Spandidos Publications Logo
  • About
    • About Spandidos
    • Aims and Scopes
    • Abstracting and Indexing
    • Editorial Policies
    • Reprints and Permissions
    • Job Opportunities
    • Terms and Conditions
    • Contact
  • Journals
    • All Journals
    • Oncology Letters
      • Oncology Letters
      • Information for Authors
      • Editorial Policies
      • Editorial Board
      • Aims and Scope
      • Abstracting and Indexing
      • Bibliographic Information
      • Archive
    • International Journal of Oncology
      • International Journal of Oncology
      • Information for Authors
      • Editorial Policies
      • Editorial Board
      • Aims and Scope
      • Abstracting and Indexing
      • Bibliographic Information
      • Archive
    • Molecular and Clinical Oncology
      • Molecular and Clinical Oncology
      • Information for Authors
      • Editorial Policies
      • Editorial Board
      • Aims and Scope
      • Abstracting and Indexing
      • Bibliographic Information
      • Archive
    • Experimental and Therapeutic Medicine
      • Experimental and Therapeutic Medicine
      • Information for Authors
      • Editorial Policies
      • Editorial Board
      • Aims and Scope
      • Abstracting and Indexing
      • Bibliographic Information
      • Archive
    • International Journal of Molecular Medicine
      • International Journal of Molecular Medicine
      • Information for Authors
      • Editorial Policies
      • Editorial Board
      • Aims and Scope
      • Abstracting and Indexing
      • Bibliographic Information
      • Archive
    • Biomedical Reports
      • Biomedical Reports
      • Information for Authors
      • Editorial Policies
      • Editorial Board
      • Aims and Scope
      • Abstracting and Indexing
      • Bibliographic Information
      • Archive
    • Oncology Reports
      • Oncology Reports
      • Information for Authors
      • Editorial Policies
      • Editorial Board
      • Aims and Scope
      • Abstracting and Indexing
      • Bibliographic Information
      • Archive
    • Molecular Medicine Reports
      • Molecular Medicine Reports
      • Information for Authors
      • Editorial Policies
      • Editorial Board
      • Aims and Scope
      • Abstracting and Indexing
      • Bibliographic Information
      • Archive
    • World Academy of Sciences Journal
      • World Academy of Sciences Journal
      • Information for Authors
      • Editorial Policies
      • Editorial Board
      • Aims and Scope
      • Abstracting and Indexing
      • Bibliographic Information
      • Archive
    • International Journal of Functional Nutrition
      • International Journal of Functional Nutrition
      • Information for Authors
      • Editorial Policies
      • Editorial Board
      • Aims and Scope
      • Abstracting and Indexing
      • Bibliographic Information
      • Archive
    • International Journal of Epigenetics
      • International Journal of Epigenetics
      • Information for Authors
      • Editorial Policies
      • Editorial Board
      • Aims and Scope
      • Abstracting and Indexing
      • Bibliographic Information
      • Archive
    • Medicine International
      • Medicine International
      • Information for Authors
      • Editorial Policies
      • Editorial Board
      • Aims and Scope
      • Abstracting and Indexing
      • Bibliographic Information
      • Archive
  • Articles
  • Information
    • Information for Authors
    • Information for Reviewers
    • Information for Librarians
    • Information for Advertisers
    • Conferences
  • Language Editing
Spandidos Publications Logo
  • About
    • About Spandidos
    • Aims and Scopes
    • Abstracting and Indexing
    • Editorial Policies
    • Reprints and Permissions
    • Job Opportunities
    • Terms and Conditions
    • Contact
  • Journals
    • All Journals
    • Biomedical Reports
      • Information for Authors
      • Editorial Policies
      • Editorial Board
      • Aims and Scope
      • Abstracting and Indexing
      • Bibliographic Information
      • Archive
    • Experimental and Therapeutic Medicine
      • Information for Authors
      • Editorial Policies
      • Editorial Board
      • Aims and Scope
      • Abstracting and Indexing
      • Bibliographic Information
      • Archive
    • International Journal of Epigenetics
      • Information for Authors
      • Editorial Policies
      • Editorial Board
      • Aims and Scope
      • Abstracting and Indexing
      • Bibliographic Information
      • Archive
    • International Journal of Functional Nutrition
      • Information for Authors
      • Editorial Policies
      • Editorial Board
      • Aims and Scope
      • Abstracting and Indexing
      • Bibliographic Information
      • Archive
    • International Journal of Molecular Medicine
      • Information for Authors
      • Editorial Policies
      • Editorial Board
      • Aims and Scope
      • Abstracting and Indexing
      • Bibliographic Information
      • Archive
    • International Journal of Oncology
      • Information for Authors
      • Editorial Policies
      • Editorial Board
      • Aims and Scope
      • Abstracting and Indexing
      • Bibliographic Information
      • Archive
    • Medicine International
      • Information for Authors
      • Editorial Policies
      • Editorial Board
      • Aims and Scope
      • Abstracting and Indexing
      • Bibliographic Information
      • Archive
    • Molecular and Clinical Oncology
      • Information for Authors
      • Editorial Policies
      • Editorial Board
      • Aims and Scope
      • Abstracting and Indexing
      • Bibliographic Information
      • Archive
    • Molecular Medicine Reports
      • Information for Authors
      • Editorial Policies
      • Editorial Board
      • Aims and Scope
      • Abstracting and Indexing
      • Bibliographic Information
      • Archive
    • Oncology Letters
      • Information for Authors
      • Editorial Policies
      • Editorial Board
      • Aims and Scope
      • Abstracting and Indexing
      • Bibliographic Information
      • Archive
    • Oncology Reports
      • Information for Authors
      • Editorial Policies
      • Editorial Board
      • Aims and Scope
      • Abstracting and Indexing
      • Bibliographic Information
      • Archive
    • World Academy of Sciences Journal
      • Information for Authors
      • Editorial Policies
      • Editorial Board
      • Aims and Scope
      • Abstracting and Indexing
      • Bibliographic Information
      • Archive
  • Articles
  • Information
    • For Authors
    • For Reviewers
    • For Librarians
    • For Advertisers
    • Conferences
  • Language Editing
Login Register Submit
  • This site uses cookies
  • You can change your cookie settings at any time by following the instructions in our Cookie Policy. To find out more, you may read our Privacy Policy.

    I agree
Search articles by DOI, keyword, author or affiliation
Search
Advanced Search
presentation
Oncology Letters
Join Editorial Board Propose a Special Issue
Print ISSN: 1792-1074 Online ISSN: 1792-1082
Journal Cover
February-2023 Volume 25 Issue 2

Full Size Image

Sign up for eToc alerts
Recommend to Library

Journals

International Journal of Molecular Medicine

International Journal of Molecular Medicine

International Journal of Molecular Medicine is an international journal devoted to molecular mechanisms of human disease.

International Journal of Oncology

International Journal of Oncology

International Journal of Oncology is an international journal devoted to oncology research and cancer treatment.

Molecular Medicine Reports

Molecular Medicine Reports

Covers molecular medicine topics such as pharmacology, pathology, genetics, neuroscience, infectious diseases, molecular cardiology, and molecular surgery.

Oncology Reports

Oncology Reports

Oncology Reports is an international journal devoted to fundamental and applied research in Oncology.

Experimental and Therapeutic Medicine

Experimental and Therapeutic Medicine

Experimental and Therapeutic Medicine is an international journal devoted to laboratory and clinical medicine.

Oncology Letters

Oncology Letters

Oncology Letters is an international journal devoted to Experimental and Clinical Oncology.

Biomedical Reports

Biomedical Reports

Explores a wide range of biological and medical fields, including pharmacology, genetics, microbiology, neuroscience, and molecular cardiology.

Molecular and Clinical Oncology

Molecular and Clinical Oncology

International journal addressing all aspects of oncology research, from tumorigenesis and oncogenes to chemotherapy and metastasis.

World Academy of Sciences Journal

World Academy of Sciences Journal

Multidisciplinary open-access journal spanning biochemistry, genetics, neuroscience, environmental health, and synthetic biology.

International Journal of Functional Nutrition

International Journal of Functional Nutrition

Open-access journal combining biochemistry, pharmacology, immunology, and genetics to advance health through functional nutrition.

International Journal of Epigenetics

International Journal of Epigenetics

Publishes open-access research on using epigenetics to advance understanding and treatment of human disease.

Medicine International

Medicine International

An International Open Access Journal Devoted to General Medicine.

Journal Cover
February-2023 Volume 25 Issue 2

Full Size Image

Sign up for eToc alerts
Recommend to Library

  • Article
  • Citations
    • Cite This Article
    • Download Citation
    • Create Citation Alert
    • Remove Citation Alert
    • Cited By
  • Similar Articles
    • Related Articles (in Spandidos Publications)
    • Similar Articles (Google Scholar)
    • Similar Articles (PubMed)
  • Download PDF
  • Download XML
  • View XML

  • Supplementary Files
    • Supplementary_Data1.pdf
    • Supplementary_Data2.pdf
Article

rs77283072 influences breast cancer susceptibility by regulating CDKN2A expression

  • Authors:
    • Guang-Huan He
    • Shao-Dong Liu
    • Xiao-Qian Shi
    • Ying Chen
    • Li Su
    • Qiao-Na Shi
    • Chang Sun
  • View Affiliations / Copyright

    Affiliations: College of Life Sciences, Shaanxi Normal University, Xi'an, Shaanxi 710119, P.R. China
  • Article Number: 76
    |
    Published online on: January 5, 2023
       https://doi.org/10.3892/ol.2023.13662
  • Expand metrics +
Metrics: Total Views: 0 (Spandidos Publications: | PMC Statistics: )
Metrics: Total PDF Downloads: 0 (Spandidos Publications: | PMC Statistics: )
Cited By (CrossRef): 0 citations Loading Articles...

This article is mentioned in:



Abstract

Breast cancer is the cancer type with the highest morbidity rates in women, and previous genome‑wide association studies (GWASs) have suggested that the single nucleotide polymorphism (SNP) rs1011970 is significantly associated with this disease. An analysis of data from the 1000 Genomes Project demonstrated that there is an SNP, rs77283072, in almost complete linkage disequilibrium with rs1011970, which should therefore present the same signal in a GWAS. However, the actual causal SNP and its associated underlying mechanism have yet to be elucidated. Therefore, the present study evaluated the role of rs77283072 in terms of its association with breast cancer. A dual‑luciferase assay was performed, which demonstrated that the two alleles of rs1011970 did not exhibit significantly different reporter gene activity. However, the A allele of rs77283072 exhibited a significant increase in relative luciferase activity compared with the G allele, which suggested that rs77283072 was the causal SNP for breast cancer. Chromosome conformation capture demonstrated that the enhancer containing rs77283072 interacted with the promoter of cyclin‑dependent kinase inhibitor 2A (CDKN2A). Furthermore, expression quantitative trait locus analysis demonstrated that the expression of CDKN2A was dependent on the genotype of rs77283072. Taken together, the findings of the present study provided novel insights into the mechanism underlying how the genetic variation in this locus was able to influence breast cancer susceptibility and further the treatment for this disease.

Introduction

Breast cancer is the most common cancer type reported in women, and certain individuals have been shown to have a genetic predisposition to its development (1). To elucidate the genetic contribution to this disease, numerous genome-wide association studies (GWASs) have been performed, and based on these studies, certain susceptibility loci have been reported. Among these genetic markers, rs1011970 in chromosome 9p21 has been reported to be associated with breast cancer in multiple GWASs (2–4). That is, the carrier of the risk allele at rs1011970 presents with a markedly higher chance (10–20%) to develop breast cancer than carriers of another allele (2–4). However, it is important to note that this mutation may not be the actual causal single nucleotide polymorphism (SNP) for breast cancer. Indeed, usually only ~500,000 SNPs are utilized to represent the variation of the whole genome out of a total of ~80 million SNPs (5). Therefore, it is possible that the actual causal SNP for breast cancer may be an SNP or SNPs that exist in strong linkage disequilibrium (LD) with rs1011970, which has been frequently reported in recent functional genomics studies based on GWAS results (6–8). Moreover, as this SNP is located within the intron of cyclin-dependent kinase inhibitor 2B (CDKN2B) antisense RNA 1 (CDKN2B-AS1) and the protein-coding gene closest to this SNP is CDKN2B, it may be hypothesized that this SNP could be associated with breast cancer through the function of these two genes (2–4). However, to the best of our knowledge, the study of this issue has not previously been reported. All these factors hinder our understanding of the association between this locus and breast cancer susceptibility.

Therefore, the present study used functional genomics approaches to identify the identity of the actual causal SNP at this locus and to elucidate the underlying mechanism associated with this SNP in breast cancer. Through population genetics analysis, rs77283072 was demonstrated to be in nearly complete LD with rs1011970. Therefore, its function and role in breast cancer were also evaluated.

Materials and methods

1000 Genomes Project (1KG) data analysis

The nucleotide sequence for the 200 kb surrounding the region of rs1011970 was downloaded from the 1KG project (http://www.internationalgenome.org/) for three representative populations, namely, the Utah Residents with European Ancestry (CEU), Han Chinese in Beijing (CHB) and Yoruba in Ibadan (YRI) populations. The LD pattern was assessed using the Genome Variation Server 150 (http://gvs.gs.washington.edu/GVS150/).

Dual-luciferase assay

DNA was purified from the MCF-7 cell line using a standard phenol-chloroform approach. The region proximal to rs1011970 (~1.5 kb) was determined using PCR with Phusion® High-Fidelity DNA Polymerase (Thermo Fisher Scientific, Inc.) and the primer pair 5′-TATCTATTCAGCAAAGCCCCACTC-3′ and 5′-ATTAAGGGCTGCCAAGTCACAA-3′ (restriction enzyme cutting sites not shown) with the following thermocycling conditions: 98°C for 30 sec; followed by 40 cycles of 98°C for 10 sec, 62°C for 30 sec and 72°C for 45 sec, and finally 72°C for 5 min. The PCR product was separated in 1.5% agarose gel and visualized using SYBR gold (Beijing Solarbio Science & Technology Co., Ltd.). After digestion with MluI and XhoI (New England BioLabs, Inc.), PCR products were ligated with a luciferase reporter, pGL3-promoter vector (Promega Corporation). After Sanger sequencing with primers 5′-AAACAAAACGAAACAAAACAAACT-3′ and 5′-GCGGAGTTAGGGGCGGGATGG-3′ (Tsingke Biological Technology), the plasmid containing another allele (T and A for rs1011970 and rs77283072, respectively) was constructed using a Q5 Site-directed Mutagenesis Kit (New England BioLabs, Inc.; primer sequences are presented in Table SI). Prior to transfection, all plasmids were re-sequenced to verify their sequences and the haplotype orientation.

The human breast cancer cell line, MCF-7, was purchased from Conservation Genetics CAS Kunming Cell Bank (http://www.kmcellbank.com/) and cultured in HyClone® Dulbecco's modified Eagle's medium, high glucose (Cytiva) with 10% fetal bovine serum (Biological Industries) in 5% CO2 at 37°C. The constructed plasmids (475 ng) were transfected by incubation with Lipofectamine™ 2000 (Thermo Fisher Scientific, Inc.) for 5 min at 37°C. Following transfection, cells were cultured for an additional 36 h at 37°C, washed with phosphate-buffered saline (Beijing Solarbio Science & Technology Co., Ltd.) and lysed. The level of luciferase expression was quantified using a Dual-Luciferase Reporter Assay System (Promega Corporation) and normalized using the read of the pRL-TK plasmid (25 ng; Promega Corporation). Six independent repeats were performed for each transfection.

Chromosome conformation capture (3C)

Spatial contacts between the enhancer and promoter of nearby genes were evaluated using 3C and quantitative PCR (qPCR). Briefly, MCF-7 cells (~1×108) were cross-linked using 1% formaldehyde (Beijing Solarbio Science & Technology Co., Ltd.) and lysed using lysis buffer (Solarbio) on ice for 10 min, and their chromatin was digested using EcoRI at 37°C overnight. After ligation, the DNA was purified using a standard phenol-chloroform method (9). The bacterial artificial chromosome RP11-478M20 containing the genome segment chr9: 21947303-22110179 (Genome Reference Consortium Human Build 37) was cultured overnight at 37°C, isolated, digested, ligated as a control and quantified using qPCR. qPCR was performed using iQ™ SYBR® Green (Bio-Rad Laboratories, Inc.) with following thermocycling conditions: 96°C for 10 min; followed by 40 cycles of 96°C for 10 sec and 60°C for 30 sec. The enrichment for chromatin was evaluated using the 2−ΔΔCq approach (10). The primer sequences are presented in Table SII. Three repeat experiments were performed for each unidirectional anchor primer.

RNA-sequencing (RNA-seq) analysis

The RNA-seq data for lymphoblastoid cell lines (LCL) from a previous study (11) were obtained from the Sequence Read Archive database (https://www.ncbi.nlm.nih.gov/sra/) and aligned with the CDKN2A mRNA sequence using bowtie2 2.4.4 (12). CDKN2A expression was calculated using eXpress (13) with default parameters and reported as fragments per kilo base of transcript per million mapped fragments. The genotype for LCL was obtained from the 1KG database and linear regression was performed between genotype and CDKN2A expression using SPSS 20.0 (IBM Corp.). Moreover, the association between rs77283072 and other genes were searched in GTEx database (https://gtexportal.org).

Electrophoretic mobility-shift assay (EMSA)

Nuclear extracts were isolated from MCF-7 cells using a Nuclear and Cytoplasmic Protein Extraction kit (Beyotime Institute of Biotechnology) and centrifuged at 14,000 × g for 10 min at 4°C. The concentration of nuclear protein was determined using an Enhanced BCA Protein Assay Kit (Beyotime Institute of Biotechnology). The probes for both alleles of rs77283072, which were synthesized by Sangon Biotech Co., Ltd., and the sequences are presented in Table SIII. The probes were labeled with biotin using an EMSA Probe Biotin Labeling Kit (Beyotime Institute of Biotechnology). Biotin-labeled probes (10 fmol) and nuclear extracts (5 µg) were incubated in EMSA binding buffer at room temperature for 20 min. The probe-protein complexes were separated by electrophoresis using a 4.9% non-denatured polyacrylamide gel and then transferred to nylon membranes (Beyotime Institute of Biotechnology). For each allele, probes labeled with biotin alone, and probe-protein complex incubated with competitor oligonucleotides (non-labeled probes) were also included as controls. The membranes were incubated with streptavidin-horseradish peroxidase conjugate (Beyotime Institute of Biotechnology) at room temperature for 5 min and then assessed using an ECL chemiluminescence kit (MilliporeSigma).

Chromatin immunoprecipitation (ChIP) assay

The histone modification surrounding rs77283072 was searched in the ENCODE Portal database (https://www.encodeproject.org/) using its location. The online programs Match (http://www.gene-regulation.com/cgi-bin/pub/programs/match/bin/match.cgi) and JASPAR (http://jaspar.genereg.net/) were used to predict potential transcription factors (TFs) by inputting the surrounding sequence of rs77283072. ChIP was performed using an EZ ChIP Kit (MilliporeSigma). Briefly, MCF-7 cells (~1×107 cells) were cross-linked using formaldehyde at 37°C for 10 min. After washing, the cells were scraped, lysed using lysis buffer (MilliporeSigma) on ice for 10 min, sonicated on ice for 20 cycles (10 sec each) into small fragments (400–800 bp) and pre-cleared with 60 µl protein A beads. The protein-chromatin complex (1 ml) was immunoprecipitated using 2 µg mouse antibody for predicted TFs or normal mouse IgG (Santa Cruz Biotechnology, Inc.) as a control at 4°C overnight. The antibodies for the following TFs were utilized: REL proto-oncogene (cat. no. sc-373713X), ETS transcription factor ELK1 (cat. no. sc-65986), POU class 2 homeobox 1 (cat. no. sc-8024) or paired box 6 (cat. no. sc-53106; Santa Cruz Biotechnology Inc.). After washing with low salt, high salt, LiCl and TE buffer (MilliporeSigma), the captured protein-chromatin complex was dissolved using elution buffer (MilliporeSigma) and the cross-link was broken by adding 20 µl 5M NaCl and heating at 65°C for 4 h. Protein was removed by digestion using proteinase K (Roche Diagnostics) at 45°C for 1 h and the DNA was purified using the column supplied with the EZ ChIP Kit. Finally, qPCR was performed to evaluate the enrichment of the DNA obtained using iQ™ SYBR® Green (Bio-Rad Laboratories, Inc.) and the primers as follows: 5′-TCATGTGGCAGTGGCAAGAGTAAAA-3′ and 5′-AGGGTGAGGTAACTGAATCCCGAG-3′. This primer pair was designed based on the genome segment surrounding rs77283072. The thermocycling conditions were as follows: 96°C for 10 min; followed by 40 cycles of 96°C for 10 sec and 60°C for 30 sec. Since a standard curve approach and multiple calibrations and controls were used in qPCR, a reference gene is not necessary for this experiment (14). For each ChIP assay, a positive control segment (one genome region that was known to bind TF) (15–18) was included and ChIP-qPCR was performed using the primers in Table SIV.

ChIP-seq data were obtained from the Sequence Read Archive database and aligned with human genome sequence using bowtie2 2.4.4 (12). The enrichment for TFs was evaluated by software MACS 1.4.4 (Model-based analysis of ChIP-seq) (19).

Statistical analysis

Independent Student's t-tests were used to compare the luciferase activities and ChIP results. Analysis of variance (ANOVA) and Bonferroni's post hoc test were used to evaluate the 3C enrichment. Linear regression with additive genetic model was used to evaluate the association between genotype and gene expression. All statistical analyses were performed using SPSS 20.0 (IBM Corp.). P<0.05 was considered to indicate a statistically significant difference.

Results

LD pattern surrounding rs1011970

Within the 200-kb region surrounding rs1011970, genetic variations were identified in the CEU (n=792), CHB (n=793) and YRI (n=1,324) populations. Among these, only one non-coding SNP located 1.3 kb upstream, rs77283072, was in almost complete LD with rs1011970 (r2=1.000, 0.951 and 1.000 for CEU, CHB and YRI, respectively; Fig. S1) and was therefore expected to present a similar signal to that of rs1011970 in GWAS. All other SNPs exhibited relatively low LD with rs1011970 (all r2<0.64). Therefore, it was possible to hypothesize that these two SNPs were likely to be the causal SNPs in breast cancer.

Function of rs1011970 and rs77283072

To elucidate the function of these two SNPs, plasmids with different alleles of rs1011970 and rs77283072 were generated (Fig S2), and transfection and luciferase assessment were performed. As presented in Fig. 1, the rs1011970 alleles did not demonstrate any significant difference in relative luciferase activity levels (P=0.988). However, the luciferase activity levels of the A allele of rs77283072 was ~93.4% higher compared with that of the G allele (P=0.000068), which indicated that rs77283072 was the causal SNP in breast cancer.

Figure 1.

Relative enhancer activity for rs1011970 and rs77283072 alleles in MCF-7 cells. Each line represents one plasmid. The top plasmid is the empty vector (pGL3-promoter). The second plasmid was made using molecular cloning, whereas the lowest two plasmids were constructed using mutagenesis. All data were normalized against that of an empty vector and are presented as the mean ± standard deviation. *P<0.05.

Regulatory target gene of the enhancer containing rs77283072

As presented in Fig. S3, a search using the ENCODE Portal demonstrated that there were H3K4m1 and H3K27ac histone modifications close to rs77283072. As these two types of histone modification were previously reported to be the markers for active enhancers (20), it was possible to hypothesize that this SNP might have the ability to alter enhancer activity. Meanwhile, there were also other kinds of histone modifications with unknown function, such as H3K36m3 and H4K20m1 (Fig. S3). Although rs77283072 is located within the intron region of CDKN2B-AS1, the actual regulatory target of this enhancer remains unknown. To identify the potential target, 3C-qPCR was used to assess the interaction between this enhancer and proximal gene promoters. The anchor promoter was intended to bind the enhancer region, whereas the target primers were designed to bind with the promoter of CDKN2A divergent transcript (CDKN2A-DT), CDKN2A, CDKN2B-AS1 and CDKN2B, and four random genome regions. The amounts of 3C products were used to represent the interaction frequency between the enhancer and target gene promoter, and were compared using ANOVA. As presented in Fig. 2, no increases in interaction were demonstrated in the promoters of CDKN2A-DT, CDKN2B-AS1 and CDKN2B. However, if we compared the ligation frequency between CDKN2A promoter and other 7 segments involved in the assay, a significant increase could be observed at the CDKN2A promoter (~86.0 kb between the CDKN2A promoter and the enhancer; P=0.0038), which indicated that CDKN2A was the regulatory target of this enhancer.

Figure 2.

Distribution of relative ligation efficiency between the enhancer containing rs77283072 and multiple genome segments in chromosome 9. Each point on the x-axis represents one restriction fragment in chromosome 9. The functional element within the restrictive fragment is stated in parentheses. The y-axis represents the relative ligation efficiency. CDKN2A, cyclin-dependent kinase inhibitor 2A. *P<0.05 when comparing this segment with other ones in the assay.

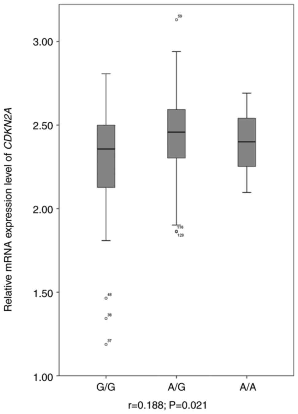
Expression quantitative trait locus (eQTL) analysis

If rs77283072 was indeed capable of regulating CDKN2A expression, this SNP would be an eQTL for this gene. To evaluate this hypothesis, RNA-seq data for a widely used model, LCL, was downloaded and CDKN2A mRNA expression levels were assessed. Linear regression was performed to evaluate the association between genotype and gene expression. As presented in Fig. 3, CDKN2A mRNA expression levels were demonstrated to be significantly associated with the rs77283072 genotype (r=0.188; P=0.021). The A allele of rs77283072 was associated with a higher mRNA expression level of CDKN2A, a finding that was consistent with the results of the luciferase assay.

Figure 3.

Association between rs77283072 genotype and CDKN2A mRNA expression levels in the Yoruba in Ibadan population from the 1000 Genomes Project dataset. The x-axis indicates the different genotypes. CDKN2A, cyclin-dependent kinase inhibitor 2A.

Differences in the TF binding affinity between the rs77283072 alleles

Considering the function and location of rs77283072, it was hypothesized that this SNP could have the ability to alter the binding affinity of TFs. To evaluate this, EMSA was performed. As presented in Fig. 4, a marked difference was demonstrated in the binding affinity between the rs77283072 alleles. The interaction of probe and nuclear proteins was abolished by competitor oligonucleotides, which indicated that the binding was specific. Furthermore, the more highly expressed allele of rs77283072, the A allele, demonstrated a markedly lower affinity with nuclear proteins, which suggested that the protein interacting with the enhancer containing rs77283072 exerted a negative regulatory effect on gene expression.

Figure 4.

Different binding affinities between rs77283072 alleles and NE of MCF-7 cells. The top line indicates the different alleles. The arrow indicates the position of the protein-probe complex. NE, nuclear extract.

These results indicated that rs77283072 may have been located within the binding sites of the REL proto-oncogene, ETS transcription factor ELK1, POU class 2 homeobox 1 or paired box 6 TFs. To identify the actual TF, ChIP was performed. For each antibody, a positive control segment was included and significant enrichment was shown, as presented in Fig. S4, which demonstrated that the ChIP assay could be utilized to identify the TFs surrounding rs77283072. As presented in Fig. S5, none of the antibodies demonstrated significant enrichment of the chromatin surrounding rs77283072, which indicated that none of the proposed TFs could, in fact, bind this region. Multiple ChIP-seq data was also analyzed for TFs. However, no significant enrichment was identified for the rs77283072 surrounding region (all P>0.05; data not shown). Therefore, the identity of the TF that interacted with this enhancer remained unclear.

Discussion

In the present study, the LD pattern was utilized to search for potential causal SNPs for breast cancer. Through a functional genomics approach, both the actual causal SNP and the underlying mechanism were identified. The results of the present study indicated that it was not rs1011970 but rs77283072 that could influence individual breast cancer risk by the regulation of CDKN2A expression levels. The present study demonstrated the connection between the genetic variation in this locus and breast cancer susceptibility.

Owing to the relatively short distance between this locus and CDKN2B, it has previously been proposed that the SNPs in this locus are associated with breast cancer through regulation of CDKN2B expression (3). Moreover, in the GTEx database, rs77283072 was demonstrated to be significantly associated with CDKN2B expression levels in whole blood (P=1.1×10−10). However, the G allele of rs77283072 was the high-expression allele according to the GTEx data, which was in contrast to the results of the luciferase assay in the present study. Moreover, no interaction was demonstrated between the enhancer and CDKN2B promoter. Taken together, these findings indicated that CDKN2B was not likely to be involved in the association between this locus and breast cancer susceptibility.

However, the 3C results from the present study clearly demonstrated that an interaction did occur between this enhancer and the CDKN2A promoter. CDKN2A is an important tumor suppressor gene, which mainly encodes two proteins through alternative splicing, p16INK4A and p14ARF, both of which have been reported to inhibit the cell cycle (21). p16INK4A is able to prevent the activity of cyclin-dependent kinase 4/6 and retinoblastoma protein (22,23). However, p14ARF has been reported to stabilize the tumor suppressor protein p53 through interaction with murine double minute 2 (24,25). It has been proposed that the inactivation of CDKN2A either by mutation or through DNA methylation occurs in ~20% of patients with breast cancer (26). Therefore, the observation that rs77283072 was able to influence the risk of breast cancer by regulating CDKN2A mRNA expression levels was not unexpected. Considering the widespread and universal functions of the proteins p16INK4A and p14ARF, rs77283072 might also contribute to the onset of carcinogenesis in other tissues. Moreover, rs77283072 has been reported to be significantly associated with prostate cancer, according to one GWAS (P=6.4×10−7) (27). Furthermore, the association between rs1011970 and multiple cancer types (4) could also be attributed to the function of rs77283072.

It would have been ideal to identify the potential TFs which interacted with rs77283072 in the present study. ChIP assays were performed for all predictions using common bioinformatics approaches but failed to identify the TF binding rs77283072. Multiple ChIP-sequencing datasets were also used and the reads were aligned with the human genome using bowtie2 (10), and the enrichment was analyzed using software MACS (19). However, no significant peaks for any TFs in the rs77283072 surrounding region were identified (data not shown). As there are hundreds of TFs within the human cell, it is difficult to directly perform ChIP assays without bioinformatics work and this requires further investigation.

In the luciferase experiment, the relative enhancer activity of the A/T combination for rs77283702/rs1011970 locus was not investigated, which constitutes a potential limit for the study. However, since SNPs usually executes their role on gene expression relatively independently, this might not alter the conclusion that rs1011970 does not have the ability to alter CDKN2A expression and further influence breast cancer risk.

Supplementary Material

Supporting Data
Supporting Data

Acknowledgements

Not applicable.

Funding

The present study was supported by the National Natural Science Foundation of China (grant no. 31370129) and the Fundamental Research Funds for the Central Universities (grant no. GK202001004).

Availability of data and materials

The datasets used and/or analyzed during the current study are available at https://www.jianguoyun.com/p/DYEJH4wQ_cv3BRizpOkEIAA and from the corresponding author on reasonable request.

Authors' contributions

CS conceived and designed the study, and wrote the manuscript. GHH, SDL, XQS, YC, LS and QNS performed the experiments. GHH analyzed the data. GHH and CS confirm the authenticity of all the raw data. All authors read and approved the final manuscript.

Ethics approval and consent to participate

Not applicable.

Patient consent for publication

Not applicable.

Competing interests

The authors declare that they have no competing interests.

References

1 

Sung H, Ferlay J, Siegel RL, Laversanne M, Soerjomataram I, Jemal A and Bray F: Global cancer statistics 2020: GLOBOCAN estimates of incidence and mortality worldwide for 36 cancers in 185 countries. CA Cancer J Clin. 71:209–249. 2021. View Article : Google Scholar : PubMed/NCBI

2 

Michailidou K, Beesley J, Lindstrom S, Canisius S, Dennis J, Lush MJ, Maranian MJ, Bolla MK, Wang Q and Shah M: Genome-wide association analysis of more than 120,000 individuals identifies 15 new susceptibility loci for breast cancer. Nat Genet. 47:373–380. 2015. View Article : Google Scholar : PubMed/NCBI

3 

Turnbull C, Ahmed S, Morrison J, Pernet D, Renwick A, Maranian M, Seal S, Ghoussaini M, Hines S, Healey CS, et al: Genome-wide association study identifies five new breast cancer susceptibility loci. Nat Genet. 42:504–507. 2010. View Article : Google Scholar : PubMed/NCBI

4 

Fehringer G, Kraft P, Pharoah PD, Eeles RA, Chatterjee N, Schumacher FR, Schildkraut JM, Lindström S, Brennan P, Bickeböller H, et al: Cross-cancer genome-wide analysis of lung, ovary, breast, prostate, and colorectal cancer reveals novel pleiotropic associations. Cancer Res. 76:5103–5114. 2016. View Article : Google Scholar : PubMed/NCBI

5 

The 1000 Genomes Project Consortium, . A global reference for human genetic variation. Nature. 526:68–74. 2015. View Article : Google Scholar : PubMed/NCBI

6 

Li YK, Zhang XX, Yang Y, Gao J, Shi Q, Liu SD, Fu WP and Sun C: Convergent evidence supports TH2LCRR as a novel asthma susceptibility gene. Am J Respir Cell Mol Biol. 66:283–292. 2022. View Article : Google Scholar : PubMed/NCBI

7 

Li X, Xu X, Fang J, Wang L, Mu Y, Zhang P, Yao Z, Ma Z and Liu Z: Rs2853677 modulates snail1 binding to the TERT enhancer and affects lung adenocarcinoma susceptibility. Oncotarget. 7:37825–37838. 2016. View Article : Google Scholar : PubMed/NCBI

8 

Almeida R, Ricano-Ponce I, Kumar V, Deelen P, Szperl A, Trynka G, Gutierrez-Achury J, Kanterakis A, Westra HJ, Franke L, et al: Fine mapping of the celiac disease-associated LPP locus reveals a potential functional variant. Hum Mol Genet. 23:2481–2489. 2014. View Article : Google Scholar : PubMed/NCBI

9 

Hagege H, Klous P, Braem C, Splinter E, Dekker J, Cathala G, de Laat W and Forné T: Quantitative analysis of chromosome conformation capture assays (3C-qPCR). Nat Protoc. 2:1722–1733. 2007. View Article : Google Scholar : PubMed/NCBI

10 

Livak KJ and Schmittgen TD: Analysis of relative gene expression data using real-time quantitative PCR and the 2(−Delta Delta C(T)) method. Methods. 25:402–408. 2001. View Article : Google Scholar : PubMed/NCBI

11 

Pickrell JK, Marioni JC, Pai AA, Degner JF, Engelhardt BE, Nkadori E, Veyrieras JB, Stephens M, Gilad Y and Pritchard JK: Understanding mechanisms underlying human gene expression variation with RNA sequencing. Nature. 464:768–772. 2010. View Article : Google Scholar : PubMed/NCBI

12 

Langmead B and Salzberg SL: Fast gapped-read alignment with Bowtie 2. Nat Methods. 9:357–359. 2012. View Article : Google Scholar : PubMed/NCBI

13 

Roberts A and Pachter L: Streaming fragment assignment for real-time analysis of sequencing experiments. Nat Methods. 10:71–73. 2013. View Article : Google Scholar : PubMed/NCBI

14 

Nie L, Vazquez AE and Yamoah EN: Identification of transcription factor-DNA interactions using chromatin immunoprecipitation assays. Methods Mol Biol. 493:311–321. 2009. View Article : Google Scholar : PubMed/NCBI

15 

Li XX, Peng T, Gao J, Feng JG, Wu DD, Yang T, Zhong L, Fu WP and Sun C: Allele-specific expression identified rs2509956 as a novel long-distance cis-regulatory SNP for SCGB1A1, an important gene for multiple pulmonary diseases. Am J Physiol Lung Cell Mol Physiol. 317:L456–L463. 2019. View Article : Google Scholar : PubMed/NCBI

16 

Zhang X, Gamble MJ, Stadler S, Cherrington BD, Causey CP, Thompson PR, Roberson MS, Kraus WL and Coonrod SA: Genome-wide analysis reveals PADI4 cooperates with Elk-1 to activate c-Fos expression in breast cancer cells. PLoS Genet. 7:e10021122011. View Article : Google Scholar : PubMed/NCBI

17 

Sun C, Southard C, Witonsky DB, Kittler R and Di Rienzo A: Allele-specific down-regulation of RPTOR expression induced by retinoids contributes to climate adaptations. PLoS Genet. 6:e10011782010. View Article : Google Scholar : PubMed/NCBI

18 

Shi Q, Yao XY, Wang HY, Li YJ, Zhang XX and Sun C: Breast cancer-associated SNP rs72755295 is a cis-regulatory variation for human EXO1. Genet Mol Biol. 45:e202104202022. View Article : Google Scholar : PubMed/NCBI

19 

Feng J, Liu T, Qin B, Zhang Y and Liu XS: Identifying ChIP-seq enrichment using MACS. Nat Protoc. 7:1728–1740. 2012. View Article : Google Scholar : PubMed/NCBI

20 

Calo E and Wysocka J: Modification of enhancer chromatin: What, how, and why? Mol Cell. 49:825–837. 2013. View Article : Google Scholar : PubMed/NCBI

21 

Serra S and Chetty R: p16. J Clin Pathol. 71:853–858. 2018. View Article : Google Scholar : PubMed/NCBI

22 

Liggett WH Jr and Sidransky D: Role of the p16 tumor suppressor gene in cancer. J Clin Oncol. 16:1197–1206. 1998. View Article : Google Scholar : PubMed/NCBI

23 

Serrano M: The tumor suppressor protein p16INK4a. Exp Cell Res. 237:7–13. 1997. View Article : Google Scholar : PubMed/NCBI

24 

Zhang Y, Xiong Y and Yarbrough WG: ARF promotes MDM2 degradation and stabilizes p53: ARF-INK4a locus deletion impairs both the Rb and p53 tumor suppression pathways. Cell. 92:725–734. 1998. View Article : Google Scholar : PubMed/NCBI

25 

Pomerantz J, Schreiber-Agus N, Liegeois NJ, Silverman A, Alland L, Chin L, Potes J, Chen K, Orlow I, Lee HW, et al: The Ink4a tumor suppressor gene product, p19Arf, interacts with MDM2 and neutralizes MDM2′s inhibition of p53. Cell. 92:713–723. 1998. View Article : Google Scholar : PubMed/NCBI

26 

Li J, Poi MJ and Tsai MD: Regulatory mechanisms of tumor suppressor P16(INK4A) and their relevance to cancer. Biochemistry. 50:5566–5582. 2011. View Article : Google Scholar : PubMed/NCBI

27 

Schumacher FR, Al Olama AA, Berndt SI, Benlloch S, Ahmed M, Saunders EJ, Dadaev T, Leongamornlert D, Anokian E, Cieza-Borrella C, et al: Association analyses of more than 140,000 men identify 63 new prostate cancer susceptibility loci. Nat Genet. 50:928–936. 2018. View Article : Google Scholar : PubMed/NCBI

Related Articles

  • Abstract
  • View
  • Download
  • Twitter
Copy and paste a formatted citation
Spandidos Publications style
He G, Liu S, Shi X, Chen Y, Su L, Shi Q and Sun C: rs77283072 influences breast cancer susceptibility by regulating <em>CDKN2A</em> expression. Oncol Lett 25: 76, 2023.
APA
He, G., Liu, S., Shi, X., Chen, Y., Su, L., Shi, Q., & Sun, C. (2023). rs77283072 influences breast cancer susceptibility by regulating <em>CDKN2A</em> expression. Oncology Letters, 25, 76. https://doi.org/10.3892/ol.2023.13662
MLA
He, G., Liu, S., Shi, X., Chen, Y., Su, L., Shi, Q., Sun, C."rs77283072 influences breast cancer susceptibility by regulating <em>CDKN2A</em> expression". Oncology Letters 25.2 (2023): 76.
Chicago
He, G., Liu, S., Shi, X., Chen, Y., Su, L., Shi, Q., Sun, C."rs77283072 influences breast cancer susceptibility by regulating <em>CDKN2A</em> expression". Oncology Letters 25, no. 2 (2023): 76. https://doi.org/10.3892/ol.2023.13662
Copy and paste a formatted citation
x
Spandidos Publications style
He G, Liu S, Shi X, Chen Y, Su L, Shi Q and Sun C: rs77283072 influences breast cancer susceptibility by regulating <em>CDKN2A</em> expression. Oncol Lett 25: 76, 2023.
APA
He, G., Liu, S., Shi, X., Chen, Y., Su, L., Shi, Q., & Sun, C. (2023). rs77283072 influences breast cancer susceptibility by regulating <em>CDKN2A</em> expression. Oncology Letters, 25, 76. https://doi.org/10.3892/ol.2023.13662
MLA
He, G., Liu, S., Shi, X., Chen, Y., Su, L., Shi, Q., Sun, C."rs77283072 influences breast cancer susceptibility by regulating <em>CDKN2A</em> expression". Oncology Letters 25.2 (2023): 76.
Chicago
He, G., Liu, S., Shi, X., Chen, Y., Su, L., Shi, Q., Sun, C."rs77283072 influences breast cancer susceptibility by regulating <em>CDKN2A</em> expression". Oncology Letters 25, no. 2 (2023): 76. https://doi.org/10.3892/ol.2023.13662
Follow us
  • Twitter
  • LinkedIn
  • Facebook
About
  • Spandidos Publications
  • Careers
  • Cookie Policy
  • Privacy Policy
How can we help?
  • Help
  • Live Chat
  • Contact
  • Email to our Support Team