Spandidos Publications Logo
  • About
    • About Spandidos
    • Aims and Scopes
    • Abstracting and Indexing
    • Editorial Policies
    • Reprints and Permissions
    • Job Opportunities
    • Terms and Conditions
    • Contact
  • Journals
    • All Journals
    • Oncology Letters
      • Oncology Letters
      • Information for Authors
      • Editorial Policies
      • Editorial Board
      • Aims and Scope
      • Abstracting and Indexing
      • Bibliographic Information
      • Archive
    • International Journal of Oncology
      • International Journal of Oncology
      • Information for Authors
      • Editorial Policies
      • Editorial Board
      • Aims and Scope
      • Abstracting and Indexing
      • Bibliographic Information
      • Archive
    • Molecular and Clinical Oncology
      • Molecular and Clinical Oncology
      • Information for Authors
      • Editorial Policies
      • Editorial Board
      • Aims and Scope
      • Abstracting and Indexing
      • Bibliographic Information
      • Archive
    • Experimental and Therapeutic Medicine
      • Experimental and Therapeutic Medicine
      • Information for Authors
      • Editorial Policies
      • Editorial Board
      • Aims and Scope
      • Abstracting and Indexing
      • Bibliographic Information
      • Archive
    • International Journal of Molecular Medicine
      • International Journal of Molecular Medicine
      • Information for Authors
      • Editorial Policies
      • Editorial Board
      • Aims and Scope
      • Abstracting and Indexing
      • Bibliographic Information
      • Archive
    • Biomedical Reports
      • Biomedical Reports
      • Information for Authors
      • Editorial Policies
      • Editorial Board
      • Aims and Scope
      • Abstracting and Indexing
      • Bibliographic Information
      • Archive
    • Oncology Reports
      • Oncology Reports
      • Information for Authors
      • Editorial Policies
      • Editorial Board
      • Aims and Scope
      • Abstracting and Indexing
      • Bibliographic Information
      • Archive
    • Molecular Medicine Reports
      • Molecular Medicine Reports
      • Information for Authors
      • Editorial Policies
      • Editorial Board
      • Aims and Scope
      • Abstracting and Indexing
      • Bibliographic Information
      • Archive
    • World Academy of Sciences Journal
      • World Academy of Sciences Journal
      • Information for Authors
      • Editorial Policies
      • Editorial Board
      • Aims and Scope
      • Abstracting and Indexing
      • Bibliographic Information
      • Archive
    • International Journal of Functional Nutrition
      • International Journal of Functional Nutrition
      • Information for Authors
      • Editorial Policies
      • Editorial Board
      • Aims and Scope
      • Abstracting and Indexing
      • Bibliographic Information
      • Archive
    • International Journal of Epigenetics
      • International Journal of Epigenetics
      • Information for Authors
      • Editorial Policies
      • Editorial Board
      • Aims and Scope
      • Abstracting and Indexing
      • Bibliographic Information
      • Archive
    • Medicine International
      • Medicine International
      • Information for Authors
      • Editorial Policies
      • Editorial Board
      • Aims and Scope
      • Abstracting and Indexing
      • Bibliographic Information
      • Archive
  • Articles
  • Information
    • Information for Authors
    • Information for Reviewers
    • Information for Librarians
    • Information for Advertisers
    • Conferences
  • Language Editing
Spandidos Publications Logo
  • About
    • About Spandidos
    • Aims and Scopes
    • Abstracting and Indexing
    • Editorial Policies
    • Reprints and Permissions
    • Job Opportunities
    • Terms and Conditions
    • Contact
  • Journals
    • All Journals
    • Biomedical Reports
      • Information for Authors
      • Editorial Policies
      • Editorial Board
      • Aims and Scope
      • Abstracting and Indexing
      • Bibliographic Information
      • Archive
    • Experimental and Therapeutic Medicine
      • Information for Authors
      • Editorial Policies
      • Editorial Board
      • Aims and Scope
      • Abstracting and Indexing
      • Bibliographic Information
      • Archive
    • International Journal of Epigenetics
      • Information for Authors
      • Editorial Policies
      • Editorial Board
      • Aims and Scope
      • Abstracting and Indexing
      • Bibliographic Information
      • Archive
    • International Journal of Functional Nutrition
      • Information for Authors
      • Editorial Policies
      • Editorial Board
      • Aims and Scope
      • Abstracting and Indexing
      • Bibliographic Information
      • Archive
    • International Journal of Molecular Medicine
      • Information for Authors
      • Editorial Policies
      • Editorial Board
      • Aims and Scope
      • Abstracting and Indexing
      • Bibliographic Information
      • Archive
    • International Journal of Oncology
      • Information for Authors
      • Editorial Policies
      • Editorial Board
      • Aims and Scope
      • Abstracting and Indexing
      • Bibliographic Information
      • Archive
    • Medicine International
      • Information for Authors
      • Editorial Policies
      • Editorial Board
      • Aims and Scope
      • Abstracting and Indexing
      • Bibliographic Information
      • Archive
    • Molecular and Clinical Oncology
      • Information for Authors
      • Editorial Policies
      • Editorial Board
      • Aims and Scope
      • Abstracting and Indexing
      • Bibliographic Information
      • Archive
    • Molecular Medicine Reports
      • Information for Authors
      • Editorial Policies
      • Editorial Board
      • Aims and Scope
      • Abstracting and Indexing
      • Bibliographic Information
      • Archive
    • Oncology Letters
      • Information for Authors
      • Editorial Policies
      • Editorial Board
      • Aims and Scope
      • Abstracting and Indexing
      • Bibliographic Information
      • Archive
    • Oncology Reports
      • Information for Authors
      • Editorial Policies
      • Editorial Board
      • Aims and Scope
      • Abstracting and Indexing
      • Bibliographic Information
      • Archive
    • World Academy of Sciences Journal
      • Information for Authors
      • Editorial Policies
      • Editorial Board
      • Aims and Scope
      • Abstracting and Indexing
      • Bibliographic Information
      • Archive
  • Articles
  • Information
    • For Authors
    • For Reviewers
    • For Librarians
    • For Advertisers
    • Conferences
  • Language Editing
Login Register Submit
  • This site uses cookies
  • You can change your cookie settings at any time by following the instructions in our Cookie Policy. To find out more, you may read our Privacy Policy.

    I agree
Search articles by DOI, keyword, author or affiliation
Search
Advanced Search
presentation
Oncology Letters
Join Editorial Board Propose a Special Issue
Print ISSN: 1792-1074 Online ISSN: 1792-1082
Journal Cover
February-2023 Volume 25 Issue 2

Full Size Image

Sign up for eToc alerts
Recommend to Library

Journals

International Journal of Molecular Medicine

International Journal of Molecular Medicine

International Journal of Molecular Medicine is an international journal devoted to molecular mechanisms of human disease.

International Journal of Oncology

International Journal of Oncology

International Journal of Oncology is an international journal devoted to oncology research and cancer treatment.

Molecular Medicine Reports

Molecular Medicine Reports

Covers molecular medicine topics such as pharmacology, pathology, genetics, neuroscience, infectious diseases, molecular cardiology, and molecular surgery.

Oncology Reports

Oncology Reports

Oncology Reports is an international journal devoted to fundamental and applied research in Oncology.

Experimental and Therapeutic Medicine

Experimental and Therapeutic Medicine

Experimental and Therapeutic Medicine is an international journal devoted to laboratory and clinical medicine.

Oncology Letters

Oncology Letters

Oncology Letters is an international journal devoted to Experimental and Clinical Oncology.

Biomedical Reports

Biomedical Reports

Explores a wide range of biological and medical fields, including pharmacology, genetics, microbiology, neuroscience, and molecular cardiology.

Molecular and Clinical Oncology

Molecular and Clinical Oncology

International journal addressing all aspects of oncology research, from tumorigenesis and oncogenes to chemotherapy and metastasis.

World Academy of Sciences Journal

World Academy of Sciences Journal

Multidisciplinary open-access journal spanning biochemistry, genetics, neuroscience, environmental health, and synthetic biology.

International Journal of Functional Nutrition

International Journal of Functional Nutrition

Open-access journal combining biochemistry, pharmacology, immunology, and genetics to advance health through functional nutrition.

International Journal of Epigenetics

International Journal of Epigenetics

Publishes open-access research on using epigenetics to advance understanding and treatment of human disease.

Medicine International

Medicine International

An International Open Access Journal Devoted to General Medicine.

Journal Cover
February-2023 Volume 25 Issue 2

Full Size Image

Sign up for eToc alerts
Recommend to Library

  • Article
  • Citations
    • Cite This Article
    • Download Citation
    • Create Citation Alert
    • Remove Citation Alert
    • Cited By
  • Similar Articles
    • Related Articles (in Spandidos Publications)
    • Similar Articles (Google Scholar)
    • Similar Articles (PubMed)
  • Download PDF
  • Download XML
  • View XML

  • Supplementary Files
    • Supplementary_Data1.pdf
    • Supplementary_Data2.pdf
    • Supplementary_Data3.xlsx
    • Supplementary_Data4.xlsx
    • Supplementary_Data5.xlsx
Article Open Access

Identification and validation of DPY30 as a prognostic biomarker and tumor immune microenvironment infiltration characterization in esophageal cancer

  • Authors:
    • Pei-Yuan Mei
    • Han Xiao
    • Qiang Guo
    • Wang-Yang Meng
    • Ming-Liang Wang
    • Quan-Fu Huang
    • Yong-De Liao
  • View Affiliations / Copyright

    Affiliations: Department of Thoracic Surgery, Union Hospital, Tongji Medical College, Huazhong University of Science and Technology, Wuhan, Hubei 430022, P.R. China
    Copyright: © Mei et al. This is an open access article distributed under the terms of Creative Commons Attribution License.
  • Article Number: 68
    |
    Published online on: December 27, 2022
       https://doi.org/10.3892/ol.2022.13654
  • Expand metrics +
Metrics: Total Views: 0 (Spandidos Publications: | PMC Statistics: )
Metrics: Total PDF Downloads: 0 (Spandidos Publications: | PMC Statistics: )
Cited By (CrossRef): 0 citations Loading Articles...

This article is mentioned in:



Abstract

Esophageal cancer (ESCA) is a lethal malignancy and is associated with the alterations of various genes and epigenetic modifications. The protein dpy‑30 homolog (DPY30) is a core member of histone H3K4 methylation catalase and its dysfunction is associated with the occurrence and development of cancer. Therefore, the present study investigated the role of DPY30 in ESCA and evaluated the association between the expression of DPY30, the clinicopathological characteristics of ESCA and the tumor immune microenvironment. It conducted a comprehensive analysis of DPY30 in patients with ESCA using The Cancer Genome Atlas (TCGA) database and clinical tissue microarray specimens of ESCA. Immunohistochemistry was performed to assess the expression levels of DPY30 in tissues. Receiver operating curve analysis, Kaplan‑Meier survival analysis and Cox regression analysis were performed to identify the diagnostic and prognostic value of DPY30. Gene Set Enrichment Analysis, protein‑protein interaction network and Estimation of Stromal and Immune cells in Malignant Tumor tissues using the Expression data were used to screen DPY30‑associated genes and evaluate the immune score of the TCGA samples. The results demonstrated that the expression of mRNA and protein levels of DPY30 were significantly upregulated in tumor tissues compared with normal tissue samples. The expression of DPY30 was closely associated with the poor prognosis of patients with ESCA. The present study also found that DPY30 expression and the pathological characteristics of ESCA were significantly correlated. Additionally, the expression of DPY30 demonstrated a significant positive correlation with various immune cells infiltration. The results suggested that DPY30 might influence tumor immune infiltration. In conclusion, the findings suggested that DPY30 might be a potential prognostic biomarker and an immunotherapeutic target in ESCA.

Introduction

Esophageal cancer (ESCA) is a highly aggressive malignancy and its incidence and mortality are increasing globally (1). As ESCA is asymptomatic in the early stage, most patient cases of ESCA are diagnosed in the locally advanced stage or even in the distant metastasis stage (2). Administering neoadjuvant chemoradiotherapy as standard treatment for locally advanced ESCA is beneficial (3). Due to the aggressiveness, late diagnosis and treatment-refractory nature of ESCA, most patients are not sensitive to the standard treatment. Thus, the incidence of postoperative local recurrence or distant metastases is high and the prognosis is poor. A previous study showed that immunotherapy with chemoradiotherapy or chemotherapy as neoadjuvant therapy can effectively improve anti-tumor effects in the treatment of ESCA (4). However, assessing the response to neoadjuvant therapy accurately is difficult and the treatment of a number of patients diagnosed with ESCA with immunotherapeutic combinations is unsatisfactory (5). Therefore, novel early diagnostic biomarkers and effective immunotherapeutic targets need to be identified to improve the outcome of patients with ESCA.

In mammalian cells, histone 3 lysine 4 (H3K4) methylation modifications are important for DNA methylation and epigenetic inheritance. H3K4, as a histone which codes or as an identifier of gene promoters, is closely associated with the cell cycle, DNA replication, cell proliferation, tumorigenesis, invasion metastasis and immune evasion in various malignant tumors (6). The agonist of H3K4 methylation depends on its core components [WD-repeat protein-5, retinoblastoma-binding protein-5, absent, small, homeotic disks-2-like and dpy-30 homolog (DPY30)] and the inactivation of DPY30 decreases the levels of H3K4 methylation (7,8). DPY30 is involved in several physiological functions such as cell proliferation, differentiation, apoptosis and senescence (9,10). For example, DPY30 can promote the proliferation and differentiation of hematopoietic stem cells by directly and preferentially controlling the methylation of H3K4 and the expression of a number of genes required for hematopoiesis (11,12). Additionally, DPY30 deficiency can induce apoptosis of neural stem cells (13). DPY30 also strongly influences tumorigenesis in several types of cancers (14–16). The knockdown or overexpression of DPY30 might directly regulate H3K4 methylation levels and significantly affect the ability of gastric cancer cells to proliferate, migrate and invade (6). DPY30 can also promote the expression of vimentin by regulating the H3K4 methylation level of the vimentin gene promoter, which promotes the epithelial-mesenchymal transition (EMT) in epithelial ovarian cancer (15). High tissue levels of DPY30 can induce EMT through the activation of the Wnt/β-catenin signaling pathway during tumorigenesis and the development of cervical squamous cell carcinoma (16). However, the role of DPY30 in the development and carcinogenesis of ESCA remains to be elucidated.

Therefore, the present study first determined the relationship between the mRNA expression level of DPY30 and its diagnostic and prognostic values in ESCA using bioinformatics. Then, based on the collected clinical information and tissue microarray of patients with ESCA, it evaluated the DPY30 protein expression level and its diagnostic and prognostic value in ESCA. Finally, it specifically analyzed the relationship between the expression level of DPY30 and the tumor immune microenvironment to identify a novel immunotherapeutic target for treating patients with ESCA.

Materials and methods

ESCA data sources and mRNA expression of DPY30

In July 2022, data on the gene expression of ESCA tissues and normal esophageal tissues were obtained from The Cancer Genome Atlas (TCGA) and Genotype-Tissue Expression (GTEx) databases. Among them, 162 ESCA tissue samples and 11 tumor-adjacent normal esophageal epithelial tissue samples were obtained from TCGA database and 653 normal esophageal tissue samples were obtained from the GTEx database. The data on the clinical characteristics and survival information of 173 patients with ESCA were also downloaded from TCGA database. The data on ESCA included transcripts per million (TPM) types and fragments per kilobase per million (FPKM) types. The level of expression of the DPY30 mRNA in ESCA tissues and normal esophageal tissues was determined using the aforementioned data.

Patients and tissue microarray of specimens

In total, 57 patients with ESCA underwent surgical resection at Union Hospital of Huazhong University of Science and Technology, Tongji Medical College (Wuhan, China) between 2013 and 2015. Paraffin specimens (57 pairs) from these patients were obtained by surgical resection. The clinical features of the patients are presented in Table SI. All ESCA tissues and paired paracancerous tissues (diameter of 1.5 mm; selected by a pathologist) from each paraffin specimen were extracted and used to constructed a tissue microarray (TMA) paraffin block. After checking the quality of the specimens, the TMA was cut into sections (3 mm thick) for immunohistochemistry analysis. The study was approved by the Institutional Ethics Committee of Tongji Medical College, Huazhong University of Science and Technology [approval number (2021) 0158]. Written informed consent was obtained from all patients before they underwent surgical procedures.

Immunohistochemistry staining and assessment

Immunohistochemistry (IHC) staining was performed for the TMA with 57 pairs of tissues by two professional pathologists. The primary rabbit anti-DPY30 antibody (dilution 1:100; incubation at 37°C for 30 min; cat. no. CSB-PA861193LA01HU) was purchased from Cusabio Technology LLC. Using the CaseViewer 2.4 software (3DHISTECH Ltd.) and HALO image analysis software (v2.1.1637.26; Indica Labs), images were captured and analyzed. Each specimen was first assigned a score based on the staining intensity and the extent of stained cells (no staining=0, weak staining=1, moderate staining=2 and strong staining=3) and (0–5%=0, 5–25%=1, 26–50%=2, 51–75%=3 and 76–100%=4). Based on the AI pathwell v2 image analysis software (Servicebio) using the principles of AI deep learning, the percentage of weak, moderate and strong intensity, percentage of positive area, mean density and area density was calculated (Table SII). Then, two professional pathologists validated the results of the immunohistochemical staining analysis and the results were automatically calculated for each specimen based on the original basic data and formulae. The final IHC scores were calculated using the formula ∑(pi × i)=(percentage of weak intensity ×1) + (percentage of moderate intensity ×2) + (percentage of strong intensity ×3). Here, ‘pi’ represents the ratio of the positive signal pixel area and ‘i’ represents the staining intensity; the IHC scores (area) are data between 0–300 (17).

Identification of the diagnostic and prognostic value of DPY30 in ESCA

By performing the Receiver Operating Curve (ROC) analysis in TCGA database, the diagnostic value of DPY30 expression in ESCA was assessed using the area under the curve (AUC). Kaplan-Meier survival analysis was performed to determine the relationship between DPY30 expression and overall survival (OS) in patients with ESCA. The groups were formed based on the median value of the expression of DPY30. Based on the clinical characteristics of the patients with ESCA in TCGA database, the relationship between clinicopathological characteristics and DPY30 mRNA expression levels was first determined to establish a prognostic nomogram. Then, according to the collected clinicopathological characteristics from 57 patients with ESCA, the relationship between the clinicopathological characteristics and DPY30 protein expression levels was confirmed.

Functional mechanisms and protein-protein interaction (PPI) networks of DPY30 co-expressed genes

Based on the sequencing data of tumor tissues from patients with ESCA in TCGA, the DPY30-associated genes were analyzed by Spearman's method. The co-expressed genes of DPY30 were screened with correlation coefficients greater than 0.4 and P-values less than 0.01. The genes were then divided into two groups based on the median value of the expression level of DPY30. The genes that were significantly correlated (positively and negatively) with DPY30 were obtained by performing the Gene Set Enrichment Analysis (GSEA). A protein-protein correlation network was constructed based on the co-expressed genes using the STRING database (http://string-db.org/) and Cytoscape software (version 3.7.2; www.cytoscape.org). The Gene Ontology (GO)/Kyoto Encyclopedia of Genes and Genomes (KEGG) function analysis was conducted to determine the role of DPY30 in ESCA.

Correlation of DPY30 expression with the tumor microenvironment of ESCA

ESCA tissues from TCGA database were evaluated by performing immune scoring via the Estimation of Stromal and Immune cells in Malignant Tumor tissues using the Expression data (ESTIMATE) and ssGSEA algorithm (18,19). The relationship between the DPY30 expression level and ESCA infiltrating immune cells was investigated using Spearman's correlation.

Statistical analysis

Statistical analysis was performed using SPSS v22.0 statistical software (IBM Corp.). The significant differences between groups were determined by performing unpaired and paired Student's t-tests. The association between DPY30 expression levels with the clinicopathological features of patients with ESCA was evaluated by performing a one-way ANOVA. If the association was significant, it was evaluated by Scheffe post hoc test (20). All quantitative results were expressed as the mean ± SD. P<0.05 was considered to indicate a statistically significant difference.

Results

DPY30 mRNA and protein are overexpressed in ESCA

Based on TCGA and GTEx databases, the results demonstrated that the expression of DPY30 mRNA was significantly higher in unpaired ESCA tissues compared with normal esophageal tissues (Fig. 1A-C). For one-to-one matching, the expression of DPY30 mRNA in paired ESCA tissues was significantly higher compared with normal esophageal tissues (Fig. 1D and E). Additionally, the results of the immunohistochemistry analysis demonstrated that the protein of DPY30 was significantly overexpressed in ESCA tissues compared with that in paracancerous tissues (Figs. 1F and S1). For the DPY30 protein expression in the clinical TMA from 57 paired ESCA (ESCA) tissues, the representative immunohistochemical images of the high, medium and low protein expression of DPY30 are shown in Fig. 2. Thus, DPY30 was overexpressed in ESCA patients and might influence the diagnosis and prognosis of ESCA.

Figure 1.

DPY30 mRNA and protein expression levels in ESCA tissues. (A) Unpaired tissue of TPM data type in TCGA; (B) Unpaired tissue of TPM data type in TCGA + GTEx; (C) Unpaired tissue of FPKM data type in TCGA; (D) Paired tissue of TPM data type in TCGA; (E) Paired tissue of FPKM data type in TCGA. (F) DPY30 protein expression levels in 57 paired tissues of the ESCA. **P<0.01; ***P<0.001. DPY30, dpy-30 homolog; ESCA, esophageal cancer; TPM, transcripts per million; TCGA, the Cancer Genome Atlas; GTEx, Genotype-Tissue Expression; FPKM, fragments per kilobase per million; IHC, immunohistochemistry; TMA, tissue microarray.

Figure 2.

DPY30 protein expression levels in ESCA and paracancerous tissues. DPY30, dpy-30 homolog; ESCA, esophageal cancer.

DPY30 has diagnostic value in ESCA

The diagnostic value of DPY30 in ESCA was determined based on the ROC curves. The TPM type of TCGA database analysis demonstrated that the area under the ROC curve (AUC) value of DPY30 was 0.938 in ESCA (Fig. 3A). By analyzing the TPM type of TCGA and GTEx databases, the AUC value of DPY30 was calculated to be 0.858 in ESCA (Fig. 3B). By analyzing the FPKM type of TCGA database, the AUC value of DPY30 was calculated to be 0.909 in ESCA (Fig. 3C). These results suggested that DPY30 plays an important role in the diagnosis of ESCA.

Figure 3.

ROC curve was used to evaluate the diagnostic value of DPY30 in ESCA. (A) The ROC curve was used to analyze the TPM type of TCGA database in ESCA. (B) The ROC curve was used to analyze the TPM type of TCGA and GTEx databases in ESCA. (C) The ROC curve was used to analyze the FPKM type of TCGA database in ESCA. ROC, receiver operating characteristic; DPY30, dpy-30 homolog; ESCA, esophageal cancer; TPM, transcripts per million; TCGA, the Cancer Genome Atlas; GTEx, Genotype-Tissue Expression; FPKM, fragments per kilobase per million; AUC, the area under the curve; CI, confidence interval; TPR, true positive rate; FPR, false positive rate.

High expression of DPY30 is related to a poor prognosis of ESCA

The prognostic value of DPY30 was determined using different types of TCGA databases. Based on the TPM and FPKM types of TCGA databases, the results of the analysis revealed a significant correlation between the high expression of DPY30 and a poor prognosis in ESCA (Fig. 4). High expression of DPY30, predicted worse OS, disease-specific survival (DSS) and progression-free survival (PFS) based on different data types in patients with ESCA. The results of the prognostic analysis of patients with ESCA demonstrated that the high expression of DPY30 predicted poor overall survival.

Figure 4.

High expression level of DPY30 is related to poor prognosis in ESCA. (A and D) Overall survival in TPM and FPKM types of TCGA data. (B and E) Disease-specific survival in TPM and FPKM types of TCGA data. (C and F) Progression-free survival in TPM and FPKM types of TCGA data. DPY30, dpy-30 homolog; ESCA, esophageal cancer; TPM, transcripts per million; FPKM, fragments per kilobase per million; TCGA, the Cancer Genome Atlas; HR, hazard ratio.

DPY30 overexpression is associated with clinicopathological features and therapeutic efficacy in patients with locally advanced ESCA

The correlation between the expression level of the DPY30 mRNA and the clinicopathological features of patients with ESCA was analyzed from TCGA database. The results demonstrated that DPY30 overexpression was associated with the advanced pathologic T stage and advanced pathologic N stage (Fig. 5A and B). The expression levels of DPY30 were higher in esophageal squamous carcinoma than that in esophageal adenocarcinoma (Fig. 5C). More notably, the overexpression of DPY30 suggested a worse outcome for the neoadjuvant treatment of ESCA (Fig. 5D). The results of the analysis of the clinical characteristics and the expression level of the DPY30 protein in 57 patients with ESCA (Table I) demonstrated that DPY30 overexpression was associated with the advanced pathologic TNM stage and OS (Fig. 6).

Figure 5.

DPY30 mRNA expression was associated with the clinicopathological features of ESCA. (A) Pathologic T stage; (B) pathologic N stage; (C) histological type; (D) therapeutic efficacy of neoadjuvant treatment. *P<0.05; ***P<0.001. DPY30, dpy-30 homolog; EAC, esophageal adenocarcinoma; ESCC, esophageal squamous cell carcinoma; ESCA, esophageal cancer; PD, progression disease; SD, stable disease.

Figure 6.

DPY30 protein expression was associated with the clinicopathological features of ESCA. (A) Pathologic T stage; (B) pathologic N stage; (C) pathologic TNM stage; (D) OS event. **P<0.01; ***P<0.001; ns, no significance; DPY30, dpy-30 homolog; ESCA, esophageal cancer; IHC, immunohistochemistry.

Table I.

Clinical characteristics and dpy-30 homolog protein expression of patients with esophageal cancer.

Table I.

Clinical characteristics and dpy-30 homolog protein expression of patients with esophageal cancer.

CharacteristicHigh expressionLow expressionP-value
n3324
Sex, n (%) 0.261
  Female3 (5.3)5 (8.8)
  Male30 (52.6)19 (33.3)
Pathological type, n (%) 0.119
  Esophageal adenosquamous or adenocarcinoma2 (3.5)5 (8.8)
  Esophageal squamous cell carcinoma31 (54.4)19 (33.3)
T stage, n (%) 0.193
  T1 & T215 (26.3)6 (10.5)
  T3 & T418 (31.6)18 (31.6)
N stage, n (%) 0.016
  N016 (28.1)20 (35.1)
  N1 & N2 & N317 (29.8)4 (7.0)
Pathologic TNM stage, n (%) <0.001
  Stage I & II2 (3.5)13 (22.8)
  Stage III & IV31 (54.4)11 (19.3)
Differentiation grade, n (%) 0.855
  High differentiation8 (14.0)7 (12.3)
  Low differentiation5 (8.8)2 (3.5)
  Medium differentiation20 (35.1)15 (26.3)
Survival state, n (%) 0.020
  Succumbed25 (43.9)10 (17.5)
  Survived8 (14.0)14 (24.6)
Age, mean ± SD61.24±8.5361.46±6.90.919
Time (day), mean ± SD769.58±321.56 1,170.83±428.16<0.001
Immunohistochemistry score, median (interquartile range)45.69 (43.53, 50.39)31.91 (28.01, 34.84)<0.001
DPY30 overexpression is a risk factor for patients with ESCA

To find the prognostic risk factor for patients with ESCA in TCGA database, univariate Cox regression analysis was performed to show that pathologic N stage, pathologic M stage, pathological stage, treatment outcome and DPY30 mRNA expression level might be the risk factors for OS (Table II). Based on univariate Cox regression was performed to analyze the clinical characteristics of 57 patients with ESCA. The results demonstrated that the overexpression of DPY30 was associated with the advanced pathologic N stage, pathologic TNM stage and the expression level of the DPY30 protein (Table III). The results of the multivariate Cox regression analysis did not show independent risk factors for ESCA in patients with ESCA. An accurate prognostic nomogram based on the clinicopathological characteristics and DPY30 expression level in ESCA was constructed (Fig. 7).

Figure 7.

Construction of prognostic nomogram for patients with ESCA. ESCA, esophageal cancer.

Table II.

Risk factors predicting poor overall survival of patients with esophageal cancer in The Cancer Genome Atlas databases

Table II.

Risk factors predicting poor overall survival of patients with esophageal cancer in The Cancer Genome Atlas databases

Univariate analysisMultivariate analysis


CharacteristicsTotal (n)Hazard ratio (95% CI)P-valueHazard ratio (95% CI)P-value
T stage145
  T1 & T264Reference
  T3 & T4811.312 (0.756-2.277)0.334
N stage144
  N066Reference
  N1 & N2 & N3782.970 (1.606-5.493) <0.001a10.618 (1.913-58.945)0.007a
M stage129
  M0121Reference
  M185.075 (2.312-11.136) <0.001a43.317 (4.395-426.952)0.001a
Pathologic stage14257
  Stage I & Stage II85Reference
  Stage III & Stage IV573.223 (1.807-5.747) <0.001a0.427 (0.098-1.860)0.257
Age162
  <6083Reference
  >60790.831 (0.506-1.365)0.466
Histological type162
  Adenocarcinoma80Reference
  Squamous cell carcinoma820.875 (0.526-1.455)0.607
Primary therapy outcome94
  PD10Reference
  SD & PR & CR840.239 (0.095-0.602)0.002a1.734 (0.309-9.732)0.532
Dpy-30 homolog mRNA
expression162
  Low expression81Reference
  High expression812.316 (1.373-3.907)0.002a1.186 (0.310-4.538)0.803

a P<0.05.

Table III.

Risk factors predicting poor overall survival of 57 patients with ESCA.

Table III.

Risk factors predicting poor overall survival of 57 patients with ESCA.

Univariate analysisMultivariate analysis


CharacteristicsTotal (n)Hazard ratio (95% CI)P-valueHazard ratio (95% CI)P-value
Age571.002 (0.959-1.047)0.936
Sex57
  Male49Reference
  Female80.925 (0.359-2.387)0.872
T stage57
  T3 & T436Reference
  T1 & T2211.086 (0.552-2.137)0.812
N stage57
  N036Reference
  N1 & N2 & N3213.430 (1.740-6.763)<0.001a2.741 (1.371-5.481)0.004a
Grade57
  Medium differentiation35Reference
  High differentiation150.687 (0.294-1.602)0.385
  Low differentiation71.042 (0.396-2.742)0.934
Pathological stage57
  Stage III & IV42Reference
  Stage I & II150.227 (0.080-0.646)0.005a0.359 (0.111-1.157)0.086
Dpy-30 homolog protein
expression57
  High expression33Reference
  Low expression240.354 (0.169-0.740)0.006a0.864 (0.354-2.105)0.747

a P<0.05.

Functions and signaling mechanisms of DPY30 co-expressed genes

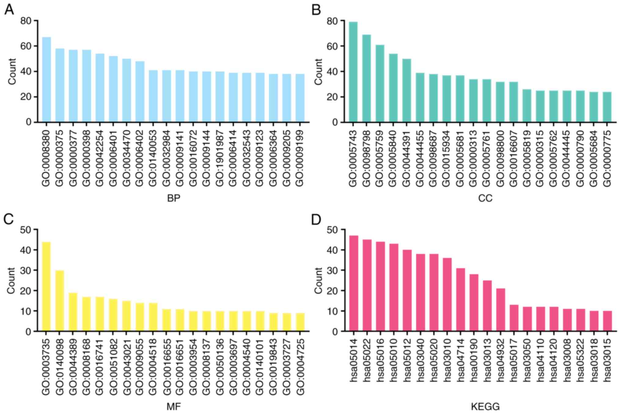
Based on the correlation analysis of the DPY30-related genes, 669 genes were found to be co-expressed with DPY30 (Table SIII). The top 12 genes with positive and negative correlations with DPY30 in ESCA are shown in Figs. 8 and S2. Based on GO analysis, it was found that DPY30 and its co-expressed genes were involved in RNA and DNA modification, regulation of mitochondria and lysosome function and interference of the cell cycle (Fig. 9A-C). The results of the KEGG analysis demonstrated that these genes were associated with RNA transport and degradation, spliceosome, ribosome, oxidative phosphorylation, the cell cycle and other mechanisms (Fig. 9D and Table SIV). To visualize the relationship of the DPY30 co-expressed genes, the PPI network was constructed (Fig. 10).

Figure 8.

Co-expressed genes of DPY30 in ESCA. (A) The top 12 genes positively correlated with DPY30. (B) The top 12 genes negatively correlated with DPY30. DPY30, dpy-30 homolog; ESCA, esophageal cancer; FPKM, fragments per kilobase per million.

Figure 9.

Function and mechanism of DPY30-related genes. (A) BP; (B) CC; (C) MC; (D) Signaling pathways determined by the KEGG analysis. DPY30, dpy-30 homolog; BP, biological process; CC, cellular component; MC, molecular function; KEGG, Kyoto Encyclopedia of Genes and Genomes.

Figure 10.

Protein-protein interaction network of the dpy-30 homolog co-expressed genes.

The relationship between DPY30 expression and immune infiltrating cells in ESCA

Based on the diagnostic and prognostic value of DPY30 in ESCA, the ESTIMATE algorithm was used to further determine the value of DPY30 in the tumor microenvironment of ESCA. Based on the result of the Stromal Score, Immune Score and ESTIMATE Score, the high expression of DPY30 was found to be related to low immune scores in the tumor microenvironment of ESCA (Fig. 11A-C). DPY30 expression was negatively correlated with the overall immune infiltration, stromal content and the combined score of both (Fig. 11D and E). The analysis of the correlation between DPY30 expression and immune cells in ESCA demonstrated that DPY30 expression was significantly correlated with the number of types of immune cells (Table SV; Figs. S3 and S4). Among them, mast cells, effector memory T cells, eosinophils, neutrophils, central memory T cells, dendritic cells, T cells, T follicular helper cells and B cells demonstrated a significant negative correlation with the expression of DPY30 (Fig. 12).

Figure 11.

Relationship between DPY30 expression level and immune cell infiltration level in the tumor microenvironment of ESCA. (A) The Stromal Score for the high and low expression level of DPY30. (B) The Immune Score for the high and low expression level of DPY30. (C) The ESTIMATE Score for the high and low expression level of DPY30. The correlation between DPY30 expression and (D) the Stromal Score, (E) the Immune Score, (F) the ESTIMATE Score. DPY30, dpy-30 homolog; ESCA, esophageal cancer; FPKM, fragments per kilobase per million. ***P<0.001.

Figure 12.

Correlation between DPY30 expression and immune cells in the tumor microenvironment of ESCA. The correlation between DPY30 expression and (A) mast cells, (B) Tem cells, (C) eosinophils, (D) neutrophils, (E) Tcm cells, (F) DC cells, (G) T cells, (H) TFH cells and (I) B cells. DPY30, dpy-30 homolog; ESCA, esophageal cancer; FPKM, fragments per kilobase per million; Tem, effector memory T cell; Tcm, central memory T cell; DC, dendritic cells; TFH, T follicular helper cells.

Discussion

ESCA is a major health problem worldwide. Due to the lack of early symptoms and early diagnostic biomarkers, a number of patients are diagnosed with locally advanced or even advanced ESCA. Although various treatment strategies have been developed for ESCA, the five-year survival rate is only 15–25% (21,22). A number of studies have investigated ways to improve the prognosis of ESCA by identifying new diagnostic markers and therapeutic targets. DPY30 is highly expressed in hepatocellular liver cancer tissues and plays a key role in the coordination of glucose homeostasis and the modification of different types of histones (23). The mRNA and protein levels of DPY30 are significantly overexpressed in cholangiocarcinoma and are independent prognostic factors in cholangiocarcinoma patients (23). The knockdown of DPY30 can significantly inhibit proliferation, induce cell cycle arrest in the G2/M phase and decrease glycolysis in vitro (24). The present study indicated that DPY30 might have similar oncogenic effects in ESCA and may be a potential therapeutic target for ESCA. DPY30 is highly expressed in ESCA tissues and has an important diagnostic value. The overexpression of DPY30 is significantly associated with a number of clinicopathological features and poor prognosis in patients with ESCA. Therefore, DPY30 might be used as a potential biomarker and have a diagnostic, prognostic and therapeutic value in ESCA.

DPY30 and its homologs are mainly localized in the nucleus and the encoded proteins that directly control the cell cycle regulators. They play an important role in cell proliferation and differentiation (25). Additionally, DPY30 also serves as the core subunit of the methyltransferase complex that catalyzes histone H3K4 methylation (26). Histone methylation plays a key role in gene regulation, cell differentiation, DNA recombination and damage repair. Aberrant histone methylation can cause mutations, translocations, or overexpression of a number of important genes that usually lead to the development of diseases such as cancer (27). Thus, the overexpression of DPY30 might play a key role in the development of tumorigenesis by increasing histone H3K4 methylation level. DPY30 can directly promote the expression of the MYC gene and also regulate the efficient binding of the MYC oncoprotein to a number of other genes (28,29). The DPY30/WNT/β-catenin signaling mechanism can induce the EMT of cells in cervical cancer and epithelial ovarian cancer (15,16). However, these mechanisms need to be further investigated in ESCA cell models.

DPY30 can significantly influence immune cell infiltration in the tumor microenvironment of ESCA. It is also significantly negatively correlated with multiple immune cells in the tumor microenvironment. EMT is an important mechanism of ESCA growth and metastasis. It also plays an important role in the formation of the tumor immune microenvironment (30). DPY30 might promote tumor progression and significantly affect tumor immunogenic cells by inducing EMT. Thus, its expression level might predict the effect of immunotherapy and it is a potential therapeutic target. The peptides that can specifically inhibit DPY30 activity can significantly inhibit the growth of hematological cancer cells (29). Several molecules of the methyltransferase complex are targets for drug intervention and small molecule inhibitors of potential antitumor agents (31). Therefore, DPY30 is a potential therapeutic target for ESCA.

The present study determined the diagnostic and prognostic value of DPY30 in ESCA by bioinformatic analysis and tissue microarray. However, it is also necessary to collect more specimens and to use an antibody with strong specificity to validate the results in further research. Also, the signaling mechanism of DPY30 in tumorigenesis and the development of ESCA need to be examined in cell experiments. It is important that the present study first aimed to explore the relationship between DPY30 and tumor microenvironment of ESCA by bioinformatics. However, the final regulatory network between DPY30 expression and the tumor immune microenvironment needs to be elucidated by performing specific experiments. Thus, future extensive studies should concentrate on supplementing in vivo and in vitro experiments and performing multiplex immunohistochemistry to determine the role of DPY30 in tumor microenvironment.

To summarize, the present study found that DPY30 was significantly overexpressed in ESCA tissues and associated with poor prognosis in patients with ESCA. DPY30 might also be used as an early diagnostic and prognostic indicator of ESCA. It is also associated with the tumor immune microenvironment and is expected to be a new target for the treatment of patients with ESCA.

Supplementary Material

Supporting Data
Supporting Data
Supporting Data
Supporting Data
Supporting Data

Acknowledgements

Not applicable.

Funding

The present study was supported by grants from the National Natural Science Foundation of China (grant nos. 81572277 and 82072593), and the Department of Science and Technology of Hubei Province (grant no. 2020BCB027)

Availability of data and materials

The results shown here are fully or partly based on the data generated by TCGA Research Network: https://www.cancer.gov/tcga. All other data generated or analyzed during this study are included in this published article.

Authors' contributions

PM, HX, YL and QH contributed to the study design and provided important information. QG, PM, HX, WM and MW performed data analysis. PM and HX confirm the authenticity of all the raw data. PM and HX wrote the main text in the manuscript. All authors revised and edited the manuscript and gave their final approval for the version to be published.

Ethical approval and consent to participate

The present study was performed with the approval of the Institutional Ethics Committee of Tongji Medical College, Huazhong University of Science and Technology [approval number (2021) 0158]. All aspects of the study complied with the Declaration of Helsinki. All participants provided written informed consent before undergoing surgical treatment.

Patient consent for publication

Not applicable.

Competing interests

The authors declare that they have no competing interests.

Glossary

Abbreviations

Abbreviations:

ESCA

esophageal cancer

DPY30

dpy-30 homolog

TMA

tissue microarray

References

1 

Siegel RL, Miller KD and Jemal A: Cancer statistics, 2018. CA Cancer J Clin. 68:7–30. 2018. View Article : Google Scholar : PubMed/NCBI

2 

Abnet CC, Arnold M and Wei WQ: Epidemiology of esophageal squamous cell carcinoma. Gastroenterology. 154:360–373. 2018. View Article : Google Scholar : PubMed/NCBI

3 

de Gouw DJJM, Klarenbeek BR, Driessen M, Bouwense SAW, van Workum F, Fütterer JJ, Rovers MM, Ten Broek RPG and Rosman C: Detecting pathological complete response in esophageal cancer after neoadjuvant therapy based on imaging techniques: A diagnostic systematic review and meta-analysis. J Thorac Oncol. 14:1156–1171. 2019. View Article : Google Scholar : PubMed/NCBI

4 

Leng XF, Daiko H, Han YT and Mao YS: Optimal preoperative neoadjuvant therapy for resectable locally advanced esophageal squamous cell carcinoma. Ann N Y Acad Sci. 1482:213–224. 2020. View Article : Google Scholar : PubMed/NCBI

5 

Bolger JC, Donohoe CL, Lowery M and Reynolds JV: Advances in the curative management of oesophageal cancer. Br J Cancer. 126:706–717. 2022. View Article : Google Scholar : PubMed/NCBI

6 

Kumar A, Kumari N, Nallabelli N and Prasad R: Pathogenic and therapeutic role of H3K4 family of methylases and demethylases in cancers. Indian J Clin Biochem. 34:123–132. 2019. View Article : Google Scholar : PubMed/NCBI

7 

South PF, Fingerman IM, Mersman DP, Du HN and Briggs SD: A conserved interaction between the SDI domain of Bre2 and the Dpy-30 domain of Sdc1 is required for histone methylation and gene expression. J Biol Chem. 285:595–607. 2010. View Article : Google Scholar : PubMed/NCBI

8 

Ali A and Tyagi S: Diverse roles of WDR5-RbBP5-ASH2L-DPY30 (WRAD) complex in the functions of the SET1 histone methyltransferase family. J Biosci. 42:155–159. 2017. View Article : Google Scholar : PubMed/NCBI

9 

Jiang H, Shukla A, Wang X, Chen WY, Bernstein BE and Roeder RG: Role for Dpy-30 in ES cell-fate specification by regulation of H3K4 methylation within bivalent domains. Cell. 144:513–525. 2011. View Article : Google Scholar : PubMed/NCBI

10 

Simboeck E, Gutierrez A, Cozzuto L, Beringer M, Caizzi L, Keyes WM and Di Croce L: DPY30 regulates pathways in cellular senescence through ID protein expression. EMBO J. 32:2217–2230. 2013. View Article : Google Scholar : PubMed/NCBI

11 

Yang Z, Shah K, Khodadadi-Jamayran A and Jiang H: Dpy30 is critical for maintaining the identity and function of adult hematopoietic stem cells. J Exp Med. 213:2349–2364. 2016. View Article : Google Scholar : PubMed/NCBI

12 

Yang Z, Augustin J, Chang C, Hu J, Shah K, Chang CW, Townes T and Jiang H: The DPY30 subunit in SET1/MLL complexes regulates the proliferation and differentiation of hematopoietic progenitor cells. Blood. 124:2025–2033. 2014. View Article : Google Scholar : PubMed/NCBI

13 

Zhao T, Hong Y, Ming GL and Song H: Loss of chromatin modulator Dpy30 compromises proliferation and differentiation of postnatal neural stem cells. J Mol Cell Biol. 12:2–3. 2019.(Epub ahead of print). View Article : Google Scholar : PubMed/NCBI

14 

Lee YJ, Han ME, Baek SJ, Kim SY and Oh SO: Roles of DPY30 in the proliferation and motility of gastric cancer cells. PLoS One. 10:e01318632015. View Article : Google Scholar : PubMed/NCBI

15 

Zhang L, Zhang S, Li A, Zhang A, Zhang S and Chen L: DPY30 is required for the enhanced proliferation, motility and epithelial-mesenchymal transition of epithelial ovarian cancer cells. Int J Mol Med. 42:3065–3072. 2018.PubMed/NCBI

16 

He FX, Zhang LL, Jin PF, Liu DD and Li AH: DPY30 regulates cervical squamous cell carcinoma by mediating epithelial-mesenchymal transition (EMT). Onco Targets Ther. 12:7139–7147. 2019. View Article : Google Scholar : PubMed/NCBI

17 

Paschalis A, Sheehan B, Riisnaes R, Rodrigues DN, Gurel B, Bertan C, Ferreira A, Lambros MBK, Seed G, Yuan W, et al: Prostate-specific membrane antigen heterogeneity and DNA repair defects in prostate cancer. Eur Urol. 76:469–478. 2019. View Article : Google Scholar : PubMed/NCBI

18 

Hänzelmann S, Castelo R and Guinney J: GSVA: Gene set variation analysis for microarray and RNA-seq data. BMC Bioinformatics. 14:72013. View Article : Google Scholar : PubMed/NCBI

19 

Yoshihara K, Shahmoradgoli M, Martinez E, Vegesna R, Kim H, Torres-Garcia W, Treviño V, Shen H, Laird PW, Levine DA, et al: Inferring tumour purity and stromal and immune cell admixture from expression data. Nat Commun. 4:26122013. View Article : Google Scholar : PubMed/NCBI

20 

Lin P, Tian P, Pang J, Lai L, He G, Song Y and Zheng Y: Clinical significance of COL1A1 and COL1A2 expression levels in hypopharyngeal squamous cell carcinoma. Oncol Lett. 20:803–809. 2020. View Article : Google Scholar : PubMed/NCBI

21 

Smyth EC, Lagergren J, Fitzgerald RC, Lordick F, Shah MA, Lagergren P and Cunningham D: Oesophageal cancer. Nat Rev Dis Primers. 3:170482017. View Article : Google Scholar : PubMed/NCBI

22 

Allemani C, Matsuda T, Di Carlo V, Harewood R, Matz M, Nikšić M, Bonaventure A, Valkov M, Johnson CJ, Estève J, et al: Global surveillance of trends in cancer survival 2000-14 (CONCORD-3): Analysis of individual records for 37 513 025 patients diagnosed with one of 18 cancers from 322 population-based registries in 71 countries. Lancet. 391:1023–1075. 2018. View Article : Google Scholar : PubMed/NCBI

23 

Liu B: DPY30 functions in glucose homeostasis via integrating activated histone epigenetic modifications. Biochem Biophys Res Commun. 507:286–290. 2018. View Article : Google Scholar : PubMed/NCBI

24 

Hong ZF, Zhang WQ, Wang SJ, Li SY, Shang J, Liu F and Shen DY: Upregulation of DPY30 promotes cell proliferation and predicts a poor prognosis in cholangiocarcinoma. Biomed Pharmacother. 123:1097662020. View Article : Google Scholar : PubMed/NCBI

25 

Wang X, Lou Z, Dong X, Yang W, Peng Y, Yin B, Gong Y, Yuan J, Zhou W, Bartlam M, et al: Crystal structure of the C-terminal domain of human DPY-30-like protein: A component of the histone methyltransferase complex. J Mol Biol. 390:530–537. 2009. View Article : Google Scholar : PubMed/NCBI

26 

Dou Y, Milne TA, Ruthenburg AJ, Lee S, Lee JW, Verdine GL, Allis CD and Roeder RG: Regulation of MLL1 H3K4 methyltransferase activity by its core components. Nat Struct Mol Biol. 13:713–719. 2006. View Article : Google Scholar : PubMed/NCBI

27 

Song Y, Wu F and Wu J: Targeting histone methylation for cancer therapy: Enzymes, inhibitors, biological activity and perspectives. J Hematol Oncol. 9:492016. View Article : Google Scholar : PubMed/NCBI

28 

Yang Z, Shah K, Busby T, Giles K, Khodadadi-Jamayran A, Li W and Jiang H: Hijacking a key chromatin modulator creates epigenetic vulnerability for MYC-driven cancer. J Clin Invest. 128:3605–3618. 2018. View Article : Google Scholar : PubMed/NCBI

29 

Shah KK, Whitaker RH, Busby T, Hu J, Shi B, Wang Z, Zang C, Placzek WJ and Jiang H: Specific inhibition of DPY30 activity by ASH2L-derived peptides suppresses blood cancer cell growth. Exp Cell Res. 382:1114852019. View Article : Google Scholar : PubMed/NCBI

30 

Chockley PJ and Keshamouni VG: Immunological consequences of epithelial-mesenchymal transition in tumor progression. J Immunol. 197:691–698. 2016. View Article : Google Scholar : PubMed/NCBI

31 

Lu K, Tao H, Si X and Chen Q: The histone H3 lysine 4 presenter WDR5 as an oncogenic protein and novel epigenetic target in cancer. Front Oncol. 8:5022018. View Article : Google Scholar : PubMed/NCBI

Related Articles

  • Abstract
  • View
  • Download
  • Twitter
Copy and paste a formatted citation
Spandidos Publications style
Mei P, Xiao H, Guo Q, Meng W, Wang M, Huang Q and Liao Y: Identification and validation of DPY30 as a prognostic biomarker and tumor immune microenvironment infiltration characterization in esophageal cancer. Oncol Lett 25: 68, 2023.
APA
Mei, P., Xiao, H., Guo, Q., Meng, W., Wang, M., Huang, Q., & Liao, Y. (2023). Identification and validation of DPY30 as a prognostic biomarker and tumor immune microenvironment infiltration characterization in esophageal cancer. Oncology Letters, 25, 68. https://doi.org/10.3892/ol.2022.13654
MLA
Mei, P., Xiao, H., Guo, Q., Meng, W., Wang, M., Huang, Q., Liao, Y."Identification and validation of DPY30 as a prognostic biomarker and tumor immune microenvironment infiltration characterization in esophageal cancer". Oncology Letters 25.2 (2023): 68.
Chicago
Mei, P., Xiao, H., Guo, Q., Meng, W., Wang, M., Huang, Q., Liao, Y."Identification and validation of DPY30 as a prognostic biomarker and tumor immune microenvironment infiltration characterization in esophageal cancer". Oncology Letters 25, no. 2 (2023): 68. https://doi.org/10.3892/ol.2022.13654
Copy and paste a formatted citation
x
Spandidos Publications style
Mei P, Xiao H, Guo Q, Meng W, Wang M, Huang Q and Liao Y: Identification and validation of DPY30 as a prognostic biomarker and tumor immune microenvironment infiltration characterization in esophageal cancer. Oncol Lett 25: 68, 2023.
APA
Mei, P., Xiao, H., Guo, Q., Meng, W., Wang, M., Huang, Q., & Liao, Y. (2023). Identification and validation of DPY30 as a prognostic biomarker and tumor immune microenvironment infiltration characterization in esophageal cancer. Oncology Letters, 25, 68. https://doi.org/10.3892/ol.2022.13654
MLA
Mei, P., Xiao, H., Guo, Q., Meng, W., Wang, M., Huang, Q., Liao, Y."Identification and validation of DPY30 as a prognostic biomarker and tumor immune microenvironment infiltration characterization in esophageal cancer". Oncology Letters 25.2 (2023): 68.
Chicago
Mei, P., Xiao, H., Guo, Q., Meng, W., Wang, M., Huang, Q., Liao, Y."Identification and validation of DPY30 as a prognostic biomarker and tumor immune microenvironment infiltration characterization in esophageal cancer". Oncology Letters 25, no. 2 (2023): 68. https://doi.org/10.3892/ol.2022.13654
Follow us
  • Twitter
  • LinkedIn
  • Facebook
About
  • Spandidos Publications
  • Careers
  • Cookie Policy
  • Privacy Policy
How can we help?
  • Help
  • Live Chat
  • Contact
  • Email to our Support Team