Spandidos Publications Logo
  • About
    • About Spandidos
    • Aims and Scopes
    • Abstracting and Indexing
    • Editorial Policies
    • Reprints and Permissions
    • Job Opportunities
    • Terms and Conditions
    • Contact
  • Journals
    • All Journals
    • Oncology Letters
      • Oncology Letters
      • Information for Authors
      • Editorial Policies
      • Editorial Board
      • Aims and Scope
      • Abstracting and Indexing
      • Bibliographic Information
      • Archive
    • International Journal of Oncology
      • International Journal of Oncology
      • Information for Authors
      • Editorial Policies
      • Editorial Board
      • Aims and Scope
      • Abstracting and Indexing
      • Bibliographic Information
      • Archive
    • Molecular and Clinical Oncology
      • Molecular and Clinical Oncology
      • Information for Authors
      • Editorial Policies
      • Editorial Board
      • Aims and Scope
      • Abstracting and Indexing
      • Bibliographic Information
      • Archive
    • Experimental and Therapeutic Medicine
      • Experimental and Therapeutic Medicine
      • Information for Authors
      • Editorial Policies
      • Editorial Board
      • Aims and Scope
      • Abstracting and Indexing
      • Bibliographic Information
      • Archive
    • International Journal of Molecular Medicine
      • International Journal of Molecular Medicine
      • Information for Authors
      • Editorial Policies
      • Editorial Board
      • Aims and Scope
      • Abstracting and Indexing
      • Bibliographic Information
      • Archive
    • Biomedical Reports
      • Biomedical Reports
      • Information for Authors
      • Editorial Policies
      • Editorial Board
      • Aims and Scope
      • Abstracting and Indexing
      • Bibliographic Information
      • Archive
    • Oncology Reports
      • Oncology Reports
      • Information for Authors
      • Editorial Policies
      • Editorial Board
      • Aims and Scope
      • Abstracting and Indexing
      • Bibliographic Information
      • Archive
    • Molecular Medicine Reports
      • Molecular Medicine Reports
      • Information for Authors
      • Editorial Policies
      • Editorial Board
      • Aims and Scope
      • Abstracting and Indexing
      • Bibliographic Information
      • Archive
    • World Academy of Sciences Journal
      • World Academy of Sciences Journal
      • Information for Authors
      • Editorial Policies
      • Editorial Board
      • Aims and Scope
      • Abstracting and Indexing
      • Bibliographic Information
      • Archive
    • International Journal of Functional Nutrition
      • International Journal of Functional Nutrition
      • Information for Authors
      • Editorial Policies
      • Editorial Board
      • Aims and Scope
      • Abstracting and Indexing
      • Bibliographic Information
      • Archive
    • International Journal of Epigenetics
      • International Journal of Epigenetics
      • Information for Authors
      • Editorial Policies
      • Editorial Board
      • Aims and Scope
      • Abstracting and Indexing
      • Bibliographic Information
      • Archive
    • Medicine International
      • Medicine International
      • Information for Authors
      • Editorial Policies
      • Editorial Board
      • Aims and Scope
      • Abstracting and Indexing
      • Bibliographic Information
      • Archive
  • Articles
  • Information
    • Information for Authors
    • Information for Reviewers
    • Information for Librarians
    • Information for Advertisers
    • Conferences
  • Language Editing
Spandidos Publications Logo
  • About
    • About Spandidos
    • Aims and Scopes
    • Abstracting and Indexing
    • Editorial Policies
    • Reprints and Permissions
    • Job Opportunities
    • Terms and Conditions
    • Contact
  • Journals
    • All Journals
    • Biomedical Reports
      • Information for Authors
      • Editorial Policies
      • Editorial Board
      • Aims and Scope
      • Abstracting and Indexing
      • Bibliographic Information
      • Archive
    • Experimental and Therapeutic Medicine
      • Information for Authors
      • Editorial Policies
      • Editorial Board
      • Aims and Scope
      • Abstracting and Indexing
      • Bibliographic Information
      • Archive
    • International Journal of Epigenetics
      • Information for Authors
      • Editorial Policies
      • Editorial Board
      • Aims and Scope
      • Abstracting and Indexing
      • Bibliographic Information
      • Archive
    • International Journal of Functional Nutrition
      • Information for Authors
      • Editorial Policies
      • Editorial Board
      • Aims and Scope
      • Abstracting and Indexing
      • Bibliographic Information
      • Archive
    • International Journal of Molecular Medicine
      • Information for Authors
      • Editorial Policies
      • Editorial Board
      • Aims and Scope
      • Abstracting and Indexing
      • Bibliographic Information
      • Archive
    • International Journal of Oncology
      • Information for Authors
      • Editorial Policies
      • Editorial Board
      • Aims and Scope
      • Abstracting and Indexing
      • Bibliographic Information
      • Archive
    • Medicine International
      • Information for Authors
      • Editorial Policies
      • Editorial Board
      • Aims and Scope
      • Abstracting and Indexing
      • Bibliographic Information
      • Archive
    • Molecular and Clinical Oncology
      • Information for Authors
      • Editorial Policies
      • Editorial Board
      • Aims and Scope
      • Abstracting and Indexing
      • Bibliographic Information
      • Archive
    • Molecular Medicine Reports
      • Information for Authors
      • Editorial Policies
      • Editorial Board
      • Aims and Scope
      • Abstracting and Indexing
      • Bibliographic Information
      • Archive
    • Oncology Letters
      • Information for Authors
      • Editorial Policies
      • Editorial Board
      • Aims and Scope
      • Abstracting and Indexing
      • Bibliographic Information
      • Archive
    • Oncology Reports
      • Information for Authors
      • Editorial Policies
      • Editorial Board
      • Aims and Scope
      • Abstracting and Indexing
      • Bibliographic Information
      • Archive
    • World Academy of Sciences Journal
      • Information for Authors
      • Editorial Policies
      • Editorial Board
      • Aims and Scope
      • Abstracting and Indexing
      • Bibliographic Information
      • Archive
  • Articles
  • Information
    • For Authors
    • For Reviewers
    • For Librarians
    • For Advertisers
    • Conferences
  • Language Editing
Login Register Submit
  • This site uses cookies
  • You can change your cookie settings at any time by following the instructions in our Cookie Policy. To find out more, you may read our Privacy Policy.

    I agree
Search articles by DOI, keyword, author or affiliation
Search
Advanced Search
presentation
Oncology Letters
Join Editorial Board Propose a Special Issue
Print ISSN: 1792-1074 Online ISSN: 1792-1082
Journal Cover
September-2021 Volume 22 Issue 3

Full Size Image

Sign up for eToc alerts
Recommend to Library

Journals

International Journal of Molecular Medicine

International Journal of Molecular Medicine

International Journal of Molecular Medicine is an international journal devoted to molecular mechanisms of human disease.

International Journal of Oncology

International Journal of Oncology

International Journal of Oncology is an international journal devoted to oncology research and cancer treatment.

Molecular Medicine Reports

Molecular Medicine Reports

Covers molecular medicine topics such as pharmacology, pathology, genetics, neuroscience, infectious diseases, molecular cardiology, and molecular surgery.

Oncology Reports

Oncology Reports

Oncology Reports is an international journal devoted to fundamental and applied research in Oncology.

Experimental and Therapeutic Medicine

Experimental and Therapeutic Medicine

Experimental and Therapeutic Medicine is an international journal devoted to laboratory and clinical medicine.

Oncology Letters

Oncology Letters

Oncology Letters is an international journal devoted to Experimental and Clinical Oncology.

Biomedical Reports

Biomedical Reports

Explores a wide range of biological and medical fields, including pharmacology, genetics, microbiology, neuroscience, and molecular cardiology.

Molecular and Clinical Oncology

Molecular and Clinical Oncology

International journal addressing all aspects of oncology research, from tumorigenesis and oncogenes to chemotherapy and metastasis.

World Academy of Sciences Journal

World Academy of Sciences Journal

Multidisciplinary open-access journal spanning biochemistry, genetics, neuroscience, environmental health, and synthetic biology.

International Journal of Functional Nutrition

International Journal of Functional Nutrition

Open-access journal combining biochemistry, pharmacology, immunology, and genetics to advance health through functional nutrition.

International Journal of Epigenetics

International Journal of Epigenetics

Publishes open-access research on using epigenetics to advance understanding and treatment of human disease.

Medicine International

Medicine International

An International Open Access Journal Devoted to General Medicine.

Journal Cover
September-2021 Volume 22 Issue 3

Full Size Image

Sign up for eToc alerts
Recommend to Library

  • Article
  • Citations
    • Cite This Article
    • Download Citation
    • Create Citation Alert
    • Remove Citation Alert
    • Cited By
  • Similar Articles
    • Related Articles (in Spandidos Publications)
    • Similar Articles (Google Scholar)
    • Similar Articles (PubMed)
  • Download PDF
  • Download XML
  • View XML

  • Supplementary Files
    • Supplementary_Data.pdf
Article Open Access

Synergistic inhibitory effects of the oxyresveratrol and dacarbazine combination against melanoma cells

  • Authors:
    • Sang Gyu Lee
    • Dong Gun Lee
    • Yong Hoon Joo
    • Namhyun Chung
  • View Affiliations / Copyright

    Affiliations: Department of Biotechnology, College of Life Sciences and Biotechnology, Korea University, Seoul 02841, Republic of Korea, Department of Biosystems and Biotechnology, College of Life Sciences and Biotechnology, Korea University, Seoul 02841, Republic of Korea
    Copyright: © Lee et al. This is an open access article distributed under the terms of Creative Commons Attribution License.
  • Article Number: 667
    |
    Published online on: July 14, 2021
       https://doi.org/10.3892/ol.2021.12928
  • Expand metrics +
Metrics: Total Views: 0 (Spandidos Publications: | PMC Statistics: )
Metrics: Total PDF Downloads: 0 (Spandidos Publications: | PMC Statistics: )
Cited By (CrossRef): 0 citations Loading Articles...

This article is mentioned in:



Abstract

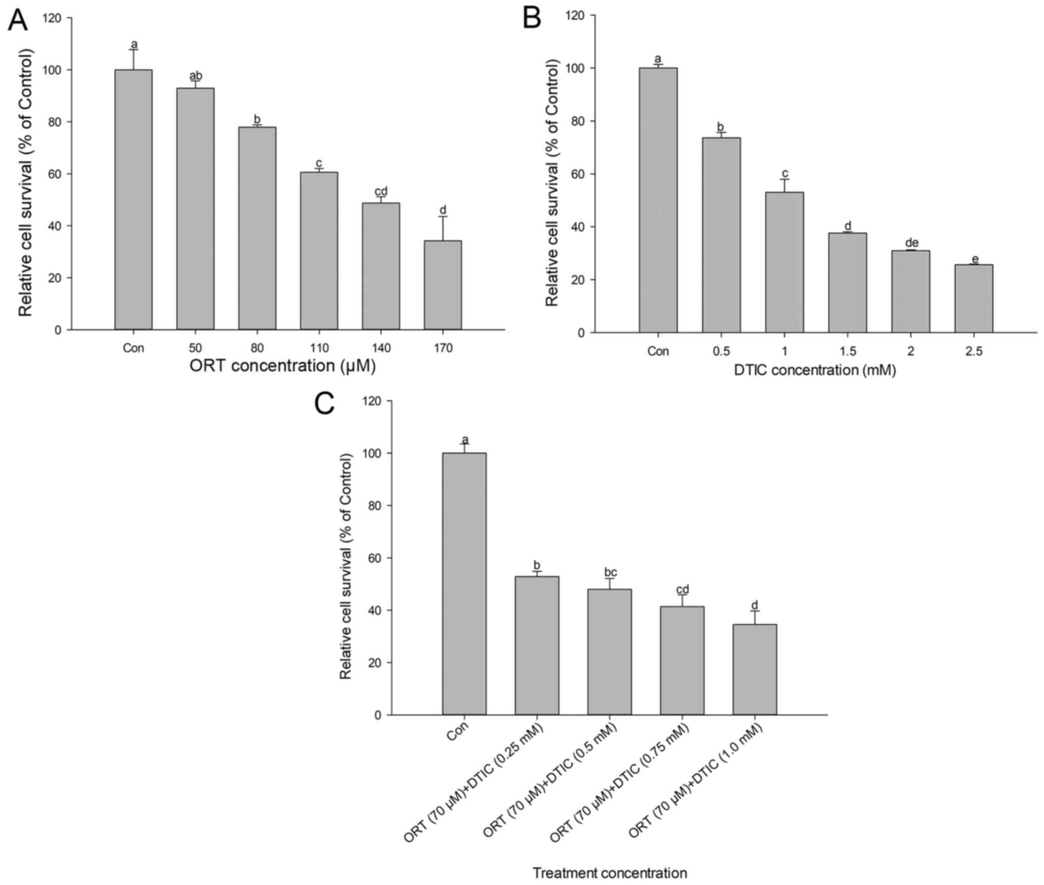
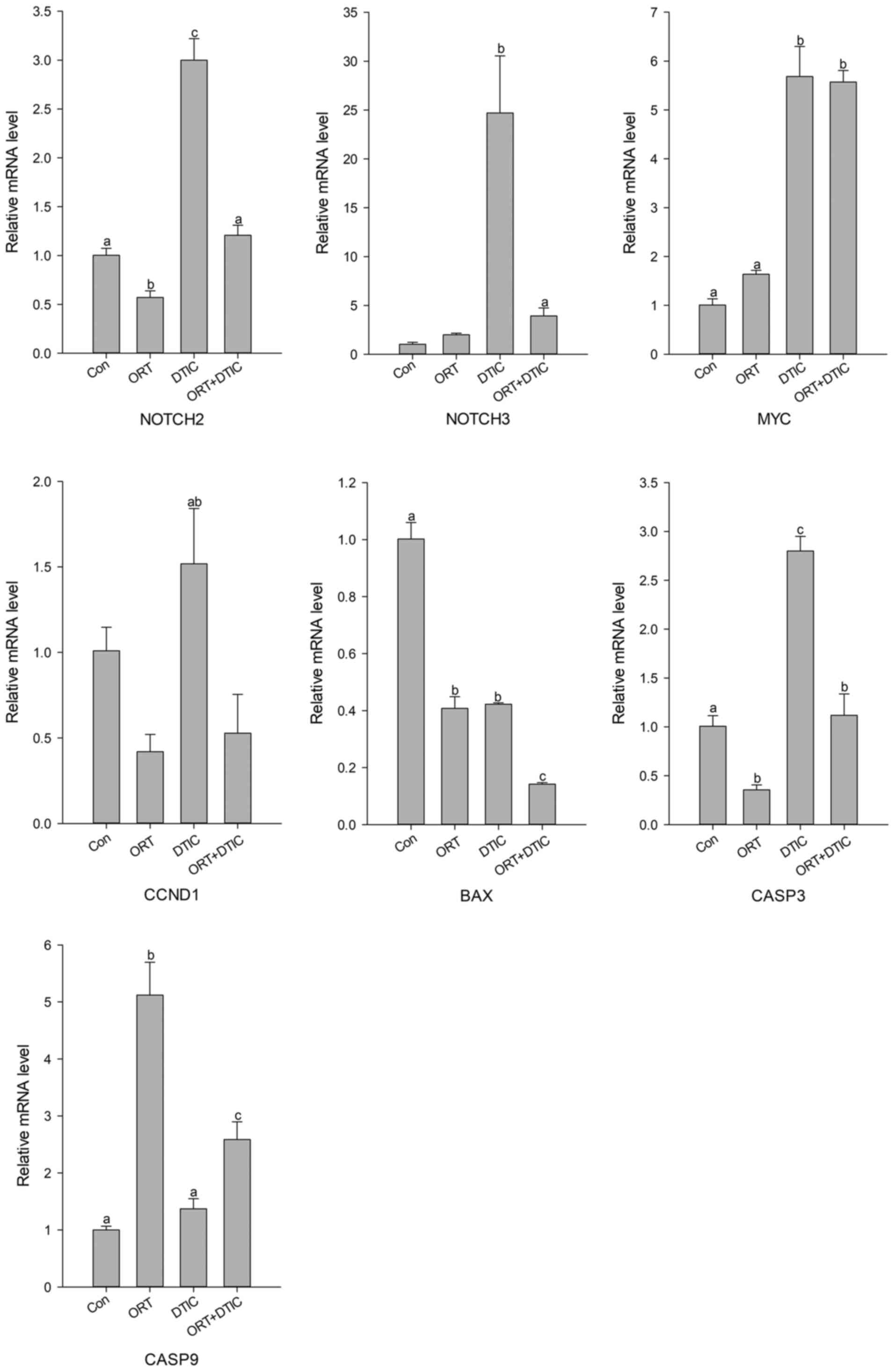
Various therapies have been developed to target malignant melanoma, which is associated with a high mortality rate worldwide. Although dacarbazine (DTIC) is employed for treating melanoma, it is associated with several side effects. Hence, patients with melanoma are co‑treated with additional drugs to mitigate the side effects of DTIC. In the present study, synergistic therapeutic effects of the DTIC/oxyresveratrol (ORT) combination were examined using the human malignant melanoma WM‑266‑4 cell line. Treatment with ORT and DTIC inhibited the proliferation of WM‑266‑4 cells. Compared with those in the ORT‑ and DTIC‑treated groups, the proportion of cells arrested at the S phase, as well as apoptotic rates, were increased in the ORT and DTIC co‑treatment group. In WM‑266‑4 cells, synergistic proliferation‑inhibitory activities of the ORT/DTIC combination were assessed based on cell viability and migration, antioxidant capacity, cytokine production, cell cycle arrest, apoptotic rate and protein expression through WST‑1 assay, wound healing assay, flow cytometry and western blotting. Furthermore, the expression levels of proteins, including NOTCH, involved in the pathogenesis of solid cancers, such as melanoma, were examined. Overall, the ORT/DTIC combination synergistically promoted cell cycle arrest at the S phase and the apoptosis of WM‑266‑4 cells. Thus, this combination treatment may serve as a novel therapeutic strategy for treating malignant melanoma.
View Figures

Figure 1

Figure 2

Figure 3

Figure 4

Figure 5

Figure 6

View References

1 

Khoobchandani M, Ganesh N, Gabbanini S, Valgimigli L and Srivastava MM: Phytochemical potential of Eruca sativa for inhibition of melanoma tumor growth. Fitoterapia. 82:647–653. 2011. View Article : Google Scholar : PubMed/NCBI

2 

Siegel RL, Miller KD and Jemal A: Cancer statistics, 2020. CA Cancer J Clin. 70:7–30. 2020. View Article : Google Scholar : PubMed/NCBI

3 

Siegel RL, Miller KD and Jemal A: Cancer statistics, 2015. CA Cancer J Clin. 65:5–29. 2015. View Article : Google Scholar : PubMed/NCBI

4 

Yu B, Wang Y, Yu X, Zhang H, Zhu J, Wang C, Chen F, Liu C, Wang J and Zhu H: Cuprous oxide nanoparticle-inhibited melanoma progress by targeting melanoma stem cells. Int J Nanomedicine. 12:2553–2567. 2017. View Article : Google Scholar : PubMed/NCBI

5 

Ma C and Armstrong AW: Severe adverse events from the treatment of advanced melanoma: A systematic review of severe side effects associated with ipilimumab, vemurafenib, interferon alfa-2b, dacarbazine and interleukin-2. J Dermatolog Treat. 25:401–408. 2014. View Article : Google Scholar : PubMed/NCBI

6 

Lee SG and Chae YS: New systemic treatment for malignant melanoma. Korean J Intern Med (Korean Assoc Intern Med). 85:357–363. 2013.PubMed/NCBI

7 

Baharara J, Amini E, Nikdel N and Salek-Abdollahi F: The cytotoxicity of dacarbazine potentiated by sea cucumber saponin in resistant B16F10 melanoma cells through apoptosis induction. Avicenna J Med Biotechnol. 8:112–119. 2016.PubMed/NCBI

8 

Mongolsuk S, Robertson A and Towers R: 2: 4: 3: 5-Tetrahydroxystilbene from Artocarpus lakoocha. J Chem Soc. 429:2231–2233. 1957. View Article : Google Scholar

9 

Tan Y, Liu C and Chen R: Phenolic constituents from stem bark of Morus wittiorum and their anti-inflammation and cytotoxicity. Zhongguo Zhongyao Zazhi. 35:2700–2703. 2010.(In Chinese). PubMed/NCBI

10 

Choi SM, Kim DH, Chun KS and Choi JS: Carnosol induces apoptotic cell death through ROS-dependent inactivation of STAT3 in human melanoma G361 cells. Appl Biol Chem. 62:1–11. 2019. View Article : Google Scholar

11 

Kim YM, Yun J, Lee C-K, Lee H, Min KR and Kim Y: Oxyresveratrol and hydroxystilbene compounds. Inhibitory effect on tyrosinase and mechanism of action. J Biol Chem. 277:16340–16344. 2002. View Article : Google Scholar : PubMed/NCBI

12 

Chung KO, Kim BY, Lee MH, Kim YR, Chung HY, Park JH and Moon JO: In-vitro and in-vivo anti-inflammatory effect of oxyresveratrol from Morus alba L. J Pharm Pharmacol. 55:1695–1700. 2003. View Article : Google Scholar : PubMed/NCBI

13 

Qiu F, Komatsu K, Saito K, Kawasaki K, Yao X and Kano Y; Pharmacokinetic study of mulberroside A and its metabolites in rat, : Pharmacological properties of traditional medicines. XXII. Pharmacokinetic study of mulberroside A and its metabolites in rat. Biol Pharm Bull. 19:1463–1467. 1996. View Article : Google Scholar : PubMed/NCBI

14 

Kim J, Cho N, Kim EM, Park KS, Kang YW, Nam JH, Nam MS and Kim KK: Cudrania tricuspidata leaf extracts and its components, chlorogenic acid, kaempferol, and quercetin, increase claudin 1 expression in human keratinocytes, enhancing intercellular tight junction capacity. Appl Biol Chem. 63:1–9. 2020. View Article : Google Scholar : PubMed/NCBI

15 

McDermott DF, Mier JW, Lawrence DP, van den Brink MR, Clancy MA, Rubin KM and Atkins MB: A phase II pilot trial of concurrent biochemotherapy with cisplatin, vinblastine, dacarbazine, interleukin 2, and interferon α-2B in patients with metastatic melanoma. Clin Cancer Res. 6:2201–2208. 2000.PubMed/NCBI

16 

Cocconi G, Bella M, Calabresi F, Tonato M, Canaletti R, Boni C, Buzzi F, Ceci G, Corgna E, Costa P, et al: Treatment of metastatic malignant melanoma with dacarbazine plus tamoxifen. N Engl J Med. 327:516–523. 1992. View Article : Google Scholar : PubMed/NCBI

17 

Bedikian AY, Millward M, Pehamberger H, Conry R, Gore M, Trefzer U, Pavlick AC, DeConti R, Hersh EM, Hersey P, et al Oblimersen Melanoma Study Group, : Bcl-2 antisense (oblimersen sodium) plus dacarbazine in patients with advanced melanoma: The Oblimersen Melanoma Study Group. J Clin Oncol. 24:4738–4745. 2006. View Article : Google Scholar : PubMed/NCBI

18 

Chen H-M, Muramoto K, Yamauchi F, Fujimoto K and Nokihara K: Antioxidative properties of histidine-containing peptides designed from peptide fragments found in the digests of a soybean protein. J Agric Food Chem. 46:49–53. 1998. View Article : Google Scholar : PubMed/NCBI

19 

Monzani E, Facchetti F, Galmozzi E, Corsini E, Benetti A, Cavazzin C, Gritti A, Piccinini A, Porro D, Santinami M, et al: Melanoma contains CD133 and ABCG2 positive cells with enhanced tumourigenic potential. Eur J Cancer. 43:935–946. 2007. View Article : Google Scholar : PubMed/NCBI

20 

Utikal J, Leiter U, Udart M, Kaskel P, Peter RU and Krähn GM: Expression of c-myc and bcl-2 in primary and advanced cutaneous melanoma. Cancer Invest. 20:914–921. 2002. View Article : Google Scholar : PubMed/NCBI

21 

Choi HJ, Yee S-B, Park SE, Im E, Jung JH, Chung HY, Choi YH and Kim ND: Petrotetrayndiol A induces cell cycle arrest and apoptosis in SK-MEL-2 human melanoma cells through cytochrome c-mediated activation of caspases. Cancer Lett. 232:214–225. 2006. View Article : Google Scholar : PubMed/NCBI

22 

Shanehbandi D, Zarredar H, Asadi M, Zafari V, Esmaeili S, Seyedrezazadeh E, Soleimani Z, Jadid HS, Eyvazi S, Feyziniya S, et al: Anticancer impacts of Terminalia catappa extract on SW480 colorectal neoplasm cell line. J Gastrointest Cancer. 50:1–7. 2019.

23 

Orangi M, Pasdaran A, Shanehbandi D, Kazemi T, Yousefi B, Hosseini BA and Baradaran B: Kazemi T, Yousefi B, Hosseini BA and Baradran B: Cytotoxic and apoptotic activities of methanolic subfractions of Scrophularia oxysepala against human breast cancer cell line. Evid Based Complement Alternat Med. 2016:85406402016. View Article : Google Scholar : PubMed/NCBI

24 

Xu X, Liu Y, Wang L, He J, Zhang H, Chen X, Li Y, Yang J and Tao J: Gambogic acid induces apoptosis by regulating the expression of Bax and Bcl-2 and enhancing caspase-3 activity in human malignant melanoma A375 cells. Int J Dermatol. 48:186–192. 2009. View Article : Google Scholar : PubMed/NCBI

25 

Livak KJ and Schmittgen TD: Analysis of relative gene expression data using real-time quantitative PCR and the 2(-Delta Delta C(T)) Method. Methods. 25:402–408. 2001. View Article : Google Scholar : PubMed/NCBI

26 

Yadav V, Varshney P, Sultana S, Yadav J and Saini N: Moxifloxacin and ciprofloxacin induces S-phase arrest and augments apoptotic effects of cisplatin in human pancreatic cancer cells via ERK activation. BMC Cancer. 15:5812015. View Article : Google Scholar : PubMed/NCBI

27 

Hu S, Zheng Z, Zhang X, Chen F and Wang M: Oxyresveratrol and trans-dihydromorin from the twigs of Cudrania tricuspidata as hypopigmenting agents against melanogenesis. J Funct Foods. 13:375–383. 2015. View Article : Google Scholar

28 

Hu S, Chen F and Wang M: Photoprotective effects of oxyresveratrol and Kuwanon O on DNA damage induced by UVA in human epidermal keratinocytes. Chem Res Toxicol. 28:541–548. 2015. View Article : Google Scholar : PubMed/NCBI

29 

Bougatef A, Hajji M, Balti R, Lassoued I, Triki-Ellouz Y and Nasri M: Antioxidant and free radical-scavenging activities of smooth hound (Mustelus mustelus) muscle protein hydrolysates obtained by gastrointestinal proteases. Food Chem. 114:1198–1205. 2009. View Article : Google Scholar

30 

Lim YH, Kim KH and Kim JK: Source, biosynthesis, biological activities and pharmacokinetics of oxyresveratrol. Korean J Food Sci Technol. 47:545–555. 2015. View Article : Google Scholar : PubMed/NCBI

31 

Strassmann G, Masui Y, Chizzonite R and Fong M: Mechanisms of experimental cancer cachexia. Local involvement of IL-1 in colon-26 tumor. J Immunol. 150:2341–2345. 1993.PubMed/NCBI

32 

Takagi N, Mihara M, Moriya Y, Nishimoto N, Yoshizaki K, Kishimoto T, Takeda Y and Ohsugi Y: Blockage of interleukin-6 receptor ameliorates joint disease in murine collagen-induced arthritis. Arthritis Rheum. 41:2117–2121. 1998. View Article : Google Scholar : PubMed/NCBI

33 

Zhang XG, Bataille R, Jourdan M, Saeland S, Banchereau J, Mannoni P and Klein B: Granulocyte-macrophage colony-stimulating factor synergizes with interleukin-6 in supporting the proliferation of human myeloma cells. Blood. 76:2599–2605. 1990. View Article : Google Scholar : PubMed/NCBI

34 

Lee AK, Sung SH, Kim YC and Kim SG: Inhibition of lipopolysaccharide-inducible nitric oxide synthase, TNF-α and COX-2 expression by sauchinone effects on I-kappaBalpha phosphorylation, C/EBP and AP-1 activation. Br J Pharmacol. 139:11–20. 2003. View Article : Google Scholar : PubMed/NCBI

35 

Choi EM and Hwang JK: Effects of Morus alba leaf extract on the production of nitric oxide, prostaglandin E2 and cytokines in RAW264.7 macrophages. Fitoterapia. 76:608–613. 2005. View Article : Google Scholar : PubMed/NCBI

36 

Naserian M, Ramazani E, Iranshahi M and Tayarani-Najaran Z: The role of SAPK/JNK pathway in the synergistic effects of metformin and dacarbazine on apoptosis in Raji and Ramos lymphoma cells. Curr Mol Pharmacol. 11:336–342. 2018. View Article : Google Scholar : PubMed/NCBI

37 

Pitot HC and Sirica AE: The stages of initiation and promotion in hepatocarcinogenesis. Biochim Biophys Acta. 605:191–215. 1980.PubMed/NCBI

38 

Koprowska K, Hartman ML, Sztiller-Sikorska M and Czyz ME: Parthenolide enhances dacarbazine activity against melanoma cells. Anticancer Drugs. 24:835–845. 2013. View Article : Google Scholar : PubMed/NCBI

39 

Prall OW, Sarcevic B, Musgrove EA, Watts CK and Sutherland RL: Estrogen-induced activation of Cdk4 and Cdk2 during G1-S phase progression is accompanied by increased cyclin D1 expression and decreased cyclin-dependent kinase inhibitor association with cyclin E-Cdk2. J Biol Chem. 272:10882–10894. 1997. View Article : Google Scholar : PubMed/NCBI

40 

Sheen J-H and Dickson RB: Overexpression of c-Myc alters G(1)/S arrest following ionizing radiation. Mol Cell Biol. 22:1819–1833. 2002. View Article : Google Scholar : PubMed/NCBI

41 

Zhao WX, Wu ZM, Liu W and Lin JH: Notch2 and Notch3 suppress the proliferation and mediate invasion of trophoblast cell lines. Biol Open. 6:1123–1129. 2017.PubMed/NCBI

42 

Rahman MA, Bishayee K, Sadra A and Huh SO: Oxyresveratrol activates parallel apoptotic and autophagic cell death pathways in neuroblastoma cells. Biochim Biophys Acta, Gen Subj. 1861:23–36. 2017. View Article : Google Scholar : PubMed/NCBI

43 

Lorenz P, Roychowdhury S, Engelmann M, Wolf G and Horn TF: Oxyresveratrol and resveratrol are potent antioxidants and free radical scavengers: Effect on nitrosative and oxidative stress derived from microglial cells. Nitric Oxide. 9:64–76. 2003. View Article : Google Scholar : PubMed/NCBI

44 

Kim SH and Chung SH: Comparison of high dose interferon-α2b immunotherapy and dacarbazine chemotherapy as postoperative treatment of malignant melanoma. J Korean Orthop Assoc. 51:426–431. 2016. View Article : Google Scholar

Related Articles

  • Abstract
  • View
  • Download
  • Twitter
Copy and paste a formatted citation
Spandidos Publications style
Lee SG, Lee DG, Joo YH and Chung N: Synergistic inhibitory effects of the oxyresveratrol and dacarbazine combination against melanoma cells. Oncol Lett 22: 667, 2021.
APA
Lee, S.G., Lee, D.G., Joo, Y.H., & Chung, N. (2021). Synergistic inhibitory effects of the oxyresveratrol and dacarbazine combination against melanoma cells. Oncology Letters, 22, 667. https://doi.org/10.3892/ol.2021.12928
MLA
Lee, S. G., Lee, D. G., Joo, Y. H., Chung, N."Synergistic inhibitory effects of the oxyresveratrol and dacarbazine combination against melanoma cells". Oncology Letters 22.3 (2021): 667.
Chicago
Lee, S. G., Lee, D. G., Joo, Y. H., Chung, N."Synergistic inhibitory effects of the oxyresveratrol and dacarbazine combination against melanoma cells". Oncology Letters 22, no. 3 (2021): 667. https://doi.org/10.3892/ol.2021.12928
Copy and paste a formatted citation
x
Spandidos Publications style
Lee SG, Lee DG, Joo YH and Chung N: Synergistic inhibitory effects of the oxyresveratrol and dacarbazine combination against melanoma cells. Oncol Lett 22: 667, 2021.
APA
Lee, S.G., Lee, D.G., Joo, Y.H., & Chung, N. (2021). Synergistic inhibitory effects of the oxyresveratrol and dacarbazine combination against melanoma cells. Oncology Letters, 22, 667. https://doi.org/10.3892/ol.2021.12928
MLA
Lee, S. G., Lee, D. G., Joo, Y. H., Chung, N."Synergistic inhibitory effects of the oxyresveratrol and dacarbazine combination against melanoma cells". Oncology Letters 22.3 (2021): 667.
Chicago
Lee, S. G., Lee, D. G., Joo, Y. H., Chung, N."Synergistic inhibitory effects of the oxyresveratrol and dacarbazine combination against melanoma cells". Oncology Letters 22, no. 3 (2021): 667. https://doi.org/10.3892/ol.2021.12928
Follow us
  • Twitter
  • LinkedIn
  • Facebook
About
  • Spandidos Publications
  • Careers
  • Cookie Policy
  • Privacy Policy
How can we help?
  • Help
  • Live Chat
  • Contact
  • Email to our Support Team