Spandidos Publications Logo
  • About
    • About Spandidos
    • Aims and Scopes
    • Abstracting and Indexing
    • Editorial Policies
    • Reprints and Permissions
    • Job Opportunities
    • Terms and Conditions
    • Contact
  • Journals
    • All Journals
    • Oncology Letters
      • Oncology Letters
      • Information for Authors
      • Editorial Policies
      • Editorial Board
      • Aims and Scope
      • Abstracting and Indexing
      • Bibliographic Information
      • Archive
    • International Journal of Oncology
      • International Journal of Oncology
      • Information for Authors
      • Editorial Policies
      • Editorial Board
      • Aims and Scope
      • Abstracting and Indexing
      • Bibliographic Information
      • Archive
    • Molecular and Clinical Oncology
      • Molecular and Clinical Oncology
      • Information for Authors
      • Editorial Policies
      • Editorial Board
      • Aims and Scope
      • Abstracting and Indexing
      • Bibliographic Information
      • Archive
    • Experimental and Therapeutic Medicine
      • Experimental and Therapeutic Medicine
      • Information for Authors
      • Editorial Policies
      • Editorial Board
      • Aims and Scope
      • Abstracting and Indexing
      • Bibliographic Information
      • Archive
    • International Journal of Molecular Medicine
      • International Journal of Molecular Medicine
      • Information for Authors
      • Editorial Policies
      • Editorial Board
      • Aims and Scope
      • Abstracting and Indexing
      • Bibliographic Information
      • Archive
    • Biomedical Reports
      • Biomedical Reports
      • Information for Authors
      • Editorial Policies
      • Editorial Board
      • Aims and Scope
      • Abstracting and Indexing
      • Bibliographic Information
      • Archive
    • Oncology Reports
      • Oncology Reports
      • Information for Authors
      • Editorial Policies
      • Editorial Board
      • Aims and Scope
      • Abstracting and Indexing
      • Bibliographic Information
      • Archive
    • Molecular Medicine Reports
      • Molecular Medicine Reports
      • Information for Authors
      • Editorial Policies
      • Editorial Board
      • Aims and Scope
      • Abstracting and Indexing
      • Bibliographic Information
      • Archive
    • World Academy of Sciences Journal
      • World Academy of Sciences Journal
      • Information for Authors
      • Editorial Policies
      • Editorial Board
      • Aims and Scope
      • Abstracting and Indexing
      • Bibliographic Information
      • Archive
    • International Journal of Functional Nutrition
      • International Journal of Functional Nutrition
      • Information for Authors
      • Editorial Policies
      • Editorial Board
      • Aims and Scope
      • Abstracting and Indexing
      • Bibliographic Information
      • Archive
    • International Journal of Epigenetics
      • International Journal of Epigenetics
      • Information for Authors
      • Editorial Policies
      • Editorial Board
      • Aims and Scope
      • Abstracting and Indexing
      • Bibliographic Information
      • Archive
    • Medicine International
      • Medicine International
      • Information for Authors
      • Editorial Policies
      • Editorial Board
      • Aims and Scope
      • Abstracting and Indexing
      • Bibliographic Information
      • Archive
  • Articles
  • Information
    • Information for Authors
    • Information for Reviewers
    • Information for Librarians
    • Information for Advertisers
    • Conferences
  • Language Editing
Spandidos Publications Logo
  • About
    • About Spandidos
    • Aims and Scopes
    • Abstracting and Indexing
    • Editorial Policies
    • Reprints and Permissions
    • Job Opportunities
    • Terms and Conditions
    • Contact
  • Journals
    • All Journals
    • Biomedical Reports
      • Information for Authors
      • Editorial Policies
      • Editorial Board
      • Aims and Scope
      • Abstracting and Indexing
      • Bibliographic Information
      • Archive
    • Experimental and Therapeutic Medicine
      • Information for Authors
      • Editorial Policies
      • Editorial Board
      • Aims and Scope
      • Abstracting and Indexing
      • Bibliographic Information
      • Archive
    • International Journal of Epigenetics
      • Information for Authors
      • Editorial Policies
      • Editorial Board
      • Aims and Scope
      • Abstracting and Indexing
      • Bibliographic Information
      • Archive
    • International Journal of Functional Nutrition
      • Information for Authors
      • Editorial Policies
      • Editorial Board
      • Aims and Scope
      • Abstracting and Indexing
      • Bibliographic Information
      • Archive
    • International Journal of Molecular Medicine
      • Information for Authors
      • Editorial Policies
      • Editorial Board
      • Aims and Scope
      • Abstracting and Indexing
      • Bibliographic Information
      • Archive
    • International Journal of Oncology
      • Information for Authors
      • Editorial Policies
      • Editorial Board
      • Aims and Scope
      • Abstracting and Indexing
      • Bibliographic Information
      • Archive
    • Medicine International
      • Information for Authors
      • Editorial Policies
      • Editorial Board
      • Aims and Scope
      • Abstracting and Indexing
      • Bibliographic Information
      • Archive
    • Molecular and Clinical Oncology
      • Information for Authors
      • Editorial Policies
      • Editorial Board
      • Aims and Scope
      • Abstracting and Indexing
      • Bibliographic Information
      • Archive
    • Molecular Medicine Reports
      • Information for Authors
      • Editorial Policies
      • Editorial Board
      • Aims and Scope
      • Abstracting and Indexing
      • Bibliographic Information
      • Archive
    • Oncology Letters
      • Information for Authors
      • Editorial Policies
      • Editorial Board
      • Aims and Scope
      • Abstracting and Indexing
      • Bibliographic Information
      • Archive
    • Oncology Reports
      • Information for Authors
      • Editorial Policies
      • Editorial Board
      • Aims and Scope
      • Abstracting and Indexing
      • Bibliographic Information
      • Archive
    • World Academy of Sciences Journal
      • Information for Authors
      • Editorial Policies
      • Editorial Board
      • Aims and Scope
      • Abstracting and Indexing
      • Bibliographic Information
      • Archive
  • Articles
  • Information
    • For Authors
    • For Reviewers
    • For Librarians
    • For Advertisers
    • Conferences
  • Language Editing
Login Register Submit
  • This site uses cookies
  • You can change your cookie settings at any time by following the instructions in our Cookie Policy. To find out more, you may read our Privacy Policy.

    I agree
Search articles by DOI, keyword, author or affiliation
Search
Advanced Search
presentation
Oncology Letters
Join Editorial Board Propose a Special Issue
Print ISSN: 1792-1074 Online ISSN: 1792-1082
Journal Cover
June-2023 Volume 25 Issue 6

Full Size Image

Sign up for eToc alerts
Recommend to Library

Journals

International Journal of Molecular Medicine

International Journal of Molecular Medicine

International Journal of Molecular Medicine is an international journal devoted to molecular mechanisms of human disease.

International Journal of Oncology

International Journal of Oncology

International Journal of Oncology is an international journal devoted to oncology research and cancer treatment.

Molecular Medicine Reports

Molecular Medicine Reports

Covers molecular medicine topics such as pharmacology, pathology, genetics, neuroscience, infectious diseases, molecular cardiology, and molecular surgery.

Oncology Reports

Oncology Reports

Oncology Reports is an international journal devoted to fundamental and applied research in Oncology.

Experimental and Therapeutic Medicine

Experimental and Therapeutic Medicine

Experimental and Therapeutic Medicine is an international journal devoted to laboratory and clinical medicine.

Oncology Letters

Oncology Letters

Oncology Letters is an international journal devoted to Experimental and Clinical Oncology.

Biomedical Reports

Biomedical Reports

Explores a wide range of biological and medical fields, including pharmacology, genetics, microbiology, neuroscience, and molecular cardiology.

Molecular and Clinical Oncology

Molecular and Clinical Oncology

International journal addressing all aspects of oncology research, from tumorigenesis and oncogenes to chemotherapy and metastasis.

World Academy of Sciences Journal

World Academy of Sciences Journal

Multidisciplinary open-access journal spanning biochemistry, genetics, neuroscience, environmental health, and synthetic biology.

International Journal of Functional Nutrition

International Journal of Functional Nutrition

Open-access journal combining biochemistry, pharmacology, immunology, and genetics to advance health through functional nutrition.

International Journal of Epigenetics

International Journal of Epigenetics

Publishes open-access research on using epigenetics to advance understanding and treatment of human disease.

Medicine International

Medicine International

An International Open Access Journal Devoted to General Medicine.

Journal Cover
June-2023 Volume 25 Issue 6

Full Size Image

Sign up for eToc alerts
Recommend to Library

  • Article
  • Citations
    • Cite This Article
    • Download Citation
    • Create Citation Alert
    • Remove Citation Alert
    • Cited By
  • Similar Articles
    • Related Articles (in Spandidos Publications)
    • Similar Articles (Google Scholar)
    • Similar Articles (PubMed)
  • Download PDF
  • Download XML
  • View XML
Article Open Access

Clinicopathological and prognostic significance of SPARC expression in gastric cancer: A meta‑analysis and bioinformatics analysis

  • Authors:
    • Jing Sun
    • Yang-Kai Bai
    • Zhi-Gang Fan
  • View Affiliations / Copyright

    Affiliations: Department of Medical Oncology, Affiliated 3201 Hospital of Xi'an Jiaotong University, Hanzhong, Shaanxi 723000, P.R. China, Department of Urology, Hanzhong Central Hospital, Hanzhong, Shaanxi 723000, P.R. China
    Copyright: © Sun et al. This is an open access article distributed under the terms of Creative Commons Attribution License.
  • Article Number: 240
    |
    Published online on: April 20, 2023
       https://doi.org/10.3892/ol.2023.13826
  • Expand metrics +
Metrics: Total Views: 0 (Spandidos Publications: | PMC Statistics: )
Metrics: Total PDF Downloads: 0 (Spandidos Publications: | PMC Statistics: )
Cited By (CrossRef): 0 citations Loading Articles...

This article is mentioned in:



Abstract

Secreted protein acidic and rich in cysteine (SPARC) is a member of the extracellular matrix glycoprotein family that binds to calcium ions. It may bind to a variety of proteins in the extracellular matrix and also compete with cell membrane surface receptors for growth. In the present study, the relationship between SPARC expression in gastric cancer tissues and the clinicopathological characteristics and prognosis of patients with gastric cancer were systematically evaluated. A meta‑analysis and bioinformatics analysis were performed using the PubMed, Chinese National Knowledge Infrastructure, Kaplan‑Meier (KM)‑plotter, The Cancer Genome Atlas (TCGA), Gene Expression Profiling Interactive Analysis (GEPIA), University of ALabama at Birmingham CANcer (UALCAN), Human Protein Atlas (HPA) and Timer databases. SPARC was mainly expressed in tumor mesenchymal cells. The meta‑analysis indicated that SPARC expression was higher in gastric cancer tissues than in normal tissues. SPARC was associated with the degree of differentiation and distant metastasis. K‑M plotter results indicated that high SPARC expression was negatively associated with overall survival, post‑progression survival and progression‑free survival rates of patients. According to the Oncomine, GEPIA, UALCAN and HPA databases, SPARC mRNA and protein expression was upregulated in gastric cancer vs. normal tissues and was negatively associated with poor patient prognosis. In the TCGA database, univariate analysis indicated that lymph node metastasis and distant metastasis were associated with the prognosis of patients with gastric cancer. Cox multifactorial analysis suggested that high SPARC expression, age and distant metastasis were important factors affecting the survival time of patients with gastric cancer. Analysis with the Timer database indicated that SPARC was closely associated with the proportion of 7 immune‑cell infiltrates in gastric cancer. These findings indicated that high expression of SPARC may be a potential marker of tumorigenesis and metastasis in patients with gastric cancer.

Introduction

Gastric cancer is a digestive tract tumor that seriously threatens human health and life and is the third leading cause of cancer-associated death worldwide (1). In recent years, although the incidence of gastric cancer has decreased worldwide, the incidence and mortality rate of gastric cancer in China have both risen (2). Therefore, improving the diagnostic rate of early gastric cancer and finding new therapeutic targets and prognostic indicators are important directions of current gastric cancer research.

SPARC, also known as osteoadhesive protein, is a calcium-binding glycoprotein whose structure and function are regulated by calcium ions. It belongs to the stromal cell protein family, which inhibits cell adhesion and promotes tumor cell proliferation, invasion and metastasis (3). The SPARC protein has three functional domains: Amino acid terminal Ca-binding region, Cu-binding region and extracellular Ca-binding region. Because of the three functional regions of SPARC, it may participate in cell proliferation and angiogenesis; however, to the best of our knowledge, no previous study has determined whether serum calcium and copper levels affect the growth of cancer (4). SPARC is mainly expressed in mesenchymal cells and its expression may inhibit the synthesis of mechanistic proteins and alter the composition and structure of mesenchymal stroma (5). It may also increase the synthesis of mechanistic degradation enzymes, thus promoting tumor cells to break through the basement membrane of blood vessels and lymphatic vessels for distant metastasis (6). In addition, SPARC can induce gastric tumor cells to become round in shape and have an anti-adhesion role, thereby improving the invasive ability of gastric tumor cells (7).

In most studies on cancer published to date, SPARC was indicated to be abnormally expressed and closely related to the biological behavior of malignant tumors, such as cancer cell invasion and metastasis. SPARC inhibits the mitogenic effect of VEGF in human microvascular endothelium and reduces the tyrosine phosphorylation of the protein kinase activated by VEGF, further attenuating the activity of VEGF (8). High expression of SPARC in gastric cancer mesenchyme inhibits the progression of gastric cancer, while VEGF promotes the development of this type of cancer. SPARC inhibits tumor angiogenesis by regulating VEGF expression. As the expression of SPARC decreases, the inhibitory effect gradually decreases and tumor microvessels become more and more numerous, causing cancer cells to metastasize to distant sites (9). SPARC regulates extracellular matrix components and has a role in promoting the secretion of TGF-β1 protein, which reduces the adherence of gastric tumor cells, enhances their concentration dependence, and inhibits their growth and replication (10).

Previous studies have indicated that SPARC expression is elevated in colorectal, renal and prostate cancers (11–13). High SPARC expression is closely associated with tumor development and has an important role in tumor invasion and metastasis, leading to poor prognosis. In the present study, a meta-analysis and bioinformatics analysis were performed to analyze the relationship between SPARC expression and the clinicopathological characteristics and prognosis of gastric cancer.

Materials and methods

Literature search and data extraction

The published literature was obtained by searching the Pubmed and CNKI databases (May 2022) using the following key words: ‘SPARC’ AND ‘gastric’ (OR ‘stomach’) AND ‘cancer’ (OR ‘carcinoma’ OR ‘tumor’). The inclusion criteria were as follows: i) Patients with gastric cancer; ii) immunohistochemical staining for SPARC expression; iii) article containing SPARC protein expression and clinicopathological features; iv) none of the patients received any medical treatment prior to surgery. The exclusion criteria were as follows: i) Patients received chemotherapy, radiation therapy or other treatment prior to surgery; ii) the article type was abstract, case report, review or meeting; iii) SPARC expression was detected by western blot or reverse transcription (RT)-PCR; iv) repeated publications.

Data extraction and quality assessment

The main information of the articles was extracted by two authors (JS and ZGF). The information extracted included the following: First author, year of publication, country, antibody company, number of cases and controls, expression changes and quality score assessment. The quality scores of the included articles were independently completed by two authors based on the Newcastle Ottawa Oncomine Scale (14).

Bioinformatics analysis

Using the Human Protein Atlas (HPA) database (www.proteinatlas.org), the protein expression of SPARC in normal gastric tissues and gastric cancer tissues was analyzed and the survival curves of patients with gastric cancer were drawn. The prognostic significance of SPARC mRNA expression was analyzed in gastric cancer using the Kaplan-Meier (KM)-plotter database (https://kmplot.com/analysis). The Oncomine database (www.oncomine.org) was used to analyze the SPARC mRNA expression levels in gastric cancer tissues and normal tissues. According to The Cancer Genome Atlas (TCGA) database (www.cancer.gov), the raw data were integrated, the expression of SPARC mRNA in gastric cancer was analyzed and its association with the clinicopathological and prognostic data of patients was determined. SPARC expression in gastric cancer was also analyzed using the Gene Expression Profiling Interactive Analysis (GEPIA; http://gepia.cancer-pku.cn/) and University of ALabama at Birmingham CANcer (UALCAN; http://ualcan.path.uab.edu/index.html) databases and the relationship between SPARC expression and patient prognosis was examined. The TIMER database (https://cistrome.shinyapps.io/timer/) was used to investigate the relationship between SPARC gene expression and clinical outcomes and immune-cell infiltration.

Statistical analysis

Revman version 5.3 (The Cochrane Institute) was used for the present analysis. The expression of SPARC was estimated using odds ratios (ORs) and 95% CIs. The heterogeneity of included articles was tested with the χ2 test and if there was no statistically significant heterogeneity among studies (P>0.1, I2≤50%), a fixed-effects model was used. If there was significant heterogeneity among the studies (P<0.1, I2≥50%), a random-effects model was used. Funnel plots were drawn to assess publication bias and its asymmetry was quantified using Begg's test and Egger's test. Cox risk regression models were used for the univariate and multivariate analyses. This model analyzed the effect of risk factors, the hazard ratio and 95% CI. P<0.05 was considered to indicate a statistically significant difference. All data analyses were performed with SPSS 17.0 software (SPSS, Inc.).

Results

Characteristics of included studies

As illustrated in Fig. 1, a total of 9 eligible studies were chosen for inclusion in the present analysis (9,10,15–21). The main characteristics of the included studies are presented in Table I. Information on the expression of SPARC in gastric cancer tissues, as well as clinicopathological characteristics of patients, including histological type, tumor location, TNM stage, degree of differentiation, distant metastasis, lymph node metastasis, gender and age, was extracted.

Figure 1.

Flow diagram of article selection. CNKI, Chinese National Knowledge Infrastructure.

Table I.

Main characteristics of studies included in the present meta-analysis.

Table I.

Main characteristics of studies included in the present meta-analysis.

First authorYearCountryAntibody supplierCasesControlsRisk of cancer associated with high SPARC expressionQuality (NOS)(Refs.)
Li2014ChinaBIOSS6590Increased7(10)
Li2014ChinaNS4661Increased8(15)
Yang2012ChinaZSGB-BIO6180Increased8(9)
Dong2011ChinaBIOSS95123Increased8(17)
Li2015ChinaZYMED95108Increased8(16)
Ma2019ChinaCST91192Increased7(18)
Franke2009ChinaGermany3840Increased8(19)
Wang2004ChinaZYMED2540Increased8(20)
Zhao2009ChinaSanta Cruz144436Increased8(21)
Biotechnology, Inc.

[i] ZSGB, Zhongshan Goldenbridge Bio; CST, Cell Signaling Technology; NS, not specified; NOS, Newcastle Ottawa Scale; SPARC, secreted protein acidic and rich in cysteine.

Association between SPARC expression and clinicopathological characteristics of patients with gastric cancer

Forest plots for the association of SPARC with various parameters of patients with gastric cancer are provided in Fig. 2. The expression of SPARC in gastric cancer tissue was higher than that in normal gastric mucosal tissue (P<0.05; Fig. 2A). The meta-analysis further indicated that SPARC expression was not associated with the histological type (P>0.05; Fig. 2B), tumor location (P>0.05; Fig. 2C), TNM stage (P>0.05; Fig. 2D), lymph node metastasis (P>0.05; Fig. 2G), gender (P>0.05; Fig. 2H) and age (P>0.05; Fig. 2I). However, SPARC was associated with the degree of differentiation (P<0.05; Fig. 2E) and distant metastasis (P<0.05; Fig. 2F).

Figure 2.

Forest plots of the expression of secreted protein acidic and rich in cysteine in gastric cancer. (A) Cancer vs. normal, (B) histological type, (C) tumor location, (D) TNM stage, (E) differentiation, (F) distant metastasis, (G) lymph node metastasis, (H) gender and (I) age. M-H, Mantel-Haenszel; df, degrees of freedom.

Publication bias

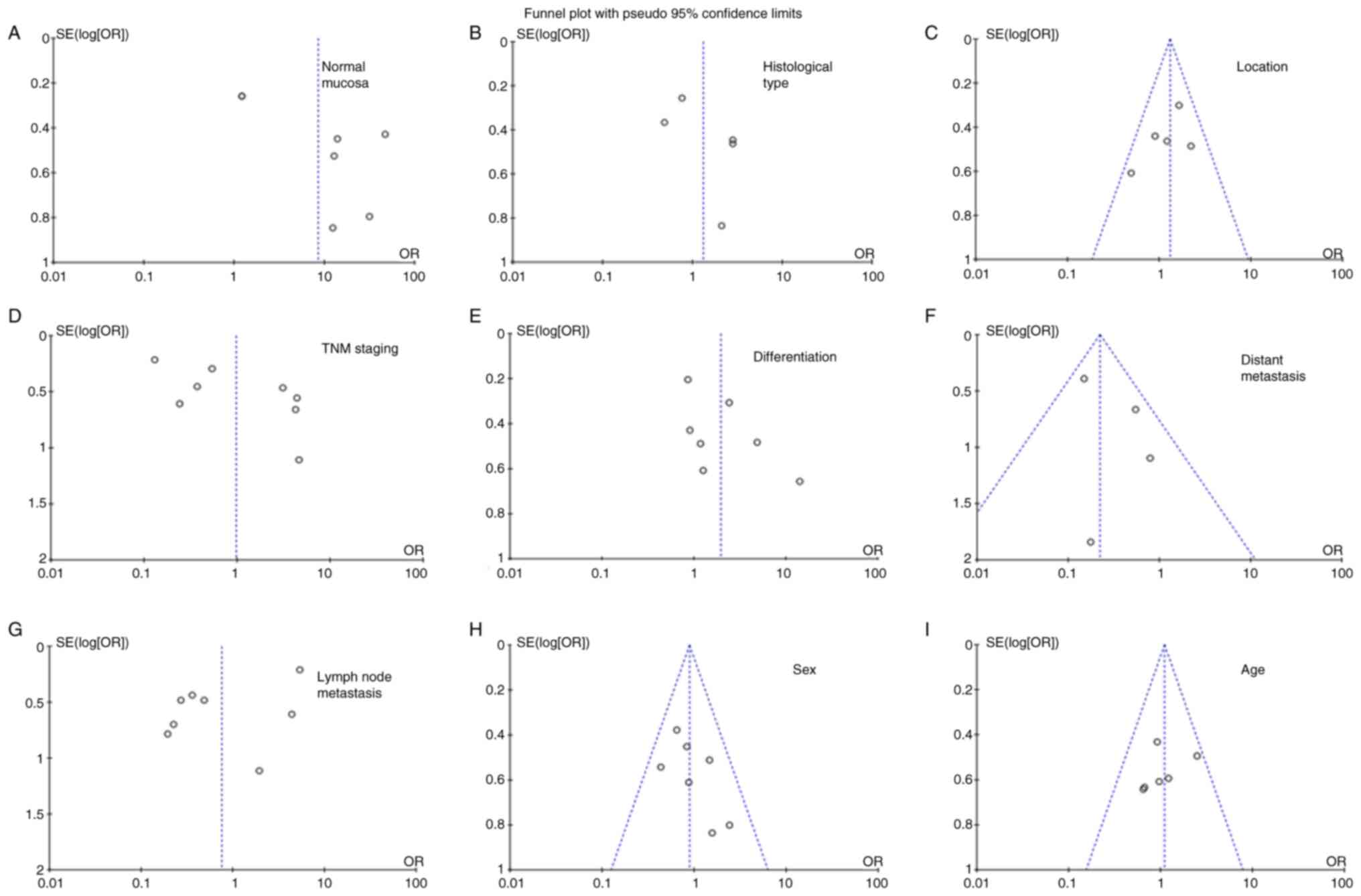
As presented in Fig. 3, funnel plots were used to detect heterogeneity among studies. Sensitivity analysis is used to assess the impact of a single study on summary results, deleting one study at a time from the summary analysis. Based on Egger's test, there was no significant publication bias in the present meta-analysis.

Figure 3.

Funnel plot for testing publication bias for the association of SPARC with gastric cancer. Publication bias was also tested for the association between SPARC expression and clinicopathological features of gastric cancer, including (A) gastric mucosa, (B) histological type, (C) location, (D) TNM staging, (E) differentiation, (F) distant metastasis, (G) lymph node metastasis, (H) sex and (I) age. SPARC, secreted protein acidic and rich in cysteine; OR, odds ratio; SE, standard error.

Clinicopathological and prognostic significance of SPARC expression in gastric cancers

According to KM-plotter, it was indicated that higher SPARC expression was negatively associated with overall survival (OS) rates (P<0.05; Fig. 4A), even after the stratification of the patients by TNM stage, distant metastasis, perforation, treatment, Lauren's classification and Her2 status (P<0.05; Table II). These findings were the same for female patients, N1-N3 stage and well-differentiated tumors (P<0.05; Table II). In addition, higher SPARC expression was negatively associated with post-progression survival rates (P<0.05; Fig. 4A), even after the stratification of the patients by lymph node metastasis, distant metastasis and Lauren's classification (P<0.05; Table II). This was also the same for female patients with gastric cancer, those with TNM stage II–IV, treated with surgery alone or adjuvant therapy other than 5-FU, as well as Her2-negative tumors (P<0.05; Table II). The first progression survival rate during the entire treatment period of the patients with high expression of SPARC was significantly lower than that in the low expression group, and this was also the case in the subgroups stratified by tumor size and treatment (P<0.05; Fig. 4A and Table II).

Figure 4.

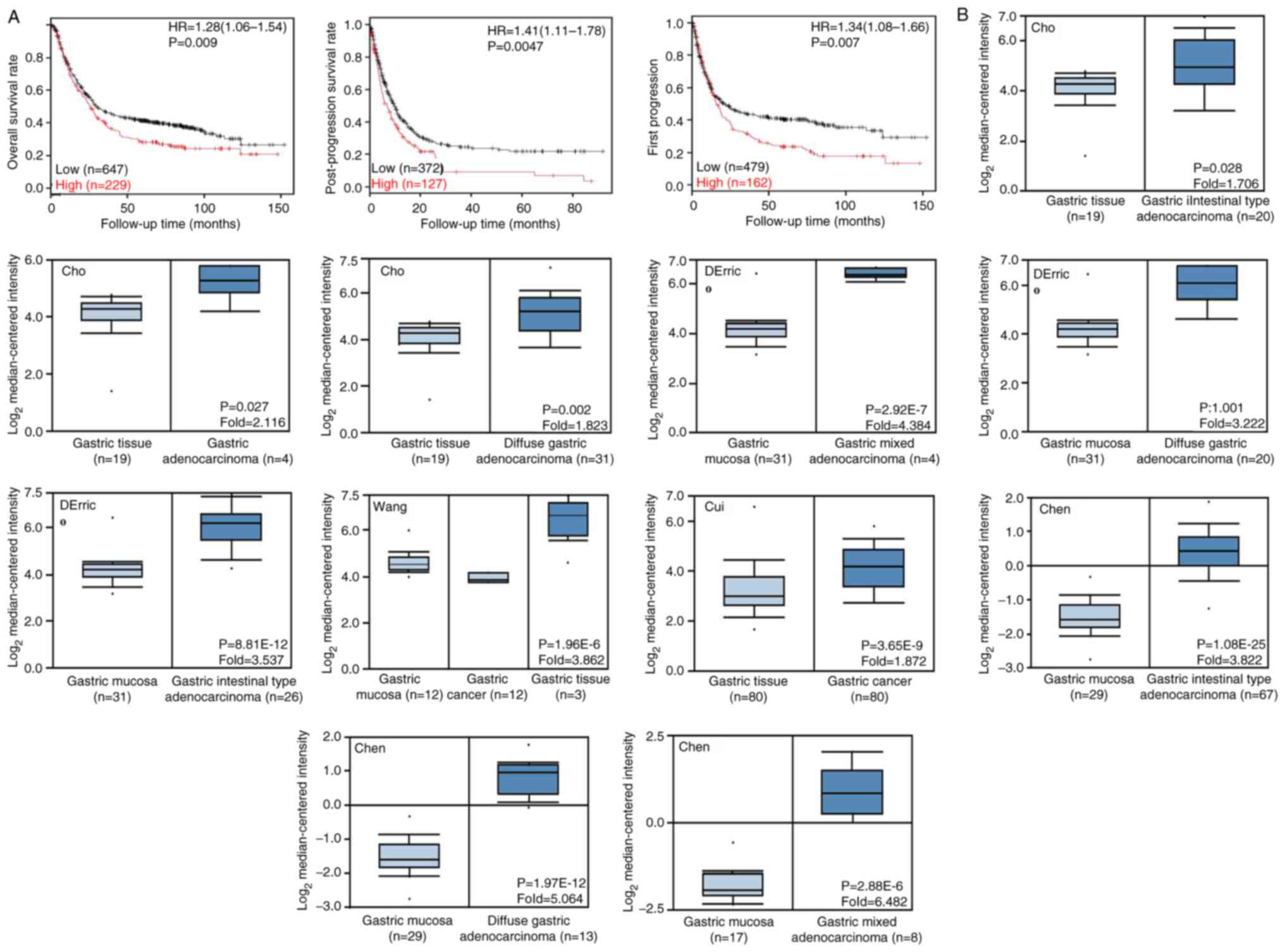
Prognostic value of SPARC mRNA expression in patients with gastric cancer according to the (A) Kaplan-Meier plotter and (B) Oncomine databases. SPARC, secreted protein acidic and rich in cysteine. HR, hazard ratio.

Table II.

Prognostic significance of secreted protein acidic and rich in cysteine mRNA (high vs. low) in gastric cancer.

Table II.

Prognostic significance of secreted protein acidic and rich in cysteine mRNA (high vs. low) in gastric cancer.

Overall survivalPost-progression survivalFirst progression



Clinicopathological featuresHazard ratioP-valueHazard ratioP-valueHazard ratioP-value
Sex
  Female1.80 (1.26-2.57)0.00112.05 (1.33-3.17)0.000931.84 (1.25-2.73)0.0019
  Male1.22 (0.99-1.51)0.0651.26 (0.97-1.63)0.0871.17 (0.91-1.51)0.23
TNM staging
  10.21 (0.05-0.95)0.0260.30 (0.04-2.55)0.250.27 (0.06-1.22)0.068
  22.08 (1.03-4.22)0.0372.29 (1.10-4.77)0.0231.77 (0.91-3.46)0.088
  31.50 (1.12-2.01)0.00662.40 (1.55-3.70) 4.7×10−51.80 (1.24-2.60)0.0017
  41.62 (1.10-2.38)0.0131.77 (1.10-2.84)0.0171.47 (0.97-2.22)0.066
Tumor stage
  21.90 (1.24-2.92)0.00282.11 (1.34-3.32)0.000941.74 (1.14-2.64)0.0089
  31.55 (1.09-2.22)0.0151.67 (1.14-2.45)0.00811.46 (1.03-2.07)0.034
  43.72 (1.23-11.26)0.0131.56 (0.62-3.94)0.343.22 (1.43-7.25)0.0032
Nodal stage
  01.67 (0.71-3.96)0.243.28 (1.00-10.68)0.0381.66 (0.70-3.93)0.24
  1-32.08 (1.60-2.72) 3.5×10−82.16 (1.61-2.90) 1.4×10−71.97 (1.53-2.55) 1.2×10−7
  12.44 (1.61-3.71) 1.4×10−52.50 (1.58-3.95) 5.1×10−52.30 (1.55-3.42) 2.1×10−5
  21.89 (1.20-2.99)0.00571.81 (1.11-2.94)0.0152.07 (1.31-3.27)0.0015
  31.89 (1.09-3.71)0.0211.94 (1.08-3.47)0.0231.44 (0.85-2.43)0.17
Metastasis stage
  01.80 (1.36-2.39) 3.7×10−52.07 (1.52-2.82) 2.0×10−61.76 (1.34-2.31) 3.3×10−5
  11.95 (1.08-3.54)0.0253.18 (1.41-7.18)0.00361.38 (0.76-2.51)0.29
Perforation
  -1.66 (1.12-2.48)0.0121.37 (0.74-2.52)0.311.63 (1.11-2.40)0.011
Treatment
  Surgery alone1.71 (1.23-2.38)0.00141.85 (1.35-2.53) 8.8×10−51.56 (1.17-2.09)0.0022
  5-FU-based adjuvant0.58 (0.39-0.87)0.00690.72 (0.48-1.08)0.110.62 (0.42-0.92)0.016
  Other adjuvant4.21 (1.74-10.19)0.000534.11 (1.69-10.02)0.000753.75 (1.71-8.23) 4.0×10−4
Degree of differentiation
  Well-differentiated2.97 (1.24-7.11)0.01----
  Moderately differentiated1.59 (0.79-3.21)0.190.61 (0.24-1.58)0.311.76 (1.33-3.45)0.096
  Poorly differentiated1.38 (0.91-2.11)0.130.69 (0.37-1.30)0.251.53 (0.94-2.51)0.087
Lauren's classification
  Intestinal type1.69 (1.16-2.45)0.00541.57 (1.04-2.38)0.031.56 (1.09-2.22)0.014
  Diffuse type2.17 (1.53-3.06) 7.8×10−62.33 (1.58-3.42) 1.0×10−52.07 (1.46-2.94) 2.9×10−5
  Mixed type2.77 (0.97-7.93)0.049--2.21 (0.79-6.20)0.12
Her2 status
  -1.43 (1.14-1.81)0.00231.87 (1.39-2.52) 3.1×10−51.42 (1.09-1.85)0.0085
  +1.45 (1.08-1.96)0.0131.36 (0.93-1.98)0.111.29 (0.91-1.82)0.16

According to the Oncomine database, SPARC mRNA expression was higher in gastric cancer tissue compared with that in normal tissues (P<0.05; Fig. 4B), even when cases were stratified as diffuse, intestinal and mixed-type carcinoma. Higher SPARC expression was negatively associated with OS rates based on the UALCAN database (P<0.05; Fig. 5A). Based on the UALCAN database, SPARC was also indicated to be highly expressed in gastric cancer tissues and high SPARC expression was strongly associated with grade, stage, lymph node metastasis, TP53 status and Helicobacter pylori infection status (Fig. 5B-G), but there was no significant difference between sexes or among different age groups (Fig. 5H and I).

Figure 5.

Prognostic value of SPARC mRNA expression in patients with gastric cancer according to the UALCAN database. (A) Overall survival, (B) SPARC was higher expressed in gastric cancer than normal tissues, (C) tumor grade, (D) node metastasis status, (E) individual cancer stages, (F) TP53 mutation status, (G) Helicobacter pylori infection status, (H) gender and (I) age. *P<0.05. SPARC, secreted protein acidic and rich in cysteine; TCGA, The Cancer Genome Atlas; STAD, stomach adenocarcinoma.

The GEPIA database indicated that SPARC expression was higher in gastric cancer than in normal tissue and was positively correlated with the TNM stage (P<0.05; Fig. 6A-C).

Figure 6.

Prognostic value of SPARC mRNA expression in patients with gastric cancer according to the GEPIA, HPA and ONCOLNC databases. Based on the gene expression Profile (A) and box plots (B) in the GEPIA database, we found that SPARC expression was higher in gastric cancer than in normal tissue and (C) was negatively correlated with the TNM stage. The relationship between SPARC expression in gastric cancer and overall survival of patients based on the (D) GEPIA, (E) ONCOLNC and (F) HPA databases. *P<0.05. T, tumor; N, normal; SPARC, secreted protein acidic and rich in cysteine; HR, hazard ratio; GEPIA, Gene Expression Profiling Interactive Analysis; HPA, Human Protein Atlas; STAD, stomach adenocarcinoma.

SPARC expression was not significantly associated with OS according to the GEPIA and ONCOLNC databases (P>0.05; Fig. 6D and E); however, higher SPARC expression was negatively associated with OS rates based on the HPA (P<0.05; Fig. 6F). A univariate survival analysis performed in the TCGA database indicated that distant metastasis and lymph node metastasis were positively associated with the prognosis of patients with gastric cancer (P<0.05; Table III). Furthermore, multivariate analysis suggested that high SPARC expression, age and distant metastasis were important factors affecting patients' survival (P<0.05; Table IV). An analysis in the Timer database indicated that SPARC expression was closely associated with the proportion of 7 immune-cell infiltrates in gastric cancer (B cells, CD8+ T cells, CD4+ T cells, macrophages, neutrophils and dendritic cells; P<0.05; Fig. 7A). When the degree of macrophage infiltration decreases, the survival time of cancer patients increases. However, survival and prognosis in cancer patients were negatively correlated with SPARC expression (P<0.05; Fig. 7B). As presented in Fig. 7C, based on DNA copy variation data, it was found that diploid/normal is more common than deep deletion in CD8+, CD4+T cells, macrophages, neutrophils and dendritic cells, which is related to the deletion and gain at arm level.

Figure 7.

Association of SPARC with immune-cell infiltration in gastric cancer tissue. (A) Association between SPARC expression and immune cell infiltrates in gastric cancer. (B) Association between degree of immune cell infiltration and prognosis and SPARC expression and survival of patients with gastric cancer. (C) Based on DNA copy variation data, it was found that diploid/normal is more common than deep deletion in CD8+CD4+ T cells, macrophages, neutrophils and dendritic cells, which is related to the deletion and gain at arm level. *P<0.05; ***P<0.001. SPARC, secreted protein acidic and rich in cysteine; cor, correlation coefficient; STAD, stomach adenocarcinoma.

Table III.

Univariate analysis of prognostic risk factors in patients with gastric cancer.

Table III.

Univariate analysis of prognostic risk factors in patients with gastric cancer.

CharacteristicPatients, n (%)Relative risk (95% CI)P-value
Sex
  Female127 (37.1)Ref.
  Male215 (62.9)1.030 (0.696-1.524)0.883
Age, years
  <60114 (33.3)Ref.
  ≥60228 (66.7)1.342 (0.880-2.049)0.173
TNM stage
  I/II46 (14.1)Ref.
  III/IV280 (85.9)1.605 (0.857-3.006)0.139
Invasion
  -17 (5.0)Ref.
  +322 (95.0)6.58 (0.915-47.62)0.061
Lymph node metastasis
  -107 (32.4)Ref.
  +223 (67.6)2.066 (1.279-3.344)0.003
Distant metastasis
  -303 (92.9)Ref.
  +23 (7.1)3.040 (1.686-5.464)<0.001
Degree of differentiation
  Well-differentiated10 (2.4)Ref.
  Moderately-poorly differentiated400 (97.6)1.193 (0.946-1.684)0.314

[i] CI, confidence interval; TNM, tumor-nodes-metastasis.

Table IV.

Multivariate analysis of clinicopathological variables influencing the survival of patients with gastric cancer.

Table IV.

Multivariate analysis of clinicopathological variables influencing the survival of patients with gastric cancer.

Clinicopathological parametersRelative risk (95% CI)P-value
SPARC expression (+)0.014 (0.001-0.190)0.001
Age (≥60 years)1.857 (1.105-2.999)0.011
Sex (female)0.898 (0.581-1.390)0.631
Depth of invasion (T2-4)5.451 (0.687-43.275)0.109
Lymph node metastasis (+)1.892 (0.982-3.645)0.057
Distant metastasis (+)3.056 (1.555-6.006)0.001
TNM staging (III/IV)0.649 (0.257-1.636)0.359

[i] CI, confidence interval; TNM, tumor-nodes-metastasis; SPARC, secreted protein acidic and rich in cysteine.

Discussion

SPARC is a calcium-binding glycoprotein with multiple functions, promoting the following effects: Tumor-cell detachment, invasion and metastasis, matrix composition changes, basement membrane degradation and endothelial cell migration, and angiogenesis and cell growth stimulation (22). As a potential cell cycle inhibitor, SPARC may act as a cyclin to cause cell cycle arrest in G1 phase. The carboxyl terminal of region IV in the extracellular calcium binding region of SPARC contains a calcium binding site with high affinity, which may release active peptides after binding with calcium to act on endothelial cells and inhibit the proliferation of endothelial cells, thus affecting the biological activity of SPARC (23). It may bind to the dimer of platelet-derived growth factor (PDGF), thereby changing the structure of the dimer, which hinders the binding of PDGF to cell surface receptors, leading to the regulation of cell growth (24). In ovarian cancer, SPARC may inhibit the activation of ERK mediated by β-fibroblast growth factor and VEGF in endothelial cells and may also inhibit the phosphorylation levels of MAPK and ERK (25).

The strongly positive expression rate and score of SPARC in liver cancer tissues were significantly higher than those in normal liver tissues, which may promote tumor invasion and metastasis, demonstrating that it may act as a diagnostic tool for liver cancer. In addition, SPARC expression was different in liver cancer tissues with different Tumor, Nodes, American Joint Committee on Cancer stages and tumor differentiation. Univariate and multivariate survival analyses indicated that strongly positive expression of SPARC was a prognostic factor affecting OS and disease-free survival of patients with liver cancer, providing evidence that the SPARC expression pattern may aid the prognostication of liver cancer (26–28).

A previous study indicated that the expression of SPARC was significantly higher in colorectal cancer tissues, and was positively associated with tumor differentiation and metastasis, suggesting that SPARC has a role in tumor invasion and metastasis (29). Studies on colon cancer suggested that SPARC has the effect of inhibiting tumor angiogenesis, which is related to the expression of VEGF. The function of SPARC in tumors is the same: SPARC has the effect of inhibiting tumor angiogenesis, but it has a significant negative correlation with the expression of VEGF. It is well-known that VEGF is able to promote tumor blood angiogenesis; therefore, SPARC is mainly expressed in tumor stroma, and the anti-angiogenesis effect of SPARC may be achieved by regulating the expression of VEGF (29,30). SPARC is associated with distant metastasis and lymph node metastasis in malignant melanoma and may be used as a predictor of melanoma prognosis.

Another study, which used a transgenic mouse model, demonstrated that high expression of SPARC in prostate stromal adenocarcinoma inhibits the growth of cancer cells by affecting the cell cycle, thereby limiting the progression of prostate cancer (31,32). The expression of SPARC in breast cancer tissues is higher than that in normal tissues and its expression in tumor stromal cells is even higher than that in tumor cells. Studies have indicated that SPARC expression is positively associated with histological grade and TNM stage: Univariate analysis and Cox multivariate analysis suggested that lymph node metastasis, distant metastasis, age and TNM stage were negatively associated with the prognosis of patients with breast cancer. However, analysis with KM-plotter indicated that low expression of SPARC was negatively associated with OS, post-progression survival and distant metastasis. Metastasis and TNM stage are important factors affecting the survival time of patients with breast cancer and SPARC expression may be a good indicator of prognosis in patients with breast cancer (33). At the same time, SPARC expression was found in the MDA-MB-231 breast cancer cell line and to promote breast cancer metastasis to the lung (34).

Previous studies used small interfering RNA to inhibit SPARC in high-expressing cell lines and found that the proliferation and survival of gastric cancer cells in the SPARC-knockdown group were significantly reduced, which was confirmed in a tumor formation experiment in nude mice (35,36). The detection of 10 commonly used gastric cancer cell lines indicated that 8 cell lines had SPARC promoter methylation and 7 of them had loss of SPARC expression. After pyrimidine nucleoside treatment, SPARC expression was restored to normal levels in all cell lines. The phenomenon of SPARC promoter methylation provides a new direction for gastric cancer prognostication and selection of therapeutic targets (37). Liao et al (38) and Li et al (39) found SPARC, one of the genes closely related to the occurrence of gastric cancer, through database screening of differentially expressed genes, and determined that the SPARC gene is closely related to the prognosis of patients with gastric cancer through KM-plotter and TCGA database analyses. However, in the present study, the expression of SPARC in gastric cancer tissue was examined through a meta-analysis and the relationship between its expression and clinical characteristics of patients was analyzed. The TCGA and KM-plotter databases were also used to analyze the prognosis of patients with SPARC gene expression, but the relationship between SPARC mRNA expression and clinicopathological characteristics of patients with gastric cancer was assessed in more detail. Furthermore, the expression of SPARC protein and mRNA in gastric cancer was examined in three additional databases, GEPIA, HPA and UALCAN, making the results more convincing. The influence of SPARC on immune-cell infiltration in gastric cancer was also analyzed through the Time database. The present results comprehensively explain the significance of the SPARC gene for patients with gastric cancer and lay a foundation for future research.

The expression of SPARC mRNA in gastric cancer tissue as determined by RT-PCR was significantly higher than that in normal tissue and immunohistochemical analysis demonstrated that SPARC was highly expressed in interstitial cells, while its expression was lower in normal mucosal cells in tumor nuclei. High SPARC expression was negatively associated with TNM stage and lymph node metastasis (40,41). This is consistent with the present analysis, which indicated that SPARC expression was higher in gastric cancer tissues than in normal tissues. High SPARC expression was negatively associated with the degree of differentiation and distant metastasis. Furthermore, the KM-plotter analysis indicated that high SPARC mRNA expression was negatively associated with OS, post-progression and first progression survival rates of patients. Univariate analysis suggested that lymph node metastasis and distant metastasis were associated with the prognosis of patients with gastric cancer. Cox multifactorial analysis indicated that high SPARC expression, age and distant metastasis were independent factors affecting the survival time of patients with gastric cancer. In the TCGA database, the number of stratified samples of indicators included is not completely consistent, which may have led to inconsistent results regarding the TNM stage, lymph node metastasis and distant metastasis in the univariate analysis. Univariate analysis is the effect of each clinicopathological feature on prognosis. Multivariate analysis is a statistical analysis method that takes prognosis as the dependent variable and other pathological characteristics as independent variables, establishes a linear or nonlinear mathematical model to estimate the quantitative relationship between multiple variables, and uses sample data for analysis. Therefore, the results of the single-factor and multi-factor analysis may be different.

In conclusion, SPARC protein and mRNA expression is upregulated in gastric cancer. SPARC is positively associated with lymph node metastasis and distant metastasis of gastric cancer. High expression of SPARC may be a potential marker of tumorigenesis and metastasis in patients with gastric cancer.

Acknowledgements

Not appliable.

Funding

Funding: No funding was received.

Availability data and materials

All data generated or analyzed during this study are included in this published article. The expression level of SPARC was analyzed using Oncomine. In addition, the prognostic significance of SPARC mRNA was analyzed using the KM-plotter, GEPIA, HPA, UALCAN, Timer, ONCOLNC and TCGA databases. The data for the meta-analysis were obtained from the studies listed in Table I.

Authors' contributions

JS and ZGF performed the meta-analysis and wrote the manuscript. JS and YKB analyzed the data from databases. The authenticity of the raw data was confirmed by JS and YKB. All authors have read and approved the final manuscript.

Ethics approval and consent to participate

Not applicable.

Patient consent for publication

Not applicable.

Competing interests

The authors declare that they have no competing interests.

References

1 

Bray F, Ferlay J, Soerjomataram I, Siegel RL, Torre LA and Jemal A: Global cancer statistics 2018: GLOBOCAN estimates of incidence and mortality worldwide for 36 cancers in 185 countries. CA Cancer J Clin. 68:394–424. 2018. View Article : Google Scholar : PubMed/NCBI

2 

Zuo TT, Zheng RS, Zeng HM, Zhang SW and Chen WQ: Epidemiology of stomach cancer in China. Chin J Clin Oncol. 44:52–59. 2017.(In Chinese).

3 

Han W, Xu XX, He DW, Cao F and Ding HZ: Effect of SPARCL1 gene on the proliferation and apoptosis of hepatocellular carcinoma SMMC-7721 cells. J Jiangsu Univ. 26:52016.(In Chinese).

4 

Chun Y, Yamakoshi Y, Kim JW, Iwata T, Hu JCC and Simmer JP: Porcine SPARC: Isolation from dentin, cDNA sequence, and computer model. Eur J Oral Sci. 114:78–85. 2010. View Article : Google Scholar : PubMed/NCBI

5 

Yiu GK, Chan WY, Ng SW, Chan PS, Cheung KK, Berkowitz RS and Mok SC: SPARC (secreted protein acidic and rich in cysteine) induces apoptosis in ovarian cancer cells. Am J Pathol. 159:609–622. 2001. View Article : Google Scholar : PubMed/NCBI

6 

Rotllant J, Liu D, Yan YL, Postlethwait JH, Westerfield M and Du SJ: Sparc (Osteonectin) functions in morphogenesis of the pharyngeal skeleton and inner ear. Matrix Biol. 27:561–572. 2008. View Article : Google Scholar : PubMed/NCBI

7 

Ji R, Zhou YN, Ren TW, Zhang ZY and Li Q: Expression and clinical significance of MMP-9 in gastric cancer and metastatic lymphnodes. Chin J Clin Oncol. 37:377–380. 2010.(In Chinese).

8 

De S, Chen J, Narizhneva NV, Heston W, Brainard J, Sage EH and Byzova TV: Molecular pathway for cancer metastasis to bone. J Biol Chem. 278:39044–39050. 2003. View Article : Google Scholar : PubMed/NCBI

9 

Yang ML, Zhai LL, Ma LH, et al: Expression of SPARC and VEGF in Gastric Carcinoma and Their Relationship with Angiogenesis. J Diag Pathol. 19:52–55. 2012.(In Chinese).

10 

Li CY and Gu KS: Expression of CD133, SPARC and ARID1A in gastric cancer and its clinical significance. Chin Clin Oncol. 19:411–416. 2014.(In Chinese). PubMed/NCBI

11 

Wang GM, Yuan YP, Zhao CX and Song XL: Expression and significance of MMP-2, MMP-9 and VEGF in colon carcinoma tissues. Chin J Cancer Prevent Treat. 18:1267–1269. 2011.(In Chinese).

12 

Nishie A, Masuda K, Otsubo M, Migita T, Tsuneyoshi M, Kohno K, Shuin T, Naito S, Ono M and Kuwano M: High expression of the Cap43 gene in infiltrating macrophages of human renal cell carcinomas. Clin Cancer Res. 7:2145–2151. 2001.PubMed/NCBI

13 

Thomas R, True LD, Bassuk JA, Lange PH and Vessella RL: Differential expression of osteonectin/SPARC during human prostate cancer progression. Clin Cancer Res. 6:1140–1149. 2000.PubMed/NCBI

14 

Wells GA, She B, O'Connell D, Peterson J, Welch V, Losos M and Tugwell P: The Newcastle-Ottawa Scale (NOS) for assessing the quality of non-randomised studies in meta-analyses. https://www.ohri.ca/programs/clinical_epidemiology/oxford.aspMay 13–2022

15 

Li R: Expression of protein Smad3, HER2, SPARC in gastric cancer tissues and its relation with long-term efficacy. Shanghai Med Pharm J. 35:32014.(In Chinese).

16 

Li Y, Wu JF, Zhang H, Qin R and Wang DB: Expression of SPARC in gastric cancer tissues. Acta Universitatis Medicinalis Anhui. 41:626–628. 2006.(In Chinese).

17 

Dong MX, Yang YH and Yu JX: Expression of SPARC in gastric carcinoma and clinical significance. Med J Qilu. 26:105–108. 2011.(In Chinese).

18 

Ma Y, Zhu J, Chen S, Ma J, Zhang X, Huang S, Hu J, Yue T, Zhang J, Wang P, et al: Low expression of SPARC in gastric cancer-associated fibroblasts leads to stemness transformation and 5-fluorouracil resistance in gastric cancer. Cancer Cell Int. 19:1372019. View Article : Google Scholar : PubMed/NCBI

19 

Franke K, Carl-Mcgrath S, Rhl FW, Röhl FW, Lendeckel U, Ebert MP, Tänzer M, Pross M and Röcken C: Differential expression of SPARC in intestinal-type gastric cancer correlates with tumor progression and nodal spread. Transl Oncol. 2:310–320. 2009. View Article : Google Scholar : PubMed/NCBI

20 

Wang CS, Lin KH, Chen SL, Chan YF and Hsueh S: Overexpression of SPARC gene in human gastric carcinoma and its clinic-pathologic significance. Br J Cancer. 91:1924–1930. 2004. View Article : Google Scholar : PubMed/NCBI

21 

Zhao ZS, Wang YY, Chu YQ, Ye ZY and Tao HQ: SPARC is associated with gastric cancer progression and poor survival of patients. Clin Cancer Res. 16:260–268. 2009. View Article : Google Scholar : PubMed/NCBI

22 

Huang HB, Zhao Y and Yang SJ: Research progress of SPARC in esophageal cancer. J Int Oncol. 41:42014.

23 

Brekken RA and Sage EH: SPARC, a matricellular protein: At the crossroads of cell-matrix communication. Matrix Biol. 19:816–827. 2001. View Article : Google Scholar : PubMed/NCBI

24 

Kupprion C, Motamed K and Sage EH: SPARC (BM-40, osteonectin) inhibits the mitogenic effect of vascular endothelial growth factor on microvascular endothelial cells. J Biol Chem. 273:29635–29640. 1998. View Article : Google Scholar : PubMed/NCBI

25 

Socha MJ, Said N, Dai Y, Kwong J, Ramalingam P, Trieu V, Desai N, Mok SC and Motamed K: Aberrant promoter methylation of sparc in ovarian cancer. Neoplasia. 11:126–135. 2009. View Article : Google Scholar : PubMed/NCBI

26 

Feng Y, Yang X and Wang XB: Research advances in secreted protein acidic and rich in cysteine in hepatocellular carcinoma. J Clin Hepatol. 34:419–423. 2018.

27 

Ouyang HY, Le Y, Zhang YF, Guo RP and Shi M: Expression of SPARCL1 in primary hepatocellular carcinoma and its clinical significance. Pract J Cancer. 31:32016.

28 

Zheng XW, Li WX and Liu JF: Relationship of bcl-2 expression with SPARC expression in hepatocellular carcinoma and their correlation with recurrence, metastasis and prognosis. Chin J Modern Med. 23:42013.(In Chinese).

29 

Jiang DL, Cao SQ and Jiang YL: Expression and clinical significance of secreted protein acidic and rich in cysteine and matrix metalloproteinase-2 in human colorectal carcinoma and colorectal adenoma. J Clin Int Med. 34:42017.(In Chinese).

30 

Liang JF, Wang HK, Hong X, Li N, Cheng CX, Zhao YZ, Ma YB, Gao JZ, Bai RB and Zheng HX: Relationship and prognostic significance of SPARC and VEGF protein expression in colon cancer. J Exp Clin Cancer Res. 29:1–11. 2010. View Article : Google Scholar : PubMed/NCBI

31 

Nischt R, Wallich M, Reibetanz M, Baumann P, Krieg T and Mauch C: BM-40 and MMP-2 expression are not coregulated in human melanoma cell lines. Cancer Lett. 162:223–230. 2001. View Article : Google Scholar : PubMed/NCBI

32 

Said N, Frierson HF Jr, Chernauskas D, Conaway M, Motamed K and Theodorescu D: The role of SPARC in the TRAMP model of prostate carcinogenesis and progression. Oncogene. 28:3487–3498. 2009. View Article : Google Scholar : PubMed/NCBI

33 

Shi S, Ma HY, Han XY, Sang YZ, Yang MY and Zhang ZG: Prognostic significance of SPARC expression in breast cancer: A meta-analysis and bioinformatics analysis. Bio Res Int. 15:86004192022.PubMed/NCBI

34 

Minn AJ, Gupta GP, Siegel PM, Bos PD, Shu W, Giri DD, Viale A, Olshen AB, Gerald WL and Massagué J: Genes that mediate breast cancer metastasis to lung. Nature. 436:518–524. 2005. View Article : Google Scholar : PubMed/NCBI

35 

Yin J, Chen G, Liu Y, Liu S, Wang P, Wan Y, Wang X, Zhu J and Gao H: Downregulation of SPARC expression decreases gastric cancer cellular invasion and survival. J Exp Clin Cancer Res. 29:592010. View Article : Google Scholar : PubMed/NCBI

36 

Jie Y, Chen GW, Si L and Liu YC: Effects of SPARC on the invasion ability and MMP-2 expression of gastric cancer cell line HGC27 in vivo. Chin Med Guide. 8:1387–1388. 2010.(In Chinese).

37 

Chen ZY, Zhang JL, Yao HX, Wang PY, Zhu J, Wang W, Wang X, Wan YL, Chen SW, Chen GW and Liu YC: Aberrant methylation of the SPARC gene promoter and its clinical implication in gastric cancer. Sci Rep. 4:70352014. View Article : Google Scholar : PubMed/NCBI

38 

Liao P, Li W, Liu R, Teer JK, Xu B, Zhang W, Li X, Mcleod HL and He Y: Genome-scale analysis identifies SERPINE1 and SPARC as diagnostic and prognostic biomarkers in gastric cancer. Onco Targets Ther. 11:6969–6980. 2018. View Article : Google Scholar : PubMed/NCBI

39 

Li L, Zhu Z, Zhao Y, Zhang Q, Wu X, Miao B, Cao J and Fei S: FN1, SPARC, and SERPINE1 are highly expressed and significantly related to a poor prognosis of gastric adenocarcinoma revealed by microarray and bioinformatics. Sci Rep. 9:78272019. View Article : Google Scholar : PubMed/NCBI

40 

Sato T, Oshima T, Yamamoto N, Yamada T, Hasegawa S, Yukawa N, Numata K, Kunisaki C, Tanaka K, Shiozawa M, et al: Clinical significance of SPARC gene expression in patients with gastric cancer. J Surg Oncol. 108:364–368. 2013. View Article : Google Scholar : PubMed/NCBI

41 

Wang L, Yang M, Shan L, Qi L, Chai C, Zhou Q, Yao K, Wu H and Sun W: The role of SPARC protein expression in the progress of gastric cancer. Pathol Oncol Res. 18:697–702. 2012. View Article : Google Scholar : PubMed/NCBI

Related Articles

  • Abstract
  • View
  • Download
  • Twitter
Copy and paste a formatted citation
Spandidos Publications style
Sun J, Bai Y and Fan Z: Clinicopathological and prognostic significance of SPARC expression in gastric cancer: A meta‑analysis and bioinformatics analysis. Oncol Lett 25: 240, 2023.
APA
Sun, J., Bai, Y., & Fan, Z. (2023). Clinicopathological and prognostic significance of SPARC expression in gastric cancer: A meta‑analysis and bioinformatics analysis. Oncology Letters, 25, 240. https://doi.org/10.3892/ol.2023.13826
MLA
Sun, J., Bai, Y., Fan, Z."Clinicopathological and prognostic significance of SPARC expression in gastric cancer: A meta‑analysis and bioinformatics analysis". Oncology Letters 25.6 (2023): 240.
Chicago
Sun, J., Bai, Y., Fan, Z."Clinicopathological and prognostic significance of SPARC expression in gastric cancer: A meta‑analysis and bioinformatics analysis". Oncology Letters 25, no. 6 (2023): 240. https://doi.org/10.3892/ol.2023.13826
Copy and paste a formatted citation
x
Spandidos Publications style
Sun J, Bai Y and Fan Z: Clinicopathological and prognostic significance of SPARC expression in gastric cancer: A meta‑analysis and bioinformatics analysis. Oncol Lett 25: 240, 2023.
APA
Sun, J., Bai, Y., & Fan, Z. (2023). Clinicopathological and prognostic significance of SPARC expression in gastric cancer: A meta‑analysis and bioinformatics analysis. Oncology Letters, 25, 240. https://doi.org/10.3892/ol.2023.13826
MLA
Sun, J., Bai, Y., Fan, Z."Clinicopathological and prognostic significance of SPARC expression in gastric cancer: A meta‑analysis and bioinformatics analysis". Oncology Letters 25.6 (2023): 240.
Chicago
Sun, J., Bai, Y., Fan, Z."Clinicopathological and prognostic significance of SPARC expression in gastric cancer: A meta‑analysis and bioinformatics analysis". Oncology Letters 25, no. 6 (2023): 240. https://doi.org/10.3892/ol.2023.13826
Follow us
  • Twitter
  • LinkedIn
  • Facebook
About
  • Spandidos Publications
  • Careers
  • Cookie Policy
  • Privacy Policy
How can we help?
  • Help
  • Live Chat
  • Contact
  • Email to our Support Team