Spandidos Publications Logo
  • About
    • About Spandidos
    • Aims and Scopes
    • Abstracting and Indexing
    • Editorial Policies
    • Reprints and Permissions
    • Job Opportunities
    • Terms and Conditions
    • Contact
  • Journals
    • All Journals
    • Oncology Letters
      • Oncology Letters
      • Information for Authors
      • Editorial Policies
      • Editorial Board
      • Aims and Scope
      • Abstracting and Indexing
      • Bibliographic Information
      • Archive
    • International Journal of Oncology
      • International Journal of Oncology
      • Information for Authors
      • Editorial Policies
      • Editorial Board
      • Aims and Scope
      • Abstracting and Indexing
      • Bibliographic Information
      • Archive
    • Molecular and Clinical Oncology
      • Molecular and Clinical Oncology
      • Information for Authors
      • Editorial Policies
      • Editorial Board
      • Aims and Scope
      • Abstracting and Indexing
      • Bibliographic Information
      • Archive
    • Experimental and Therapeutic Medicine
      • Experimental and Therapeutic Medicine
      • Information for Authors
      • Editorial Policies
      • Editorial Board
      • Aims and Scope
      • Abstracting and Indexing
      • Bibliographic Information
      • Archive
    • International Journal of Molecular Medicine
      • International Journal of Molecular Medicine
      • Information for Authors
      • Editorial Policies
      • Editorial Board
      • Aims and Scope
      • Abstracting and Indexing
      • Bibliographic Information
      • Archive
    • Biomedical Reports
      • Biomedical Reports
      • Information for Authors
      • Editorial Policies
      • Editorial Board
      • Aims and Scope
      • Abstracting and Indexing
      • Bibliographic Information
      • Archive
    • Oncology Reports
      • Oncology Reports
      • Information for Authors
      • Editorial Policies
      • Editorial Board
      • Aims and Scope
      • Abstracting and Indexing
      • Bibliographic Information
      • Archive
    • Molecular Medicine Reports
      • Molecular Medicine Reports
      • Information for Authors
      • Editorial Policies
      • Editorial Board
      • Aims and Scope
      • Abstracting and Indexing
      • Bibliographic Information
      • Archive
    • World Academy of Sciences Journal
      • World Academy of Sciences Journal
      • Information for Authors
      • Editorial Policies
      • Editorial Board
      • Aims and Scope
      • Abstracting and Indexing
      • Bibliographic Information
      • Archive
    • International Journal of Functional Nutrition
      • International Journal of Functional Nutrition
      • Information for Authors
      • Editorial Policies
      • Editorial Board
      • Aims and Scope
      • Abstracting and Indexing
      • Bibliographic Information
      • Archive
    • International Journal of Epigenetics
      • International Journal of Epigenetics
      • Information for Authors
      • Editorial Policies
      • Editorial Board
      • Aims and Scope
      • Abstracting and Indexing
      • Bibliographic Information
      • Archive
    • Medicine International
      • Medicine International
      • Information for Authors
      • Editorial Policies
      • Editorial Board
      • Aims and Scope
      • Abstracting and Indexing
      • Bibliographic Information
      • Archive
  • Articles
  • Information
    • Information for Authors
    • Information for Reviewers
    • Information for Librarians
    • Information for Advertisers
    • Conferences
  • Language Editing
Spandidos Publications Logo
  • About
    • About Spandidos
    • Aims and Scopes
    • Abstracting and Indexing
    • Editorial Policies
    • Reprints and Permissions
    • Job Opportunities
    • Terms and Conditions
    • Contact
  • Journals
    • All Journals
    • Biomedical Reports
      • Information for Authors
      • Editorial Policies
      • Editorial Board
      • Aims and Scope
      • Abstracting and Indexing
      • Bibliographic Information
      • Archive
    • Experimental and Therapeutic Medicine
      • Information for Authors
      • Editorial Policies
      • Editorial Board
      • Aims and Scope
      • Abstracting and Indexing
      • Bibliographic Information
      • Archive
    • International Journal of Epigenetics
      • Information for Authors
      • Editorial Policies
      • Editorial Board
      • Aims and Scope
      • Abstracting and Indexing
      • Bibliographic Information
      • Archive
    • International Journal of Functional Nutrition
      • Information for Authors
      • Editorial Policies
      • Editorial Board
      • Aims and Scope
      • Abstracting and Indexing
      • Bibliographic Information
      • Archive
    • International Journal of Molecular Medicine
      • Information for Authors
      • Editorial Policies
      • Editorial Board
      • Aims and Scope
      • Abstracting and Indexing
      • Bibliographic Information
      • Archive
    • International Journal of Oncology
      • Information for Authors
      • Editorial Policies
      • Editorial Board
      • Aims and Scope
      • Abstracting and Indexing
      • Bibliographic Information
      • Archive
    • Medicine International
      • Information for Authors
      • Editorial Policies
      • Editorial Board
      • Aims and Scope
      • Abstracting and Indexing
      • Bibliographic Information
      • Archive
    • Molecular and Clinical Oncology
      • Information for Authors
      • Editorial Policies
      • Editorial Board
      • Aims and Scope
      • Abstracting and Indexing
      • Bibliographic Information
      • Archive
    • Molecular Medicine Reports
      • Information for Authors
      • Editorial Policies
      • Editorial Board
      • Aims and Scope
      • Abstracting and Indexing
      • Bibliographic Information
      • Archive
    • Oncology Letters
      • Information for Authors
      • Editorial Policies
      • Editorial Board
      • Aims and Scope
      • Abstracting and Indexing
      • Bibliographic Information
      • Archive
    • Oncology Reports
      • Information for Authors
      • Editorial Policies
      • Editorial Board
      • Aims and Scope
      • Abstracting and Indexing
      • Bibliographic Information
      • Archive
    • World Academy of Sciences Journal
      • Information for Authors
      • Editorial Policies
      • Editorial Board
      • Aims and Scope
      • Abstracting and Indexing
      • Bibliographic Information
      • Archive
  • Articles
  • Information
    • For Authors
    • For Reviewers
    • For Librarians
    • For Advertisers
    • Conferences
  • Language Editing
Login Register Submit
  • This site uses cookies
  • You can change your cookie settings at any time by following the instructions in our Cookie Policy. To find out more, you may read our Privacy Policy.

    I agree
Search articles by DOI, keyword, author or affiliation
Search
Advanced Search
presentation
Oncology Letters
Join Editorial Board Propose a Special Issue
Print ISSN: 1792-1074 Online ISSN: 1792-1082
Journal Cover
November-2021 Volume 22 Issue 5

Full Size Image

Sign up for eToc alerts
Recommend to Library

Journals

International Journal of Molecular Medicine

International Journal of Molecular Medicine

International Journal of Molecular Medicine is an international journal devoted to molecular mechanisms of human disease.

International Journal of Oncology

International Journal of Oncology

International Journal of Oncology is an international journal devoted to oncology research and cancer treatment.

Molecular Medicine Reports

Molecular Medicine Reports

Covers molecular medicine topics such as pharmacology, pathology, genetics, neuroscience, infectious diseases, molecular cardiology, and molecular surgery.

Oncology Reports

Oncology Reports

Oncology Reports is an international journal devoted to fundamental and applied research in Oncology.

Experimental and Therapeutic Medicine

Experimental and Therapeutic Medicine

Experimental and Therapeutic Medicine is an international journal devoted to laboratory and clinical medicine.

Oncology Letters

Oncology Letters

Oncology Letters is an international journal devoted to Experimental and Clinical Oncology.

Biomedical Reports

Biomedical Reports

Explores a wide range of biological and medical fields, including pharmacology, genetics, microbiology, neuroscience, and molecular cardiology.

Molecular and Clinical Oncology

Molecular and Clinical Oncology

International journal addressing all aspects of oncology research, from tumorigenesis and oncogenes to chemotherapy and metastasis.

World Academy of Sciences Journal

World Academy of Sciences Journal

Multidisciplinary open-access journal spanning biochemistry, genetics, neuroscience, environmental health, and synthetic biology.

International Journal of Functional Nutrition

International Journal of Functional Nutrition

Open-access journal combining biochemistry, pharmacology, immunology, and genetics to advance health through functional nutrition.

International Journal of Epigenetics

International Journal of Epigenetics

Publishes open-access research on using epigenetics to advance understanding and treatment of human disease.

Medicine International

Medicine International

An International Open Access Journal Devoted to General Medicine.

Journal Cover
November-2021 Volume 22 Issue 5

Full Size Image

Sign up for eToc alerts
Recommend to Library

  • Article
  • Citations
    • Cite This Article
    • Download Citation
    • Create Citation Alert
    • Remove Citation Alert
    • Cited By
  • Similar Articles
    • Related Articles (in Spandidos Publications)
    • Similar Articles (Google Scholar)
    • Similar Articles (PubMed)
  • Download PDF
  • Download XML
  • View XML

  • Supplementary Files
    • Supplementary_Data1.pdf
    • Supplementary_Data2.xlsx
Article Open Access

Construction and validation of nomograms for non‑metastatic Ewing sarcoma: A prognostic factor analysis based on the SEER database

  • Authors:
    • Runzhi Huang
    • Dong Han
    • Chengcheng Shi
    • Penghui Yan
    • Peng Hu
    • Xiaolong Zhu
    • Huabin Yin
    • Tong Meng
    • Zongqiang Huang
  • View Affiliations / Copyright

    Affiliations: Department of Orthopaedics, The First Affiliated Hospital of Zhengzhou University, Zhengzhou, Henan 450052, P.R. China, Department of Orthopaedics, Shanghai Bone Tumor Institute, Shanghai General Hospital, School of Medicine, Shanghai Jiaotong University, Shanghai 200080, P.R. China, Division of Spine Surgery, Department of Orthopaedics, Tongji Hospital, Tongji University School of Medicine, Shanghai 200065, P.R. China
    Copyright: © Huang et al. This is an open access article distributed under the terms of Creative Commons Attribution License.
  • Article Number: 777
    |
    Published online on: September 13, 2021
       https://doi.org/10.3892/ol.2021.13038
  • Expand metrics +
Metrics: Total Views: 0 (Spandidos Publications: | PMC Statistics: )
Metrics: Total PDF Downloads: 0 (Spandidos Publications: | PMC Statistics: )
Cited By (CrossRef): 0 citations Loading Articles...

This article is mentioned in:



Abstract

Ewing sarcoma is the second most common osseous disease in children and adolescents. It presents with a poor prognosis due to the high degree of malignancy and distant metastasis. In order to predict the disease prognosis and investigate a suitable therapeutic strategy for Ewing sarcoma, the present study aimed to describe the clinical characteristics, and to construct and validate nomograms for patients with non‑metastatic Ewing sarcoma. A total of 627 cases of non‑metastatic Ewing sarcoma were retrospectively collected from the Surveillance, Epidemiology, and End Results database between 2005 and 2014. Survival analysis and a machine learning model were used to identify independent prognostic variables and establish nomograms to estimate overall survival (OS) and cause‑specific survival (CSS). The nomograms were bootstrap internally validated and externally validated using non‑metastatic Ewing sarcoma cases from the First Affiliated Hospital of Zhengzhou University. The accuracy was also assessed by comparing with current American Joint Committee on Cancer (AJCC) staging systems. The total series consisted of 627 patients with non‑metastatic Ewing sarcoma with a mean age of 20.14 years. Age, tumor extension, sex, International Classification of Diseases for Oncology, 3rd Edition histology, surgery and chemotherapy were identified as independent risk factors for OS and CSS. The aforementioned outcomes were incorporated to construct the nomograms, and the concordance indices (C‑indices) for internal validation of OS and CSS prediction were 0.791 and 0.813, which were higher than those for AJCC sixth edition (OS, 0.531; CSS, 0.534) and seventh edition (OS, 0.547; CSS, 0.561), while the C‑indices for external validation of OS and CSS prediction were 0.834 and 0.825, respectively. In conclusion, age, sex, tumor extension and surgery were independent prognostic factors for both OS and CSS. In addition, with regard to OS, the Ewing sarcoma subtype was a poor factor and chemotherapy was a favorable one. Nomograms based on reduced Cox models attained a satisfactory accuracy in predicting the survival of patients with non‑metastatic Ewing sarcoma and could assist clinicians in evaluating survival more accurately.

Introduction

Ewing sarcoma is the second most common osseous disease in children and adolescents, and predominantly occurs in the pelvic bones, femur and chest wall (1,2). Pathologically, it stems from primitive neuroepithelial cells, which are small round cells with high expression levels of CD99 with the potential to differentiate into various types of mesenchymal cell (1,3,4). Ewing sarcoma is characterized by the fusion of the EWS gene on chromosome 22q12 (1).

Ewing sarcoma is treated with adjuvant chemotherapy following wide excision or amputation with or without radiotherapy, as determined by the National Comprehensive Cancer Network (NCCN) guidelines (5,6). Despite various treatment strategies, the 5-year-overall survival (OS) rate is reported to have been only 65% in Turkey between 2001 and 2010, which may be associated with the high metastatic rate noted at an early stage (7). In addition, metastases are often regarded as the most significant predictor of OS in patients with Ewing sarcoma (8,9). Other potential factors include primary tumor location, tumor volume and lactate dehydrogenase levels (10,11). Non-metastatic Ewing sarcoma exhibits relatively mild symptoms and favorable prognosis compared with the metastatic type of the disease (8). Therefore, the description of its clinical characteristics and the investigation into its prognostic factors can assist clinical decision-making.

With regard to non-metastatic Ewing sarcoma, surgery is more useful than chemotherapy due to the high probability of en bloc tumor resection (8,10). Chemotherapy is the main adjuvant treatment method for Ewing sarcoma and was used in ~92% of non-metastatic Ewing sarcoma in previous studies (11,12). Furthermore, it has been demonstrated to be a favorable predictor for OS (7–12). Chemotherapy decreases the proliferation rate of the remaining tumor cells and improves patient survival time (1). With regard to radiotherapy, it has also been reported that chemotherapy is an appropriate regimen for local control in patients with Ewing sarcoma (13).

A nomogram is a visual, statistical predictive tool that has been designed to identify prognostic factors and predict disease-specific prognosis for each patient. Its predictive accuracy is superior to that of transitional prognostic scoring systems, such as the American Joint Committee on Cancer (AJCC) Tumor-Node-Metastasis staging system (6). However, to the best of our knowledge, the application of nomograms in the prediction of the prognosis for patients with non-metastatic Ewing sarcoma has not been previously investigated. In the present study, a machine learning model (random forest) and survival analysis methods, including the Kaplan-Meier (K-M) curve and Cox proportional hazards regression model, were used to identify independent prognostic variables for non-metastatic Ewing sarcoma from large sample data derived from publicly available sources [Surveillance, Epidemiology and End Results (SEER) database]. Subsequently, nomograms were constructed to estimate OS and cause-specific survival (CSS). Furthermore, external validation was performed to evaluate the accuracy and reproducibility of the nomograms in clinical applications.

Materials and methods

Patient selection

The present study was approved by the Ethics Committee of The First Affiliated Hospital of Zhengzhou University (no. KEYAN-2018-LW-023; Zhengzhou, China). The data analyzed in the program were identified between January 2005 and December 2014 from the SEER database (https://seer.cancer.gov/). Only patients diagnosed with Ewing sarcoma as the primary malignancy were included. Patients with tumors that were not first tumors (patients with no prior history of tumors or patients with tumors that were not primary tumors) were excluded from the present study. The tumor size data were collected with the exception of the codes 000/888/999/989-998 (‘000’ indicated no mass or no tumor found; ‘888’ and ‘999’ indicated not applicable or unknown; ‘989-998’ indicated 989 mm or larger but not accurately recorded). The tumor extension data were also collected with the exception of the codes 000/888/999/989-998. The exclusion criteria were as follows: Patients without biopsy diagnosis, patients with the N0M0 stage and patients who did not have Ewing sarcoma as their primary malignancy, patients with unknown surgical information, and patients with unknown marital status and ethnicity. Several studies have reported that marital status is an important prognostic factor for various tumor types (14,15). Therefore, in order to include marital status in the subsequent analysis, subjects with unknown marital status were removed. The patient selection is shown in the flow chart in Fig. 1. Patient characteristics and the original dataset are available in Tables SI and SII, respectively.

Figure 1.

Flow chart for creation of the Surveillance, Epidemiology, and End Results dataset.

A cohort was formed for validation according to the AJCC 6 and 7th edition guidelines using the same exclusion criteria from the SEER database [this was a cohort with only AJCC stage as the independent variables and survival data as the dependent variable from the same SEER database using SEER*STAT (version 8.3.6; seer.cancer.gov/seerstat), and all patients with unknown AJCC stage were excluded from this cohort] (6). In addition, non-metastatic Ewing sarcoma cases between January 2013 and December 2018 at The First Affiliated Hospital of Zhengzhou University (Zhengzhou, China) were collected for external validation using the Electronic Medical Record System using the same inclusion and exclusion criteria. Despite the rarity of the disease, an external dataset comprising 26 cases was finally collected. Patient characteristics are shown in Table SIII.

Data extraction

The variables analyzed in the present study included the baseline demographic features of the patients (age at diagnosis, sex and ethnicity), the tumor characteristics [size, extension, primary site, International Classification of Diseases for Oncology, 3rd Edition (ICD.O.3) histological subtype and AJCC T stage] (6,16), the medical treatment (surgery, radiation recode and chemotherapy recode) and the socioeconomic variables (marital status, degree of education, family income and employment status). Age was divided into three subgroups, namely children (<15 years), adolescents and young adults (15–39 years), and old adults (>39 years) according to the NCCN Guidelines for Adolescent and Young Adult Oncology (17). The endpoint of the present study was patient death, which was presented as OS and CSS. The follow-up endpoint of all patients was December 31, 2014.

Statistical analysis

The categorical variables were expressed as percentages and the continuous variables were presented as the median (range). Subsequently, the continuous variables were transformed into categorical variables, such as age, tumor size and tumor extension. According to the NCCN guidelines (version 2017) (6), age (<15, 15–39 and >39 years), tumor size (<80 and ≥80 mm) and tumor extension (<300 and ≥300 mm) were divided into different subgroups. In addition, patients were divided into subgroups according to the median values for socioeconomic variables. The χ2 test was adopted to assess the distinction between the sub-variables of each categorical variable. The same processes were performed based on OS and CSS. To compare the OS and CSS between subtypes, a K-M curve was used. For the K-M survival analysis, a log-rank test was used to compare the survival curves of each variable.

A random forest plot was established for entire variables. The Mean Decrease Gini (MDG) was used to estimate how each variable contributed to the OS and CSS. Additionally, the out-of-bag error was used to assess the accuracy of the classification in the random forest. The Cox proportional hazards model was constructed based on the results of the univariate analysis. The significant variables of the univariate analysis were screened to structure the subsets used as the data of the full Cox model. The non-significant chemotherapy effects were also retained for subsequent analysis. As a result, a reduced Cox model was constructed by sorting out the significant predictors from the full Cox model. Although the surgical information was not significant in the full Cox model, it was reserved for subsequent analysis in the reduced Cox model. Following double selections, the Cox model with the optimum predictors was eventually selected.

Based on the reduced Cox model, the nomograms were constructed for the evaluation of OS and CSS. The discriminations between predicted and observed values were evaluated via the concordance index (C-index) of internal validation. Their calibration was subsequently estimated using the corresponding calibration curve. In addition, to assess the accuracy of the final models, the external validation and concordance of the two AJCC editions was performed as the last step.

In the present study, R version 3.5.0 software (https://www.r-project.org/) was used to identify the statistically significant variables with a two-sided P<0.05 (α=0.05). The R packages ggplot2 (version 3.3.2; http://cloud.r-project.org/web/packages/ggplot2/index.html), survminer (version 0.4.8; http://cloud.r-project.org/web/packages/survminer/index.html), survival (version 3.2–7; http://cloud.r-project.org/web/packages/survival/index.html), rms (version 6.0-1; http://cloud.r-project.org/web/packages/rms/index.html) and randomForest (version 4.6–14; http://cloud.r-project.org/web/packages/randomForest/index.html) were used to establish the model and draw the curves, as well as the nomograms.

Results

Baseline characteristics

A total of 1,471 cases from the SEER database were selected between 2005 and 2014 as primary malignant cases. These cases were filtered, and an entire cohort containing 627 patients was included based on the inclusion and exclusion criteria. The patient characteristics are listed in Table SI, and the raw dataset of the entire primary cohort comprising 1,471 patients with non-metastatic Ewing sarcoma is shown in Table SII. At the end of the follow-up period, 502 patients were alive and 125 patients did not survive. The median age was 17 years (range, 0–85 years) and the highest proportion was noted in the 15–39-year-old subgroup. There were 252 women and 375 men. The median tumor size was 70 mm (range, 5–950 mm) and the median tumor extension was 400 mm (range, 100–820 mm). With regard to the primary tumor site, the distribution was as follows: Head/face/neck (8.0%), limbs (48.8%), thorax/abdomen (19.9%) and trunk (23.3%). The ICD.O.3 histology groups were adamantinoma of long bones (4.5%) and Ewing sarcoma (95.5%). In view of the limited number of AJCC T3 (0.8%) cases, the main comparison χ2 test was only performed in the AJCC T1 and AJCC T2 cases (53.1 vs. 46.1%). AJCC T was the only variable to do this filtration in the χ2 test, and T3 cases were not deleted in all subsequent analysis processes. Surgery was performed in 76.6% of patients, with chemotherapy recorded in 92.0% of the cases, whereas radiation was noted in 40.7% of the cases. The median OS was 40.00 months (range, 0.00–119.00 months).

Univariate analysis

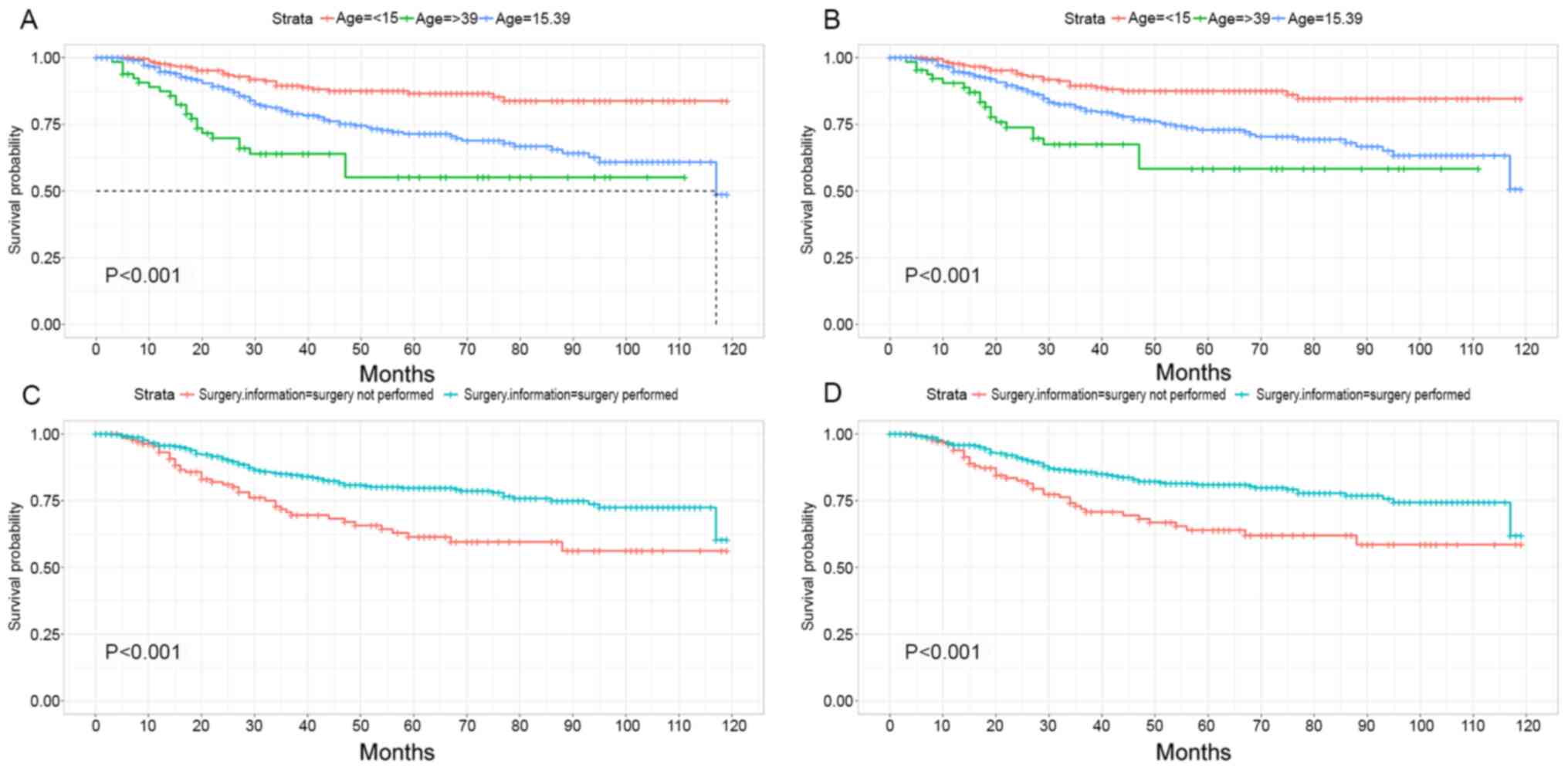
The K-M survival analysis for OS and CSS is summarized in Table I. Patients who were >39 years exhibited the poorest OS and CSS, whereas patients whose age was <15 years exhibited the best prognosis (P<0.001, Fig. 2A; P<0.001, Fig. 2B; P-values apply to the log-rank tests among all categories, not the comparison between any two categories). Improved OS/CSS was achieved in patients who underwent surgery compared with patients who did not undergo surgery (P<0.001, Fig. 2C; P<0.001, Fig. 2D). In addition, the MDG values of the random forests were estimated for OS [out of bag (OOB)=21.37%] and CSS (OOB=19.62%), along with the outcomes of the parametric or the non-parametric tests (Table I). Variance homogeneous and normal distributed continuous variables could be compared by Student's t-test, otherwise, the Mann-Whitney U-test or Kruskal-Wallis H-test should be used. The Student's t-test had conditions of use. The c2 test was used for discontinuous variables. In Table II, tumor features and medical treatments were significantly associated with OS and CSS, with the exception of the chemotherapy recode. Chemotherapy recode was also associated with the survival ending (the endpoint of the present study was patient death, which was presented as OS and CSS, and the follow-up endpoint of all patients was December 31, 2014). The parameters age, sex and marital status (data not shown) significantly influenced the prognosis of the patients. Finally, 11 elements (age, sex, tumor size, tumor extension, primary site, ICD.O.3 histology, AJCC T, surgery information, radiation recode, chemotherapy recode and marital status) were further analyzed using the Cox regression model.

Figure 2.

Kaplan-Meier curves of (A and C) overall survival and (B and D) cause-specific survival for (A and B) age and (C and D) surgery.

Table I.

Results of single factor analysis and random forest analysis for OS (OOB=21.37%) and CSS (OOB=19.62%).

Table I.

Results of single factor analysis and random forest analysis for OS (OOB=21.37%) and CSS (OOB=19.62%).

Overall survivalCause-specific survival


VariablesP-value of parametricor non-parametric testP-value of Kaplan-Meier survival analysisMDG (OOB=21.37%)P-value of parametric or non-parametric testP-value of Kaplan-Meier survival analysisMDG (OOB=19.62%)
Age (Kruskal-Wallis H-test) (<15 vs. 15–39 vs. >39) <0.001a <0.001a14.654 <0.001a <0.001a13.376
Tumor size (<80 vs. ≥80 mm) <0.001a <0.001a7.346 <0.001a <0.001a6.730
Tumor extension (<300 vs. ≥300 mm) <0.001a <0.001a6.686 <0.001a <0.001a6.141
Ethnicity (Black vs. White vs. Other)0.1340.1308.8770.1290.1708.443
Sex (female vs. male)0.013a0.031a8.3830.008a0.020a7.580
Primary site (head, face, neck vs. limbs vs. thorax, abdomen vs. trunk) <0.001a <0.001a19.793 <0.001a0.001a18.782
Histological subtype (adamantinoma of long bones vs. Ewing sarcoma)0.027a0.025a1.2210.010a0.011a1.127
AJCC T stage (T1 vs. T2 vs. T3) <0.001a <0.001a7.447 <0.001a <0.001a7.015
Surgery information (surgery not performed vs. surgery performed)0.003a <0.001a7.5170.004a <0.001a7.085
Radiation recode (no/unknown vs. yes) <0.001a <0.001a8.0490.001a <0.001a8.092
Chemotherapy recode (no/unknown vs. yes)0.2630.2805.2850.5070.5004.954
Marital status at diagnosis (married vs. single/separated/divorced/widowed)0.001a <0.001a7.9120.006a0.002a6.787
9th grade education (lower 50% vs. upper 50%)0.4970.5507.0050.3130.3707.062
High school education (lower 50% vs. upper 50%)0.4240.2406.6230.1790.0976.529
At least bachelor's degree (lower 50% vs. upper 50%)0.6900.5106.0170.5620.4205.823
Median family income (lower 50% vs. upper 50%)0.8730.6505.2470.7930.6004.747
Income status (lower 50% vs. upper 50%)0.9050.9805.6350.8520.8105.361
Unemployed (lower 50% vs. upper 50%)0.3790.2606.0680.3130.2205.487
Non-manual worker (lower 50% vs. upper 50%)0.7110.9005.6080.831>0.9995.403

a P<0.05. Variance homogeneous and normally distributed continuous variables could be compared by Student's t-test, otherwise, the Mann-Whitney U-test or Kruskal-Wallis H-test was used. Student's t-test had conditions of use. A χ2 test was used for discontinuous variables. MDG, Mean Decrease Gini; AJCC, American Joint Committee on Cancer; OOB, out of bag.

Table II.

Cox proportional hazards regression model for overall survival and cause-specific survival in patients with non-metastatic Ewing sarcoma.

Table II.

Cox proportional hazards regression model for overall survival and cause-specific survival in patients with non-metastatic Ewing sarcoma.

Overall survivalCause-specific survival


VariableHazard ratio (95% CI)P-valueHazard ratio (95% CI)P-value
Categorical age, years
<151.00 (reference) 1.00 (reference)
  15–392.154 (1.375–3.375) <0.001a2.084 (1.316–3.300)0.002a
  >394.334 (2.417–7.770) <0.001a4.121 (2.248–7.552) <0.001a
Categorical tumor extension, mm
  <3001.00 (reference) 1.00 (reference)
  ≥3002.404 (1.366–4.230)0.002a2.652 (1.465–4.803)0.001a
Sex
  Female1.00 (reference) 1.00 (reference)
  Male1.654 (1.124–2.434)0.011a1.675 (1.120–2.506)0.012a
Histological subtype
  Adamantinoma of long bones1.00 (reference)
  Ewing sarcoma19.137 (2.466–148.492)0.005a
Surgery information
  Surgery not performed1.00 (reference) 1.00 (reference)
  Surgery performed0.593 (0.407–0.865)0.007a0.561 (0.378–0.831)0.004a
Chemotherapy recode
  No/Unknown1.00 (reference) 1.00 (reference)
  Yes0.308 (0.164–0.581) <0.001a0.780 (0.400–1.521)0.466

a P<0.05.

Multivariate Cox regression and nomogram

In the Cox proportional hazards model, a higher hazard ratio (HR) was noted for the parameter of older age for OS [15–39 years: HR, 2.154; 95% confidence interval (CI), 1.375–3.375; P<0.001; >39 years: HR, 4.334; 95% CI, 2.417–7.770; P<0.001] and CSS (15–39 years: HR, 2.084; 95% CI, 1.316–3.300; P=0.002; >39 years: HR, 4.121; 95% CI, 2.248–7.552; P<0.001) compared with younger age (<15 years). Larger tumor extension was also a risk factor for OS (≥300.00 mm: HR, 2.404; 95% CI, 1.366–4.230; P=0.002) and CSS (≥300.00 mm: HR, 2.652; 95% CI, 1.465–4.803; P=0.001). In addition, male subjects appeared to have poorer OS (HR, 1.654; 95% CI, 1.124–2.434; P=0.011) and CSS (HR, 1.675; 95% CI, 1.120–2.506; P=0.012) than female subjects. The ICD.O.3 histological results for the higher risk subtype (Ewing sarcoma) indicated associations with OS (HR, 19.137; 95% CI, 2.466–148.492; P=0.005), but not with CSS (data not shown). The patients who had undergone surgery exhibited favorable OS (HR, 0.593; 95% CI, 0.407–0.865; P=0.007) and CSS (HR, 0.561; 95% CI, 0.378–0.831; P=0.004). The patients who were treated with chemotherapy exhibited improved OS (HR, 0.308; 95% CI, 0.164–0.581; P<0.001), whereas the effects of chemotherapy on CSS (HR, 0.780; 95% CI, 0.400–1.521; P=0.466) were not identified to be statistically significant.

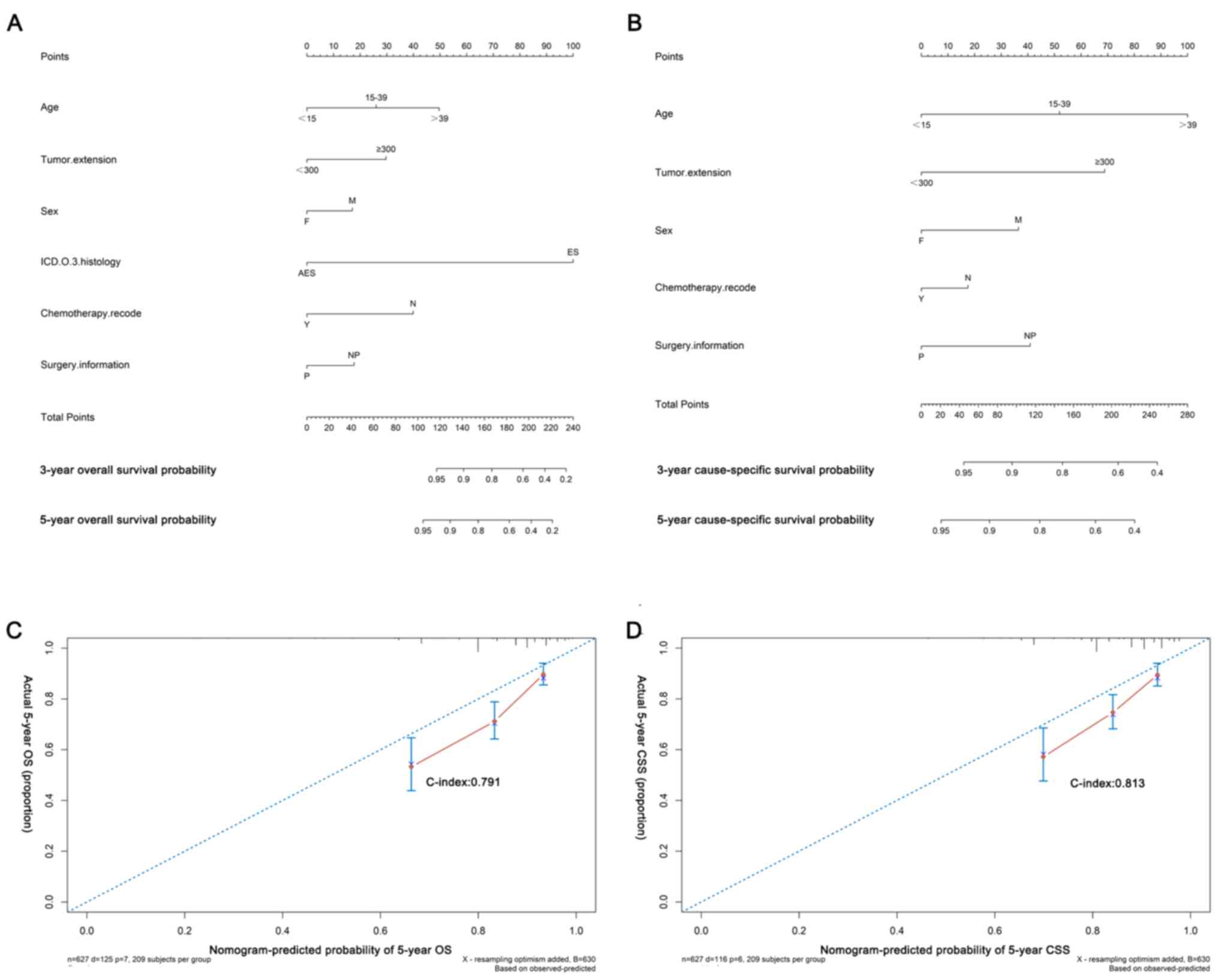
Based on the reduced Cox models, nomograms were built to predict the probability of 3- and 5-year OS (Fig. 3A and C; C-index=0.791) and CSS (Fig. 3B and D; C-index=0.813). The calibration plots demonstrated the agreement between predictions and observed values due to the 45-degree-line nearby points (Fig. 3C and D). Information of the 26 cases for external validation is shown in Table SIII and the median age was 18 years (range, 1–51 years). The median survival time was 22 months (range, 3–54 months; Table SIII). The concordances of external validation based on the cohort of The First Affiliated Hospital of Zhengzhou University (Zhengzhou, China) were 0.834 for OS and 0.825 for CSS. Although the results of the K-M survival analysis indicated significant prognostic values of AJCC stage, the C-indices were 0.531 (OS) and 0.534 (CSS) for AJCC 6th edition guidelines, and 0.547 (OS) and 0.561 (CSS) for AJCC 7th edition guidelines, respectively, which were lower than the nomograms (Fig. S1). Additionally, the results of the K-M survival analysis indicated that chemotherapy could not significantly prolong the survival of the patients (Fig. S2). In the subgroup analysis, older patients were more likely to undergo chemotherapy rather than surgery, which might explain the poor prognosis in older patients (Table SIV).

Figure 3.

Nomograms and calibration curves of (A and C) OS and (B and D) CSS. The C-indices for internal validation of OS and CSS prediction were 0.791 and 0.813. F, female; M, male; AES, adamantinoma of long bones; ICD.O.3, International Classification of Diseases for Oncology, 3rd Edition; ES, Ewing sarcoma; Y, yes; N, no/unknown; P, surgery performed; NP, surgery not performed; C-index, concordance index; OS, overall survival; CSS, cause-specific survival.

Discussion

Ewing sarcoma is the second most common malignant osseous tumor occurring in children and adolescents after osteosarcoma (2). Non-metastatic Ewing sarcoma has a favorable prognosis compared with the metastatic type and the identification of its predictors is helpful to prolong OS and CSS (6). A nomogram is a widely used prediction model that can incorporate meaningful factors, and predict OS and CSS of patients. In the present study, a prognostic nomogram was constructed for patients with non-metastatic Ewing sarcoma based on the SEER database. Furthermore, external non-metastatic Ewing sarcoma cases from The First Affiliated Hospital of Zhengzhou University (Zhengzhou, China) were used to validate the nomograms in order to provide reliable prediction models for clinical treatment.

The machine learning model (random forest) and classical survival analysis (K-M survival curve and Cox proportional hazards regression model) demonstrated that age, sex, tumor extension and ICD.O.3 histology were independent prognostic factors for both OS and CSS. Surgery was identified as a favorable predictor for both OS and CSS, while chemotherapy was significantly associated with OS and could potentially influence CSS in a number of previous studies, but this was not a significant indicator for CSS in the present study (6,8,17,18). Other variables, namely ethnicity, tumor size, primary site, radiotherapy and socioeconomic status (marital status), were not observed to be independent risk factors associated with OS and CSS.

In the present series of patients, the mean age was 20.14±13.62 years, with 375 male and 252 female subjects. Old age and male sex were prognostic factors for OS and CSS as determined by univariate and multivariate analyses, which was in accordance with previously reported findings (2,18–24). In the subgroup analysis, older patients were more likely to undergo chemotherapy rather than surgery, which might explain the poor prognosis in older patients (Table SIV). Therefore, it was suspected that the poor prognosis of older patients may be due to their low tolerance of chemotherapy (25,26). Furthermore, the results indicated that male patients tended to develop large tumors, which may increase the treatment complexity (Table SIV).

Ewing sarcoma was divided into adamantinoma-like Ewing sarcoma of long bones and Ewing sarcoma based on its histological evaluation provided by the SEER database. The percentages of the incidence of these tumors were 4.5 and 95.5%, respectively. Due to the lower-grade malignancy of adamantinoma-like Ewing sarcoma, ICD.O.3 histology was a significant variable in the current analysis, and Ewing sarcoma exhibited a poorer prognosis than the adamantinoma of long bones (27,28).

The tumor extension was an independent prognostic factor for both OS and CSS in the present analysis. Based on the results of the subgroup analysis, larger extension limited the application of surgery, thereby leading to negative prognosis, which was similar to the findings reported by Arshi et al (2).

Current therapeutic strategies for Ewing sarcoma include surgery, chemotherapy and radiotherapy, and their combined application. Surgery is the standard treatment strategy for Ewing sarcoma (7,12,23,24). In the present series, 76.6% of patients underwent surgery and this treatment method was a favorable prognostic factor for both OS and CSS. With regard to non-metastatic Ewing sarcoma, surgery is more useful due to the high probability of en bloc tumor resection (12,17,18). Chemotherapy is the main treatment method for Ewing sarcoma, which was present in ~92% of the cases comprising non-metastatic Ewing sarcoma in the present study (7,12). Additionally, chemotherapy has been demonstrated to be a favorable predictor for OS (7,12). In Europe, the standard chemotherapeutic strategy for Ewing sarcoma is vincristine, ifosfamide, doxorubicin and etoposide (VIDE). This regimen is safely used at a high dose and is administered bi-weekly (5,29). It destroys any remaining tumor cells that are proliferating slowly, and further improves patient survival time (1). In addition, in the external validation cohort of patients in the present study, the chemotherapeutic regimen used was a VIDE regimen in all cases. The results of the K-M survival analysis indicated that chemotherapy could significantly prolong the survival of the patients. Furthermore, radiotherapy has been reported to be an appropriate regimen for local control in patients with Ewing sarcoma (13). In the present study, non-significant results were noted in the Cox model, which was consistent with Gaspar et al (5), who demonstrated that radiotherapy did not exhibit a long-term tumor control and may result in severe side effects.

Based on the six independent variables identified using univariate and multivariate analyses, nomograms with high AUC and collaboration were constructed for OS and CSS in order to predict patient survival probability at certain time points. By external validation, they were appropriately tested and achieved satisfying fitting degrees. The C-index was estimated to be 0.931 and 0.724 for OS and CSS, respectively, which was superior to those for the AJCC 6th and 7th editions. Therefore, this variable could assist clinicians in making accurate survival evaluations and generating appropriate therapeutic strategies.

To the best of our knowledge, the present study was the first to address the use of nomograms in the field of non-metastatic Ewing sarcoma. The results implied the potential for clinical application. Despite these promising results, several limitations were present in the current study. Inaccurate variables appeared due to the criteria discrepancy in diagnosis and treatment methods that originated from different registries. Secondly, the retrospective nature of the present study was a limitation compared with a prospective study, such as a prospective cohort study and randomized controlled trial. Thirdly, the study lacked the detailed information for the chemotherapy and radiotherapy protocols used in the SEER database, including the treatment time, dose cycle, drug type and dosage (30). Finally, although applicable nomograms for OS and CSS have been tested by internal and external validation protocols alongside the calibration curves, a limited number of cases in the external series had a relatively short follow-up time. Additional clinical data are required to validate and revise the data presented in the current study. In order to further analyze and improve the application of nomograms, more strict and accurate models that can combine the variables examined with genetic factors are required. Subsequent studies should focus on the complex molecular mechanisms and expression of genomic biomarkers in order to construct more accurate nomograms.

In conclusion, age, sex, tumor extension and surgery were independent prognostic factors for both OS and CSS. In addition, the Ewing sarcoma subtype was a poor factor, whereas chemotherapy was a favorable factor with regard to OS. Nomograms based on reduced Cox models attained a satisfying accuracy in predicting the survival of patients with non-metastatic Ewing sarcoma and could assist clinicians in more accurately evaluating patient survival.

Supplementary Material

Supporting Data
Supporting Data

Acknowledgements

Not applicable.

Funding

The present study was supported in part by the National Natural Science Foundation of China (grant nos. 81702659, 81772856 and 81501203), Youth Fund of Shanghai Municipal Health Planning Commission (grant no. 2017YQ054) and Henan Medical Science and Technology Research Project (grant no. 201602031).

Availability of data and materials

All data generated or analyzed during this study are included in this published article.

Authors' contributions

RH, DH, CS, PY, PH, XZ, HY, TM and ZH conceived and designed the study, collected and/or assembled the data. analyzed and interpreted the data and wrote the manuscript. RH, DH, CS, PY, PH, XZ, HY, TM and ZH confirmed the authenticity of all the raw data. All authors read and approved the final manuscript.

Ethics approval and consent to participate

The present study was approved by the Ethics Committee of The First Affiliated Hospital of Zhengzhou University (approval no. KEYAN-2018-LW-023; Zhengzhou, China). All patients enrolled in the present study provided written informed consent for participation.

Patient consent for publication

Written informed consent was obtained from all 26 patients for publication of the present study. Consent was obtained from the parents/guardians of the patients under 18 years of age at the time of data collection.

Competing interests

The authors declare that they have no competing interests.

Glossary

Abbreviations

Abbreviations:

OS

overall survival

CSS

cause-specific survival

SEER

Surveillance, Epidemiology, and End Results

AJCC

American Joint Committee on Cancer

ICD.O.3

International Classification of Diseases for Oncology, 3rd Edition

MDG

Mean Decrease Gini

HR

hazard ratio

CI

confidence interval

References

1 

Grunewald TGP, Cidre-Aranaz F, Surdez D, Tomazou EM, de Álava E, Kovar H, Sorensen PH, Delattre O and Dirksen U: Ewing sarcoma. Nat Rev Dis Primers. 4:52018. View Article : Google Scholar : PubMed/NCBI

2 

Arshi A, Sharim J, Park DY, Park HY, Yazdanshenas H, Bernthal NM and Shamie AN: Prognostic determinants and treatment outcomes analysis of osteosarcoma and Ewing sarcoma of the spine. Spine J. 17:645–655. 2017. View Article : Google Scholar : PubMed/NCBI

3 

Scotlandi K, Baldini N, Cerisano V, Manara MC, Benini S, Serra M, Lollini PL, Nanni P, Nicoletti G, Bernard G, et al: CD99 engagement: An effective therapeutic strategy for Ewing tumors. Cancer Res. 60:5134–5142. 2000.PubMed/NCBI

4 

Riggi N, Cironi L, Provero P, Suvà ML, Kaloulis K, Garcia-Echeverria C, Hoffmann F, Trumpp A and Stamenkovic I: Development of Ewing's sarcoma from primary bone marrow-derived mesenchymal progenitor cells. Cancer Res. 65:11459–11468. 2005. View Article : Google Scholar : PubMed/NCBI

5 

Gaspar N, Hawkins DS, Dirksen U, Lewis IJ, Ferrari S, Le Deley MC, Kovar H, Grimer R, Whelan J, Claude L, et al: Ewing sarcoma: Current management and future approaches through collaboration. J Clin Oncol. 33:3036–3046. 2015. View Article : Google Scholar : PubMed/NCBI

6 

Biermann JS, Chow W, Reed DR, Lucas D, Adkins DR, Agulnik M, Benjamin RS, Brigman B, Budd GT, Curry WT, et al: NCCN Guidelines Insights: Bone cancer, version 2.2017. J Natl Compr Canc Netw. 15:155–167. 2017. View Article : Google Scholar : PubMed/NCBI

7 

Arpaci E, Yetisyigit T, Seker M, Uncu D, Uyeturk U, Oksuzoglu B, Demirci U, Coskun U, Kucukoner M, Isıkdogan A, et al: Prognostic factors and clinical outcome of patients with Ewing's sarcoma family of tumors in adults: Multicentric study of the Anatolian Society of Medical Oncology. Med Oncol. 30:4692013. View Article : Google Scholar : PubMed/NCBI

8 

Paulussen M, Ahrens S, Burdach S, Craft A, Dockhorn-Dworniczak B, Dunst J, Fröhlich B, Winkelmann W, Zoubek A and Jürgens H: Primary metastatic (stage IV) Ewing tumor: Survival analysis of 171 patients from the EICESS studies. European Intergroup Cooperative Ewing Sarcoma Studies. Ann Oncol. 9:275–281. 1998. View Article : Google Scholar : PubMed/NCBI

9 

Ferreira AJ, Boldrini E, López RVM, Scapulatempo Neto C, Santos JF and Lopes LF: Characterization, survival analysis, and expression of IGFR in tumor samples from patients diagnosed with Ewing family tumors treated at the Barretos Cancer Hospital. Rev Bras Ortop. 52:705–713. 2016. View Article : Google Scholar : PubMed/NCBI

10 

Rodríguez-Galindo C, Liu T, Krasin MJ, Wu J, Billups CA, Daw NC, Spunt SL, Rao BN, Santana VM and Navid F: Analysis of prognostic factors in ewing sarcoma family of tumors: Review of St. Jude Children's Research Hospital studies. Cancer. 110:375–384. 2007. View Article : Google Scholar : PubMed/NCBI

11 

Grevener K, Haveman LM, Ranft A, van den Berg H, Jung S, Ladenstein R, Klco-Brosius S, Juergens H, Merks JH and Dirksen U: Management and outcome of Ewing sarcoma of the head and neck. Pediatr Blood Cancer. 63:604–610. 2016. View Article : Google Scholar : PubMed/NCBI

12 

Wan W, Lou Y, Hu Z, Wang T, Li J, Tang Y, Wu Z, Xu L, Yang X, Song D and Xiao J: Factors affecting survival outcomes of patients with non-metastatic Ewing's sarcoma family tumors in the spine: A retrospective analysis of 63 patients in a single center. J Neurooncol. 131:313–320. 2017. View Article : Google Scholar : PubMed/NCBI

13 

Ning MS, Perkins SM, Borinstein SC, Holt GE, Stavas MJ and Shinohara ET: Role of radiation in the treatment of non-metastatic osseous Ewing sarcoma. J Med Imaging Radiat Oncol. 60:119–128. 2016. View Article : Google Scholar : PubMed/NCBI

14 

Buja A, Lago L, Lago S, Vinelli A, Zanardo C and Baldo V: Marital status and stage of cancer at diagnosis: A systematic review. Eur J Cancer Care (Engl). 27:2018. View Article : Google Scholar : PubMed/NCBI

15 

Gomez SL, Hurley S, Canchola AJ, Keegan TH, Cheng I, Murphy JD, Clarke CA, Glaser SL and Martínez ME: Effects of marital status and economic resources on survival after cancer: A population-based study. Cancer. 122:1618–1625. 2016. View Article : Google Scholar : PubMed/NCBI

16 

Niu XH: Interpretation of 2020 NCCN Clinical Practice Guidelines in Oncology-Bone Cancer. Zhonghua Wai Ke Za Zhi. 58:430–434. 2020.(In Chinese). PubMed/NCBI

17 

Coccia PF, Pappo AS, Beaupin L, Borges VF, Borinstein SC, Chugh R, Dinner S, Folbrecht J, Frazier AL, Goldsby R, et al: Adolescent and young adult oncology, version 2.2018. J Natl Compr Cancer Netw. 16:66–97. 2018. View Article : Google Scholar : PubMed/NCBI

18 

Bacci G, Longhi A, Ferrari S, Mercuri M, Versari M and Bertoni F: Prognostic factors in non-metastatic Ewing's sarcoma tumor of bone: An analysis of 579 patients treated at a single institution with adjuvant or neoadjuvant chemotherapy between 1972 and 1998. Acta Oncol. 45:469–475. 2006. View Article : Google Scholar : PubMed/NCBI

19 

Jawad MU, Cheung MC, Min ES, Schneiderbauer MM, Koniaris LG and Scully SP: Ewing sarcoma demonstrates racial disparities in incidence-related and sex-related differences in outcome: An analysis of 1631 cases from the SEER database, 1973–2005. Cancer. 115:3526–3536. 2009. View Article : Google Scholar : PubMed/NCBI

20 

Duchman KR, Gao Y and Miller BJ: Prognostic factors for survival in patients with Ewing's sarcoma using the surveillance, epidemiology, and end results (SEER) program database. Cancer Epidemiol. 39:189–195. 2015. View Article : Google Scholar : PubMed/NCBI

21 

Karski EE, Matthay KK, Neuhaus JM, Goldsby RE and Dubois SG: Characteristics and outcomes of patients with Ewing sarcoma over 40 years of age at diagnosis. Cancer Epidemiol. 37:29–33. 2013. View Article : Google Scholar : PubMed/NCBI

22 

López Guerra JL, Márquez-Vega C, Ramírez-Villar GL, Cabrera P, Ordóñez R, Praena-Fernández JM and Ortiz MJ: Prognostic factors for overall survival in paediatric patients with Ewing sarcoma of bone treated according to multidisciplinary protocol. Clin Transl Oncol. 14:294–301. 2012. View Article : Google Scholar : PubMed/NCBI

23 

Oksüz DC, Tural D, Dincbas FÖ, Dervisoglu S, Turna H, Hiz M, Kantarci F, Ceylaner B, Koca S and Mandel NM: Non-metastatic Ewing's sarcoma family of tumors of bone in adolescents and adults: Prognostic factors and clinical outcome-single institution results. Tumori. 100:452–458. 2014. View Article : Google Scholar : PubMed/NCBI

24 

Wan ZH, Huang ZH and Chen LB: Survival outcome among patients with Ewing's sarcoma of bones and joints: A population-based cohort study. Sao Paulo Med J. 136:116–122. 2017. View Article : Google Scholar : PubMed/NCBI

25 

Gupta AA, Pappo A, Saunders N, Hopyan S, Ferguson P, Wunder J, O'Sullivan B, Catton C, Greenberg M and Blackstein M: Clinical outcome of children and adults with localized Ewing sarcoma: Impact of chemotherapy dose and timing of local therapy. Cancer. 116:3189–3194. 2010. View Article : Google Scholar : PubMed/NCBI

26 

Lee J, Hoang BH, Ziogas A and Zell JA: Analysis of prognostic factors in Ewing sarcoma using a population-based cancer registry. Cancer. 116:1964–1973. 2010. View Article : Google Scholar : PubMed/NCBI

27 

Kreicbergs A, Silvferswärd C and Tribukait B: Flow DNA analysis of primary bone tumors. Relationship between cellular DNA content and histopathologic classification. Cancer. 53:129–136. 1984. View Article : Google Scholar : PubMed/NCBI

28 

Fujii H, Honoki K, Enomoto Y, Kasai T, Kido A, Amano I, Kumamoto M, Morishita T, Mii Y, Nonomura A and Takakura Y: Adamantinoma-like Ewing's sarcoma with EWS-FLI1 fusion gene: A case report. Virchows Arch. 449:579–584. 2006. View Article : Google Scholar : PubMed/NCBI

29 

Womer RB, West DC, Krailo MD, Dickman PS, Pawel BR, Grier HE, Marcus K, Sailer S, Healey JH, Dormans JP and Weiss AR: Randomized controlled trial of interval-compressed chemotherapy for the treatment of localized Ewing sarcoma: A report from the Children's Oncology Group. J Clin Oncol. 30:4148–4154. 2012. View Article : Google Scholar : PubMed/NCBI

30 

Noone AM, Lund JL, Mariotto A, Cronin K, McNeel T, Deapen D and Warren JL: Comparison of SEER treatment data with medicare claims. Med Care. 54:E55–E64. 2016. View Article : Google Scholar : PubMed/NCBI

Related Articles

  • Abstract
  • View
  • Download
  • Twitter
Copy and paste a formatted citation
Spandidos Publications style
Huang R, Han D, Shi C, Yan P, Hu P, Zhu X, Yin H, Meng T and Huang Z: Construction and validation of nomograms for non‑metastatic Ewing sarcoma: A prognostic factor analysis based on the SEER database. Oncol Lett 22: 777, 2021.
APA
Huang, R., Han, D., Shi, C., Yan, P., Hu, P., Zhu, X. ... Huang, Z. (2021). Construction and validation of nomograms for non‑metastatic Ewing sarcoma: A prognostic factor analysis based on the SEER database. Oncology Letters, 22, 777. https://doi.org/10.3892/ol.2021.13038
MLA
Huang, R., Han, D., Shi, C., Yan, P., Hu, P., Zhu, X., Yin, H., Meng, T., Huang, Z."Construction and validation of nomograms for non‑metastatic Ewing sarcoma: A prognostic factor analysis based on the SEER database". Oncology Letters 22.5 (2021): 777.
Chicago
Huang, R., Han, D., Shi, C., Yan, P., Hu, P., Zhu, X., Yin, H., Meng, T., Huang, Z."Construction and validation of nomograms for non‑metastatic Ewing sarcoma: A prognostic factor analysis based on the SEER database". Oncology Letters 22, no. 5 (2021): 777. https://doi.org/10.3892/ol.2021.13038
Copy and paste a formatted citation
x
Spandidos Publications style
Huang R, Han D, Shi C, Yan P, Hu P, Zhu X, Yin H, Meng T and Huang Z: Construction and validation of nomograms for non‑metastatic Ewing sarcoma: A prognostic factor analysis based on the SEER database. Oncol Lett 22: 777, 2021.
APA
Huang, R., Han, D., Shi, C., Yan, P., Hu, P., Zhu, X. ... Huang, Z. (2021). Construction and validation of nomograms for non‑metastatic Ewing sarcoma: A prognostic factor analysis based on the SEER database. Oncology Letters, 22, 777. https://doi.org/10.3892/ol.2021.13038
MLA
Huang, R., Han, D., Shi, C., Yan, P., Hu, P., Zhu, X., Yin, H., Meng, T., Huang, Z."Construction and validation of nomograms for non‑metastatic Ewing sarcoma: A prognostic factor analysis based on the SEER database". Oncology Letters 22.5 (2021): 777.
Chicago
Huang, R., Han, D., Shi, C., Yan, P., Hu, P., Zhu, X., Yin, H., Meng, T., Huang, Z."Construction and validation of nomograms for non‑metastatic Ewing sarcoma: A prognostic factor analysis based on the SEER database". Oncology Letters 22, no. 5 (2021): 777. https://doi.org/10.3892/ol.2021.13038
Follow us
  • Twitter
  • LinkedIn
  • Facebook
About
  • Spandidos Publications
  • Careers
  • Cookie Policy
  • Privacy Policy
How can we help?
  • Help
  • Live Chat
  • Contact
  • Email to our Support Team