Spandidos Publications Logo
  • About
    • About Spandidos
    • Aims and Scopes
    • Abstracting and Indexing
    • Editorial Policies
    • Reprints and Permissions
    • Job Opportunities
    • Terms and Conditions
    • Contact
  • Journals
    • All Journals
    • Oncology Letters
      • Oncology Letters
      • Information for Authors
      • Editorial Policies
      • Editorial Board
      • Aims and Scope
      • Abstracting and Indexing
      • Bibliographic Information
      • Archive
    • International Journal of Oncology
      • International Journal of Oncology
      • Information for Authors
      • Editorial Policies
      • Editorial Board
      • Aims and Scope
      • Abstracting and Indexing
      • Bibliographic Information
      • Archive
    • Molecular and Clinical Oncology
      • Molecular and Clinical Oncology
      • Information for Authors
      • Editorial Policies
      • Editorial Board
      • Aims and Scope
      • Abstracting and Indexing
      • Bibliographic Information
      • Archive
    • Experimental and Therapeutic Medicine
      • Experimental and Therapeutic Medicine
      • Information for Authors
      • Editorial Policies
      • Editorial Board
      • Aims and Scope
      • Abstracting and Indexing
      • Bibliographic Information
      • Archive
    • International Journal of Molecular Medicine
      • International Journal of Molecular Medicine
      • Information for Authors
      • Editorial Policies
      • Editorial Board
      • Aims and Scope
      • Abstracting and Indexing
      • Bibliographic Information
      • Archive
    • Biomedical Reports
      • Biomedical Reports
      • Information for Authors
      • Editorial Policies
      • Editorial Board
      • Aims and Scope
      • Abstracting and Indexing
      • Bibliographic Information
      • Archive
    • Oncology Reports
      • Oncology Reports
      • Information for Authors
      • Editorial Policies
      • Editorial Board
      • Aims and Scope
      • Abstracting and Indexing
      • Bibliographic Information
      • Archive
    • Molecular Medicine Reports
      • Molecular Medicine Reports
      • Information for Authors
      • Editorial Policies
      • Editorial Board
      • Aims and Scope
      • Abstracting and Indexing
      • Bibliographic Information
      • Archive
    • World Academy of Sciences Journal
      • World Academy of Sciences Journal
      • Information for Authors
      • Editorial Policies
      • Editorial Board
      • Aims and Scope
      • Abstracting and Indexing
      • Bibliographic Information
      • Archive
    • International Journal of Functional Nutrition
      • International Journal of Functional Nutrition
      • Information for Authors
      • Editorial Policies
      • Editorial Board
      • Aims and Scope
      • Abstracting and Indexing
      • Bibliographic Information
      • Archive
    • International Journal of Epigenetics
      • International Journal of Epigenetics
      • Information for Authors
      • Editorial Policies
      • Editorial Board
      • Aims and Scope
      • Abstracting and Indexing
      • Bibliographic Information
      • Archive
    • Medicine International
      • Medicine International
      • Information for Authors
      • Editorial Policies
      • Editorial Board
      • Aims and Scope
      • Abstracting and Indexing
      • Bibliographic Information
      • Archive
  • Articles
  • Information
    • Information for Authors
    • Information for Reviewers
    • Information for Librarians
    • Information for Advertisers
    • Conferences
  • Language Editing
Spandidos Publications Logo
  • About
    • About Spandidos
    • Aims and Scopes
    • Abstracting and Indexing
    • Editorial Policies
    • Reprints and Permissions
    • Job Opportunities
    • Terms and Conditions
    • Contact
  • Journals
    • All Journals
    • Biomedical Reports
      • Information for Authors
      • Editorial Policies
      • Editorial Board
      • Aims and Scope
      • Abstracting and Indexing
      • Bibliographic Information
      • Archive
    • Experimental and Therapeutic Medicine
      • Information for Authors
      • Editorial Policies
      • Editorial Board
      • Aims and Scope
      • Abstracting and Indexing
      • Bibliographic Information
      • Archive
    • International Journal of Epigenetics
      • Information for Authors
      • Editorial Policies
      • Editorial Board
      • Aims and Scope
      • Abstracting and Indexing
      • Bibliographic Information
      • Archive
    • International Journal of Functional Nutrition
      • Information for Authors
      • Editorial Policies
      • Editorial Board
      • Aims and Scope
      • Abstracting and Indexing
      • Bibliographic Information
      • Archive
    • International Journal of Molecular Medicine
      • Information for Authors
      • Editorial Policies
      • Editorial Board
      • Aims and Scope
      • Abstracting and Indexing
      • Bibliographic Information
      • Archive
    • International Journal of Oncology
      • Information for Authors
      • Editorial Policies
      • Editorial Board
      • Aims and Scope
      • Abstracting and Indexing
      • Bibliographic Information
      • Archive
    • Medicine International
      • Information for Authors
      • Editorial Policies
      • Editorial Board
      • Aims and Scope
      • Abstracting and Indexing
      • Bibliographic Information
      • Archive
    • Molecular and Clinical Oncology
      • Information for Authors
      • Editorial Policies
      • Editorial Board
      • Aims and Scope
      • Abstracting and Indexing
      • Bibliographic Information
      • Archive
    • Molecular Medicine Reports
      • Information for Authors
      • Editorial Policies
      • Editorial Board
      • Aims and Scope
      • Abstracting and Indexing
      • Bibliographic Information
      • Archive
    • Oncology Letters
      • Information for Authors
      • Editorial Policies
      • Editorial Board
      • Aims and Scope
      • Abstracting and Indexing
      • Bibliographic Information
      • Archive
    • Oncology Reports
      • Information for Authors
      • Editorial Policies
      • Editorial Board
      • Aims and Scope
      • Abstracting and Indexing
      • Bibliographic Information
      • Archive
    • World Academy of Sciences Journal
      • Information for Authors
      • Editorial Policies
      • Editorial Board
      • Aims and Scope
      • Abstracting and Indexing
      • Bibliographic Information
      • Archive
  • Articles
  • Information
    • For Authors
    • For Reviewers
    • For Librarians
    • For Advertisers
    • Conferences
  • Language Editing
Login Register Submit
  • This site uses cookies
  • You can change your cookie settings at any time by following the instructions in our Cookie Policy. To find out more, you may read our Privacy Policy.

    I agree
Search articles by DOI, keyword, author or affiliation
Search
Advanced Search
presentation
Oncology Letters
Join Editorial Board Propose a Special Issue
Print ISSN: 1792-1074 Online ISSN: 1792-1082
Journal Cover
October-2023 Volume 26 Issue 4

Full Size Image

Sign up for eToc alerts
Recommend to Library

Journals

International Journal of Molecular Medicine

International Journal of Molecular Medicine

International Journal of Molecular Medicine is an international journal devoted to molecular mechanisms of human disease.

International Journal of Oncology

International Journal of Oncology

International Journal of Oncology is an international journal devoted to oncology research and cancer treatment.

Molecular Medicine Reports

Molecular Medicine Reports

Covers molecular medicine topics such as pharmacology, pathology, genetics, neuroscience, infectious diseases, molecular cardiology, and molecular surgery.

Oncology Reports

Oncology Reports

Oncology Reports is an international journal devoted to fundamental and applied research in Oncology.

Experimental and Therapeutic Medicine

Experimental and Therapeutic Medicine

Experimental and Therapeutic Medicine is an international journal devoted to laboratory and clinical medicine.

Oncology Letters

Oncology Letters

Oncology Letters is an international journal devoted to Experimental and Clinical Oncology.

Biomedical Reports

Biomedical Reports

Explores a wide range of biological and medical fields, including pharmacology, genetics, microbiology, neuroscience, and molecular cardiology.

Molecular and Clinical Oncology

Molecular and Clinical Oncology

International journal addressing all aspects of oncology research, from tumorigenesis and oncogenes to chemotherapy and metastasis.

World Academy of Sciences Journal

World Academy of Sciences Journal

Multidisciplinary open-access journal spanning biochemistry, genetics, neuroscience, environmental health, and synthetic biology.

International Journal of Functional Nutrition

International Journal of Functional Nutrition

Open-access journal combining biochemistry, pharmacology, immunology, and genetics to advance health through functional nutrition.

International Journal of Epigenetics

International Journal of Epigenetics

Publishes open-access research on using epigenetics to advance understanding and treatment of human disease.

Medicine International

Medicine International

An International Open Access Journal Devoted to General Medicine.

Journal Cover
October-2023 Volume 26 Issue 4

Full Size Image

Sign up for eToc alerts
Recommend to Library

  • Article
  • Citations
    • Cite This Article
    • Download Citation
    • Create Citation Alert
    • Remove Citation Alert
    • Cited By
  • Similar Articles
    • Related Articles (in Spandidos Publications)
    • Similar Articles (Google Scholar)
    • Similar Articles (PubMed)
  • Download PDF
  • Download XML
  • View XML
Article Open Access

Diagnostic value of MRI radiomics in differentiating high‑grade glioma from low‑grade glioma: A meta‑analysis

  • Authors:
    • Jiefang Wang
    • Zhichao Chen
    • Jieyun Chen
  • View Affiliations / Copyright

    Affiliations: Department of Radiology, Quanzhou First Hospital Affiliated to Fujian Medical University, Quanzhou, Fujian 362000, P.R. China, Department of Hepatobiliary and Pancreatic Surgery, The Second Affiliated Hospital of Fujian Medical University, Quanzhou, Fujian 362000, P.R. China
    Copyright: © Wang et al. This is an open access article distributed under the terms of Creative Commons Attribution License.
  • Article Number: 436
    |
    Published online on: August 23, 2023
       https://doi.org/10.3892/ol.2023.14023
  • Expand metrics +
Metrics: Total Views: 0 (Spandidos Publications: | PMC Statistics: )
Metrics: Total PDF Downloads: 0 (Spandidos Publications: | PMC Statistics: )
Cited By (CrossRef): 0 citations Loading Articles...

This article is mentioned in:



Abstract

No clear conclusions have yet been reached regarding the accuracy of magnetic resonance imaging (MRI) radiomics in distinguishing high‑grade glioma (HGG) from low‑grade glioma (LGG). In the present study, a meta‑analysis was conducted to determine the diagnostic value of MRI radiomics in differentiating between HGG and LGG, in order to guide their clinical diagnosis. PubMed, Embase and the Cochrane Library databases were searched up to November 2022. The search included studies in which true positive, false positive, true negative and false negative values for the differentiation of HGG from LGG were reported or could be calculated by retrograde extrapolation. Duplicate publications, research without full text, studies with incomplete information or unextractable data, animal studies, reviews and systematic reviews were excluded. STATA 15.1 was used to analyze the data. The meta‑analysis included 15 studies, which comprised a total of 1,124 patients, of which 701 had HGG and 423 had LGG. The pooled sensitivity and specificity of the studies overall were 0.92 (95% CI: 0.89‑0.95) and 0.89 (95% CI: 0.85‑0.92), respectively. The positive and negative likelihood ratios of the studies overall were 7.89 (95% CI: 6.01‑10.37) and 0.09 (95% CI: 0.07‑0.12), respectively. The pooled diagnostic odds ratio of the studies was 85.20 (95% CI: 54.52‑133.14). The area under the summary receiver operating characteristic curve was 0.91. These findings indicate that radiomics may be an accurate tool for the differentiation of glioma grades. However, further research is needed to verify the most appropriate of these technologies.

Introduction

Glioma is the most commonly occurring primary malignant brain tumor, with a frequency of 80% of all malignant brain cancers (1). The World Health Organization classifies gliomas into grades I–IV, of which grades I and II are defined as low-grade gliomas (LGGs) and grades III and IV as high-grade gliomas (HGGs) (1). LGGs have a long survival period, whereas HGGs are highly aggressive and have a poor prognosis (2). Most gliomas are treated with surgery, and HGGs often require adjuvant radiation therapy or chemotherapy after surgery to prevent short-term recurrence, whereas LGGs require close observation (3). Therefore, it is important to accurately grade tumors prior to surgery. Pathology is currently the gold standard for glioma grading; however, it is an invasive method and usually performed postoperatively. A growing body of research has focused on noninvasive methods for accurate tumor grading.

Magnetic resonance imaging (MRI) is an important method for the diagnosis of gliomas, and a variety of MRI techniques, including magnetic resonance spectroscopy (MRS), diffusion-weighted imaging (DWI) and pulse-weighted imaging, are used to grade gliomas (4,5). Diagnostic imaging relies heavily on the subjective experience the radiologist has with imaging data. By contrast, radiomics involves the transformation of medical images into quantitative, extractable and high-dimensional data, which include histograms, texture features and shape features (6). Radiomics has been primarily used in tumor research and has gradually become a tool for the extraction of diagnostic and prognostic information from conventional images. There has been a considerable amount of research on the association between MRI radiomics and lesion features, survival and perioperative outcomes in various malignancies (7). However, no clear conclusions have yet been reached regarding the accuracy of MRI radiomics in distinguishing HGG from LGG. Therefore, MRI radiomics has not been widely used in clinical practice. To the best of our knowledge, the present study is the first meta-analysis to examine the diagnostic value of MRI radiomics in the differentiation of HGG from LGG to guide the clinical diagnosis of glioma.

Materials and methods

Literature inclusion and exclusion criteria

The inclusion criteria were as follows: i) Retrospective or prospective studies evaluating the efficacy of radiomics in differentiating between LGG and HGG; ii) use of histopathology as the gold standard; and iii) the true-positive (TP), true-negative (TN), false-positive (FP) and false-negative (FN) values were either stated directly or could be indirectly extracted from the retrieved literature.

The exclusion criteria were as follows: i) small sample size (n<10), animal experiments, reviews, systematic reviews, case reports and conference papers; ii) studies for which no data were available; and iii) duplicate reports or studies based on the same data.

Search strategy

PubMed (https://pubmed.ncbi.nlm.nih.gov/), Embase (https://www.embase.com/) and the Cochrane Library (https://www.cochranelibrary.com/) were used in this meta-analysis. They were searched between their formation and November 2022. The search terms were: (‘glioma’ OR ‘gliomas’) AND (‘radiomics’ OR ‘texture features’ OR ‘texture analysis’ OR ‘histogram’) AND (‘magnetic resonance imaging’ OR ‘magnetic resonance image’ OR ‘MRI’).

Literature screening and data extraction

Two researchers conducted the literature search, screened the literature and extracted relevant materials. When questions or conflicts arose, a third individual was consulted prior to a decision being made. The data extraction content included the author, year of publication, sample size, sex, age and the values of TP, FP, TN and FN used in the differentiation of HGG from LGG and the definition of HGG as positive and LGG as negative. If no TP, FP, TN or FN results were reported, data such as sensitivity, specificity and positive and negative predictive values were subjected to retrograde extrapolation to calculate these results.

Literature quality assessment

The QUADAS-2 tool for evaluating the quality of published literature (8) was used separately by two academics, and RevMan 5.3 (Cochrane) was used to construct a quality evaluation map.

Data synthesis and statistical analysis

The Cochran Q test and I2 value were used to investigate heterogeneity among studies, and meta-analyses were performed using a random-effects model when significant heterogeneity was identified (I2>50%, P<0.05) and a fixed-effects model when no significant heterogeneity was detected. Sensitivity analysis was performed by eliminating each included study one by one, and performing a summary analysis of the remaining studies. The ROC curve is plotted with sensitivity as the vertical coordinate and (1-specificity) as the horizontal coordinate. The larger the area under the curve (AUC), the higher the diagnostic accuracy. AUC values were calculated and were considered to indicate the following: 0.5<AUC≤0.6, ineffective; 0.6<AUC≤0.7, poor; 0.7<AUC≤0.8, average; 0.8<AUC≤0.9, good; and 0.9<AUC≤1.0, excellent. A Deeks' funnel plot was generated using Stata 15.1 software (StataCorp LP) to assess publication bias.

Results

Literature search

The database yielded 1,349 studies on this topic which were reduced to 695 following the exclusion of duplicates. Of these, 442 studies were selected after the examination of titles and abstracts indicated studies that included animal experiments (n=45), or were meta-analyses, reviews, systemic reviews (n=116), case reports (n=53) or conference reports (n=39). After reading the full text, 359 studies that did not report the outcomes of interest and 68 studies for which it was not possible to construct 2×2 tables were excluded. Finally, 15 papers that were read in their entirety were subjected to meta-analysis (Fig. 1).

Figure 1.

Flow diagram for the selection of studies.

Baseline characteristics and quality assessment of the included studies Baseline characteristics

The 15 publications evaluated in the present meta-analysis included a total of 1,124 patients, of which 701 had HGG and 423 had LGG. The age of the patients in the HGG group ranged from 43.0 to 66.0 years, while the age of the patients in the LGG group ranged from 34.6 to 63.2 years, which was considered comparable. Seven studies included patients from Asia, whereas the remaining studies included patients from Europe and the USA (Table I) (9–23).

Table I.

Baseline characteristics of the included studies.

Table I.

Baseline characteristics of the included studies.

Sample size

First author/s, yearCountryHGGLGGAge, yearsSex, male/femaleTPFPFNTNSensitivity (%)Specificity (%)(Refs.)
Law et al, 2007USA613143.0 (4.0–85.0)61/3158432795.187.0(9)
Jakab et al, 2011Hungary1426HGG, 47.3±15.4; LGG, 34.6±15.9HGG, 5/9; LGG, 13/1312322385.788.5(10)
Kang et al, 2011Korea216--1803685.7100.0(11)
Kim et al, 2013Korea549--4608985.2100.0(12)
Santarosa et al, 2016Italy17955.4 (22.0–79.0)15/1117009100.0100.0(13)
Skogen et al, 2016Norway6827HGG, 44.0-63552293.081.0(14)
(21.0–70.0); LGG, 56.0 (24.0–81.0)
Hsieh et al, 2017China3473--33616797.092.0(15)
Cho and Park, 2017Korea5454--48564989.091.0(16)
Bisdas et al, 2018UK181963.2±7.621/1614441577.079.0(17)
Ditmer et al, 2018USA801452.0 (10.0–84.0)59/3574261293.086.0(18)
Su et al, 2018China3010--2911996.790.0(19)
Tian et al, 2018China11142HGG, 51.2±13.3; LGG, 39.0±13.2HGG, 63/48; LGG, 18/24108533797.388.1(20)
Alis et al, 2020Turkey3228HGG, 66.0-28342587.589.2(21)
(33.0–78.0); LGG, 46.0 (27.0–68.0)
Zhang et al, 2020China6543HGG, 51.3 (21.0–78.0); LGG, 43.2 (24.0–66.0)HGG, 36/29; LGG, 25/1862533895.088.0(22)
Malik et al, 2021USA4232HGG, 62.0 (46.0–79.0); LGG, 41.0 (22.0–71.0)HGG, 28/14; LGG, 24/1238442891.086.0(23)

[i] Values are presented as the mean ± SD or median (quartile). HGG, high-grade glioma; LGG, T low-grade glioma; P, true-positive; FP, false-positive; FN, false-negative; TN, true-negative.

Quality assessment

In the assessment of patient selection, only one study was found to have a high risk of bias and the remainder had an unclear or low risk of bias. In the remaining three QUADAS-2 domains, namely index test, reference standard, flow and timing, most studies were found to be of low risk. Patient selection, index test and reference standard were also evaluated for applicability concerns. With regard to the reference standard domain, one study was high-risk and the rest were unclear or low risk. As for applicability concern, only one study showed high risk in ‘patient selection’ and no high risk in ‘index test’. Overall, the quality of the studies included in this review was indicated to be acceptable (Figs. 2 and 3).

Figure 2.

Methodological quality summary graphs.

Figure 3.

Methodological quality of individual studies.

Sensitivity and specificity

A meta-analysis was performed using a fixed-effects model due to the low heterogeneity in sensitivity (I2=42.08%) and specificity (I2=0.00%). The pooled sensitivity and specificity of the studies overall were 0.92 (95% CI: 0.89–0.95) and 0.89 (95% CI: 0.85–0.92), respectively (Fig. 4).

Figure 4.

Forest plot of the sensitivity and specificity of magnetic resonance imaging radiomics for the diagnosis of glioma. Q, Cochran's Q; df, degrees of freedom.

Positive and negative likelihood ratios (LRs)

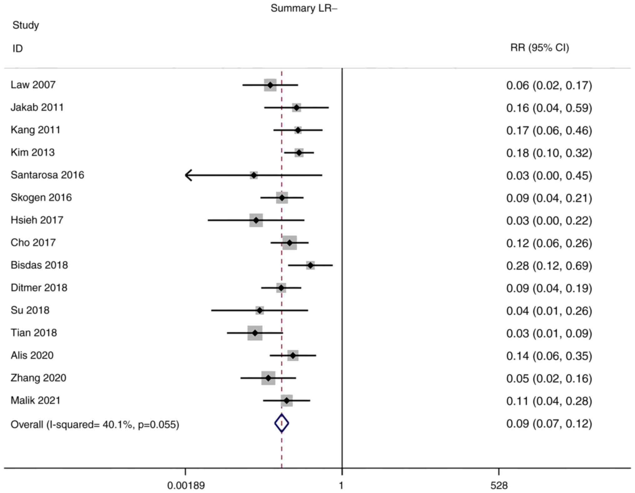
Owing to the low heterogeneity in positive LR (I2=0.0%) and negative LR (I2=40.1%), meta-analyses were performed using a fixed-effects model. The pooled positive and negative LRs of the studies overall were 7.89 (95% CI: 6.01–10.37) and 0.09 (95% CI: 0.07–0.12), respectively (Figs. 5 and 6).

Figure 5.

Forest plot of the LR+ of magnetic resonance imaging radiomics in the diagnosis of glioma. LR+, positive likelihood ratio.

Figure 6.

Forest plot of the LR- of magnetic resonance imaging radiomics in the diagnosis of glioma. LR, negative likelihood ratio.

Diagnostic odds ratio (DOR)

As there was no significant heterogeneity in DOR (I2=0.0%), a meta-analysis of DOR was conducted using a fixed-effects model. The overall pooled DOR of the studies was 85.20 (95% CI: 54.52–133.14; Fig. 7).

Figure 7.

Forest plot of the DOR of magnetic resonance imaging radiomics for the diagnosis of glioma. Diagnostic odds ratio.

Summary receiver operating characteristic (SROC) curve analysis

An SROC curve analysis was performed, and the AUC of the SROC curve was calculated to be 0.91. This indicates the high diagnostic value of MRI radiomics for gliomas (Fig. 8).

Figure 8.

SROC curve of magnetic resonance imaging radiomics for the diagnosis of glioma. SROC, summary receiver operating characteristic; SENS, sensitivity; SPEC, specificity; AUC, area under the curve.

Publication bias

The Deeks' funnel plot for the studies of MRI radiomics in the diagnosis of glioma had a P-value of 0.36, indicating no significant publication bias in the studies included in the present meta-analysis (Fig. 9).

Figure 9.

Deeks' funnel plot of magnetic resonance imaging radiomics for the diagnosis of glioma. ESS, effective sample size.

Sensitivity analysis

The 15 studies were subjected to a pooled analysis to determine whether any of the included studies had a disproportionate influence on the meta-analysis results. This was accomplished using sensitivity analyses that eliminated each study individually. According to the meta-analysis, no specific study substantially influenced the results, suggesting that the findings were consistent and credible (Fig. 10).

Figure 10.

Sensitivity of magnetic resonance imaging radiomics for the diagnosis of glioma.

Discussion

Histopathology is the gold standard for the diagnosis of gliomas; however, it is an invasive method in which tissue collection is necessary and can be harmful. However, MRI is also able to provide accurate information while avoiding unnecessary surgery. With the development of technology, an increasing number of metabolic and physiological MRI techniques, including diffusion tensor imaging, MRS, DWI and MRI are being used for glioma grading. These tests assess the malignancy of a tumor by identifying differences in the grayscale brightness and contrast of the pixels in an image (6). Radiomics uses tools such as MaZda, MATLAB, TexRAD, MISSTA, CAD and FireVoxel to identify new quantitative imaging markers without the need for additional acquisition equipment or tracers, thereby providing greater diagnostic capabilities than commonly used examination methods (24). In the present study, a meta-analysis was performed to systematically review the accuracy of radiomics in differentiating between LGG and HGG.

The pooled sensitivity and specificity of the studies overall were 0.92 (95% CI: 0.89–0.95) and 0.89 (95% CI: 0.85–0.92), respectively. Although the result of this study suggested that specificity was lower than sensitivity, a specificity of 0.89 indicated a low probability of missed diagnosis. In addition, positive and negative LRs of the studies were 7.89 (95% CI: 6.01–10.37) and 0.09 (95% CI: 0.07–0.12), respectively. The pooled DOR of the studies was 85.20 (95% CI: 54.52–133.14) and the area under the ROC curve was 0.91. AUC values were calculated an AUC of 0.9–1.0 was considered an ‘excellent’ diagnostic accuracy. Thus, an AUC of 0.91 suggests that MRI radiomics has high accuracy in distinguishing high-grade glioma from low-grade glioma. These results demonstrate that radiomics has high diagnostic value for glioma grading. A previous meta-analysis by Sohn and Bisdas (25) explored the diagnostic accuracy of machine learning-based radiomics in grading gliomas, and the pooled results also showed that sensitivity when diagnosing HGG was higher (96%; 95% CI: 0.93–0.98) than the specificity when diagnosing LGG (90%; 95% CI: 0.85-.93) (25). By contrast, the present study focuses on MRI-based imaging radiomics in grading gliomas. The results of this study further complement those of previous studies and highlight the diagnostic value of MRI-based imaging radiomics. A number of studies have shown the good prospects of radiomics for the resolution of clinical issues that cannot be addressed using conventional radiological diagnosis, and indicate that radiomics has stronger diagnostic capabilities than ordinary examination methods, suggesting that further consideration should be given to the standardization of its use in clinical practice (21,26,27). However, current studies rarely provide open access to the coding used for imaging data, feature extraction and model building, which makes it difficult to obtain open MRI radiomics data for secondary analysis and validation. In addition, if the sample size of the study is limited, it has been recommended that the number of feature parameters should be reduced to reduce the risk of overfitting (28).

The present review has certain limitations. First, most of the included studies were retrospective. Second, the majority of the studies were single-center studies involving patients who had undergone surgery, and there may have been admission and selection biases.

In conclusion, the present meta-analysis indicates that radiomics may be an accurate tool for the differentiation of glioma grades; however, further research is required to verify the most appropriate of these technologies.

Acknowledgements

Not applicable.

Funding

Funding: Not applicable.

Availability of data and materials

The datasets used and/or analyzed during the current study are available from the corresponding author on reasonable request.

Authors' contributions

JW conceived the study and wrote the manuscript. ZC and JC participated in searching and screening the studies, and performing data analysis. JW and JC confirm the authenticity of all the raw data. All authors read and approved the final version of the manuscript.

Ethics approval and consent to participate

Not applicable.

Patient consent for publication

Not applicable.

Competing interests

The authors declare that they have no competing interests.

References

1 

Louis DN, Perry A, Reifenberger G, von Deimling A, Figarella-Branger D, Cavenee WK, Ohgaki H, Wiestler OD, Kleihues P and Ellison DW: The 2016 world health organization classification of tumors of the central nervous system: A summary. Acta Neuropathol. 131:803–820. 2016. View Article : Google Scholar : PubMed/NCBI

2 

Helseth R, Helseth E, Johannesen TB, Langberg CW, Lote K, Rønning P, Scheie D, Vik A and Meling TR: Overall survival, prognostic factors, and repeated surgery in a consecutive series of 516 patients with glioblastoma multiforme. Acta Neurol Scand. 122:159–167. 2010. View Article : Google Scholar : PubMed/NCBI

3 

Woodworth GF, McGirt MJ, Samdani A, Garonzik I, Olivi A and Weingart JD: Frameless image-guided stereotactic brain biopsy procedure: Diagnostic yield, surgical morbidity, and comparison with the frame-based technique. J Neurosurg. 104:233–237. 2006. View Article : Google Scholar : PubMed/NCBI

4 

Ryu YJ, Choi SH, Park SJ, Yun TJ, Kim JH and Sohn CH: Glioma: Application of whole-tumor texture analysis of diffusion-weighted imaging for the evaluation of tumor heterogeneity. PLoS One. 9:e1083352014. View Article : Google Scholar : PubMed/NCBI

5 

Jackson A, O'Connor JP, Parker GJ and Jayson GC: Imaging tumor vascular heterogeneity and angiogenesis using dynamic contrast-enhanced magnetic resonance imaging. Clin Cancer Res. 13:3449–3459. 2007. View Article : Google Scholar : PubMed/NCBI

6 

Gillies RJ, Kinahan PE and Hricak H: Radiomics: Images are more than pictures, they are data. Radiology. 278:563–577. 2016. View Article : Google Scholar : PubMed/NCBI

7 

Lubner MG, Smith AD, Sandrasegaran K, Sahani DV and Pickhardt PJ: CT texture analysis: Definitions, applications, biologic correlates, and challenges. Radiographics. 37:1483–1503. 2017. View Article : Google Scholar : PubMed/NCBI

8 

Lee J, Mulder F, Leeflang M, Wolff R, Whiting P and Bossuyt PM: QUAPAS: An adaptation of the QUADAS-2 tool to assess prognostic accuracy studies. Ann Intern Med. 175:1010–1018. 2022. View Article : Google Scholar : PubMed/NCBI

9 

Law M, Young R, Babb J, Pollack E and Johnson G: Histogram analysis versus region of interest analysis of dynamic susceptibility contrast perfusion MR imaging data in the grading of cerebral gliomas. AJNR Am J Neuroradiol. 28:761–766. 2007.PubMed/NCBI

10 

Jakab A, Molnár P, Emri M and Berényi E: Glioma grade assessment by using histogram analysis of diffusion tensor imaging-derived maps. Neuroradiology. 53:483–491. 2011. View Article : Google Scholar : PubMed/NCBI

11 

Kang Y, Choi SH, Kim YJ, Kim KG, Sohn CH, Kim JH, Yun TJ and Chang KH: Gliomas: Histogram analysis of apparent diffusion coefficient maps with standard-or high-b-value diffusion-weighted MR imaging-correlation with tumor grade. Radiology. 261:882–890. 2011. View Article : Google Scholar : PubMed/NCBI

12 

Kim H, Choi SH, Kim JH, Ryoo I, Kim SC, Yeom JA, Shin H, Jung SC, Lee AL, Yun TJ, et al: Gliomas: Application of cumulative histogram analysis of normalized cerebral blood volume on 3 T MRI to tumor grading. PLoS One. 8:e634622013. View Article : Google Scholar : PubMed/NCBI

13 

Santarosa C, Castellano A, Conte GM, Cadioli M, Iadanza A, Terreni MR, Franzin A, Bello L, Caulo M, Falini A and Anzalone N: Dynamic contrast-enhanced and dynamic susceptibility contrast perfusion MR imaging for glioma grading: Preliminary comparison of vessel compartment and permeability parameters using hotspot and histogram analysis. Eur J Radiol. 85:1147–1156. 2016. View Article : Google Scholar : PubMed/NCBI

14 

Skogen K, Schulz A, Dormagen JB, Ganeshan B, Helseth E and Server A: Diagnostic performance of texture analysis on MRI in grading cerebral gliomas. Eur J Radiol. 85:824–829. 2016. View Article : Google Scholar : PubMed/NCBI

15 

Hsieh KLC, Chen CY and Lo CM: Quantitative glioma grading using transformed gray-scale invariant textures of MRI. Comput Biol Med. 83:102–108. 2017. View Article : Google Scholar : PubMed/NCBI

16 

Cho HH and Park H: Classification of low-grade and high-grade glioma using multi-modal image radiomics features. Annu Int Conf IEEE Eng Med Biol Soc. 2017:3081–3084. 2017.PubMed/NCBI

17 

Bisdas S, Shen H, Thust S, Katsaros V, Stranjalis G, Boskos C, Brandner S and Zhang J: Texture analysis-and support vector machine-assisted diffusional kurtosis imaging may allow in vivo gliomas grading and IDH-mutation status prediction: A preliminary study. Sci Rep. 8:61082018. View Article : Google Scholar : PubMed/NCBI

18 

Ditmer A, Zhang B, Shujaat T, Pavlina A, Luibrand N, Gaskill-Shipley M and Vagal A: Diagnostic accuracy of MRI texture analysis for grading gliomas. J Neurooncol. 140:583–589. 2018. View Article : Google Scholar : PubMed/NCBI

19 

Su CQ, Lu SS, Han QY, Zhou MD and Hong XN: Intergrating conventional MRI, texture analysis of dynamic contrast-enhanced MRI, and susceptibility weighted imaging for glioma grading. Acta Radiol. 2019 Jun;60((6)): 777–787. View Article : Google Scholar : PubMed/NCBI

20 

Tian Q, Yan LF, Zhang X, Zhang X, Hu YC, Han Y, Liu ZC, Nan HY, Sun Q, Sun YZ, et al: Radiomics strategy for glioma grading using texture features from multiparametric MRI. J Magn Reson Imaging. 48:1518–1528. 2018. View Article : Google Scholar : PubMed/NCBI

21 

Alis D, Bagcilar O, Senli YD, Isler C, Yergin M, Kocer N, Islak C and Kizilkilic O: The diagnostic value of quantitative texture analysis of conventional MRI sequences using artificial neural networks in grading gliomas. Clin Radiol. 75:351–357. 2020. View Article : Google Scholar : PubMed/NCBI

22 

Zhang Z, Xiao J, Wu S, Lv F, Gong J, Jiang L, Yu R and Luo T: Deep convolutional radiomic features on diffusion tensor images for classification of glioma grades. J Digit Imaging. 33:826–837. 2020. View Article : Google Scholar : PubMed/NCBI

23 

Malik N, Geraghty B, Dasgupta A, Maralani PJ, Sandhu M, Detsky J, Tseng CL, Soliman H, Myrehaug S, Husain Z, et al: MRI radiomics to differentiate between low grade glioma and glioblastoma peritumoral region. J Neurooncol. 155:181–191. 2021. View Article : Google Scholar : PubMed/NCBI

24 

Lambin P, Rios-Velazquez E, Leijenaar R, Carvalho S, van Stiphout RG, Granton P, Zegers CM, Gillies R, Boellard R, Dekker A and Aerts HJ: Radiomics: Extracting more information from medical images using advanced feature analysis. Eur J Cancer. 48:441–446. 2012. View Article : Google Scholar : PubMed/NCBI

25 

Sohn CK and Bisdas S: Diagnostic accuracy of machine learning-based radiomics in grading gliomas: systematic review and meta-analysis. Contrast Media Mol Imaging. 2020:21270622020. View Article : Google Scholar : PubMed/NCBI

26 

Liu C, Zhao W, Xie J, Lin H, Hu X, Li C, Shang Y, Wang Y, Jiang Y, Ding M, et al: Development and validation of a radiomics-based nomogram for predicting a major pathological response to neoadjuvant immunochemotherapy for patients with potentially resectable non-small cell lung cancer. Front Immunol. 14:11152912023. View Article : Google Scholar : PubMed/NCBI

27 

Li J, Xia F, Wang X, Jin Y, Yan J, Wei X and Zhao Q: Multiclassifier radiomics analysis of ultrasound for prediction of extrathyroidal extension in papillary thyroid carcinoma in children. Int J Med Sci. 20:278–286. 2023. View Article : Google Scholar : PubMed/NCBI

28 

Berenguer R, Pastor-Juan MDR, Canales-Vázquez J, Castro-García M, Villas MV, Mansilla Legorburo F and Sabater S: Radiomics of CT features may be nonreproducible and redundant: influence of CT acquisition parameters. Radiology. 288:407–415. 2018. View Article : Google Scholar : PubMed/NCBI

Related Articles

  • Abstract
  • View
  • Download
  • Twitter
Copy and paste a formatted citation
Spandidos Publications style
Wang J, Chen Z and Chen J: Diagnostic value of MRI radiomics in differentiating high‑grade glioma from low‑grade glioma: A meta‑analysis. Oncol Lett 26: 436, 2023.
APA
Wang, J., Chen, Z., & Chen, J. (2023). Diagnostic value of MRI radiomics in differentiating high‑grade glioma from low‑grade glioma: A meta‑analysis. Oncology Letters, 26, 436. https://doi.org/10.3892/ol.2023.14023
MLA
Wang, J., Chen, Z., Chen, J."Diagnostic value of MRI radiomics in differentiating high‑grade glioma from low‑grade glioma: A meta‑analysis". Oncology Letters 26.4 (2023): 436.
Chicago
Wang, J., Chen, Z., Chen, J."Diagnostic value of MRI radiomics in differentiating high‑grade glioma from low‑grade glioma: A meta‑analysis". Oncology Letters 26, no. 4 (2023): 436. https://doi.org/10.3892/ol.2023.14023
Copy and paste a formatted citation
x
Spandidos Publications style
Wang J, Chen Z and Chen J: Diagnostic value of MRI radiomics in differentiating high‑grade glioma from low‑grade glioma: A meta‑analysis. Oncol Lett 26: 436, 2023.
APA
Wang, J., Chen, Z., & Chen, J. (2023). Diagnostic value of MRI radiomics in differentiating high‑grade glioma from low‑grade glioma: A meta‑analysis. Oncology Letters, 26, 436. https://doi.org/10.3892/ol.2023.14023
MLA
Wang, J., Chen, Z., Chen, J."Diagnostic value of MRI radiomics in differentiating high‑grade glioma from low‑grade glioma: A meta‑analysis". Oncology Letters 26.4 (2023): 436.
Chicago
Wang, J., Chen, Z., Chen, J."Diagnostic value of MRI radiomics in differentiating high‑grade glioma from low‑grade glioma: A meta‑analysis". Oncology Letters 26, no. 4 (2023): 436. https://doi.org/10.3892/ol.2023.14023
Follow us
  • Twitter
  • LinkedIn
  • Facebook
About
  • Spandidos Publications
  • Careers
  • Cookie Policy
  • Privacy Policy
How can we help?
  • Help
  • Live Chat
  • Contact
  • Email to our Support Team