Spandidos Publications Logo
  • About
    • About Spandidos
    • Aims and Scopes
    • Abstracting and Indexing
    • Editorial Policies
    • Reprints and Permissions
    • Job Opportunities
    • Terms and Conditions
    • Contact
  • Journals
    • All Journals
    • Oncology Letters
      • Oncology Letters
      • Information for Authors
      • Editorial Policies
      • Editorial Board
      • Aims and Scope
      • Abstracting and Indexing
      • Bibliographic Information
      • Archive
    • International Journal of Oncology
      • International Journal of Oncology
      • Information for Authors
      • Editorial Policies
      • Editorial Board
      • Aims and Scope
      • Abstracting and Indexing
      • Bibliographic Information
      • Archive
    • Molecular and Clinical Oncology
      • Molecular and Clinical Oncology
      • Information for Authors
      • Editorial Policies
      • Editorial Board
      • Aims and Scope
      • Abstracting and Indexing
      • Bibliographic Information
      • Archive
    • Experimental and Therapeutic Medicine
      • Experimental and Therapeutic Medicine
      • Information for Authors
      • Editorial Policies
      • Editorial Board
      • Aims and Scope
      • Abstracting and Indexing
      • Bibliographic Information
      • Archive
    • International Journal of Molecular Medicine
      • International Journal of Molecular Medicine
      • Information for Authors
      • Editorial Policies
      • Editorial Board
      • Aims and Scope
      • Abstracting and Indexing
      • Bibliographic Information
      • Archive
    • Biomedical Reports
      • Biomedical Reports
      • Information for Authors
      • Editorial Policies
      • Editorial Board
      • Aims and Scope
      • Abstracting and Indexing
      • Bibliographic Information
      • Archive
    • Oncology Reports
      • Oncology Reports
      • Information for Authors
      • Editorial Policies
      • Editorial Board
      • Aims and Scope
      • Abstracting and Indexing
      • Bibliographic Information
      • Archive
    • Molecular Medicine Reports
      • Molecular Medicine Reports
      • Information for Authors
      • Editorial Policies
      • Editorial Board
      • Aims and Scope
      • Abstracting and Indexing
      • Bibliographic Information
      • Archive
    • World Academy of Sciences Journal
      • World Academy of Sciences Journal
      • Information for Authors
      • Editorial Policies
      • Editorial Board
      • Aims and Scope
      • Abstracting and Indexing
      • Bibliographic Information
      • Archive
    • International Journal of Functional Nutrition
      • International Journal of Functional Nutrition
      • Information for Authors
      • Editorial Policies
      • Editorial Board
      • Aims and Scope
      • Abstracting and Indexing
      • Bibliographic Information
      • Archive
    • International Journal of Epigenetics
      • International Journal of Epigenetics
      • Information for Authors
      • Editorial Policies
      • Editorial Board
      • Aims and Scope
      • Abstracting and Indexing
      • Bibliographic Information
      • Archive
    • Medicine International
      • Medicine International
      • Information for Authors
      • Editorial Policies
      • Editorial Board
      • Aims and Scope
      • Abstracting and Indexing
      • Bibliographic Information
      • Archive
  • Articles
  • Information
    • Information for Authors
    • Information for Reviewers
    • Information for Librarians
    • Information for Advertisers
    • Conferences
  • Language Editing
Spandidos Publications Logo
  • About
    • About Spandidos
    • Aims and Scopes
    • Abstracting and Indexing
    • Editorial Policies
    • Reprints and Permissions
    • Job Opportunities
    • Terms and Conditions
    • Contact
  • Journals
    • All Journals
    • Biomedical Reports
      • Information for Authors
      • Editorial Policies
      • Editorial Board
      • Aims and Scope
      • Abstracting and Indexing
      • Bibliographic Information
      • Archive
    • Experimental and Therapeutic Medicine
      • Information for Authors
      • Editorial Policies
      • Editorial Board
      • Aims and Scope
      • Abstracting and Indexing
      • Bibliographic Information
      • Archive
    • International Journal of Epigenetics
      • Information for Authors
      • Editorial Policies
      • Editorial Board
      • Aims and Scope
      • Abstracting and Indexing
      • Bibliographic Information
      • Archive
    • International Journal of Functional Nutrition
      • Information for Authors
      • Editorial Policies
      • Editorial Board
      • Aims and Scope
      • Abstracting and Indexing
      • Bibliographic Information
      • Archive
    • International Journal of Molecular Medicine
      • Information for Authors
      • Editorial Policies
      • Editorial Board
      • Aims and Scope
      • Abstracting and Indexing
      • Bibliographic Information
      • Archive
    • International Journal of Oncology
      • Information for Authors
      • Editorial Policies
      • Editorial Board
      • Aims and Scope
      • Abstracting and Indexing
      • Bibliographic Information
      • Archive
    • Medicine International
      • Information for Authors
      • Editorial Policies
      • Editorial Board
      • Aims and Scope
      • Abstracting and Indexing
      • Bibliographic Information
      • Archive
    • Molecular and Clinical Oncology
      • Information for Authors
      • Editorial Policies
      • Editorial Board
      • Aims and Scope
      • Abstracting and Indexing
      • Bibliographic Information
      • Archive
    • Molecular Medicine Reports
      • Information for Authors
      • Editorial Policies
      • Editorial Board
      • Aims and Scope
      • Abstracting and Indexing
      • Bibliographic Information
      • Archive
    • Oncology Letters
      • Information for Authors
      • Editorial Policies
      • Editorial Board
      • Aims and Scope
      • Abstracting and Indexing
      • Bibliographic Information
      • Archive
    • Oncology Reports
      • Information for Authors
      • Editorial Policies
      • Editorial Board
      • Aims and Scope
      • Abstracting and Indexing
      • Bibliographic Information
      • Archive
    • World Academy of Sciences Journal
      • Information for Authors
      • Editorial Policies
      • Editorial Board
      • Aims and Scope
      • Abstracting and Indexing
      • Bibliographic Information
      • Archive
  • Articles
  • Information
    • For Authors
    • For Reviewers
    • For Librarians
    • For Advertisers
    • Conferences
  • Language Editing
Login Register Submit
  • This site uses cookies
  • You can change your cookie settings at any time by following the instructions in our Cookie Policy. To find out more, you may read our Privacy Policy.

    I agree
Search articles by DOI, keyword, author or affiliation
Search
Advanced Search
presentation
Oncology Letters
Join Editorial Board Propose a Special Issue
Print ISSN: 1792-1074 Online ISSN: 1792-1082
Journal Cover
November-2020 Volume 20 Issue 5

Full Size Image

Sign up for eToc alerts
Recommend to Library

Journals

International Journal of Molecular Medicine

International Journal of Molecular Medicine

International Journal of Molecular Medicine is an international journal devoted to molecular mechanisms of human disease.

International Journal of Oncology

International Journal of Oncology

International Journal of Oncology is an international journal devoted to oncology research and cancer treatment.

Molecular Medicine Reports

Molecular Medicine Reports

Covers molecular medicine topics such as pharmacology, pathology, genetics, neuroscience, infectious diseases, molecular cardiology, and molecular surgery.

Oncology Reports

Oncology Reports

Oncology Reports is an international journal devoted to fundamental and applied research in Oncology.

Experimental and Therapeutic Medicine

Experimental and Therapeutic Medicine

Experimental and Therapeutic Medicine is an international journal devoted to laboratory and clinical medicine.

Oncology Letters

Oncology Letters

Oncology Letters is an international journal devoted to Experimental and Clinical Oncology.

Biomedical Reports

Biomedical Reports

Explores a wide range of biological and medical fields, including pharmacology, genetics, microbiology, neuroscience, and molecular cardiology.

Molecular and Clinical Oncology

Molecular and Clinical Oncology

International journal addressing all aspects of oncology research, from tumorigenesis and oncogenes to chemotherapy and metastasis.

World Academy of Sciences Journal

World Academy of Sciences Journal

Multidisciplinary open-access journal spanning biochemistry, genetics, neuroscience, environmental health, and synthetic biology.

International Journal of Functional Nutrition

International Journal of Functional Nutrition

Open-access journal combining biochemistry, pharmacology, immunology, and genetics to advance health through functional nutrition.

International Journal of Epigenetics

International Journal of Epigenetics

Publishes open-access research on using epigenetics to advance understanding and treatment of human disease.

Medicine International

Medicine International

An International Open Access Journal Devoted to General Medicine.

Journal Cover
November-2020 Volume 20 Issue 5

Full Size Image

Sign up for eToc alerts
Recommend to Library

  • Article
  • Citations
    • Cite This Article
    • Download Citation
    • Create Citation Alert
    • Remove Citation Alert
    • Cited By
  • Similar Articles
    • Related Articles (in Spandidos Publications)
    • Similar Articles (Google Scholar)
    • Similar Articles (PubMed)
  • Download PDF
  • Download XML
  • View XML

  • Supplementary Files
    • Supplementary_Data.pdf
Article

Cyclin D1 overexpression enhances chemosensitivity to TPF chemotherapeutic agents via the caspase‑3 pathway in oral cancer

  • Authors:
    • Yong-Jie Hu
    • Wen‑Wen Sun
    • Tong-Chao Zhao
    • Ying Liu
    • Dong-Wang Zhu
    • Li-Zhen Wang
    • Jiang Li
    • Chen-Ping Zhang
    • Zhi-Yuan Zhang
    • Lai-Ping Zhong
  • View Affiliations / Copyright

    Affiliations: Department of Oral and Maxillofacial‑Head and Neck Oncology, Ninth People's Hospital, Shanghai Jiao Tong University School of Medicine, Shanghai 200011, P.R. China, Department of Oral Pathology, Ninth People's Hospital, Shanghai Jiao Tong University School of Medicine, Shanghai 200011, P.R. China
  • Article Number: 154
    |
    Published online on: August 24, 2020
       https://doi.org/10.3892/ol.2020.12015
  • Expand metrics +
Metrics: Total Views: 0 (Spandidos Publications: | PMC Statistics: )
Metrics: Total PDF Downloads: 0 (Spandidos Publications: | PMC Statistics: )
Cited By (CrossRef): 0 citations Loading Articles...

This article is mentioned in:



Abstract

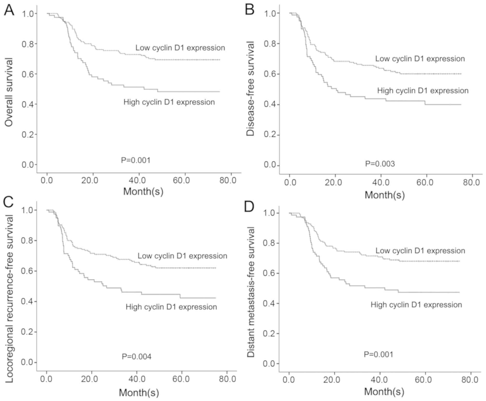
Induction chemotherapy has been previously demonstrated to downgrade locally advanced or aggressive cancers and increase the likelihood of primary lesion eradication. Based on our previous phase 3 trial on TPF (docetaxel, cisplatin and fluorouracil) induction chemotherapy in patients with oral squamous cell carcinoma (OSCC), in which short‑term prognostic and predictive values of cyclin D1 expression were reported, the present study aimed to determine the long‑term predictive value of cyclin D1 expression in the same patients with OSCC who were eligible to receive TPF induction chemotherapy. In addition, the present study investigated the potential association between cyclin D1 expression and chemosensitivity to TPF agents during OSCC cell intervention, and the underlying apoptotic mechanism of action. In total, 232 patients with locally advanced OSCC from our previous trial with a median follow‑up of 5 years were included for survival analysis using the Kaplan‑Meier method and the log‑rank test in the present study, where cyclin D1 expression in their tissues was detected by immunohistochemistry. Cyclin D1 knockdown, cytotoxicity assays assessing the efficacy of the TPF chemotherapeutic agents and measurements of caspase‑3 and PARP activity in HB96, CAL27 and HN30 cell lines were performed. Patients with OSCC in the low cyclin D1 expression group exhibited significantly superior long‑term clinical outcomes compared with those in patients in the high cyclin D1 expression group [overall survival (OS), P=0.001; disease‑free survival, P=0.003; local recurrence‑free survival, P=0.004; distant metastasis‑free survival (DMFS), P=0.001]. Furthermore, patients with stage clinical nodal stage 2 (cN2) OSCC in the high cyclin D1 expression group benefitted from TPF induction chemotherapy (OS, P=0.024; DMFS, P=0.024), whilst patients with cN2 OSCC in the low cyclin D1 expression group did not benefit from this chemotherapy. Overexpression of cyclin D1 expression was found to enhance chemosensitivity to TPF chemotherapeutic agents in OSCC by mediating caspase‑3‑dependent apoptosis. Based on these findings, TPF induction chemotherapy can benefit patients with cN2 OSCC and high cyclin D1 expression in terms of long‑term survival from compared with standard treatment. In addition, OSCC cell lines overexpressing cyclin D1 are more sensitive to TPF chemotherapeutic agents in a caspase‑3‑dependent manner (clinical trial. no. NCT01542931; February 2012).
View Figures

Figure 1

Figure 2

Figure 3

Figure 4

View References

1 

Kademani D: Oral cancer. Mayo Clin Proc. 82:878–887. 2007. View Article : Google Scholar : PubMed/NCBI

2 

Petersen PE: The world oral health report 2003: Continuous improvement of oral health in the 21st century-the approach of WHO global oral programme. Community Dent Oral Epidemiol. 31:3–23. 2003. View Article : Google Scholar : PubMed/NCBI

3 

Siegel RL, Miller KD and Jemal A: Cancer statistics, 2019. CA Cancer J Clin. 69:7–34. 2019. View Article : Google Scholar : PubMed/NCBI

4 

Chinn SB and Myers JN: Oral cavity carcinoma: Current management, controversies, and future directions. J Clin Oncol. 33:3269–3276. 2015. View Article : Google Scholar : PubMed/NCBI

5 

National Comprehensive Cancer Network, . NCCN Clinical Practice Guidelines in Oncology (NCCN Guidelines®) Head and Neck Cancers. Version 2. 2020.

6 

Zhong LP and Zhang ZY: Neoadjuvant versus induction chemotherapy: More than semantics reply. J Clin Oncol. 31:2972–2973. 2013. View Article : Google Scholar : PubMed/NCBI

7 

Posner RM, Hershock MD, Blajman RC, Mickiewicz E, Winquist E, Gorbounova V, Tjulandin S, Shin DM, Cullen K, Ervin TJ, et al: Cisplatin and fluorouracil alone or with docetaxel in head and neck cancer. N Engl J Med. 357:1705–1715. 2007. View Article : Google Scholar : PubMed/NCBI

8 

Vermorken BJ, Remenar E, Van HerpenC, Gorlia T, Mesia R, Degardin M, Stewart JS, Jelic S, Betka J, Preiss JH, et al: Cisplatin, fluorouracil, and docetaxel in unresectable head and neck cancer. N Engl J Med. 357:1695–1704. 2007. View Article : Google Scholar : PubMed/NCBI

9 

Zhong LP, Zhang CP, Ren GX, Guo W, William WN Jr, Sun J, Zhu HG, Tu WY, Li J, CaI YL, et al: Randomized phase III trial of induction chemotherapy with docetaxel, cisplatin, and fluorouracil followed by surgery versus up-front surgery in locally advanced resectable oral squamous cell carcinoma. J Clin Oncol. 31:744–751. 2013. View Article : Google Scholar : PubMed/NCBI

10 

Zhong LP, Zhang CP, Ren GX, Guo W, William WN Jr, Sun J, Hong CS, Zhu HG, Tu WY, Li J, et al: Long-Term results of a randomized phase III trial of TPF induction chemotherapy followed by surgery and radiotherapy in locally advanced oral squamous cell carcinoma. Oncotarget. 6:18707–18714. 2015. View Article : Google Scholar : PubMed/NCBI

11 

Zhong LP, Zhu DW, William WN Jr, Liu Y, Ma J, Yang CZ, Yang X, Wang LZ, Li J, Myers JN, et al: Elevated cyclin D1 expression is predictive for a benefit from TPF induction chemotherapy in oral squamous cell carcinoma patients with advanced nodal disease. Mol Cancer Ther. 12:1112–1121. 2013. View Article : Google Scholar : PubMed/NCBI

12 

Sherr CJ, Beach D and Shapiro GI: Targeting CDK4 and CDK6: From discovery to therapy. Cancer Discov. 6:353–367. 2016. View Article : Google Scholar : PubMed/NCBI

13 

Ramos-García P, Gil-Montoya JA, Scully C, Ayén A, González-Ruiz L, Navarro-Triviño FJ and González-Moles MA: An update on the implications of cyclin D1 in oral carcinogenesis. Oral Dis. 23:897–912. 2017. View Article : Google Scholar : PubMed/NCBI

14 

Hardisson D: Molecular pathogenesis of head and neck squamous cell carcinoma. Eur Arch Otorhinolaryngol. 260:502–508. 2003. View Article : Google Scholar : PubMed/NCBI

15 

Capaccio P, Pruneri G, Carboni N, Pagliari AV, Quatela M, Cesana BM and Pignataro L: Cyclin D1 expression is predictive of occult metastases in head and neck cancer patients with clinically negative cervical lymph nodes. Head Neck. 22:234–240. 2000. View Article : Google Scholar : PubMed/NCBI

16 

Huang SF, Cheng SD, Chuang WY, Chen IH, Liao CT, Wang HM and Hsieh LL: Cyclin D1 overexpression and poor clinical outcomes in Taiwanese oral cavity squamous cell carcinoma. World J Surg Oncol. 10:402012. View Article : Google Scholar : PubMed/NCBI

17 

Akervall J, Kurnit DM, Adams M, Zhu S, Fisher SG, Bradford CR and Carey TE: Overexpression of cyclin D1 correlates with sensitivity to cisplatin in squamous cell carcinoma cell lines of the head and neck. Acta Otolaryngol. 124:851–857. 2004. View Article : Google Scholar : PubMed/NCBI

18 

Warenius HM, Seabra LA and Maw P: Sensitivity to cis-diamminedichloroplatinum in human cancer cells is related to expression of cyclin D1 but not c-raf-1 protein. Int J Cancer. 67:224–231. 1996. View Article : Google Scholar : PubMed/NCBI

19 

Nakashima T and Clayman GL: Antisense inhibition of cyclin D1 in human head and neck squamous cell carcinoma. Arch Otolaryngol Head Neck Surg. 126:957–961. 2000. View Article : Google Scholar : PubMed/NCBI

20 

Kothari V and Mulherkar R: Inhibition of cyclin D1 by shRNA is associated with enhanced sensitivity to conventional therapies for head and neck squamous cell carcinoma. Anticancer Res. 32:121–128. 2012.PubMed/NCBI

21 

Zhong LP, Pan HY, Zhou XJ, Ye DX, Zhang L, Yang X, Chen WT and Zhang ZY: Characteristics of a cancerous cell line, HIOEC-B(a)P-96, induced by benzo(a)pyrene from human immortalized oral epithelial cell line. Arch Oral Biol. 53:443–452. 2008. View Article : Google Scholar : PubMed/NCBI

22 

Mineta H, Miura K, Takebayashi S, Ueda Y, Misawa K, Harada H, Wennerberg J and Dictor M: Cyclin D1 overexpression correlates with poor prognosis in patients with tongue squamous cell carcinoma. Oral Oncol. 36:194–198. 2000. View Article : Google Scholar : PubMed/NCBI

23 

Bova RJ, Quinn DI, Nankervis JS, Cole IE, Sheridan BF, Jensen MJ, Morgan GJ, Hughes CJ and Sutherland RL: Cyclin D1 and p16INK4A expression predict reduced survival in carcinoma of the anterior tongue. Clin Cancer Res. 5:2810–2819. 1999.PubMed/NCBI

24 

Zhong LP, Wei KJ, Yang X, Pan HY, Wang LZ and Zhang ZY: Overexpression of galectin-1 is positively correlated with pathologic differentiation grade in oral squamous cell carcinoma. J Cancer Res Clin Oncol. 136:1527–1535. 2010. View Article : Google Scholar : PubMed/NCBI

25 

Gioanni J, Fischel JL, Lambert JC, Demard F, Mazeau C, Zanghellini E, Ettore F, Formento P, Chauvel P and Lalanne CM: Two new human tumor cell lines derived from squamous cell carcinomas of the tongue: Establishment, characterization and response to cytotoxic treatment. Eur J Cancer Clin Oncol. 24:1445–1455. 1988. View Article : Google Scholar : PubMed/NCBI

26 

Dozier C, Mazzolini L, Cénac C, Froment C, Burlet-Schiltz O, Besson A and Manenti S: CyclinD-CDK4/6 complexes phosphorylate CDC25A and regulate its stability. Oncogene. 36:3781–3788. 2017. View Article : Google Scholar : PubMed/NCBI

27 

Zhong Z, Yeow WS, Zou C, Wassell R, Wang C, Pestell RG, Quong JN and Quong AA: Cyclin D1/cyclin-dependent kinase 4 interacts with filamin A and affects the migration and invasion potential of breast cancer cells. Cancer Res. 70:2105–2114. 2010. View Article : Google Scholar : PubMed/NCBI

28 

Qie S and Diehl JA: Cyclin D1, cancer progression, and opportunities in cancer treatment. J Mol Med (Berl). 94:1313–1326. 2016. View Article : Google Scholar : PubMed/NCBI

29 

Sales KU, Giudice FS, Castilho RM, Salles FT, Squarize CH, Abrahao AC and Pinto DS Jr: Cyclin D1-induced proliferation is independent of beta-catenin in head and neck cancer. Oral Dis. 20:e42–e48. 2014. View Article : Google Scholar : PubMed/NCBI

30 

Fusté NP, Fernández-Hernández R, Cemeli T, Mirantes C, Pedraza N, Rafel M, Torres-Rosell J, Colomina N, Ferrezuelo F, Dolcet X and Garí E: Cytoplasmic cyclin D1 regulates cell invasion and metastasis through the phosphorylation of paxillin. Nat Commun. 7:115812016. View Article : Google Scholar : PubMed/NCBI

31 

Ma J, Liu Y, Huang XL, Zhang ZY, Myers JN, Neskey DM and Zhong LP: Induction chemotherapy decreases the rate of distant metastasis in patients with head and neck squamous cell carcinoma but does not improve survival or locoregional control: A meta-analysis. Oral Oncol. 48:1076–1084. 2012. View Article : Google Scholar : PubMed/NCBI

32 

Pignon JP, le Maître A, Maillard E and Bourhis J; MACH-NC Collaborative Group, : Meta-Analysis of chemotherapy in head and neck cancer (MACH-NC): An update on 93 randomised trials and 17,346 patients. Radiother Oncol. 92:4–14. 2009. View Article : Google Scholar : PubMed/NCBI

33 

Jamieson ER and Lippard SJ: Structure, recognition, and processing of cisplatin-DNA adducts. Chem Rev. 99:2467–2498. 1999. View Article : Google Scholar : PubMed/NCBI

34 

Longley DB, Harkin DP and Johnson PG: 5-fluorouracil: Mechanisms of action and clinical strategies. Nat Rev Cancer. 3:330–338. 2003. View Article : Google Scholar : PubMed/NCBI

35 

Garcia P, Braguer D, Carles G, el Khyari S, Barra Y, de Ines C, Barasoain I and Briand C: Comparative effects of taxol and Taxotere on two different human carcinoma cell lines. Cancer Chemother Pharmacol. 34:335–343. 1994. View Article : Google Scholar : PubMed/NCBI

36 

Perisanidis C, Perisanidis B, Wrba F, Brandstetter A, El Gazzar S, Papadogeorgakis N, Seemann R, Ewers R, Kyzas PA and Filipits M: Evaluation of immunohistochemical expression of p53, p21, p27, cyclin D1, and Ki67 in oral and oropharyngeal squamous cell carcinoma. J Oral Pathol Med. 41:40–46. 2012. View Article : Google Scholar : PubMed/NCBI

37 

Pirkmaier A, Yuen K, Hendley J, O'Connell MJ and Germain D: Cyclin d1 overexpression sensitizes breast cancer cells to fenretinide. Clin Cancer Res. 9:1877–1884. 2003.PubMed/NCBI

38 

Cowan AJ, Frayo SL, Press OW, Palanca-Wessels MC, Pagel JM, Green DJ and Gopal AK: Bortezomib and fenretinide induce synergistic cytotoxicity in mantle cell lymphoma through apoptosis, cell-cycle dysregulation, and IκBα kinase downregulation. Anticancer Drugs. 26:974–983. 2015. View Article : Google Scholar : PubMed/NCBI

39 

Smith ME, Das BC and Kalpana GV: In vitro activities of novel 4-HPR derivatives on a panel of rhabdoid and other tumor cell lines. Cancer Cell Int. 11:342011. View Article : Google Scholar : PubMed/NCBI

Related Articles

  • Abstract
  • View
  • Download
  • Twitter
Copy and paste a formatted citation
Spandidos Publications style
Hu Y, Sun WW, Zhao T, Liu Y, Zhu D, Wang L, Li J, Zhang C, Zhang Z, Zhong L, Zhong L, et al: Cyclin D1 overexpression enhances chemosensitivity to TPF chemotherapeutic agents via the caspase‑3 pathway in oral cancer. Oncol Lett 20: 154, 2020.
APA
Hu, Y., Sun, W., Zhao, T., Liu, Y., Zhu, D., Wang, L. ... Zhong, L. (2020). Cyclin D1 overexpression enhances chemosensitivity to TPF chemotherapeutic agents via the caspase‑3 pathway in oral cancer. Oncology Letters, 20, 154. https://doi.org/10.3892/ol.2020.12015
MLA
Hu, Y., Sun, W., Zhao, T., Liu, Y., Zhu, D., Wang, L., Li, J., Zhang, C., Zhang, Z., Zhong, L."Cyclin D1 overexpression enhances chemosensitivity to TPF chemotherapeutic agents via the caspase‑3 pathway in oral cancer". Oncology Letters 20.5 (2020): 154.
Chicago
Hu, Y., Sun, W., Zhao, T., Liu, Y., Zhu, D., Wang, L., Li, J., Zhang, C., Zhang, Z., Zhong, L."Cyclin D1 overexpression enhances chemosensitivity to TPF chemotherapeutic agents via the caspase‑3 pathway in oral cancer". Oncology Letters 20, no. 5 (2020): 154. https://doi.org/10.3892/ol.2020.12015
Copy and paste a formatted citation
x
Spandidos Publications style
Hu Y, Sun WW, Zhao T, Liu Y, Zhu D, Wang L, Li J, Zhang C, Zhang Z, Zhong L, Zhong L, et al: Cyclin D1 overexpression enhances chemosensitivity to TPF chemotherapeutic agents via the caspase‑3 pathway in oral cancer. Oncol Lett 20: 154, 2020.
APA
Hu, Y., Sun, W., Zhao, T., Liu, Y., Zhu, D., Wang, L. ... Zhong, L. (2020). Cyclin D1 overexpression enhances chemosensitivity to TPF chemotherapeutic agents via the caspase‑3 pathway in oral cancer. Oncology Letters, 20, 154. https://doi.org/10.3892/ol.2020.12015
MLA
Hu, Y., Sun, W., Zhao, T., Liu, Y., Zhu, D., Wang, L., Li, J., Zhang, C., Zhang, Z., Zhong, L."Cyclin D1 overexpression enhances chemosensitivity to TPF chemotherapeutic agents via the caspase‑3 pathway in oral cancer". Oncology Letters 20.5 (2020): 154.
Chicago
Hu, Y., Sun, W., Zhao, T., Liu, Y., Zhu, D., Wang, L., Li, J., Zhang, C., Zhang, Z., Zhong, L."Cyclin D1 overexpression enhances chemosensitivity to TPF chemotherapeutic agents via the caspase‑3 pathway in oral cancer". Oncology Letters 20, no. 5 (2020): 154. https://doi.org/10.3892/ol.2020.12015
Follow us
  • Twitter
  • LinkedIn
  • Facebook
About
  • Spandidos Publications
  • Careers
  • Cookie Policy
  • Privacy Policy
How can we help?
  • Help
  • Live Chat
  • Contact
  • Email to our Support Team