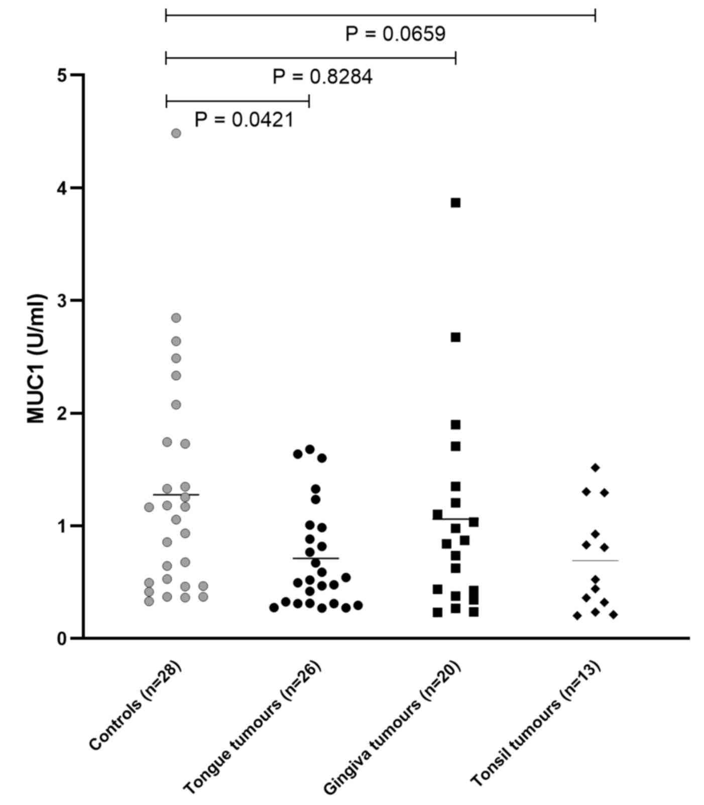
The levels of circulating MUC1 were measured in serum from patients with SCCOT and controls. The results demonstrated that MUC1 serum level was significantly downregulated in patients with SCCOT compared with that in controls (P=0.0421; Fig. 2 and Table II). Serum from patients with gingival (n=20) and tonsil (n=13) SCC were also analysed and the results demonstrated that MUC1 serum level was downregulated in both gingival (P=0.8284) and tonsillar (P=0.0659) tumours compared with the controls, although this difference was not significant (Fig. 2 and Table II). No correlation was observed between MUC1 expression in tumour tissues (QS values) and circulating MUC1 levels in the 11 patients with both tissue and serum (ρ=0.157, P=0.644) (data not shown).

Figure 2.

Detection of circulating MUC1 in serum of patients with squamous cell carcinomas of the oral tongue. Samples were collected from patients with SCCOT tongue SCC (n=26), gingival SCC (n=20) and tonsil SCC (n=13), and were compared with the control group (n=28). SCC, squamous cell carcinoma; SCCOT, squamous cell carcinoma of the oral tongue.

Table II.

Levels of circulating MUC1 in patients with SCCHN.

Table II.

Levels of circulating MUC1 in patients with SCCHN.

MUC1 serum level, U/ml

Sample groupNumberMean ± SDMedianFold-changeP-value
Total870.97±0.800.77
Controls281.28±0.981.11
SCCHN590.83±0.660.630.650.013a
  Tongue260.71±0.450.530.550.042b
  Gingiva201.06±0.910.860.830.828b
  Tonsils130.97±0.800.770.760.066b

a Mann-Whitney U

b Kruskal-Wallis with Dunn's correction. SCCHN, squamous cell carcinoma of the head and neck; SD, standard deviation; MUC1, mucin 1.

To investigate the association between the clinicopathological characteristics and MUC1 protein expression in tissue, patients with low (QS of 1–5) and medium (QS of 6–12) levels were compared. Of all characteristics tested, the only significant association was seen for the degree of differentiation, where half of the tumours (5/10; 50%) with moderate-high or high differentiation showed medium expression, whereas only 1 out of 6 (17%) of the tumours with poor-moderate or poor differentiation showed medium expression (Table III). In addition, comparison between the same clinicopathological characteristics and MUC1 serum level was performed. By comparing the age groups using Kruskal Wallis, it was demonstrated that MUC1 serum levels were different in the different age groups; however, using Spearman's correlation analysis the MUC1 serum levels were not correlated (rs=0.257). Women had a significantly higher age (mean, 67.3 years) compared with the men (mean 58.3 years), and a one-way ANCOVA was used to correct for age when comparing the sexes, and the results showed no association between men and women (Table IV).

Table III.

Association between MUC1 protein in tissue and clinicopathological characteristics of patients with SCCOT.

Table III.

Association between MUC1 protein in tissue and clinicopathological characteristics of patients with SCCOT.

MUC1 levels in SCCOT tumours

CharacteristicQS 1–5 (low), nQS 6–12 (medium), nTotal, nP-value
Age at diagnosis, years 0.936a
  <40224
  41-654610
  ≥665611
Sex 0.561a
  Female6612
  Male5813
T Stage 0.180b
  T1, T210919
  T3, T4156
Lymph node status 0.604b
  Negative101121
  Positive134
TNM stage 0.234b
  I, II9817
  III, IV268
Degree of differentiation 0.022b
  Poor268
  Poor-moderate112
  Moderate404
  Moderate-high437
  High123
Recurrence 0.556b
  No7916
  Yes448
Overall survival 0.821a
  Yes6713
  No5712

{ label (or @symbol) needed for fn[@id='tfn4-ol-0-0-11746'] } One patient was never tumour free, therefore it cannot be determined if the patient developed recurrence or not.

a χ2 test

b Fisher's exact test. TNM, Tumor-Node-Metastasis; QS, quickscore; MUC1, mucin 1. Overall survival, alive at least 2 years after end of treatment.

Table IV.

Associations between circulating MUC1 levels and clinicopathological characteristics of patients with squamous cell carcinoma of the head and neck.

Table IV.

Associations between circulating MUC1 levels and clinicopathological characteristics of patients with squamous cell carcinoma of the head and neck.

CharacteristicnMean ± SDMedianP-value
Age at diagnosis, years 0.004a
  <40  60.71±0.380.74
  41-65250.56±0.400.42
  ≥66281.09±0.790.88
Sex 0.216b
  Female221.03±0.780.86
  Male370.71±0.550.48
T stage 0.324c
  T1, T2290.69±0.440.52
T  3, T4300.96±0.810.86
Lymph node metastasis 0.778c
  Negative370.78±0.660.52
  Positive220.86±0.670.86
TNM stage 0.313c
  I, II200.66±0.460.51
  III, IV390.91±0.730.83
Degree of differentiation 0.847a
  Poor  40.50±0.240.47
  Poor-moderate160.99±0.980.75
  Moderate220.74±0.460.60
  Moderate-high150.84±0.560,77
  High  20.98±0.940.98
Recurrence 0.806c
  No470.82±0.650.63
  Yes  80.69±0.380.67
Overall survival 0.321c
  Yes430.74±0.520.59
  No161.05±0.920.87

{ label (or @symbol) needed for fn[@id='tfn7-ol-0-0-11746'] } Recurrence status is missing for the patients that are never tumour free.

a Kruskal-Wallis with Dunn's post hoc test

b One-way ANCOVA corrected for age

c Mann-Whitney U. SCCOT, squamous cell carcinomas of the oral tongue.

Discussion

In agreement with previous immunohistochemical studies on SCCHN and oral squamous cell carcinoma (22–24), the present study reported the presence of MUC1 in all SCCOT tissues analysed; however, MUC1 expression in the tissues was not correlated with previously measured mRNA levels in the same tumour tissue specimens (11). This inconsistency suggested that MUC1 protein level is regulated after mRNA synthesis, via post-transcriptional, translational, post-translational and protein degradation pathways. It has been reported that only 40% of protein concentration variation can be explained by corresponding changes in mRNA levels (25,26). The differences in MUC1 protein and mRNA levels in tissues must be further validated to determine the value of these levels as diagnostic and prognostic markers.

Regarding the clinicopathological characteristics of patients with SCCOT, the degree of differentiation was the only characteristic associated with MUC1 serum level. Here, only 1 of the 6 tumours with poor-moderate or poor differentiation showed medium MUC1 expression, whereas 50% of the high-moderate or high differentiated tumours did. This result could mirror the homeostatic function exerted by MUC1 in epithelia with levels kept higher in highly differentiated tumours more resembling the normal epithelium.

The soluble MUC1 level in the circulation was also analysed, since it has been reported as a biomarker for cancer staging and relapse monitoring in patients with breast and gastrointestinal tumours (27,28). Patients with breast cancer and presenting with high levels of circulating MUC1 have a significantly shorter overall survival time compared with patients with low levels (29), and levels of soluble MUC1 have been used for monitoring the therapeutic effect in patients with metastatic disease (30). In the present study, a significant downregulation of MUC1 in serum from patients with tongue SCC was observed compared with that in serum from control patients, but not from patients with gingival and tonsil SCC. This was another example of subsite tissue-specific alteration, which has been previously reported within the whole head and neck region (31–33). In addition, none of the patients in the present study possessed high levels of MUC1 (CA15-3) that are used clinically in breast cancer with cut-off values of 20–30 U/ml or higher (17,18,20), 4 U/ml was the highest level measured in the patients from the present study. These data in SCCHN, including SCCOT, were therefore similar to those in other types of cancer in which circulating MUC1 levels only had prognostic value in a minority of patients with large and/or widespread disease at the time of diagnosis (30). The result from immunohistochemistry showing that SCCOT tissues may be strongly positive for MUC1 but not correlated with serum levels may also be due to variable levels of MUC1 shedding, depending on expression and activity of sheddases and their inhibitors (15,16).

The present study demonstrated that MUC1 circulating level was associated with sex, and women presented with significantly more tumours with high MUC1 expression (68%) than men (38%). However, the mean age of women was higher (67.3 years) than men (58.3 years), which is a factor that could affect normal processes within the epithelium.

There are many different models for studying cancer, including primary cultures of cancer cells (34,35); a cell line model can never completely mimic what happens in an entire organism. For future studies on the function of MUC1 in cancer cells, a cancer cell line model can be useful in order to assess MUC1 interactions with other molecules. A correlation between MUC1 expression with E-cadherin and β-catenin expression has been previously reported in pancreatic and breast cancer cell lines where decreased expression of MUC1 leads to increased expression of E-cadherin and β-catenin and thus, to altered cell migration (36). A previous study on colorectal cancer also demonstrated that MUC1 is involved in the tumoral process when p53 is overexpressed (37).

In conclusion, the present study demonstrated that there was no correlation between MUC1 mRNA expression and MUC1 protein expression in SCCOT tissues, suggesting the importance of validating genomic data in clinical samples. Furthermore, the large variations in serum levels of MUC1 observed within the subgroups of SCCHN patients indicated that MUC1 may not be used in clinical practice as a serum biomarker for these types of tumours. Although the number of samples studied was limited, all samples were collected according to strict inclusion criteria and at the same hospital, and were handled by two experienced researchers, making the groups as homogenous as possible.

Acknowledgements

Not applicable.

Funding

This work was supported by grants from the Cancer Research Foundation in Northern Sweden, Lion´s Cancer Research Foundation, Umeå University, the Swedish Cancer Society (contract number 18 0542) and Region Västerbotten in Sweden. Grants by Ministry of Health, Czech Republic - conceptual development of research organization (MMCI, 00209805).

Availability of data and materials

All data generated or analyzed during the present study are included in this published article.

Authors' contributions

LB designed the study, performed the experiments and analyzed data. KN designed and supervised the project. RF assisted in designing the study. LB, RF, KN and PC wrote the manuscript. PC analyzed data. XG and LW analyzed data and revised the manuscript. TW, NS, JB and LNS provided medical materials, clinical data and assisted in the analysis of clinical data. All authors read and approved the final manuscript.

Ethics approval and consent to participate

All patients provided informed consent and the study was approved by the Local Ethics Committee at Umeå University Hospital, Sweden (approval no. Dnr 08-003M).

Patient consent for publication

Not applicable.

Competing interests

The authors declare that they have no competing interests.

References

1 

Bray F, Ferlay J, Soerjomataram I, Siegel RL, Torre LA and Jemal A: Global cancer statistics 2018: GLOBOCAN estimates of incidence and mortality worldwide for 36 cancers in 185 countries. CA Cancer J Clin. 68:394–424. 2018. View Article : Google Scholar : PubMed/NCBI

2 

Lubin JH, Purdue M, Kelsey K, Zhang ZF, Winn D, Wei Q, Talamini R, Szeszenia-Dabrowska N, Sturgis EM, Smith E, et al: Total exposure and exposure rate effects for alcohol and smoking and risk of head and neck cancer: A pooled analysis of case-control studies. Am J Epidemiol. 170:937–947. 2009. View Article : Google Scholar : PubMed/NCBI

3 

Mork J, Lie AK, Glattre E, Hallmans G, Jellum E, Koskela P, Møller B, Pukkala E, Schiller TJ, Youngman L, et al: Human papillomavirus infection as a risk factor for squamous-cell carcinoma of the head and neck. N Engl J Med. 344:1125–1131. 2001. View Article : Google Scholar : PubMed/NCBI

4 

Siegel RL, Miller KD and Jemal A: Cancer statistics, 2015. CA Cancer J Clin. 65:5–29. 2015. View Article : Google Scholar : PubMed/NCBI

5 

Agra IM, Carvalho AL, Pinto CA, Martins EP, Filho JG, Soares FA and Kowalski LP: Biological markers and prognosis in recurrent oral cancer after salvage surgery. Arch Otolaryngol Head Neck Surg. 134:743–749. 2008. View Article : Google Scholar : PubMed/NCBI

6 

Carvalho AL, Magrin J and Kowalski LP: Sites of recurrence in oral and oropharyngeal cancers according to the treatment approach. Oral Dis. 9:112–118. 2003. View Article : Google Scholar : PubMed/NCBI

7 

Sgaramella N, Gu X, Boldrup L, Coates PJ, Fahraeus R, Califano L, Tartaro G, Colella G, Spaak LN, Strom A, et al: Searching for new targets and treatments in the battle against squamous cell carcinoma of the head and neck, with specific focus on tumours of the tongue. Curr Top Med Chem. 18:214–218. 2018. View Article : Google Scholar : PubMed/NCBI

8 

Li G, Da M, Zhang W, Wu H, Ye J, Chen J, Ma L, Gu N, Wu Y and Song X: Alteration of serum lipid profile and its prognostic value in head and neck squamous cell carcinoma. J Oral Pathol Med. 45:167–172. 2016. View Article : Google Scholar : PubMed/NCBI

9 

Schaaij-Visser TB, Brakenhoff RH, Leemans CR, Heck AJ and Slijper M: Protein biomarker discovery for head and neck cancer. J Proteomics. 73:1790–1803. 2010. View Article : Google Scholar : PubMed/NCBI

10 

Hsiung DT, Marsit CJ, Houseman EA, Eddy K, Furniss CS, McClean MD and Kelsey KT: Global DNA methylation level in whole blood as a biomarker in head and neck squamous cell carcinoma. Cancer Epidemiol Biomarkers Prev. 16:108–114. 2007. View Article : Google Scholar : PubMed/NCBI

11 

Boldrup L, Gu X, Coates PJ, Norberg-Spaak L, Fahraeus R, Laurell G, Wilms T and Nylander K: Gene expression changes in tumor free tongue tissue adjacent to tongue squamous cell carcinoma. Oncotarget. 8:19389–19402. 2017. View Article : Google Scholar : PubMed/NCBI

12 

van Putten JPM and Strijbis K: Transmembrane mucins: Signaling receptors at the intersection of inflammation and cancer. J Innate Immun. 9:281–299. 2017. View Article : Google Scholar : PubMed/NCBI

13 

Lau SK, Weiss LM and Chu PG: Differential expression of MUC1, MUC2, and MUC5AC in carcinomas of various sites: An immunohistochemical study. Am J Clin Pathol. 122:61–69. 2004. View Article : Google Scholar : PubMed/NCBI

14 

Ahmad R, Rajabi H, Kosugi M, Joshi MD, Alam M, Vasir B, Kawano T, Kharbanda S and Kufe D: MUC1-C oncoprotein promotes STAT3 activation in an autoinductive regulatory loop. Sci Signal. 4:ra92011. View Article : Google Scholar : PubMed/NCBI

15 

Carson DD: The cytoplasmic tail of MUC1: A very busy place. Sci Signal. 1:pe352008. View Article : Google Scholar : PubMed/NCBI

16 

Thathiah A and Carson DD: MT1-MMP mediates MUC1 shedding independent of TACE/ADAM17. Biochem J. 382:363–373. 2004. View Article : Google Scholar : PubMed/NCBI

17 

Li X, Dai D, Chen B, Tang H, Xie X and Wei W: Clinicopathological and prognostic significance of cancer antigen 15-3 and carcinoembryonic antigen in breast cancer: A meta-analysis including 12,993 patients. Dis Markers. 2018:98630922018. View Article : Google Scholar : PubMed/NCBI

18 

Angadi PV, Savitha JK, Rao SS and Sivaranjini Y: Oral field cancerization: Current evidence and future perspectives. Oral Maxillofac Surg. 16:171–180. 2012. View Article : Google Scholar : PubMed/NCBI

19 

Lochhead P, Chan AT, Nishihara R, Fuchs CS, Beck AH, Giovannucci E and Ogino S: Etiologic field effect: Reappraisal of the field effect concept in cancer predisposition and progression. Mod Pathol. 28:14–29. 2015. View Article : Google Scholar : PubMed/NCBI

20 

Sobin LH, Gospodarowicz MK and Wittekind C: TNM classification of malignant tumours. 7th. Wiley-Blackwell; Chichester, West Sussex: 2009

21 

Detre S, Saclani Jotti G and Dowsett M: A ‘quickscore’ method for immunohistochemical semiquantitation: Validation for oestrogen receptor in breast carcinomas. J Clin Pathol. 48:876–878. 1995. View Article : Google Scholar : PubMed/NCBI

22 

Croce CM and Calin GA: miRNAs, cancer, and stem cell division. Cell. 122:6–7. 2005. View Article : Google Scholar : PubMed/NCBI

23 

Kumar MH, Sanjai K, Kumarswamy J, Keshavaiah R, Papaiah L and Divya S: Expression of MUC1 mucin in potentially malignant disorders, oral squamous cell carcinoma and normal oral mucosa: An immunohistochemical study. J Oral Maxillofac Pathol. 20:214–218. 2016. View Article : Google Scholar : PubMed/NCBI

24 

Nitta T, Sugihara K, Tsuyama S and Murata F: Immunohistochemical study of MUC1 mucin in premalignant oral lesions and oral squamous cell carcinoma: Association with disease progression, mode of invasion, and lymph node metastasis. Cancer. 88:245–254. 2000. View Article : Google Scholar : PubMed/NCBI

25 

de Sousa Abreu R, Penalva LO, Marcotte EM and Vogel C: Global signatures of protein and mRNA expression levels. Mol Biosyst. 5:1512–1526. 2009.PubMed/NCBI

26 

Maier T, Guell M and Serrano L: Correlation of mRNA and protein in complex biological samples. FEBS Lett. 583:3966–3973. 2009. View Article : Google Scholar : PubMed/NCBI

27 

Safi F, Kohler I, Rottinger E and Beger H: The value of the tumor marker CA 15-3 in diagnosing and monitoring breast cancer. A comparative study with carcinoembryonic antigen. Cancer. 68:574–582. 1991. View Article : Google Scholar : PubMed/NCBI

28 

Steinberg W: The clinical utility of the CA 19-9 tumor-associated antigen. Am J Gastroenterol. 85:350–355. 1990.PubMed/NCBI

29 

Duffy MJ, Duggan C, Keane R, Hill ASK, McDermott E, Crown J and O'Higgins N: High preoperative CA 15-3 concentrations predict adverse outcome in node-negative and node-positive breast cancer: Study of 600 patients with histologically confirmed breast cancer. Clin Chem. 50:559–563. 2004. View Article : Google Scholar : PubMed/NCBI

30 

Duffy MJ, Evoy D and McDermott EW: CA 15-3: Uses and limitation as a biomarker for breast cancer. Clin Chim Acta. 411:1869–1874. 2010. View Article : Google Scholar : PubMed/NCBI

31 

Boldrup L, Coates PJ, Laurell G and Nylander K: Differences in p63 expression in SCCHN tumours of different sub-sites within the oral cavity. Oral Oncol. 47:861–865. 2011. View Article : Google Scholar : PubMed/NCBI

32 

Boldrup L, Coates PJ, Wahlgren M, Laurell G and Nylander K: Subsite-based alterations in miR-21, miR-125b, and miR-203 in squamous cell carcinoma of the oral cavity and correlation to important target proteins. J Carcinog. 11:182012. View Article : Google Scholar : PubMed/NCBI

33 

Ledgerwood LG, Kumar D, Eterovic AK, Wick J, Chen K, Zhao H, Tazi L, Manna P, Kerley S, Joshi R, et al: The degree of intratumor mutational heterogeneity varies by primary tumor sub-site. Oncotarget. 7:27185–27198. 2016. View Article : Google Scholar : PubMed/NCBI

34 

De Vita A, Miserocchi G, Recine F, Mercatali L, Pieri F, Medri L, Bongiovanni A, Cavaliere D, Liverani C, Spadazzi C, et al: Activity of eribulin in a primary culture of well-differentiated/dedifferentiated adipocytic sarcoma. Molecules. 21:16622016. View Article : Google Scholar

35 

Oppel F, Shao S, Schurmann M, Goon P, Albers AE and Sudhoff H: An effective primary head and neck squamous cell carcinoma in vitro model. Cells. 8:5552019. View Article : Google Scholar

36 

Yuan Z, Wong S, Borrelli A and Chung MA: Down-regulation of MUC1 in cancer cells inhibits cell migration by promoting E-cadherin/catenin complex formation. Biochem Biophys Res Commun. 362:740–746. 2007. View Article : Google Scholar : PubMed/NCBI

37 

Tanimoto T, Tanaka S, Haruma K, Yoshihara M, Sumii K, Kajiyama G, Shimamoto F and Kohno N: MUC1 expression in intramucosal colorectal neoplasms. Possible involvement in histogenesis and progression. Oncology. 56:223–231. 1999. View Article : Google Scholar : PubMed/NCBI

Related Articles

  • Abstract
  • View
  • Download
  • Twitter
Copy and paste a formatted citation
Spandidos Publications style
Boldrup L, Coates P, Gu X, Wang L, Fåhraeus R, Wilms T, Sgaramella N, Baumgarth J, Norberg‑Spaak L, Nylander K, Nylander K, et al: Levels of MUC1 in tumours and serum of patients with different sub‑types of squamous cell carcinoma of the head and neck. Oncol Lett 20: 1709-1718, 2020.
APA
Boldrup, L., Coates, P., Gu, X., Wang, L., Fåhraeus, R., Wilms, T. ... Nylander, K. (2020). Levels of MUC1 in tumours and serum of patients with different sub‑types of squamous cell carcinoma of the head and neck. Oncology Letters, 20, 1709-1718. https://doi.org/10.3892/ol.2020.11746
MLA
Boldrup, L., Coates, P., Gu, X., Wang, L., Fåhraeus, R., Wilms, T., Sgaramella, N., Baumgarth, J., Norberg‑Spaak, L., Nylander, K."Levels of MUC1 in tumours and serum of patients with different sub‑types of squamous cell carcinoma of the head and neck". Oncology Letters 20.2 (2020): 1709-1718.
Chicago
Boldrup, L., Coates, P., Gu, X., Wang, L., Fåhraeus, R., Wilms, T., Sgaramella, N., Baumgarth, J., Norberg‑Spaak, L., Nylander, K."Levels of MUC1 in tumours and serum of patients with different sub‑types of squamous cell carcinoma of the head and neck". Oncology Letters 20, no. 2 (2020): 1709-1718. https://doi.org/10.3892/ol.2020.11746
Copy and paste a formatted citation
x
Spandidos Publications style
Boldrup L, Coates P, Gu X, Wang L, Fåhraeus R, Wilms T, Sgaramella N, Baumgarth J, Norberg‑Spaak L, Nylander K, Nylander K, et al: Levels of MUC1 in tumours and serum of patients with different sub‑types of squamous cell carcinoma of the head and neck. Oncol Lett 20: 1709-1718, 2020.
APA
Boldrup, L., Coates, P., Gu, X., Wang, L., Fåhraeus, R., Wilms, T. ... Nylander, K. (2020). Levels of MUC1 in tumours and serum of patients with different sub‑types of squamous cell carcinoma of the head and neck. Oncology Letters, 20, 1709-1718. https://doi.org/10.3892/ol.2020.11746
MLA
Boldrup, L., Coates, P., Gu, X., Wang, L., Fåhraeus, R., Wilms, T., Sgaramella, N., Baumgarth, J., Norberg‑Spaak, L., Nylander, K."Levels of MUC1 in tumours and serum of patients with different sub‑types of squamous cell carcinoma of the head and neck". Oncology Letters 20.2 (2020): 1709-1718.
Chicago
Boldrup, L., Coates, P., Gu, X., Wang, L., Fåhraeus, R., Wilms, T., Sgaramella, N., Baumgarth, J., Norberg‑Spaak, L., Nylander, K."Levels of MUC1 in tumours and serum of patients with different sub‑types of squamous cell carcinoma of the head and neck". Oncology Letters 20, no. 2 (2020): 1709-1718. https://doi.org/10.3892/ol.2020.11746
Follow us
  • Twitter
  • LinkedIn
  • Facebook
About
  • Spandidos Publications
  • Careers
  • Cookie Policy
  • Privacy Policy
How can we help?
  • Help
  • Live Chat
  • Contact
  • Email to our Support Team