Spandidos Publications Logo
  • About
    • About Spandidos
    • Aims and Scopes
    • Abstracting and Indexing
    • Editorial Policies
    • Reprints and Permissions
    • Job Opportunities
    • Terms and Conditions
    • Contact
  • Journals
    • All Journals
    • Oncology Letters
      • Oncology Letters
      • Information for Authors
      • Editorial Policies
      • Editorial Board
      • Aims and Scope
      • Abstracting and Indexing
      • Bibliographic Information
      • Archive
    • International Journal of Oncology
      • International Journal of Oncology
      • Information for Authors
      • Editorial Policies
      • Editorial Board
      • Aims and Scope
      • Abstracting and Indexing
      • Bibliographic Information
      • Archive
    • Molecular and Clinical Oncology
      • Molecular and Clinical Oncology
      • Information for Authors
      • Editorial Policies
      • Editorial Board
      • Aims and Scope
      • Abstracting and Indexing
      • Bibliographic Information
      • Archive
    • Experimental and Therapeutic Medicine
      • Experimental and Therapeutic Medicine
      • Information for Authors
      • Editorial Policies
      • Editorial Board
      • Aims and Scope
      • Abstracting and Indexing
      • Bibliographic Information
      • Archive
    • International Journal of Molecular Medicine
      • International Journal of Molecular Medicine
      • Information for Authors
      • Editorial Policies
      • Editorial Board
      • Aims and Scope
      • Abstracting and Indexing
      • Bibliographic Information
      • Archive
    • Biomedical Reports
      • Biomedical Reports
      • Information for Authors
      • Editorial Policies
      • Editorial Board
      • Aims and Scope
      • Abstracting and Indexing
      • Bibliographic Information
      • Archive
    • Oncology Reports
      • Oncology Reports
      • Information for Authors
      • Editorial Policies
      • Editorial Board
      • Aims and Scope
      • Abstracting and Indexing
      • Bibliographic Information
      • Archive
    • Molecular Medicine Reports
      • Molecular Medicine Reports
      • Information for Authors
      • Editorial Policies
      • Editorial Board
      • Aims and Scope
      • Abstracting and Indexing
      • Bibliographic Information
      • Archive
    • World Academy of Sciences Journal
      • World Academy of Sciences Journal
      • Information for Authors
      • Editorial Policies
      • Editorial Board
      • Aims and Scope
      • Abstracting and Indexing
      • Bibliographic Information
      • Archive
    • International Journal of Functional Nutrition
      • International Journal of Functional Nutrition
      • Information for Authors
      • Editorial Policies
      • Editorial Board
      • Aims and Scope
      • Abstracting and Indexing
      • Bibliographic Information
      • Archive
    • International Journal of Epigenetics
      • International Journal of Epigenetics
      • Information for Authors
      • Editorial Policies
      • Editorial Board
      • Aims and Scope
      • Abstracting and Indexing
      • Bibliographic Information
      • Archive
    • Medicine International
      • Medicine International
      • Information for Authors
      • Editorial Policies
      • Editorial Board
      • Aims and Scope
      • Abstracting and Indexing
      • Bibliographic Information
      • Archive
  • Articles
  • Information
    • Information for Authors
    • Information for Reviewers
    • Information for Librarians
    • Information for Advertisers
    • Conferences
  • Language Editing
Spandidos Publications Logo
  • About
    • About Spandidos
    • Aims and Scopes
    • Abstracting and Indexing
    • Editorial Policies
    • Reprints and Permissions
    • Job Opportunities
    • Terms and Conditions
    • Contact
  • Journals
    • All Journals
    • Biomedical Reports
      • Information for Authors
      • Editorial Policies
      • Editorial Board
      • Aims and Scope
      • Abstracting and Indexing
      • Bibliographic Information
      • Archive
    • Experimental and Therapeutic Medicine
      • Information for Authors
      • Editorial Policies
      • Editorial Board
      • Aims and Scope
      • Abstracting and Indexing
      • Bibliographic Information
      • Archive
    • International Journal of Epigenetics
      • Information for Authors
      • Editorial Policies
      • Editorial Board
      • Aims and Scope
      • Abstracting and Indexing
      • Bibliographic Information
      • Archive
    • International Journal of Functional Nutrition
      • Information for Authors
      • Editorial Policies
      • Editorial Board
      • Aims and Scope
      • Abstracting and Indexing
      • Bibliographic Information
      • Archive
    • International Journal of Molecular Medicine
      • Information for Authors
      • Editorial Policies
      • Editorial Board
      • Aims and Scope
      • Abstracting and Indexing
      • Bibliographic Information
      • Archive
    • International Journal of Oncology
      • Information for Authors
      • Editorial Policies
      • Editorial Board
      • Aims and Scope
      • Abstracting and Indexing
      • Bibliographic Information
      • Archive
    • Medicine International
      • Information for Authors
      • Editorial Policies
      • Editorial Board
      • Aims and Scope
      • Abstracting and Indexing
      • Bibliographic Information
      • Archive
    • Molecular and Clinical Oncology
      • Information for Authors
      • Editorial Policies
      • Editorial Board
      • Aims and Scope
      • Abstracting and Indexing
      • Bibliographic Information
      • Archive
    • Molecular Medicine Reports
      • Information for Authors
      • Editorial Policies
      • Editorial Board
      • Aims and Scope
      • Abstracting and Indexing
      • Bibliographic Information
      • Archive
    • Oncology Letters
      • Information for Authors
      • Editorial Policies
      • Editorial Board
      • Aims and Scope
      • Abstracting and Indexing
      • Bibliographic Information
      • Archive
    • Oncology Reports
      • Information for Authors
      • Editorial Policies
      • Editorial Board
      • Aims and Scope
      • Abstracting and Indexing
      • Bibliographic Information
      • Archive
    • World Academy of Sciences Journal
      • Information for Authors
      • Editorial Policies
      • Editorial Board
      • Aims and Scope
      • Abstracting and Indexing
      • Bibliographic Information
      • Archive
  • Articles
  • Information
    • For Authors
    • For Reviewers
    • For Librarians
    • For Advertisers
    • Conferences
  • Language Editing
Login Register Submit
  • This site uses cookies
  • You can change your cookie settings at any time by following the instructions in our Cookie Policy. To find out more, you may read our Privacy Policy.

    I agree
Search articles by DOI, keyword, author or affiliation
Search
Advanced Search
presentation
Oncology Letters
Join Editorial Board Propose a Special Issue
Print ISSN: 1792-1074 Online ISSN: 1792-1082
Journal Cover
October-2023 Volume 26 Issue 4

Full Size Image

Sign up for eToc alerts
Recommend to Library

Journals

International Journal of Molecular Medicine

International Journal of Molecular Medicine

International Journal of Molecular Medicine is an international journal devoted to molecular mechanisms of human disease.

International Journal of Oncology

International Journal of Oncology

International Journal of Oncology is an international journal devoted to oncology research and cancer treatment.

Molecular Medicine Reports

Molecular Medicine Reports

Covers molecular medicine topics such as pharmacology, pathology, genetics, neuroscience, infectious diseases, molecular cardiology, and molecular surgery.

Oncology Reports

Oncology Reports

Oncology Reports is an international journal devoted to fundamental and applied research in Oncology.

Experimental and Therapeutic Medicine

Experimental and Therapeutic Medicine

Experimental and Therapeutic Medicine is an international journal devoted to laboratory and clinical medicine.

Oncology Letters

Oncology Letters

Oncology Letters is an international journal devoted to Experimental and Clinical Oncology.

Biomedical Reports

Biomedical Reports

Explores a wide range of biological and medical fields, including pharmacology, genetics, microbiology, neuroscience, and molecular cardiology.

Molecular and Clinical Oncology

Molecular and Clinical Oncology

International journal addressing all aspects of oncology research, from tumorigenesis and oncogenes to chemotherapy and metastasis.

World Academy of Sciences Journal

World Academy of Sciences Journal

Multidisciplinary open-access journal spanning biochemistry, genetics, neuroscience, environmental health, and synthetic biology.

International Journal of Functional Nutrition

International Journal of Functional Nutrition

Open-access journal combining biochemistry, pharmacology, immunology, and genetics to advance health through functional nutrition.

International Journal of Epigenetics

International Journal of Epigenetics

Publishes open-access research on using epigenetics to advance understanding and treatment of human disease.

Medicine International

Medicine International

An International Open Access Journal Devoted to General Medicine.

Journal Cover
October-2023 Volume 26 Issue 4

Full Size Image

Sign up for eToc alerts
Recommend to Library

  • Article
  • Citations
    • Cite This Article
    • Download Citation
    • Create Citation Alert
    • Remove Citation Alert
    • Cited By
  • Similar Articles
    • Related Articles (in Spandidos Publications)
    • Similar Articles (Google Scholar)
    • Similar Articles (PubMed)
  • Download PDF
  • Download XML
  • View XML
Article Open Access

BR vs. R‑miniCHOP in unfit patients with B‑cell non‑Hodgkin lymphoma: A randomized, two‑center, cohort study

  • Authors:
    • Dongdong Zhang
    • Yong Lin
    • Youhong Dong
    • Liling Zhang
  • View Affiliations / Copyright

    Affiliations: Department of Oncology, Xiangyang No. 1 People's Hospital, Hubei University of Medicine, Xiangyang, Hubei 441000, P.R. China, Department of Gastroenterology, Xiangyang No. 1 People's Hospital, Hubei University of Medicine, Xiangyang, Hubei 441000, P.R. China, Cancer Center, Union Hospital, Tongji Medical College, Huazhong University of Science and Technology, Wuhan, Hubei 430071, P.R. China
    Copyright: © Zhang et al. This is an open access article distributed under the terms of Creative Commons Attribution License.
  • Article Number: 440
    |
    Published online on: August 23, 2023
       https://doi.org/10.3892/ol.2023.14027
  • Expand metrics +
Metrics: Total Views: 0 (Spandidos Publications: | PMC Statistics: )
Metrics: Total PDF Downloads: 0 (Spandidos Publications: | PMC Statistics: )
Cited By (CrossRef): 0 citations Loading Articles...

This article is mentioned in:



Abstract

The aim of the present study was to compare the efficacy and safety between the bendamustine plus rituximab (BR) regimen and rituximab combined with low‑dose doxorubicin, cyclophosphamide, vincristine and prednisone (R‑miniCHOP) in the treatment of ‘unfit’ patients with diffuse large B‑cell lymphoma (DLBCL) and follicular lymphoma grade 3B (FL3B). Patients, >70 years of age with DLBCL or FL3B, defined as unfit according to Comprehensive Geriatric Assessment, were included in the present study. All patients received 4‑6 cycles of a BR or R‑miniCHOP regimen at a three‑week interval. The objective remission rate (ORR) and adverse reactions were evaluated between the two groups. A total of 35 patients, recruited between January 2020 and December 2021, were included in this prospective study. The median age was 74 years (range, 70‑82 years). The ORR in the BR group was similar to that in the R‑miniCHOP group (73.3 vs. 75.0%; P=0.606). However, the BR group exhibited a lower incidence of leukopenia than the R‑miniCHOP group (20.0 vs. 60.0%; P=0.037). The univariate analysis revealed that the ORR was influenced by the serum β2 microglobulin level. The BR regimen showed equivalent efficacy but more improved safety compared with R‑miniCHOP in unfit patients with DLBCL and FL3B. The BR regimen may be considered as an alternative treatment in these subgroups of patients.

Introduction

Diffuse large B-cell lymphoma (DLBCL) is the most common type of non-Hodgkin lymphoma (NHL), with 40% incidence in patients aged >70 years (1). The chimeric anti-CD20 monoclonal antibody rituximab plus doxorubicin, cyclophosphamide, vincristine and prednisone chemotherapy (R-CHOP) has markedly improved the overall survival rate in patients with DLBCL in the last two decades. Full dose R-CHOP was initially preferred in adult patients and elderly patients aged 60–80 years (2,3). An attenuated immunochemotherapy regimen [rituximab combined with low-dose CHOP (R-miniCHOP)] was identified, and it exhibited favorable efficacy and safety in patients >80 years of age (4). Although the chemotherapy dose was reduced in older patients, the presence of comorbidities often led to reduced tolerability to treatment-related toxicities, resulting in treatment discontinuation and treatment failure. Moreover, a previous study revealed that treatment failure of R-miniCHOP in older patients (>80 years) was associated with treatment-related toxicities and pre-existing medical comorbidities, other than advanced age and relatively-low dose intensity (5). Thus, more efficacious and low-toxicity regimens need to be explored.

Bendamustine is a unique bifunctional alkylating agent with antimetabolic properties and antitumor effects (6). The rebirth of bendamustine was based on the fact that it exhibited synergistic antitumor effects combined with rituximab for the treatment of lymphoid malignancies (7,8). Previous clinical trials have reported that bendamustine plus rituximab (BR) improved the survival outcome in patients with indolent NHL and relapsed/refractory DLBCL (9,10). However, limited clinical data are currently available to rationalize the therapeutic regimens for older patients with newly diagnosed DLBCL.

In lymphoma, the cut-off age of 65 years was defined as a watershed between younger and older patients (11). Generally, R-miniCHOP was recommended when the patient was ≥80 years of age. However, age alone is not enough to determine the treatment plan; treatment should be individualized while taking individual life expectancy, functional reserve and social support into consideration (12). Comprehensive Geriatric Assessment (CGA) divides older patients into the following three categories: Fit, unfit and frail, according to age, comorbidities and functional abilities of daily living (13). CGA has proved to be an efficacious tool for identifying fit patients who can benefit from an intensive curative approach (14). However, there are few studies on the therapeutic regimens used in unfit patients. In the present prospective study, the efficacy and safety between BR and R-miniCHOP as first-line treatment in unfit patients with newly diagnosed DLBCL or follicular lymphoma grade 3B (FL3B) in China were compared.

Materials and methods

Study design and patient eligibility

The present randomized, controlled, two-center study (Xiangyang No. 1 People's Hospital, Hubei, China; and Wuhan Union Hospital, Hubei, China) compared the efficacy and safety of a BR regimen with R-miniCHOP in unfit patients with newly diagnosed DLBCL and FL3B. In the present study, patients aged >70 years, with newly diagnosed DLBCL or FL3B were enrolled from January 2020 to December 2021. Diagnosis of DLBCL or FL3B was based on the histopathological morphology reviewed by hematopathologists, immunohistology, and clinical features recommended by WHO 2016 (15).

Patients classified as ‘unfit’ according to simple CGA were included in this two-center study. The inclusion criteria for this study is listed in Table I (14). Patients considered unfit who were included in this study met the following criteria: i) Age ≥70 years; ii) white blood cells ≥3.0×109/l or granulocytes ≥1.5×109/l, hemoglobin ≥90.0×1012/l and platelets ≥100.0×109/l; iii) normal sinus rhythm and ejection fraction 50–70% on echocardiography; iv) alanine aminotransferase and aspartate aminotransferase levels below the 2× upper limit of normal, serum albumin ≥30.0 g/l and serum creatinine below the 1.5× upper limit of normal; and v) negative (−) human immunodeficiency virus.

Table I.

Definition of unfit according to CGA.

Table I.

Definition of unfit according to CGA.

Age (years)ADL scoreIADL scoreCIRS-G
>7968No grade-3/4 comorbidities and <5 grade-2 comorbidities
<8056-7No grade-3/4 comorbidities and 5–8 grade-2 comorbidities

[i] CGA, comprehensive geriatric assessment; ADL, activity of daily living; IADL, instrumental activity of daily living; CIRS-G, Cumulative Illness Rating Score for Geriatrics.

Clinical staging was based on the modified Lugano 2014 staging criteria. Risk stratification was identified using the International Prognostic Index (16). BR or R-miniCHOP chemotherapy was randomly assigned to the patients based on a randomization schedule generated by SAS programming (version 9.4; SAS Institute Inc.). In patients presenting with potentially worsening cardiac function, such as myocardial infarction ≤5 years ago, abnormal stress test, previous percutaneous coronary intervention or coronary artery bypass grafting and marked activity restriction secondary to the cardiac status, doxorubicin was replaced with the liposomal Adriamycin. The chemotherapy regimens used in the present study are presented in Fig. 1.

Figure 1.

R-miniCHOP regimen and BR regimen. A total of 35 unfit patients with DLBCL or FL3B were included in this study. Of these, 20 patients were randomly assigned to the R-miniCHOP group, while the remaining 15 patients were randomly assigned to the BR group. The R-miniCHOP regimen was administered at an interval of 21 days while the BR regimen was administered at an interval of 28 days. All the regimens were performed for 6 cycles. R-miniCHOP, rituximab combined with low-dose doxorubicin, cyclophosphamide, vincristine, and prednisone; BR, bendamustine plus rituximab; IV, intravenous injection.

The present study was approved by the Ethics and Scientific Committee of Hubei University of Medicine, Xiangyang No. 1 People's Hospital (Xiangyang, China; approval no. 2022PR-H002). All patients provided their written informed consent prior to enrollment in the present study and data were collected from electronic medical records.

Response evaluation

Treatment responses were evaluated by computed tomography scans or positron emission tomography scan after the completion of immunochemotherapy. Bone marrow aspiration and immunotyping were also routinely performed to determine bone marrow invasion at the initial diagnosis. Therapeutic evaluation was based on Lugano 2014 classification, and it was divided into imaging remission and metabolic remission, including complete remission (CR), partial remission (PR), stable disease, and progressive disease (16).

Adverse reactions assessment

Routine physical examination, hematological and biochemical tests and an electrocardiogram were performed before and after each cycle of immunochemotherapy. Adverse effects were graded according to the National Cancer Institute Common Terminology Criteria for Adverse Events v4.0 (17).

Statistical analysis

Data is presented as the mean ± standard deviation. The primary endpoint was progression-free survival (PFS). PFS was defined as the interval from date of the beginning of first treatment to the date of disease progression or date of death. Secondary endpoints included objective remission rate (ORR), CR, PR and safety. The endpoints for DLBCL and FL3B were the same. The laboratory and clinical data, response rates and adverse reactions were analyzed using the chi-square test and Mann Whitney U test. PFS was evaluated using the Kaplan-Meier curve, and the log-rank test was used to calculate the significance of differences. Prognostic risk factors were estimated using univariate analysis. Statistical analyses were performed using GraphPad 7.0 software (GraphPad Software, Inc.; Dotmatics) and the Statistical Package for the Social Sciences version 24.0 software (IBM Corp.). P<0.05 was considered to indicate a statistically significant difference.

Results

Baseline characteristics of patients

In the present study, a total of 35 patients were recruited between January 2020 and November 2021, and the detailed screening and inclusion process is revealed in Fig. 2. The median age of the patients was 74 years (range, 70 to 82 years), and the male to female ratio was 0.94:1. In total, 28 patients were diagnosed with DLBCL, and 7 patients were diagnosed with FL3B. Stage IV disease was diagnosed in 18 patients (56.25%). In total, 20 patients were treated with R-miniCHOP, while 15 patients received the BR regimen. There was no significant difference in age, sex, stage and comorbidities between the two groups. The baseline characteristics are listed in Table II.

Figure 2.

Flow diagram of patients in the study. FL3B, follicular lymphoma grade 3B; DLBCL, diffuse large B-cell lymphoma; R-miniCHOP, rituximab combined with low-dose doxorubicin, cyclophosphamide, vincristine, and prednisone; BR, bendamustine plus rituximab.

Table II.

Characteristics of patients enrolled in the present study.

Table II.

Characteristics of patients enrolled in the present study.

Number of patients (n=35)

VariablesR-miniCHOP (n=20)BR (n=15)P-value
Age (years) 0.064
  ≥70 and <801910
  >8015
Sex 0.845
  Male107
  Female108
Pathology 0.660
  FL3B43
  DLBCL1612
Stage (Lugano) 0.991
  I and II85
  III and IV1210
IPI 0.737
  124
  265
  3 or more126
ECOG 0.738
  0-198
  2117
Grade-2 comorbidities 0.833
  <575
  5-81310

[i] R-miniCHOP, rituximab combined with low-dose doxorubicin, cyclophosphamide, vincristine, and prednisone; BR, bendamustine plus rituximab; FL3B, follicular lymphoma grade 3B; DLBCL, diffuse large B-cell lymphoma; IPI, International Prognostic Index; ECOG, Eastern Cooperative Oncology Group Performance Status.

Treatment and response

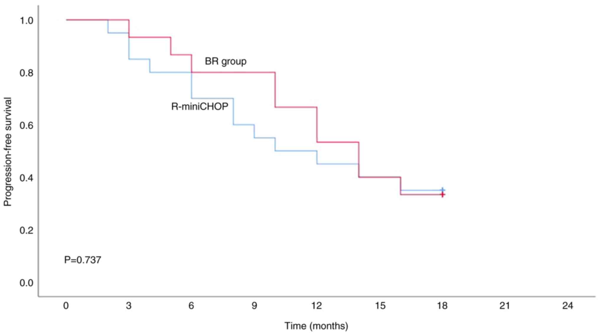
In total, 2 patients received 4 cycles of R-miniCHOP and 1 patient received 4 cycles of BR due to tumor progression and severe infection caused by myelosuppression. The remaining patients received 6 cycles of immunochemotherapy. All patients were alive after the median follow-up of 13 months. The CR rate was similar between the two groups (35 vs. 33.3%). The ORR in the BR group was slightly lower compared with that in the R-miniCHOP group (73.3 vs. 75.0%), but with no statistical significance (P=0.606), as revealed in Table III. The median 1.5-year PFS in the BR group and R-miniCHOP were 12.8 and 11.3 months, respectively (Fig. 3).

Figure 3.

Kaplan-Meier curves for the 1.5-year PFS between the R-miniCHOP and BR groups. The curves indicated that the PFS of the BR group was not inferior to that of the R-miniCHOP group. R-miniCHOP, rituximab combined with low-dose doxorubicin, cyclophosphamide, vincristine, and prednisone; BR, bendamustine plus rituximab; PFS, progression-free survival.

Table III.

Overall response rates of R-miniCHOP and BR regimens.

Table III.

Overall response rates of R-miniCHOP and BR regimens.

ResponseR-miniCHOP (n=20)BR (n=15)P-value
Complete remission rate, % (n/total n)35 (7/20)33 (5/15)0.918
Partial remission rate, % (n/total n)40 (8/20)40 (6/15)0.635
Stable disease rate, % (n/total n)10 (2/20)20 (3/15)0.448
Progressive disease rate, % (n/total n)15 (3/20)7 (1/15)0.419
Objective remission rate, % (n/total n)75 (15/20)73 (11/15)0.606

[i] R-miniCHOP, rituximab combined with low-dose doxorubicin, cyclophosphamide, vincristine, and prednisone; BR, bendamustine plus rituximab.

Adverse reactions

Adverse events were classified as hematological and non-hematologic adverse reactions (Table IV). The R-miniCHOP group had a higher incidence of leukopenia compared with the BR group. A total of 4 patients reported cardiac events in the R-miniCHOP group. Furthermore, the BR group had a higher incidence of transient fever, but with no statistical significance (P=0.199).

Table IV.

Hematological and extra-hematological adverse events between R-miniCHOP and BR groups.

Table IV.

Hematological and extra-hematological adverse events between R-miniCHOP and BR groups.

Grade of adverse reaction, n (%)

ToxicityR-miniCHOP (n=20)BR (n=15)P-value
Hematological
  Leukopenia12 (60)3 (20)0.037a
  Anemia13 (65)6 (40)0.182
  Thrombocytopenia6 (30)2 (13)0.419
Non-hematological
  Nausea and vomiting8 (40)6 (40)0.635
  ALT/AST elevation6 (30)2 (13.)0.419
  Hypoalbuminemia3 (15)2 (13)0.640
  Cardiac disorders4 (20)1 (7)0.365
  Nervous system disorders3 (15)1 (7)0.619
  Allergy5 (25)2 (13)0.672
  Transient fever2 (10)5 (33)0.199
  Electrolyte imbalance8 (40)7 (47)0.741
  Infection6 (30)2 (13)0.419

a P<0.05. R-miniCHOP, rituximab combined with low-dose doxorubicin, cyclophosphamide, vincristine, and prednisone; BR, bendamustine plus rituximab.

Sensitivity analysis

Univariate analyses were performed to clarify the association between prognostic factors and ORR in these 35 patients. In the univariate analysis, lactate dehydrogenase and erythrocyte sedimentation rate levels, Eastern Cooperative Oncology Group performance status (0–1), no extranodal sites and tumor mass (<10 cm) were not associated with the ORR. However, β2 microglobulin <3.0 mg/l may be predictive of a higher ORR (P=0.014; Table V).

Table V.

Analysis of the association between prognostic factors and ORR in 35 patients with DLBCL.

Table V.

Analysis of the association between prognostic factors and ORR in 35 patients with DLBCL.

Prognostic factorORR rate, %95% CIP-value
ECOG 0–148.57 vs. 71.430.31–0.660.152
β2 microglobulin <3.0 mg/l57.14 vs. 89.470.40–0.740.014
No extranodal sites51.42 vs. 72.220.34–0.690.151
No LDH elevation65.71 vs. 72.720.49–0.820.851
ESR <50 mm/h62.85 vs. 79.160.46–0.800.954
Tumor mass <10 cm80.00 vs. 92.850.66–0.940.833

[i] ORR, objective remission rate; DLBCL, diffuse large B-cell lymphoma; CI, confidence interval; ECOG, Eastern Cooperative Oncology Group; LDH, lactic dehydrogenase; ESR, erythrocyte sedimentation rate.

Discussion

The Surveillance, Epidemiology and End Results program predicted that the estimated incidence of NHL would be ~4% of all cancer cases worldwide in 2024, with a median age of 66 years (18). DLBCL accounts for ~31% of NHL cases, with the majority of DLBCL patients >60 years of age (11,19). Therefore, measures to improve patient outcomes, individual life expectancy and survival of elderly patients with DLBCL should be.

In the past two decades, R-CHOP was the recommended standard regimen for the treatment of DLBCL in older patients <80 years of age. Older patients aged 60–80 years with DLBCL could achieve a relatively higher CR rate and prolonged median survival after 4–6 cycles of R-CHOP (3). R-miniCHOP offered an improved compromise between safety and efficiency in patients aged >80 years as a substantial number of older patients could be cured (4). However, increases in complications and adverse treatment reactions were reported in patients aged ≥70 years (20). Several risk factors, including comorbidity, functional impairment, cognitive decline, poor performance score and social isolation, contributed to the treatment-related toxicity (21). Despite the use of R-CHOP or R-miniCHOP as treatment options in older patients, the presence of comorbidities and treatment-related toxicity, to some extent, contribute to limited available therapeutic options in real-world practice. Furthermore, when the dose of CHOP was reduced to 7/12, patients had a relatively low overall survival and event-free survival (22).

Several studies have demonstrated that the BR regimen is a promising prospect in both indolent and aggressive lymphomas due to its modest activity and manageable toxicity profile. The BRIGHT study reported that the BR regimen had a better long-term disease control than the R-CHOP regimen, and therefore, it should be recommended as the first-line treatment in indolent and mantle cell lymphoma (23). Furthermore, a multicenter, retrospective study reported that the BR regimen was less toxic and more efficient compared with the R-CHOP regimen in patients with FL grade 3A and this regimen produced a low rate of non-hematological adverse events in older patients with chronic lymphocytic leukemia (24,25). Moreover, the BR regimen was well tolerated and safe in patients with indolent NHL who had renal impairment (26).

To date, a few studies have demonstrated that BR is a feasible option for the first-line treatment of DLBCL in elderly patients (27–30). Table VI summarizes the clinical data of elderly patients treated with BR from different studies. The ORR and median PFS in the BR group was similar to the results obtained in the R-miniCHOP group (4). The present study further reverified this finding; the ORRs in the BR group and R-miniCHOP group were 73.3 and 75%, respectively.

Table VI.

Summary of prospective studies of BR as frontline treatment in elderly patients with newly diagnosed DLBCL.

Table VI.

Summary of prospective studies of BR as frontline treatment in elderly patients with newly diagnosed DLBCL.

First author, yearRegionPatientsMedian age in years (limits)BendamustineORR (%)CRR (%)Survival (months)(Refs.)
Weidmann et al, 2011Germany1385 (80–95)120 mg/m2/q3w6954mPFS 7.7(31)
Horn et al, 2012Germany2072 (51–86)90 mg/m2/q4w5520mPFS 8.3; mOS 19.4(27)
Park et al, 2016USA2380 (>65)120 mg/m2/q3w7852mPFS 5.4; mOS 10.2(30)
Storti et al, 2018Italy4981 (>70)90 mg/m2/q4w6253mOS 10.0(29)
Cheng et al, 2018Taiwan2681 (75–93)90 mg/m2/q3w5042.3mOS 11.2(28)
Present studyChina1570 (70–82)70-90 mg/m2/q3w73.333.3mPFS 12.8-

[i] DLBCL, diffuse large B-cell lymphoma; ORR, overall response rate; CRR, complete remission rate; mPFS, median progression-free survival; mOS, median overall survival; NA, not available.

In a previous study (24), nausea and vomiting were frequently reported in older patients after BR treatment; the incidence of this adverse reaction was consistent with another literature study. Importantly, the BR group had a lower rate of leukopenia compared with the R-miniCHOP group. This result showed that BR is likely to reduce the risk of infection and febrile neutropenia. Additionally, BR had a relative low rate of cardiac events due to the absence of anthracyclines, demonstrating that BR is safer and tolerable for unfit older patients, especially for those with ventricular dysfunction (31). It is worth noting that BR was associated with a higher incidence of transient fever, which could be attributed to drug-induced fever, as the inflammatory indicators, such as C-reactive protein and procalcitonin, were maintained in the normal range. Generally, the body temperature could be quickly reduced to normal after auxiliary antipyretic treatment. However, when this symptom arises on the initiation of treatment, it is difficult for physicians to determine the cause of fever, which may preclude treatment.

The limitation of the present study was its small cohort size and short follow-up. Bendamustine was introduced in the market, in China, in May 2019. It is relatively expensive, and as the cost of bendamustine is not reimbursed by the national health insurance system in China, only a small percentage of patients prefer to use this agent. Furthermore, the number of elderly patients newly diagnosed with DLBCL and defined as unfit was small. Thus, it is challenging to recruit an adequate number of unfit participants in such a short time. Hence, overall survival and median PFS could not be analyzed in the present study. The authors of the present study conclude that a large-scale, long-term follow-up prospective study will provide better insight into treatment options for DLBCL, in the future.

The emergence of new targeted drugs also provides more options for the treatment of DLBCL. A recent clinical trial (ClinicalTrials.gov number, NCT03274492) showed that the anti-CD79b antibody polatuzumab vedotin combined with BR could reduce the risk of mortality in relapsed/refractory DLBCL (32). The novel histone deacetylase inhibitor chidamide could synergize with rituximab by upregulating CD20 expression in DLBCL, and it significantly inhibited tumor growth in vitro and in vivo (33). The phosphoinositide 3-kinase (PI3K) inhibitor, copanlisib, exhibited high cytotoxicity in vivo and could improve survival in the DLBCL model (34). Moreover, the Bcl-2 inhibitor, venetoclax, and Bruton's tyrosine kinase inhibitor, ibrutinib, could enhance the sensitivity of the PI3K inhibitor in activated B-cell like DLBCL (34,35). It is considered that the treatment for unfit patients with DLBCL will move towards a chemotherapy-free era in the future.

In conclusion, the current treatment for unfit patients with DLBCL remains a daunting challenge for physicians. The choice of treatment should be individualized, and an accurate assessment of the risk-benefit ratio should be performed for each patient before treatment. CGA is a validated tool to assess the patient fitness status before the initiation of treatment. Considering the results of the present study, BR is a promising regimen with lesser toxicity and it may be recommended as an alternative regimen to R-miniCHOP for unfit patients with DLBCL or FL3B. However, further studies with larger sample sizes are required to evaluate its efficacy.

Acknowledgements

Not applicable.

Funding

The present study was supported by the National Natural Science Foundation of China (grant no. 82200214), the Key Research and Development Project of Hubei (grant no. 2022BCE028), the Innovative Research Program of Xiangyang No. 1 People's Hospital (grant no. XYY2021Q02), the Platform Special Fund for Scientific Research of Xiangyang No. 1 People's Hospital (grant no. XYY2022P05), and the Key projects of Xiangyang Science and Technology Bureau (grant no. 2021YL26).

Availability of data and materials

The datasets used during the present study are available from the corresponding author upon reasonable request.

Authors' contributions

LZ provided the project direction, designed the study and performed the statistical analysis. DZ and YL conceived and performed the study, analyzed the data, and wrote the manuscript. YD contributed to data acquisition and revised the manuscript. DZ and LZ confirm the authenticity of all the raw data. All authors read and approved the final version of the manuscript.

Ethics approval and consent to participate

Ethical approval was obtained from the Ethics and Scientific Committee of Hubei University of Medicine, Xiangyang No.1 People's Hospital, Xiangyang, China (approval no. 2022PR-H002). All methods were carried out in accordance with the recommendations of the Ethics and Scientific Committee of Hubei University of Medicine and the Declaration of Helsinki. All patients provided their written informed consent prior to enrollment in the present study and data were collected from electronic medical records.

Patient consent for publication

Not applicable.

Competing interests

The authors declare that they have no competing interests.

References

1 

d'Amore F, Brincker H, Christensen BE, Thorling K, Pedersen M, Nielsen JL, Sandberg E, Pedersen NT and Sørensen E: Non-Hodgkin's lymphoma in the elderly. A study of 602 patients aged 70 or older from a Danish population-based registry. The Danish LYEO-study group. Ann Oncol. 3:379–386. 1992. View Article : Google Scholar : PubMed/NCBI

2 

Feugier P, Van Hoof A, Sebban C, Solal-Celigny P, Bouabdallah R, Fermé C, Christian B, Lepage E, Tilly H, Morschhauser F, et al: Long-term results of the R-CHOP study in the treatment of elderly patients with diffuse large B-cell lymphoma: A study by the Groupe d'Etude des Lymphomes de l'Adulte. J Clin Oncol. 23:4117–4126. 2005. View Article : Google Scholar : PubMed/NCBI

3 

Coiffier B, Thieblemont C, Van Den Neste E, Lepeu G, Plantier I, Castaigne S, Lefort S, Marit G, Macro M, Sebban C, et al: Long-term outcome of patients in the LNH-98.5 trial, the first randomized study comparing rituximab-CHOP to standard CHOP chemotherapy in DLBCL patients: A study by the Groupe d'Etudes des Lymphomes de l'Adulte. Blood. 116:2040–2045. 2010. View Article : Google Scholar : PubMed/NCBI

4 

Peyrade F, Jardin F, Thieblemont C, Thyss A, Emile JF, Castaigne S, Coiffier B, Haioun C, Bologna S, Fitoussi O, et al: Attenuated immunochemotherapy regimen (R-miniCHOP) in elderly patients older than 80 years with diffuse large B-cell lymphoma: A multicentre, single-arm, phase 2 trial. Lancet Oncol. 12:460–468. 2011. View Article : Google Scholar : PubMed/NCBI

5 

Kobayashi Y, Miura K, Hojo A, Hatta Y, Tanaka T, Kurita D, Iriyama N, Kobayashi S and Takeuchi J: Charlson comorbidity index is an independent prognostic factor among elderly patients with diffuse large B-cell lymphoma. J Cancer Res Clin Oncol. 137:1079–1084. 2011. View Article : Google Scholar : PubMed/NCBI

6 

Cheson BD and Rummel MJ: Bendamustine: Rebirth of an old drug. J Clin Oncol. 27:1492–1501. 2009. View Article : Google Scholar : PubMed/NCBI

7 

Rummel MJ, Niederle N, Maschmeyer G, Banat GA, von Grünhagen U, Losem C, Kofahl-Krause D, Heil G, Welslau M, Balser C, et al: Bendamustine plus rituximab versus CHOP plus rituximab as first-line treatment for patients with indolent and mantle-cell lymphomas: An open-label, multicentre, randomised, phase 3 non-inferiority trial. Lancet. 381:1203–1210. 2013. View Article : Google Scholar : PubMed/NCBI

8 

Flinn IW, van der Jagt R, Kahl BS, Wood P, Hawkins TE, Macdonald D, Hertzberg M, Kwan YL, Simpson D, Craig M, et al: Randomized trial of bendamustine-rituximab or R-CHOP/R-CVP in first-line treatment of indolent NHL or MCL: The BRIGHT study. Blood. 123:2944–2952. 2014. View Article : Google Scholar : PubMed/NCBI

9 

Hong JY, Yoon DH, Suh C, Kim WS, Kim SJ, Jo JC, Kim JS, Lee WS, Oh SY, Park Y, et al: Bendamustine plus rituximab for relapsed or refractory diffuse large B cell lymphoma: A multicenter retrospective analysis. Ann Hematol. 97:1437–1443. 2018. View Article : Google Scholar : PubMed/NCBI

10 

Ohmachi K, Niitsu N, Uchida T, Kim SJ, Ando K, Takahashi N, Takahashi N, Uike N, Eom HS, Chae YS, et al: Multicenter phase II study of bendamustine plus rituximab in patients with relapsed or refractory diffuse large B-cell lymphoma. J Clin Oncol. 31:2103–2109. 2013. View Article : Google Scholar : PubMed/NCBI

11 

Fields PA and Linch DC: Treatment of the elderly patient with diffuse large B cell lymphoma. Br J Haematol. 157:159–170. 2012. View Article : Google Scholar : PubMed/NCBI

12 

Balducci L and Extermann M: Management of cancer in the older person: A practical approach. Oncologist. 5:224–237. 2000. View Article : Google Scholar : PubMed/NCBI

13 

Extermann M, Aapro M, Bernabei R, Cohen HJ, Droz JP, Lichtman S, Mor V, Monfardini S, Repetto L, Sørbye L, et al: Use of comprehensive geriatric assessment in older cancer patients: Recommendations from the task force on CGA of the international society of geriatric oncology (SIOG). Crit Rev Oncol Hematol. 55:241–252. 2005. View Article : Google Scholar : PubMed/NCBI

14 

Tucci A, Martelli M, Rigacci L, Riccomagno P, Cabras MG, Salvi F, Stelitano C, Fabbri A, Storti S, Fogazzi S, et al: Comprehensive geriatric assessment is an essential tool to support treatment decisions in elderly patients with diffuse large B-cell lymphoma: A prospective multicenter evaluation in 173 patients by the lymphoma Italian foundation (FIL). Leuk Lymphoma. 56:921–926. 2015. View Article : Google Scholar : PubMed/NCBI

15 

Cazzola M: Introduction to a review series: the 2016 revision of the WHO classification of tumors of hematopoietic and lymphoid tissues. Blood. 127:2361–2364. 2016. View Article : Google Scholar : PubMed/NCBI

16 

Cheson BD, Fisher RI, Barrington SF, Cavalli F, Schwartz LH, Zucca E, Lister TA; Alliance, Australasian Leukaemia; Lymphoma Group and Eastern Cooperative Oncology Group, ; et al: Recommendations for initial evaluation, staging, and response assessment of Hodgkin and non-Hodgkin lymphoma: The Lugano classification. J Clin Oncol. 32:3059–3068. 2014. View Article : Google Scholar : PubMed/NCBI

17 

Dueck AC, Mendoza TR, Mitchell SA, Reeve BB, Castro KM, Rogak LJ, Atkinson TM, Bennett AV, Denicoff AM, O'Mara AM, et al: Validity and reliability of the US national cancer institute's patient-reported outcomes version of the common terminology criteria for adverse events (PRO-CTCAE). JAMA Oncol. 1:1051–1059. 2015. View Article : Google Scholar : PubMed/NCBI

18 

DeSantis CE, Lin CC, Mariotto AB, Siegel RL, Stein KD, Kramer JL, Alteri R, Robbins AS and Jemal A: Cancer treatment and survivorship statistics, 2014. CA Cancer J Clin. 64:252–271. 2014. View Article : Google Scholar : PubMed/NCBI

19 

Martelli M, Ferreri AJ, Agostinelli C, Di Rocco A, Pfreundschuh M and Pileri SA: Diffuse large B-cell lymphoma. Crit Rev Oncol Hematol. 87:146–171. 2013. View Article : Google Scholar : PubMed/NCBI

20 

Advani RH, Chen H, Habermann TM, Morrison VA, Weller EA, Fisher RI, Peterson BA, Gascoyne RD, Horning SJ; Eastern Cooperative Oncology Group, ; et al: Comparison of conventional prognostic indices in patients older than 60 years with diffuse large B-cell lymphoma treated with R-CHOP in the US intergroup study (ECOG 4494, CALGB 9793): Consideration of age greater than 70 years in an elderly prognostic index (E-IPI). Br J Haematol. 151:143–151. 2010. View Article : Google Scholar : PubMed/NCBI

21 

Pal SK, Katheria V and Hurria A: Evaluating the older patient with cancer: Understanding frailty and the geriatric assessment. CA Cancer J Clin. 60:120–132. 2010. View Article : Google Scholar : PubMed/NCBI

22 

Kayamori K, Shono K, Onoda M and Yokota A: Efficacy and tolerability of rituximab and reduced-dose cyclophosphamide, doxorubicin, vincristine, and prednisolone therapy for elderly patient with diffuse large B-cell lymphoma. Hematology. 24:52–59. 2019. View Article : Google Scholar : PubMed/NCBI

23 

Flinn IW, van der Jagt R, Kahl B, Wood P, Hawkins T, MacDonald D, Simpson D, Kolibaba K, Issa S, Chang J, et al: First-line treatment of patients with indolent non-Hodgkin lymphoma or mantle-cell lymphoma with bendamustine plus rituximab versus R-CHOP or R-CVP: Results of the BRIGHT 5-year follow-up study. J Clin Oncol. 37:984–991. 2019. View Article : Google Scholar : PubMed/NCBI

24 

Mondello P, Steiner N, Willenbacher W, Cerchione C, Nappi D, Mauro E, Ferrero S, Cuzzocrea S and Mian M: Bendamustine plus rituximab versus R-CHOP as first-line treatment for patients with follicular lymphoma grade 3A: Evidence from a multicenter, retrospective study. Oncologist. 23:454–460. 2018. View Article : Google Scholar : PubMed/NCBI

25 

Woyach JA, Ruppert AS, Heerema NA, Zhao W, Booth AM, Ding W, Bartlett NL, Brander DM, Barr PM, Rogers KA, et al: Ibrutinib regimens versus chemoimmunotherapy in older patients with untreated CLL. N Engl J Med. 379:2517–2528. 2018. View Article : Google Scholar : PubMed/NCBI

26 

Ribes D, Hachem HEL, Oberic L, Vergez F, Delas A, Belliere J, Protin C, Kamar N, Ferrandiz I, Tavitian S, et al: Bendamustine plus rituximab for indolent B-cell lymphoma of renal significance. Am J Hematol. 93:356–362. 2018. View Article : Google Scholar : PubMed/NCBI

27 

Horn J, Kleber M, Hieke S, Schmitt-Gräff A, Wäsch R and Engelhardt M: Treatment option of bendamustine in combination with rituximab in elderly and frail patients with aggressive B-non-Hodgkin lymphoma: Rational, efficacy, and tolerance. Ann Hematol. 91:1579–1586. 2012. View Article : Google Scholar : PubMed/NCBI

28 

Cheng CL, Liu JH, Chou SC, Yao M, Tang JL and Tien HF: Retrospective analysis of frontline treatment efficacy in elderly patients with diffuse large B-cell lymphoma. Eur J Haematol. 101:28–37. 2018. View Article : Google Scholar : PubMed/NCBI

29 

Storti S, Spina M, Pesce EA, Salvi F, Merli M, Ruffini A, Cabras G, Chiappella A, Angelucci E, Fabbri A, et al: Rituximab plus bendamustine as front-line treatment in frail elderly (>70 years) patients with diffuse large B-cell non-Hodgkin lymphoma: A phase II multicenter study of the Fondazione Italiana Linfomi. Haematologica. 103:1345–1350. 2018. View Article : Google Scholar : PubMed/NCBI

30 

Park SI, Grover NS, Olajide O, Asch AS, Wall JG, Richards KL, Sobol AL, Deal AM, Ivanova A, Foster MC, et al: A phase II trial of bendamustine in combination with rituximab in older patients with previously untreated diffuse large B-cell lymphoma. Br J Haematol. 175:281–289. 2016. View Article : Google Scholar : PubMed/NCBI

31 

Weidmann E, Neumann A, Fauth F, Atmaca A, Al-Batran SE, Pauligk C and Jäger E: Phase II study of bendamustine in combination with rituximab as first-line treatment in patients 80 years or older with aggressive B-cell lymphomas. Ann Oncol. 22:1839–1844. 2011. View Article : Google Scholar : PubMed/NCBI

32 

Sehn LH, Herrera AF, Flowers CR, Kamdar MK, McMillan A, Hertzberg M, Assouline S, Kim TM, Kim WS, Ozcan M, et al: Polatuzumab vedotin in relapsed or refractory diffuse large B-cell lymphoma. J Clin Oncol. 38:155–165. 2020. View Article : Google Scholar : PubMed/NCBI

33 

Guan XW, Wang HQ, Ban WW, Chang Z, Chen HZ, Jia L and Liu FT: Novel HDAC inhibitor chidamide synergizes with rituximab to inhibit diffuse large B-cell lymphoma tumour growth by upregulating CD20. Cell Death Dis. 11:202020. View Article : Google Scholar : PubMed/NCBI

34 

Bojarczuk K, Wienand K, Ryan JA, Chen L, Villalobos-Ortiz M, Mandato E, Stachura J, Letai A, Lawton LN, Chapuy B and Shipp MA: Targeted inhibition of PI3Kα/δ is synergistic with BCL-2 blockade in genetically defined subtypes of DLBCL. Blood. 133:70–80. 2019. View Article : Google Scholar : PubMed/NCBI

35 

Sasi BK, Martines C, Xerxa E, Porro F, Kalkan H, Fazio R, Turkalj S, Bojnik E, Pyrzynska B, Stachura J, et al: Inhibition of SYK or BTK augments venetoclax sensitivity in SHP1-negative/BCL-2-positive diffuse large B-cell lymphoma. Leukemia. 33:2416–2428. 2019. View Article : Google Scholar : PubMed/NCBI

Related Articles

  • Abstract
  • View
  • Download
  • Twitter
Copy and paste a formatted citation
Spandidos Publications style
Zhang D, Lin Y, Dong Y and Zhang L: BR vs. R‑miniCHOP in unfit patients with B‑cell non‑Hodgkin lymphoma: A randomized, two‑center, cohort study. Oncol Lett 26: 440, 2023.
APA
Zhang, D., Lin, Y., Dong, Y., & Zhang, L. (2023). BR vs. R‑miniCHOP in unfit patients with B‑cell non‑Hodgkin lymphoma: A randomized, two‑center, cohort study. Oncology Letters, 26, 440. https://doi.org/10.3892/ol.2023.14027
MLA
Zhang, D., Lin, Y., Dong, Y., Zhang, L."BR vs. R‑miniCHOP in unfit patients with B‑cell non‑Hodgkin lymphoma: A randomized, two‑center, cohort study". Oncology Letters 26.4 (2023): 440.
Chicago
Zhang, D., Lin, Y., Dong, Y., Zhang, L."BR vs. R‑miniCHOP in unfit patients with B‑cell non‑Hodgkin lymphoma: A randomized, two‑center, cohort study". Oncology Letters 26, no. 4 (2023): 440. https://doi.org/10.3892/ol.2023.14027
Copy and paste a formatted citation
x
Spandidos Publications style
Zhang D, Lin Y, Dong Y and Zhang L: BR vs. R‑miniCHOP in unfit patients with B‑cell non‑Hodgkin lymphoma: A randomized, two‑center, cohort study. Oncol Lett 26: 440, 2023.
APA
Zhang, D., Lin, Y., Dong, Y., & Zhang, L. (2023). BR vs. R‑miniCHOP in unfit patients with B‑cell non‑Hodgkin lymphoma: A randomized, two‑center, cohort study. Oncology Letters, 26, 440. https://doi.org/10.3892/ol.2023.14027
MLA
Zhang, D., Lin, Y., Dong, Y., Zhang, L."BR vs. R‑miniCHOP in unfit patients with B‑cell non‑Hodgkin lymphoma: A randomized, two‑center, cohort study". Oncology Letters 26.4 (2023): 440.
Chicago
Zhang, D., Lin, Y., Dong, Y., Zhang, L."BR vs. R‑miniCHOP in unfit patients with B‑cell non‑Hodgkin lymphoma: A randomized, two‑center, cohort study". Oncology Letters 26, no. 4 (2023): 440. https://doi.org/10.3892/ol.2023.14027
Follow us
  • Twitter
  • LinkedIn
  • Facebook
About
  • Spandidos Publications
  • Careers
  • Cookie Policy
  • Privacy Policy
How can we help?
  • Help
  • Live Chat
  • Contact
  • Email to our Support Team