Spandidos Publications Logo
  • About
    • About Spandidos
    • Aims and Scopes
    • Abstracting and Indexing
    • Editorial Policies
    • Reprints and Permissions
    • Job Opportunities
    • Terms and Conditions
    • Contact
  • Journals
    • All Journals
    • Oncology Letters
      • Oncology Letters
      • Information for Authors
      • Editorial Policies
      • Editorial Board
      • Aims and Scope
      • Abstracting and Indexing
      • Bibliographic Information
      • Archive
    • International Journal of Oncology
      • International Journal of Oncology
      • Information for Authors
      • Editorial Policies
      • Editorial Board
      • Aims and Scope
      • Abstracting and Indexing
      • Bibliographic Information
      • Archive
    • Molecular and Clinical Oncology
      • Molecular and Clinical Oncology
      • Information for Authors
      • Editorial Policies
      • Editorial Board
      • Aims and Scope
      • Abstracting and Indexing
      • Bibliographic Information
      • Archive
    • Experimental and Therapeutic Medicine
      • Experimental and Therapeutic Medicine
      • Information for Authors
      • Editorial Policies
      • Editorial Board
      • Aims and Scope
      • Abstracting and Indexing
      • Bibliographic Information
      • Archive
    • International Journal of Molecular Medicine
      • International Journal of Molecular Medicine
      • Information for Authors
      • Editorial Policies
      • Editorial Board
      • Aims and Scope
      • Abstracting and Indexing
      • Bibliographic Information
      • Archive
    • Biomedical Reports
      • Biomedical Reports
      • Information for Authors
      • Editorial Policies
      • Editorial Board
      • Aims and Scope
      • Abstracting and Indexing
      • Bibliographic Information
      • Archive
    • Oncology Reports
      • Oncology Reports
      • Information for Authors
      • Editorial Policies
      • Editorial Board
      • Aims and Scope
      • Abstracting and Indexing
      • Bibliographic Information
      • Archive
    • Molecular Medicine Reports
      • Molecular Medicine Reports
      • Information for Authors
      • Editorial Policies
      • Editorial Board
      • Aims and Scope
      • Abstracting and Indexing
      • Bibliographic Information
      • Archive
    • World Academy of Sciences Journal
      • World Academy of Sciences Journal
      • Information for Authors
      • Editorial Policies
      • Editorial Board
      • Aims and Scope
      • Abstracting and Indexing
      • Bibliographic Information
      • Archive
    • International Journal of Functional Nutrition
      • International Journal of Functional Nutrition
      • Information for Authors
      • Editorial Policies
      • Editorial Board
      • Aims and Scope
      • Abstracting and Indexing
      • Bibliographic Information
      • Archive
    • International Journal of Epigenetics
      • International Journal of Epigenetics
      • Information for Authors
      • Editorial Policies
      • Editorial Board
      • Aims and Scope
      • Abstracting and Indexing
      • Bibliographic Information
      • Archive
    • Medicine International
      • Medicine International
      • Information for Authors
      • Editorial Policies
      • Editorial Board
      • Aims and Scope
      • Abstracting and Indexing
      • Bibliographic Information
      • Archive
  • Articles
  • Information
    • Information for Authors
    • Information for Reviewers
    • Information for Librarians
    • Information for Advertisers
    • Conferences
  • Language Editing
Spandidos Publications Logo
  • About
    • About Spandidos
    • Aims and Scopes
    • Abstracting and Indexing
    • Editorial Policies
    • Reprints and Permissions
    • Job Opportunities
    • Terms and Conditions
    • Contact
  • Journals
    • All Journals
    • Biomedical Reports
      • Information for Authors
      • Editorial Policies
      • Editorial Board
      • Aims and Scope
      • Abstracting and Indexing
      • Bibliographic Information
      • Archive
    • Experimental and Therapeutic Medicine
      • Information for Authors
      • Editorial Policies
      • Editorial Board
      • Aims and Scope
      • Abstracting and Indexing
      • Bibliographic Information
      • Archive
    • International Journal of Epigenetics
      • Information for Authors
      • Editorial Policies
      • Editorial Board
      • Aims and Scope
      • Abstracting and Indexing
      • Bibliographic Information
      • Archive
    • International Journal of Functional Nutrition
      • Information for Authors
      • Editorial Policies
      • Editorial Board
      • Aims and Scope
      • Abstracting and Indexing
      • Bibliographic Information
      • Archive
    • International Journal of Molecular Medicine
      • Information for Authors
      • Editorial Policies
      • Editorial Board
      • Aims and Scope
      • Abstracting and Indexing
      • Bibliographic Information
      • Archive
    • International Journal of Oncology
      • Information for Authors
      • Editorial Policies
      • Editorial Board
      • Aims and Scope
      • Abstracting and Indexing
      • Bibliographic Information
      • Archive
    • Medicine International
      • Information for Authors
      • Editorial Policies
      • Editorial Board
      • Aims and Scope
      • Abstracting and Indexing
      • Bibliographic Information
      • Archive
    • Molecular and Clinical Oncology
      • Information for Authors
      • Editorial Policies
      • Editorial Board
      • Aims and Scope
      • Abstracting and Indexing
      • Bibliographic Information
      • Archive
    • Molecular Medicine Reports
      • Information for Authors
      • Editorial Policies
      • Editorial Board
      • Aims and Scope
      • Abstracting and Indexing
      • Bibliographic Information
      • Archive
    • Oncology Letters
      • Information for Authors
      • Editorial Policies
      • Editorial Board
      • Aims and Scope
      • Abstracting and Indexing
      • Bibliographic Information
      • Archive
    • Oncology Reports
      • Information for Authors
      • Editorial Policies
      • Editorial Board
      • Aims and Scope
      • Abstracting and Indexing
      • Bibliographic Information
      • Archive
    • World Academy of Sciences Journal
      • Information for Authors
      • Editorial Policies
      • Editorial Board
      • Aims and Scope
      • Abstracting and Indexing
      • Bibliographic Information
      • Archive
  • Articles
  • Information
    • For Authors
    • For Reviewers
    • For Librarians
    • For Advertisers
    • Conferences
  • Language Editing
Login Register Submit
  • This site uses cookies
  • You can change your cookie settings at any time by following the instructions in our Cookie Policy. To find out more, you may read our Privacy Policy.

    I agree
Search articles by DOI, keyword, author or affiliation
Search
Advanced Search
presentation
Oncology Letters
Join Editorial Board Propose a Special Issue
Print ISSN: 1792-1074 Online ISSN: 1792-1082
Journal Cover
February-2023 Volume 25 Issue 2

Full Size Image

Sign up for eToc alerts
Recommend to Library

Journals

International Journal of Molecular Medicine

International Journal of Molecular Medicine

International Journal of Molecular Medicine is an international journal devoted to molecular mechanisms of human disease.

International Journal of Oncology

International Journal of Oncology

International Journal of Oncology is an international journal devoted to oncology research and cancer treatment.

Molecular Medicine Reports

Molecular Medicine Reports

Covers molecular medicine topics such as pharmacology, pathology, genetics, neuroscience, infectious diseases, molecular cardiology, and molecular surgery.

Oncology Reports

Oncology Reports

Oncology Reports is an international journal devoted to fundamental and applied research in Oncology.

Experimental and Therapeutic Medicine

Experimental and Therapeutic Medicine

Experimental and Therapeutic Medicine is an international journal devoted to laboratory and clinical medicine.

Oncology Letters

Oncology Letters

Oncology Letters is an international journal devoted to Experimental and Clinical Oncology.

Biomedical Reports

Biomedical Reports

Explores a wide range of biological and medical fields, including pharmacology, genetics, microbiology, neuroscience, and molecular cardiology.

Molecular and Clinical Oncology

Molecular and Clinical Oncology

International journal addressing all aspects of oncology research, from tumorigenesis and oncogenes to chemotherapy and metastasis.

World Academy of Sciences Journal

World Academy of Sciences Journal

Multidisciplinary open-access journal spanning biochemistry, genetics, neuroscience, environmental health, and synthetic biology.

International Journal of Functional Nutrition

International Journal of Functional Nutrition

Open-access journal combining biochemistry, pharmacology, immunology, and genetics to advance health through functional nutrition.

International Journal of Epigenetics

International Journal of Epigenetics

Publishes open-access research on using epigenetics to advance understanding and treatment of human disease.

Medicine International

Medicine International

An International Open Access Journal Devoted to General Medicine.

Journal Cover
February-2023 Volume 25 Issue 2

Full Size Image

Sign up for eToc alerts
Recommend to Library

  • Article
  • Citations
    • Cite This Article
    • Download Citation
    • Create Citation Alert
    • Remove Citation Alert
    • Cited By
  • Similar Articles
    • Related Articles (in Spandidos Publications)
    • Similar Articles (Google Scholar)
    • Similar Articles (PubMed)
  • Download PDF
  • Download XML
  • View XML
Article

Prognostic value of estrogen receptors in patients who underwent prostatectomy for non‑metastatic prostate cancer

  • Authors:
    • Yavuz Mert Aydın
    • Ahmet Bilgehan Şahin
    • Rabia Dölek
    • Berna Aytaç Vuruşkan
    • Gökhan Ocakoğlu
    • Hakan Vuruşkan
    • İsmet Yavaşcaoğlu
    • Burhan Coşkun
  • View Affiliations / Copyright

    Affiliations: Department of Urology, Bursa Uludag University, 16059 Bursa, Turkey, Department of Medical Oncology, Bursa Uludag University, 16059 Bursa, Turkey, Department of Pathology, Bursa Uludag University, 16059 Bursa, Turkey, Department of Biostatistics, Bursa Uludag University, 16059 Bursa, Turkey
  • Article Number: 78
    |
    Published online on: January 9, 2023
       https://doi.org/10.3892/ol.2023.13664
  • Expand metrics +
Metrics: Total Views: 0 (Spandidos Publications: | PMC Statistics: )
Metrics: Total PDF Downloads: 0 (Spandidos Publications: | PMC Statistics: )
Cited By (CrossRef): 0 citations Loading Articles...

This article is mentioned in:



Abstract

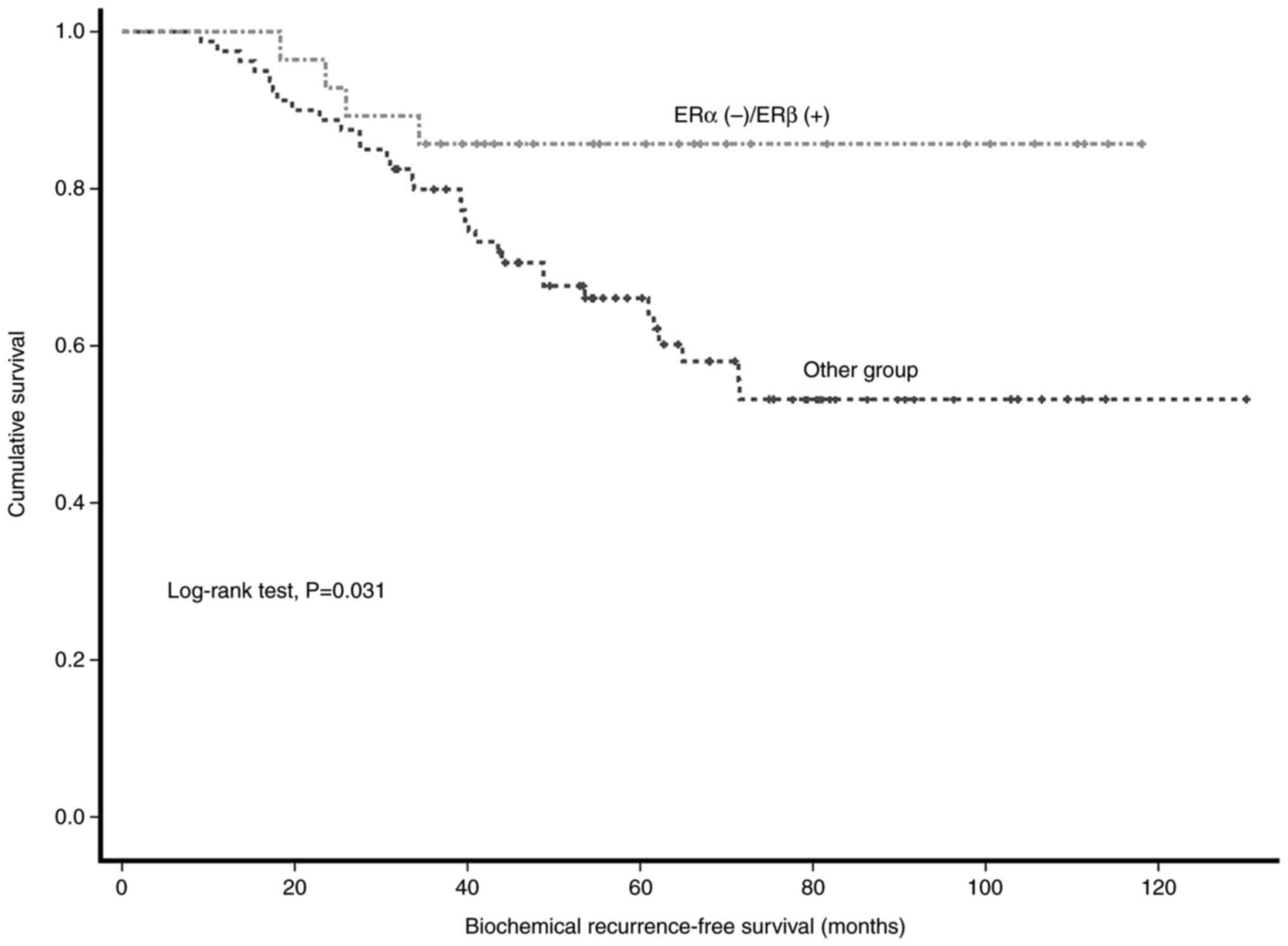
Estrogen receptors in prostate cancer (PCa) are a subject of debate. The aim of the present study was to investigate whether estrogen receptor‑α (ERα) and estrogen receptor‑β (ERβ) impact the biochemical recurrence (BCR) of non‑metastatic PCa after surgery. Following the application of the exclusion criteria, data from 108 patients who underwent laparoscopic radical prostatectomy between January 2011 and December 2019 were retrospectively evaluated. A total of 36 patients with BCR constituted the BCR group. The control group was formed using the Propensity Score Matching (PSM) method with a 1:2 ratio, including parameters with well‑studied effects on BCR. The median follow‑up time was 74.3 (range, 30‑127.5) months in the BCR group and 66.6 (range, 31.5‑130) months in the control group. Pathology specimens from the two groups were immunohistochemically stained with ERα and ERβ antibodies. Logistic regression analysis and survival analysis were performed. No differences in clinicopathological characteristics were detected between the two groups. The patients with ERα(‑)/ERβ(+) staining results had a significantly fewer BCRs than other patients (P=0.024). In the logistic regression analysis, patients with ERα(‑)/ERβ(+) PCa also had a significantly lower risk of recurrence (P=0.048). In the survival analysis, the 5‑year BCR‑free survival rate of patients with ERα(‑)/ERβ(+) PCa was higher than that of other patients (85.7 vs. 66.1%; P=0.031). Excluding the effects of well‑studied risk factors for recurrence by the PSM method, the present study showed that ERα and ERβ have prognostic value for non‑metastatic PCa. The 5‑year BCR‑free survival rate is significantly higher in patients whose PCa tissue has ERα(‑)/ERβ(+) staining results.
View Figures

Figure 1

Figure 2

Figure 3

Figure 4

View References

1 

Sung H, Ferlay J, Siegel RL, Laversanne M, Soerjomataram I, Jemal A and Bray F: Global cancer statistics 2020: GLOBOCAN estimates of ıncidence and mortality worldwide for 36 cancers in 185 countries. CA Cancer J Clin. 71:209–249. 2021. View Article : Google Scholar : PubMed/NCBI

2 

Bostwick DG, Burke HB, Djakiew D, Euling S, Ho SM, Landolph J, Morrison H, Sonawane B, Shifflett T, Waters DJ and Timms B: Human prostate cancer risk factors. Cancer. 101 (10 Suppl):S2371–S2490. 2004. View Article : Google Scholar : PubMed/NCBI

3 

Dobbs RW, Malhotra NR, Greenwald DT, Wang AY, Prins GS and Abern MR: Estrogens and prostate cancer. Prostate Cancer Prostatic Dis. 22:185–194. 2019. View Article : Google Scholar : PubMed/NCBI

4 

Setlur SR, Mertz KD, Hoshida Y, Demichelis F, Lupien M, Perner S, Sboner A, Pawitan Y, Andrén O, Johnson LA, et al: Estrogen-dependent signaling in a molecularly distinct subclass of aggressive prostate cancer. J Natl Cancer Inst. 100:815–825. 2008. View Article : Google Scholar : PubMed/NCBI

5 

McPherson SJ, Hussain S, Balanathan P, Hedwards SL, Niranjan B, Grant M, Chandrasiri UP, Toivanen R, Wang Y, Taylor RA and Risbridger GP: Estrogen receptor-beta activated apoptosis in benign hyperplasia and cancer of the prostate is androgen independent and TNFalpha mediated. Proc Natl Acad Sci USA. 107:3123–3128. 2010. View Article : Google Scholar : PubMed/NCBI

6 

Mak P, Leav I, Pursell B, Bae D, Yang X, Taglienti CA, Gouvin LM, Sharma VM and Mercurio AM: ERβ ımpedes prostate cancer EMT by destabilizing HIF-1α and inhibiting VEGF-mediated snail nuclear localization: Implications for gleason grading. Cancer Cell. 17:319–332. 2010. View Article : Google Scholar : PubMed/NCBI

7 

Risbridger G, Wang H, Young P, Kurita T, Wang YZ, Lubahn D, Gustafsson JA and Cunha G: Evidence that epithelial and mesenchymal estrogen receptor-α mediates effects of estrogen on prostatic epithelium. Dev Biol. 229:432–442. 2001. View Article : Google Scholar : PubMed/NCBI

8 

Prins GS, Birch L, Couse JF, Choi I, Katzenellenbogen B and Korach KS: Estrogen imprinting of the developing prostate gland is mediated through stromal estrogen receptor alpha: Studies with alphaERKO and betaERKO mice. Cancer Res. 61:6089–6097. 2001.PubMed/NCBI

9 

Bonkhoff H, Fixemer T, Hunsicker I and Remberger K: Estrogen receptor expression in prostate cancer and premalignant prostatic lesions. Am J Pathol. 155:641–647. 1999. View Article : Google Scholar : PubMed/NCBI

10 

Zhu X, Leav I, Leung YK, Wu M, Liu Q, Gao Y, McNeal JE and Ho SM: Dynamic regulation of estrogen receptor-beta expression by DNA methylation during prostate cancer development and metastasis. Am J Pathol. 164:2003–2012. 2004. View Article : Google Scholar : PubMed/NCBI

11 

Zhang X, Leung YK and Ho SM: AP-2 regulates the transcription of estrogen receptor (ER)-beta by acting through a methylation hotspot of the 0N promoter in prostate cancer cells. Oncogene. 26:7346–7354. 2007. View Article : Google Scholar : PubMed/NCBI

12 

Cheng J, Lee EJ, Madison LD and Lazennec G: Expression of estrogen receptor beta in prostate carcinoma cells inhibits invasion and proliferation and triggers apoptosis. FEBS Lett. 566:169–172. 2004. View Article : Google Scholar : PubMed/NCBI

13 

Weihua Z, Warner M and Gustafsson JA: Estrogen receptor beta in the prostate. Mol Cell Endocrinol. 193:1–5. 2002. View Article : Google Scholar : PubMed/NCBI

14 

McPherson SJ, Ellem SJ, Simpson ER, Patchev V, Fritzemeier KH and Risbridger GP: Essential role for estrogen receptor beta in stromal-epithelial regulation of prostatic hyperplasia. Endocrinology. 148:566–574. 2007. View Article : Google Scholar : PubMed/NCBI

15 

Megas G, Chrisofos M, Anastasiou I, Tsitlidou A, Choreftaki T and Deliveliotis C: Estrogen receptor (α and β) but not androgen receptor expression is correlated with recurrence, progression and survival in post prostatectomy T3N0M0 locally advanced prostate cancer in an urban Greek population. Asian J Androl. 17:98–105. 2015. View Article : Google Scholar : PubMed/NCBI

16 

Grindstad T, Skjefstad K, Andersen S, Ness N, Nordby Y, Al-Saad S, Fismen S, Donnem T, Khanehkenari MR, Busund LT, et al: Estrogen receptors α and β and aromatase as independent predictors for prostate cancer outcome. Sci Rep. 6:331142016. View Article : Google Scholar : PubMed/NCBI

17 

Horvath LG, Henshall SM, Lee CS, Head DR, Quinn DI, Makela S, Delprado W, Golovsky D, Brenner PC, O'Neill G, et al: Frequent loss of estrogen receptor-β expression in prostate cancer. Cancer Res. 61:5331–5335. 2001.PubMed/NCBI

18 

Nelson JB and Lepor H: Prostate cancer: Radical prostatectomy. Urol Clin North Am. 30:703–723. 2003. View Article : Google Scholar : PubMed/NCBI

19 

Bonkhoff H: Estrogen receptor signaling in prostate cancer: Implications for carcinogenesis and tumor progression. Prostate. 78:2–10. 2018. View Article : Google Scholar : PubMed/NCBI

20 

Qu LG, Wardan H, Davis ID, Pezaro C and Sluka P: Effects of estrogen receptor signaling on prostate cancer carcinogenesis. Transl Res. 222:56–66. 2020. View Article : Google Scholar : PubMed/NCBI

21 

He Y, Xu W, Xiao YT, Huang H, Gu D and Ren S: Targeting signaling pathways in prostate cancer: Mechanisms and clinical trials. Signal Transduct Target Ther. 7:1982022. View Article : Google Scholar : PubMed/NCBI

22 

Mottet N, Vice-Chair PC, Bergh RCN, Van Den, Mottet N, et al: Guidelines on Prostate Cancer. Update. 53:31–45. 2021.

23 

Briganti A, Karnes JR, Da Pozzo LF, Cozzarini C, Gallina A, Suardi N, Bianchi M, Freschi M, Doglioni C, Fazio F, et al: Two positive nodes represent a significant Cut-off value for cancer specific survival in patients with node positive prostate cancer. A new proposal based on a Two-ınstitution experience on 703 consecutive N+ patients treated with radical prostatectomy, extended pelvic lymph node dissection and adjuvant therapy. Eur Urol. 55:261–270. 2009. View Article : Google Scholar : PubMed/NCBI

24 

Thompson IM, Tangen CM, Paradelo J, Lucia MS, Miller G, Troyer D, Messing E, Forman J, Chin J, Swanson G, et al: Adjuvant radiotherapy for pathological T3N0M0 prostate cancer significantly reduces risk of metastases and ımproves survival: Long-term followup of a randomized clinical trial. J Urol. 181:956–962. 2009. View Article : Google Scholar : PubMed/NCBI

25 

Bolla M, Van Poppel H, Tombal B, Vekemans K, Da Pozzo L, de Reijke TM, Verbaeys A, Bosset JF, van Velthoven R, Colombel M, et al: Postoperative radiotherapy after radical prostatectomy for high-risk prostate cancer: Long-term results of a randomised controlled trial (EORTC trial 22911). Lancet. 380:2018–2027. 2012. View Article : Google Scholar : PubMed/NCBI

26 

Wiegel T, Bartkowiak D, Bottke D, Bronner C, Steiner U, Siegmann A, Golz R, Störkel S, Willich N, Semjonow A, et al: Adjuvant radiotherapy versus wait-and-see after radical prostatectomy: 10-year follow-up of the ARO 96-02/AUO AP 09/95 trial. Eur Urol. 66:243–250. 2014. View Article : Google Scholar : PubMed/NCBI

27 

Hackman G, Taari K, Tammela TL, Matikainen M, Kouri M, Joensuu T, Luukkaala T, Salonen A, Isotalo T, Pétas A, et al: Randomised trial of adjuvant radiotherapy following radical prostatectomy versus radical prostatectomy alone in prostate cancer patients with positive margins or extracapsular extension. Eur Urol. 76:586–595. 2019. View Article : Google Scholar : PubMed/NCBI

28 

Shapiro E, Huang H, Masch RJ, McFadden DE, Wilson EL and Wu XR: Immunolocalization of estrogen receptor α and β in human fetal prostate. J Urol. 174:2051–2053. 2005. View Article : Google Scholar : PubMed/NCBI

29 

Prins GS and Korach KS: The role of estrogens and estrogen receptors in normal prostate growth and disease. Steroids. 73:233–244. 2008. View Article : Google Scholar : PubMed/NCBI

30 

Weihua Z, Makela S, Andersson LC, Salmi S, Saji S, Marketon JW, Jensen EV, Nilsson S, Warner M and Gustafsson JA: A role for estrogen receptor? in the regulation of the ventral prostate. Proce National Acad Sci. 98:6330–6335. 2001. View Article : Google Scholar : PubMed/NCBI

31 

Terlizzi M, Limkin EJ, Moukasse Y and Blanchard P: Adjuvant or salvage radiation therapy for prostate cancer after prostatectomy: Current status, controversies and perspectives. Cancers (Basel). 14:16882022. View Article : Google Scholar : PubMed/NCBI

Related Articles

  • Abstract
  • View
  • Download
  • Twitter
Copy and paste a formatted citation
Spandidos Publications style
Aydın YM, Şahin AB, Dölek R, Vuruşkan BA, Ocakoğlu G, Vuruşkan H, Yavaşcaoğlu I and Coşkun B: Prognostic value of estrogen receptors in patients who underwent prostatectomy for non‑metastatic prostate cancer. Oncol Lett 25: 78, 2023.
APA
Aydın, Y.M., Şahin, A.B., Dölek, R., Vuruşkan, B.A., Ocakoğlu, G., Vuruşkan, H. ... Coşkun, B. (2023). Prognostic value of estrogen receptors in patients who underwent prostatectomy for non‑metastatic prostate cancer. Oncology Letters, 25, 78. https://doi.org/10.3892/ol.2023.13664
MLA
Aydın, Y. M., Şahin, A. B., Dölek, R., Vuruşkan, B. A., Ocakoğlu, G., Vuruşkan, H., Yavaşcaoğlu, I., Coşkun, B."Prognostic value of estrogen receptors in patients who underwent prostatectomy for non‑metastatic prostate cancer". Oncology Letters 25.2 (2023): 78.
Chicago
Aydın, Y. M., Şahin, A. B., Dölek, R., Vuruşkan, B. A., Ocakoğlu, G., Vuruşkan, H., Yavaşcaoğlu, I., Coşkun, B."Prognostic value of estrogen receptors in patients who underwent prostatectomy for non‑metastatic prostate cancer". Oncology Letters 25, no. 2 (2023): 78. https://doi.org/10.3892/ol.2023.13664
Copy and paste a formatted citation
x
Spandidos Publications style
Aydın YM, Şahin AB, Dölek R, Vuruşkan BA, Ocakoğlu G, Vuruşkan H, Yavaşcaoğlu I and Coşkun B: Prognostic value of estrogen receptors in patients who underwent prostatectomy for non‑metastatic prostate cancer. Oncol Lett 25: 78, 2023.
APA
Aydın, Y.M., Şahin, A.B., Dölek, R., Vuruşkan, B.A., Ocakoğlu, G., Vuruşkan, H. ... Coşkun, B. (2023). Prognostic value of estrogen receptors in patients who underwent prostatectomy for non‑metastatic prostate cancer. Oncology Letters, 25, 78. https://doi.org/10.3892/ol.2023.13664
MLA
Aydın, Y. M., Şahin, A. B., Dölek, R., Vuruşkan, B. A., Ocakoğlu, G., Vuruşkan, H., Yavaşcaoğlu, I., Coşkun, B."Prognostic value of estrogen receptors in patients who underwent prostatectomy for non‑metastatic prostate cancer". Oncology Letters 25.2 (2023): 78.
Chicago
Aydın, Y. M., Şahin, A. B., Dölek, R., Vuruşkan, B. A., Ocakoğlu, G., Vuruşkan, H., Yavaşcaoğlu, I., Coşkun, B."Prognostic value of estrogen receptors in patients who underwent prostatectomy for non‑metastatic prostate cancer". Oncology Letters 25, no. 2 (2023): 78. https://doi.org/10.3892/ol.2023.13664
Follow us
  • Twitter
  • LinkedIn
  • Facebook
About
  • Spandidos Publications
  • Careers
  • Cookie Policy
  • Privacy Policy
How can we help?
  • Help
  • Live Chat
  • Contact
  • Email to our Support Team