Spandidos Publications Logo
  • About
    • About Spandidos
    • Aims and Scopes
    • Abstracting and Indexing
    • Editorial Policies
    • Reprints and Permissions
    • Job Opportunities
    • Terms and Conditions
    • Contact
  • Journals
    • All Journals
    • Oncology Letters
      • Oncology Letters
      • Information for Authors
      • Editorial Policies
      • Editorial Board
      • Aims and Scope
      • Abstracting and Indexing
      • Bibliographic Information
      • Archive
    • International Journal of Oncology
      • International Journal of Oncology
      • Information for Authors
      • Editorial Policies
      • Editorial Board
      • Aims and Scope
      • Abstracting and Indexing
      • Bibliographic Information
      • Archive
    • Molecular and Clinical Oncology
      • Molecular and Clinical Oncology
      • Information for Authors
      • Editorial Policies
      • Editorial Board
      • Aims and Scope
      • Abstracting and Indexing
      • Bibliographic Information
      • Archive
    • Experimental and Therapeutic Medicine
      • Experimental and Therapeutic Medicine
      • Information for Authors
      • Editorial Policies
      • Editorial Board
      • Aims and Scope
      • Abstracting and Indexing
      • Bibliographic Information
      • Archive
    • International Journal of Molecular Medicine
      • International Journal of Molecular Medicine
      • Information for Authors
      • Editorial Policies
      • Editorial Board
      • Aims and Scope
      • Abstracting and Indexing
      • Bibliographic Information
      • Archive
    • Biomedical Reports
      • Biomedical Reports
      • Information for Authors
      • Editorial Policies
      • Editorial Board
      • Aims and Scope
      • Abstracting and Indexing
      • Bibliographic Information
      • Archive
    • Oncology Reports
      • Oncology Reports
      • Information for Authors
      • Editorial Policies
      • Editorial Board
      • Aims and Scope
      • Abstracting and Indexing
      • Bibliographic Information
      • Archive
    • Molecular Medicine Reports
      • Molecular Medicine Reports
      • Information for Authors
      • Editorial Policies
      • Editorial Board
      • Aims and Scope
      • Abstracting and Indexing
      • Bibliographic Information
      • Archive
    • World Academy of Sciences Journal
      • World Academy of Sciences Journal
      • Information for Authors
      • Editorial Policies
      • Editorial Board
      • Aims and Scope
      • Abstracting and Indexing
      • Bibliographic Information
      • Archive
    • International Journal of Functional Nutrition
      • International Journal of Functional Nutrition
      • Information for Authors
      • Editorial Policies
      • Editorial Board
      • Aims and Scope
      • Abstracting and Indexing
      • Bibliographic Information
      • Archive
    • International Journal of Epigenetics
      • International Journal of Epigenetics
      • Information for Authors
      • Editorial Policies
      • Editorial Board
      • Aims and Scope
      • Abstracting and Indexing
      • Bibliographic Information
      • Archive
    • Medicine International
      • Medicine International
      • Information for Authors
      • Editorial Policies
      • Editorial Board
      • Aims and Scope
      • Abstracting and Indexing
      • Bibliographic Information
      • Archive
  • Articles
  • Information
    • Information for Authors
    • Information for Reviewers
    • Information for Librarians
    • Information for Advertisers
    • Conferences
  • Language Editing
Spandidos Publications Logo
  • About
    • About Spandidos
    • Aims and Scopes
    • Abstracting and Indexing
    • Editorial Policies
    • Reprints and Permissions
    • Job Opportunities
    • Terms and Conditions
    • Contact
  • Journals
    • All Journals
    • Biomedical Reports
      • Information for Authors
      • Editorial Policies
      • Editorial Board
      • Aims and Scope
      • Abstracting and Indexing
      • Bibliographic Information
      • Archive
    • Experimental and Therapeutic Medicine
      • Information for Authors
      • Editorial Policies
      • Editorial Board
      • Aims and Scope
      • Abstracting and Indexing
      • Bibliographic Information
      • Archive
    • International Journal of Epigenetics
      • Information for Authors
      • Editorial Policies
      • Editorial Board
      • Aims and Scope
      • Abstracting and Indexing
      • Bibliographic Information
      • Archive
    • International Journal of Functional Nutrition
      • Information for Authors
      • Editorial Policies
      • Editorial Board
      • Aims and Scope
      • Abstracting and Indexing
      • Bibliographic Information
      • Archive
    • International Journal of Molecular Medicine
      • Information for Authors
      • Editorial Policies
      • Editorial Board
      • Aims and Scope
      • Abstracting and Indexing
      • Bibliographic Information
      • Archive
    • International Journal of Oncology
      • Information for Authors
      • Editorial Policies
      • Editorial Board
      • Aims and Scope
      • Abstracting and Indexing
      • Bibliographic Information
      • Archive
    • Medicine International
      • Information for Authors
      • Editorial Policies
      • Editorial Board
      • Aims and Scope
      • Abstracting and Indexing
      • Bibliographic Information
      • Archive
    • Molecular and Clinical Oncology
      • Information for Authors
      • Editorial Policies
      • Editorial Board
      • Aims and Scope
      • Abstracting and Indexing
      • Bibliographic Information
      • Archive
    • Molecular Medicine Reports
      • Information for Authors
      • Editorial Policies
      • Editorial Board
      • Aims and Scope
      • Abstracting and Indexing
      • Bibliographic Information
      • Archive
    • Oncology Letters
      • Information for Authors
      • Editorial Policies
      • Editorial Board
      • Aims and Scope
      • Abstracting and Indexing
      • Bibliographic Information
      • Archive
    • Oncology Reports
      • Information for Authors
      • Editorial Policies
      • Editorial Board
      • Aims and Scope
      • Abstracting and Indexing
      • Bibliographic Information
      • Archive
    • World Academy of Sciences Journal
      • Information for Authors
      • Editorial Policies
      • Editorial Board
      • Aims and Scope
      • Abstracting and Indexing
      • Bibliographic Information
      • Archive
  • Articles
  • Information
    • For Authors
    • For Reviewers
    • For Librarians
    • For Advertisers
    • Conferences
  • Language Editing
Login Register Submit
  • This site uses cookies
  • You can change your cookie settings at any time by following the instructions in our Cookie Policy. To find out more, you may read our Privacy Policy.

    I agree
Search articles by DOI, keyword, author or affiliation
Search
Advanced Search
presentation
Oncology Letters
Join Editorial Board Propose a Special Issue
Print ISSN: 1792-1074 Online ISSN: 1792-1082
Journal Cover
October-2020 Volume 20 Issue 4

Full Size Image

Sign up for eToc alerts
Recommend to Library

Journals

International Journal of Molecular Medicine

International Journal of Molecular Medicine

International Journal of Molecular Medicine is an international journal devoted to molecular mechanisms of human disease.

International Journal of Oncology

International Journal of Oncology

International Journal of Oncology is an international journal devoted to oncology research and cancer treatment.

Molecular Medicine Reports

Molecular Medicine Reports

Covers molecular medicine topics such as pharmacology, pathology, genetics, neuroscience, infectious diseases, molecular cardiology, and molecular surgery.

Oncology Reports

Oncology Reports

Oncology Reports is an international journal devoted to fundamental and applied research in Oncology.

Experimental and Therapeutic Medicine

Experimental and Therapeutic Medicine

Experimental and Therapeutic Medicine is an international journal devoted to laboratory and clinical medicine.

Oncology Letters

Oncology Letters

Oncology Letters is an international journal devoted to Experimental and Clinical Oncology.

Biomedical Reports

Biomedical Reports

Explores a wide range of biological and medical fields, including pharmacology, genetics, microbiology, neuroscience, and molecular cardiology.

Molecular and Clinical Oncology

Molecular and Clinical Oncology

International journal addressing all aspects of oncology research, from tumorigenesis and oncogenes to chemotherapy and metastasis.

World Academy of Sciences Journal

World Academy of Sciences Journal

Multidisciplinary open-access journal spanning biochemistry, genetics, neuroscience, environmental health, and synthetic biology.

International Journal of Functional Nutrition

International Journal of Functional Nutrition

Open-access journal combining biochemistry, pharmacology, immunology, and genetics to advance health through functional nutrition.

International Journal of Epigenetics

International Journal of Epigenetics

Publishes open-access research on using epigenetics to advance understanding and treatment of human disease.

Medicine International

Medicine International

An International Open Access Journal Devoted to General Medicine.

Journal Cover
October-2020 Volume 20 Issue 4

Full Size Image

Sign up for eToc alerts
Recommend to Library

  • Article
  • Citations
    • Cite This Article
    • Download Citation
    • Create Citation Alert
    • Remove Citation Alert
    • Cited By
  • Similar Articles
    • Related Articles (in Spandidos Publications)
    • Similar Articles (Google Scholar)
    • Similar Articles (PubMed)
  • Download PDF
  • Download XML
  • View XML
Article Open Access

GRB2‑associated binding protein 2 regulates multiple pathways associated with the development of prostate cancer

  • Authors:
    • Xiang-Rui Qiao
    • Xinwei Zhang
    • Lijun Mu
    • Juanhua Tian
    • Yuefeng Du
  • View Affiliations / Copyright

    Affiliations: Department of Cardiovascular Medicine, The First Affiliated Hospital of Xi'an Jiaotong University, Xi'an, Shaanxi 710061, P.R. China, Key Laboratory of Environment and Genes Related to Diseases, Xi'an Jiaotong University, Ministry of Education, Xi'an, Shaanxi 710061, P.R. China
    Copyright: © Qiao et al. This is an open access article distributed under the terms of Creative Commons Attribution License.
  • Article Number: 99
    |
    Published online on: August 7, 2020
       https://doi.org/10.3892/ol.2020.11960
  • Expand metrics +
Metrics: Total Views: 0 (Spandidos Publications: | PMC Statistics: )
Metrics: Total PDF Downloads: 0 (Spandidos Publications: | PMC Statistics: )
Cited By (CrossRef): 0 citations Loading Articles...

This article is mentioned in:



Abstract

The development of prostate cancer is complicated and involves a number of tumor‑associated gene expression level abnormalities. Gene chip technology is a high‑throughput method that can detect gene expression levels in different tissues and cells on a large scale. In the present study, gene chip technology was used to screen differentially expressed genes in PC‑3 human prostate cancer cells following GRB‑associated binding protein 2 (GAB2) gene knockdown, and the corresponding biological information was analyzed to investigate the role of GAB2 in prostate cancer. The PC‑3 human prostate cancer cell GAB2 gene was knocked out and gene chip hybridization and bioinformatics methods were used to analyze the classical pathway and predict upstream regulatory molecules, disease and function associations and genetic interaction networks. According to the screening conditions |fold change|>1 and P<0.05, 1,242 differential genes were screened; 665 genes were upregulated, and 577 genes were downregulated. Ingenuity Pathway Analysis software demonstrated that GAB2 regulates pathways, such as the superpathway of cholesterol biosynthesis and p53 signaling in cells, and serves a role in diseases and functions such as ‘non‑melanoma solid tumors’, ‘viral infections’ and ‘morbidity or mortality’. In the occurrence and development of prostate cancer, factors such as the activation of genes involved in the proliferative cycle, abnormalities in metabolism‑associated enzyme gene activities and viral infection play key roles. The present study provides novel research directions and therapeutic targets for prostate cancer.

Introduction

Prostate cancer (PCa) is a common malignant tumor in the male genitourinary system, and its incidence rate is the second highest among all types of tumor in men, following only lung cancer. There are approximately 1,276,106 new cases and 358,989 deaths worldwide annually (1). With the aging population, changes in dietary structure and widespread implementation of prostatic-specific antigen screening, the incidence rate of PCa in China has increased from 35.2/100,000 in 1998 to 5,300/100,000 in 2012 (2,3). For early or localized PCa, close observation, radiotherapy and radical prostatectomy (open prostatectomy, laparoscopic or robotic-assisted laparoscopy) are effective treatment options. For advanced PCa, androgen deprivation therapy (ADT) is one of the most commonly used treatments. However, the average effective duration of ADT treatment is 12–18 months. The majority of patients develop resistance, progress to castration-resistant PCa (CRPC), and succumb due to PCa (4,5). Furthermore, the median survival time of patients with metastatic CRPC (mCRPC) is <2 years (6). Consequently, there is an urgent need for more effective alternative or supplemental treatment options. The development of biotechnology provides more opportunities for investigating novel potential targets for gene-targeted PCa treatment.

The GRB-associated binding protein 2 (GAB2) scaffold protein is a member of the Gab family and is encoded by the GAB2 (11q14.1) gene (7). GAB2 serves a role in a number of physiological processes, such as cell proliferation, differentiation, apoptosis and migration, by binding to multiple receptors and participating in numerous signal transduction pathways, such as the PI3K/AKT, SHP2/ERK and JAK/STAT pathways (8,9). Previous studies have reported that the GAB2 protein is abnormally expressed in numerous types of malignant tumor, including glioma, leukemia and melanoma, as well as ovarian, breast and lung cancer (10–13). Abnormal GAB2 signaling is associated with tumor progression, indicating that GAB2 may be a novel oncogene (14). In the present study, the Oncomine and Gene Expression Omnibus (GEO) databases were searched for PCa gene expression level analyses; the expression level of the GAB2 gene was higher in PCa tissues than in benign prostatic hyperplasia tissues. Thus, it was hypothesized that the GAB2 gene may possess a regulatory effect on the progress of PCa, but its specific function and mechanism have not yet been elucidated.

In the present study, the GAB2 gene was knocked down in PCa cells using small interfering (si)RNA, and the differentially expressed genes in the GAB2 knockdown cells were screened via gene chip technology. The aim of the present study was to investigate the downstream gene expression levels and signaling associated with GAB2 and to provide theoretical and experimental evidence for novel therapeutic targets for PCa.

Materials and methods

Data download and analysis

The GSE55945 chip data set was downloaded from the GEO database (ncbi.nlm.nih.gov/geo/). The chip data set is based on the GPL570 platform. In total, 21 samples were obtained including 13 cases of PCa and 8 cases of benign prostatic hyperplasia. The GEO2R online analysis website (ncbi.nlm.nih.gov/geo/geo2r/) was used to process GSE55945 gene chips in the GEO database to compare differences in the expression levels of GAB2. The Oncomine database (oncomine.org/) was used to analyze GAB2 expression levels in prostate adenocarcinoma and acinar prostate adenocarcinoma.

Gene chip

The gene chip used in the present study was the GeneChip™ PrimeView™ Human Gene Expression Array (cat. no. 901838; Affymetrix; Thermo Fisher Scientific, Inc.) and was provided by Shanghai Genechem Co., Ltd. This single GeneChip array can yield data for >530,000 probes and 36,000 transcripts and variants, which represent more than 20,000 genes mapped via UniGene or RefSeq annotation. Sequences for the array design were selected from the UniGene database 219 https://www.ncbi.nlm.nih.gov/unigene (constructed 30 March 2009), RefSeq 36th edition https://www.ncbi.nlm.nih.gov/refseq/ (13 July 2009) and full-length human mRNA from GenBank™ http://www.ncbi.nlm.nih.gov/genbank (downloaded 12 May 2009).

Cell culture and small interfering (si)RNA knockdown experiments

PC-3 human PCa cells from the Cell Bank of Xi'an Jiaotong University were cultured in medium containing 10% fetal bovine serum (Hyclone Laboratories; GE Healthcare Life Sciences), 1% streptomycin mixture and ~90% RPMI-1640 complete medium (Gibco; Thermo Fisher Scientific Inc.). The cells were cultured at a constant temperature of 37°C with 95% O2, and 5% CO2 in an incubator (relative humidity, ~95%). Adherent cells were transfected with GAB2 siRNA as follows: The commercial LV3-GAB2 lentivirus vector (containing green fluorescent protein and the puromycin sequence) and GAB2 siRNA sequences were constructed by Shanghai GenePharma Co., Ltd. The sequence of GAB2 siRNA was 5′-GGGACCTCCTGGTAGACAATA-3′, and the sequence of scrambled fluorescein-labeled negative control siRNA was: 5′-TTCTCCGAACGTGTCACGT-3′. When cells reached 40–50% confluence in the presence of 8 µg/ml polypropylene, lentiviral vectors were used to infect PC-3 cells at 50 multiplicity of infection for 72 h. The stable GAB2 low expression level subclones were maintained via 2–3 µg/ml puromycin-resistant culturing (puromycin, Sigma-Aldrich; Merck KGaA). PC-3 human PCa cells transfected with negative control (NC) siRNA were used as the NC group, and cells transfected with GAB2 siRNA were used as the knockdown (KD) group. Three samples in each group were subjected to gene chip analysis.

Total RNA isolation and RT-qPCR

Total RNA was isolated via TRIzol extraction (cat. no. 3101–100; Shanghai Pufei Biotechnology Co., Ltd.) according to the manufacturer's instructions. First strand cDNA was synthesized using M-MLV reverse transcriptase (cat. no. M1701; Promega Corporation) and analyzed via qPCR using SYBR Ex Taq™ II (Takara Bio, Inc.). Gene-specific primers were designed and synthesized by Shanghai Genechem Co., Ltd. and their sequences were as follows: GAB2 (forward primer: 5′-AGACCGCCAATCAGTGAAAAT-3′, reverse primer: 5′-GGTGAAGTCGGCTGTTGTC-3′, 91bp) and GAPDH (forward primer: 5′-TGACTTCAACAGCGACACCCA-3′, reverse primer: 5′-CACCCTGTTGCTGTAGCCAAA-3′, 121bp). Real-time chain reactions were performed using an iQ5TM Multicolor Real-Time PCR and Detection System (Bio-Rad Laboratories, Inc.). Amplification conditions used were 95°C for 5 min followed by 30 cycles of 94°C for 30 sec, 55°C for 30 sec and 72°C for 35 sec, and finally 72°C for 3 min. Relative quantitative analysis was performed according to the following equation: F=2−∆∆Cq, where 2−ΔΔCq is the expression level of the target gene for each KD group sample (PC-3 human PCa cells with GAB2 gene knockdown) relative to that of each NC group sample (PC-3 human PCa cells) (15).

Chip hybridization

Chip hybridization was performed using an Affymetrix (Thermo Fisher Scientific, Inc.) expression profile chip and GeneChip Hybridization Wash and Stain kit (cat. no. 900720; Affymetrix; Thermo Fisher Scientific, Inc.) according to the manufacturer's instructions. Following hybridization at 45°C for 16 h at 20 × g in a GeneChip Hybridization Oven 645 (Affymetrix; Thermo Fisher Scientific, Inc.), the hybridized chips were eluted and stained using a GeneChip Fluidics Station 450 (Affymetrix; Thermo Fisher Scientific, Inc.).

Chip scanning and detection analysis

Chip hybridization results were scanned using a GeneChip Scanner 3000 (cat. no. 00-0210; Affymetrix; Thermo Fisher Scientific, Inc.), and the raw data were read using Command Console software (version 4.0; Affymetrix; Thermo Fisher Scientific, Inc.). The quality control data were analyzed using R software (version 3.6.0) (16). The package was normalized, and the algorithm used was MAS 5.0 (Affymetrix; Thermo Fisher Scientific, Inc.).

Chip data bioinformatics analysis

The association between GAB2 gene expression levels and PCa occurrence was found by mining the gene literature (17,18). The IPA online integration analysis software was used to analyze differentially expressed genes in PCa cells before and after GAB2 gene knockdown. IPA is an all-in-one online integrated analysis software (www.ingenuity.com) which helps to understand data from gene expression data, microRNA data and small-scale experimental data. IPA establishes a visual experimental system to understand the properties of various molecules in genes, proteins, chemicals, drugs and their interaction networks.

Statistical analysis

Data are expressed as the mean ± SD of three replicate samples. Except for the IPA, all statistical analyses were performed using SPSS software (version 22.0; IBM Corp.). Between-group differences were compared using an unpaired t-test. P<0.05 was considered to indicate a statistically significant difference.

Results

Significant differences in gene expression levels in PCa cells following GAB2 knockdown

The Oncomine and GEO databases were searched for PCa gene expression level data, which demonstrated that the expression level of the GAB2 gene was higher in PCa tissues than in benign prostatic hyperplasia tissues (Fig. 1A and B). These results indicate that GAB2 may be an oncogene of PCa and possess regulatory effects on tumor development. The GAB2 gene was knocked down in PC-3 human PCa cells and gene chip technology was used to compare gene expression levels. GAB2 gene knockdown efficiency in the KD group was 60.7%, compared with GAB2 gene expression levels in the NC group (Fig. 1C). The scatter plot demonstrates the distribution of signal values between the experimental and control groups on the plane of the rectangular coordinate system. The ordinate and abscissa values of each point represent the expression level value of a probe in the experimental and control groups, respectively. The upper part of the green line indicates KD is downregulated relative to NC; the lower part of the green line indicates KD is upregulated relative to NC (Fig. 1D). The red dots on the volcano map indicate genes with fold difference >1 and significance level <0.05 (Fig. 2A). The points to the left of X=−1 and to the right of X=1 are genes with differences >2-fold. The majority of gene expression level changes are notably different and differ >2-fold (Fig. 2A). The heat map shows the expression levels of genes in each sample (Fig. 2B). Green indicates a relatively decreased signal value; black indicates a moderate signal value; gray indicates that the signal value was not detected. In the tree structure, two adjacent samples or genes have higher similarity. The expression profiles of the KD and NC groups are notably different (Fig. 2B). The results demonstrated significant differences in 1,242 genes; 665 genes in the KD group were upregulated, and 577 were downregulated compared with the NC group.

Figure 1.

GAB2 expression is associated with PCa. Expression levels of the GAB2 gene in PCa tissues and benign prostatic hyperplasia tissues from the (A) Oncomine and (B) Gene Expression Omnibus databases. (C) Relative mRNA expression level of GAB2 (GAB2/GAPDH) in the NC and KD group. (D) Scatter plot. The ordinate and abscissa value of each point in the figure represent the expression level value of a probe in the experimental and control groups. **P<0.01 vs. control. GAB2, GRB-associated binding protein 2; NC, negative control; KD, knockdown; PCa, prostrate cancer.

Figure 2.

Changes in gene expression of prostate cancer cells after knocking down GAB2. (A) Volcano map shows the difference in gene distribution between the experimental group and the control group. (B) Heatmap shows the distribution of the signal values between the experimental group and the control group on the rectangular coordinate system plane. Data are presented as the mean ± SD of 3 independent experiments. NC, negative control; KD, knockdown; GAB2, GRB-associated binding protein 2.

Classical pathway and upstream regulation analysis

IPA online integration analysis software was used to analyze the differential gene list and the enrichment of the gene sets contained in each pathway. p53 signaling was inhibited after knocking down GAB2 (Z-score=−0.535), and GAB2 was involved in regulating the superpathway of cholesterol biosynthesis (Fig. 3). The behavior of each molecule in the p53 signaling pathway in the present study is shown in Fig. 4. Green represents a decrease; red represents an increase; color intensity is associated with the change magnification. Magenta indicates molecules on the differential gene list. Fig. 5 shows the performance of each gene when the pathway is activated, according to the analysis of IPA commercial software (www.ingenuity.com). In the present study, DNA-dependent protein kinase (DNA-PK), checkpoint kinase 1 (Chk1), AKT, thrombospondin 1 (TSP1) and death receptor (DR) 4/5 were abnormally expressed compared with previously reported results, indicating that these molecules may participate in tumorigenesis via novel regulatory pathways (Figs. 4 and 5). The shape and color of the molecule, and the interaction relationship between the molecules are shown in Figures S1-4. Next, activation or inhibition of upstream regulators, including transcription factors, cytokines, small RNAs, receptors, kinases, chemical molecules and drugs, was predicted for all differential genes. Results of the upstream regulatory factor analysis are presented in Table SI. In the present study, insulin-induced gene 1 (INSIG1) was predicted to be suppressed following GAB2 knockdown, and there were 18 genes that were consistently suppressed and are related to this gene. The interaction between INSIG1 and its directly associated downstream molecules is shown in Fig. 6. Only the expression level states of INSIG1 and C-X-C motif chemokine ligand 6 (CXCL6) were inconsistent with previously reported results. INSIG1 can inhibit CXCL6 at the mRNA level; in the present study, however, CXCL6 was significantly downregulated when INSIG1 was inhibited.

Figure 3.

Signaling pathway histograms. Orange indicates Z-score>0; blue indicates Z-score<0. The ratio is the number of differential genes compared with the total number of genes in the signaling pathway.

Figure 4.

Signaling pathway diagram. Pathway enrichment analysis of differential genes was generated via Ingenuity Pathway Analysis commercial database software.

Figure 5.

Signaling pathway diagram for activation or suppression states supported by literature. The diagram was generated using Ingenuity Pathway Analysis commercial database software.

Figure 6.

Upstream regulatory factor network map. Orange line indicates consistent activated expression level state between the upstream regulator and the gene; yellow line indicates inconsistent expression level state; gray line indicates there is no predictive information associated with the expression level state in the data set. INSIG1, insulin induced gene 1; ACACA, acetyl-CoA carboxylase α; ACLY, ATP citrate lyase; ACSS2, acyl-CoA synthetase short chain family member 2; CXCL6, C-X-C motif chemokine ligand 6; CYP51A1, cytochrome P450 family 51 subfamily A member 1; DHCR24, 24-dehydrocholesterol reductase; DHCR7, 7-dehydrocholesterol reductase; ELOVL6, ELOVL fatty acid elongase 6; FADS1, fatty acid desaturase 1; FDFT1, farnesyl-diphosphate farnesyltransferase 1; HMGCS1, 3-hydroxy-3-methylglutaryl-CoA synthase 1; IDI1, isopentenyl-diphosphate Δ isomerase 1; LDLR, low density lipoprotein receptor; LIPA, lipase A; LPCAT3, lysophosphatidylcholine acyltransferase 3; LPIN1, lipin 1; PMVK, phosphomevalonate kinase; SCARB1, scavenger receptor class B member 1; SQLE, squalene epoxidase; UCP2, uncoupling protein 2.

Disease function and regulation effect analysis

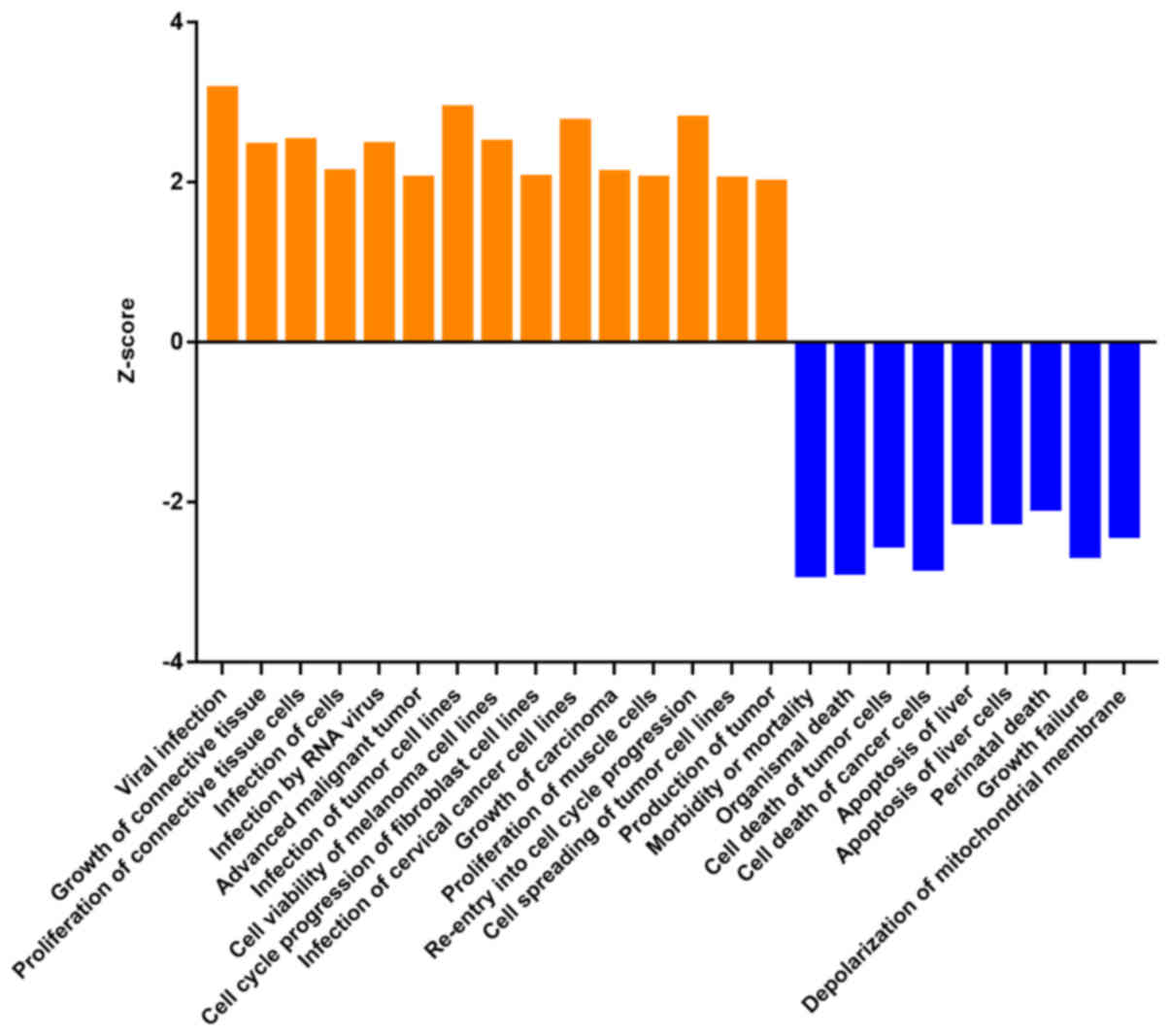
Up- and downregulation of differential gene expression levels are associated with activation or inhibition of functions and diseases. IPA software was used to analyze the changes of 500 functions (Table SII). Z-score >2 means that the function is significantly activated, and Z-score <-2 means that the function is significantly inhibited. A total of 24 functions changed significantly, including ‘viral infection’ (Z-score=3.176) and ‘infection of tumor cell lines’ (Z-score=2.934). The functions with significant inhibition were ‘morbidity or mortality’ (Z-score=−2.906) and ‘organismal death’ (Z-score=−2.879) (Fig. 7). The regulatory effect network map shows the interaction between genes and regulators and functions in the data set. In the present study, mouse double minute 2 homolog, methyl-CpG-binding protein 2 and SAM pointed domain containing ETS transcription factor possessed an activating effect on advanced malignant tumor, melanoma cell line viability and muscle cell proliferation, as well as an inhibitory effect on cancer cell death via β-actin, survivin, dipeptidyl peptidase 4, hypoxia inducible factor 1α, homeodomain-interacting protein kinase 2, immunoglobulin heavy constant µ, interleukin-1 receptor-associated kinase 1, lysine acetyltransferase 2B, prostate specific antigen, protein tyrosine phosphatase receptor type F, syndecan 1, SMAD4, thrombospondin 1, TP53, vascular endothelial growth factor A, vimentin and other genes (Fig. 8).

Figure 7.

Histogram of disease and function demonstrates the activation and inhibition of each function: 24 functions changed significantly (Z-score>2).

Figure 8.

Regulation effect network diagram.

Interaction network analysis

The IPA network generation algorithm was used to split the network map between molecules into multiple networks and to score each network. All networks were sorted by score value. Fig. 9 shows the genetic interaction network map: KCNMA1 (potassium calcium-activated channel subfamily M α 1), cell division cycle 73, nardilysin convertase, insulin-like growth factor 1 and dynein cytoplasmic 1 light intermediate chain 1 are the primary genetic interaction nodes. The interaction network primarily affects ‘cellular assembly and organization’, ‘cellular function and maintenance’ and ‘connective tissue disorders’.

Figure 9.

Gene interaction network diagram shows the interaction among KCNMA1, CDC73, IGF1, DYNC1LI1 and molecules related to them, which mainly affect cellular assembly and organization, cellular function and maintenance and are involved in connective tissue disorders. Genes, proteins, and chemicals are represented by different shapes.

Discussion

The progression of PCa is complex; abnormal expression levels of a number of tumor-associated genes or the inactivation of numerous tumor suppressor genes may lead to the occurrence and progression of PCa (19). Therefore, by studying the genes and genomic changes related to PCa, new ideas for clinical prevention and treatment of PCa may be found. Analysis of the Oncomine and GEO databases demonstrated that the expression level of the GAB2 gene was higher in PCa tissues than in benign prostatic hyperplasia tissues, indicating that the GAB2 gene may possess a regulatory effect on the progression of PCa. Gene chip technology allows rapid, efficient and parallel detection of large-scale gene expression levels, which facilitates improved understanding of the mechanism of the GAB2 gene in the development and progression of PCa (20). The present study detected significant differences in the performance of 1,242 genes between the KD and NC groups; 665 genes were upregulated, and 577 were downregulated. These results indicated that the GAB2 gene serves a regulatory role in PCa that is mediated via a number of pathways acting on numerous genes.

After determining the differential gene expression levels in the KD and NC groups, the differential gene results of the chip analysis, including probe number and fold-change were introduced into the IPA online integration analysis tool. The software further analyzed the molecular pathways activated or inhibited by GAB2 gene knockdown to predict upstream regulatory molecules, analyze the association between disease and function, and determine the network of gene interactions in order to provide novel insights into the progression of PCa. Previous findings have demonstrated that activation of the p53 signaling pathway leads to cell cycle inhibition and apoptosis in PCa cells (19,20). Singh et al (21), reported that targeting the p53 pathway can inhibit PCa cell proliferation and metastasis (22,23). The present study demonstrated that GAB2 gene expression levels are upregulated in PCa cells, but the association between GAB2 and the p53 signaling pathway has not yet been reported. In the present study, p53 signaling in PCa cells was suppressed following GAB2 knockdown, but DNA-PK was abnormally expressed in the p53 signaling pathway. By contrast, Dylgjeri et al (24) demonstrated that pharmacological targeting of DNA-PK inhibits tumor growth both in vitro and in vivo. This difference may be because the complex molecular networks within tumor cells have not yet been elucidated. In addition to DNA-PK, Chk1, AKT, TSP1, and DR4/5 were also abnormally expressed following GAB2 knockdown; the involvement of these molecules in PCa should be further investigated.

Yang et al (22) reported that INSIG1 serves a key role in cholesterol homeostasis. Similarly, in the present classical pathway analysis, GAB2 was demonstrated to be involved in regulating the superpathway of cholesterol biosynthesis, and INSIG1 was predicted to be strongly suppressed (determined via upstream regulatory analysis). Previous studies have shown that PCa risk factors include chronic inflammation of the prostate (22,25,26) and sexually transmitted infections (27–32). The present study demonstrated that viral infection pathways are significantly activated. These results indicated that PCa may be caused by viral infections that increase the expression level of GAB2. Regulatory effects and interaction network analyses have indicated that numerous genes affect tumorigenesis and progression; a number of pathways are involved, such as ‘advanced malignant tumors’, ‘melanoma cell line viability’, ‘muscle cell proliferation’, ‘cancer cell death’, ‘cellular assembly and organization’, ‘cellular function and maintenance’ and ‘connective tissue disorders’.

In the present study, the GAB2 gene was knocked down in PCa cells. Gene chip technology and bioinformatics analyses were then used to investigate the signaling pathways, disease and function, and gene interaction networks associated with GAB2. The aforementioned experimental and bioinformatic analysis results demonstrated that GAB2 regulates pathways such as the superpathway of cholesterol biosynthesis and p53 signaling in cells and serves a role in diseases and functions, such as ‘non-melanoma solid tumors’, ‘viral infections’ and ‘morbidity or mortality’.

The present study has some limitations, such as the lack of animal experiments and human studies. Therefore, it is not clear whether the GAB2 gene has the same function in vivo and whether it can be used as a therapeutic target for patients with PCa. The purpose of the present study was to analyze and summarize the changes of associated pathways following knockdown of the GAB2 gene, and to provide a novel perspective for the prevention and treatment of PCa by identifying potential research directions and therapeutic targets.

Supplementary Material

Supporting Data
Supporting Data
Supporting Data

Acknowledgements

Not applicable.

Funding

The present study was financially supported by the Natural Science Foundation of Shaanxi Province China (grant nos. 2020JM-370 and 2020JM-390).

Availability of data and materials

The datasets used and/or analyzed during the present study are available from the corresponding author on reasonable request.

Authors' contributions

YD and XQ conceived and designed the experiments. YD, XQ, XZ, LM and JT performed the experiments. XQ analyzed the data and wrote the manuscript. All authors have read and approved the manuscript.

Ethics approval and consent to participate

Not applicable.

Patient consent for publication

Not applicable.

Competing interests

The authors declare that they have no competing interests.

References

1 

Bray F, Ferlay J, Soerjomataram I, Siegel RL, Torre LA and Jemal A: Global cancer statistics 2018: GLOBOCAN estimates of incidence and mortality worldwide for 36 cancers in 185 countries. CA Cancer J Clin. 68:394–424. 2018. View Article : Google Scholar : PubMed/NCBI

2 

Yang B, Liao GQ, Wen XF, Chen WH, Cheng S, Stolzenburg JU, Ganzer R and Neuhaus J: Nuclear magnetic resonance spectroscopy as a new approach for improvement of early diagnosis and risk stratification of prostate cancer. J Zhejiang Univ Sci B. 18:921–933. 2017. View Article : Google Scholar : PubMed/NCBI

3 

Ha Chung B, Horie S and Chiong E: The incidence, mortality, and risk factors of prostate cancer in Asian men. Prostate Int. 7:1–8. 2019. View Article : Google Scholar : PubMed/NCBI

4 

Heidenreich A, Aus G, Bolla M, Joniau S, Matveev VB, Schmid HP and Zattoni F; European Association of Urology, : EAU guidelines on prostate cancer. Eur Urol. 53:68–80. 2008. View Article : Google Scholar : PubMed/NCBI

5 

Miyamoto H, Messing EM and Chang C: Androgen deprivation therapy for prostate cancer: Current status and future prospects. Prostate. 61:332–353. 2004. View Article : Google Scholar : PubMed/NCBI

6 

Kirby M, Hirst C and Crawford ED: Characterising the castration-resistant prostate cancer population: A systematic review. Int J Clin Pract. 65:1180–1192. 2011. View Article : Google Scholar : PubMed/NCBI

7 

Souza AG, Bastos VAF, Silva IBB, Marangoni K and Goulart VA: Different gene therapy strategies: A overview for prostate cancer. Curr Gene Ther. 16:287–291. 2016. View Article : Google Scholar : PubMed/NCBI

8 

Vaughan TY, Verma S and Bunting KD: Grb2-associated binding (Gab) proteins in hematopoietic and immune cell biology. Am J Blood Res. 1:130–134. 2011.PubMed/NCBI

9 

Nyga R, Pecquet C, Harir N, Gu H, Dhennin-Duthille I, Régnier A, Gouilleux-Gruart V, Lassoued K and Gouilleux F: Activated STAT5 proteins induce activation of the PI 3-kinase/Akt and Ras/MAPK pathways via the Gab2 scaffolding adapter. Biochem J. 390:359–366. 2005. View Article : Google Scholar : PubMed/NCBI

10 

Brown LA, Kalloger SE, Miller MA, Shih IeM, McKinney SE, Santos JL, Swenerton K, Spellman PT, Gray J, Gilks CB and Huntsman DG: Amplification of 11q13 in ovarian carcinoma. Genes Chromosomes Cancer. 47:481–489. 2008. View Article : Google Scholar : PubMed/NCBI

11 

Zatkova A, Schoch C, Speleman F, Poppe B, Mannhalter C, Fonatsch C and Wimmer K: GAB2 is a novel target of 11q amplification in AML/MDS. Genes Chromosomes Cancer. 45:798–807. 2006. View Article : Google Scholar : PubMed/NCBI

12 

Sármay G, Angyal A, Kertész A, Maus M and Medgyesi D: The multiple function of Grb2 associated binder (Gab) adaptor/scaffolding protein in immune cell signaling. Immunol Lett. 104:76–82. 2006. View Article : Google Scholar : PubMed/NCBI

13 

Liu Y and Rohrschneider LR: The gift of Gab. FEBS Lett. 515:1–7. 2002. View Article : Google Scholar : PubMed/NCBI

14 

Ke Y, Wu D, Princen F, Nguyen T, Pang Y, Lesperance J, Muller WJ, Oshima RG and Feng GS: Role of Gab2 in mammary tumorigenesis and metastasis. Oncogene. 26:4951–4960. 2007. View Article : Google Scholar : PubMed/NCBI

15 

Livak KJ and Schmittgen TD: Analysis of relative gene expression data using real-time quantitative PCR and the 2(-Delta Delta C(T)) method. Methods. 25:402–408. 2001. View Article : Google Scholar : PubMed/NCBI

16 

R Core Team, . R: A language and environment for statistical computing. R Foundation for Statistical Computing (version 3.6.0). (Vienna, Austria). 2019.URL https://www.R-project.org/.

17 

Felciano RM, Bavari S, Richards DR, Billaud JN, Warren T, Panchal R and Krämer A: Predictive systems biology approach to broad-spectrum, host-directed drug target discovery in infectious diseases. Pac Symp Biocomput. 17–28. 2013.PubMed/NCBI

18 

Calvano SE, Xiao W, Richards DR, Felciano RM, Baker HV, Cho RJ, Chen RO, Brownstein BH, Cobb JP, Tschoeke SK, et al: A network-based analysis of systemic inflammation in humans. Nature. 437:1032–1037. 2005. View Article : Google Scholar : PubMed/NCBI

19 

Singal R, Ferdinand L, Reis IM and Schlesselman JJ: Methylation of multiple genes in prostate cancer and the relationship with clinicopathological features of disease. Oncol Rep. 12:631–637. 2004.PubMed/NCBI

20 

Xin-Hong G, Xiao-Cheng J and Liang-Bi C: Gene chip technology and the studies of gene expression profiles. J Biol. 2001.

21 

Singh SK, Banerjee S, Acosta EP, Lillard JW and Singh R: Resveratrol induces cell cycle arrest and apoptosis with docetaxel in prostate cancer cells via a p53/p21WAF1/CIP1 and p27KIP1 pathway. Oncotarget. 8:17216–17228. 2017. View Article : Google Scholar : PubMed/NCBI

22 

Yang T, Espenshade PJ, Wright ME, Yabe D, Gong Y, Aebersold R, Goldstein JL and Brown MS: Crucial step in cholesterol homeostasis: Sterols promote binding of SCAP to INSIG-1, a membrane protein that facilitates retention of SREBPs in ER. Cell. 110:489–500. 2002. View Article : Google Scholar : PubMed/NCBI

23 

Dennis LK, Lynch CF and Torner JC: Epidemiologic association between prostatitis and prostate cancer. Urology. 60:78–83. 2002. View Article : Google Scholar : PubMed/NCBI

24 

Dylgjeri E, McNair C, Goodwin JF, Raymon HK, McCue PA, Shafi AA, Leiby BE, de Leeuw R, Kothari V, McCann JJ, et al: Pleiotropic impact of DNA-PK in cancer and implications for therapeutic strategies. Clin Cancer Res. 25:5623–5637. 2019. View Article : Google Scholar : PubMed/NCBI

25 

Daniels NA, Ewing SK, Zmuda JM, Wilt TJ and Bauer DC; Osteoporotic Fractures in Men (MrOS) research group, : Correlates and prevalence of prostatitis in a large community-based cohort of older men. Urology. 66:964–970. 2005. View Article : Google Scholar : PubMed/NCBI

26 

Jiang J, Li J, Yunxia Z, Zhu H, Liu J and Pumill C: The role of prostatitis in prostate cancer: Meta-analysis. PLoS One. 8:e851792013. View Article : Google Scholar : PubMed/NCBI

27 

Dillner J, Knekt P, Boman J, Lehtinen M, Af Geijersstam V, Sapp M, Schiller J, Maatela J and Aromaa A: Sero-epidemiological association between human-papillomavirus infection and risk of prostate cancer. Int J Cancer. 75:564–567. 1998. View Article : Google Scholar : PubMed/NCBI

28 

Nelson WG, De Marzo AM and Isaacs WB: Prostate cancer. N Engl J Med. 349:366–381. 2003. View Article : Google Scholar : PubMed/NCBI

29 

Taylor ML, Mainous AG III and Wells BJ: Prostate cancer and sexually transmitted diseases: A meta-analysis. Fam Med. 37:506–512. 2005.PubMed/NCBI

30 

Sutcliffe S, Giovannucci E, De Marzo AM, Leitzmann MF, Willett WC and Platz EA: Gonorrhea, syphilis, clinical prostatitis, and the risk of prostate cancer. Cancer Epidemiol Biomarkers Prev. 15:2160–2166. 2006. View Article : Google Scholar : PubMed/NCBI

31 

Wagenlehner FM, Elkahwaji JE, Algaba F, Bjerklund-Johansen T, Naber KG, Hartung R and Weidner W: The role of inflammation and infection in the pathogenesis of prostate carcinoma. BJU Int. 100:733–737. 2007. View Article : Google Scholar : PubMed/NCBI

32 

Cheng I, Witte JS, Jacobsen SJ, Haque R, Quinn VP, Quesenberry CP, Caan BJ and Van Den Eeden SK: Prostatitis, sexually transmitted diseases, and prostate cancer: The California Men's health study. PLoS One. 5:e87362010. View Article : Google Scholar : PubMed/NCBI

Related Articles

  • Abstract
  • View
  • Download
  • Twitter
Copy and paste a formatted citation
Spandidos Publications style
Qiao X, Zhang X, Mu L, Tian J and Du Y: GRB2‑associated binding protein 2 regulates multiple pathways associated with the development of prostate cancer. Oncol Lett 20: 99, 2020.
APA
Qiao, X., Zhang, X., Mu, L., Tian, J., & Du, Y. (2020). GRB2‑associated binding protein 2 regulates multiple pathways associated with the development of prostate cancer. Oncology Letters, 20, 99. https://doi.org/10.3892/ol.2020.11960
MLA
Qiao, X., Zhang, X., Mu, L., Tian, J., Du, Y."GRB2‑associated binding protein 2 regulates multiple pathways associated with the development of prostate cancer". Oncology Letters 20.4 (2020): 99.
Chicago
Qiao, X., Zhang, X., Mu, L., Tian, J., Du, Y."GRB2‑associated binding protein 2 regulates multiple pathways associated with the development of prostate cancer". Oncology Letters 20, no. 4 (2020): 99. https://doi.org/10.3892/ol.2020.11960
Copy and paste a formatted citation
x
Spandidos Publications style
Qiao X, Zhang X, Mu L, Tian J and Du Y: GRB2‑associated binding protein 2 regulates multiple pathways associated with the development of prostate cancer. Oncol Lett 20: 99, 2020.
APA
Qiao, X., Zhang, X., Mu, L., Tian, J., & Du, Y. (2020). GRB2‑associated binding protein 2 regulates multiple pathways associated with the development of prostate cancer. Oncology Letters, 20, 99. https://doi.org/10.3892/ol.2020.11960
MLA
Qiao, X., Zhang, X., Mu, L., Tian, J., Du, Y."GRB2‑associated binding protein 2 regulates multiple pathways associated with the development of prostate cancer". Oncology Letters 20.4 (2020): 99.
Chicago
Qiao, X., Zhang, X., Mu, L., Tian, J., Du, Y."GRB2‑associated binding protein 2 regulates multiple pathways associated with the development of prostate cancer". Oncology Letters 20, no. 4 (2020): 99. https://doi.org/10.3892/ol.2020.11960
Follow us
  • Twitter
  • LinkedIn
  • Facebook
About
  • Spandidos Publications
  • Careers
  • Cookie Policy
  • Privacy Policy
How can we help?
  • Help
  • Live Chat
  • Contact
  • Email to our Support Team