Spandidos Publications Logo
  • About
    • About Spandidos
    • Aims and Scopes
    • Abstracting and Indexing
    • Editorial Policies
    • Reprints and Permissions
    • Job Opportunities
    • Terms and Conditions
    • Contact
  • Journals
    • All Journals
    • Oncology Letters
      • Oncology Letters
      • Information for Authors
      • Editorial Policies
      • Editorial Board
      • Aims and Scope
      • Abstracting and Indexing
      • Bibliographic Information
      • Archive
    • International Journal of Oncology
      • International Journal of Oncology
      • Information for Authors
      • Editorial Policies
      • Editorial Board
      • Aims and Scope
      • Abstracting and Indexing
      • Bibliographic Information
      • Archive
    • Molecular and Clinical Oncology
      • Molecular and Clinical Oncology
      • Information for Authors
      • Editorial Policies
      • Editorial Board
      • Aims and Scope
      • Abstracting and Indexing
      • Bibliographic Information
      • Archive
    • Experimental and Therapeutic Medicine
      • Experimental and Therapeutic Medicine
      • Information for Authors
      • Editorial Policies
      • Editorial Board
      • Aims and Scope
      • Abstracting and Indexing
      • Bibliographic Information
      • Archive
    • International Journal of Molecular Medicine
      • International Journal of Molecular Medicine
      • Information for Authors
      • Editorial Policies
      • Editorial Board
      • Aims and Scope
      • Abstracting and Indexing
      • Bibliographic Information
      • Archive
    • Biomedical Reports
      • Biomedical Reports
      • Information for Authors
      • Editorial Policies
      • Editorial Board
      • Aims and Scope
      • Abstracting and Indexing
      • Bibliographic Information
      • Archive
    • Oncology Reports
      • Oncology Reports
      • Information for Authors
      • Editorial Policies
      • Editorial Board
      • Aims and Scope
      • Abstracting and Indexing
      • Bibliographic Information
      • Archive
    • Molecular Medicine Reports
      • Molecular Medicine Reports
      • Information for Authors
      • Editorial Policies
      • Editorial Board
      • Aims and Scope
      • Abstracting and Indexing
      • Bibliographic Information
      • Archive
    • World Academy of Sciences Journal
      • World Academy of Sciences Journal
      • Information for Authors
      • Editorial Policies
      • Editorial Board
      • Aims and Scope
      • Abstracting and Indexing
      • Bibliographic Information
      • Archive
    • International Journal of Functional Nutrition
      • International Journal of Functional Nutrition
      • Information for Authors
      • Editorial Policies
      • Editorial Board
      • Aims and Scope
      • Abstracting and Indexing
      • Bibliographic Information
      • Archive
    • International Journal of Epigenetics
      • International Journal of Epigenetics
      • Information for Authors
      • Editorial Policies
      • Editorial Board
      • Aims and Scope
      • Abstracting and Indexing
      • Bibliographic Information
      • Archive
    • Medicine International
      • Medicine International
      • Information for Authors
      • Editorial Policies
      • Editorial Board
      • Aims and Scope
      • Abstracting and Indexing
      • Bibliographic Information
      • Archive
  • Articles
  • Information
    • Information for Authors
    • Information for Reviewers
    • Information for Librarians
    • Information for Advertisers
    • Conferences
  • Language Editing
Spandidos Publications Logo
  • About
    • About Spandidos
    • Aims and Scopes
    • Abstracting and Indexing
    • Editorial Policies
    • Reprints and Permissions
    • Job Opportunities
    • Terms and Conditions
    • Contact
  • Journals
    • All Journals
    • Biomedical Reports
      • Information for Authors
      • Editorial Policies
      • Editorial Board
      • Aims and Scope
      • Abstracting and Indexing
      • Bibliographic Information
      • Archive
    • Experimental and Therapeutic Medicine
      • Information for Authors
      • Editorial Policies
      • Editorial Board
      • Aims and Scope
      • Abstracting and Indexing
      • Bibliographic Information
      • Archive
    • International Journal of Epigenetics
      • Information for Authors
      • Editorial Policies
      • Editorial Board
      • Aims and Scope
      • Abstracting and Indexing
      • Bibliographic Information
      • Archive
    • International Journal of Functional Nutrition
      • Information for Authors
      • Editorial Policies
      • Editorial Board
      • Aims and Scope
      • Abstracting and Indexing
      • Bibliographic Information
      • Archive
    • International Journal of Molecular Medicine
      • Information for Authors
      • Editorial Policies
      • Editorial Board
      • Aims and Scope
      • Abstracting and Indexing
      • Bibliographic Information
      • Archive
    • International Journal of Oncology
      • Information for Authors
      • Editorial Policies
      • Editorial Board
      • Aims and Scope
      • Abstracting and Indexing
      • Bibliographic Information
      • Archive
    • Medicine International
      • Information for Authors
      • Editorial Policies
      • Editorial Board
      • Aims and Scope
      • Abstracting and Indexing
      • Bibliographic Information
      • Archive
    • Molecular and Clinical Oncology
      • Information for Authors
      • Editorial Policies
      • Editorial Board
      • Aims and Scope
      • Abstracting and Indexing
      • Bibliographic Information
      • Archive
    • Molecular Medicine Reports
      • Information for Authors
      • Editorial Policies
      • Editorial Board
      • Aims and Scope
      • Abstracting and Indexing
      • Bibliographic Information
      • Archive
    • Oncology Letters
      • Information for Authors
      • Editorial Policies
      • Editorial Board
      • Aims and Scope
      • Abstracting and Indexing
      • Bibliographic Information
      • Archive
    • Oncology Reports
      • Information for Authors
      • Editorial Policies
      • Editorial Board
      • Aims and Scope
      • Abstracting and Indexing
      • Bibliographic Information
      • Archive
    • World Academy of Sciences Journal
      • Information for Authors
      • Editorial Policies
      • Editorial Board
      • Aims and Scope
      • Abstracting and Indexing
      • Bibliographic Information
      • Archive
  • Articles
  • Information
    • For Authors
    • For Reviewers
    • For Librarians
    • For Advertisers
    • Conferences
  • Language Editing
Login Register Submit
  • This site uses cookies
  • You can change your cookie settings at any time by following the instructions in our Cookie Policy. To find out more, you may read our Privacy Policy.

    I agree
Search articles by DOI, keyword, author or affiliation
Search
Advanced Search
presentation
Oncology Letters
Join Editorial Board Propose a Special Issue
Print ISSN: 1792-1074 Online ISSN: 1792-1082
Journal Cover
December-2022 Volume 24 Issue 6

Full Size Image

Sign up for eToc alerts
Recommend to Library

Journals

International Journal of Molecular Medicine

International Journal of Molecular Medicine

International Journal of Molecular Medicine is an international journal devoted to molecular mechanisms of human disease.

International Journal of Oncology

International Journal of Oncology

International Journal of Oncology is an international journal devoted to oncology research and cancer treatment.

Molecular Medicine Reports

Molecular Medicine Reports

Covers molecular medicine topics such as pharmacology, pathology, genetics, neuroscience, infectious diseases, molecular cardiology, and molecular surgery.

Oncology Reports

Oncology Reports

Oncology Reports is an international journal devoted to fundamental and applied research in Oncology.

Experimental and Therapeutic Medicine

Experimental and Therapeutic Medicine

Experimental and Therapeutic Medicine is an international journal devoted to laboratory and clinical medicine.

Oncology Letters

Oncology Letters

Oncology Letters is an international journal devoted to Experimental and Clinical Oncology.

Biomedical Reports

Biomedical Reports

Explores a wide range of biological and medical fields, including pharmacology, genetics, microbiology, neuroscience, and molecular cardiology.

Molecular and Clinical Oncology

Molecular and Clinical Oncology

International journal addressing all aspects of oncology research, from tumorigenesis and oncogenes to chemotherapy and metastasis.

World Academy of Sciences Journal

World Academy of Sciences Journal

Multidisciplinary open-access journal spanning biochemistry, genetics, neuroscience, environmental health, and synthetic biology.

International Journal of Functional Nutrition

International Journal of Functional Nutrition

Open-access journal combining biochemistry, pharmacology, immunology, and genetics to advance health through functional nutrition.

International Journal of Epigenetics

International Journal of Epigenetics

Publishes open-access research on using epigenetics to advance understanding and treatment of human disease.

Medicine International

Medicine International

An International Open Access Journal Devoted to General Medicine.

Journal Cover
December-2022 Volume 24 Issue 6

Full Size Image

Sign up for eToc alerts
Recommend to Library

  • Article
  • Citations
    • Cite This Article
    • Download Citation
    • Create Citation Alert
    • Remove Citation Alert
    • Cited By
  • Similar Articles
    • Related Articles (in Spandidos Publications)
    • Similar Articles (Google Scholar)
    • Similar Articles (PubMed)
  • Download PDF
  • Download XML
  • View XML
Article Open Access

Anti‑tumor effects of perampanel in malignant glioma cells

  • Authors:
    • Juri Tatsuoka
    • Emiko Sano
    • Yuya Hanashima
    • Chihiro Yagi
    • Shun Yamamuro
    • Koichiro Sumi
    • Hiroyuki Hara
    • Kazuhide Takada
    • Kazunori Kanemaru
    • Shihoko Komine‑Aizawa
    • Yoichi Katayama
    • Atsuo Yoshino
  • View Affiliations / Copyright

    Affiliations: Department of Neurological Surgery, Nihon University School of Medicine, Tokyo 173‑8610, Japan, Division of Anatomical Science, Department of Functional Morphology, Nihon University School of Medicine, Tokyo 173‑8610, Japan, Division of Microbiology, Department of Pathology and Microbiology, Nihon University School of Medicine, Tokyo 173‑8610, Japan, Division of Biomedical Sciences, Department of Physiology, Nihon University School of Medicine, Tokyo 173‑8610, Japan
    Copyright: © Tatsuoka et al. This is an open access article distributed under the terms of Creative Commons Attribution License.
  • Article Number: 421
    |
    Published online on: October 7, 2022
       https://doi.org/10.3892/ol.2022.13541
  • Expand metrics +
Metrics: Total Views: 0 (Spandidos Publications: | PMC Statistics: )
Metrics: Total PDF Downloads: 0 (Spandidos Publications: | PMC Statistics: )
Cited By (CrossRef): 0 citations Loading Articles...

This article is mentioned in:



Abstract

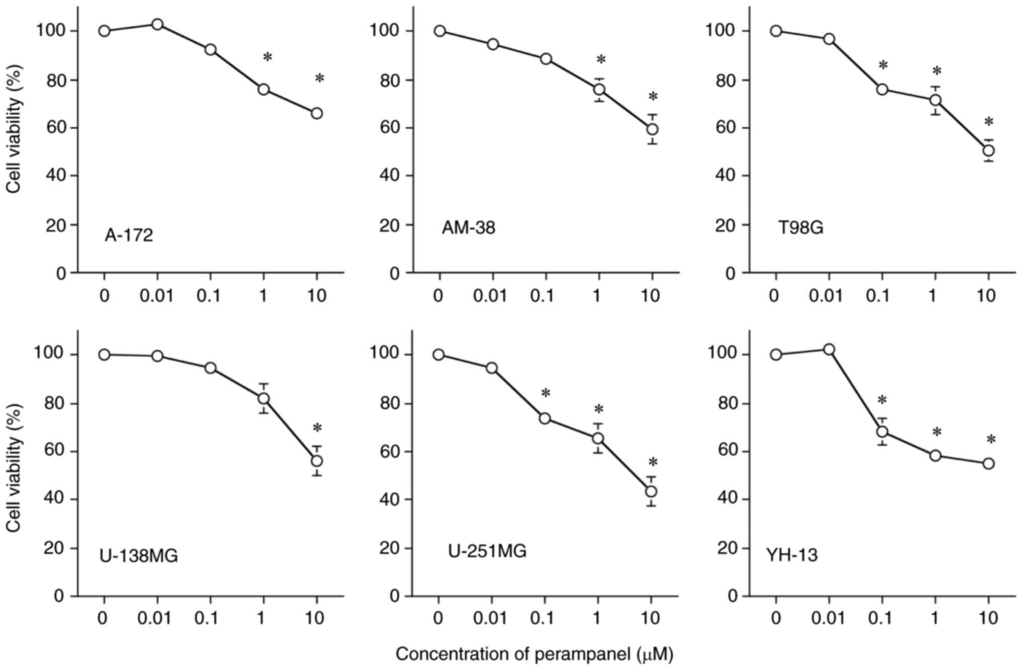
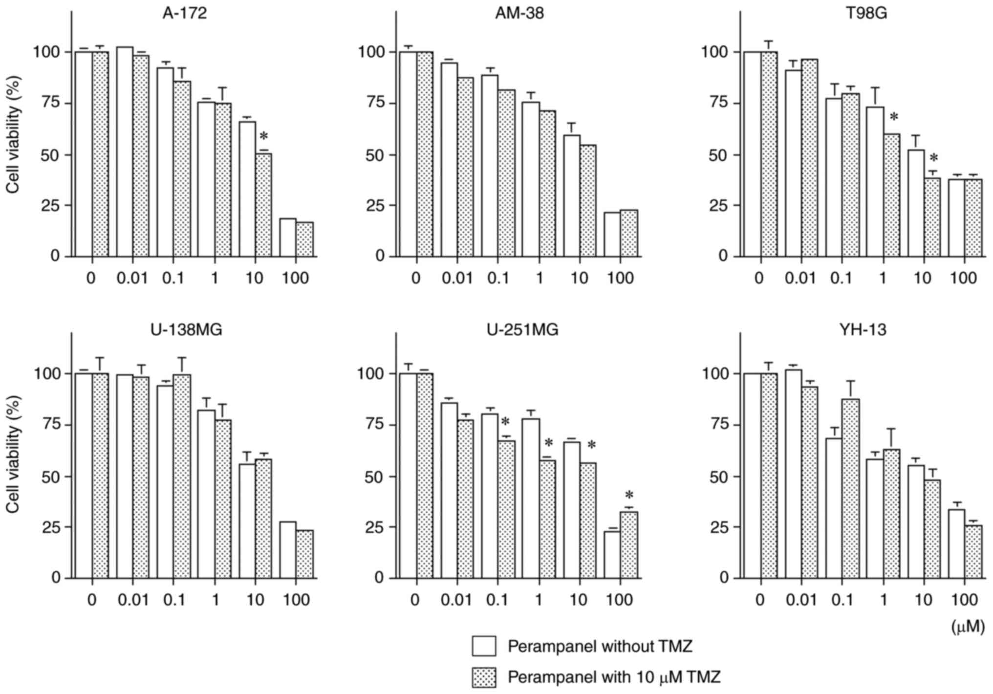
Glioblastoma has a poor prognosis even after multimodal treatment, such as surgery, chemotherapy and radiation therapy. Patients with glioblastoma frequently develop epileptic seizures during the clinical course of the disease and often require antiepileptic drugs. Therefore, agents with both antiepileptic and antitumoral effects may be very useful for glioblastoma treatment. Perampanel, an α‑amino‑3‑hydroxy‑5‑methyl‑4‑isoxazole propionic acid receptor antagonist, is an antiepileptic drug that is widely used for intractable epilepsy. The present study aimed to assess the potential antitumoral effects of perampanel using malignant glioma cell lines. The cell proliferation inhibitory effect was evaluated using six malignant glioma cell lines (A‑172, AM‑38, T98G, U‑138MG, U‑251MG and YH‑13). A dose‑dependent inhibitory effect of perampanel on cell viability was demonstrated; however, the sensitivity of cells to perampanel varied and further antitumoral effects were demonstrated in combination with temozolomide (TMZ) in certain malignant glioma cells. Furthermore, cell cycle distribution and apoptosis induction analyses were performed in T98G and U‑251MG cells using a fluorescence activated cell sorter (FACS) and the expression levels of apoptosis‑related proteins were evaluated using western blotting. No significant change was demonstrated in the proportions of cells in the G0/G1, S and G2/M phases under 1.0 µM perampanel treatment, whereas induction of apoptosis was demonstrated using FACS at 10 µM perampanel and western blotting at 1.0 µM perampanel in both glioma cell lines. Overexpression of SERPINE1 may be related to poor prognosis in patients with gliomas. The combination of 1.0 µM perampanel and 5.0 µM tiplaxtinin, a SERPINE1 inhibitor, demonstrated further reduced cell viability in perampanel‑resistant U‑138MG cells, which have high expression levels of SERPINE1. These results indicated that the antitumor effect of perampanel may not be expected for malignant gliomas with higher expression levels of SERPINE1. The findings of the present study suggested that the antiepileptic drug perampanel may also have an antitumor effect through the induction of apoptosis, which is increased when combined with TMZ in certain malignant glioma cells. These findings also suggested that SERPINE1 expression may be involved in perampanel susceptibility. These results may lead to new therapeutic strategies for malignant glioma.
View Figures

Figure 1

Figure 2

Figure 3

Figure 4

Figure 5

Figure 6

View References

1 

Stupp R, Hegi ME, Mason WP, van den Bent MJ, Taphoorn MJ, Janzer RC, Ludwin SK, Allgeier A, Fisher B, Belanger K, et al: Effects of radiotherapy with concomitant and adjuvant temozolomide versus radiotherapy alone on survival in glioblastoma in a randomised phase III study: 5-year analysis of the EORTC-NCIC trial. Lancet Oncol. 10:459–466. 2009. View Article : Google Scholar : PubMed/NCBI

2 

Preusser M, de Ribaupierre S, Wöhrer A, Erridge SC, Hegi M, Weller M and Stupp R: Current concepts and management of glioblastoma. Ann Neurol. 70:9–21. 2011. View Article : Google Scholar : PubMed/NCBI

3 

Choi J, Stradmann-Bellinghausen B, Yakubov E, Savaskan NE and Régnier-Vigouroux A: Glioblastoma cells induce differential glutamatergic gene expressions in human tumor-associated microglia/macrophages and monocyte-derived macrophages. Cancer Biol Ther. 16:1205–1213. 2015. View Article : Google Scholar : PubMed/NCBI

4 

Hanada T, Hashizume Y, Tokuhara N, Takenaka O, Kohmura N, Ogasawara A, Hatakeyama S, Ohgoh M, Ueno M and Nishizawa Y: Perampanel: A novel, orally active, noncompetitive AMPA-receptor antagonist that reduces seizure activity in rodent models of epilepsy. Epilepsia. 52:1331–1440. 2011. View Article : Google Scholar : PubMed/NCBI

5 

Vecht C, Duran-Peña A, Houillier C, Durand T, Capelle L and Huberfeld G: Seizure response to perampanel in drug-resistant epilepsy with gliomas: Early observations. J Neurooncol. 133:603–607. 2017. View Article : Google Scholar : PubMed/NCBI

6 

de Groot JF, Piao Y, Lu L, Fuller GN and Yung WK: Knockdown of GluR1 expression by RNA interference inhibits glioma proliferation. J Neurooncol. 88:121–133. 2008. View Article : Google Scholar : PubMed/NCBI

7 

Ishiuchi S, Tsuzuki K, Yoshida Y, Yamada N, Hagimura N, Okado H, Miwa A, Kurihara H, Nakazato Y, Tamura M, et al: Blockage of Ca(2+)-permeable AMPA receptors suppresses migration and induces apoptosis in human glioblastoma cells. Nat Med. 8:971–978. 2002. View Article : Google Scholar : PubMed/NCBI

8 

Ishiuchi S, Yoshida Y, Sugawara K, Aihara M, Ohtani T, Watanabe T, Saito N, Tsuzuki K, Okado H, Miwa A, et al: Ca2+-permeable AMPA receptors regulate growth of human glioblastoma via Akt activation. J Neurosci. 27:7987–8001. 2007. View Article : Google Scholar : PubMed/NCBI

9 

Iwamoto FM, Kreisl TN, Kim L, Duic JP, Butman JA, Albert PS and Fine HA: Phase 2 trial of talampanel, a glutamate receptor inhibitor, for adults with recurrent malignant gliomas. Cancer. 116:1776–1782. 2010. View Article : Google Scholar : PubMed/NCBI

10 

Takano T, Lin JH, Arcuino G, Gao Q, Yang J and Nedergaard M: Glutamate release promotes growth of malignant gliomas. Nat Med. 7:1010–1015. 2001. View Article : Google Scholar : PubMed/NCBI

11 

Wirsching HG and Weller M: Does neuronal activity promote glioma progression? Trends Cancer. 6:1–3. 2020. View Article : Google Scholar : PubMed/NCBI

12 

Rzeski W, Ikonomidou C and Turski L: Glutamate antagonists limit tumor growth. Biochem Pharmacol. 64:1195–1200. 2002. View Article : Google Scholar : PubMed/NCBI

13 

Howes JF and Bell C: Talampanel. Neurotherapeutics. 4:126–129. 2007. View Article : Google Scholar : PubMed/NCBI

14 

Grossman SA, Ye X, Piantadosi S, Desideri S, Nabors LB, Rosenfeld M, Fisher J and NABTT CNS Consortium: Survival of patients with newly diagnosed glioblastoma treated with radiation and temozolomide in research studies in the United States. Clin Cancer Res. 16:2443–2449. 2010. View Article : Google Scholar : PubMed/NCBI

15 

Lange F, Weßlau K, Porath K, Hörnschemeyer J, Bergner C, Krause BJ, Mullins CS, Linnebacher M, Köhling R and Kirschstein T: AMPA receptor antagonist perampanel affects glioblastoma cell growth and glutamate release in vitro. PLoS One. 14:e02116442019. View Article : Google Scholar : PubMed/NCBI

16 

Hibi S, Ueno K, Nagato S, Kawano K, Ito K, Norimine Y, Takenaka O, Hanada T and Yonaga M: Discovery of 2-(2-oxo-1-phenyl-5-pyridin-2-yl-1,2-dihydropyridin-3-yl)benzonitrile (perampanel): A novel, noncompetitive α-amino-3-hydroxy-5- methyl-4-isoxazolepropanoic acid (AMPA) receptor antagonist. J Med Chem. 55:10584–10600. 2012. View Article : Google Scholar : PubMed/NCBI

17 

Izumoto S, Miyauchi M, Tasaki T, Okuda T, Nakagawa N, Nakano N, Kato A and Fujita M: Seizures and tumor progression in glioma patients with uncontrollable epilepsy treated with perampanel. Anticancer Res. 38:4361–4366. 2018. View Article : Google Scholar : PubMed/NCBI

18 

Patsalos PN: The clinical pharmacology profile of the new antiepileptic drug perampanel: A novel noncompetitive AMPA receptor antagonist. Epilepsia. 56:12–27. 2015. View Article : Google Scholar : PubMed/NCBI

19 

Rösche J, Piek J, Hildebrandt G, Grossmann A, Kirschstein T and Benecke R: Perampanel in the treatment of a patient with glioblastoma multiforme without IDH1 mutation and without MGMT promotor methylation. Fortschr Neurol Psychiatr. 83:286–289. 2015.(In German). PubMed/NCBI

20 

Salmaggi A, Corno C, Maschio M, Donzelli S, D'Urso A, Perego P and Ciusani E: Synergistic effect of perampanel and temozolomide in human glioma cell lines. J Pers Med. 11:3902021. View Article : Google Scholar : PubMed/NCBI

21 

Seker F, Cingoz A, Sur-Erdem İ, Erguder N, Erkent A, Uyulur F, Esai Selvan M, Gümüş ZH, Gönen M, Bayraktar H, et al: Identification of SERPINE1 as a regulator of glioblastoma cell dispersal with transcriptome profiling. Cancers (Basel). 11:16512019. View Article : Google Scholar : PubMed/NCBI

22 

Pavón MA, Arroyo-Solera I, Céspedes MV, Casanova I, León X and Mangues R: uPA/uPAR and SERPINE1 in head and neck cancer: Role in tumor resistance, metastasis, prognosis and therapy. Oncotarget. 7:57351–57366. 2016. View Article : Google Scholar : PubMed/NCBI

23 

Yoshino A, Ogino A, Yachi K, Ohta T, Fukushima T, Watanabe T, Katayama Y, Okamoto Y, Naruse N, Sano E, et al: Gene expression profiling predicts response to temozolomide in malignant gliomas. Int J Oncol. 36:1367–1377. 2010. View Article : Google Scholar : PubMed/NCBI

24 

Ostermann S, Csajka C, Buclin T, Leyvraz S, Lejeune F, Decosterd LA and Stupp R: Plasma and cerebrospinal fluid population pharmacokinetics of temozolomide in malignant glioma patients. Clin Cancer Res. 10:3728–3736. 2004. View Article : Google Scholar : PubMed/NCBI

25 

Wischhusen J, Naumann U, Ohgaki H, Rastinejad F and Weller M: CP-31398, a novel p53-stabilizing agent, induces p53-dependent and p53-independent glioma cell death. Oncogene. 22:8233–8245. 2003. View Article : Google Scholar : PubMed/NCBI

26 

Bello MJ, Alonso ME, Amiñoso C, Anselmo NP, Arjona D, Gonzalez-Gomez P, Lopez-Marin I, de Campos JM, Gutierrez M, Isla A, et al: Hypermethylation of the DNA repair gene MGMT: Association with TP53 G:C to A:T transitions in a series of 469 nervous system tumors. Mutat Res. 554:23–32. 2004. View Article : Google Scholar : PubMed/NCBI

Related Articles

  • Abstract
  • View
  • Download
  • Twitter
Copy and paste a formatted citation
Spandidos Publications style
Tatsuoka J, Sano E, Hanashima Y, Yagi C, Yamamuro S, Sumi K, Hara H, Takada K, Kanemaru K, Komine‑Aizawa S, Komine‑Aizawa S, et al: Anti‑tumor effects of perampanel in malignant glioma cells. Oncol Lett 24: 421, 2022.
APA
Tatsuoka, J., Sano, E., Hanashima, Y., Yagi, C., Yamamuro, S., Sumi, K. ... Yoshino, A. (2022). Anti‑tumor effects of perampanel in malignant glioma cells. Oncology Letters, 24, 421. https://doi.org/10.3892/ol.2022.13541
MLA
Tatsuoka, J., Sano, E., Hanashima, Y., Yagi, C., Yamamuro, S., Sumi, K., Hara, H., Takada, K., Kanemaru, K., Komine‑Aizawa, S., Katayama, Y., Yoshino, A."Anti‑tumor effects of perampanel in malignant glioma cells". Oncology Letters 24.6 (2022): 421.
Chicago
Tatsuoka, J., Sano, E., Hanashima, Y., Yagi, C., Yamamuro, S., Sumi, K., Hara, H., Takada, K., Kanemaru, K., Komine‑Aizawa, S., Katayama, Y., Yoshino, A."Anti‑tumor effects of perampanel in malignant glioma cells". Oncology Letters 24, no. 6 (2022): 421. https://doi.org/10.3892/ol.2022.13541
Copy and paste a formatted citation
x
Spandidos Publications style
Tatsuoka J, Sano E, Hanashima Y, Yagi C, Yamamuro S, Sumi K, Hara H, Takada K, Kanemaru K, Komine‑Aizawa S, Komine‑Aizawa S, et al: Anti‑tumor effects of perampanel in malignant glioma cells. Oncol Lett 24: 421, 2022.
APA
Tatsuoka, J., Sano, E., Hanashima, Y., Yagi, C., Yamamuro, S., Sumi, K. ... Yoshino, A. (2022). Anti‑tumor effects of perampanel in malignant glioma cells. Oncology Letters, 24, 421. https://doi.org/10.3892/ol.2022.13541
MLA
Tatsuoka, J., Sano, E., Hanashima, Y., Yagi, C., Yamamuro, S., Sumi, K., Hara, H., Takada, K., Kanemaru, K., Komine‑Aizawa, S., Katayama, Y., Yoshino, A."Anti‑tumor effects of perampanel in malignant glioma cells". Oncology Letters 24.6 (2022): 421.
Chicago
Tatsuoka, J., Sano, E., Hanashima, Y., Yagi, C., Yamamuro, S., Sumi, K., Hara, H., Takada, K., Kanemaru, K., Komine‑Aizawa, S., Katayama, Y., Yoshino, A."Anti‑tumor effects of perampanel in malignant glioma cells". Oncology Letters 24, no. 6 (2022): 421. https://doi.org/10.3892/ol.2022.13541
Follow us
  • Twitter
  • LinkedIn
  • Facebook
About
  • Spandidos Publications
  • Careers
  • Cookie Policy
  • Privacy Policy
How can we help?
  • Help
  • Live Chat
  • Contact
  • Email to our Support Team