Spandidos Publications Logo
  • About
    • About Spandidos
    • Aims and Scopes
    • Abstracting and Indexing
    • Editorial Policies
    • Reprints and Permissions
    • Job Opportunities
    • Terms and Conditions
    • Contact
  • Journals
    • All Journals
    • Oncology Letters
      • Oncology Letters
      • Information for Authors
      • Editorial Policies
      • Editorial Board
      • Aims and Scope
      • Abstracting and Indexing
      • Bibliographic Information
      • Archive
    • International Journal of Oncology
      • International Journal of Oncology
      • Information for Authors
      • Editorial Policies
      • Editorial Board
      • Aims and Scope
      • Abstracting and Indexing
      • Bibliographic Information
      • Archive
    • Molecular and Clinical Oncology
      • Molecular and Clinical Oncology
      • Information for Authors
      • Editorial Policies
      • Editorial Board
      • Aims and Scope
      • Abstracting and Indexing
      • Bibliographic Information
      • Archive
    • Experimental and Therapeutic Medicine
      • Experimental and Therapeutic Medicine
      • Information for Authors
      • Editorial Policies
      • Editorial Board
      • Aims and Scope
      • Abstracting and Indexing
      • Bibliographic Information
      • Archive
    • International Journal of Molecular Medicine
      • International Journal of Molecular Medicine
      • Information for Authors
      • Editorial Policies
      • Editorial Board
      • Aims and Scope
      • Abstracting and Indexing
      • Bibliographic Information
      • Archive
    • Biomedical Reports
      • Biomedical Reports
      • Information for Authors
      • Editorial Policies
      • Editorial Board
      • Aims and Scope
      • Abstracting and Indexing
      • Bibliographic Information
      • Archive
    • Oncology Reports
      • Oncology Reports
      • Information for Authors
      • Editorial Policies
      • Editorial Board
      • Aims and Scope
      • Abstracting and Indexing
      • Bibliographic Information
      • Archive
    • Molecular Medicine Reports
      • Molecular Medicine Reports
      • Information for Authors
      • Editorial Policies
      • Editorial Board
      • Aims and Scope
      • Abstracting and Indexing
      • Bibliographic Information
      • Archive
    • World Academy of Sciences Journal
      • World Academy of Sciences Journal
      • Information for Authors
      • Editorial Policies
      • Editorial Board
      • Aims and Scope
      • Abstracting and Indexing
      • Bibliographic Information
      • Archive
    • International Journal of Functional Nutrition
      • International Journal of Functional Nutrition
      • Information for Authors
      • Editorial Policies
      • Editorial Board
      • Aims and Scope
      • Abstracting and Indexing
      • Bibliographic Information
      • Archive
    • International Journal of Epigenetics
      • International Journal of Epigenetics
      • Information for Authors
      • Editorial Policies
      • Editorial Board
      • Aims and Scope
      • Abstracting and Indexing
      • Bibliographic Information
      • Archive
    • Medicine International
      • Medicine International
      • Information for Authors
      • Editorial Policies
      • Editorial Board
      • Aims and Scope
      • Abstracting and Indexing
      • Bibliographic Information
      • Archive
  • Articles
  • Information
    • Information for Authors
    • Information for Reviewers
    • Information for Librarians
    • Information for Advertisers
    • Conferences
  • Language Editing
Spandidos Publications Logo
  • About
    • About Spandidos
    • Aims and Scopes
    • Abstracting and Indexing
    • Editorial Policies
    • Reprints and Permissions
    • Job Opportunities
    • Terms and Conditions
    • Contact
  • Journals
    • All Journals
    • Biomedical Reports
      • Information for Authors
      • Editorial Policies
      • Editorial Board
      • Aims and Scope
      • Abstracting and Indexing
      • Bibliographic Information
      • Archive
    • Experimental and Therapeutic Medicine
      • Information for Authors
      • Editorial Policies
      • Editorial Board
      • Aims and Scope
      • Abstracting and Indexing
      • Bibliographic Information
      • Archive
    • International Journal of Epigenetics
      • Information for Authors
      • Editorial Policies
      • Editorial Board
      • Aims and Scope
      • Abstracting and Indexing
      • Bibliographic Information
      • Archive
    • International Journal of Functional Nutrition
      • Information for Authors
      • Editorial Policies
      • Editorial Board
      • Aims and Scope
      • Abstracting and Indexing
      • Bibliographic Information
      • Archive
    • International Journal of Molecular Medicine
      • Information for Authors
      • Editorial Policies
      • Editorial Board
      • Aims and Scope
      • Abstracting and Indexing
      • Bibliographic Information
      • Archive
    • International Journal of Oncology
      • Information for Authors
      • Editorial Policies
      • Editorial Board
      • Aims and Scope
      • Abstracting and Indexing
      • Bibliographic Information
      • Archive
    • Medicine International
      • Information for Authors
      • Editorial Policies
      • Editorial Board
      • Aims and Scope
      • Abstracting and Indexing
      • Bibliographic Information
      • Archive
    • Molecular and Clinical Oncology
      • Information for Authors
      • Editorial Policies
      • Editorial Board
      • Aims and Scope
      • Abstracting and Indexing
      • Bibliographic Information
      • Archive
    • Molecular Medicine Reports
      • Information for Authors
      • Editorial Policies
      • Editorial Board
      • Aims and Scope
      • Abstracting and Indexing
      • Bibliographic Information
      • Archive
    • Oncology Letters
      • Information for Authors
      • Editorial Policies
      • Editorial Board
      • Aims and Scope
      • Abstracting and Indexing
      • Bibliographic Information
      • Archive
    • Oncology Reports
      • Information for Authors
      • Editorial Policies
      • Editorial Board
      • Aims and Scope
      • Abstracting and Indexing
      • Bibliographic Information
      • Archive
    • World Academy of Sciences Journal
      • Information for Authors
      • Editorial Policies
      • Editorial Board
      • Aims and Scope
      • Abstracting and Indexing
      • Bibliographic Information
      • Archive
  • Articles
  • Information
    • For Authors
    • For Reviewers
    • For Librarians
    • For Advertisers
    • Conferences
  • Language Editing
Login Register Submit
  • This site uses cookies
  • You can change your cookie settings at any time by following the instructions in our Cookie Policy. To find out more, you may read our Privacy Policy.

    I agree
Search articles by DOI, keyword, author or affiliation
Search
Advanced Search
presentation
Oncology Letters
Join Editorial Board Propose a Special Issue
Print ISSN: 1792-1074 Online ISSN: 1792-1082
Journal Cover
December-2023 Volume 26 Issue 6

Full Size Image

Sign up for eToc alerts
Recommend to Library

Journals

International Journal of Molecular Medicine

International Journal of Molecular Medicine

International Journal of Molecular Medicine is an international journal devoted to molecular mechanisms of human disease.

International Journal of Oncology

International Journal of Oncology

International Journal of Oncology is an international journal devoted to oncology research and cancer treatment.

Molecular Medicine Reports

Molecular Medicine Reports

Covers molecular medicine topics such as pharmacology, pathology, genetics, neuroscience, infectious diseases, molecular cardiology, and molecular surgery.

Oncology Reports

Oncology Reports

Oncology Reports is an international journal devoted to fundamental and applied research in Oncology.

Experimental and Therapeutic Medicine

Experimental and Therapeutic Medicine

Experimental and Therapeutic Medicine is an international journal devoted to laboratory and clinical medicine.

Oncology Letters

Oncology Letters

Oncology Letters is an international journal devoted to Experimental and Clinical Oncology.

Biomedical Reports

Biomedical Reports

Explores a wide range of biological and medical fields, including pharmacology, genetics, microbiology, neuroscience, and molecular cardiology.

Molecular and Clinical Oncology

Molecular and Clinical Oncology

International journal addressing all aspects of oncology research, from tumorigenesis and oncogenes to chemotherapy and metastasis.

World Academy of Sciences Journal

World Academy of Sciences Journal

Multidisciplinary open-access journal spanning biochemistry, genetics, neuroscience, environmental health, and synthetic biology.

International Journal of Functional Nutrition

International Journal of Functional Nutrition

Open-access journal combining biochemistry, pharmacology, immunology, and genetics to advance health through functional nutrition.

International Journal of Epigenetics

International Journal of Epigenetics

Publishes open-access research on using epigenetics to advance understanding and treatment of human disease.

Medicine International

Medicine International

An International Open Access Journal Devoted to General Medicine.

Journal Cover
December-2023 Volume 26 Issue 6

Full Size Image

Sign up for eToc alerts
Recommend to Library

  • Article
  • Citations
    • Cite This Article
    • Download Citation
    • Create Citation Alert
    • Remove Citation Alert
    • Cited By
  • Similar Articles
    • Related Articles (in Spandidos Publications)
    • Similar Articles (Google Scholar)
    • Similar Articles (PubMed)
  • Download PDF
  • Download XML
  • View XML
Article

Early thrombocytopenia predicts longer time‑to‑treatment discontinuation in trastuzumab emtansine treatment

  • Authors:
    • Ahmet Bilgehan Sahin
    • Burcu Caner
    • Birol Ocak
    • Ahmet Gulmez
    • Buket Hamitoglu
    • Erdem Cubukcu
    • Adem Deligonul
    • Sibel Oyucu Orhan
    • Mustafa Canhoroz
    • Hikmet Utku Odman
    • Isil Somali
    • Gokhan Ocakoglu
    • Turkkan Evrensel
  • View Affiliations / Copyright

    Affiliations: Department of Medical Oncology, School of Medicine, Usak University, Usak 64100, Turkey, Department of Medical Oncology, Atatürk City Hospital, Altieylul, Balıkesir 10100, Turkey, Department of Medical Oncology, School of Medicine, Uludag University, Nilufer, Bursa 16059, Turkey, Department of Medical Oncology, School of Medicine, Inonu University, Battalgazi, Malatya 44280, Turkey, Department of Medical Oncology, School of Medicine, Dokuz Eylul University, Konak, İzmir 35210, Turkey, Department of Medical Oncology, Bursa Medicana Hospital, Nilufer, Bursa 16110, Turkey, Department of Biostatistics, School of Medicine, Uludag University, Nilufer, Bursa 16059, Turkey
  • Article Number: 523
    |
    Published online on: October 23, 2023
       https://doi.org/10.3892/ol.2023.14110
  • Expand metrics +
Metrics: Total Views: 0 (Spandidos Publications: | PMC Statistics: )
Metrics: Total PDF Downloads: 0 (Spandidos Publications: | PMC Statistics: )
Cited By (CrossRef): 0 citations Loading Articles...

This article is mentioned in:



Abstract

Thrombocytopenia is a characteristic adverse event of trastuzumab emtansine (T‑DM1), one of the essential treatment options for human epithelial growth factor receptor 2 (HER2)‑positive breast cancer. The present study investigated the predictive value of thrombocytopenia for time‑to‑treatment discontinuation (TTD) in patients receiving T‑DM1 for advanced‑stage HER2‑positive breast cancer. The present observational study enrolled 138 patients who received T‑DM1 at six oncology centers from January 2016 to December 2021. Univariate and multivariate Cox regression analyses were performed to determine the factors affecting TTD. The median age of patients was 50 years (range, 26‑83). The median number of T‑DM1 cycles was 9 (range, 2‑58), the overall response rate was 50.0% and the disease control rate was 69.6%. At a median follow‑up time of 19.3 months, the median TTD was 9.5 months [95% confidence interval (CI), 7.3‑11.7], and the median overall survival was 28.2 months (95% CI, 19.2‑37.2). Thrombocytopenia during treatment was observed in 39% of all patients, and 66.7% of these patients experienced early thrombocytopenia (in the first four treatment cycles). Multivariate analysis revealed that the independent factors for TTD were hormone receptor status [hazard ratio (HR), 1.837; 95% CI, 1.249‑2.701; P=0.002], Eastern Cooperative Oncology Group performance status score (HR, 3.269; 95% CI, 1.788‑5.976; P<0.001) and thrombocytopenia during treatment (HR, 0.297; 95% CI, 0.198‑0.446; P<0.001). Patients with early thrombocytopenia had a significantly longer TTD of 17.3 months (95% CI, 11.8‑22.8) compared with 7.6 months (95% CI, 5.8‑9.4) for patients without early thrombocytopenia (P<0.001). The results of the present study indicated that patients with early thrombocytopenia had improved survival outcomes compared with those without. Thus, maximum benefit from T‑DM1 treatment may be achieved by confirming the predictive role of thrombocytopenia in T‑DM1 treatment in prospective studies and large‑scale cohorts.

Introduction

Breast cancer is the most commonly diagnosed cancer and the second leading cause of cancer-related deaths in the United States (1). Human epithelial growth factor receptor 2 (HER2) is overexpressed in ~15% of breast cancer cases in the United States (2), and HER2-positive breast cancer is more common in metastatic settings (3). In breast cancer treatment, the development of targeted therapies has improved the efficacy, reducing damage to normal tissues; however, increased drug resistance against targeted agents has led researchers to develop an antibody-drug conjugate comprising cytotoxic agents and monoclonal drugs (4). Trastuzumab emtansine (T-DM1) is the first antibody-drug conjugate to be approved in a solid tumor and consists of trastuzumab, humanized monoclonal antibodies against HER2 and mertansine, a microtubule inhibitor (4). Based on the results of the EMILIA (5), TH3RESA (6) and MARIANNE (7) trials using various patient groups, T-DM1 has been approved for patients with HER2-positive breast cancer (HPBC) that have previously been treated with trastuzumab and taxane. Although T-DM1 can be used for any line of treatment, it is accepted as one of the standard second-line regimens for the treatment of metastatic HPBC (8,9).

Thrombocytopenia is one of the adverse events observed during T-DM1 treatment and is the most common reason for dose reduction and treatment discontinuation (10–13). Although previous reports assert the opposite (14), recent studies have reported that a number of systemic toxicities, including thrombocytopenia, may predict T-DM1 efficacy (15,16). As it has been reported that the incidence of thrombocytopenia increases with prolonged T-DM1 treatment duration (17), the predictive value for survival outcome is debatable. Thus, the present study aimed to investigate whether early thrombocytopenia during T-DM1 treatment could predict survival rates.

Materials and methods

Study population and data collection

The present retrospective, multicenter study included patients at six oncology centers (Uludag University, Bursa; Dokuz Eylul University, İzmir; Ataturk City Hospital, Balıkesir; Inonu University, Malatya; Usak University, Usak; Bursa Medicana Hospital, Bursa) in Turkey from January 2016 to December 2021. The inclusion criteria required patients to: i) Have received at least two cycles of T-DM1 due to histopathologically confirmed advanced-stage HPBC; ii) be female; and iii) be ≥18 years old. To provide sufficient periods for the efficacy of the drug, the study excluded patients who did not receive any local treatment (surgery or radiotherapy) for symptomatic brain metastasis. Patients with a history of hematological disease or incomplete laboratory data during T-DM1 treatment were also excluded. T-DM1 was administered intravenously at a dose of 3.6 mg/kg on the first day of the treatment cycle, every 3 weeks. The dose reduction scheme provided by the Food and Drug Administration was followed in cases of toxicity (18). No endocrine therapy was administered concurrently with T-DM1.

After The Clinical Research Ethics Committee of Uludag University Faculty of Medicine (Bursa, Turkey) approved the study, the following variables of the patients were extracted from all electronic records in hospital databases: i) Age; ii) menopausal status; iii) expression of estrogen receptor; iv) expression of progesterone receptor; v) expression of HER2; vi) sites of metastasis; vii) previous treatment regimens; viii) treatment lines for metastatic disease; ix) Eastern Cooperative Oncology Group (ECOG) performance status scores (19); and x) pre- and post-treatment laboratory findings.

Definitions and outcomes

HER2 overexpression was defined as an immunohistochemistry (IHC) staining of 3+ or from a positive identification using in situ hybridization (ISH), and hormone receptor status was accepted as positive in patients with ≥1% expression for estrogen and/or progesterone receptor following the American Society of Clinical Oncology/College of American Pathologists guidelines (20,21). Response assessment was conducted according to the Response Evaluation Criteria for Solid Tumors (version 1.1) (22). The overall response rate (ORR) was defined as the proportion of patients that achieved a complete response (CR) or a partial response (PR). The disease control rate (DCR) was expressed as the percentage of patients with CR, PR and stable disease.

Response assessment was performed every 3–4 cycles of T-DM1 and more frequently in cases of clinical deterioration attributed to treatment failure. Time-to-treatment discontinuation (TTD) was defined as the interval from the date of initiating T-DM1 treatment to the date of treatment discontinuation or mortality. T-DM1 treatment was continued beyond radiological disease progression if a clinical benefit persisted according to the evaluation of the physician with local ablative therapies permitted. Overall survival (OS) was defined as the interval from the beginning of T-DM1 until mortality from any cause. Adverse events were graded using the National Cancer Institute Common Terminology Criteria for Adverse Events (version 5.0) (23). Thrombocytopenia attributed to infection or sepsis was not evaluated as an adverse event. Early thrombocytopenia was defined as the occurrence of thrombocytopenia in the first four cycles of T-DM1 treatment.

Statistical analysis

Statistical analyses were performed using SPSS (version 22; IBM Corp.). Continuous variables were expressed as median (minimum-maximum) values, and categorical variables were expressed as frequency and corresponding percentage values. Kaplan-Meier survival estimates were calculated, and comparisons were performed using the log-rank test. The possible factors affecting TTD were examined by Cox regression analysis. The enter model was used for parameters with P<0.20 in univariate analysis. P<0.05 was considered to indicate a statistically significant difference.

Results

The present study enrolled 138 patients and Table I presents the characteristics of the patients and tumors. The median age was 50 years (range, 26–83 years). Of the 138 patients, 58% were hormone receptor-positive, 83% had a HER2 score of 3+ in the IHC evaluation and 50% were post-menopausal. The majority of the patients (77%) presented with visceral metastasis and 41% had de novo metastatic disease. The most common site of metastasis was bone (55%), followed by the lung (50%) and non-regional lymph nodes (45%). The ECOG performance status score was <2 in 90% of the patients. Before T-DM1 administration, all of the patients had received trastuzumab, and 95% had received taxanes. Pertuzumab was administered to only 17% of the patients before T-DM1. The median number of lines of treatment for T-DM1 was 2 (range, 1–8) in metastatic cases.

Table I.

Baseline patient and disease characteristics and prior treatments for metastatic disease (n=138).

Table I.

Baseline patient and disease characteristics and prior treatments for metastatic disease (n=138).

CharacteristicMedian (range)n%
Age, years50.4 (25.5–82.9)
Histology
  Infiltrating duct carcinoma 13094.2
  Othera 85.8
Hormone receptor status
  Positive 8058.0
  Negative 5842.0
HER2 status
  IHC HER2 <3+ and 2417.4
  ISH positive
  IHC HER2 3+ 11482.6
Menopausal status
  Pre-menopausal 6950.0
  Post-menopausal 6950.0
Disease presentation
  Recurrent 8259.4
  De novo metastatic 5640.6
Disease involvement
  Visceral 10676.8
  Non-visceral 3223.2
Site of metastasis
  Bone 7655.1
  Lung 6950.0
  Lymph nodeb 6244.9
  Liver 4532.6
  Brain 2921.0
ECOG performance status score
  0 4633.3
  1 7856.5
  2 1410.2
Prior systemic agent
  Taxanes 13194.9
  Anthracycline 10173.2
  Lapatinib 3424.6
  Pertuzumab 2316.7
Line of T-DM1 treatment in the metastatic setting2 (1–8)
  1 118.0
  2 6849.3
  3 3827.5
  ≥4 2115.2

a Other, including invasive lobular and mixed carcinomas.

b Lymph node, non-regional lymph nodes. IHC, immunohistochemistry; ISH, in situ hybridization; ECOG, Eastern Cooperative Oncology Group; T-DM1, trastuzumab emtansine; HER2, human epithelial growth factor receptor 2.

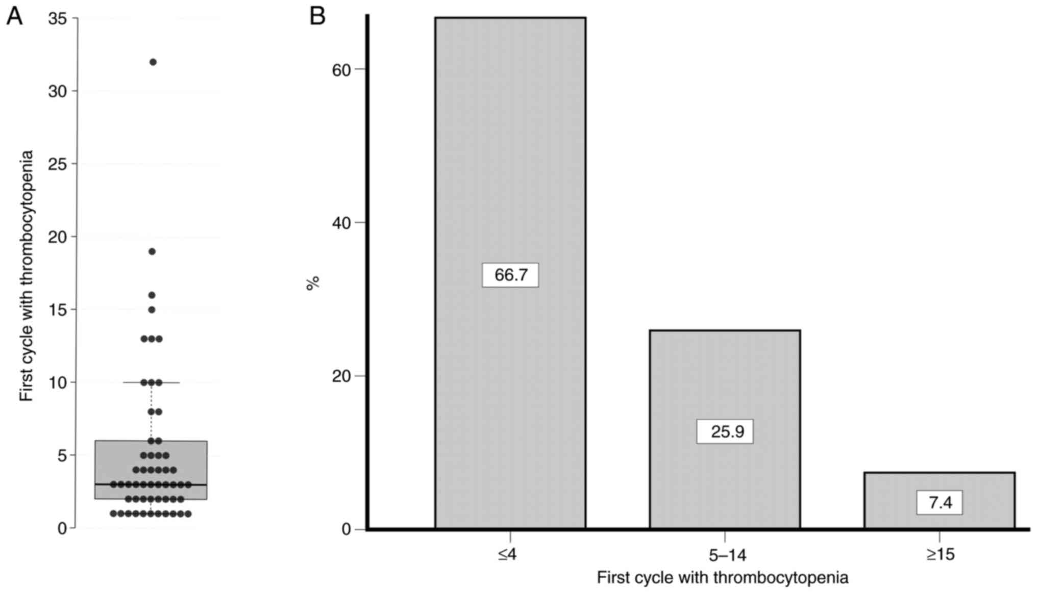
Tables II and III present the efficacy outcomes and laboratory toxicities of treatment with T-DM1, respectively. The median number of cycles was 9 (range, 2–58), and 33% of the patients received ≥15 cycles of T-DM1. Dose reduction for the subsequent cycle was performed in 12 patients (9%), and half of those were due to thrombocytopenia. At the time of data cut-off, 86% of the patients had experienced TTD events. The ORR and DCR were 50.0 and 69.6%, respectively. The most common all-grade adverse events were increased levels of hepatic enzymes (43 and 38% for AST and ALT, respectively), thrombocytopenia (39%) and anemia (38%). Among grade 3 and 4 toxicities, thrombocytopenia was the most common adverse event (10%). The median number of treatment cycles in which thrombocytopenia first appeared was 3 (range, 1–32) (Fig. 1A), and two-thirds of occurrences of thrombocytopenia (66.7%) were observed in the first four cycles (Fig. 1B).

Figure 1.

(A) Boxplot scheme of treatment cycles in which thrombocytopenia first occurred in the patients who experienced thrombocytopenia during treatment (n=54). (B) Distribution of treatment cycles in which thrombocytopenia first occurred in the patients with thrombocytopenia.

Table II.

Efficacy outcomes of treatment with trastuzumab emtansine.

Table II.

Efficacy outcomes of treatment with trastuzumab emtansine.

CharacteristicsMedian (minimum-maximum)n, n=138%
Cycles9 (2–58)
Dose reduction 128.7
TTD event 11986.2
Mortality 8863.8
Response
  Complete response 128.7
  Partial response 5741.3
  Overall response rate -50.0
  Stable disease 2719.6
  Disease control rate -69.6
  Progressive disease 4230.4

[i] TTD, time-to-treatment discontinuation.

Table III.

Adverse effects of treatment with trastuzumab emtansine.

Table III.

Adverse effects of treatment with trastuzumab emtansine.

Adverse eventAny grade, n (%)Grade 3 and 4, n (%)
AST increased59 (42.8)4 (2.9)
Thrombocytopenia54 (39.1)14 (10.2)
Anemia53 (38.4)2 (1.5)
ALT increased52 (37.7)6 (4.4)
Neutropenia20 (14.5)5 (3.6)
Hyperbilirubinemia14 (10.2)3 (2.2)
Hypokalemia13 (9.4)3 (2.2)

[i] AST, aspartate aminotransferase; ALT, alanine aminotransferase.

The median follow-up time was 19.3 months (range, 1–70 months). Based on the Kaplan-Meier analysis, the median TTD was 9.5 months [95% confidence interval (CI), 7.3–11.7] (Fig. 2A), and the median OS was 28.2 months (95% CI, 19.2–37.2) (Fig. 2B). Table IV presents univariate and multivariate Cox regression analyses for factors affecting the TTD of T-DM1. The multivariate analyses revealed that hormone receptor status [hazard ratio (HR), 1.837; 95% CI, 1.249–2.701; P=0.002], ECOG performance status score (HR, 3.269; 95% CI, 1.788–5.976; P<0.001) and thrombocytopenia during treatment (HR, 0.297; 95% CI, 0.198–0.446; P<0.001) were independent factors for TTD. Patients who were hormone receptor-positive and patients with high ECOG performance scores had an increased risk of an TTD event. By contrast, patients who developed thrombocytopenia during T-DM1 treatment had a reduced risk of developing a TTD event.

Figure 2.

Kaplan-Meier curves of (A) TTD and (B) OS of all patients. TTD, time-to-treatment discontinuation; OS, overall survival; CI, confidence interval.

Table IV.

Univariate and multivariate cox regression analysis of the predictors for time-to-treatment discontinuation.

Table IV.

Univariate and multivariate cox regression analysis of the predictors for time-to-treatment discontinuation.

Univariate analysisMultivariate analysis


FactorCategoryHR95% CIP-valueHR95% CIP-value
AgeYears1.0000.985–1.0160.996
Menopausal statusPre-men. (R) vs. post-men.0.9780.681–1.4060.906
Hormone receptor statusNegative (R) vs. positive1.5471.065–2.2470.0221.8371.249–2.7010.002a
HER2 statusIHC 3+ (R) vs. ISH positive1.1860.744–1.8920.474
HistotypeIDC (R) vs. other1.3300.646–2.7350.439
Disease presentationRecurrent (R) vs. de novo metastatic1.1110.765–1.6110.581
Visceral metastasisAbsent (R) vs. present1.2050.782–1.8580.397
CNS metastasisAbsent (R) vs. present1.1940.771–1.8500.427
ECOG performance score0–1 (R) vs. 23.2191.795–5.774<0.0013.2691.788–5.976 <0.001a
Pertuzumab before T-DM1Absent (R) vs. present1.1530.656–2.0260.620
Line of T-DM1<3 (R) vs. ≥31.0820.752–1.5570.671
ThrombocytopeniaNo (R) vs. yes0.3000.202–0.445<0.0010.2970.198–0.446 <0.001a
AST increasedNo (R) vs. yes0.9630.667–1.3900.841
ALT increasedNo (R) vs. yes1.1490.796–1.6590.458
HyperbilirubinemiaNo (R) vs. yes0.7360.404–1.3410.316
HypokalemiaNo (R) vs. yes0.9280.520–1.6560.928

a The Cox regression model is statistically significant (P<0.001). HR, hazard ratio; CI, confidential interval; R, reference category; IHC, immunohistochemistry; ISH, in situ hybridization; pre-men, pre-menopausal; post-men, post-menopausal; ECOG, Eastern Cooperative Oncology Group; IDC, invasive ductal carcinoma; T-DM1, trastuzumab emtansine; HER2, human epithelial growth factor receptor 2; AST, aspartate aminotransferase; ALT, alanine aminotransferase; CNS, central nervous system.

Fig. 3 presents the TTD survival curves according to thrombocytopenia. Patients with thrombocytopenia during treatment had a longer TTD (P<0.001) (Fig. 3A). As a longer duration of T-DM1 treatment was associated with a high incidence of thrombocytopenia, a further analysis was performed to evaluate whether thrombocytopenia was predictive of a prolonged survival time. A comparison of the survival rates between patients with and without early thrombocytopenia using a log-rank test revealed that patients with early thrombocytopenia had a significantly longer TTD of 17.3 months (95% CI, 11.8–22.8) compared with 7.6 months (95% CI, 5.8–9.4) for patients without early thrombocytopenia (P<0.001) (Fig. 3B).

Figure 3.

Kaplan-Meier curves of TTD according to (A) thrombocytopenia and (B) early thrombocytopenia (observed in the first four cycles), during trastuzumab emtansine treatment. TTD, time-to-treatment discontinuation.

Discussion

The present study evaluated the factors affecting survival time during T-DM1 treatment. It was revealed that increased survival time was associated with low ECOG performance scores, negative hormone receptor status and thrombocytopenia. Furthermore, thrombocytopenia that developed in the first four T-DM1 cycles was predictive of a longer TTD in T-DM1 treatment.

Thrombocytopenia has been identified as a characteristic of T-DM1 and as the most common grade ≥3 and dose-limiting adverse event in both clinical trials (10–12) and real-life studies (17,24,25). To the best of our knowledge, only two reports in the literature have studied the predictive value of thrombocytopenia during T-DM1 treatment. Tataroglu et al (16) reported that a multivariate Cox regression analysis of 78 patients demonstrated that patients with thrombocytopenia had longer progression-free survival (PFS) compared with those without thrombocytopenia, consistent with the results of the present study. In the second study, which evaluated 73 patients, Tang et al (15) proposed a toxicity score including thrombocytopenia and hepatitis. It was revealed that an increased toxicity score was associated with an improved response and prolonged PFS. However, Yardley et al (17) observed that the incidence of thrombocytopenia increased with T-DM1 cycles, and thrombocytopenia was more often observed in patients receiving >18 cycles of T-DM1 compared with in those receiving ≤18 cycles.

Considering that the incidence of thrombocytopenia increases with the duration of T-DM1 treatment, it is a matter of debate whether thrombocytopenia is an inevitable adverse event secondary to long-term use or is a predictive marker for improved survival rates. To investigate this issue, the survival rates of patients with thrombocytopenia in the first four T-DM1 cycles were compared with those without thrombocytopenia in the first four cycles after thrombocytopenia was confirmed as a significant independent factor for survival rate using a multivariate analysis. It was revealed that patients with early thrombocytopenia exhibited improved survival rates compared with those without early thrombocytopenia (17.3 vs. 7.6 months, respectively; P<0.001). Therefore, it was hypothesized that thrombocytopenia may be a predictive marker of TTD in treatment with T-DM1, considering that, in previous studies, the majority of instances of grade ≥3 thrombocytopenia had occurred within the first 42 days (4,26) and that 70% of total dose reductions due to adverse events had occurred within the first 4 months (27).

Experimental studies evaluating the potential mechanisms of thrombocytopenia have demonstrated that, rather than exerting a direct effect on platelets, T-DM1 inhibits the proliferation and differentiation of proplatelet precursors by disrupting microtubules after the uptake of megakaryocytes via micropinocytosis (28,29). Tang et al (15) hypothesized that emtansine molecules released from lysed HER2+ tumor cells after the administration of T-DM1 enter the systemic circulation and cause adverse events, such as hepatitis and thrombocytopenia, explaining the association between efficacy and adverse events. The findings of the present study and the high incidence of adverse effects in the first cycles of treatment, that is, during the period when the tumor burden was highest, are in agreement with this hypothesis, but it should be confirmed by further studies.

Treatment beyond radiological progression with targeted anticancer therapies, including tyrosine kinase inhibitors, anti-vascular endothelial growth factor and checkpoint inhibitors, has been studied in various solid organ malignancies, such as lung cancer, renal cell carcinoma and melanoma (30–37). These studies indicate that the continuation of these agents after progression could contribute to increased survival rates, especially in selected patients, and the significance of predictive markers in this regard has been observed. The unique adverse events of numerous targeted agents that occur during treatment have been associated with improved treatment responses and prolonged survival times (38–41). In this context, it is hypothesized that thrombocytopenia may be used to select patients to continue T-DM1 treatment in a post-progression setting after the predictive value is confirmed in large scale studies.

Other factors affecting TTD were the ECOG performance score and hormone receptor status. A low ECOG performance score was associated with improved survival outcomes, consistent with previous reports (16,42,43). It is hypothesized that the significantly shorter TTD of patients with a hormone receptor-positive status in the present study was associated with the preference of clinicians to discontinue T-DM1 and add endocrine therapy after radiological progression in these patients.

The main strength of the present study was the use of TTD instead of PFS as the endpoint. TTD was reported to inform the clinician regarding the continuation of an anticancer agent after objective progression, which is common in oncology practice, particularly for targeted agents, and has a high association with PFS, which is an objective evaluation (44). In addition, the present study included a relatively high number of patients compared with the aforementioned studies on the predictive value of thrombocytopenia. However, the present study also had limitations, including its retrospective design and the lack of toxicity data other than laboratory findings. Furthermore, factors impacting thrombocytopenia could not be analyzed due to a lack of associated data, such as pretreatment platelet counts, which have been identified as a strong predictor for thrombocytopenia during T-DM1 treatment (26). Moreover, tumor burden, one of the aspects affecting response in cancer treatments (45), could not be assessed due to the retrospective and multicenter design of the present study.

In conclusion, the patients that experienced thrombocytopenia in the first four cycles of T-DM1 treatment had a longer TTD compared with those without thrombocytopenia. Thus, future prospective studies and large-scale cohorts should aim to confirm the predictive role of thrombocytopenia for improved survival rates in order to maximize the potential benefit of T-DM1 treatment.

Acknowledgements

Not applicable.

Funding

Funding: No funding was received.

Availability of data and materials

The datasets used and/or analyzed during the current study are available from the corresponding author on reasonable request.

Authors' contributions

EC, TE and AS designed the study. The data were collected by AS, BC, BO, SO, AD, BH, IS, AG, MC and HO. GO and AS performed the data analysis. AS, TE, EC, AD and IS conducted the literature review. AS wrote the manuscript. BC, BO, BH, AG, HO and SO contributed significantly to the writing of the manuscript. TE, EC, AD and IS revised the manuscript critically for important intellectual content. AS, BC, BO, SO, AD, AG, HO, BH and MC confirm the authenticity of all the raw data. All authors read and approved the final version of the manuscript.

Ethics approval and consent to participate

The study was conducted in accordance with the ethical standards of the institutional research committee and the 1964 Declaration of Helsinki. The Clinical Research Ethics Committee of Uludag University Faculty of Medicine approved the study (Bursa, Turkey; approval no. 2022-18/46), waiving the need for informed consent due to the retrospective nature of the present study.

Patient consent for publication

Not applicable.

Competing interests

The authors declare that they have no competing interests.

References

1 

Siegel RL, Miller KD, Wagle NS and Jemal A: Cancer statistics, 2023. CA Cancer J Clin. 73:17–48. 2023. View Article : Google Scholar : PubMed/NCBI

2 

Noone AM, Cronin KA, Altekruse SF, Howlader N, Lewis DR, Petkov VI and Penberthy L: Cancer incidence and survival trends by subtype using data from the surveillance epidemiology and end results program, 1992–2013. Cancer Epidemiol Biomarkers Prev. 26:632–641. 2017. View Article : Google Scholar : PubMed/NCBI

3 

Ross JS, Slodkowska EA, Symmans WF, Pusztai L, Ravdin PM and Hortobagyi GN: The HER-2 receptor and breast cancer: Ten years of targeted anti-HER-2 therapy and personalized medicine. Oncologist. 14:320–368. 2009. View Article : Google Scholar : PubMed/NCBI

4 

Verma S, Miles D, Gianni L, Krop IE, Welslau M, Baselga J, Pegram M, Oh DY, Diéras V, Guardino E, et al: Trastuzumab emtansine for HER2-positive advanced breast cancer. N Engl J Med. 367:1783–1791. 2012. View Article : Google Scholar : PubMed/NCBI

5 

Fu Z, Li S, Han S, Shi C and Zhang Y: Antibody drug conjugate: The ‘biological missile’ for targeted cancer therapy. Signal Transduct Target Ther. 7:932022. View Article : Google Scholar : PubMed/NCBI

6 

Krop IE, Kim SB, González-Martín A, LoRusso PM, Ferrero JM, Smitt M, Yu R, Leung AC and Wildiers H; TH3RESA study collaborators, : Trastuzumab emtansine versus treatment of physician's choice for pretreated HER2-positive advanced breast cancer (TH3RESA): A randomised, open-label, phase 3 trial. Lancet Oncol. 15:689–699. 2014. View Article : Google Scholar : PubMed/NCBI

7 

Perez EA, Barrios C, Eiermann W, Toi M, Im YH, Conte P, Martin M, Pienkowski T, Pivot XB, Burris HA III, et al: Trastuzumab emtansine with or without pertuzumab versus trastuzumab with taxane for human epidermal growth factor receptor 2-positive advanced breast cancer: Final results from MARIANNE. Cancer. 125:3974–3984. 2019. View Article : Google Scholar : PubMed/NCBI

8 

Gennari A, André F, Barrios CH, Cortés J, de Azambuja E, DeMichele A, Dent R, Fenlon D, Gligorov J, Hurvitz SA, et al: ESMO clinical practice guideline for the diagnosis, staging and treatment of patients with metastatic breast cancer. Ann Oncol. 32:1475–1495. 2021. View Article : Google Scholar : PubMed/NCBI

9 

National Comprehensive Cancer Network, . Breast cancer version 4.2022, 2022. https://www.nccn.org/professionals/physician_gls/pdf/breast.pdfAugust 31–2022

10 

Diéras V, Miles D, Verma S, Pegram M, Welslau M, Baselga J, Krop IE, Blackwell K, Hoersch S, Xu J, et al: Trastuzumab emtansine versus capecitabine plus lapatinib in patients with previously treated HER2-positive advanced breast cancer (EMILIA): A descriptive analysis of final overall survival results from a randomised, open-label, phase 3 trial. Lancet Oncol. 18:732–742. 2017. View Article : Google Scholar : PubMed/NCBI

11 

Krop IE, Kim SB, Martin AG, LoRusso PM, Ferrero JM, Badovinac-Crnjevic T, Hoersch S, Smitt M and Wildiers H: Trastuzumab emtansine versus treatment of physician's choice in patients with previously treated HER2-positive metastatic breast cancer (TH3RESA): Final overall survival results from a randomised open-label phase 3 trial. Lancet Oncol. 18:743–754. 2017. View Article : Google Scholar : PubMed/NCBI

12 

Montemurro F, Ellis P, Anton A, Wuerstlein R, Delaloge S, Bonneterre J, Quenel-Tueux N, Linn SC, Irahara N, Donica M, et al: Safety of trastuzumab emtansine (T-DM1) in patients with HER2-positive advanced breast cancer: Primary results from the KAMILLA study cohort 1. Eur J Cancer. 109:92–102. 2019. View Article : Google Scholar : PubMed/NCBI

13 

Liu F, Ke J and Song Y: T-DM1-induced thrombocytopenia in breast cancer patients: New perspectives. Biomed Pharmacother. 129:1104072020. View Article : Google Scholar : PubMed/NCBI

14 

Girish S, Gupta M, Wang B, Lu D, Krop IE, Vogel CL, Burris Iii HA, LoRusso PM, Yi JH, Saad O, et al: Clinical pharmacology of trastuzumab emtansine (T-DM1): An antibody-drug conjugate in development for the treatment of HER2-positive cancer. Cancer Chemother Pharmacol. 69:1229–1240. 2012. View Article : Google Scholar : PubMed/NCBI

15 

Tang SC, Capra CL, Ajebo GH, Meza-Junco J, Mairs S, Craft BS, Zhu X, Maihle N and Hillegass WB: Systemic toxicities of trastuzumab-emtansine predict tumor response in HER2+ metastatic breast cancer. Int J Cancer. 149:909–916. 2021.(Epub ahead of print). View Article : Google Scholar : PubMed/NCBI

16 

Tataroglu Ozyukseler D, Basak M, Ay S, Koseoglu A, Arıcı S, Oyman A, Sürmeli H, Turan M, Turan N, Odabaş H and E Yıldırım M: Prognostic factors of ado-trastuzumab emtansine treatment in patients with metastatic HER-2 positive breast cancer. J Oncol Pharm Pract. 27:547–554. 2021. View Article : Google Scholar : PubMed/NCBI

17 

Yardley DA, Krop IE, LoRusso PM, Mayer M, Barnett B, Yoo B and Perez EA: Trastuzumab emtansine (T-DM1) in patients With HER2-positive metastatic breast cancer previously treated with chemotherapy and 2 or more HER2-targeted agents: Results from the T-PAS expanded access study. Cancer J. 21:357–364. 2015. View Article : Google Scholar : PubMed/NCBI

18 

U.S. Food and Drug Administration (FDA), . FDA approves ado-trastuzumab emtansine for early breast cancer. FDA, Silver Spring, MD. 2019.https://www.fda.gov/drugs/resources-information-approved-drugs/fda-approves-ado-trastuzumab-emtansine-early-breast-cancer

19 

Oken MM, Creech RH, Tormey DC, Horton J, Davis TE, McFadden ET and Carbone PP: Toxicity and response criteria of the eastern cooperative oncology group. Am J Clin Oncol. 5:649–655. 1982. View Article : Google Scholar : PubMed/NCBI

20 

Allison KH, Hammond MEH, Dowsett M, McKernin SE, Carey LA, Fitzgibbons PL, Hayes DF, Lakhani SR, Chavez-MacGregor M, Perlmutter J, et al: Estrogen and progesterone receptor testing in breast cancer: ASCO/CAP guideline update. J Clin Oncol. 38:1346–1366. 2020. View Article : Google Scholar : PubMed/NCBI

21 

Wolff AC, Hammond MEH, Allison KH, Harvey BE, Mangu PB, Bartlett JMS, Bilous M, Ellis IO, Fitzgibbons P, Hanna W, et al: Human epidermal growth factor receptor 2 testing in breast cancer: American society of clinical oncology/college of American pathologists clinical practice guideline focused update. Arch Pathol Lab Med. 142:1364–1382. 2018. View Article : Google Scholar : PubMed/NCBI

22 

Eisenhauer EA, Therasse P, Bogaerts J, Schwartz LH, Sargent D, Ford R, Dancey J, Arbuck S, Gwyther S, Mooney M, et al: New response evaluation criteria in solid tumours: Revised RECIST guideline (version 1.1). Eur J Cancer. 45:228–247. 2009. View Article : Google Scholar : PubMed/NCBI

23 

NCI, . Common terminology criteria for adverse events v5.0, 2017. https://ctep.cancer.gov/protocoldevelopment/electronic_applications/docs/CTCAE_v5_Quick_Reference_8.5×11.pdfApril 19–2020

24 

Fabi A, De Laurentiis M, Caruso M, Valle E, Moscetti L, Santini D, Cannita K, Carbognin L, Ciccarese M, Rossello R, et al: Efficacy and safety of T-DM1 in the ‘common-practice’ of HER2+ advanced breast cancer setting: A multicenter study. Oncotarget. 8:64481–64489. 2017. View Article : Google Scholar : PubMed/NCBI

25 

Yeo W, Luk MY, Soong IS, Yuen TY, Ng TY, Mo FK, Chan K, Wong SY, Tsang J, Leung C, et al: Efficacy and tolerability of trastuzumab emtansine in advanced human epidermal growth factor receptor 2-positive breast cancer. Hong Kong Med J. 24:56–62. 2018.PubMed/NCBI

26 

Modi ND, Sorich MJ, Rowland A, McKinnon RA, Koczwara B, Wiese MD and Hopkins AM: Predicting thrombocytopenia in patients with breast cancer treated with ado-trastuzumab emtansine. Clin Breast Cancer. 20:e220–e228. 2020. View Article : Google Scholar : PubMed/NCBI

27 

Tang E, Rowland A, McKinnon RA, Sorich MJ and Hopkins AM: Effect of early adverse events resulting in ado-trastuzumab emtansine dose adjustments on survival outcomes of HER2+ advanced breast cancer patients. Breast Cancer Res Treat. 178:473–477. 2019. View Article : Google Scholar : PubMed/NCBI

28 

Thon JN, Devine MT, Begonja AJ, Tibbitts J and Italiano JE Jr: High-content live-cell imaging assay used to establish mechanism of trastuzumab emtansine (T-DM1)-mediated inhibition of platelet production. Blood. 120:1975–1984. 2012. View Article : Google Scholar : PubMed/NCBI

29 

Zhao H, Gulesserian S, Ganesan SK, Ou J, Morrison K, Zeng Z, Robles V, Snyder J, Do L, Aviña H, et al: Inhibition of megakaryocyte differentiation by antibody-drug conjugates (ADCs) is mediated by macropinocytosis: Implications for ADC-induced thrombocytopenia. Mol Cancer Ther. 16:1877–1886. 2017. View Article : Google Scholar : PubMed/NCBI

30 

Park K, Yu CJ, Kim SW, Lin MC, Sriuranpong V, Tsai CM, Lee JS, Kang JH, Chan KC, Perez-Moreno P, et al: First-line erlotinib therapy until and beyond response evaluation criteria in solid tumors progression in asian patients with epidermal growth factor receptor mutation-positive non-small-cell lung cancer: The ASPIRATION study. JAMA Oncol. 2:305–312. 2016. View Article : Google Scholar : PubMed/NCBI

31 

Haddad R, Concha-Benavente F, Blumenschein G Jr, Fayette J, Guigay J, Colevas AD, Licitra L, Kasper S, Vokes EE, Worden F, et al: Nivolumab treatment beyond RECIST-defined progression in recurrent or metastatic squamous cell carcinoma of the head and neck in CheckMate 141: A subgroup analysis of a randomized phase 3 clinical trial. Cancer. 125:3208–3218. 2019. View Article : Google Scholar : PubMed/NCBI

32 

Goto Y, Tanai C, Yoh K, Hosomi Y, Sakai H, Kato T, Kaburagi T, Nishio M, Kim YH, Inoue A, et al: Continuing EGFR-TKI beyond radiological progression in patients with advanced or recurrent, EGFR mutation-positive non-small-cell lung cancer: An observational study. ESMO Open. 2:e0002142017. View Article : Google Scholar : PubMed/NCBI

33 

Escudier B, Motzer RJ, Sharma P, Wagstaff J, Plimack ER, Hammers HJ, Donskov F, Gurney H, Sosman JA, Zalewski PG, et al: Treatment beyond progression in patients with advanced renal cell carcinoma treated with nivolumab in CheckMate 025. Eur Urol. 72:368–376. 2017. View Article : Google Scholar : PubMed/NCBI

34 

Ge X, Zhang Z, Zhang S, Yuan F, Zhang F, Yan X, Han X, Ma J, Wang L, Tao H, et al: Immunotherapy beyond progression in patients with advanced non-small cell lung cancer. Transl Lung Cancer Res. 9:2391–2400. 2020. View Article : Google Scholar : PubMed/NCBI

35 

Czarnecka AM, Sobczuk P, Rogala P, Świtaj T, Placzke J, Kozak K, Mariuk-Jarema A, Spałek M, Dudzisz-Śledź M, Teterycz P, et al: Efficacy of immunotherapy beyond RECIST progression in advanced melanoma: A real-world evidence. Cancer Immunol Immunother. 71:1949–1958. 2022. View Article : Google Scholar : PubMed/NCBI

36 

Bennouna J, Sastre J, Arnold D, Österlund P, Greil R, Van Cutsem E, von Moos R, Viéitez JM, Bouché O, Borg C, et al: Continuation of bevacizumab after first progression in metastatic colorectal cancer (ML18147): A randomised phase 3 trial. Lancet Oncol. 14:29–37. 2013. View Article : Google Scholar : PubMed/NCBI

37 

Guven DC, Yekeduz E, Erul E, Yazgan SC, Sahin TK, Karatas G, Aksoy S, Erman M, Yalcin S, Urun Y and Kilickap S: The benefit of treatment beyond progression with immune checkpoint inhibitors: A multi-center retrospective cohort study. J Cancer Res Clin Oncol. 149:3599–3606. 2023. View Article : Google Scholar : PubMed/NCBI

38 

Liu Y, Zhou L, Chen Y, Liao B, Ye D, Wang K and Li H: Hypertension as a prognostic factor in metastatic renal cell carcinoma treated with tyrosine kinase inhibitors: A systematic review and meta-analysis. BMC Urol. 19:492019. View Article : Google Scholar : PubMed/NCBI

39 

Ou SHI, Tong WP, Azada M, Siwak-Tapp C, Dy J and Stiber JA: Heart rate decrease during crizotinib treatment and potential correlation to clinical response. Cancer. 119:1969–1975. 2013. View Article : Google Scholar : PubMed/NCBI

40 

Bar-Ad V, Zhang QE, Harari PM, Axelrod R, Rosenthal DI, Trotti A, Jones CU, Garden AS, Song G, Foote RL, et al: Correlation between the severity of cetuximab-induced skin rash and clinical outcome for head and neck cancer patients: The RTOG experience. Int J Radiat Oncol Biol Phys. 95:pp1346–1354. 2016. View Article : Google Scholar : PubMed/NCBI

41 

Holch JW, Held S, Stintzing S, Fischer von Weikersthal L, Decker T, Kiani A, Kaiser F, Heintges T, Kahl C, Kullmann F, et al: Relation of cetuximab-induced skin toxicity and early tumor shrinkage in metastatic colorectal cancer patients: Results of the randomized phase 3 trial FIRE-3 (AIO KRK0306). Ann Oncol. 31:72–78. 2020. View Article : Google Scholar : PubMed/NCBI

42 

Vici P, Pizzuti L, Michelotti A, Sperduti I, Natoli C, Mentuccia L, Di Lauro L, Sergi D, Marchetti P, Santini D, et al: A retrospective multicentric observational study of trastuzumab emtansine in HER2 positive metastatic breast cancer: A real-world experience. Oncotarget. 8:56921–56931. 2017. View Article : Google Scholar : PubMed/NCBI

43 

Hopkins AM, Rowland A, Logan JM and Sorich MJ: Primary predictors of survival outcomes for HER2-positive advanced breast cancer patients initiating ado-trastuzumab emtansine. Breast. 46:90–94. 2019. View Article : Google Scholar : PubMed/NCBI

44 

Blumenthal GM, Gong Y, Kehl K, Mishra-Kalyani P, Goldberg KB, Khozin S, Kluetz PG, Oxnard GR and Pazdur R: Analysis of time-to-treatment discontinuation of targeted therapy, immunotherapy, and chemotherapy in clinical trials of patients with non-small-cell lung cancer. Ann Oncol. 30:830–838. 2019. View Article : Google Scholar : PubMed/NCBI

45 

Dall'Olio FG, Marabelle A, Caramella C, Garcia C, Aldea M, Chaput N, Robert C and Besse B: Tumour burden and efficacy of immune-checkpoint inhibitors. Nat Rev Clin Oncol. 19:75–90. 2022. View Article : Google Scholar : PubMed/NCBI

Related Articles

  • Abstract
  • View
  • Download
  • Twitter
Copy and paste a formatted citation
Spandidos Publications style
Sahin AB, Caner B, Ocak B, Gulmez A, Hamitoglu B, Cubukcu E, Deligonul A, Orhan SO, Canhoroz M, Odman HU, Odman HU, et al: Early thrombocytopenia predicts longer time‑to‑treatment discontinuation in trastuzumab emtansine treatment. Oncol Lett 26: 523, 2023.
APA
Sahin, A.B., Caner, B., Ocak, B., Gulmez, A., Hamitoglu, B., Cubukcu, E. ... Evrensel, T. (2023). Early thrombocytopenia predicts longer time‑to‑treatment discontinuation in trastuzumab emtansine treatment. Oncology Letters, 26, 523. https://doi.org/10.3892/ol.2023.14110
MLA
Sahin, A. B., Caner, B., Ocak, B., Gulmez, A., Hamitoglu, B., Cubukcu, E., Deligonul, A., Orhan, S. O., Canhoroz, M., Odman, H. U., Somali, I., Ocakoglu, G., Evrensel, T."Early thrombocytopenia predicts longer time‑to‑treatment discontinuation in trastuzumab emtansine treatment". Oncology Letters 26.6 (2023): 523.
Chicago
Sahin, A. B., Caner, B., Ocak, B., Gulmez, A., Hamitoglu, B., Cubukcu, E., Deligonul, A., Orhan, S. O., Canhoroz, M., Odman, H. U., Somali, I., Ocakoglu, G., Evrensel, T."Early thrombocytopenia predicts longer time‑to‑treatment discontinuation in trastuzumab emtansine treatment". Oncology Letters 26, no. 6 (2023): 523. https://doi.org/10.3892/ol.2023.14110
Copy and paste a formatted citation
x
Spandidos Publications style
Sahin AB, Caner B, Ocak B, Gulmez A, Hamitoglu B, Cubukcu E, Deligonul A, Orhan SO, Canhoroz M, Odman HU, Odman HU, et al: Early thrombocytopenia predicts longer time‑to‑treatment discontinuation in trastuzumab emtansine treatment. Oncol Lett 26: 523, 2023.
APA
Sahin, A.B., Caner, B., Ocak, B., Gulmez, A., Hamitoglu, B., Cubukcu, E. ... Evrensel, T. (2023). Early thrombocytopenia predicts longer time‑to‑treatment discontinuation in trastuzumab emtansine treatment. Oncology Letters, 26, 523. https://doi.org/10.3892/ol.2023.14110
MLA
Sahin, A. B., Caner, B., Ocak, B., Gulmez, A., Hamitoglu, B., Cubukcu, E., Deligonul, A., Orhan, S. O., Canhoroz, M., Odman, H. U., Somali, I., Ocakoglu, G., Evrensel, T."Early thrombocytopenia predicts longer time‑to‑treatment discontinuation in trastuzumab emtansine treatment". Oncology Letters 26.6 (2023): 523.
Chicago
Sahin, A. B., Caner, B., Ocak, B., Gulmez, A., Hamitoglu, B., Cubukcu, E., Deligonul, A., Orhan, S. O., Canhoroz, M., Odman, H. U., Somali, I., Ocakoglu, G., Evrensel, T."Early thrombocytopenia predicts longer time‑to‑treatment discontinuation in trastuzumab emtansine treatment". Oncology Letters 26, no. 6 (2023): 523. https://doi.org/10.3892/ol.2023.14110
Follow us
  • Twitter
  • LinkedIn
  • Facebook
About
  • Spandidos Publications
  • Careers
  • Cookie Policy
  • Privacy Policy
How can we help?
  • Help
  • Live Chat
  • Contact
  • Email to our Support Team