Spandidos Publications Logo
  • About
    • About Spandidos
    • Aims and Scopes
    • Abstracting and Indexing
    • Editorial Policies
    • Reprints and Permissions
    • Job Opportunities
    • Terms and Conditions
    • Contact
  • Journals
    • All Journals
    • Oncology Letters
      • Oncology Letters
      • Information for Authors
      • Editorial Policies
      • Editorial Board
      • Aims and Scope
      • Abstracting and Indexing
      • Bibliographic Information
      • Archive
    • International Journal of Oncology
      • International Journal of Oncology
      • Information for Authors
      • Editorial Policies
      • Editorial Board
      • Aims and Scope
      • Abstracting and Indexing
      • Bibliographic Information
      • Archive
    • Molecular and Clinical Oncology
      • Molecular and Clinical Oncology
      • Information for Authors
      • Editorial Policies
      • Editorial Board
      • Aims and Scope
      • Abstracting and Indexing
      • Bibliographic Information
      • Archive
    • Experimental and Therapeutic Medicine
      • Experimental and Therapeutic Medicine
      • Information for Authors
      • Editorial Policies
      • Editorial Board
      • Aims and Scope
      • Abstracting and Indexing
      • Bibliographic Information
      • Archive
    • International Journal of Molecular Medicine
      • International Journal of Molecular Medicine
      • Information for Authors
      • Editorial Policies
      • Editorial Board
      • Aims and Scope
      • Abstracting and Indexing
      • Bibliographic Information
      • Archive
    • Biomedical Reports
      • Biomedical Reports
      • Information for Authors
      • Editorial Policies
      • Editorial Board
      • Aims and Scope
      • Abstracting and Indexing
      • Bibliographic Information
      • Archive
    • Oncology Reports
      • Oncology Reports
      • Information for Authors
      • Editorial Policies
      • Editorial Board
      • Aims and Scope
      • Abstracting and Indexing
      • Bibliographic Information
      • Archive
    • Molecular Medicine Reports
      • Molecular Medicine Reports
      • Information for Authors
      • Editorial Policies
      • Editorial Board
      • Aims and Scope
      • Abstracting and Indexing
      • Bibliographic Information
      • Archive
    • World Academy of Sciences Journal
      • World Academy of Sciences Journal
      • Information for Authors
      • Editorial Policies
      • Editorial Board
      • Aims and Scope
      • Abstracting and Indexing
      • Bibliographic Information
      • Archive
    • International Journal of Functional Nutrition
      • International Journal of Functional Nutrition
      • Information for Authors
      • Editorial Policies
      • Editorial Board
      • Aims and Scope
      • Abstracting and Indexing
      • Bibliographic Information
      • Archive
    • International Journal of Epigenetics
      • International Journal of Epigenetics
      • Information for Authors
      • Editorial Policies
      • Editorial Board
      • Aims and Scope
      • Abstracting and Indexing
      • Bibliographic Information
      • Archive
    • Medicine International
      • Medicine International
      • Information for Authors
      • Editorial Policies
      • Editorial Board
      • Aims and Scope
      • Abstracting and Indexing
      • Bibliographic Information
      • Archive
  • Articles
  • Information
    • Information for Authors
    • Information for Reviewers
    • Information for Librarians
    • Information for Advertisers
    • Conferences
  • Language Editing
Spandidos Publications Logo
  • About
    • About Spandidos
    • Aims and Scopes
    • Abstracting and Indexing
    • Editorial Policies
    • Reprints and Permissions
    • Job Opportunities
    • Terms and Conditions
    • Contact
  • Journals
    • All Journals
    • Biomedical Reports
      • Information for Authors
      • Editorial Policies
      • Editorial Board
      • Aims and Scope
      • Abstracting and Indexing
      • Bibliographic Information
      • Archive
    • Experimental and Therapeutic Medicine
      • Information for Authors
      • Editorial Policies
      • Editorial Board
      • Aims and Scope
      • Abstracting and Indexing
      • Bibliographic Information
      • Archive
    • International Journal of Epigenetics
      • Information for Authors
      • Editorial Policies
      • Editorial Board
      • Aims and Scope
      • Abstracting and Indexing
      • Bibliographic Information
      • Archive
    • International Journal of Functional Nutrition
      • Information for Authors
      • Editorial Policies
      • Editorial Board
      • Aims and Scope
      • Abstracting and Indexing
      • Bibliographic Information
      • Archive
    • International Journal of Molecular Medicine
      • Information for Authors
      • Editorial Policies
      • Editorial Board
      • Aims and Scope
      • Abstracting and Indexing
      • Bibliographic Information
      • Archive
    • International Journal of Oncology
      • Information for Authors
      • Editorial Policies
      • Editorial Board
      • Aims and Scope
      • Abstracting and Indexing
      • Bibliographic Information
      • Archive
    • Medicine International
      • Information for Authors
      • Editorial Policies
      • Editorial Board
      • Aims and Scope
      • Abstracting and Indexing
      • Bibliographic Information
      • Archive
    • Molecular and Clinical Oncology
      • Information for Authors
      • Editorial Policies
      • Editorial Board
      • Aims and Scope
      • Abstracting and Indexing
      • Bibliographic Information
      • Archive
    • Molecular Medicine Reports
      • Information for Authors
      • Editorial Policies
      • Editorial Board
      • Aims and Scope
      • Abstracting and Indexing
      • Bibliographic Information
      • Archive
    • Oncology Letters
      • Information for Authors
      • Editorial Policies
      • Editorial Board
      • Aims and Scope
      • Abstracting and Indexing
      • Bibliographic Information
      • Archive
    • Oncology Reports
      • Information for Authors
      • Editorial Policies
      • Editorial Board
      • Aims and Scope
      • Abstracting and Indexing
      • Bibliographic Information
      • Archive
    • World Academy of Sciences Journal
      • Information for Authors
      • Editorial Policies
      • Editorial Board
      • Aims and Scope
      • Abstracting and Indexing
      • Bibliographic Information
      • Archive
  • Articles
  • Information
    • For Authors
    • For Reviewers
    • For Librarians
    • For Advertisers
    • Conferences
  • Language Editing
Login Register Submit
  • This site uses cookies
  • You can change your cookie settings at any time by following the instructions in our Cookie Policy. To find out more, you may read our Privacy Policy.

    I agree
Search articles by DOI, keyword, author or affiliation
Search
Advanced Search
presentation
Oncology Letters
Join Editorial Board Propose a Special Issue
Print ISSN: 1792-1074 Online ISSN: 1792-1082
Journal Cover
October-2022 Volume 24 Issue 4

Full Size Image

Sign up for eToc alerts
Recommend to Library

Journals

International Journal of Molecular Medicine

International Journal of Molecular Medicine

International Journal of Molecular Medicine is an international journal devoted to molecular mechanisms of human disease.

International Journal of Oncology

International Journal of Oncology

International Journal of Oncology is an international journal devoted to oncology research and cancer treatment.

Molecular Medicine Reports

Molecular Medicine Reports

Covers molecular medicine topics such as pharmacology, pathology, genetics, neuroscience, infectious diseases, molecular cardiology, and molecular surgery.

Oncology Reports

Oncology Reports

Oncology Reports is an international journal devoted to fundamental and applied research in Oncology.

Experimental and Therapeutic Medicine

Experimental and Therapeutic Medicine

Experimental and Therapeutic Medicine is an international journal devoted to laboratory and clinical medicine.

Oncology Letters

Oncology Letters

Oncology Letters is an international journal devoted to Experimental and Clinical Oncology.

Biomedical Reports

Biomedical Reports

Explores a wide range of biological and medical fields, including pharmacology, genetics, microbiology, neuroscience, and molecular cardiology.

Molecular and Clinical Oncology

Molecular and Clinical Oncology

International journal addressing all aspects of oncology research, from tumorigenesis and oncogenes to chemotherapy and metastasis.

World Academy of Sciences Journal

World Academy of Sciences Journal

Multidisciplinary open-access journal spanning biochemistry, genetics, neuroscience, environmental health, and synthetic biology.

International Journal of Functional Nutrition

International Journal of Functional Nutrition

Open-access journal combining biochemistry, pharmacology, immunology, and genetics to advance health through functional nutrition.

International Journal of Epigenetics

International Journal of Epigenetics

Publishes open-access research on using epigenetics to advance understanding and treatment of human disease.

Medicine International

Medicine International

An International Open Access Journal Devoted to General Medicine.

Journal Cover
October-2022 Volume 24 Issue 4

Full Size Image

Sign up for eToc alerts
Recommend to Library

  • Article
  • Citations
    • Cite This Article
    • Download Citation
    • Create Citation Alert
    • Remove Citation Alert
    • Cited By
  • Similar Articles
    • Related Articles (in Spandidos Publications)
    • Similar Articles (Google Scholar)
    • Similar Articles (PubMed)
  • Download PDF
  • Download XML
  • View XML

  • Supplementary Files
    • Supplementary_Data.pdf
Article Open Access

Age does matter in adolescents and young adults vs. older adults with lung adenocarcinoma: A retrospective analysis comparing clinical characteristics and outcomes in response to systematic treatments

  • Authors:
    • Lin Zhou
    • Huiwu Li
    • Shuhui Yang
  • View Affiliations / Copyright

    Affiliations: Department of Thoracic Surgery, YueBei People's Hospital, Shaoguan, Guangdong 512025, P.R. China, Medical Research Center, YueBei People's Hospital, Shaoguan, Guangdong 512025, P.R. China, Department of Pathology, YueBei People's Hospital, Shaoguan, Guangdong 512025, P.R. China
    Copyright: © Zhou et al. This is an open access article distributed under the terms of Creative Commons Attribution License.
  • Article Number: 362
    |
    Published online on: August 31, 2022
       https://doi.org/10.3892/ol.2022.13482
  • Expand metrics +
Metrics: Total Views: 0 (Spandidos Publications: | PMC Statistics: )
Metrics: Total PDF Downloads: 0 (Spandidos Publications: | PMC Statistics: )
Cited By (CrossRef): 0 citations Loading Articles...

This article is mentioned in:



Abstract

Adenocarcinoma is the most common histological type of lung cancer in adolescents and young adults (AYAs; ˂50 years of age). However, few clinical trials that have investigated systematic treatments regard AYAs as a special cohort, and the differences in progression‑free survival (PFS) and overall survival (OS) between AYAs and older adults is still unclear. The present study compared clinical characteristics, targetable genomic mutations, toxicity, efficacy and prognostic response to systematic treatments in AYAs (n=251) and older adults (n=1,098) who were diagnosed with lung adenocarcinoma between January 2013 and December 2017 at YueBei People's Hospital (Shaoguan, China). Compared with older adults, AYAs with lung adenocarcinoma were more frequently female and non‑smokers, with a higher ratio of patients receiving chemotherapy and targeted therapy, and fewer untreated. More AYAs harbored targetable genomic mutations, including epidermal growth factor receptor (EGFR) and anaplastic lymphoma kinase (ALK) mutations, while more older adults harbored KRAS proto‑oncogene GTPase mutations. EGFR L858R was significantly more prevalent among older adults, while 19Del was common in AYAs. AYAs showed a higher objective response rate (ORR) and a lower grade 3‑4 treatment‑related adverse event (TRAE) percentage following systematic chemotherapy, but shared a similar ORR and grade 3‑4 TRAE percentage with older adults following targeted therapies. AYAs experienced a shorter progression‑free survival time following EGFR‑tyrosine kinase inhibitor (TKI) treatment due to the higher number of metastatic organs at the time of the initial cancer diagnosis. However, there was a survival advantage of AYAs over older adults in terms of the response to systemic chemotherapy, and an age of ˂50 years was indicated as one of the positive predictors for OS time. Overall, AYAs with lung adenocarcinoma harbored distinctive clinical and genomic characteristics, and exhibited PFS and OS disadvantages following first‑line EGFR‑TKIs and advantages following systematic chemotherapy. However, the age‑related difference in prognosis existed solely in patients who received systematic chemotherapy.

Introduction

Lung cancer is one of the most common malignant tumors in the world. GLOBOCAN 2020 cancer statistics estimate 2.2 million new lung cancer cases and 1.8 million new lung cancer-associated deaths worldwide (1). With the increase of age, the exposure to carcinogenic factors, such as smoking, increases, and carcinogenic mutations accumulate, leading to an increased risk of suffering from lung cancer. However, according to cancer statistics in the United States and Japan, 4.5-9.0% of lung cancer patients are <50 years old at the time of the initial cancer diagnosis (2–4). Due to the low proportion of AYAs in lung cancer, there have been few studies (5–7) on the clinical characteristics, incidence of targetable genomic mutations and prognosis in this group. In addition, conclusions from these studies are not completely consistent.

Although previous studies used different ages for the cut-off value defining AYA patients, the results consistently suggested that AYAs with lung cancer consisted of cases predominantly with adenocarcinoma, a higher proportion of females and patients who tended to present with advanced disease (8–10). Nevertheless, there were conflicting conclusions on targetable genomic mutations and the prognosis of AYAs. Some reports have shown that a significantly higher percentage of young patients present with metastatic disease, resulting in a shorter OS time compared with older adults (11,12), while others showed that overall survival time was significantly better or similar for younger patients compared with older adults (2–4,7,13–15). The inconsistent conclusions on prognosis between AYAs and older adults with lung cancer may be attributed to ethnic differences, pathological types, targetable genomic mutations, treatment patterns and economic factors.

To date, most European and American lung cancer screening guidelines recommend 55 years as the starting age for lung cancer screening by low-dose computed tomography, while China's National Lung Cancer Screening Guideline with Low-dose Computed Tomography (2015 and 2018 version) recommends starting in high-risk individuals at 50 years of age (16,17). Therefore, the present study used 50 years as the age cut-off value for defining AYA patients. In this study, the incidence and clinical characteristics of AYAs in patients with lung adenocarcinomais comprehensively investigated. Additionally, since targeted therapy and systematic chemotherapy were found to be the main treatment patterns for lung adenocarcinoma, the study also analyzed whether age influenced toxicity, efficacy and prognostic response to treatment.

Materials and methods

Data source

The data for all patients with lung malignancies treated in YueBei People's Hospital (Shaoguan, China) between January 2013 and December 2017 were extracted by identifying the diagnostic code C34 (ICD-10-CM) in the discharged patients database. This hospital is the biggest tertiary hospital in Shaoguan. The number of outpatient and inpatient visits is ~1.45 million and ~0.12 million per year, respectively. Patients admitted to this hospital are mainly residents of this city. Lung adenocarcinoma had been pathologically diagnosed according to pathological morphology and positive thyroid transcription factor-1, NapsinA or Alcian blue, and periodic acid Schiff staining in tumor cells. Patients included in this study were staged according to the eighth edition of the Tumor-Node-Metastasis (TNM) criteria of the American Joint Committee on Cancer in conjunction with The American College of Radiology Appropriateness Criteria (18). This study was a retrospective analysis of patient medical records, and ethical approval was obtained from the Institutional Ethics Committee of YueBei People's Hospital and is not considered subject to the Medical Research Involving Human Subjects Act.

Patients

Inclusion criteria for patients with lung malignancy or lung adenocarcinoma were as follows: Age of ≥18 years; and pathological diagnosis of de novo lung cancer between January 2013 and December 2017. Exclusion criteria: Concomitant cancer at the time of or within 5 years of the lung cancer diagnosis (except for cancers in situ). For multiple hospital visits by the same patient, the first visit that met the inclusion and exclusion criteria was selected.

A total of 3,218 patients coded C34 were registered in the discharged patients database. Patients who were diagnosed and treated at other hospitals before January 2013 (n=297), were without original pathological data (n=21), were <18 years old (n=1), had mixed tumors (n=36) or tracheal tumors (n=3), and those suffering from other malignant tumors in the past 5 years (n=65) were excluded from the analysis. In total, this study included 2,795 eligible lung malignancies, among which 1,349 cases were of lung adenocarcinoma. There were 807 males and 542 females, with a median age of 61 years (range, 52–68 years). Eligible patients with lung adenocarcinoma were grouped by their age at the time of the initial cancer diagnosis. Targetable genomic mutation sequencing, including that for epidermal growth factor receptor (EGFR), anaplastic lymphoma kinase (ALK), ROS proto-oncogene 1 receptor tyrosine kinase (ROS1) and KRAS proto-oncogene GTPase (KRAS), was recorded as performed in 637 patients. First-line systemic treatments were categorized as targeted therapy [EGFR-tyrosine kinase inhibitors (TKIs) and ALK/ROS1-TKIs] and systematic chemotherapy with or without radiotherapy. In a subsequent analysis of toxicity, efficacy and prognostic response to treatments, those who had received targeted therapy without targetable genomic mutations sequencing and those who had not completed at least two cycles of chemotherapy were excluded.

Clinical assessments and follow-up

Generally, radiographic assessments were performed at baseline, then every 3 months for patients receiving targeted therapy, every two or three cycles for chemotherapy, and every 3 months thereafter until the progression of disease (PD). Response Evaluation Criteria in Solid Tumors v.1.1 guidelines were used for the assessment of response, progression or stability of disease resulting from systematic treatments (19). Treatment-related adverse events (TRAEs) were graded according to the Common Terminology Criteria for Adverse Events, version 4.0 (20). After PD, survival information was obtained from the medical records or by telephone interview. The follow-up data cut-off was set as December 1, 2021.

Statistical analysis

Categorical variables were presented as counts (percentage) and were compared using Pearson's χ2 or Fisher's exact test, as appropriate. All continuous variables were tested with Kolmogorov-Smirnov and the Shapiro-Wilk tests, continuous variables of normal distribution are expressed as the mean ± standard deviation and were analyzed using a unpaired t-test, and partial distribution is expressed as the median (inter-quartile-range) and was analyzed using the Mann-Whitney U test. The survival probability was estimated by the Kaplan-Meier method and compared between the two groups using log-rank tests. Multivariate Cox regression models were applied to evaluate predictors of survival. Statistical analyses were performed using SPSS software (version 26.0; IBM Corp.). The results were based on two-sided tests and P<0.05 was considered to indicate a statistically significant difference.

Results

Epidemiological characteristics

A total of 2,795 patients were pathologically diagnosed with primary lung malignancy during the 5 years, among who 410 (14.7%) were aged <50 years at the time of the initial cancer diagnosis. Notably, overall stability in the ratio of AYAs was observed from the year 2013 to 2017 (χ2=5.271, P=0.261) (Fig. 1A). Subsequently, the percentage of pathological types over different age groups was analyzed (Fig. 1B). It was shown that rare pathological types (others), such as carcinoid, lymphoepithelial carcinoma and sarcoma, were common in patients <30 years of age (5/12; 41.7%), but the sample size was very small. The percentage of adenocarcinoma peaked at 30–39 years of age (71.2%; 37/52), then decreased with increasing age. The incidence of squamous cell carcinoma increased with age until 60 years old, then slowly decreased with increasing age. The ratio of small cell lung cancer (SCLC) decreased from 16.7% (2/12) in patients under 30 years of age to 3.8% (2/52) in the group aged 30–39 years, then increased with age until 60 years old and slowly decreased again with increasing age. During the study period, 10.5% (293/2,795) of patients had not been accurately diagnosed by immunohistochemical staining due to insufficient tumor cells in the biopsy, bronchoalveolar fluid or hydrothorax, and refused another invasive examination due to the lack of treatment willingness. The ratio of females was also analyzed over the five age groups, and it was shown that the proportion of females dropped markedly in the groups >50 years of age, with the exception of the group >80 years of age (Fig. 1C).

Figure 1.

(A) The ratio of AYAs in patients with lung malignancy presenting between 2013 and 2017. (B) Incidence of various histological types of lung malignancy in each age group. (C) The proportion of femalesamong the patients with lung malignancy in each age group. (D) The number of AYAs among the patients with lung adenocarcinoma per year between 2013 and 2017. (E) The proportion of femalesamong the patients with lung adenocarcinoma in each age group. AYAs, adolescents and young adults; ADC, adenocarcinoma; SCC, squamous cell carcinoma; SCLC, small cell lung cancer.

During the 5 years, 1,349 of the 2,795 lung malignancies (48.3%) were diagnosed as adenocarcinoma, with AYAs accounting for 18.6% (251/1,349) of cases. Similarly, the percentage of AYAs in lung adenocarcinoma remained stable between 2013 and 2017 (χ2=3.965; P=0.411) (Fig. 1D). In each of the three groups aged <50 years, the proportion of females was ≥50%; the group aged 30–39 years reached the highest percentage of 62.2% (23/37), then the rate dropped to <40% until the group aged >80 years, in which the ratio of females was >50% again (Fig. 1E).

Clinical features

Clinical characteristics and treatment patterns of lung adenocarcinoma were compared between AYAs and older adults (Table I). Compared with older adults, AYAs had a significantly higher proportion of females (52.2 vs. 37.4%; P<0.001) and non-smokers (66.9 vs. 41.3%; P<0.001). More AYAs were treated with first-line chemotherapy (29.5 vs. 21.4%; P=0.006) and targeted therapy (30.7 vs. 17.6%; P<0.001), while more older adults did not receive any antitumor therapy (39.1 vs. 14.7%; P<0.001). There was no difference in tumor stage between the two age groups. Targetable genomic mutation sequencing and targeted drugs were not covered by basic medical insurance until 2017 in China, and cisplatin-containing chemotherapy was the main available systematic treatment for lung cancer for 5 years. Our previous study (21) showed that old age was one of the factors independently associated with patients being untreated, and fear of the TRAEs of chemotherapy was the top reason.

Table I.

Clinical characteristics and treatment patterns of AYAs and older adults with lung adenocarcinoma.

Table I.

Clinical characteristics and treatment patterns of AYAs and older adults with lung adenocarcinoma.

VariablesAYAs (n=251)Older adults (n=1,098)P-value
Median age (range), years45 (41–48)63 (58–70) <0.001a,b
Sex, n (%) <0.001a
  Male120 (47.8)687 (62.6)
  Female131 (52.2)411 (37.4)
Smoking status, n (%) <0.001a
  Now/ever83 (33.1)644 (58.7)
  Never168 (66.9)454 (41.3)
Lobe, n (%) 0.192
  Right143 (57.0)677 (61.7)
  Left105 (41.8)398 (36.2)
  Bilateral3 (1.2)23 (2.1)
Location, n (%) 0.087
  Central24 (9.6)149 (13.6)
  Peripheral227 (90.4)949 (86.4)
Maximal lesion size, n (%) 0.329
  ≤3 cm86 (34.3)322 (29.3)
  ˃3 and ≤5 cm116 (46.2)575 (52.4)
  ˃5 and ≤7 cm41 (16.3)172 (15.7)
  ˃7 cm8 (3.2)29 (2.6)
TNM stage (8th AJCC), n (%) 0.535
  I24 (9.6)81 (7.4)
  II27 (10.8)138 (12.6)
  III47 (18.7)225 (20.5)
  IV153 (60.9)654 (59.5)
First-line treatment strategies, n (%)
  Surgery61 (24.3)220 (20.0)0.133
  Chemotherapy74 (29.5)235 (21.4)0.006a
  Targeted therapy77 (30.7)193 (17.6) <0.001a
  Other treatments2 (0.8)21 (1.9)0.336
  Untreated37 (14.7)429 (39.1) <0.001a

a P<0.05. All categorical variables were compared using χ2 or Fisher's exact test, as appropriate.

b The median age was compared using Mann-Whitney U test. AYAs, adolescents and young adults; AJCC, American Joint Committee on Cancer; TNM, Tumor-Node-Metastasis.

In comparing pathological characteristics of the two age groups that received complete resection (Table SI), AYAs were similar to older adults in terms of main microscopic pattern, T stage, N stage, Tumor-Node-Metastasis stage, and the ratio of patients with >5% of the micropapillary subtype in tumor tissue.

Information on targetable genomic mutations was obtained in 637 patients (124 AYAs and 513 older adults) (Table II). EGFR mutations (61.3 vs. 32.7%; P<0.001) and ALK rearrangements (11.3 vs. 5.5%; P=0.019) were more prevalent in AYAs, while KRAS mutations (12.7 vs. 4.8%; P=0.013) were more prevalent in older adults. Further analysis showed that EGFR 19Del was more prevalent in AYAs (53.9 vs. 42.9%; P=0.108), but the difference was not statistically significant, while EGFR L858R was more common in older adults (51.8 vs. 36.8%; P=0.030). The analysis revealed that the incidence of targetable genomic mutations was age-dependent and showed a clear decrease with increasing age (Fig. 2). In the youngest AYA patient group between 18 and 29 years of age, all 4 patients harbored targetable genomic mutations, while only 25% of patients 80 years and older harbored targetable genomic mutations.

Figure 2.

Incidence of L858R, 19Del, rare EGFR, ALK, ROS1 and KRAS mutations in each age group. EGFR, epidermal growth factor receptor; ALK, anaplastic lymphoma kinase; ROS1, ROS proto-oncogene 1 receptor tyrosine kinase; KRAS, KRAS proto-oncogene GTPase.

Table II.

Targetable genomic mutations of lung adenocarcinoma in AYAs and older adults.

Table II.

Targetable genomic mutations of lung adenocarcinoma in AYAs and older adults.

VariablesAYAs (n=124)Older adults (n=513)P value
Sex, n (%) <0.001a
  Male49 (39.5)295 (57.5)
  Female75 (60.5)218 (42.5)
EGFR, n (%) <0.001a
  Mutation76 (61.3)168 (32.7)0.080b
  19Del41 (53.9)72 (42.9)0.108
  L858R28 (36.8)87 (51.8)0.030a
  Others7 (9.2)9 (5.4)0.260
  Wild-type48 (38.7)345(67.3)-
ALK, n (%) 0.019a
  Mutation14 (11.3)28 (5.5)
  Wild-type110 (88.7)485 (94.5)
ROS1, n (%) NA
  Mutation1 (0.8)3 (0.6)
  Wild-type123 (99.2)510 (99.4)
KRAS, n (%) 0.013a
  Mutation6 (4.8)65 (12.7)
  Wild-type118 (95.2)448 (87.3)

a P<0.05. All categorical variables were compared using χ2 or Fisher's exact test, as appropriate.

b Multiple comparisons were performed to analyze the distribution of 19Del, L858R and other EGFR mutations between AYAs and older adults. AYAs, adolescents and young adults; NA, not available; EGFR, epidermal growth factor receptor; ALK, anaplastic lymphoma kinase; ROS1, ROS proto-oncogene 1 receptor tyrosine kinase; KRAS, KRAS proto-oncogene GTPase.

Efficacy and toxicity of systematic treatment

The objective response rate (ORR) of the two groups of patients stratified by first-line anti-EGFR, anti-ALK/ROS1 (crizotinib was the only drug approved for first-line use during the study period) and at least two cycles of cisplatin-containing chemotherapy was compared, as shown in Table III. There was no significant difference in ORR between the two groups after first-line anti-EGFR (70.3 vs. 76.8%; P=0.307) and anti-ALK/ROS1 (84.6 vs. 96.6%; P=0.222), while there was a higher ORR in AYAs than that of older adults (35.1 vs. 22.6%; P=0.030) in response to first-line cisplatin-containing chemotherapy.

Table III.

Clinical response following systemic treatment in AYAs and older adults.

Table III.

Clinical response following systemic treatment in AYAs and older adults.

TreatmentAYAsOlder adultsP-value
Anti-EGFRa
  CR8 (12.5)10 (6.1)
  PR37 (57.8)116 (70.7)
  SD15 (23.4)17 (10.4)
  PD4 (6.3)21 (12.8)
  ORR45 (70.3)126 (76.8)0.307
Anti-ALK/ROS1b
  CR2 (15.4)6 (20.7)
  PR9 (69.2)22 (75.9)
  SD2 (15.4)1 (3.4)
  PD0 (0.0)0 (0.0)
  ORR11 (84.6)28 (96.6)0.222
Chemotherapyc,d
  CR2 (2.7)4 (1.7)
  PR24 (32.4)49 (20.9)
  SD19 (25.7)76 (32.3)
  PD26 (35.1)84 (35.7)
  ORR26 (35.1)53 (22.6)0.030e

a AYAs, n=64; older adults, n=164.

b AYAs, n=13; older adults, n=29.

c AYAs, n=74; older adults, n=235.

d With or without radiotherapy or antiangiogenic agents such as bevacizumab.

e P<0.05. ORRs between AYAs and older adults for response to different systemic treatments were compared using the χ2 test. AYAs, adolescents and young adults; CR, complete response; PR, partial response; SD, stable disease; PD, progressive disease; ORR, objective response rate; EGFR, epidermal growth factor receptor; ALK, anaplastic lymphoma kinase; ROS1, ROS proto-oncogene 1 receptor tyrosine kinase.

There was no difference in the occurrence of grade 3–4 TRAEs between AYAs and older adults following anti-EGFR (32.8 vs. 27.4%; P=0.421) and anti-ALK/ROS1 (23.1 vs. 27.6%; P=0.942) treatment. Following treatment with cisplatin-containing chemotherapy, older adults more frequently developed grade 3–4 TRAEs than AYAs (52.7 vs. 66.4%; P=0.033) (Fig. 3). Furthermore, older adults more frequently developed grade 3–4 neutropenia than AYAs (14.9 vs. 28.9%; P=0.016), but the difference in the incidence of other grade 3–4 TRAEs between the two groups was not significant (Table SII).

Figure 3.

Incidence of grade 3–4 TRAEs following first-line systemic treatment for lung adenocarcinoma in AYAs and older adults. TRAEs, treatment-related adverse events; AYAs, adolescents and young adults; EGFR, epidermal growth factor receptor; ALK, anaplastic lymphoma kinase; ROS1, ROS proto-oncogene 1 receptor tyrosine kinase.

Prognosis and predictors of systematic treatment

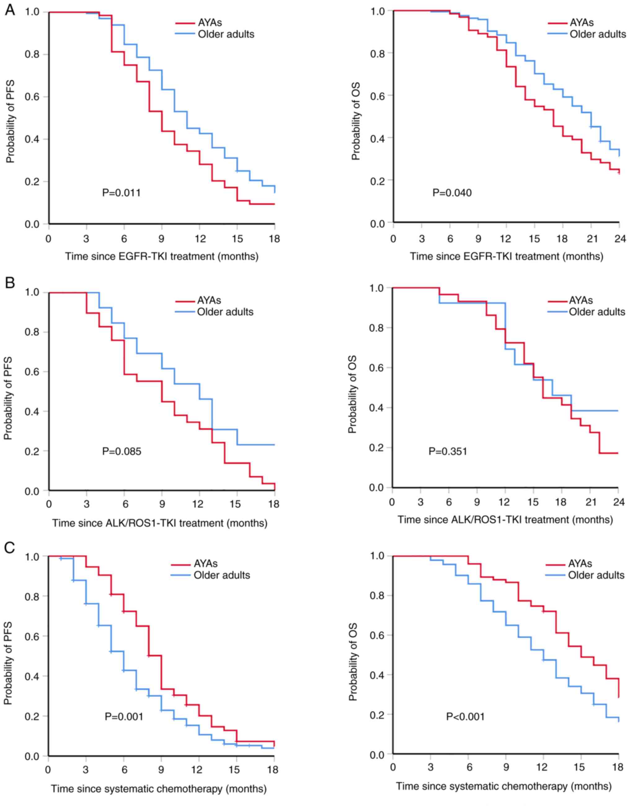
The prognosis of AYAs was significantly worse than that of older adults treated with first-line anti-EGFR, as shown in Fig. 4A. The PFS time was significantly shorter in AYAs than in older adults (median, 9 vs. 11 months; P=0.011). The OS time was also shorter in AYAs than in older adults (median, 17 vs. 21 months; P=0.040). In the multivariate survival analysis (Table IV), bone metastasis (HR, 2.021; 95% CI, 1.471-2.762; P<0.001), liver metastasis (HR, 5.154; 95% CI, 3.005-8.838; P<0.001) and the number of metastatic organs (HR, 1.772; 95% CI, 1.482-2.119; P<0.001) were negative predictors of PFS following first-line EGFR-TKI treatment, rather than age <50 years. Previous studies have indicated sex-based differences in survival in lung cancer (22–24). Therefore, sex was added to the multivariate model, but it was found to have a negligible impact on the results of the sex-adjusted multivariate model (Table IV). The metastasis patterns of the two groups were further compared. The results showed that there was no significant difference in the incidence of bone metastasis (53.1 vs. 45.1%; P=0.277) and liver metastasis (7.8 vs. 7.3%; P=0.898); however, the number of metastatic organs in AYAs was greater than that in older adults (P=0.015) (Table SIII).

Figure 4.

Survival curves were created by Kaplan-Meier survival analysis. PFS and OS of patients following (A) first-line EGFR-TKI treatment, (B) first-line ALK/ROS1-TKI treatment and (C) first-line systemic chemotherapy. The red line indicates AYAs and the blue line indicates older adults. P-values were calculated using the log-rank test. AYAs, adolescents and young adults; OS, overall survival; PFS, progression-free survival; EGFR, epidermal growth factor receptor; ALK, anaplastic lymphoma kinase; ROS1, ROS proto-oncogene 1 receptor tyrosine kinase; TKI, tyrosine kinase inhibitor.

Table IV.

Multivariate Cox regression analysis for predictors of progression-free survival of patients following EGFR-tyrosine kinase inhibitor treatment.

Table IV.

Multivariate Cox regression analysis for predictors of progression-free survival of patients following EGFR-tyrosine kinase inhibitor treatment.

Univariate Cox regressionMultivariate analysisSex-adjusted multivariate analysis



VariablesHR (95% CI)P-valueHR (95% CI)P-valueHR (95% CI)P-value
Age (<50 vs. ≥50 years)1.385 (1.028-1.866)0.032a1.276 (0.938-1.737)0.121
Sex (male vs. female)0.939 (0.711-1.240)0.657
EGFR mutation site
  19del1.091 (0.834-1.428)0.524
  L858R0.829 (0.633-1.086)0.173
  Others1.600 (0.944-2.712)0.081
  Location of tumor (central vs. peripheral)1.491 (0.966-2.303)0.071
  Smoking behavior (yes vs. no)0.865 (0.634-1.181)0.361
Maximal lesion size, n (%)
  ≤3 cmReference
  ˃3 and ≤5 cm0.875 (0.420-1.822)0.721
  ˃5 and ≤7 cm0.715 (0.348-1.470)0.362
  ˃7 cm0.748 (0.346-1.619)0.461
Metastatic organs
  Bone2.686 (2.017-3.576) <0.001a2.021 (1.471-2.762) <0.001a2.074 (1.506-2.858) <0.001a
  Lung1.395 (1.062-1.833)0.017a1.275 (0.925-1.758)0.138
  Pleura1.272 (0.967-1.674)0.085
  Liver3.519 (2.090-5.923) <0.001a5.154 (3.005-8.838) <0.001a5.285 (3.075-9.085) <0.001a
  Brain1.103 (0.823-1.479)0.511
  Renicapsule1.694 (1.000-2.872)0.050
  Number of metastatic organs (reference=0 metastatic organs)2.021 (1.721-2.373) <0.001a1.772 (1.482-2.119) <0.001a1.764 (1.474-2.112) <0.001a

a P<0.05. Multivariate analysis adjusted variables: Age <50 years, location of tumor, uncommon EGFR mutations (others), bone metastasis, lung metastasis, pleura metastasis, liver metastasis, renicapsule metastasis and number of metastatic organs.

After first-line anti-ALK/ROS1 treatment, there was no significant difference in PFS and OS time between the two groups, as shown in Fig. 4B. The median PFS time was 9 months (95% CI, 5.9-12.5) in the AYAs and 12 months (95% CI, 8.5-15.5) in older adults (P=0.085). The mOS time was 16 months (95% CI, 14.3-17.8) in the AYAs and 17 months (95% CI, 10.0-24.0) in the older adults (P=0.351). Due to the small sample size, predictors of survival of first-line anti-ALK/ROS1 treatment could not be evaluated.

Compared with older adults, AYAs exhibited PFS and OS advantages following first-line cisplatin-containing chemotherapy (Fig. 4C), with a longer PFS time (median, 9 vs. 6 months; P=0.001) and OS time (median, 15 vs. 12 months; P<0.001). As patients may receive different cycles and chemotherapy regimens, multivariate Cox regression was performed to evaluate predictors of OS rather than PFS following cisplatin-containing chemotherapy. The results showed that liver metastasis (HR, 2.635; 95% CI, 1.542-4.504; P<0.001), brain metastasis (HR, 1.571; 95% CI, 1.058-2.332; P=0.025) and the number of metastatic organs (HR, 1.723; 95% CI, 1.500-1.979; P<0.001) were negative predictors of OS, while age <50 years was a positive predictor (HR, 0.706; 95% CI, 0.539-0.925; P=0.012) (Table V). The sex-adjusted results also showed that sex had no impact on the multivariate analysis of OS in patients who received first-line cisplatin-containing chemotherapy (Table V).

Table V.

Multivariate Cox regression analysis for predictors of overall survival of patients following systematic chemotherapy.

Table V.

Multivariate Cox regression analysis for predictors of overall survival of patients following systematic chemotherapy.

Univariate Cox regressionMultivariate analysisSex-adjusted multivariate analysis



VariablesHR (95% CI)P-valueHR (95% CI)P-valueHR (95% CI)P-value
Age (<50 vs. ≥50 years)0.720 (0.550-0.941)0.016a0.706 (0.539-0.925)0.012a0.708 (0.536-0.934)0.015a
Sex (male vs. female)1.259 (0.958-1.654)0.098
Location of tumor (central vs. peripheral)1.174 (0.834-1.653)0.357
Smoking behavior (yes vs. no)1.663 (1.320-2.094) <0.001a0.960 (0.725-1.272)0.778
Maximal lesion size, n (%)
  ≤3 cmReference
  ˃3 and ≤5 cm0.607 (0.299-1.234)0.168
  ˃5 and ≤7 cm0.992 (0.505-1.948)0.980
  ˃7 cm1.727 (0.867-3.442)0.120
Metastatic organs
  Bone2.177 (1.676-2.829) <0.001a1.262 (0.817-1.950)0.237
  Lung2.104 (1.617-2.737) <0.001a1.378 (0.906-2.096)0.134
  Pleura1.823 (1.352-2.458) <0.001a0.958 (0.723-1.268)0.762
  Liver5.408 (3.238-9.034) <0.001a2.635 (1.542-4.504)˂0.001a2.639 (1.542-4.517) <0.001a
  Brain2.914 (2.043-4.157) <0.001a1.571 (1.058-2.332)0.025a1.572 (1.058-2.337)0.025a
  Renicapsule1.557 (1.052-2.305)0.027a1.286 (0.820-2.017)0.272
  Number of metastatic organs (reference=0 metastatic organs)1.890 (1.676-2.132) <0.001a1.723 (1.500-1.979) <0.001a1.721 (1.496-1.980) <0.001a

a P<0.05. Multivariate analysis adjusted variables: Age <50 years, sex, smoking behavior, bone metastasis, lung metastasis, pleura metastasis, liver metastasis, brain metastasis, renicapsule metastasis and number of metastatic organs.

Discussion

Adenocarcinoma is the most common pathological type of lung cancer, accounting for about one-half of all lung cancer cases (25,26). Together with the other pathological types of lung cancer, lung adenocarcinoma mainly occurs in older patients, but it is not uncommon in adolescents or young adults <50 years old (27,28). The present study observed that AYAs accounted for 18.6% of lung adenocarcinoma, with a stable tendency between 2013 and 2017. This study, with its large cohort of patients with lung adenocarcinoma, explored the incidence, clinical characteristics, targetable genomic mutations and prognosis of AYAs. Furthermore, the large number of patients in the cohort provided statistical power of data analysis on predictors of survival stratified by first-line treatment patterns. AYAs with lung adenocarcinoma were more frequently female and non-smokers. Targetable genomic mutations were more prevalent in AYAs, while KRAS mutations were more prevalent in older adults. There was no difference in efficacy and toxicity response to targeted therapy between AYAs and older adults, but older adults experienced a higher incidence of grade 3–4 TRAEs and a lower ORR following chemotherapy. Genomic profiling, efficacy and toxicity response to chemotherapy translated into distinct first-line treatment patterns, where more AYAs were treated with targeted therapy and systematic chemotherapy, while more older adults refused medical treatment. Patients with lung adenocarcinoma and co-existing bone metastasis, liver metastasis and a larger number of metastatic organs, rather than those of a younger age, experienced a shorter PFS time following first-line EGFR-TKI treatment. By contrast, there were PFS and OS advantages for AYAs over older adults in terms of the response to chemotherapy, and an age <50 years was shown to be a positive predictor of OS.

To date, the historical pattern of a higher incidence of lung cancer among men has never reversed, which is an attribute likely to be associated with differences in smoking behaviors. Consistent with most previous reports (29–31), the present study found that there was a significantly higher proportion of females among the AYAs than among the older adults, and nearly all of the females in this cohort were non-smokers. Therefore, this sex difference could not be explained by smoking behavior at all. Some studies have indicated the potential contribution of second-hand smoke, residential radon gas and cooking oil fumes to the early onset of lung cancer in females (30–32), but these hypotheses lack direct evidence. Some hypotheses have proposed that women may be more susceptible to the deleterious effects of tobacco carcinogens (33). However, several prospective studies have not been able to replicate any results showing that women were at a higher risk of lung cancer than men at comparable levels of exposure to cigarette smoking (34,35). Zhang et al (36) also found that no smoking-related genomic changes were detected in lung cancer from passive smoking. Therefore, it is necessary to further explore other etiologies that could be responsible for the higher incidence of lung adenocarcinoma in young women compared with young men.

The present study did not detect a significant difference in the distribution of histological subtype in completely resected lung adenocarcinoma between the two age groups studied. However, the genomic profiling of AYAs was significantly different from that of older adults. AYAs more frequently harbored EGFR and ALK mutations compared with older adults, while more older adults presented with KRAS mutations. Furthermore, the study revealed that the presence of targetable genomic mutations was age-dependent and that the incidence decreased with increasing age. Previous studies have shown conflicting results on the incidence of EGFR mutation in young patients when compared with the older population. Some previous Asian studies showed that the incidence of EGFR mutations in young patients with lung adenocarcinoma was higher than that of old patients (37,38). However, a prospective epidemiological survey on EGFR mutations in Asian patients with lung adenocarcinoma did not find any significant correlation with age (39). Nevertheless, the study included patients from seven Asian regions, among which the incidence of EGFR mutations fluctuates from 22.2% in India to 64.2% in Vietnam. Therefore, the results of the univariate analysis of age might be influenced by ethnicity. There were also very few studies that showed that the incidence of EGFR mutations in young patients was lower than that in old patients (11,40). The striking finding of these studies was that the ALK mutation was the most common targetable genomic mutation in young patients, with significantly higher levels than those of older patients. In addition, the present study demonstrated a different distribution of EGFR mutation genotypes of lung adenocarcinoma between the two age groups. The study showed that EGFR-19del was comparatively common in AYAs (but not significantly different), while EGFR-L858R was more prevalent in older adults, consistent with previous Asian estimates (11,40,41). The IPASS and ENSURE studies have shown that a subset of tumors with EGFR-19del had better clinical outcomes than L858R tumors following EGFR-TKI treatment (42,43). Nevertheless, the present study did not find a PFS advantage for AYAs benefiting from EGFR-19del. The statistically non-significant difference in the incidence of EGFR-19del between the two age groups and the fact that AYAs more frequently presented with uncommon EGFR mutations (9.2 vs. 5.4%) might weaken the advantages from the genomic subset. The prevalence of ALK rearrangement is as much as 3–6% in lung adenocarcinoma, ranking only second to EGFR (44,45). The present findings support those of most previous studies that found ALK mutation to be more abundant in AYAs than in older adults. Mutations in EGFR and ALK may generally be early events during the carcinogenesis of lung adenocarcinoma, appearing several years before the tumors are clinically evident (32,46). A possible explanation for targetable genomic mutations being more prevalent in AYAs than in older adults may be that mutations of EGFR and ALK are not only the characteristic of young patients but also the genomic etiologies of the early onset of cancer.

Due to the lower ratio of patients with targetable genomic mutations in older adults, cisplatin-containing chemotherapy is supposed to be a standard treatment according to clinical practice guidelines. However, in the present study, a lower proportion of patients receiving chemotherapy and a significantly higher proportion of untreated patients was observed in older adults compared with that in AYAs. Stinchcombe et al (47) previously indicated that chemotherapy was more toxic to older patients, with shorter OS time and a higher mortality rate during treatment compared with that of young patients. The finding of the present study indicated a similar conclusion that older adults suffered from more grade 3–4 TRAEs resulting from chemotherapy, which may be responsible for a considerable number of patients remaining untreated. In addition, the study indeed showed that an age of ≥50 years was one of the negative predictors of OS response to chemotherapy. A total of 28.9% of older adults suffered from grade 3–4 neutropenia following chemotherapy, suggesting that older patients receiving chemotherapy should be cautious of hematotoxicity. Conventional cytotoxic chemotherapeutic agents suffer from extensive toxicity (48), which in numerous instances has limited their clinical utilization. In the past decade, conventional cytotoxic drugs have gradually been supplanted by chemotherapy-free regimens comprising diverse immunotherapy and/or targeted agents (49,50). It has been reported that KRAS signaling may stabilize programmed death-ligand 1 mRNA by post-transcriptional regulation; therefore, it was identified as a positive predictive biomarker for tumor response to first-line immune checkpoint inhibitors, especially when co-existing with tumor protein p53 mutation (51,52). Moreover, small molecule antiangiogenic drugs, such as arotinib, combined with programmed cell death protein 1 blockade, have achieved encouraging efficacy and manageable toxicity in negative driver gene mutation non-SCLC (NSCLC) (53). This indicates that chemotherapy-free regimens should be performed in first-line rather than second- or later-line treatments of relapsed cancer in old patients.

Prognosis in young patients with lung adenocarcinoma compared with that in older patients is controversial. This is probably influenced by treatment patterns according to the stage and genomic profiling. In the current study, most of the patients with lung adenocarcinoma presented with metastatic disease; thus, systematic treatments, such as targeted therapy and chemotherapy, were the main first-line treatment patterns. The present study investigated the predictors and prognosis of lung adenocarcinoma stratified by treatment patterns. A significantly worse prognosis was observed for AYAs treated with first-line EGFR-TKIs compared with older adults. Between 2013 and 2017, only one generation of EGFR-TKIs, including gefitinib, erlotinib and icotinib, were approved for first-line treatment in lung cancer with EGFR mutations. Therefore, the differences in drugs could not be responsible for the discrepancy in survival. These results were consistent with previous studies. Although these studies used different age cut-off values to define AYA patients, their results showed that young patients with lung cancer have a poor prognosis even if they harbor EGFR mutations (5,10,12). The same phenomenon was observed in patients with other tumors. Panian et al (54) observed that, although OS time was similar between age groups, younger individuals with advanced renal cell carcinoma treated with targeted therapy had a shorter PFS time. The present study showed that bone metastasis, liver metastasis and the number of metastatic organs, rather than age, were independent predictors of PFS following EGFR-TKI treatment. Further analysis revealed that a higher number of metastatic organs at the time of the initial cancer diagnosis in AYAs indirectly contributed to a shorter PFS time. A study by Bryant and Cerfolio (55) not only found that young patients were more likely to be symptomatic at the time of diagnosis, which generally indicated an advanced disease stage, but also emphasized a greater delay in seeking medical treatment in this population. In addition, Zhang et al (36) and Durham et al (56) revealed that cells with activating receptor tyrosine kinase have an incomparable advantage in terms of growth. Accordingly, the delay in diagnosis and rapid progress of cancer with EGFR mutations predisposed patients to a high tumor load, which led to a worse prognosis. This indicates that more aggressive treatments should be added to EGFR-TKIs to improve the prognosis of AYAs. Adding the use of immunotherapy in patients harboring targetable genotypes remains controversial. However, most published reports found that compared with EGFR-TKIs alone, EGFR-TKIs combined with platinum plus pemetrexed improved the PFS and OS time of untreated advanced NSCLC with EGFR mutations, but possibly increased the toxicity (57–59). The present study indicated that EGFR-TKIs combined with chemotherapy should be given higher priority in AYAs for the following two reasons: i) A worse prognosis of AYAs with EGFR mutations resulted in a demand for more aggressive treatments; and ii) the lower incidence of grade 3–4 TRAEs in AYAs receiving chemotherapy resulted in more favorable tolerability (57,60,61).

There are certain limitations to the present study. Firstly, there are several limitations inherent to a real-world retrospective study, including potential misclassification of diagnostic records, non-standard clinical data on disease staging and dose reduction in chemotherapy-treated patients to avoid medical risks. Secondly, this study was conducted at a single institution, and a single geographic and demographic location limits the representativeness of the results. Thirdly, in second-line and subsequent line treatments, the crossover of targeted therapy and chemotherapy was not taken into account in this study, which may result in potential unreliability in OS data. Fourthly, targetable genomic alteration sequencing was not performed in all patients during the 5 years. Furthermore, some patients with lung cancer were excluded due to an inaccurate pathological diagnosis. The proportion of AYAs may have been overestimated, as older patients were more likely to abandon treatment.

In conclusion, lung adenocarcinoma in young patients <50 years of age is a common entity that harbors distinctive clinical and genomic characteristics. Although targetable genomic mutations have a higher prevalence in young patients, the AYAs frequently presented with multi-organ metastasis indirectly responsible for a worse prognosis following EGFR-TKI treatment. An age of <50 years is the predominant positive factor that is associated with OS time in patients receiving first-line chemotherapy. The present study results support the combination of EGFR-TKIs and chemotherapy as a potential treatment pattern for young patients with lung adenocarcinoma and EGFR mutations.

Supplementary Material

Supporting Data

Acknowledgements

Not applicable.

Funding

Funding: No funding was received.

Availability of data and materials

The datasets used and/or analyzed during the current study are available from the corresponding author on reasonable request.

Authors' contributions

SY and LZ were responsible for study conception and design. LZ and HL performed the collection, analysis and interpretation of the data. LZ and SY drafted the manuscript. LZ, HL and SY confirm the authenticity of all the raw data. All authors have read and approved the final manuscript.

Ethics approval and consent to participate

Ethical approval was obtained from the Institutional Ethics Committee of YueBei People's Hospital and is not considered subject to the Medical Research Involving Human Subjects Act.

Patient consent for publication

Not applicable.

Competing interests

The authors declare that they have no competing interests.

References

1 

Sung H, Ferlay J, Siegel RL, Laversanne M, Soerjomataram I, Jemal A and Bray F: Global cancer statistics 2020: GLOBOCAN estimates of incidence and mortality worldwide for 36 cancers in 185 countries. CA Cancer J Clin. 71:209–249. 2021. View Article : Google Scholar : PubMed/NCBI

2 

Lara MS, Brunson A, Wun T, Tomlinson B, Qi L, Cress R, Gandara DR and Kelly K: Predictors of survival for younger patients less than 50 years of age with non-small cell lung cancer (NSCLC): A California cancer registry analysis. Lung Cancer. 85:264–269. 2014. View Article : Google Scholar : PubMed/NCBI

3 

Inoue M, Okumura M, Sawabata N, Miyaoka E, Asamura H, Yoshino I, Tada H, Fujii Y, Nakanishi Y, Eguchi K, et al: Clinicopathological characteristics and surgical results of lung cancer patients aged up to 50 years: The Japanese lung cancer registry study 2004. Lung Cancer. 83:246–251. 2014. View Article : Google Scholar : PubMed/NCBI

4 

Ramalingam S, Pawlish K, Gadgeel S, Demers R and Kalemkerian GP: Lung cancer in young patients: Analysis of a surveillance, epidemiology, and end results database. J Clin Oncol. 16:651–657. 1998. View Article : Google Scholar : PubMed/NCBI

5 

Yang S, Song Z and Cheng G: Genomic alterations and survival in young patients aged under 40 years with completely resected non-small cell lung cancer. Ann Transl Med. 7:1402019. View Article : Google Scholar : PubMed/NCBI

6 

Bratova M, Brat K, Hurdalkova K, Barinova M, Drosslerova M, Kultan J, Wanke M, Koubkova L, Krejci J and Svaton M: Lung cancer versus ‘young cancer’: Is non-small cell lung cancer in young patients a different entity? J Adolesc Young Adult Oncol. Nov 2–2021.(Epub ahead of print). View Article : Google Scholar : PubMed/NCBI

7 

Arnold BN, Thomas DC, Rosen JE, Salazar MC, Blasberg JD, Boffa DJ, Detterbeck FC and Kim AW: Lung cancer in the very young: Treatment and survival in the national cancer data base. J Thorac Oncol. 11:1121–1131. 2016. View Article : Google Scholar : PubMed/NCBI

8 

Subramanian J, Morgensztern D, Goodgame B, Baggstrom MQ, Gao F, Piccirillo J and Govindan R: Distinctive characteristics of non-small cell lung cancer (NSCLC) in the young: A surveillance, epidemiology, and end results (SEER) analysis. J Thorac Oncol. 5:23–28. 2010. View Article : Google Scholar : PubMed/NCBI

9 

Viñal D, Martínez D, Higuera O and de Castro J: Genomic profiling in non-small-cell lung cancer in young patients. A systematic review. ESMO Open. 6:1000452021. View Article : Google Scholar : PubMed/NCBI

10 

Garrana SH, Dagogo-Jack I, Cobb R, Kuo AH, Mendoza DP, Zhang EW, Heeger A, Sequist LV and Digumarthy SR: Clinical and imaging features of non-small-cell lung cancer in young patients. Clin Lung Cancer. 22:23–31. 2021. View Article : Google Scholar : PubMed/NCBI

11 

Chen L, Hu X, Wu H, Liu J, Mu X, Wu H and Zhao Y: Unique profiles of targetable genomic alterations and prognosis in young Chinese patients with lung adenocarcinoma. Pathol Res Pract. 215:1524072019. View Article : Google Scholar : PubMed/NCBI

12 

Sacher AG, Dahlberg SE, Heng J, Mach S, Jänne PA and Oxnard GR: Association between younger age and targetable genomic alterations and prognosis in non-small-cell lung cancer. JAMA Oncol. 2:313–320. 2016. View Article : Google Scholar : PubMed/NCBI

13 

Pan X, Lv T, Zhang F, Fan H, Liu H and Song Y: Frequent genomic alterations and better prognosis among young patients with non-small-cell lung cancer aged 40 years or younger. Clin Transl Oncol. 20:1168–1174. 2018. View Article : Google Scholar : PubMed/NCBI

14 

Xia W, Wang A, Jin M, Mao Q, Xia W, Dong G, Chen B, Ma W, Xu L and Jiang F: Young age increases risk for lymph node positivity but decreases risk for non-small cell lung cancer death. Cancer Manag Res. 10:41–48. 2018. View Article : Google Scholar : PubMed/NCBI

15 

Hu M, Tan J, Liu Z, Li L, Zhang H, Zhao D, Li B, Gao X, Che N and Zhang T: Comprehensive comparative molecular characterization of young and old lung cancer patients. Front Oncol. 11:8068452021. View Article : Google Scholar : PubMed/NCBI

16 

Zhou Q, Fan Y, Wang Y, Qiao Y, Wang G, Huang Y, Wang X, Wu N, Zhang G, Zheng X, et al: China national lung cancer screening guideline with low-dose computed tomography (2018 version). Zhongguo Fei Ai Za Zhi. 21:67–75. 2018.(In Chinese). PubMed/NCBI

17 

Zhou QH, Fan YG, Bu H, Wang Y, Wu N, Huang YC, Wang G, Wang XY and Qiao YL: China national lung cancer screening guideline with low-dose computed tomography (2015 version). Thorac Cancer. 6:812–818. 2015. View Article : Google Scholar : PubMed/NCBI

18 

Expert Panel on Thoracic Imaging, . de Groot PM, Chung JH, Ackman JB, Berry MF, Carter BW, Colletti PM, Hobbs SB, McComb BL, Movsas B, et al: ACR appropriateness criteria® noninvasive clinical staging of primary lung cancer. J Am Coll Radiol. 16 (5 Suppl):S184–S195. 2019. View Article : Google Scholar : PubMed/NCBI

19 

Morse B, Jeong D, Ihnat G and Silva AC: Pearls and pitfalls of response evaluation criteria in solid tumors (RECIST) v1.1 non-target lesion assessment. Abdom Radiol (NY). 44:766–774. 2019. View Article : Google Scholar : PubMed/NCBI

20 

Chen AP, Setser A, Anadkat MJ, Cotliar J, Olsen EA, Garden BC and Lacouture ME: Grading dermatologic adverse events of cancer treatments: The common terminology criteria for adverse events version 4.0. J Am Acad Dermatol. 67:1025–1039. 2012. View Article : Google Scholar : PubMed/NCBI

21 

Yang S, Du R, Huang M, Wan R, Li W and Zhou L: Analysis of sociodemographic and clinical factors influencing the treatment compliance of patients with lung cancer. J Pract Med. 36:2714–2719. 2020.(In Chinese).

22 

Pinto JA, Vallejos CS, Raez LE, Mas LA, Ruiz R, Torres-Roman JS, Morante Z, Araujo JM, Gómez HL, Aguilar A, et al: Gender and outcomes in non-small cell lung cancer: An old prognostic variable comes back for targeted therapy and immunotherapy? ESMO Open. 3:e0003442018. View Article : Google Scholar : PubMed/NCBI

23 

Ragavan M and Patel MI: The evolving landscape of sex-based differences in lung cancer: A distinct disease in women. Eur Respir Rev. 31:2101002022. View Article : Google Scholar : PubMed/NCBI

24 

Mederos N, Friedlaender A, Peters S and Addeo A: Gender-specific aspects of epidemiology, molecular genetics and outcome: Lung cancer. ESMO Open. 5 (Suppl 4):e0007962020. View Article : Google Scholar : PubMed/NCBI

25 

Campbell JD, Alexandrov A, Kim J, Wala J, Berger AH, Pedamallu CS, Shukla SA, Guo G, Brooks AN, Murray BA, et al: Distinct patterns of somatic genome alterations in lung adenocarcinomas and squamous cell carcinomas. Nat Genet. 48:607–616. 2016. View Article : Google Scholar : PubMed/NCBI

26 

Tavernari D, Battistello E, Dheilly E, Petruzzella AS, Mina M, Sordet-Dessimoz J, Peters S, Krueger T, Gfeller D, Riggi N, et al: Nongenetic evolution drives lung adenocarcinoma spatial heterogeneity and progression. Cancer Discov. 11:1490–1507. 2021. View Article : Google Scholar : PubMed/NCBI

27 

Huang J, Deng Y, Tin MS, Lok V, Ngai CH, Zhang L, Lucero-Prisno DE III, Xu W, Zheng ZJ, Elcarte E, et al: Distribution, risk factors, and temporal trends for lung cancer incidence and mortality: A global analysis. Chest. 161:1101–1111. 2022. View Article : Google Scholar : PubMed/NCBI

28 

Siegel RL, Miller KD and Jemal A: Cancer statistics, 2018. CA Cancer J Clin. 68:7–30. 2018. View Article : Google Scholar : PubMed/NCBI

29 

Galvez-Nino M, Ruiz R, Pinto JA, Roque K, Mantilla R, Raez LE and Mas L: Lung cancer in the young. Lung. 198:195–200. 2020. View Article : Google Scholar : PubMed/NCBI

30 

Thomas A, Chen Y, Yu T, Jakopovic M and Giaccone G: Trends and characteristics of young non-small cell lung cancer patients in the United States. Front Oncol. 5:1132015. View Article : Google Scholar : PubMed/NCBI

31 

Fidler-Benaoudia MM, Torre LA, Bray F, Ferlay J and Jemal A: Lung cancer incidence in young women vs. young men: A systematic analysis in 40 countries. Int J Cancer. 147:811–819. 2020. View Article : Google Scholar : PubMed/NCBI

32 

Ruano-Ravina A, Varela Lema L, García Talavera M, García Gómez M, González Muñoz S, Santiago-Pérez MI, Rey-Brandariz J, Barros-Dios J and Pérez-Ríos M: Lung cancer mortality attributable to residential radon exposure in Spain and its regions. Environ Res. 199:1113722021. View Article : Google Scholar : PubMed/NCBI

33 

Risch HA, Howe GR, Jain M, Burch JD, Holowaty EJ and Miller AB: Are female smokers at higher risk for lung cancer than male smokers? A case-control analysis by histologic type. Am J Epidemiol. 138:281–293. 1993. View Article : Google Scholar : PubMed/NCBI

34 

Freedman ND, Leitzmann MF, Hollenbeck AR, Schatzkin A and Abnet CC: Cigarette smoking and subsequent risk of lung cancer in men and women: Analysis of a prospective cohort study. Lancet Oncol. 9:649–656. 2008. View Article : Google Scholar : PubMed/NCBI

35 

Bain C, Feskanich D, Speizer FE, Thun M, Hertzmark E, Rosner BA and Colditz GA: Lung cancer rates in men and women with comparable histories of smoking. J Natl Cancer Inst. 96:826–834. 2004. View Article : Google Scholar : PubMed/NCBI

36 

Zhang T, Joubert P, Ansari-Pour N, Zhao W, Hoang PH, Lokanga R, Moye AL, Rosenbaum J, Gonzalez-Perez A, Martínez-Jiménez F, et al: Genomic and evolutionary classification of lung cancer in never smokers. Nat Genet. 53:1348–1359. 2021. View Article : Google Scholar : PubMed/NCBI

37 

Hou H, Zhang C, Qi X, Zhou L, Liu D, Lv H, Li T, Sun D and Zhang X: Distinctive targetable genotypes of younger patients with lung adenocarcinoma: A cBioPortal for cancer genomics data base analysis. Cancer Biol Ther. 21:26–33. 2020. View Article : Google Scholar : PubMed/NCBI

38 

He CH, Shih JF, Lai SL and Chen YM: Non-small cell lung cancer in the very young: Higher EGFR/ALK mutation proportion than the elder. J Chin Med Assoc. 83:461–465. 2020. View Article : Google Scholar : PubMed/NCBI

39 

Shi Y, Au JS, Thongprasert S, Srinivasan S, Tsai CM, Khoa MT, Heeroma K, Itoh Y, Cornelio G and Yang PC: A prospective, molecular epidemiology study of EGFR mutations in Asian patients with advanced non-small-cell lung cancer of adenocarcinoma histology (PIONEER). J Thorac Oncol. 9:154–162. 2014. View Article : Google Scholar : PubMed/NCBI

40 

Tanaka K, Hida T, Oya Y, Yoshida T, Shimizu J, Mizuno T, Kuroda H, Sakakura N, Yoshimura K, Horio Y, et al: Unique prevalence of oncogenic genetic alterations in young patients with lung adenocarcinoma. Cancer. 123:1731–1740. 2017. View Article : Google Scholar : PubMed/NCBI

41 

Ye T, Pan Y, Wang R, Hu H, Zhang Y, Li H, Wang L, Sun Y and Chen H: Analysis of the molecular and clinicopathologic features of surgically resected lung adenocarcinoma in patients under 40 years old. J Thorac Dis. 6:1396–1402. 2014.PubMed/NCBI

42 

Fukuoka M, Wu YL, Thongprasert S, Sunpaweravong P, Leong SS, Sriuranpong V, Chao TY, Nakagawa K, Chu DT, Saijo N, et al: Biomarker analyses and final overall survival results from a phase III, randomized, open-label, first-line study of gefitinib versus carboplatin/paclitaxel in clinically selected patients with advanced non-small-cell lung cancer in Asia (IPASS). J Clin Oncol. 29:2866–2874. 2011. View Article : Google Scholar : PubMed/NCBI

43 

Wu YL, Zhou C, Liam CK, Wu G, Liu X, Zhong Z, Lu S, Cheng Y, Han B, Chen L, et al: First-line erlotinib versus gemcitabine/cisplatin in patients with advanced EGFR mutation-positive non-small-cell lung cancer: Analyses from the phase III, randomized, open-label, ENSURE study. Ann Oncol. 26:1883–1889. 2015. View Article : Google Scholar : PubMed/NCBI

44 

Soda M, Choi YL, Enomoto M, Takada S, Yamashita Y, Ishikawa S, Fujiwara S, Watanabe H, Kurashina K, Hatanaka H, et al: Identification of the transforming EML4-ALK fusion gene in non-small-cell lung cancer. Nature. 448:561–566. 2007. View Article : Google Scholar : PubMed/NCBI

45 

Solomon BJ, Mok T, Kim DW, Wu YL, Nakagawa K, Mekhail T, Felip E, Cappuzzo F, Paolini J, Usari T, et al: First-line crizotinib versus chemotherapy in ALK-positive lung cancer. N Engl J Med. 371:2167–2177. 2014. View Article : Google Scholar : PubMed/NCBI

46 

Tang WF, Fu R, Liang Y, Lin JS, Qiu ZB, Wu YL and Zhong WZ: Genomic evolution of lung cancer metastasis: Current status and perspectives. Cancer Commun (Lond). 41:1252–1256. 2021. View Article : Google Scholar : PubMed/NCBI

47 

Stinchcombe TE, Zhang Y, Vokes EE, Schiller JH, Bradley JD, Kelly K, Curran WJ Jr, Schild SE, Movsas B, Clamon G, et al: Pooled analysis of individual patient data on concurrent chemoradiotherapy for stage III non-small-cell lung cancer in elderly patients compared with younger patients who participated in US national cancer institute cooperative group studies. J Clin Oncol. 35:2885–2892. 2017. View Article : Google Scholar : PubMed/NCBI

48 

Schiller JH, Harrington D, Belani CP, Langer C, Sandler A, Krook J, Zhu J and Johnson DH; Eastern Cooperative Oncology Group, : Comparison of four chemotherapy regimens for advanced non-small-cell lung cancer. N Engl J Med. 346:92–98. 2002. View Article : Google Scholar : PubMed/NCBI

49 

Zhou Y, Zhang Y, Guo G, Cai X, Yu H, Cai Y, Zhang B, Hong S and Zhang L: Nivolumab plus ipilimumab versus pembrolizumab as chemotherapy-free, first-line treatment for PD-L1-positive non-small cell lung cancer. Clin Transl Med. 10:107–115. 2020. View Article : Google Scholar : PubMed/NCBI

50 

Klener P Jr, Etrych T and Klener P: Biological therapy of hematologic malignancies: Toward a chemotherapy-free era. Curr Med Chem. 26:1002–1018. 2019. View Article : Google Scholar : PubMed/NCBI

51 

Coelho MA, de Carné, Trécesson S, Rana S, Zecchin D, Moore C, Molina-Arcas M, East P, Spencer-Dene B, Nye E, Barnouin K, et al: Oncogenic RAS signaling promotes tumor immunoresistance by stabilizing PD-L1 mRNA. Immunity. 47:1083–1099.e6. 2017. View Article : Google Scholar : PubMed/NCBI

52 

Adderley H, Blackhall FH and Lindsay CR: KRAS-mutant non-small cell lung cancer: Converging small molecules and immune checkpoint inhibition. EBioMedicine. 41:711–716. 2019. View Article : Google Scholar : PubMed/NCBI

53 

Zhang X, Zeng L, Li Y, Xu Q, Yang H, Lizaso A, Mao X, Jin R, Zeng Y, Li Q, et al: Anlotinib combined with PD-1 blockade for the treatment of lung cancer: A real-world retrospective study in China. Cancer Immunol Immunother. 70:2517–2528. 2021. View Article : Google Scholar : PubMed/NCBI

54 

Panian J, Lin X, Simantov R, Derweesh I, Choueiri TK and McKay RR: The impact of age and gender on outcomes of patients with advanced renal cell carcinoma treated with targeted therapy. Clin Genitourin Cancer. 18:e598–e609. 2020. View Article : Google Scholar : PubMed/NCBI

55 

Bryant AS and Cerfolio RJ: Differences in outcomes between younger and older patients with non-small cell lung cancer. Ann Thorac Surg. 85:1735–1739. 2008. View Article : Google Scholar : PubMed/NCBI

56 

Durham BH, Lopez Rodrigo E, Picarsic J, Abramson D, Rotemberg V, De Munck S, Pannecoucke E, Lu SX, Pastore A, Yoshimi A, et al: Activating mutations in CSF1R and additional receptor tyrosine kinases in histiocytic neoplasms. Nat Med. 25:1839–1842. 2019. View Article : Google Scholar : PubMed/NCBI

57 

Noronha V, Patil VM, Joshi A, Menon N, Chougule A, Mahajan A, Janu A, Purandare N, Kumar R, More S, et al: Gefitinib versus gefitinib plus pemetrexed and carboplatin chemotherapy in EGFR-mutated lung cancer. J Clin Oncol. 38:124–136. 2020. View Article : Google Scholar : PubMed/NCBI

58 

Yang JC, Cheng Y, Murakami H, Yang PC, He J, Nakagawa K, Kang JH, Kim JH, Hozak RR, Nguyen TS, et al: A randomized phase 2 study of gefitinib with or without pemetrexed as first-line treatment in nonsquamous NSCLC With EGFR mutation: Final overall survival and biomarker analysis. J Thorac Oncol. 15:91–100. 2020. View Article : Google Scholar : PubMed/NCBI

59 

Cheng Y, Murakami H, Yang PC, He J, Nakagawa K, Kang JH, Kim JH, Wang X, Enatsu S, Puri T, et al: Randomized phase II trial of gefitinib with and without pemetrexed as first-line therapy in patients with advanced nonsquamous non-small-cell lung cancer with activating epidermal growth factor receptor mutations. J Clin Oncol. 34:3258–3266. 2016. View Article : Google Scholar : PubMed/NCBI

60 

Hosomi Y, Morita S, Sugawara S, Kato T, Fukuhara T, Gemma A, Takahashi K, Fujita Y, Harada T, Minato K, et al: Gefitinib alone versus gefitinib plus chemotherapy for non-small-cell lung cancer with mutated epidermal growth factor receptor: NEJ009 study. J Clin Oncol. 38:115–123. 2020. View Article : Google Scholar : PubMed/NCBI

61 

Han B, Jin B, Chu T, Niu Y, Dong Y, Xu J, Gu A, Zhong H, Wang H, Zhang X, et al: Combination of chemotherapy and gefitinib as first-line treatment for patients with advanced lung adenocarcinoma and sensitive EGFR mutations: A randomized controlled trial. Int J Cancer. 141:1249–1256. 2017. View Article : Google Scholar : PubMed/NCBI

Related Articles

  • Abstract
  • View
  • Download
  • Twitter
Copy and paste a formatted citation
Spandidos Publications style
Zhou L, Li H and Yang S: Age does matter in adolescents and young adults vs. older adults with lung adenocarcinoma: A retrospective analysis comparing clinical characteristics and outcomes in response to systematic treatments. Oncol Lett 24: 362, 2022.
APA
Zhou, L., Li, H., & Yang, S. (2022). Age does matter in adolescents and young adults vs. older adults with lung adenocarcinoma: A retrospective analysis comparing clinical characteristics and outcomes in response to systematic treatments. Oncology Letters, 24, 362. https://doi.org/10.3892/ol.2022.13482
MLA
Zhou, L., Li, H., Yang, S."Age does matter in adolescents and young adults vs. older adults with lung adenocarcinoma: A retrospective analysis comparing clinical characteristics and outcomes in response to systematic treatments". Oncology Letters 24.4 (2022): 362.
Chicago
Zhou, L., Li, H., Yang, S."Age does matter in adolescents and young adults vs. older adults with lung adenocarcinoma: A retrospective analysis comparing clinical characteristics and outcomes in response to systematic treatments". Oncology Letters 24, no. 4 (2022): 362. https://doi.org/10.3892/ol.2022.13482
Copy and paste a formatted citation
x
Spandidos Publications style
Zhou L, Li H and Yang S: Age does matter in adolescents and young adults vs. older adults with lung adenocarcinoma: A retrospective analysis comparing clinical characteristics and outcomes in response to systematic treatments. Oncol Lett 24: 362, 2022.
APA
Zhou, L., Li, H., & Yang, S. (2022). Age does matter in adolescents and young adults vs. older adults with lung adenocarcinoma: A retrospective analysis comparing clinical characteristics and outcomes in response to systematic treatments. Oncology Letters, 24, 362. https://doi.org/10.3892/ol.2022.13482
MLA
Zhou, L., Li, H., Yang, S."Age does matter in adolescents and young adults vs. older adults with lung adenocarcinoma: A retrospective analysis comparing clinical characteristics and outcomes in response to systematic treatments". Oncology Letters 24.4 (2022): 362.
Chicago
Zhou, L., Li, H., Yang, S."Age does matter in adolescents and young adults vs. older adults with lung adenocarcinoma: A retrospective analysis comparing clinical characteristics and outcomes in response to systematic treatments". Oncology Letters 24, no. 4 (2022): 362. https://doi.org/10.3892/ol.2022.13482
Follow us
  • Twitter
  • LinkedIn
  • Facebook
About
  • Spandidos Publications
  • Careers
  • Cookie Policy
  • Privacy Policy
How can we help?
  • Help
  • Live Chat
  • Contact
  • Email to our Support Team