Spandidos Publications Logo
  • About
    • About Spandidos
    • Aims and Scopes
    • Abstracting and Indexing
    • Editorial Policies
    • Reprints and Permissions
    • Job Opportunities
    • Terms and Conditions
    • Contact
  • Journals
    • All Journals
    • Oncology Letters
      • Oncology Letters
      • Information for Authors
      • Editorial Policies
      • Editorial Board
      • Aims and Scope
      • Abstracting and Indexing
      • Bibliographic Information
      • Archive
    • International Journal of Oncology
      • International Journal of Oncology
      • Information for Authors
      • Editorial Policies
      • Editorial Board
      • Aims and Scope
      • Abstracting and Indexing
      • Bibliographic Information
      • Archive
    • Molecular and Clinical Oncology
      • Molecular and Clinical Oncology
      • Information for Authors
      • Editorial Policies
      • Editorial Board
      • Aims and Scope
      • Abstracting and Indexing
      • Bibliographic Information
      • Archive
    • Experimental and Therapeutic Medicine
      • Experimental and Therapeutic Medicine
      • Information for Authors
      • Editorial Policies
      • Editorial Board
      • Aims and Scope
      • Abstracting and Indexing
      • Bibliographic Information
      • Archive
    • International Journal of Molecular Medicine
      • International Journal of Molecular Medicine
      • Information for Authors
      • Editorial Policies
      • Editorial Board
      • Aims and Scope
      • Abstracting and Indexing
      • Bibliographic Information
      • Archive
    • Biomedical Reports
      • Biomedical Reports
      • Information for Authors
      • Editorial Policies
      • Editorial Board
      • Aims and Scope
      • Abstracting and Indexing
      • Bibliographic Information
      • Archive
    • Oncology Reports
      • Oncology Reports
      • Information for Authors
      • Editorial Policies
      • Editorial Board
      • Aims and Scope
      • Abstracting and Indexing
      • Bibliographic Information
      • Archive
    • Molecular Medicine Reports
      • Molecular Medicine Reports
      • Information for Authors
      • Editorial Policies
      • Editorial Board
      • Aims and Scope
      • Abstracting and Indexing
      • Bibliographic Information
      • Archive
    • World Academy of Sciences Journal
      • World Academy of Sciences Journal
      • Information for Authors
      • Editorial Policies
      • Editorial Board
      • Aims and Scope
      • Abstracting and Indexing
      • Bibliographic Information
      • Archive
    • International Journal of Functional Nutrition
      • International Journal of Functional Nutrition
      • Information for Authors
      • Editorial Policies
      • Editorial Board
      • Aims and Scope
      • Abstracting and Indexing
      • Bibliographic Information
      • Archive
    • International Journal of Epigenetics
      • International Journal of Epigenetics
      • Information for Authors
      • Editorial Policies
      • Editorial Board
      • Aims and Scope
      • Abstracting and Indexing
      • Bibliographic Information
      • Archive
    • Medicine International
      • Medicine International
      • Information for Authors
      • Editorial Policies
      • Editorial Board
      • Aims and Scope
      • Abstracting and Indexing
      • Bibliographic Information
      • Archive
  • Articles
  • Information
    • Information for Authors
    • Information for Reviewers
    • Information for Librarians
    • Information for Advertisers
    • Conferences
  • Language Editing
Spandidos Publications Logo
  • About
    • About Spandidos
    • Aims and Scopes
    • Abstracting and Indexing
    • Editorial Policies
    • Reprints and Permissions
    • Job Opportunities
    • Terms and Conditions
    • Contact
  • Journals
    • All Journals
    • Biomedical Reports
      • Information for Authors
      • Editorial Policies
      • Editorial Board
      • Aims and Scope
      • Abstracting and Indexing
      • Bibliographic Information
      • Archive
    • Experimental and Therapeutic Medicine
      • Information for Authors
      • Editorial Policies
      • Editorial Board
      • Aims and Scope
      • Abstracting and Indexing
      • Bibliographic Information
      • Archive
    • International Journal of Epigenetics
      • Information for Authors
      • Editorial Policies
      • Editorial Board
      • Aims and Scope
      • Abstracting and Indexing
      • Bibliographic Information
      • Archive
    • International Journal of Functional Nutrition
      • Information for Authors
      • Editorial Policies
      • Editorial Board
      • Aims and Scope
      • Abstracting and Indexing
      • Bibliographic Information
      • Archive
    • International Journal of Molecular Medicine
      • Information for Authors
      • Editorial Policies
      • Editorial Board
      • Aims and Scope
      • Abstracting and Indexing
      • Bibliographic Information
      • Archive
    • International Journal of Oncology
      • Information for Authors
      • Editorial Policies
      • Editorial Board
      • Aims and Scope
      • Abstracting and Indexing
      • Bibliographic Information
      • Archive
    • Medicine International
      • Information for Authors
      • Editorial Policies
      • Editorial Board
      • Aims and Scope
      • Abstracting and Indexing
      • Bibliographic Information
      • Archive
    • Molecular and Clinical Oncology
      • Information for Authors
      • Editorial Policies
      • Editorial Board
      • Aims and Scope
      • Abstracting and Indexing
      • Bibliographic Information
      • Archive
    • Molecular Medicine Reports
      • Information for Authors
      • Editorial Policies
      • Editorial Board
      • Aims and Scope
      • Abstracting and Indexing
      • Bibliographic Information
      • Archive
    • Oncology Letters
      • Information for Authors
      • Editorial Policies
      • Editorial Board
      • Aims and Scope
      • Abstracting and Indexing
      • Bibliographic Information
      • Archive
    • Oncology Reports
      • Information for Authors
      • Editorial Policies
      • Editorial Board
      • Aims and Scope
      • Abstracting and Indexing
      • Bibliographic Information
      • Archive
    • World Academy of Sciences Journal
      • Information for Authors
      • Editorial Policies
      • Editorial Board
      • Aims and Scope
      • Abstracting and Indexing
      • Bibliographic Information
      • Archive
  • Articles
  • Information
    • For Authors
    • For Reviewers
    • For Librarians
    • For Advertisers
    • Conferences
  • Language Editing
Login Register Submit
  • This site uses cookies
  • You can change your cookie settings at any time by following the instructions in our Cookie Policy. To find out more, you may read our Privacy Policy.

    I agree
Search articles by DOI, keyword, author or affiliation
Search
Advanced Search
presentation
Oncology Letters
Join Editorial Board Propose a Special Issue
Print ISSN: 1792-1074 Online ISSN: 1792-1082
Journal Cover
August-2021 Volume 22 Issue 2

Full Size Image

Sign up for eToc alerts
Recommend to Library

Journals

International Journal of Molecular Medicine

International Journal of Molecular Medicine

International Journal of Molecular Medicine is an international journal devoted to molecular mechanisms of human disease.

International Journal of Oncology

International Journal of Oncology

International Journal of Oncology is an international journal devoted to oncology research and cancer treatment.

Molecular Medicine Reports

Molecular Medicine Reports

Covers molecular medicine topics such as pharmacology, pathology, genetics, neuroscience, infectious diseases, molecular cardiology, and molecular surgery.

Oncology Reports

Oncology Reports

Oncology Reports is an international journal devoted to fundamental and applied research in Oncology.

Experimental and Therapeutic Medicine

Experimental and Therapeutic Medicine

Experimental and Therapeutic Medicine is an international journal devoted to laboratory and clinical medicine.

Oncology Letters

Oncology Letters

Oncology Letters is an international journal devoted to Experimental and Clinical Oncology.

Biomedical Reports

Biomedical Reports

Explores a wide range of biological and medical fields, including pharmacology, genetics, microbiology, neuroscience, and molecular cardiology.

Molecular and Clinical Oncology

Molecular and Clinical Oncology

International journal addressing all aspects of oncology research, from tumorigenesis and oncogenes to chemotherapy and metastasis.

World Academy of Sciences Journal

World Academy of Sciences Journal

Multidisciplinary open-access journal spanning biochemistry, genetics, neuroscience, environmental health, and synthetic biology.

International Journal of Functional Nutrition

International Journal of Functional Nutrition

Open-access journal combining biochemistry, pharmacology, immunology, and genetics to advance health through functional nutrition.

International Journal of Epigenetics

International Journal of Epigenetics

Publishes open-access research on using epigenetics to advance understanding and treatment of human disease.

Medicine International

Medicine International

An International Open Access Journal Devoted to General Medicine.

Journal Cover
August-2021 Volume 22 Issue 2

Full Size Image

Sign up for eToc alerts
Recommend to Library

  • Article
  • Citations
    • Cite This Article
    • Download Citation
    • Create Citation Alert
    • Remove Citation Alert
    • Cited By
  • Similar Articles
    • Related Articles (in Spandidos Publications)
    • Similar Articles (Google Scholar)
    • Similar Articles (PubMed)
  • Download PDF
  • Download XML
  • View XML
Article Open Access

Dose distribution effects of spot‑scanning proton beam therapy equipped with a multi‑leaf collimator for pediatric brain tumors

  • Authors:
    • Nobuyoshi Fukumitsu
    • Tomohiro Yamashita
    • Masayuki Mima
    • Yusuke Demizu
    • Takeshi Suzuki
    • Toshinori Soejima
  • View Affiliations / Copyright

    Affiliations: Department of Radiation Oncology, Kobe Proton Center, Kobe, Hyōgo 650‑0047, Japan, Division of Medical Physics, Kobe Proton Center, Kobe, Hyōgo 650‑0047, Japan, Department of Anesthesiology, Kobe Proton Center, Kobe, Hyōgo 650‑0047, Japan
    Copyright: © Fukumitsu et al. This is an open access article distributed under the terms of Creative Commons Attribution License.
  • Article Number: 635
    |
    Published online on: July 1, 2021
       https://doi.org/10.3892/ol.2021.12896
  • Expand metrics +
Metrics: Total Views: 0 (Spandidos Publications: | PMC Statistics: )
Metrics: Total PDF Downloads: 0 (Spandidos Publications: | PMC Statistics: )
Cited By (CrossRef): 0 citations Loading Articles...

This article is mentioned in:


Abstract

The present study simulated the effect of spot‑scanning proton beam therapy (PBT) performed using a device equipped with a multi‑leaf collimator (MLC) to calculate the dose distribution. Simulation studies using 18 pediatric patients with brain tumors in the posterior fossa were performed. Treatment plans were created for the MLC at different stages: Fully open (initial plan), fully closed to allow an irradiated area extending to 15 mm from the clinical target volume (CTV) (15‑mm plan), or closing only the leaves where an organ at risk (OAR) overlapped with a border at 10 or 5 mm from the CTV (10‑ and 5‑mm plans, respectively). The mean dose values for the brainstem, cervical cord, brain and cochlea in all MLC closure plans decreased as the MLC was closed (P=9.9x10‑10, P=1.3x10‑17, P=2.1x10‑16 and P=2.0x10‑5, respectively). The maximum dose (Dmax) values of the cervical cord and cochlea in all MLC closure plans were also decreased as the MLC was closed (P=3.0x10‑4 and P=1.1x10‑5, respectively). The dose to the CTV was almost unchanged. In 10 patients, the Dmax of the brain in all MLC‑closure plans was higher than that of the initial plan, but the maximum increase was only 0.8 gray relative biological effectiveness [Gy(RBE)]. In conclusion, the existing MLC installed in the treatment device can be used to decrease the OAR dose significantly using spot‑scanning PBT without a large capital investment. The dose from the scattered particles was small.

Introduction

Proton beam therapy (PBT) is associated with the emission of high radiation energy after penetration up to a certain depth (1,2) and is widely used for the treatment of various cancer types (3), such as head and neck (4), prostate (5), pediatric brain (6), liver (7) and esophageal (8) cancer. PBT techniques have advanced over the last few decades. One of the most representative advances is the development of the spot-scanning technique using pencil beams (9). Spot-scanning features several dosimetric traits that, depending on the circumstances, can further improve upon conventional passive-scattered broad-beam irradiation; it provides a smaller entrance dose and allows for intensity-modulated treatments that enable dose painting to further spare normal tissue in the vicinity of complex tumor structures. A decrease in the cost of the manufacturing of patient-specific devices, such as compensators, and shorter device adjustment times are other advantages (10–12). The major disadvantage of PBT scanning is the larger lateral penumbra compared with that of passive-scattered beams (13,14). Nevertheless, the number of facilities offering spot-scanning PBT is rapidly increasing worldwide.

Several studies have investigated how to improve the plan quality of spot-scanning PBT using hardware or software systems. Techniques to improve the optimization method and to decrease the size of the penumbra are the main topics of focus. Regarding the development of optimization technology, pencil beam selection (resampling) (15–17) and modified pencil beam positioning, such as contour scanning (18), have been developed. Regarding technology to decrease the penumbra, collimator (19,20) or aperture (21–23) systems have been utilized at some facilities. In addition, a system with four moveable trimmer plates, enabling energy layer-specific collimation [dynamic multi-leaf collimator (MLC)], has been developed (24,25). Furthermore, the combination of using an MLC and contour scanning can reportedly decrease the dose to the organ at risk (OAR) (26).

In contrast to the aforementioned benefits, devices such as collimation systems have the disadvantage of generating scattered particles when interacting with proton beams (27,28). MELTHEA V (Hitachi, Ltd,) is the first commercially available PBT system equipped with a synchrotron that allows switching between a passive-scattered broad-beam and a spot-scanning pencil-beam using the same nozzle. The MLC, which can potentially be used for passive-scattered broad-beam irradiation, can also be used for spot-scanning beam irradiation.

Kobe Proton Center (Kobe, Japan) has a treatment nozzle that can deliver spot-scanning beams and is equipped with an MLC. Dose calculation using the Monte Carlo (MC) method is also available for PBT (29,30). A relatively large number of pediatric patients with cancer are treated at the facility, and necrosis or severe dysfunction of the nervous system are often mentioned as adverse events that should be avoided particularly when treating such patients. The present study investigated the dose distribution benefits and caveats of spot-scanning PBT performed using a device equipped with an MLC by simulating pediatric brain tumors in the posterior fossa.

Materials and methods

Treatment planning system

The treatment planning system consisted of RayStation ver. 9A (Ray Search Laboratories AB), which has a pencil beam dose engine and its own MC dose engine; it transports primary protons and secondary ions (up to α), but does not transport secondary neutral particles, and does not generate δ-ray electrons. MC dose engine starts the transportation upstream of the patient transport grid or the most upstream beam modifier (MLC or range shifter) when used, thus the edge scatter on MLC is included in the calculation. The MC dose engine is described in further detail in the studies by Saini et al (29) and Maes et al (30). The RayStation uses 1.06 times the projected spot size as the spot distance by default, and this size was not changed for the present study. The optimization algorithm was a sequential quadratic programming method that uses Broyden-Fletcher-Goldfarb-Shanno updates of the quasi-Newton approximation of the Hessian of the Lagrangian (31).

Virtual target study

Three rectangular virtual targets were created with the following dimensions: 4×4×4, 6×6×4 and 8×8×4 cm. The MLC was set at fully open (initial plan) or closed to create irradiation areas with a border at 15, 10 or 5 mm from the target (15, 10- and 5-mm plans, respectively). The beam direction was frontal, and the resulting dose distributions were calculated. Next, the dose distributions were scaled so that the dose received by 50% of the volume (D50) of the targets matched the prescription dose. To assess the benefit of using MLC, lateral penumbras, defined as 80 to 20% of the prescription dose at the target center for each field, were compared for different MLC openings. Also, the maximum dose (Dmax), which could be increased by scattered particles from the MLC, was compared. In a preliminary study, it was confirmed that spots with an energy deposit located >15 mm away from the target were relatively sparse and had a minimal effect on the dose distribution of the target in this system [number of spots: −5.9%; D5 of the target: +0.11 Gy(RBE); D9 of the target: −0.17 Gy(RBE)]. Thus, the present study was started with the MLC closed to create a border at 15 mm from the target.

Analyzing clinical data

Clinical data for a total of 18 pediatric patients with brain tumors in the posterior fossa treated at Kobe Proton Center were studied (age range, 8 months-12 years; mean, 5.8 years; 9 males and 9 females). The primary diseases were medulloblastoma (n=10), ependymoma (n=5) and atypical teratoid/rhabdoid tumor (AT/RT; n=3). The tumors had already been resected, and the post-operative cavities were the targets. The beam directions were left, right and top. Closing the MLC to shield the brainstem impairs the dose of the area on the distant side of the brainstem in the CTV. To minimize the volume of the low-dose area in the CTV, the angle of the top beam was arranged so as to run parallel to the brainstem. The prescription doses [measured in gray relative biological effectiveness: Gy(RBE)] were the same as those used in clinical practice: 27 Gy(RBE) for medulloblastoma, 59.4 Gy(RBE) for ependymoma and 54 Gy(RBE) for AT/RT. For patients with medulloblastoma, brain radiotherapy is usually performed in combination with whole craniospinal irradiation (CSI). Thus, by adding a dose of CSI [23.4 Gy(RBE)] to make a total dose of 50.4 Gy(RBE), the dose difference was decreased among the 3 diseases, making it easier to review and compare.

Optimization was performed using a pencil beam dose engine. After optimization, the dose distribution was calculated using the MC dose engine for later evaluations. Each beam included a range shifter of 0–6 mm water equivalent thickness made up of polyethylene. Robust optimization with a 4-mm setup and 3.5% range of uncertainty were used. The maximum number of iterations was 40. The main parameters of the beam delivery system are shown in Table I. The clinical goal was to cover the CTV (uniform prescription dose), brainstem [≤52 Gy(RBE) for <8 years; 54 Gy(RBE) for ≥8 years), cervical cord [≤40 Gy(RBE) for <8 years; 43 Gy(RBE) for ≥8 years], brain [≤60 Gy(RBE)] and cochlea [≤43 Gy(RBE)], all converted with an equivalent dose of 2 Gy(RBE).

Table I.

Beam parameters.

Table I.

Beam parameters.

Beam parametersValue
Energy, MeV70.7–235
Energy steps, n92
Pulse frequency, Hz1/2.8
Field size, cm20×15
Source-axis distance (X, Y), m2.696, 3.029
Scanning speed (X, Y), mm/msec60, 120
Spot size at isocenter in air, mm (one sigma)3.3–12
Dose rate, Gy/min1

[i] Repeated measures single-factor ANOVA was used to compare the dose to the target and organ at risk among the 15-, 10- and 5-mm and initial plans.

The first treatment plan was created with the MLC fully open (initial plan). Next, the initial plan was modified by closing the MLC to create an irradiation area with a border at 15 mm from the CTV (15-mm plan); then, only the leaves of the MLC for which the OAR region overlapped with the border at 10 or 5 mm from the CTV were closed (10- and 5-mm plans, respectively). Fig. 1 illustrates these four treatment plans. The dose distribution was calculated for each plan in the same way as that used for the virtual target study.

Figure 1.

Schema of MLC openings. (A) Initial plan: All leaves of the MLC are fully open. (B) 15-mm plan: All leaves of the MLC are closed to allow a border at 15 mm from the CTV. (C) 10-mm plan: Only the specific leaves of the MLC for which the OAR region overlapped with the border at 10 mm from the CTV are closed. (D) 5-mm plan: Only the specific leaves of the MLC for which the OAR region overlapped with the border at 5 mm from the CTV are closed. MLC, multi-leaf collimator; OAR, organ at risk; CTV, clinical target volume.

All the study procedures involving human participants were conducted in accordance with the ethical standards of the institutional research committee (approval no. 30-7), were in compliance with the Declaration of Helsinki, and were approved by the Institutional Review Board of Kobe Proton Center (Kobe, Japan).

Statistical analysis

Repeated measures single-factor ANOVA followed by Bonferroni's post hoc test, analyzed using Statcel 4 software (OMS Publishing Inc.), was used to compare the dose to the target and OAR among the 15-, 10- and 5-mm and initial plans, and P<0.05 was considered to indicate a statistically significant difference.

Results

Virtual target study

The lateral penumbra sharpened as the MLC was closed: From 8.9 to 6.6 mm for a 4×4×4-cm target, from 8.3 to 6.7 mm for a 6×6×4-cm target and from 8.2 to 6.6 mm for an 8×8×4-cm target. For the 10-mm plan, the 95% dose line encompassed the target. For the 5-mm plan, the 95% dose line did not cover the entire target completely. The point of Dmax was located 1–3 mm upstream of the target close to the beam edge, and the Dmax tended to increase as the MLC was closed: From 104 to 107% for a 4×4×4-cm target, from 105 to 108% for a 6×6×4-cm target and from 105 to 109% for an 8×8×4-cm target. The dose in the proximal region along the beam edge increased concomitantly as the MLC was closed. All the data are shown in Fig. 2.

Figure 2.

Virtual target study. The target size is 4×4×4 cm (top), 6×6×4 cm (middle) and 8×8×4 cm (bottom). (A) From left to right, the MLC is fully open, and closed 15, 10 and 5 mm to the target. Numbers in the top right of each image are lateral penumbras, defined as 80 to 20% of the prescription dose and maximal doses. (B) The mean vertical and axial images for which the maximal dose site is expressed (target size, 8 cm; MLC margin, 5 mm). (C) The positional relationship between the virtual target, spots and maximal dose site. The red circle indicates the maximal dose site. MLC, multi-leaf collimator.

Analyzing clinical data

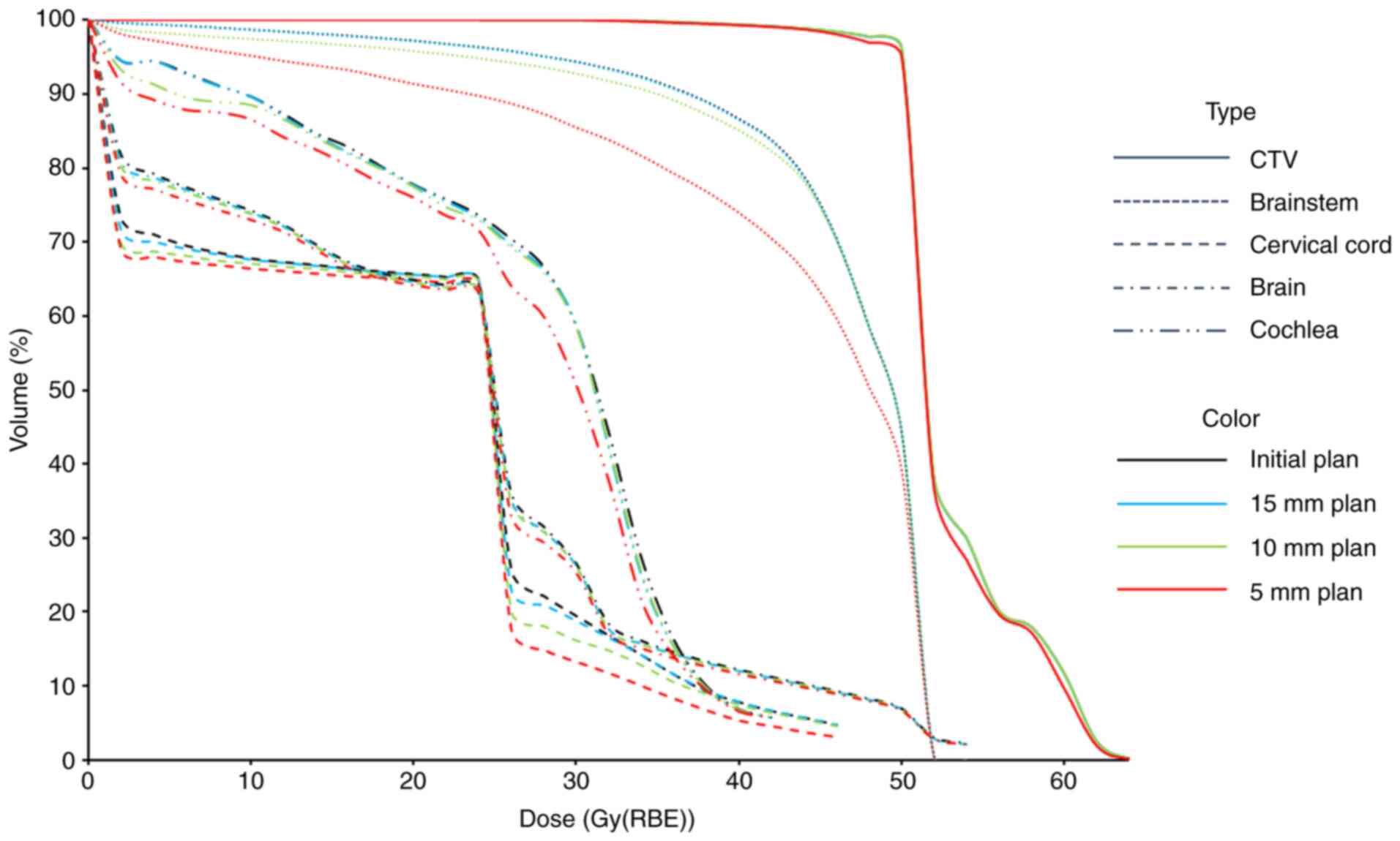
The difference in Dmean values of the brainstem, cervical cord, brain and cochlea among the initial, 15-, 10- and 5-mm plan showed significant changes (P=9.9×10−10, 1.3×10−17, 2.1×10−16 and 2.0×10−15, respectively). The values showed a decreasing trend as the MLC was closed. The Dmax of the cervical cord and cochlea also showed significant changes (P=3.0×10−4 and P=1.1×10−3, respectively). The Dmax decrease in the cervical cord was 8.3, followed by 5.6 Gy(RBE) in medulloblastoma. Meanwhile, the maximal Dmax decrease in the cochlea was 8.9, followed by 5 Gy(RBE) in AT/RT and ependymoma. None of the Dmean, D95 or Dmax values of the CTV were changed, and only the conformality index of the planning target volume (PTV) (CTV + 5 mm) showed a significant increase (P=1.7×10−3). The Dmax of the skin exhibited no change (Table II and Fig. 3). In 10 patients, the Dmax of the brain in all MLC-closure plans had a higher value relative to that of the initial plan. The maximum increase was 0.8 Gy(RBE) [from 51.2 to 52 Gy(RBE)] in a patient with medulloblastoma. Fig. 4 shows an example of a patient with AT/RT (8 months old, female). The prescription dose in the initial plan was 27 Gy(RBE) for the post-operative cavity +15 mm and 54 Gy(RBE) for the post-operative cavity +10 mm, but excluding the brainstem. The doses at the brainstem and cochlea were prominently decreased as the MLC was closed, while the dose to the CTV remained almost the same.

Figure 3.

Dose-volume histogram. The type and color of each line are shown in the key. The type classifies the CTV and critical organs, and the color classifies the plan name. CTV, clinical target volume; Gy(RBE), gray relative biological effectiveness.

Figure 4.

Dose-distribution image and dose-volume histogram of a patient with an atypical teratoid/rhabdoid tumor. CTV, clinical target volume; Gy(RBE), gray relative biological effectiveness.

Table II.

Comparison of dose parameters for each plan.

Table II.

Comparison of dose parameters for each plan.

ParameterInitial plan15-mm plan10-mm plan5-mm planP-value
CTV
  Dmean53.253.253.253.20.68
  D9549.449.449.549.50.10
  Dmax55.555.555.555.50.09
PTV
  Conformity index0.40.40.40.39 1.7×10−3a
Brainstem
  Dmean46.046.045.442.4 9.9×10−10a
  D550.350.350.450.30.06
  D250.750.850.850.80.08
  Dmax51.051.051.151.00.11
Cervical cord
  Dmean19.719.519.018.3 1.3×10−17a
  D538.638.638.234.5 6.8×10−4a
  D240.840.940.639.0 9.9×10−5a
  Dmax41.741.741.440.0 3.0×10−4a
Brain
  Dmean22.222.122.021.6 2.1×10−16a
  D551.751.751.651.50.3
  D254.154.254.154.10.34
  Dmax54.654.754.654.60.35
Cochlea
  Dmean27.827.627.226.3 2.0×10−5a
  D532.031.931.430.6 4.9×10−4a
  D233.233.132.731.7 1.0×10−3a
  Dmax33.733.733.332.3 1.1×10−3a
Skin
  Dmax25.825.725.725.70.41

a P<0.05. All data represent gray relative biological effectiveness. Dmean, mean dose; Dmax, maximum dose; D95, dose received by 95% of the volume. CTV, clinical target volume; PTV, planning target volume.

Discussion

As the MLC closure increased, from the 15-mm plan to the 5-mm plan, the dose-volume histogram (DVH) curve of the OAR decreased. In particular, when the OAR was shielded to within 10 mm from the CTV (10-mm plan), noticeable decreases were observed in the DVH curves for the brainstem, cervical cord and cochlea. The degree of the volume decrease was more prominent for the low to middle dose level. This can be seen from the fact that the Dmean was significantly decreased in most organs in all MLC-closure plans; however, a decrease in Dmax or D2 was only observed in the cervical cord and cochlea. This trend is consistent with the study by Sugiyama et al (20), in which the use of an MLC decreased the dose mainly in the low-dose area of the lacrimal gland during the treatment of maxillary sinus cancer. Prior to the present study, it was predicted that the Dmax of the brainstem would also decrease with MLC closure; however, no significant changes in the high-dose parameters were observed in the brainstem. We hypothesize that the robustness of the CTV in the treatment planning strongly influenced this result. Since the robustness of the CTV is prioritized in the treatment planning, this method appears to be limited to decreasing the Dmean of the brainstem, which is in full contact with the CTV, and this method might not be sufficiently effective to decrease the Dmax. Regarding the target, the Dmean and D95 change remained within 1% of the value of the initial plan. Only the conformity index showed a significant difference, but when comparing the individual values, there was no tendency to match the opening and closing of the MLC. Partial permanent hair loss is a serious problem after PBT, especially for female patients. The technique used in the present study is not useful for skin protection as the distance between the skin and CTV is >15 mm in numerous cases. In summary, this OAR shielding technique using an MLC is effective for lowering the OAR dose without affecting the target dose. In particular, in the cervical cord and cochlea, tightening the shielding has the effect of decreasing not only the Dmean, but also the Dmax.

A total of 10 patients were found to have an elevated Dmax in the brain. This circumstance can also be inferred from the results of the virtual target study. In Fig. 2, an increased dose was observed in the proximal region along the beam edge. In situations where the MLC was closed, the dose at the beam edge increased in a manner that pulled the distribution toward the proximal side, as represented by the bimodal peak of the 80% dose line. As the target size increased, this tendency became stronger, and the two peaks became clearer. This can be interpreted as each peak being generated at the edge of the beam and being released from fusion as the peaks separate from each other. This phenomenon can be considered an effect of the scattering produced by the MLC. Hyer et al (32) reported a 2-peak dose profile in a simulation study using the MC method when the collimation system was set to within 1 cm of the target, which is similar to the present data. The clinical impact of an increased dose caused by scattered radiation is important, but the maximum increase was only 0.8 Gy(RBE) in a patient with medulloblastoma. This degree of dose escalation is usually not clinically important. Therefore, MLC can be considered to have a strong effect, suppressing the dose delivered to the area surrounding the target, such as the OAR, and the dose increase arising from scattered radiation is likely to have little clinical significance.

Several studies attempting to improve the plan quality for spot-scanning PBT using collimation and aperture systems have been performed. Wang et al (22) performed a virtual target study and reported that the target dose homogeneity with a 5-mm aperture margin plan was equivalent to the plan without an aperture, but the normal tissue dose was decreased. Dowdell et al (21) performed a simulation study using a patient-specific aperture and observed a decrease in the out-of-field dose. Hyer et al (10) performed a simulation study using a novel dynamic collimator system. The study reported that it was possible to decrease the OAR dose without changing the target dose, and the dose decrease effect became more marked as the complexity of the target shape increased. In clinical studies, Yasui et al (23) reported that a dose decrease in the OAR was obtained in 10 patients with head and neck cancer with no decrease in the CTV dose using an aperture system, and Sugiyama et al (20) reported that Dmean and D2 values of the OAR, including the optic nerve and chiasm, were successfully decreased for 26 patients with maxillary cancer using an MLC system. Winterhalter et al (26) reported that energy-specific collimation decreased the volume receiving >30% of the prescription dose (V30) outside the PTV by 19.8% in 4 patients with brain and skull base cancer. Regarding pediatric brain tumors, researchers at the University of Iowa and Pennsylvania developed a dynamic collimation and a fixed aperture system, and reported a clear trimming effect, decreasing the OAR dose and increasing the conformity index of the target in 5 patients with brain tumors (24,25). Smith et al (24) reported decreases in the Dmean of normal tissue adjacent to the target of 13.65 and 5.18% for a dynamic collimation and a fixed aperture system, respectively, and the conformity index improved by 21.35 and 8.38%, respectively. Moignier et al (25) reported that the average decrease in the Dmean of the brain was 25.1%, and they concluded that a 24.8% decrease in brain necrosis and a 25.1% decrease in the risk of secondary cancer could be expected. Moteabbed et al (33) performed a simulation study using a custom-fabricated beam-shaping aperture and range compensator for 14 patients with brain tumor and sarcoma. It was revealed that the device contributed to a decreased OAR dose and that a smaller spot size could further improve the plan quality. Comparing past studies, it is common not only to decrease the dose delivered to the OAR, but also to maintain the dose to the target within the range of a 5- to 10-mm aperture and collimation system. The novelty of the present study is as follows. First, the dose trimming effect and scattered radiation dose derived from the MLC was evaluated while maintaining the target dose for spot-scanning PBT equipped with MLC, which is a relatively new technique, and support for the effect was further verified in a virtual target study. Second, the method can be implemented with existing equipment. This technique does not require a large capital investment, such as a dynamic collimation system, and the irradiation field can be trimmed easily and arbitrarily according to the shape of the lesions and organs, rather than using a custom-fabricated aperture system. Third, it is noteworthy that the usefulness of the technique was verified in pediatric patients with brain tumors. Based on data reported by Moignier et al (25), spot-scanning PBT with MLC can greatly decrease the risk of necrosis or secondary cancer. As pediatric tumors are rare diseases, it is difficult to accumulate and analyze multiple cases. In fact, very few studies applying similar techniques have dealt with pediatric brain tumors. Since Kobe Proton Center is adjacent to one of the largest pediatric hospitals in Japan, it is possible to study numerous cases of pediatric cancer and to obtain data on therapeutic efficacy and safety. We consider it meaningful and novel to examine the dose distribution effect in the largest number of cases so far and to examine the possibility of applying this method to decrease future risks.

As the present study was a simulation study, the various beam parameters were unified. In clinical practice, a total of 12 patients were treated using broad beams before the scanning system was installed, and 3 patients were treated using scanning beams without MLC before the collimation system was equipped with the scanning beam irradiation system; the remaining 3 patients were treated using scanning beams with MLC. In total, 17 of the 18 patients are still alive as of April 2021. The follow-up period was 0.4–2.9 years (median, 1.6 years). Local recurrences occurred in 2 patients. Neurological disorders associated with radiation, such as necrosis, paralysis, audiovisual impairment or abnormal MRI findings, have not been observed.

Although the treatment system used in this study is commercially available, most PBT facilities can use either a scattered broad beam with MLC or a scanning beam without MLC. The development of a collimator system and its external attachment are both expensive and laborious. The development of systems that will allow MLC to be applied to scanning beam irradiation is widely anticipated. The present study investigated the utility of spot scanning using a MLC system for the treatment of brain tumors located in the posterior fossa, assuming the brainstem, cervical cord, brain, cochlea, and skin as OARs. Other organs, such as the optic nerve and the gastrointestinal tract, are also clinically important, and radiotherapy can cause serious adverse events, potentially complicating treatment. Examining the effects at different sites and for different diseases will be a clinically important future prospect.

In conclusion, the present study investigated the effect of spot-scanning PBT combined with MLC using a commercially available system to calculate the dose distribution in pediatric cases with brain tumors located in the posterior fossa. The Dmean was decreased in the brainstem, cervical cord, brain and cochlea, and the Dmax was decreased in the cervical cord and cochlea in the MLC-closure plan, while the dose distribution of the target was maintained. Dose elevation in the brain, probably caused by the scattered beams, was 0.8 Gy(RBE) at most; this value was determined to be small enough not to have a significant clinical impact. Ideally, the leaf margin should be determined by maintaining the target dose, decreasing the OAR dose and minimizing the dose increase to the surrounding organs caused by scattered radiation. The settings differ depending on the system, but in the present system, a setting between 5 and 15 mm was considered ideal.

Acknowledgements

Not applicable.

Funding

This study was supported by Kawano Masanori Memorial Public Interest Incorporated Foundation for Promotion of Pediatrics.

Availability of data and materials

The datasets used and/or analyzed during the current study are available from the corresponding author on reasonable request.

Authors' contributions

NF and TY conceived and designed the study. MM, YD and TSu analyzed the clinical data. NF and TSo analyzed and checked all data and wrote the manuscript. All authors read and approved the final manuscript. NF and TSo confirm the authenticity of all the raw data.

Ethics approval and consent to participate

All the study procedures involving human participants were conducted in accordance with the ethical standards of the institutional research committee (approval no. 30-7), were in compliance with the Declaration of Helsinki and were approved by the Institutional Review Board of Kobe Proton Center (Kobe, Japan). The requirement for informed consent was waived, as the study was a retrospective simulation study.

Patient consent for publication

Not applicable.

Competing interests

The authors declare that they have no competing interests.

References

1 

Lawrence JH, Tobias CA, Born JL, Linfoot JA, Kling RP and Gottschalk A: Alpha and proton heavy particles and the bragg peak in therapy. Trans Am Clin Climatol Assoc. 75:111–116. 1964.PubMed/NCBI

2 

Bortfeld T and Schlegel W: An analytical approximation of depth-dose distributions for therapeutic proton beams. Phys Med Biol. 41:1331–1339. 1996. View Article : Google Scholar : PubMed/NCBI

3 

Foote RL, Stafford SL, Petersen IA, Pulido JS, Clarke MJ, Schild SE, Garces YI, Olivier KR, Miller RC, Haddock MG, et al: The clinical case for proton beam therapy. Radiat Oncol. 7:1742012. View Article : Google Scholar : PubMed/NCBI

4 

Holliday EB and Frank SJ: Proton radiation therapy for head and neck cancer: A review of the clinical experience to date. Int J Radiat Oncol Biol Phys. 89:292–302. 2014. View Article : Google Scholar : PubMed/NCBI

5 

Royce TJ and Efstathiou JA: Proton therapy for prostate cancer: A review of the rationale, evidence, and current state. Urol Oncol. 37:628–636. 2019. View Article : Google Scholar : PubMed/NCBI

6 

Haas-Kogan D, Indelicato D, Paganetti H, Esiashvili N, Mahajan A, Yock T, Flampouri S, MacDonald S, Fouladi M, Stephen K, et al: National cancer institute workshop on proton therapy for children: Considerations regarding brainstem injury. Int J Radiat Oncol Biol Phys. 101:152–168. 2018. View Article : Google Scholar : PubMed/NCBI

7 

Klein J and Dawson LA: Hepatocellular carcinoma radiation therapy: Review of evidence and future opportunities. Int J Radiat Oncol Biol Phys. 87:22–32. 2013. View Article : Google Scholar : PubMed/NCBI

8 

Chuong MD, Hallemeier CL, Jabbour SK, Yu J, Badiyan S, Merrell KW, Mishra MV, Li H, Verma V and Lin SH: Improving outcomes for esophageal cancer using proton beam therapy. Int J Radiat Oncol Biol Phys. 95:488–497. 2016. View Article : Google Scholar : PubMed/NCBI

9 

Lomax A: Intensity modulation methods for proton radiotherapy. Phys Med Biol. 44:185–205. 1999. View Article : Google Scholar : PubMed/NCBI

10 

Hyer DE, Hill PM, Wang D, Smith BR and Flynn RT: A dynamic collimation system for penumbra reduction in spot-scanning proton therapy: Proof of concept. Med Phys. 41:0917012014. View Article : Google Scholar : PubMed/NCBI

11 

DeLaney TF: Proton therapy in the clinic. Front Radiat Ther Oncol. 43:465–485. 2011. View Article : Google Scholar : PubMed/NCBI

12 

Bert C and Durante M: Motion in radiotherapy: Particle therapy. Phys Med Biol. 56:R113–R144. 2011. View Article : Google Scholar : PubMed/NCBI

13 

Schippers JM and Lomax AJ: Emerging technologies in proton therapy. Acta Oncol. 50:838–850. 2011. View Article : Google Scholar : PubMed/NCBI

14 

Engelsman M, Schwarz M and Dong L: Physics controversies in proton therapy. Semin Radiat Oncol. 23:88–96. 2013. View Article : Google Scholar : PubMed/NCBI

15 

van de Water S, Kraan AC, Breedveld S, Schillemans W, Teguh DN, Kooy HM, Madden TM, Heijmen BJ and Hoogeman MS: Improved efficiency of multi-criteria IMPT treatment planning using iterative resampling of randomly placed pencil beams. Phys Med Biol. 58:6969–6983. 2013. View Article : Google Scholar : PubMed/NCBI

16 

van de Water S, Safai S, Schippers JM, Weber DC and Lomax AJ: Towards FLASH proton therapy: The impact of treatment planning and machine characteristics on achievable dose rates. Acta Oncol. 58:1463–1469. 2019. View Article : Google Scholar : PubMed/NCBI

17 

Rosas S, Belosi FM, Bizzocchi N, Böhlen T, Zepter S, Morach P, Lomax AJ, Weber DC and Hrbacek J: Benchmarking a commercial proton therapy solution: The Paul Scherrer Institut experience. Br J Radiol. 93:201909202020. View Article : Google Scholar : PubMed/NCBI

18 

Meier G, Leiser D, Besson R, Mayor A, Safai S, Weber DC and Lomax AJ: Contour scanning for penumbra improvement in pencil beam scanned proton therapy. Phys Med Biol. 62:2398–2416. 2017. View Article : Google Scholar : PubMed/NCBI

19 

Bues M, Newhauser WD, Titt U and Smith AR: Therapeutic step and shoot proton beam spot-scanning with a multi-leaf collimator: A Monte Carlo study. Radiat Prot Dosimetry. 115:164–169. 2005. View Article : Google Scholar : PubMed/NCBI

20 

Sugiyama S, Katsui K, Tominaga Y, Waki T, Katayama N, Matsuzaki H, Kariya S, Kuroda M, Nishizaki K and Kanazawa S: Dose distribution of intensity-modulated proton therapy with and without a multi-leaf collimator for the treatment of maxillary sinus cancer: A comparative effectiveness study. Radiat Oncol. 14:2092019. View Article : Google Scholar : PubMed/NCBI

21 

Dowdell SJ, Clasie B, Depauw N, Metcalfe P, Rosenfeld AB, Kooy HM, Flanz JB and Paganetti H: Monte Carlo study of the potential reduction in out-of-field dose using a patient-specific aperture in pencil beam scanning proton therapy. Phys Med Biol. 57:2829–2842. 2012. View Article : Google Scholar : PubMed/NCBI

22 

Wang D, Smith BR, Gelover E, Flynn RT and Hyer DE: A method to select aperture margin in collimated spot scanning proton therapy. Phys Med Biol. 60:N109–N119. 2015. View Article : Google Scholar : PubMed/NCBI

23 

Yasui K, Toshito T, Omachi C, Hayashi K, Tanaka K, Asai K, Shimomura A, Muramatsu R and Hayashi N: Evaluation of dosimetric advantages of using patient-specific aperture system with intensity-modulated proton therapy for the shallow depth tumor. J Appl Clin Med Phys. 19:132–137. 2018. View Article : Google Scholar : PubMed/NCBI

24 

Smith B, Gelover E, Moignier A, Wang D, Flynn RT, Lin L, Kirk M, Solberg T and Hyer DE: Technical Note: A treatment plan comparison between dynamic collimation and a fixed aperture during spot scanning proton therapy for brain treatment. Med Phys. 43:46932016. View Article : Google Scholar : PubMed/NCBI

25 

Moignier A, Gelover E, Wang D, Smith B, Flynn R, Kirk M, Lin L, Solberg T, Lin A and Hyer D: Theoretical benefits of dynamic collimation in pencil beam scanning proton therapy for brain tumors: Dosimetric and radiobiological metrics. Int J Radiat Oncol Biol Phys. 95:171–180. 2016. View Article : Google Scholar : PubMed/NCBI

26 

Winterhalter C, Meier G, Oxley D, Weber DC, Lomax AJ and Safai S: Contour scanning, multi-leaf collimation and the combination thereof for proton pencil beam scanning. Phys Med Biol. 64:0150022018. View Article : Google Scholar : PubMed/NCBI

27 

Smith BR, Hyer DE, Hill PM and Culberson WS: Secondary neutron dose from a dynamic collimation system during intracranial pencil beam scanning proton therapy: A monte carlo investigation. Int J Radiat Oncol Biol Phys. 103:241–250. 2019. View Article : Google Scholar : PubMed/NCBI

28 

Kimstrand P, Traneus E, Ahnesjo A and Tilly N: Parametrization and application of scatter kernels for modelling scanned proton beam collimator scatter dose. Phys Med Biol. 53:3405–3429. 2008. View Article : Google Scholar : PubMed/NCBI

29 

Saini J, Traneus E, Maes D, Regmi R, Bowen SR, Bloch C and Wong T: Advanced Proton Beam Dosimetry Part I: Review and performance evaluation of dose calculation algorithms. Transl Lung Cancer Res. 7:171–179. 2018. View Article : Google Scholar : PubMed/NCBI

30 

Maes D, Saini J, Zeng J, Rengan R, Wong T and Bowen SR: Advanced proton beam dosimetry part II: Monte Carlo vs. Pencil beam-based planning for lung cancer. Transl Lung Cancer Res. 7:114–121. 2018. View Article : Google Scholar : PubMed/NCBI

31 

Gill P, Murray W and Saunders M: Software for large-scale nonlinear programming. User's guide for SNOPT Version. 7:1–116. 2008.

32 

Hyer DE, Hill PM, Wang D, Smith BR and Flynn RT: Effects of spot size and spot spacing on lateral penumbra reduction when using a dynamic collimation system for spot scanning proton therapy. Phys Med Biol. 59:N187–N196. 2014. View Article : Google Scholar : PubMed/NCBI

33 

Moteabbed M, Yock TI, Depauw N, Madden TM, Kooy HM and Paganetti H: Impact of spot size and beam-shaping devices on the treatment plan quality for pencil beam scanning proton therapy. Int J Radiat Oncol Biol Phys. 95:190–198. 2016. View Article : Google Scholar : PubMed/NCBI

Related Articles

  • Abstract
  • View
  • Download
  • Twitter
Copy and paste a formatted citation
Spandidos Publications style
Fukumitsu N, Yamashita T, Mima M, Demizu Y, Suzuki T and Soejima T: Dose distribution effects of spot‑scanning proton beam therapy equipped with a multi‑leaf collimator for pediatric brain tumors. Oncol Lett 22: 635, 2021.
APA
Fukumitsu, N., Yamashita, T., Mima, M., Demizu, Y., Suzuki, T., & Soejima, T. (2021). Dose distribution effects of spot‑scanning proton beam therapy equipped with a multi‑leaf collimator for pediatric brain tumors. Oncology Letters, 22, 635. https://doi.org/10.3892/ol.2021.12896
MLA
Fukumitsu, N., Yamashita, T., Mima, M., Demizu, Y., Suzuki, T., Soejima, T."Dose distribution effects of spot‑scanning proton beam therapy equipped with a multi‑leaf collimator for pediatric brain tumors". Oncology Letters 22.2 (2021): 635.
Chicago
Fukumitsu, N., Yamashita, T., Mima, M., Demizu, Y., Suzuki, T., Soejima, T."Dose distribution effects of spot‑scanning proton beam therapy equipped with a multi‑leaf collimator for pediatric brain tumors". Oncology Letters 22, no. 2 (2021): 635. https://doi.org/10.3892/ol.2021.12896
Copy and paste a formatted citation
x
Spandidos Publications style
Fukumitsu N, Yamashita T, Mima M, Demizu Y, Suzuki T and Soejima T: Dose distribution effects of spot‑scanning proton beam therapy equipped with a multi‑leaf collimator for pediatric brain tumors. Oncol Lett 22: 635, 2021.
APA
Fukumitsu, N., Yamashita, T., Mima, M., Demizu, Y., Suzuki, T., & Soejima, T. (2021). Dose distribution effects of spot‑scanning proton beam therapy equipped with a multi‑leaf collimator for pediatric brain tumors. Oncology Letters, 22, 635. https://doi.org/10.3892/ol.2021.12896
MLA
Fukumitsu, N., Yamashita, T., Mima, M., Demizu, Y., Suzuki, T., Soejima, T."Dose distribution effects of spot‑scanning proton beam therapy equipped with a multi‑leaf collimator for pediatric brain tumors". Oncology Letters 22.2 (2021): 635.
Chicago
Fukumitsu, N., Yamashita, T., Mima, M., Demizu, Y., Suzuki, T., Soejima, T."Dose distribution effects of spot‑scanning proton beam therapy equipped with a multi‑leaf collimator for pediatric brain tumors". Oncology Letters 22, no. 2 (2021): 635. https://doi.org/10.3892/ol.2021.12896
Follow us
  • Twitter
  • LinkedIn
  • Facebook
About
  • Spandidos Publications
  • Careers
  • Cookie Policy
  • Privacy Policy
How can we help?
  • Help
  • Live Chat
  • Contact
  • Email to our Support Team