Spandidos Publications Logo
  • About
    • About Spandidos
    • Aims and Scopes
    • Abstracting and Indexing
    • Editorial Policies
    • Reprints and Permissions
    • Job Opportunities
    • Terms and Conditions
    • Contact
  • Journals
    • All Journals
    • Oncology Letters
      • Oncology Letters
      • Information for Authors
      • Editorial Policies
      • Editorial Board
      • Aims and Scope
      • Abstracting and Indexing
      • Bibliographic Information
      • Archive
    • International Journal of Oncology
      • International Journal of Oncology
      • Information for Authors
      • Editorial Policies
      • Editorial Board
      • Aims and Scope
      • Abstracting and Indexing
      • Bibliographic Information
      • Archive
    • Molecular and Clinical Oncology
      • Molecular and Clinical Oncology
      • Information for Authors
      • Editorial Policies
      • Editorial Board
      • Aims and Scope
      • Abstracting and Indexing
      • Bibliographic Information
      • Archive
    • Experimental and Therapeutic Medicine
      • Experimental and Therapeutic Medicine
      • Information for Authors
      • Editorial Policies
      • Editorial Board
      • Aims and Scope
      • Abstracting and Indexing
      • Bibliographic Information
      • Archive
    • International Journal of Molecular Medicine
      • International Journal of Molecular Medicine
      • Information for Authors
      • Editorial Policies
      • Editorial Board
      • Aims and Scope
      • Abstracting and Indexing
      • Bibliographic Information
      • Archive
    • Biomedical Reports
      • Biomedical Reports
      • Information for Authors
      • Editorial Policies
      • Editorial Board
      • Aims and Scope
      • Abstracting and Indexing
      • Bibliographic Information
      • Archive
    • Oncology Reports
      • Oncology Reports
      • Information for Authors
      • Editorial Policies
      • Editorial Board
      • Aims and Scope
      • Abstracting and Indexing
      • Bibliographic Information
      • Archive
    • Molecular Medicine Reports
      • Molecular Medicine Reports
      • Information for Authors
      • Editorial Policies
      • Editorial Board
      • Aims and Scope
      • Abstracting and Indexing
      • Bibliographic Information
      • Archive
    • World Academy of Sciences Journal
      • World Academy of Sciences Journal
      • Information for Authors
      • Editorial Policies
      • Editorial Board
      • Aims and Scope
      • Abstracting and Indexing
      • Bibliographic Information
      • Archive
    • International Journal of Functional Nutrition
      • International Journal of Functional Nutrition
      • Information for Authors
      • Editorial Policies
      • Editorial Board
      • Aims and Scope
      • Abstracting and Indexing
      • Bibliographic Information
      • Archive
    • International Journal of Epigenetics
      • International Journal of Epigenetics
      • Information for Authors
      • Editorial Policies
      • Editorial Board
      • Aims and Scope
      • Abstracting and Indexing
      • Bibliographic Information
      • Archive
    • Medicine International
      • Medicine International
      • Information for Authors
      • Editorial Policies
      • Editorial Board
      • Aims and Scope
      • Abstracting and Indexing
      • Bibliographic Information
      • Archive
  • Articles
  • Information
    • Information for Authors
    • Information for Reviewers
    • Information for Librarians
    • Information for Advertisers
    • Conferences
  • Language Editing
Spandidos Publications Logo
  • About
    • About Spandidos
    • Aims and Scopes
    • Abstracting and Indexing
    • Editorial Policies
    • Reprints and Permissions
    • Job Opportunities
    • Terms and Conditions
    • Contact
  • Journals
    • All Journals
    • Biomedical Reports
      • Information for Authors
      • Editorial Policies
      • Editorial Board
      • Aims and Scope
      • Abstracting and Indexing
      • Bibliographic Information
      • Archive
    • Experimental and Therapeutic Medicine
      • Information for Authors
      • Editorial Policies
      • Editorial Board
      • Aims and Scope
      • Abstracting and Indexing
      • Bibliographic Information
      • Archive
    • International Journal of Epigenetics
      • Information for Authors
      • Editorial Policies
      • Editorial Board
      • Aims and Scope
      • Abstracting and Indexing
      • Bibliographic Information
      • Archive
    • International Journal of Functional Nutrition
      • Information for Authors
      • Editorial Policies
      • Editorial Board
      • Aims and Scope
      • Abstracting and Indexing
      • Bibliographic Information
      • Archive
    • International Journal of Molecular Medicine
      • Information for Authors
      • Editorial Policies
      • Editorial Board
      • Aims and Scope
      • Abstracting and Indexing
      • Bibliographic Information
      • Archive
    • International Journal of Oncology
      • Information for Authors
      • Editorial Policies
      • Editorial Board
      • Aims and Scope
      • Abstracting and Indexing
      • Bibliographic Information
      • Archive
    • Medicine International
      • Information for Authors
      • Editorial Policies
      • Editorial Board
      • Aims and Scope
      • Abstracting and Indexing
      • Bibliographic Information
      • Archive
    • Molecular and Clinical Oncology
      • Information for Authors
      • Editorial Policies
      • Editorial Board
      • Aims and Scope
      • Abstracting and Indexing
      • Bibliographic Information
      • Archive
    • Molecular Medicine Reports
      • Information for Authors
      • Editorial Policies
      • Editorial Board
      • Aims and Scope
      • Abstracting and Indexing
      • Bibliographic Information
      • Archive
    • Oncology Letters
      • Information for Authors
      • Editorial Policies
      • Editorial Board
      • Aims and Scope
      • Abstracting and Indexing
      • Bibliographic Information
      • Archive
    • Oncology Reports
      • Information for Authors
      • Editorial Policies
      • Editorial Board
      • Aims and Scope
      • Abstracting and Indexing
      • Bibliographic Information
      • Archive
    • World Academy of Sciences Journal
      • Information for Authors
      • Editorial Policies
      • Editorial Board
      • Aims and Scope
      • Abstracting and Indexing
      • Bibliographic Information
      • Archive
  • Articles
  • Information
    • For Authors
    • For Reviewers
    • For Librarians
    • For Advertisers
    • Conferences
  • Language Editing
Login Register Submit
  • This site uses cookies
  • You can change your cookie settings at any time by following the instructions in our Cookie Policy. To find out more, you may read our Privacy Policy.

    I agree
Search articles by DOI, keyword, author or affiliation
Search
Advanced Search
presentation
Oncology Letters
Join Editorial Board Propose a Special Issue
Print ISSN: 1792-1074 Online ISSN: 1792-1082
Journal Cover
May-2023 Volume 25 Issue 5

Full Size Image

Sign up for eToc alerts
Recommend to Library

Journals

International Journal of Molecular Medicine

International Journal of Molecular Medicine

International Journal of Molecular Medicine is an international journal devoted to molecular mechanisms of human disease.

International Journal of Oncology

International Journal of Oncology

International Journal of Oncology is an international journal devoted to oncology research and cancer treatment.

Molecular Medicine Reports

Molecular Medicine Reports

Covers molecular medicine topics such as pharmacology, pathology, genetics, neuroscience, infectious diseases, molecular cardiology, and molecular surgery.

Oncology Reports

Oncology Reports

Oncology Reports is an international journal devoted to fundamental and applied research in Oncology.

Experimental and Therapeutic Medicine

Experimental and Therapeutic Medicine

Experimental and Therapeutic Medicine is an international journal devoted to laboratory and clinical medicine.

Oncology Letters

Oncology Letters

Oncology Letters is an international journal devoted to Experimental and Clinical Oncology.

Biomedical Reports

Biomedical Reports

Explores a wide range of biological and medical fields, including pharmacology, genetics, microbiology, neuroscience, and molecular cardiology.

Molecular and Clinical Oncology

Molecular and Clinical Oncology

International journal addressing all aspects of oncology research, from tumorigenesis and oncogenes to chemotherapy and metastasis.

World Academy of Sciences Journal

World Academy of Sciences Journal

Multidisciplinary open-access journal spanning biochemistry, genetics, neuroscience, environmental health, and synthetic biology.

International Journal of Functional Nutrition

International Journal of Functional Nutrition

Open-access journal combining biochemistry, pharmacology, immunology, and genetics to advance health through functional nutrition.

International Journal of Epigenetics

International Journal of Epigenetics

Publishes open-access research on using epigenetics to advance understanding and treatment of human disease.

Medicine International

Medicine International

An International Open Access Journal Devoted to General Medicine.

Journal Cover
May-2023 Volume 25 Issue 5

Full Size Image

Sign up for eToc alerts
Recommend to Library

  • Article
  • Citations
    • Cite This Article
    • Download Citation
    • Create Citation Alert
    • Remove Citation Alert
    • Cited By
  • Similar Articles
    • Related Articles (in Spandidos Publications)
    • Similar Articles (Google Scholar)
    • Similar Articles (PubMed)
  • Download PDF
  • Download XML
  • View XML

  • Supplementary Files
    • Supplementary_Data1.pdf
    • Supplementary_Data2.pdf
Article Open Access

Application of robotic surgery and traditional laparoscopic surgery in lymph node dissection for gynecological cancer: A meta‑analysis

  • Authors:
    • Yuanyuan Lu
    • Jingping Chen
    • Renji Wei
    • Wenting Lin
    • Yudong Chen
    • Yicheng Su
    • Lijuan Liu
    • Yukun Liang
    • Mulan Wei
  • View Affiliations / Copyright

    Affiliations: Department of Gynecology, Guigang People's Hospital, Guigang, Guangxi 537100, P.R. China
    Copyright: © Lu et al. This is an open access article distributed under the terms of Creative Commons Attribution License.
  • Article Number: 175
    |
    Published online on: March 15, 2023
       https://doi.org/10.3892/ol.2023.13761
  • Expand metrics +
Metrics: Total Views: 0 (Spandidos Publications: | PMC Statistics: )
Metrics: Total PDF Downloads: 0 (Spandidos Publications: | PMC Statistics: )
Cited By (CrossRef): 0 citations Loading Articles...

This article is mentioned in:



Abstract

Since the advantages of robotic surgery and laparoscopic surgery in the number of lymph node resections are not well understood, this meta‑analysis used evidence‑based medicine to assess the difference in the number of lymph nodes retrieved in gynecological cancer between the two surgical methods to guide clinical treatment. In the present meta‑analysis, the Pubmed, Embase, Cochrane, China National Knowledge Infrastructure and Wanfang libraries were searched for articles that were published from the time of the database's inception to January 2021, including cohort studies and randomized controlled trials, where the observation group underwent robotic surgery to treat gynecological cancers and the control group underwent laparoscopic surgery to treat gynecological cancers, including cervical and ovarian cancers and endometrial cancers. Duplicate publications, studies with no full text, incomplete information or where the authors were unable to perform data extraction, animal experiments, reviews and systematic reviews were excluded. STATA 15.1 was used to analyze the data. Robotic surgery resulted in a significant increase in the number of lymph nodes retrieved from the pelvis [standard mean difference (SMD)=0.24; 95% CI, 0.04‑0.45; P=0.007] and para‑aortic (SMD=0.41; 95% CI, 0.13‑0.69; P=0.004) regions compared with the number retrieved by laparoscopic surgery. Furthermore, there was no significant difference in operating time between robotic and laparoscopic surgery, despite the use of different instruments (SMD=0.12; 95% CI, ‑0.35‑0.58; P=0.616). The amount of blood lost during robotic surgery was significantly less compared with that lost during laparoscopic surgery [SMD=‑0.40; 95% CI, ‑0.58‑(‑0.22); P<0.001]. The present study evaluated cancer recurrence and death in further detail, and no statistically significant difference was demonstrated between robotic surgery and laparoscopic surgery in terms of recurrence rate [odds ratio (OR)=0.59; 95% CI, 0.21‑1.65; P=0.318] and mortality rate (OR=0.31; 95% CI, 0.08‑1.30; P=0.109). The present study demonstrated that robotic surgery was able to retrieve more pelvic and para‑aortic lymph nodes than traditional laparoscopic surgery, which was consistent with previous reports. With regards to blood loss, The difference in operation time between the two surgical methods was not statistically significant, whereas the estimated blood loss of robotic surgery was significantly lower than that of traditional laparoscopic surgery. There was no statistically significant difference in the recurrence rate and mortality rate of the two surgical modality.

Introduction

Gynecological malignancies are the leading cause of female mortality in the United States (1). Despite advancements in the identification and treatment of gynecological malignancies, the survival rate has remained constant for decades (2). Gynecological cancers predominately comprise cervical, endometrial and ovarian cancers (3). Surgical care for these malignancies has transformed during the past decade as a result of the development of techniques that are less invasive such as laparoscopic and robotic surgeries.

As a result of the US Federal Drug Administration's approval of the da Vinci Surgical System for gynecological surgery in 2005, the use of robot-assisted surgery in the treatment of gynecological malignancies has become more common (4). There are several benefits to using robotic technology, including 3D and high-definition optics, endoscopic devices that may be used in numerous ways, the removal of human tremors, and greater accuracy and autonomy for the surgeon (5–7). The advantages of robot-assisted surgery over conventional laparoscopic surgery are mainly due to these aforementioned factors (8).

Women with gynecological malignancies who have solitary pelvic lymph node or para-aortic lymph node metastases at the time of their first diagnosis have a poor prognosis (9,10). It is possible to compare the number of clear lymph nodes in gynecological cancers treated with robotic surgery and traditional laparoscopic surgery, to assess the relative benefits and drawbacks of the two surgical methods in terms of prognosis. Lymph node dissection is a controversial procedure, and the outcomes of the two surgical approaches are still debated (11,12). Robot-assisted surgery and laparoscopic surgery may not vary significantly in the number of lymph node dissections, according to certain previous reports (13,14). However, numerous studies reported that robotic surgery has a higher lymph node clearance rate than laparoscopic surgery (15,16). Therefore, this meta-analysis used evidence-based medicine to explore the difference in the number of lymph nodes retrieved in gynecological cancer between robotic surgery and laparoscopic surgery by pooling the results of relevant previous studies.

Materials and methods

Protocol registration

The protocol used for the present study was registered in the International Platform of Registered Systematic Review and Meta-analysis Protocols (https://inplasy.com/), the registration number was INPLASY2022120046 (DOI, 10.37766/inplasy2022.12.0046).

Literature inclusion and exclusion criteria

The following inclusion criteria were used for reports in the literature: The study was a cohort study or a randomized controlled trial (RCT) study; the study was reported in either English or Chinese; and studies where the observation group was treated by robotic surgery for gynecological cancer (taken to include cervical cancer, ovarian cancer and endometrial cancer) and the control group was treated by laparoscopic surgery for gynecological cancer.

The following exclusion criteria were used for reports in the literature: Repeated publication of the same study; studies without full text, incomplete information or for which data extraction could not be performed; animal experiments; and reviews and systematic reviews.

Search strategy

The Pubmed (https://pubmed.ncbi.nlm.nih.gov/), Embase (https://www.embase.com), Cochrane library (https://www.cochranelibrary.com/), China National Knowledge Infrastructure (https://www.cnki.net/) and Wanfang (https://www.wanfangdata.com.cn/index.html) literature databases were used in the present meta-analysis, and were searched between their formation and January 1st 2021. The mesh terms used were as follows: ‘robotic-assisted’, ‘robotic surgery’ and ‘laparoscopic’, ‘laparoscopy’ and ‘gynecological cancer’, ‘Uterine Cervical Neoplasms’, ‘Endometrial Neoplasms’, ‘Ovarian Neoplasms’. Detailed search strategies were presented in Data S1.

Literature screening and data extraction

The literature search, screening and extraction of relevant material was completed by two researchers, separately. When there were questions or conflicts, a third person was consulted before making a decision. Basic features (author, year, research type, field of research on gynecological cancers, number of patients, age of patients and place of diagnosis) and outcome indicators (number of retrieved pelvic lymph nodes and para-aortic lymph nodes, operative time, estimated blood loss, recurrence rate and mortality rate) were included in the data extracted.

Literature quality assessment

The Newcastle-Ottawa Scale (NOS) for evaluating the quality of published literature was performed separately by two academics (17)], in the present study it was used to evaluate the quality of the 16 cohort studies. The NOS includes 4 items (4 points) for ‘Research Subject Selection’, 1 item (2 points) for ‘Comparability between Groups’ and 3 items (3 points) for ‘Result Measurement’, for a maximum score of 9 points. A score of ≥7 is classified as high-quality literature, <7 is classified into lower-quality literature. Following assessment using the NOS, the quality of the remaining two RCT studies was assessed against the Cochrane Risk Assessment Scale using the ReviewManager 5.3 (Cochrane) software risk assessment tool.

Data synthesis and statistical analysis

The data was analyzed using the STATA (version 15.1, StataCorp LP) (18). The present study used the combined effect size of standard mean difference (SMD) (with a 95% confidence interval) as a continuous variable to assess the number of retrieved pelvic lymph nodes and para-aortic lymph nodes, as well as the amount of time spent operating and estimated blood loss, and the odds ratio (OR; with a 95% confidence interval) as a binary variable to measure the rates of recurrence and mortality. The I2 statistic was used to determine the degree of heterogeneity. If the results of the test for heterogeneity were P≥0.1 and I2≤50%, this indicated that the studies were homogeneous, and the fixed effects model (I–V) was used for combined analysis; however, if the results were P<0.1 and I2>50%, this indicated that the studies were heterogeneous. Since heterogeneity is always expected for the intervention effects among multiple studies from different groups and geographical locations, only the random effects model was used to combine the results. Sensitivity analysis or subgroup analysis was required to identify the source of heterogeneity. If the heterogeneity was still large, the random effects model (D+L) was used or the combination of results was stopped and descriptive analysis was used. Egger's bias test was used to analyze the publication prejudice.

Results

The results of literature search

In total, the database search yielded 1735 studies. A total of 746 studies remained after duplicates were removed. After browsing titles and abstracts, 307 studies were evaluated. Finally, 18 papers were finally meta-analyzed after being read in their entirety (Fig. 1).

Figure 1.

Flow diagram for selection of studies. CNKI, China National Knowledge Infrastructure.

Baseline characteristics and quality assessment of the included studies Baseline characteristics

The present meta-analysis included 18 publications, 16 of which were cohort studies and two of which were RCTs. The sample sizes ranged from 42 to 933, and the present meta-analysis included a total of 2,381 patients (all women; age, >44.1 years). Among the included studies, 11 reported cervical cancer, three reported ovarian cancer, three reported endometrial cancer and one reported gynecological cancers, including cervical cancer, ovarian cancer and endometrial cancer. A total of 16 cohort studies had NOS ratings of at ≥7 and satisfied all other conditions (Table I). The quality evaluation of the randomized controlled trials was presented in Fig. 2.

Figure 2.

The quality assessment of randomized controlled studies. Green circles indicated low risk and yellow circles indicated undescribed.

Table I.

The baseline characteristics and quality assessment of the cohort studies.

Table I.

The baseline characteristics and quality assessment of the cohort studies.

No. patientsAge, years (mean ± SD or median with range)


First author/s, yearStudy typeStudy areaRobotic surgeryLaparoscopic surgeryRobotic surgeryLaparoscopic surgerySite of gynecological cancerNOS score(Refs.)
Magrina et al, 2011CohortUSA252762.0±15.061.0±16.0Ovarian cancer7(27)
Sert and Abeler, 2011CohortNorway35744.1±10.545.0±12.9Cervical Cancer8(28)
Chong et al, 2013CohortSouth Korea505048.0±9.947.1±11.0Cervical Cancer7(29)
Chen et al, 2014 [14]CohortChina243253.7±15.351.2±11.9Cervical Cancer7(14)
Coronado et al, 2014CohortSpain323057.5 (47.5–66.7)59.0 (38.6–66.3)Gynecological cancer8(30)
Díaz-Feijoo et al, 2014CohortSpain831751.0 (24.0–74.0)49.0 (29.0–66.0)Cervical Cancer7(31)
Yim et al, 2014 [11]CohortSouth Korea604246.3±9.949.8±11.4Cervical Cancer7(11)
Chen et al, 2016CohortChina442144.3±12.343.8±10.3Ovarian cancer7(32)
Manchana et al, 2015CohortThailand284755.5 (48.2–61.5)54.0 (49.0–62.0)Endometrial cancer7(33)
Gallotta et al, 2017CohortItaly326449.0 (32.0–76.0)49.0 (27.0–73.0)Ovarian cancer8(15)
Mäenpää et al, 2016RCTFinland504967.0 (43.0–84.0)70.0 (48.0–83.0)Endometrial cancer/(34)
Mendivil et al, 2016CohortUSA584947.3±11.247.8±12.0Cervical Cancer7(35)
Lee et al, 2018CohortSouth Korea261656.7±6.951.1±7.8Endometrial cancer8(4)
Pellegrino et al, 2017CohortItaly341846.9±9.548.2±13.1Cervical Cancer8(36)
Nie et al, 2017CohortChina10083347.1±9.545.9±8.9Cervical Cancer7(37)
Luo et al, 2018RCTChina303065.0 (62.0–67.0)64.0 (62.0–66.0)Cervical Cancer/(38)
Oyama et al, 2019CohortJapan645743.4±12.244.9±12.3Cervical Cancer7(16)
Loverix et al, 2020CohortBelgium5516249.0 (22.0–79.0)48.0 (22.0–78.0)Cervical Cancer8(12)

[i] NOS, Newcastle-Ottawa Scale.

Results of the meta-analysis
Number of retrieved lymph nodes

i) Number of retrieved pelvic lymph nodes. A total of >2,000 patients participated in 15 studies, which reported on the number of pelvic lymph nodes that were retrieved. The meta-analysis was performed using a random-effects model because of the large amount of variation in the data (I2=68.6%, P<0.001). The pooled results demonstrated that the number of pelvic lymph nodes retrieved by robotic surgery was significantly higher than that of laparoscopic surgery (SMD=0.24; 95% CI, 0.04-0.45; P=0.007; Fig. 3A).

Figure 3.

Comparison in the number of (A) pelvic and (B) para-aortic lymph nodes retrieved by robotic surgery and laparoscopic surgery; comparison in (C) operation time and (D) estimated blood loss between robotic surgery and laparoscopic surgery; comparison in (E) recurrence rate and (F) mortality rate between robotic surgery and laparoscopic surgery. SMD, standard mean difference.

ii) Number of retrieved para-aortic lymph nodes. A total of eight studies including 751 patients reported on the number of para-aortic lymph nodes that were removed. Meta-analysis was performed using a random-effects model due to significant heterogeneity (I2=65.2%, P=0.004). The combined data demonstrated that the number of para-aortic lymph nodes recovered by robotic surgery was significantly greater than the number retrieved by laparoscopic surgery, which was a considerable improvement (SMD=0.41; 95% CI, 0.13-0.69; P=0.004; Fig. 3B).

Operation time

Operation time was recorded in 14 studies, which included 2112 patients. To account for the substantial variability in the data, a random effects model was used (I2=94.0%, P<0.001). The data indicated that, robotic surgery and laparoscopic surgery took the same amount of time to perform (SMD=0.12; 95% CI, −0.35-0.58; P=0.616; Fig. 3C).

Estimated blood loss

A total of 13 studies including 1102 patients, estimated blood loss. Because of the substantial heterogeneity, meta-analysis was performed using a random-effects model (I2=44.3%, P=0.043). There was a significant difference in blood loss between robotic and laparoscopic surgery, demonstrated by the pooled findings [SMD=−0.40; 95% CI, −0.58-(−0.22); P<0.001; Fig. 3D].

Disease prognosis

i) Recurrence rate. A total of four studies, including 1170 patients, reported recurrence rate. Meta-analysis was performed using a random-effects model. Recurrence rates were not significantly different between robotic and laparoscopic surgery, according to the pooled statistics (OR=0.59; 95% CI, 0.21-1.65; P=0.318; Fig. 3E).

ii) Mortality rate. The death rate was recorded in 4 studies, which included 1147 patients. Meta-analysis was performed using a random-effects model. Mortality rate was not significantly different between robotic and laparoscopic surgery, according to the pooled statistics (OR=0.31; 95% CI, 0.08-1.30; P=0.109; Fig. 3F)

Subgroup analysis

Subgroup analysis of the number of retrieved lymph nodes, operation time and estimated blood loss according to different gynecological cancers was performed.

Number of retrieved lymph nodes

i) Number of retrieved pelvic lymph nodes. The pooled results showed that the number of pelvic lymph nodes retrieved by robotic surgery was significantly larger than that obtained by laparoscopic surgery in cervical cancer (SMD=0.38; 95% CI, 0.08-0.67; P=0.012; I2=77.6%; P<0.001) (Fig. 4A). However, in ovarian cancer (SMD=0.11; 95% CI, −0.33-0.55; P=0.634; I2=57.3%; P=0.096) and endometrial cancer (SMD=0.02; 95% CI, −0.26-0.29; P=0.904; I2=0.0%; P=0.420), the difference between robotic surgery and laparoscopic surgery in the number of retrieved pelvic lymph nodes was not statistically significant (Fig. 4A).

Figure 4.

Subgroup analysis of comparison in the number of (A) pelvic and (B) para-aortic lymph nodes retrieved by robotic surgery and laparoscopic surgery; comparison of (C) operation time and (D) estimated blood loss between robotic surgery and laparoscopic surgery. SMD, standard mean difference; D + L, random effects model; I–V, fixed effects model.

ii) Number of retrieved para-aortic lymph nodes. The pooled results demonstrated that in cervical cancer (SMD=0.49; 95% CI, 0.06-0.91; P=0.024; I2=70.3%, P=0.034) and endometrial cancer (SMD=0.75; 95% CI, 0.36-1.14; P<0.001; I2=0.0%; P=0.562), the number of para-aortic lymph nodes retrieved by robotic surgery were significantly increased compared with laparoscopic surgery (Fig. 4B). For ovarian cancer therapy, the number of para-aortic lymph nodes removed by robotic surgery and laparoscopic surgery did not differ significantly between the two techniques, according to the results of the present meta-analysis (SMD=0.21; 95% CI, −0.47-0.88; P=0.554; I2=73.7%; P=0.051; Fig. 4B).

Operation time

The pooled results demonstrated that in cervical cancer (SMD=0.11; 95% CI, −0.44-0.66; P=0.701; I2=94.0%; P<0.001), ovarian cancer (SMD=0.121; 95% CI, −0.92-1.15; P=0.827; I2=88.4%; P=0.003) and endometrial cancer (SMD=0.50; 95% CI, −2.48-3.49; P=0.616; I2=98.6%; P<0.001), the difference in operation time between robotic surgery and laparoscopic surgery was not statistically significant (Fig. 4C).

Estimated blood loss

The pooled results demonstrated that in cervical cancer [SMD=−0.52; 95% CI, −0.80-(−0.25); P<0.001; I2=57.5%; P=0.029] and ovarian cancer [SMD=−0.54; 95% CI, −0.88-(−0.20); P=0.002; I2=0.0%; P=0.670], the estimated blood loss of robotic surgery was significantly lower than that of laparoscopic surgery (Fig. 4D). There was no statistically significant difference in estimated blood loss when compared between robotic surgery and laparoscopic surgery for endometrial cancer (SMD=−0.05; 95% CI, −0.32-0.22; P=0.725; I2=0.0%; P=0.766; Fig. 4D).

Sensitivity analysis

The remaining investigations were subjected to a pooled analysis to assess whether any of the included studies had a disproportionate influence on the meta-analysis's overall results, which was accomplished using sensitivity analyses that eliminated each included publication one at a time. The results of this meta-analysis indicated that no research had a disproportionate influence on its results, which suggested that the findings were steady and credible (Fig. S1, Fig. S2, Fig. S3, Fig. S4, Fig. S5, Fig. S6).

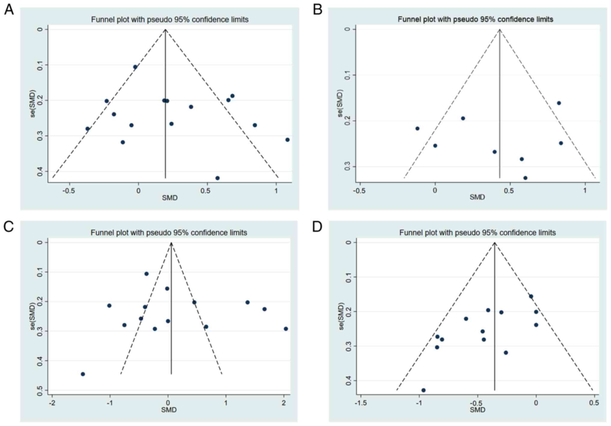
Publication bias

Egger's test (P=0.305; P=0.684; P=0.547; and P=0.366) was used to assess the four funnel plots created in the present study and found no significant publication bias was demonstrated (Fig. 5).

Figure 5.

Publication bias of the analysis of the number of (A) pelvic and (B) para-aortic lymph nodes retrieved by robotic surgery and laparoscopic surgery; comparison of (C) operation time and (D) estimated blood loss between robotic surgery and laparoscopic surgery. SMD, standard mean difference; se, standard error.

Discussion

The development of minimally invasive technologies is important in surgical systems. Minimally invasive surgery can result in better treatment outcomes, faster recovery times, shorter hospital stays, and reduced physical and psychological trauma (19). Recently, a growing number of studies have reported the efficiency and safety of da Vinci robots for the treatment of benign and malignant gynecological tumors (20–22). Due to subjective factors such as the patient's subjective choice of surgical method, difficultly in ensuring the informed consent of patients and their families with randomized surgical methods and difficulty in achieving double-blinding of the wound type after surgery, it is difficult to randomize surgical methods. Therefore, clinical randomized controlled trials exploring different surgical techniques are currently lacking. Since lymph node metastasis has an impact on the prognosis of tumors, including recurrence rate and mortality, it is very important to evaluate the number of lymph nodes removed. This meta-analysis included 18 articles with a total of 2,381 patients who underwent either robotic surgery or conventional laparoscopic surgery for gynecological cancers. The clinical outcomes of da Vinci robot-assisted laparoscopic surgery for gynecological cancers were compared with those of conventional laparoscopic surgery. The number of lymph nodes removed (pelvic and abdominal aortic lymph nodes), length of surgery, expected blood loss, recurrence rate and mortality rate were analyzed.

The number of lymph nodes removed was the first factor assessed. In 15 of the studies, a total of 2002 patients underwent pelvic lymph node removal. The pooled results in the present study demonstrated that the number of pelvic lymph nodes retrieved by robotic surgery was significantly higher than that of laparoscopic surgery (SMD=0.24; 95% CI, 0.04-0.45; P=0.007). Furthermore, 751 patients in eight studies had their para-aortic lymph nodes removed. The pooled results demonstrated that significantly more para-aortic lymph nodes were removed using robotic surgery compared with laparoscopic surgery (SMD=0.41; 95% CI, 0.13-0.69; P=0.004). This result may be due to the ability of the da Vinci robot's simulated wrist endoscopy operating instrument to complete a 7-direction degrees of freedom operation, which means it can reach positions that cannot be reached by human hands (23). Consequently, the robotic system can operate more precisely, allowing for the removal of more lymph nodes. For gynecological cancers, lymph node metastases are an essential channel of spread, and the positive identification rate of lymph nodes is directly linked to postoperative therapy and prognosis (24). The present study performed subgroup analyses for different forms of gynecological cancer. In cervical cancer, the number of pelvic lymph nodes retrieved via robotic surgery was significantly greater than that retrieved via laparoscopic surgery (SMD=0.38; 95% CI, 0.08-0.67; P=0.012). The results of the present study also demonstrated that only in cervical (SMD=0.49; 95% CI, 0.06-0.91; P=0.024) and endometrial (SMD=0.75; 95% CI, 0.36-1.14; P<0.001) cancers were the number of para-aortic lymph nodes retrieved by robotic surgery significantly increased compared with laparoscopic surgery. This may have been due to the differences in the anatomical morphology of gynecological cancer at different locations, which suggested that the combination of the number of lymph nodes removed with the location of the gynecological cancer should be used to choose the most appropriate surgical method for each patient.

A total of 14 publications, which included 2,112 patients, were pooled to examine the difference in operating time between laparoscopic and robotic surgery. All available data demonstrated that there was no significant difference in the operating time between the two types of surgery (SMD=0.12; 95% CI, −0.35-0.58; P=0.616). This result may be due to the da Vinci robot-assisted laparoscopic system being an emerging technology and surgical operators in different countries and regions have different proficiencies in robotic and laparoscopic surgery. As the proficiency of laparoscopic operators is improved, the operation time will be reduced in the future. The difference in estimated blood loss between robotic and laparoscopic surgery was also assessed in the present study. Compared with laparoscopy, the robot-assisted technique has been previously reported to minimize blood loss in gynecological malignancies (25). The pooled results of the present study also demonstrated that the estimated blood loss in robotic surgery was significantly lower compared with that in laparoscopic surgery [SMD=−0.40; 95% CI, −0.58-(−0.22), P<0.001]. This has been reported to be because the robotic surgical system can provide a high-definition, 10–15× magnification view of the surgical field of view, which has a magnifying effect on blood vessels and can avoid the problem of missing small blood vessels in the surgical area (26). When the subsets of patients were assessed, there was no statistically significant difference in estimated blood loss between robotic and laparoscopic surgery for endometrial cancer (SMD=−0.05; 95% CI, −0.32-0.22; P=0.725), which indicated that the blood loss in certain sections of the malignancy may vary.

The cancer recurrence and death rates were further evaluated. Robotic surgery demonstrated a significantly lower death rate compared with laparoscopic surgery (OR=0.2; 95% CI, 0.08-0.95; P=0.041); however, there was no significant difference in recurrence rate and mortality rate between the two procedures. However, few studies have reported recurrence and mortality rates, and other reasons, such as failure to complete postoperative adjuvant treatment during the follow-up period, may affect the postoperative recurrence rate and mortality rate for certain patients. Therefore, to evaluate the long-term efficacy of robotic surgery the sample size should expanded in further research.

This meta-analysis has several limitations. Firstly, the majority of the studies included in this research were retrospective cohort studies, with only two randomized controlled studies; therefore, the quality of the literature was uneven, which could lead to selection bias. Secondly, the literature included in this study did not describe the surgeon's proficiency in the use of the da Vinci Robotic Surgery System, laparoscopic surgery or open surgery, and differences between surgeons' skills may also be a reason for the heterogeneity in this study. Therefore, it will be necessary to include additional studies in the future and expand the sample size to further verify the findings of the present study. Thirdly, as the patients included in each study were not all at a specific cancer stage, it was not possible to perform further subgroup analyses by cancer stage. Fourth, as the complication rates analyzed in the included studies were all robotic surgery and conventional laparoscopic surgery for gynecological cancers, it was not possible to analyze complications after lymph node dissection. If a relevant study is performed, a correlation analysis should be performed.

The results of the present study have demonstrated that lymph nodes from the pelvic and para-aortic areas may be retrieved more effectively using robotic surgery than with laparoscopy. The difference in operation time between the two surgical methods w not statistically significant; however, the estimated blood loss of robotic surgery is significantly lower than that of traditional laparoscopic surgery. Furthermore, robotic surgery has a significantly lower death rate than laparoscopic surgery; however, the recurrence rates were not statistically different.

Supplementary Material

Supporting Data
Supporting Data

Acknowledgements

Not applicable.

Funding

The present study was supported by the Guigang Self-funded Scientific Research Project (grant no. 2100031).

Availability of data and materials

The datasets used and/or analyzed during the current study are available from the corresponding author on reasonable request.

Authors' contributions

YLu conceived the study and wrote the manuscript; WL, YS, LL, RW and MW performed the acquisition of the data. YLi, YC and YLu performed the data analyses; JC helped to perform the analysis. YLu and YC confirm the authenticity of all the raw data. All authors have read and approved the final manuscript.

Ethics approval and consent to participate

Not applicable.

Patient consent for publication

Not applicable.

Competing interests

The authors declare that they have no competing interests.

References

1 

Keyvani V, Kheradmand N, Navaei ZN, Mollazadeh S and Esmaeili SA: Epidemiological trends and risk factors of gynecological cancers: An update. Med Oncol. 40:932023. View Article : Google Scholar : PubMed/NCBI

2 

Wu Z, Tang H, Xiong Q, Liu D, Xia T, Liang H and Ye Q: Prognostic role of microRNA-205 in human gynecological cancer: A meta-analysis of fourteen studies. DNA Cell Biol. 39:875–889. 2020. View Article : Google Scholar : PubMed/NCBI

3 

Lu J, Gu Y, Li Q, Zhong H, Wang X, Zheng Z, Hu W and Wen L: Wilms' tumor 1 (WT1) as a prognosis factor in gynecological cancers: A meta-analysis. Medicine (Baltimore). 97:e114852018. View Article : Google Scholar : PubMed/NCBI

4 

Lee HJ, Lee YH, Chong GO, Hong DG and Lee YS: Comparison of robotic-assisted versus laparoscopy for transperitoneal infrarenal para-aortic lymphadenectomy in patients with endometrial cancer. J Obstet Gynaecol Res. 44:547–555. 2018. View Article : Google Scholar : PubMed/NCBI

5 

Seamon LG, Cohn DE, Richardson DL, Valmadre S, Carlson MJ, Phillips GS and Fowler JM: Robotic hysterectomy and pelvic-aortic lymphadenectomy for endometrial cancer. Obstet Gynecol. 112:1207–1213. 2008. View Article : Google Scholar : PubMed/NCBI

6 

Lowe MP, Johnson PR, Kamelle SA, Kumar S, Chamberlain DH and Tillmanns TD: A multiinstitutional experience with robotic-assisted hysterectomy with staging for endometrial cancer. Obstet Gynecol. 114:236–243. 2009. View Article : Google Scholar : PubMed/NCBI

7 

Lim PC, Kang E and Park DH: A comparative detail analysis of the learning curve and surgical outcome for robotic hysterectomy with lymphadenectomy versus laparoscopic hysterectomy with lymphadenectomy in treatment of endometrial cancer: A case-matched controlled study of the first one hundred twenty two patients. Gynecol Oncol. 120:413–418. 2011. View Article : Google Scholar : PubMed/NCBI

8 

Holloway RW, Ahmad S, DeNardis SA, Peterson LB, Sultana N, Bigsby GE IV, Pikaart DP and Finkler NJ: Robotic-assisted laparoscopic hysterectomy and lymphadenectomy for endometrial cancer: Analysis of surgical performance. Gynecol Oncol. 115:447–452. 2009. View Article : Google Scholar : PubMed/NCBI

9 

Diaz-Feijoo B, Luna-Guibourg R, Cabrera S, Manrique S and Gil-Moreno A: Laparoscopic extraperitoneal pelvic lymph node debulking in locally advanced cervical cancer. J Minim Invasive Gynecol. 26:3662019. View Article : Google Scholar : PubMed/NCBI

10 

Fastrez M, Goffin F, Vergote I, Vandromme J, Petit P, Leunen K and Degueldre M: Multi-center experience of robot-assisted laparoscopic para-aortic lymphadenectomy for staging of locally advanced cervical carcinoma. Acta Obstet Gynecol Scand. 92:895–901. 2013. View Article : Google Scholar : PubMed/NCBI

11 

Yim GW, Kim SW, Nam EJ, Kim S, Kim HJ and Kim YT: Surgical outcomes of robotic radical hysterectomy using three robotic arms versus conventional multiport laparoscopy in patients with cervical cancer. Yonsei Med J. 55:1222–1230. 2014. View Article : Google Scholar : PubMed/NCBI

12 

Loverix L, Salihi RR, Van Nieuwenhuysen E, Concin N, Han S, van Gorp T and Vergote I: Para-aortic lymph node surgical staging in locally-advanced cervical cancer: Comparison between robotic versus conventional laparoscopy. Int J Gynecol Cancer. 30:466–472. 2020. View Article : Google Scholar : PubMed/NCBI

13 

Magrina JF, Cetta RL, Chang YH, Guevara G and Magtibay PM: Analysis of secondary cytoreduction for recurrent ovarian cancer by robotics, laparoscopy and laparotomy. Gynecol Oncol. 129:336–340. 2013. View Article : Google Scholar : PubMed/NCBI

14 

Chen CH, Chiu LH, Chang CW, Yen YK, Huang YH and Liu WM: Comparing robotic surgery with conventional laparoscopy and laparotomy for cervical cancer management. Int J Gynecol Cancer. 24:1105–1111. 2014. View Article : Google Scholar : PubMed/NCBI

15 

Gallotta V, Cicero C, Conte C, Vizzielli G, Petrillo M, Fagotti A, Chiantera V, Costantini B, Scambia G and Ferrandina G: Robotic versus laparoscopic staging for early ovarian cancer: A case-matched control study. J Minim Invasive Gynecol. 24:293–298. 2017. View Article : Google Scholar : PubMed/NCBI

16 

Oyama K, Kanno K, Kojima R, Shirane A, Yanai S, Ota Y and Andou M: Short-term outcomes of robotic-assisted versus conventional laparoscopic radical hysterectomy for early-stage cervical cancer: A single-center study. J Obstet Gynaecol Res. 45:405–411. 2019. View Article : Google Scholar : PubMed/NCBI

17 

Cook DA and Reed DA: Appraising the quality of medical education research methods: The medical education research study quality instrument and the Newcastle-Ottawa scale-education. Acad Med. 90:1067–1076. 2015. View Article : Google Scholar : PubMed/NCBI

18 

Holzman SA, Grant C, Zee RS, Rana MS, Sprague B, Blum E and Rushton HG: High incidence of abnormal imaging findings in circumcised boys diagnosed with urinary tract infections. J Pediatr Urol. 16:560–565. 2020. View Article : Google Scholar : PubMed/NCBI

19 

Nezhat FR, Datta MS, Liu C, Chuang L and Zakashansky K: Robotic radical hysterectomy versus total laparoscopic radical hysterectomy with pelvic lymphadenectomy for treatment of early cervical cancer. JSLS. 12:227–237. 2008.PubMed/NCBI

20 

Shi C, Gao Y, Yang Y, Zhang L, Yu J and Zhang T: Comparison of efficacy of robotic surgery, laparoscopy, and laparotomy in the treatment of ovarian cancer: A meta-analysis. World J Surg Oncol. 17:1622019. View Article : Google Scholar : PubMed/NCBI

21 

Su MC, Zheng Y, Yang F and Liu YY: Placement of robotic single-site surgery using the da Vinci Xi platform and the tumor-free technique for early cervical cancer. Asian J Surg. S1015-9584(22)01307-0. 2022.(Epub ahead of print).

22 

Yotsumoto F, Sanui A, Ito T, Miyahara D, Yoshikawa K, Shigekawa K, Noguchi Y, Yasunaga S and Miyamoto S: Cumulative summation analysis of learning curve for robotic-assisted hysterectomy in patients with gynecologic tumors. Anticancer Res. 42:4111–4117. 2022. View Article : Google Scholar : PubMed/NCBI

23 

Lanfranco AR, Castellanos AE, Desai JP and Meyers WC: Robotic surgery: A current perspective. Ann Surg. 239:14–21. 2004. View Article : Google Scholar : PubMed/NCBI

24 

Ji Y and Wang H: Prognostic prediction of systemic immune-inflammation index for patients with gynecological and breast cancers: A meta-analysis. World J Surg Oncol. 18:1972020. View Article : Google Scholar : PubMed/NCBI

25 

Reza M, Maeso S, Blasco JA and Andradas E: Meta-analysis of observational studies on the safety and effectiveness of robotic gynaecological surgery. Br J Surg. 97:1772–1783. 2010. View Article : Google Scholar : PubMed/NCBI

26 

Camarillo DB, Krummel TM and Salisbury JK Jr: Robotic technology in surgery: Past, present, and future. Am J Surg. 188((4A Suppl)): 2S–15S. 2004. View Article : Google Scholar : PubMed/NCBI

27 

Magrina JF, Zanagnolo V, Noble BN, Kho RM and Magtibay P: Robotic approach for ovarian cancer: Perioperative and survival results and comparison with laparoscopy and laparotomy. Gynecol Oncol. 121:100–105. 2011. View Article : Google Scholar : PubMed/NCBI

28 

Sert MB and Abeler V: Robot-assisted laparoscopic radical hysterectomy: Comparison with total laparoscopic hysterectomy and abdominal radical hysterectomy; one surgeon's experience at the Norwegian Radium Hospital. Gynecol Oncol. 121:600–604. 2011. View Article : Google Scholar : PubMed/NCBI

29 

Chong GO, Lee YH, Hong DG, Cho YL, Park IS and Lee YS: Robot versus laparoscopic nerve-sparing radical hysterectomy for cervical cancer: A comparison of the intraoperative and perioperative results of a single surgeon's initial experience. Int J Gynecol Cancer. 23:1145–1149. 2013. View Article : Google Scholar : PubMed/NCBI

30 

Coronado PJ, Fasero M, Magrina JF, Herraiz MA and Vidart JA: Comparison of perioperative outcomes and cost between robotic-assisted and conventional laparoscopy for transperitoneal infrarenal para-aortic lymphadenectomy (TIPAL). J Minim Invasive Gynecol. 21:674–681. 2014. View Article : Google Scholar : PubMed/NCBI

31 

Díaz-Feijoo B, Gil-Ibáñez B, Pérez-Benavente A, Martínez-Gómez X, Colás E, Sánchez-Iglesias JL, Cabrera-Díaz S, Puig-Puig O, Magrina JF and Gil-Moreno A: Comparison of robotic-assisted vs conventional laparoscopy for extraperitoneal paraaortic lymphadenectomy. Gynecol Oncol. 132:98–101. 2014. View Article : Google Scholar : PubMed/NCBI

32 

Chen CH, Chiu LH, Chen HH, Chan C and Liu WM: Comparison of robotic approach, laparoscopic approach and laparotomy in treating epithelial ovarian cancer. Int J Med Robot. 12:268–275. 2016. View Article : Google Scholar : PubMed/NCBI

33 

Manchana T, Puangsricharoen P, Sirisabya N, Worasethsin P, Vasuratna A, Termrungruanglert W and Tresukosol D: Comparison of perioperative and oncologic outcomes with laparotomy, and laparoscopic or robotic surgery for women with endometrial cancer. Asian Pac J Cancer Prev. 16:5483–5488. 2015. View Article : Google Scholar : PubMed/NCBI

34 

Mäenpää MM, Nieminen K, Tomás EI, Laurila M, Luukkaala TH and Mäenpää JU: Robotic-assisted vs traditional laparoscopic surgery for endometrial cancer: A randomized controlled trial. Am J Obstet Gynecol. 215:588.e1–588.e7. 2016. View Article : Google Scholar : PubMed/NCBI

35 

Mendivil AA, Rettenmaier MA, Abaid LN, Brown JV III, Micha JP, Lopez KL and Goldstein BH: Survival rate comparisons amongst cervical cancer patients treated with an open, robotic-assisted or laparoscopic radical hysterectomy: A five year experience. Surg Oncol. 25:66–71. 2016. View Article : Google Scholar : PubMed/NCBI

36 

Pellegrino A, Damiani GR, Loverro M, Pirovano C, Fachechi G, Corso S and Trojano G: Comparison of robotic and laparoscopic radical type-B and C hysterectomy for cervical cancer: Long term-outcomes. Acta Biomed. 88:289–296. 2017.PubMed/NCBI

37 

Nie JC, Yan AQ and Liu XS: Robotic-assisted radical hysterectomy results in better surgical outcomes compared with the traditional laparoscopic radical hysterectomy for the treatment of cervical cancer. Int J Gynecol Cancer. 27:1990–1999. 2017. View Article : Google Scholar : PubMed/NCBI

38 

Luo C, Liu M and Li X: Efficacy and safety outcomes of robotic radical hysterectomy in Chinese older women with cervical cancer compared with laparoscopic radical hysterectomy. BMC Womens Health. 18:612018. View Article : Google Scholar : PubMed/NCBI

Related Articles

  • Abstract
  • View
  • Download
  • Twitter
Copy and paste a formatted citation
Spandidos Publications style
Lu Y, Chen J, Wei R, Lin W, Chen Y, Su Y, Liu L, Liang Y and Wei M: Application of robotic surgery and traditional laparoscopic surgery in lymph node dissection for gynecological cancer: A meta‑analysis. Oncol Lett 25: 175, 2023.
APA
Lu, Y., Chen, J., Wei, R., Lin, W., Chen, Y., Su, Y. ... Wei, M. (2023). Application of robotic surgery and traditional laparoscopic surgery in lymph node dissection for gynecological cancer: A meta‑analysis. Oncology Letters, 25, 175. https://doi.org/10.3892/ol.2023.13761
MLA
Lu, Y., Chen, J., Wei, R., Lin, W., Chen, Y., Su, Y., Liu, L., Liang, Y., Wei, M."Application of robotic surgery and traditional laparoscopic surgery in lymph node dissection for gynecological cancer: A meta‑analysis". Oncology Letters 25.5 (2023): 175.
Chicago
Lu, Y., Chen, J., Wei, R., Lin, W., Chen, Y., Su, Y., Liu, L., Liang, Y., Wei, M."Application of robotic surgery and traditional laparoscopic surgery in lymph node dissection for gynecological cancer: A meta‑analysis". Oncology Letters 25, no. 5 (2023): 175. https://doi.org/10.3892/ol.2023.13761
Copy and paste a formatted citation
x
Spandidos Publications style
Lu Y, Chen J, Wei R, Lin W, Chen Y, Su Y, Liu L, Liang Y and Wei M: Application of robotic surgery and traditional laparoscopic surgery in lymph node dissection for gynecological cancer: A meta‑analysis. Oncol Lett 25: 175, 2023.
APA
Lu, Y., Chen, J., Wei, R., Lin, W., Chen, Y., Su, Y. ... Wei, M. (2023). Application of robotic surgery and traditional laparoscopic surgery in lymph node dissection for gynecological cancer: A meta‑analysis. Oncology Letters, 25, 175. https://doi.org/10.3892/ol.2023.13761
MLA
Lu, Y., Chen, J., Wei, R., Lin, W., Chen, Y., Su, Y., Liu, L., Liang, Y., Wei, M."Application of robotic surgery and traditional laparoscopic surgery in lymph node dissection for gynecological cancer: A meta‑analysis". Oncology Letters 25.5 (2023): 175.
Chicago
Lu, Y., Chen, J., Wei, R., Lin, W., Chen, Y., Su, Y., Liu, L., Liang, Y., Wei, M."Application of robotic surgery and traditional laparoscopic surgery in lymph node dissection for gynecological cancer: A meta‑analysis". Oncology Letters 25, no. 5 (2023): 175. https://doi.org/10.3892/ol.2023.13761
Follow us
  • Twitter
  • LinkedIn
  • Facebook
About
  • Spandidos Publications
  • Careers
  • Cookie Policy
  • Privacy Policy
How can we help?
  • Help
  • Live Chat
  • Contact
  • Email to our Support Team