Spandidos Publications Logo
  • About
    • About Spandidos
    • Aims and Scopes
    • Abstracting and Indexing
    • Editorial Policies
    • Reprints and Permissions
    • Job Opportunities
    • Terms and Conditions
    • Contact
  • Journals
    • All Journals
    • Oncology Letters
      • Oncology Letters
      • Information for Authors
      • Editorial Policies
      • Editorial Board
      • Aims and Scope
      • Abstracting and Indexing
      • Bibliographic Information
      • Archive
    • International Journal of Oncology
      • International Journal of Oncology
      • Information for Authors
      • Editorial Policies
      • Editorial Board
      • Aims and Scope
      • Abstracting and Indexing
      • Bibliographic Information
      • Archive
    • Molecular and Clinical Oncology
      • Molecular and Clinical Oncology
      • Information for Authors
      • Editorial Policies
      • Editorial Board
      • Aims and Scope
      • Abstracting and Indexing
      • Bibliographic Information
      • Archive
    • Experimental and Therapeutic Medicine
      • Experimental and Therapeutic Medicine
      • Information for Authors
      • Editorial Policies
      • Editorial Board
      • Aims and Scope
      • Abstracting and Indexing
      • Bibliographic Information
      • Archive
    • International Journal of Molecular Medicine
      • International Journal of Molecular Medicine
      • Information for Authors
      • Editorial Policies
      • Editorial Board
      • Aims and Scope
      • Abstracting and Indexing
      • Bibliographic Information
      • Archive
    • Biomedical Reports
      • Biomedical Reports
      • Information for Authors
      • Editorial Policies
      • Editorial Board
      • Aims and Scope
      • Abstracting and Indexing
      • Bibliographic Information
      • Archive
    • Oncology Reports
      • Oncology Reports
      • Information for Authors
      • Editorial Policies
      • Editorial Board
      • Aims and Scope
      • Abstracting and Indexing
      • Bibliographic Information
      • Archive
    • Molecular Medicine Reports
      • Molecular Medicine Reports
      • Information for Authors
      • Editorial Policies
      • Editorial Board
      • Aims and Scope
      • Abstracting and Indexing
      • Bibliographic Information
      • Archive
    • World Academy of Sciences Journal
      • World Academy of Sciences Journal
      • Information for Authors
      • Editorial Policies
      • Editorial Board
      • Aims and Scope
      • Abstracting and Indexing
      • Bibliographic Information
      • Archive
    • International Journal of Functional Nutrition
      • International Journal of Functional Nutrition
      • Information for Authors
      • Editorial Policies
      • Editorial Board
      • Aims and Scope
      • Abstracting and Indexing
      • Bibliographic Information
      • Archive
    • International Journal of Epigenetics
      • International Journal of Epigenetics
      • Information for Authors
      • Editorial Policies
      • Editorial Board
      • Aims and Scope
      • Abstracting and Indexing
      • Bibliographic Information
      • Archive
    • Medicine International
      • Medicine International
      • Information for Authors
      • Editorial Policies
      • Editorial Board
      • Aims and Scope
      • Abstracting and Indexing
      • Bibliographic Information
      • Archive
  • Articles
  • Information
    • Information for Authors
    • Information for Reviewers
    • Information for Librarians
    • Information for Advertisers
    • Conferences
  • Language Editing
Spandidos Publications Logo
  • About
    • About Spandidos
    • Aims and Scopes
    • Abstracting and Indexing
    • Editorial Policies
    • Reprints and Permissions
    • Job Opportunities
    • Terms and Conditions
    • Contact
  • Journals
    • All Journals
    • Biomedical Reports
      • Information for Authors
      • Editorial Policies
      • Editorial Board
      • Aims and Scope
      • Abstracting and Indexing
      • Bibliographic Information
      • Archive
    • Experimental and Therapeutic Medicine
      • Information for Authors
      • Editorial Policies
      • Editorial Board
      • Aims and Scope
      • Abstracting and Indexing
      • Bibliographic Information
      • Archive
    • International Journal of Epigenetics
      • Information for Authors
      • Editorial Policies
      • Editorial Board
      • Aims and Scope
      • Abstracting and Indexing
      • Bibliographic Information
      • Archive
    • International Journal of Functional Nutrition
      • Information for Authors
      • Editorial Policies
      • Editorial Board
      • Aims and Scope
      • Abstracting and Indexing
      • Bibliographic Information
      • Archive
    • International Journal of Molecular Medicine
      • Information for Authors
      • Editorial Policies
      • Editorial Board
      • Aims and Scope
      • Abstracting and Indexing
      • Bibliographic Information
      • Archive
    • International Journal of Oncology
      • Information for Authors
      • Editorial Policies
      • Editorial Board
      • Aims and Scope
      • Abstracting and Indexing
      • Bibliographic Information
      • Archive
    • Medicine International
      • Information for Authors
      • Editorial Policies
      • Editorial Board
      • Aims and Scope
      • Abstracting and Indexing
      • Bibliographic Information
      • Archive
    • Molecular and Clinical Oncology
      • Information for Authors
      • Editorial Policies
      • Editorial Board
      • Aims and Scope
      • Abstracting and Indexing
      • Bibliographic Information
      • Archive
    • Molecular Medicine Reports
      • Information for Authors
      • Editorial Policies
      • Editorial Board
      • Aims and Scope
      • Abstracting and Indexing
      • Bibliographic Information
      • Archive
    • Oncology Letters
      • Information for Authors
      • Editorial Policies
      • Editorial Board
      • Aims and Scope
      • Abstracting and Indexing
      • Bibliographic Information
      • Archive
    • Oncology Reports
      • Information for Authors
      • Editorial Policies
      • Editorial Board
      • Aims and Scope
      • Abstracting and Indexing
      • Bibliographic Information
      • Archive
    • World Academy of Sciences Journal
      • Information for Authors
      • Editorial Policies
      • Editorial Board
      • Aims and Scope
      • Abstracting and Indexing
      • Bibliographic Information
      • Archive
  • Articles
  • Information
    • For Authors
    • For Reviewers
    • For Librarians
    • For Advertisers
    • Conferences
  • Language Editing
Login Register Submit
  • This site uses cookies
  • You can change your cookie settings at any time by following the instructions in our Cookie Policy. To find out more, you may read our Privacy Policy.

    I agree
Search articles by DOI, keyword, author or affiliation
Search
Advanced Search
presentation
Oncology Letters
Join Editorial Board Propose a Special Issue
Print ISSN: 1792-1074 Online ISSN: 1792-1082
Journal Cover
February-2023 Volume 25 Issue 2

Full Size Image

Sign up for eToc alerts
Recommend to Library

Journals

International Journal of Molecular Medicine

International Journal of Molecular Medicine

International Journal of Molecular Medicine is an international journal devoted to molecular mechanisms of human disease.

International Journal of Oncology

International Journal of Oncology

International Journal of Oncology is an international journal devoted to oncology research and cancer treatment.

Molecular Medicine Reports

Molecular Medicine Reports

Covers molecular medicine topics such as pharmacology, pathology, genetics, neuroscience, infectious diseases, molecular cardiology, and molecular surgery.

Oncology Reports

Oncology Reports

Oncology Reports is an international journal devoted to fundamental and applied research in Oncology.

Experimental and Therapeutic Medicine

Experimental and Therapeutic Medicine

Experimental and Therapeutic Medicine is an international journal devoted to laboratory and clinical medicine.

Oncology Letters

Oncology Letters

Oncology Letters is an international journal devoted to Experimental and Clinical Oncology.

Biomedical Reports

Biomedical Reports

Explores a wide range of biological and medical fields, including pharmacology, genetics, microbiology, neuroscience, and molecular cardiology.

Molecular and Clinical Oncology

Molecular and Clinical Oncology

International journal addressing all aspects of oncology research, from tumorigenesis and oncogenes to chemotherapy and metastasis.

World Academy of Sciences Journal

World Academy of Sciences Journal

Multidisciplinary open-access journal spanning biochemistry, genetics, neuroscience, environmental health, and synthetic biology.

International Journal of Functional Nutrition

International Journal of Functional Nutrition

Open-access journal combining biochemistry, pharmacology, immunology, and genetics to advance health through functional nutrition.

International Journal of Epigenetics

International Journal of Epigenetics

Publishes open-access research on using epigenetics to advance understanding and treatment of human disease.

Medicine International

Medicine International

An International Open Access Journal Devoted to General Medicine.

Journal Cover
February-2023 Volume 25 Issue 2

Full Size Image

Sign up for eToc alerts
Recommend to Library

  • Article
  • Citations
    • Cite This Article
    • Download Citation
    • Create Citation Alert
    • Remove Citation Alert
    • Cited By
  • Similar Articles
    • Related Articles (in Spandidos Publications)
    • Similar Articles (Google Scholar)
    • Similar Articles (PubMed)
  • Download PDF
  • Download XML
  • View XML

  • Supplementary Files
    • Supplementary_Data.pdf
Article Open Access

Target concentration achievement for efficacy and safety of patients with osteosarcoma treated with high‑dose methotrexate based on individual pharmacokinetics: A retrospective study

  • Authors:
    • Ayumu Nagamine
    • Takuya Araki
    • Hideaki Yashima
    • Akane Kamimura
    • Takumi Shiraishi
    • Takashi Yanagawa
    • Kyoko Obayashi
    • Koujirou Yamamoto
  • View Affiliations / Copyright

    Affiliations: Education Center for Clinical Pharmacy, Faculty of Pharmacy, Takasaki University of Health and Welfare, Takasaki, Gunma 370‑0033, Japan, Department of Clinical Pharmacology and Therapeutics, Gunma University Graduate School of Medicine, Maebashi, Gunma 371‑8511, Japan, Department of Pharmacy, Gunma University Hospital, Maebashi, Gunma 371‑8511, Japan, Laboratory of Clinical Pharmacy, Faculty of Pharmacy, Takasaki University of Health and Welfare, Takasaki, Gunma 370‑0033, Japan, Department of Orthopedic Surgery, Gunma University Graduate School of Medicine, Maebashi, Gunma 371‑8511, Japan
    Copyright: © Nagamine et al. This is an open access article distributed under the terms of Creative Commons Attribution License.
  • Article Number: 70
    |
    Published online on: December 29, 2022
       https://doi.org/10.3892/ol.2022.13656
  • Expand metrics +
Metrics: Total Views: 0 (Spandidos Publications: | PMC Statistics: )
Metrics: Total PDF Downloads: 0 (Spandidos Publications: | PMC Statistics: )
Cited By (CrossRef): 0 citations Loading Articles...

This article is mentioned in:



Abstract

In the high‑dose methotrexate (HD‑MTX) treatment of patients with osteosarcoma, a dose‑adjustment method using individual pharmacokinetic parameters (PK method) to optimize the concentration was developed in 2010. However, to the best of our knowledge, the clinical usefulness of the PK method has not been verified until now. In the present retrospective study, to assess the usefulness of the PK method, the achievement rate of an effective and safe concentration range was evaluated. A total of 43 patients with osteosarcoma who were administered HD‑MTX therapy (43 first courses and 200 subsequent courses) were enrolled. The MTX dose in the first course was determined using a common method based on body surface area (BSA method); a total of 8‑12 g/m2 was administered as an initial dose for 1 h and a maintenance dose for 5 h. In the subsequent courses, loading and maintenance doses were calculated by the PK method based on the serum MTX concentration profile of the previous course. The effective target concentration during 1‑6 h after the start of MTX administration was 700‑1,000 µmol/l, whereas the target safe MTX level was less than 10, 1 and 0.1 µmol/l at 24, 48 and 72 h, respectively. Notably, the rate of achieving the effective target concentration was significantly higher when using the PK method as compared to that when using the BSA method. The achievement rate of the safe target concentration at 24, 48 and 72 h when using the PK method was significantly higher. Additionally, the incidence of abnormal laboratory values of aspartate aminotransferase and alanine aminotransferase was significantly lower when using the PK method. Therefore, the PK method was suggested to be very useful in HD‑MTX therapy for patients with osteosarcoma.

Introduction

Methotrexate (MTX) inhibits the enzyme that converts dihydrofolate to tetrahydrofolate and exhibits antineoplastic and immunosuppressive effects (1,2). For the antineoplastic effects of MTX, it is necessary to increase drug delivery to cancer cells by passive membrane transport based on concentration gradients. Therefore, high-dose MTX (HD-MTX) therapy is used in clinical settings. However, administration of HD-MTX to the body causes severe toxicity in normal cells, resulting in lethal side effects. Therefore, leucovorin, an active folate, is administered to reduce this toxicity (3–6). Inhibition of the folate cycle of MTX in cancer cells is not compensated by leucovorin because cancer cells do not have a mechanism for leucovorin uptake (4,6–8). Due to this advantage, HD-MTX therapy is widely used at present and exhibits high efficacy in various carcinomas, especially osteosarcoma (9–14).

MTX exhibits time-dependent antitumor effects, and exposure time as well as the maximum concentration (Cmax) are important in HD-MTX therapy (2,10,15). When MTX is infused continuously for over 4–6 h, Cmax of more than 700–1,000 µmol/l is associated with prolonged disease-free survival, tumor necrosis, and improved 5-year survival rates in patients with osteosarcoma (16–21). However, in infusing for over 6 h, Cmax of more than 1,000 µmol/l is suggested to no longer improve the efficacy (20). Therefore, in the clinical field, where continuous infusion over 6 h is widely used, increasing the Cmax to about 700–1,000 µmol/l for successful treatment is recommended. In contrast, some reports suggest that Cmax is not associated with clinical efficacy (10,21–23). Intra-individual variability in blood MTX levels has been pointed to as a factor underlying these contradictory results (24,25). Because of the large intra-individual variability in MTX clearance depending on each course of HD-MTX therapy, it is thought that many of the previous studies have not been able to assess adequate blood MTX levels. Therefore, the importance of blood MTX concentrations in efficacy remains inconclusive. However, dosing regimens in HD-MTX therapy have been designed based on blood MTX levels, as these levels may be the only predictive factor for efficacy.

Adverse events are also a major problem in HD-MTX therapy, and even with leucovorin rescue, HD-MTX therapy remains highly toxic. For safety, serum MTX concentrations of less than 10, 1, and 0.1 µmol/l at 24, 48, and 72 h, respectively, after starting MTX administration are recommended (1,6,21,26–31). Delayed MTX excretion not only causes serious adverse events such as myelosuppression, renal dysfunction, hepatic dysfunction, and mucositis but also makes it difficult to continue the treatment and worsens patient prognosis (1,10). Approximately 10% of deaths in patients with osteosarcoma are reported to be caused by factors other than osteosarcoma, and MTX is considered to be the most important causative drug related to death (32). Therefore, less toxic therapies for osteosarcoma that do not depend on HD-MTX therapy have also been investigated (33,34), however their clinical applicability has not been established. Consequently, the safe administration of HD-MTX therapy, which has a high risk of adverse effects, is crucial for patient prognosis and requires that blood MTX levels be maintained within the effective concentration range, followed by a rapid reduction to the safety range.

The body surface area (BSA) method, which calculates the dose based on BSA, is widely used in HD-MTX therapy and shows that 8–12 g/m2 of MTX is required to achieve a Cmax >700 µmol/l by continuous infusion for 6 h (4,16,18,20,23,28,35). However, the serum concentration of MTX varies by 5–10 times in BSA-based dosing designs (21–23,36), because the BSA method does not account for intra-individual variability between courses (24,25), in addition to inter-individual variability in MTX clearance due to several factors, including renal function, gender, and age (37–40). Thus, the high efficacy and safety of HD-MTX therapy cannot be ensured in several cases. As an individualized dosing method that also considers intra-individual variability, methods utilizing pharmacokinetic (PK) parameters have attracted research attention (41). In 2010, to stabilize blood MTX levels in individuals with osteosarcoma, Fujita et al (42) developed a dose-adjustment method using the PK parameter (PK method) for each patient to calculate MTX dose for loading (0–1 h) and maintenance (1–6 h) infusion by analyzing individual PK parameters of the serum MTX concentration profile from the previous course and showed its safety despite of larger dose compared to traditional constant rate infusion for 0–6 h in nine patients with osteosarcoma. However, whether the PK method can control the blood MTX concentration to the effective range and safely administer MTX in comparison with the conventional BSA method, remain known. To optimize the treatment of osteosarcoma patients with HD-MTX therapy, appropriate evaluation of the effect on blood levels and the safety of the PK method is necessary. Therefore, in this study, to verify the utility of the PK method for designing individualized dosing in HD-MTX therapy, the target concentration achievement rate for efficacy and safety using the BSA and PK methods was evaluated retrospectively.

Materials and methods

Subjects and HD-MTX regimen

Patients with osteosarcoma who underwent HD-MTX therapy at the Department of Orthopedic Surgery, Gunma University Hospital, from April 2004 to March 2020 were enrolled in this study. During the HD-MTX therapy, the MTX dose in the first course was determined by the BSA method; a total of 8–12 g/m2 was administered as an initial dose for 1 h and a maintenance dose for 5 h. In the subsequent courses, loading and maintenance infusion doses were calculated by the PK method using the PK parameters of each patient, which were calculated based on their serum concentration profiles from the previous course, according to the report by Fujita et al (42). The target serum MTX concentration was 700–1,000 µmol/l after 1–6 h, and less than 10, 1, and 0.1 µmol/l at 24, 48, and 72 h, respectively, from the start of administration. The loading and maintenance doses can be slightly adjusted according to the discretion of the attending physician. Leucovorin rescue was initiated 24 h after starting HD-MTX therapy. Leucovorin was started at a dose of 21 mg administered every 3 h and adjusted according to the serum concentration of MTX at 48 and 72 h. After 72 h of MTX treatment, leucovorin was continued until the serum MTX concentration reached 0.1 µmol/l. Sodium bicarbonate was administered to maintain urine pH >7, and hydration and acetazolamide were administered to maintain urine volume.

Data collection and assessment

Electronic medical records from Gunma University Hospital were used to retrospectively survey patient history and MTX-related laboratory data. The following characteristics were surveyed: age, sex, height, weight, BSA, diagnosis, site of onset, MTX dose, serum MTX concentration (a total of 10 points at 1, 2, 4, 6, 7, 9, 12, 24, 48, and 72 h after the start of MTX treatment, as C1-C72), number of courses of HD-MTX therapy, laboratory data [aspartate aminotransferase (AST), alanine aminotransferase (ALT), and serum creatinine levels], and treated patients with toxic MTX levels. As an efficacy index, the achievement of the MTX effective concentration (700–1,000 µmol/l) at Cmax and the mean concentration during maintenance dose [Cmean (1–6)] were evaluated. The achievement of the safety range (C24 <10 µmol/l, C48 <1 µmol/l, C72 <0.1 µmol/l), and the incidence of hepatic and renal dysfunction within 1 week after MTX administration were assessed to determine safety. AST, ALT, and creatinine clearance (Ccr) were used as indices of hepatic and renal dysfunction, respectively, and the Common Terminology Criteria for Adverse Events version 5.0 was used to evaluate the grade of the adverse event.

Calculation of dosage in the PK method

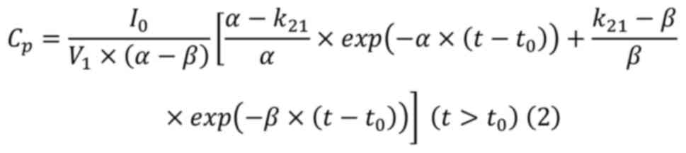
The PK parameter was calculated on a 10-point scale based on the serum MTX concentrations using the method described by Fujita et al (42). Assuming that the serum concentration profiles of MTX were represented by a linear two-compartment model, the serum MTX concentrations before and after the end of maintenance dose were applied to equations (1) and (2), respectively, and the nonlinear least-squares MULTI program was used to calculate α, β, the elimination rate constant (k10), and distribution volume of the central compartment (V1) (43).

Where Cp: Serum concentration; I0: Infusion rate; V1: distribution volume of central compartment; α and β: elimination rate constants at distribution and terminal phase (the real solutions of the equation [s2 + (k10 + k12 + k21)][s + (k21

+ k10)]=0), respectively; k10: the elimination rate constant; k12 and k21: inter compartmental transfer rate constants; t: time after the start of administration, and t0: the duration of infusion (6 h).

The loading and maintenance infusion doses were calculated using the equations (3) and (4). α and β were calculated from equations (1) and (2), and CLtot was estimated by dividing the total dose by the area under the concentration-time curve (AUC) calculated using the trapezoidal method. Ctarget was set at 700 µmol/l; tinf for loading infusion and maintenance infusion was 1 and 5 h, respectively, and MWMTX was 454.45.

Where Ctarget is the target concentration; tinf is the infusion time; MWMTX is the molecular weight of MTX, and CLtot is the total body clearance.

Statistical analysis

Unpaired Student's t-test was used to compare the mean values of the PK parameters of the BSA and PK methods. The achievement rates of target concentrations of efficacy and safety and the incidence of adverse events of each dosing method were compared using Pearson's chi-square test or Fisher's exact test. Adverse events were divided into two categories for analysis: Grade ≥2 adverse events, which required treatment, and grade ≤1 adverse events, which did not require treatment. Logistic regression analysis was used to correct for the effects of known factors (age, sex, creatinine clearance immediately before MTX administration, and MTX dosage) on the association of each dosing method with delayed MTX excretion assessed by C24, C48, and C72 and adverse events (37–40,44). Statistical analysis was performed using the SPSS software version 26.0 (SPSS, Inc., Chicago, IL, USA). P<0.05 was considered to indicate a statistically significant difference.

Results

Characteristics of patients

Patient characteristics are shown in Table I. A total of 43 patients were included, with a median age of 17.0 years. In the first dose, 43 courses with the BSA method were performed. In the subsequent courses, 200 courses of the PK method were performed.

Table I.

Characteristics of patients.

Table I.

Characteristics of patients.

CharacteristicsValues
Sex, n (%)
  Male26 (60.5)
  Female17 (39.5)
Median age (range), years17 (8–74)
Median body surface area (range), m21.56 (0.71-1.98)
Median total number of courses of HD-MTX therapy (range)5 (1–12)
Median serum creatinine at diagnosis(range), mg/dl0.57 (0.22-1.67)
Median creatinine clearance at diagnosis (range), ml/min135.38 (61.07-307.58)
Location, n (%)
  Lower limb24 (55.8)
  Upper limb8 (18.6)
  Pelvis6 (14.0)
  Others5 (11.6)

[i] HD-MTX, high dose methotrexate.

MTX concentration and clearance for each dosing design

Table II and Fig. 1 show the dosing and blood concentration profiles in the BSA and PK methods. There were no significant differences in the MTX dosage and mean blood concentration of the effective range between the BSA and PK methods. The serum concentration was the highest immediately after completion of loading infusion (at 1 h), and the coefficient of variation was 26.7% in the BSA method and 17.4% in the PK method. Similarly, for Cmax and Cmean (1–6), the coefficients of variation of the BSA method were 23.2 and 18.5%, and those of the PK method were 17.2 and 16.3%, respectively. MTX clearance varied from 2.74-8.14 l/h in the first course administered by the BSA method, with a 0.74-2.84-fold change in MTX clearance after the second course compared to the first course (Fig. 2).

Figure 1.

Serum MTX concentration profile for each course after MTX administration in the (A) BSA method and (B) PK method. MTX, methotrexate; BSA, body surface area; PK, pharmacokinetics.

Figure 2.

Changes in MTX clearance during each course of HD-MTX therapy in each patient with osteosarcoma. MTX, methotrexate; HD-MTX, high-dose methotrexate; BSA, body surface area; PK, pharmacokinetics.

Table II.

Dosage and concentration of MTX for each dosing design.

Table II.

Dosage and concentration of MTX for each dosing design.

ParametersBSA method n=43PK method n=200P-value
Loading dose, g/m24.44±0.53 (11.9)4.30±0.71 (16.5)0.148
Maintenance dose, g/m25.45±0.62 (11.4)5.49±1.13 (20.6)0.766
Total dose, g/m29.90±0.80 (8.1)9.80±1.64 (16.7)0.551
C1, µmol/l945.8±252.4 (26.7)936.8±163.3 (17.4)0.824
C2, µmol/l734.4±190.5 (25.9)733.9±143.0 (19.5)0.985
C4, µmol/l694.6±138.6 (20.0)697.6±132.3 (19.0)0.897
C6, µmol/l666.6±142.6 (21.4)679.1±157.7 (23.2)0.637
C24, µmol/l11.04±24.56 (222.5)4.32±3.67 (85.0)0.081
C48, µmol/l1.07±3.36 (314.0)0.27±0.22 (81.5)0.128
C72, µmol/l0.30±0.64 (213.3)0.09±0.08 (88.9)0.042
Cmax, µmol/l973.6±225.6 (23.2)941.8±162.1 (17.2)0.280
Cmean (1–6), µmol/l760.4±140.5 (18.5)762.2±124.5 (16.3)0.932
AUC (0–72), µmol/l × h6732±1569 (23.3)6493±1203 (18.5)0.349
CLtot, l/h5.14±1.30 (25.3)5.24±1.12 (21.4)0.593

[i] Data are presented as the mean ± standard deviation (coefficient of variation, %). Data were analyzed using Student's t-test. MTX, methotrexate; BSA, body surface area; PK, pharmacokinetics; C1, C2, C4, C6, C24, C48, and C72, concentrations at 1, 2, 4, 6, 24, 48, and 72 h after the start of MTX infusion, respectively; Cmax, maximum concentration; Cmean (1–6), mean concentration during maintenance dose; AUC, area under the concentration-time curve; CLtot, total body clearance.

Achievement rates of target concentrations are shown in Table III. The rate of achieving the target concentration (700–1,000 µmol/l) of Cmean (1–6) was significantly higher in the PK method than in the BSA method (P=0.030), but that of Cmax was not significantly different (P=0.735). On the contrary, zero cases of Cmax >1,500 µmol/l were found in the PK method, which was significantly lower than the two cases in the BSA method (P=0.033). The rates of reaching the safety range for C24, C48, and C72 were significantly higher in the PK method than in the BSA method at all concentrations (P<0.001, P=0.003, and P=0.006, respectively). Of the cases, wherein C48 became toxic, four courses of the BSA method and two courses of the PK method required advanced intervention with cholestyramine administration in addition to usual leucovorin rescue therapy. The rate of advanced intervention required was significantly lower with the PK method (P=0.010). Furthermore, in addition to age and sex, the BSA method was extracted as an independent factor for delayed MTX excretion (C24>10 µmol/l, C48>1 µmol/l, C72>0.1 µmol/l), and adjusted odds ratios were 3.534 (95% CI: 1.326–9.434, P=0.012), 8.065 (95% CI: 2.020–32.29, P=0.003), and 2.299 (95% CI: 1.107–4.762, P=0.025) (Table SI).

Table III.

The achievement rate of target MTX concentration.

Table III.

The achievement rate of target MTX concentration.

CharacteristicsBSA method n=43PK method n=200P-value
Efficacy
  Cmax
    700-1,000 µmol/l27 (62.8)131 (65.5)0.735a
    <700 µmol/l2 (4.7)12 (6.0)1.000b
    >1,000 µmol/l14 (32.6)57 (28.5)0.596a
  Cmean (1–6)
    700-1,000 µmol/l22 (51.1)137 (68.5)0.030a
    <700 µmol/l18 (41.9)56 (28.0)0.073a
    >1,000 µmol/l3 (7.0)7 (3.5)0.388b
Safety
  C24 <10 µmol/l33 (76.7)187 (93.5) <0.001a
  C48 <1 µmol/l37 (86.0)196 (98.0)0.003b
  C72 <0.1 µmol/l20 (46.5)137 (68.5)0.006a

{ label (or @symbol) needed for fn[@id='tfn3-ol-25-2-13656'] } Data are presented as numbers (%). Data were analyzed using

a Pearson's chi-square test and

b Fisher's exact test. BSA, body surface area; PK, pharmacokinetics; Cmax, maximum concentration; Cmean (1–6), mean concentration during maintenance dose; C24, C48, and C72, concentrations at 24, 48, and 72 h after the start of methotrexate infusion, respectively.

Adverse events

The incidences of hepatic and renal dysfunction in the BSA and PK methods are shown in Fig. 3. Increase in AST and ALT within 1 week after HD-MTX administration were significantly lower in the PK method than in the BSA method (P=0.003 and 0.003). Furthermore, in addition to age and sex, the BSA method was extracted as an independent factor for increased AST and ALT levels, and adjusted odds ratios were 2.941 (95% CI: 1.404-6.173, P=0.004), and 3.205 (95% CI: 1.490-6.897, P=0.003), respectively (Table SII). Although there was no significant difference in the decrease in Ccr (P=0.182), none of the patients with Ccr decreased when the PK method was used. Since there were few cases of decreased Ccr, a multivariate analysis could not be performed.

Figure 3.

Comparison of the incidences of hepatic dysfunction and renal dysfunction between the BSA (n=43) and PK method (n=200). Adverse events were represented as no episodes, grades 1, 2, 3 and 4, and were classified as grade ≤1 or ≥2 for analysis using the Pearson's chi-square test. BSA, body surface area; PK, pharmacokinetics; AST, aspartate aminotransferase; ALT, alanine aminotransferase; Ccr, creatinine clearance.

Discussion

In the BSA method, widely used for dose calculation, serum MTX concentrations of patients vary widely because of large inter-individual and intra-individual variability (21–25), and administration of HD-MTX is difficult in many cases. A dosing method based on individual PK parameters is one of the choices. To our knowledge based on our findings, although this has not been validated in an in vitro study, the utilization of PK parameters has been clinically proven to be useful in anticancer therapy (41,42,45–47). However, the utility of the PK method for osteosarcoma compared to conventional methods has not been validated. Thus, we examined whether the use of the PK method helped achieve the target concentrations for efficacy and safety and confirmed its usefulness in patients with osteosarcoma.

In the PK method, the mean values of C1 after loading infusion and Cmean (1–6) during maintenance infusion were similar to those of the BSA method, and the serum concentration during maintenance infusion tended to decrease with time. Therefore, to maintain C1-C6 at 700–1,000 µmol/l, it may be necessary to change to the more appropriate PK model to predict the increased maintenance dose. Evaluating by Cmean (1–6), the control rate within the target concentration was significantly higher in the PK method than in the BSA method (P=0.030). In addition, significantly fewer patients had a concentration of more than 1,500 µmol/l, a known poor prognostic factor (10,23), in the PK method compared to the BSA method (P=0.033). This may be due to the smaller variation in C1-C6 in the PK method as compared to the BSA method. Regarding safety, the rates of reaching the safety range for C24, C48, and C72 were significantly higher than those by the BSA method (P<0.001, P=0.003, and P=0.006, respectively). Furthermore, the incidence of hepatic dysfunction caused by MTX was also significantly lower than that found by the BSA method (P=0.005 and 0.001), suggesting that the PK method was safer than the BSA method. Consequently, although it is difficult to increase the maintenance dose with the BSA method due to delayed MTX excretion and the risk of adverse events, the maintenance dose can be increased to maintain the C1-C6 concentration at 700–1,000 µmol/l while avoiding adverse events using the PK method. On the other hand, maintenance of high MTX concentrations has only been demonstrated in some in vitro and in vivo studies (2,10,15), and the clinical usefulness and target values of Cmean (1–6) need to be verified in detail in the future.

MTX clearance varies with its repeated administration (24,25), and this study also confirmed a 0.47-2.84-fold change in MTX clearance compared to the clearance after the first administration. Despite this change in MTX clearance, we thought that the PK method was able to control the target therapeutic concentration range safely compared to the BSA method because of the individualized dosing method that considers more immediate prior MTX clearance. For individual differences in MTX concentrations, the population PK analysis of MTX by Dupuis et al (48) and Lui et al (49) reported that the contribution of BSA was small and that of individual patient clearance was large, consistent with our data. Moreover, our results are comparable to those of Pauley et al (45) that validated the utility of an individualized dosing design for acute lymphocytic leukemia (ALL) utilizing changes in MTX clearance in the previous course, similar to the approach used in this study. However, even with the PK method, it was difficult to control the target concentration for patients with large intra-individual variability between courses. In recent years, a method to adjust MTX dosage in real-time by analyzing blood MTX levels during continuous infusion in patients with ALL has also been investigated (46,47). In a patient with ALL who received MTX 3–5 g/m2 over 24 h, Shen et al (47) reported that adjusting the infusion time, using the concentration at 16 h after the start of MTX administration as a reference, not only improved safety but also ensured the therapeutic target concentration compared to the fixed-dose regimen. Foster et al (46) found similar results to Shen et al (47), using MTX concentration at 2 and 6–8 h after MTX administration to adjust the subsequent infusion time. While these methods do not require complex PK analysis unlike our method, their application to HD-MTX therapy for patients with osteosarcoma given continuous infusion at 4 or 6 h is very complicated. Moreover, it is an unsuitable method for upward dose adjustment. Therefore, the PK method may be considered the optimal dosing design for HD-MTX therapy in patients with osteosarcoma at this time. Although the factors of inter-individual variability are being clarified, the intra-individual variability factors in MTX clearance for each course are still unknown, and we believe that elucidating these factors will improve the PK method to a more accurate individualized dosing method.

This study has the following limitations. First, it is a single-center retrospective survey; thus, multiple biases are possible and no causal effect can be proved. Second, many blood samples is required, and the procedure is challenging to perform. Because the necessity of blood collection at all points has not been mentioned, the number of blood collection points needs to be revised. In addition, to reduce the burden on patients and health personnel, it is necessary to further verify the necessity of switching to the PK method in patients for whom C24, C48, and C72 enter the safe range, and Cmean (1–6) and Cmax reach the effective concentration range by the BSA method.

In conclusion, this study demonstrated for the first time that the PK method significantly reduced the incidence of adverse events as well as increased the rate of achieving the effective serum concentration range and safety range as compared to the BSA method in patients with osteosarcoma who require higher doses of MTX than other diseases. Therefore, the PK method is very useful for HD-MTX therapy.

Supplementary Material

Supporting Data

Acknowledgements

The authors would like to thank Dr Emiri Takahashi and Dr Yuta Takahashi (Faculty of Pharmacy, Takasaki University of Health and Welfare, Gunma, Japan), for their guidance and help.

Funding

Funding: No funding was received.

Availability of data and materials

The datasets used and/or analyzed during the current study are available from the corresponding author on reasonable request.

Authors' contributions

AN and TA contributed to the study design and drafting of the manuscript. HY, AK and TS collected and analyzed the clinical data. AN and TA confirmed the authenticity of all the raw data. TY, KO and KY were involved in data interpretation and discussion. All authors read and approved the final manuscript.

Ethics approval and consent to participate

This study was approved by the ethics committees of Gunma University (approval no. HS2020-002) and Takasaki University of Health and Welfare (approval no. 2007). This study was a retrospective study using data from the past 16 years, and it was difficult to obtain informed consent from all subjects. Hence, based on the approval of the Ethics Committee, an opt-out approach was adopted instead of obtaining consent from all participants. The study was widely publicized, and sufficient time was allowed for the study subjects to declare their willingness of refusal to participate in the study.

Patient consent for publication

Not applicable.

Competing interests

The authors declare that they have no competing interests.

References

1 

Widemann BC and Adamson PC: Understanding and managing methotrexate nephrotoxicity. Oncologist. 11:694–703. 2006. View Article : Google Scholar : PubMed/NCBI

2 

Rizvi SAA, Shahzad Y, Saleh AM and Muhammad N: Dose issues in cancer chemotherapy. Oncology. 98:520–527. 2020. View Article : Google Scholar : PubMed/NCBI

3 

Tishler M, Caspi D, Fishel B and Yaron M: The effects of leucovorin (folinic acid) on methotrexate therapy in rheumatoid arthritis patients. Arthritis Rheum. 31:906–908. 1988. View Article : Google Scholar : PubMed/NCBI

4 

Jaffe N and Gorlick R: High-dose methotrexate in osteosarcoma: Let the questions surcease-time for final acceptance. J Clin Oncol. 26:4365–4366. 2008. View Article : Google Scholar : PubMed/NCBI

5 

Shea B, Swinden MV, Ghogomu ET, Ortiz Z, Katchamart W, Rader T, Bombardier C, Wells GA and Tugwell P: Folic acid and folinic acid for reducing side effects in patients receiving methotrexate for rheumatoid arthritis. J Rheumatol. 41:1049–1060. 2014. View Article : Google Scholar : PubMed/NCBI

6 

Jiang R, Mei S and Zhao Z: Leucovorin (folinic acid) rescue for high-dose methotrexate: A review. J Clin Pharm Ther. 47:1452–1460. 2022. View Article : Google Scholar : PubMed/NCBI

7 

Wilmanns W, Sauer H and Schalhorn A: Biochemical control of high-dose methotrexate/leucovorin rescue therapy. Recent Results Cancer Res. 74:42–49. 1980. View Article : Google Scholar : PubMed/NCBI

8 

Visentin M, Zhao R and Goldman ID: The antifolates. Hematol Oncol Clin North Am. 26629–648. (ix)2012. View Article : Google Scholar : PubMed/NCBI

9 

Meyers PA, Gorlick R, Heller G, Casper E, Lane J, Huvos AG and Healey JH: Intensification of preoperative chemotherapy for osteogenic sarcoma: Results of the memorial sloan-kettering (T12) protocol. J Clin Oncol. 16:2452–2458. 1998. View Article : Google Scholar : PubMed/NCBI

10 

Crews KR, Liu T, Rodriguez-Galindo C, Tan M, Meyer WH, Panetta JC, Link MP and Daw NC: High-dose methotrexate pharmacokinetics and outcome of children and young adults with osteosarcoma. Cancer. 100:1724–1733. 2004. View Article : Google Scholar : PubMed/NCBI

11 

Anninga JK, Gelderblom H, Fiocco M, Kroep JR, Taminiau AHM, Hogendoorn PCW and Egeler RM: Chemotherapeutic adjuvant treatment for osteosarcoma: Where do we stand? Eur J Cancer. 47:2431–2445. 2011. View Article : Google Scholar : PubMed/NCBI

12 

Zhang B and Zhang Y, Li R, Li J, Lu X and Zhang Y: The efficacy and safety comparison of first-line chemotherapeutic agents (high-dose methotrexate, doxorubicin, cisplatin, and ifosfamide) for osteosarcoma: A network meta-analysis. J Orthop Surg Res. 15:512020. View Article : Google Scholar : PubMed/NCBI

13 

Rathore R and Van Tine BA: Pathogenesis and current treatment of osteosarcoma: Perspectives for future therapies. J Clin Med. 10:11822021. View Article : Google Scholar : PubMed/NCBI

14 

Rajeswari B, Guruprasad CS, Nair M, Prasanth VR, Sugath BS and Thankamony P: High dose methotrexate containing regimen in pediatric non-metastatic extremity osteosarcoma patients: Experience from a tertiary cancer center in India. Pediatr Hematol Oncol. 39:225–232. 2022. View Article : Google Scholar : PubMed/NCBI

15 

Pinedo HM and Chabner BA: Role of drug concentration, duration of exposure, and endogenous metabolites in determining methotrexate cytotoxicity. Cancer Treat Rep. 61:709–715. 1977.PubMed/NCBI

16 

Ferrari S, Sassoli V, Orlandi M, Strazzari S, Puggioli C, Battistini A and Bacci G: Serum methotrexate (MTX) concentrations and prognosis in patients with osteosarcoma of the extremities treated with a multidrug neoadjuvant regimen. J Chemother. 5:135–141. 1993. View Article : Google Scholar : PubMed/NCBI

17 

Graf N, Winkler K, Betlemovic M, Fuchs N and Bode U: Methotrexate pharmacokinetics and prognosis in osteosarcoma. J Clin Oncol. 12:1443–1451. 1994. View Article : Google Scholar : PubMed/NCBI

18 

Delepine N, Delepine G, Cornille H, Brion F, Arnaud P and Desbois JC: Dose escalation with pharmacokinetics monitoring in methotrexate chemotherapy of osteosarcoma. Anticancer Res. 15:489–494. 1995.PubMed/NCBI

19 

Bacci G, Ferrari S, Picci P, Zolezzi C, Gherlinzoni F, Iantorno D and Cazzola A: Methotrexate serum concentration and histological response to multiagent primary chemotherapy for osteosarcoma of the limbs. J Chemother. 8:472–478. 1996. View Article : Google Scholar : PubMed/NCBI

20 

Bacci G, Ferrari S, Delepine N, Bertoni F, Picci P, Mercuri M, Bacchini P, Brach del Prever A, Tienghi A, Comandone A and Campanacci M: Predictive factors of histologic response to primary chemotherapy in osteosarcoma of the extremity: Study of 272 patients preoperatively treated with high-dose methotrexate, doxorubicin, and cisplatin. J Clin Oncol. 16:658–663. 1998. View Article : Google Scholar : PubMed/NCBI

21 

Lin F, Juan Y, Zheng SE, Shen Z, Tang LN, Zhao H and Yao Y: Relationship of serum methotrexate concentration in high-dose methotrexate chemotherapy to prognosis and tolerability: A prospective cohort study in Chinese adults with osteosarcoma. Curr Ther Res Clin Exp. 70:150–160. 2009. View Article : Google Scholar : PubMed/NCBI

22 

Zelcer S, Kellick M, Wexler LH, Shi W, Sankaran M, Lo S, Healey J, Huvos AG, Meyers PA and Gorlick R: Methotrexate levels and outcome in osteosarcoma. Pediatr Blood Cancer. 44:638–642. 2005. View Article : Google Scholar : PubMed/NCBI

23 

Wang B, Yao H, Xie X, Yin J, Zou C, Huang G and Shen J: Relationship of peak serum methotrexate concentration to prognosis and drug tolerance in non-metastatic extremity osteosarcomas. Cancer Chemother Pharmacol. 82:221–227. 2018. View Article : Google Scholar : PubMed/NCBI

24 

Kawakatsu S, Nikanjam M, Lin M, Le S, Saunders I, Kuo DJ and Capparelli EV: Population pharmacokinetic analysis of high-dose methotrexate in pediatric and adult oncology patients. Cancer Chemother Pharmacol. 84:1339–1348. 2019. View Article : Google Scholar : PubMed/NCBI

25 

Arshad U, Taubert M, Seeger-Nukpezah T, Ullah S, Spindeldreier KC, Jaehde U, Hallek M, Fuhr U, Vehreschild JJ and Jakob C: Evaluation of body-surface-area adjusted dosing of high-dose methotrexate by population pharmacokinetics in a large cohort of cancer patients. BMC Cancer. 21:7192021. View Article : Google Scholar : PubMed/NCBI

26 

Stoller RG, Hande KR, Jacobs SA, Rosenberg SA and Chabner BA: Use of plasma pharmacokinetics to predict and prevent methotrexate toxicity. N Engl J Med. 297:630–634. 1977. View Article : Google Scholar : PubMed/NCBI

27 

Perez C, Wang YM, Sutow WW and Herson J: Significance of the 48-h plasma level in high-dose methotrexate regimens. Cancer Clin Trials. 1:107–111. 1978.PubMed/NCBI

28 

Hegyi M, Gulácsi A, Cságoly E, Csordás K, Eipel OT, Erdélyi DJ, Müller J, Nemes K, Lautner-Csorba O and Kovács GT: Clinical relations of methotrexate pharmacokinetics in the treatment for pediatric osteosarcoma. J Cancer Res Clin Oncol. 138:1697–1702. 2012. View Article : Google Scholar : PubMed/NCBI

29 

Park JA and Shin HY: Influence of genetic polymorphisms in the folate pathway on toxicity after high-dose methotrexate treatment in pediatric osteosarcoma. Blood Res. 51:50–57. 2016. View Article : Google Scholar : PubMed/NCBI

30 

Howard SC, McCormick J, Pui CH, Buddington RK and Harvey RD: Preventing and managing toxicities of high-dose methotrexate. Oncologist. 21:1471–1482. 2016. View Article : Google Scholar : PubMed/NCBI

31 

Traivaree C, Likasitthananon N, Monsereenusorn C and Rujkijyanont P: The effect of intravenous hydration strategy on plasma methotrexate clearance during intravenous high-dose methotrexate administration in pediatric oncology patients. Cancer Manag Res. 10:4471–4478. 2018. View Article : Google Scholar : PubMed/NCBI

32 

Bielack SS, Blattmann C, Borkhardt A, Csóka M, Hassenpflug W, Kabíčková E, Kager L, Kessler T, Kratz C, Kühne T, et al: Osteosarcoma and causes of death: A report of 1520 deceased patients from the cooperative osteosarcoma study group (COSS). Eur J Cancer. 176:50–57. 2022. View Article : Google Scholar : PubMed/NCBI

33 

Shaikh AB, Li F, Li M, He B, He X, Chen G, Guo B, Li D, Jiang F, Dang L, et al: Present advances and future perspectives of molecular targeted therapy for osteosarcoma. Int J Mol Sci. 17:5062016. View Article : Google Scholar : PubMed/NCBI

34 

Rathore R, Caldwell KE, Schutt C, Brashears CB, Prudner BC, Ehrhardt WR, Leung CH, Lin H, Daw NC, Beird HC, et al: Metabolic compensation activates pro-survival mTORC1 signaling upon 3-phosphoglycerate dehydrogenase inhibition in osteosarcoma. Cell Rep. 34:1086782021. View Article : Google Scholar : PubMed/NCBI

35 

Kwong DL, Ha SY, Chau KY, Choi PH, Chan GC, Kwong PW and Lau YL: Multidisciplinary management of osteosarcoma: Experience in Hong Kong. Pediatr Hematol Oncol. 15:229–236. 1998. View Article : Google Scholar : PubMed/NCBI

36 

Watanabe M, Fukuoka N, Takeuchi T, Yamaguchi K, Motoki T, Tanaka H, Kosaka S and Houchi H: Developing population pharmacokinetic parameters for high-dose methotrexate therapy: Implication of correlations among developed parameters for individual parameter estimation using the bayesian least-squares method. Biol Pharm Bull. 37:916–921. 2014. View Article : Google Scholar : PubMed/NCBI

37 

Fukuhara K, Ikawa K, Morikawa N and Kumagai K: Population pharmacokinetics of high-dose methotrexate in Japanese adult patients with malignancies: A concurrent analysis of the serum and urine concentration data. J Clin Pharm Ther. 33:677–684. 2008. View Article : Google Scholar : PubMed/NCBI

38 

Wippel B, Gundle KR, Dang T, Paxton J, Bubalo J, Stork L, Fu R, Ryan CW and Davis LE: Safety and efficacy of high-dose methotrexate for osteosarcoma in adolescents compared with young adults. Cancer Med. 8:111–116. 2019. View Article : Google Scholar : PubMed/NCBI

39 

Young EP, Cheng WS, Bernhardt MB, Wang LL, Rainusso N and Foster JH: Risk factors associated with delayed methotrexate clearance and increased toxicity in pediatric patients with osteosarcoma. Pediatr Blood Cancer. 67:e281232020. View Article : Google Scholar : PubMed/NCBI

40 

Abe K, Maeda-Minami A, Ishizu T, Iwata S, Kobayashi E, Shimoi T, Kawano Y, Hashimoto H, Yamaguchi M, Furukawa T, et al: Risk factors for hepatic toxicity of high-dose methotrexate in patients with osteosarcoma. Anticancer Res. 42:1043–1050. 2022. View Article : Google Scholar : PubMed/NCBI

41 

Porta-Oltra B and Merino-Sanjuán M: Personalized pharmacotherapy in oncology: Application of pharmacokinetic-pharmacodynamic criteria. Farm Hosp. 45:45–55. 2021.PubMed/NCBI

42 

Fujita Y, Nakamura T, Aomori T, Nishiba H, Shinozaki T, Yanagawa T, Takagishi K, Watanabe H, Okada Y, Nakamura K, et al: Pharmacokinetic individualization of high-dose methotrexate chemotherapy for the treatment of localized osteosarcoma. J Chemother. 22:186–190. 2010. View Article : Google Scholar : PubMed/NCBI

43 

Yamaoka K, Tanigawara K, Nakagawa T and Uno T: A pharmacokinetic analysis program (multi) for microcomputer. J Pharmacobiodyn. 4:879–885. 1981. View Article : Google Scholar : PubMed/NCBI

44 

Misaka KO, Suga Y, Staub Y, Tsubata A, Shimada T, Sai Y and Matsushita R: Risk factors for delayed elimination of methotrexate in children, adolescents and young adults with osteosarcoma. In Vivo. 34:3459–3465. 2020. View Article : Google Scholar : PubMed/NCBI

45 

Pauley JL, Panetta JC, Crews KR, Pei D, Cheng C, McCormick J, Howard SC, Sandlund JT, Jeha S, Ribeiro R, et al: Between-course targeting of methotrexate exposure using pharmacokinetically guided dosage adjustments. Cancer Chemother Pharmacol. 72:369–378. 2013. View Article : Google Scholar : PubMed/NCBI

46 

Foster JH, Thompson PA, Bernhardt MB, Margolin JF, Hilsenbeck SG, Jo E, Marquez-Do DA, Scheurer ME and Schafer ES: A prospective study of a simple algorithm to individually dose high-dose methotrexate for children with leukemia at risk for methotrexate toxicities. Cancer Chemother Pharmacol. 83:349–360. 2019. View Article : Google Scholar : PubMed/NCBI

47 

Shen YQ, Wang ZJ, Wu XY, Li K, Wang ZJ, Xu WF, Zhou F and Jin RM: Dose-individualization efficiently maintains sufficient exposure to methotrexate without additional toxicity in high-dose methotrexate regimens for pediatric acute lymphoblastic leukemia. Curr Med Sci. 42:769–777. 2022. View Article : Google Scholar : PubMed/NCBI

48 

Dupuis C, Mercier C, Yang C, Monjanel-Mouterde S, Ciccolini J, Fanciullino R, Pourroy B, Deville JL, Duffaud F, Bagarry-Liegey D, et al: High-dose methotrexate in adults with osteosarcoma: A population pharmacokinetics study and validation of a new limited sampling strategy. Anti Cancer Drugs. 19:267–273. 2008. View Article : Google Scholar : PubMed/NCBI

49 

Lui G, Treluyer JM, Fresneau B, Piperno-Neumann S, Gaspar N, Corradini N, Gentet JC, Marec Berard P, Laurence V, Schneider P, et al: A pharmacokinetic and pharmacogenetic analysis of osteosarcoma patients treated with high-dose methotrexate: Data from the OS2006/sarcoma-09 trial. J Clin Pharmacol. 58:1541–1549. 2018. View Article : Google Scholar : PubMed/NCBI

Related Articles

  • Abstract
  • View
  • Download
  • Twitter
Copy and paste a formatted citation
Spandidos Publications style
Nagamine A, Araki T, Yashima H, Kamimura A, Shiraishi T, Yanagawa T, Obayashi K and Yamamoto K: Target concentration achievement for efficacy and safety of patients with osteosarcoma treated with high‑dose methotrexate based on individual pharmacokinetics: A retrospective study. Oncol Lett 25: 70, 2023.
APA
Nagamine, A., Araki, T., Yashima, H., Kamimura, A., Shiraishi, T., Yanagawa, T. ... Yamamoto, K. (2023). Target concentration achievement for efficacy and safety of patients with osteosarcoma treated with high‑dose methotrexate based on individual pharmacokinetics: A retrospective study. Oncology Letters, 25, 70. https://doi.org/10.3892/ol.2022.13656
MLA
Nagamine, A., Araki, T., Yashima, H., Kamimura, A., Shiraishi, T., Yanagawa, T., Obayashi, K., Yamamoto, K."Target concentration achievement for efficacy and safety of patients with osteosarcoma treated with high‑dose methotrexate based on individual pharmacokinetics: A retrospective study". Oncology Letters 25.2 (2023): 70.
Chicago
Nagamine, A., Araki, T., Yashima, H., Kamimura, A., Shiraishi, T., Yanagawa, T., Obayashi, K., Yamamoto, K."Target concentration achievement for efficacy and safety of patients with osteosarcoma treated with high‑dose methotrexate based on individual pharmacokinetics: A retrospective study". Oncology Letters 25, no. 2 (2023): 70. https://doi.org/10.3892/ol.2022.13656
Copy and paste a formatted citation
x
Spandidos Publications style
Nagamine A, Araki T, Yashima H, Kamimura A, Shiraishi T, Yanagawa T, Obayashi K and Yamamoto K: Target concentration achievement for efficacy and safety of patients with osteosarcoma treated with high‑dose methotrexate based on individual pharmacokinetics: A retrospective study. Oncol Lett 25: 70, 2023.
APA
Nagamine, A., Araki, T., Yashima, H., Kamimura, A., Shiraishi, T., Yanagawa, T. ... Yamamoto, K. (2023). Target concentration achievement for efficacy and safety of patients with osteosarcoma treated with high‑dose methotrexate based on individual pharmacokinetics: A retrospective study. Oncology Letters, 25, 70. https://doi.org/10.3892/ol.2022.13656
MLA
Nagamine, A., Araki, T., Yashima, H., Kamimura, A., Shiraishi, T., Yanagawa, T., Obayashi, K., Yamamoto, K."Target concentration achievement for efficacy and safety of patients with osteosarcoma treated with high‑dose methotrexate based on individual pharmacokinetics: A retrospective study". Oncology Letters 25.2 (2023): 70.
Chicago
Nagamine, A., Araki, T., Yashima, H., Kamimura, A., Shiraishi, T., Yanagawa, T., Obayashi, K., Yamamoto, K."Target concentration achievement for efficacy and safety of patients with osteosarcoma treated with high‑dose methotrexate based on individual pharmacokinetics: A retrospective study". Oncology Letters 25, no. 2 (2023): 70. https://doi.org/10.3892/ol.2022.13656
Follow us
  • Twitter
  • LinkedIn
  • Facebook
About
  • Spandidos Publications
  • Careers
  • Cookie Policy
  • Privacy Policy
How can we help?
  • Help
  • Live Chat
  • Contact
  • Email to our Support Team