Spandidos Publications Logo
  • About
    • About Spandidos
    • Aims and Scopes
    • Abstracting and Indexing
    • Editorial Policies
    • Reprints and Permissions
    • Job Opportunities
    • Terms and Conditions
    • Contact
  • Journals
    • All Journals
    • Oncology Letters
      • Oncology Letters
      • Information for Authors
      • Editorial Policies
      • Editorial Board
      • Aims and Scope
      • Abstracting and Indexing
      • Bibliographic Information
      • Archive
    • International Journal of Oncology
      • International Journal of Oncology
      • Information for Authors
      • Editorial Policies
      • Editorial Board
      • Aims and Scope
      • Abstracting and Indexing
      • Bibliographic Information
      • Archive
    • Molecular and Clinical Oncology
      • Molecular and Clinical Oncology
      • Information for Authors
      • Editorial Policies
      • Editorial Board
      • Aims and Scope
      • Abstracting and Indexing
      • Bibliographic Information
      • Archive
    • Experimental and Therapeutic Medicine
      • Experimental and Therapeutic Medicine
      • Information for Authors
      • Editorial Policies
      • Editorial Board
      • Aims and Scope
      • Abstracting and Indexing
      • Bibliographic Information
      • Archive
    • International Journal of Molecular Medicine
      • International Journal of Molecular Medicine
      • Information for Authors
      • Editorial Policies
      • Editorial Board
      • Aims and Scope
      • Abstracting and Indexing
      • Bibliographic Information
      • Archive
    • Biomedical Reports
      • Biomedical Reports
      • Information for Authors
      • Editorial Policies
      • Editorial Board
      • Aims and Scope
      • Abstracting and Indexing
      • Bibliographic Information
      • Archive
    • Oncology Reports
      • Oncology Reports
      • Information for Authors
      • Editorial Policies
      • Editorial Board
      • Aims and Scope
      • Abstracting and Indexing
      • Bibliographic Information
      • Archive
    • Molecular Medicine Reports
      • Molecular Medicine Reports
      • Information for Authors
      • Editorial Policies
      • Editorial Board
      • Aims and Scope
      • Abstracting and Indexing
      • Bibliographic Information
      • Archive
    • World Academy of Sciences Journal
      • World Academy of Sciences Journal
      • Information for Authors
      • Editorial Policies
      • Editorial Board
      • Aims and Scope
      • Abstracting and Indexing
      • Bibliographic Information
      • Archive
    • International Journal of Functional Nutrition
      • International Journal of Functional Nutrition
      • Information for Authors
      • Editorial Policies
      • Editorial Board
      • Aims and Scope
      • Abstracting and Indexing
      • Bibliographic Information
      • Archive
    • International Journal of Epigenetics
      • International Journal of Epigenetics
      • Information for Authors
      • Editorial Policies
      • Editorial Board
      • Aims and Scope
      • Abstracting and Indexing
      • Bibliographic Information
      • Archive
    • Medicine International
      • Medicine International
      • Information for Authors
      • Editorial Policies
      • Editorial Board
      • Aims and Scope
      • Abstracting and Indexing
      • Bibliographic Information
      • Archive
  • Articles
  • Information
    • Information for Authors
    • Information for Reviewers
    • Information for Librarians
    • Information for Advertisers
    • Conferences
  • Language Editing
Spandidos Publications Logo
  • About
    • About Spandidos
    • Aims and Scopes
    • Abstracting and Indexing
    • Editorial Policies
    • Reprints and Permissions
    • Job Opportunities
    • Terms and Conditions
    • Contact
  • Journals
    • All Journals
    • Biomedical Reports
      • Information for Authors
      • Editorial Policies
      • Editorial Board
      • Aims and Scope
      • Abstracting and Indexing
      • Bibliographic Information
      • Archive
    • Experimental and Therapeutic Medicine
      • Information for Authors
      • Editorial Policies
      • Editorial Board
      • Aims and Scope
      • Abstracting and Indexing
      • Bibliographic Information
      • Archive
    • International Journal of Epigenetics
      • Information for Authors
      • Editorial Policies
      • Editorial Board
      • Aims and Scope
      • Abstracting and Indexing
      • Bibliographic Information
      • Archive
    • International Journal of Functional Nutrition
      • Information for Authors
      • Editorial Policies
      • Editorial Board
      • Aims and Scope
      • Abstracting and Indexing
      • Bibliographic Information
      • Archive
    • International Journal of Molecular Medicine
      • Information for Authors
      • Editorial Policies
      • Editorial Board
      • Aims and Scope
      • Abstracting and Indexing
      • Bibliographic Information
      • Archive
    • International Journal of Oncology
      • Information for Authors
      • Editorial Policies
      • Editorial Board
      • Aims and Scope
      • Abstracting and Indexing
      • Bibliographic Information
      • Archive
    • Medicine International
      • Information for Authors
      • Editorial Policies
      • Editorial Board
      • Aims and Scope
      • Abstracting and Indexing
      • Bibliographic Information
      • Archive
    • Molecular and Clinical Oncology
      • Information for Authors
      • Editorial Policies
      • Editorial Board
      • Aims and Scope
      • Abstracting and Indexing
      • Bibliographic Information
      • Archive
    • Molecular Medicine Reports
      • Information for Authors
      • Editorial Policies
      • Editorial Board
      • Aims and Scope
      • Abstracting and Indexing
      • Bibliographic Information
      • Archive
    • Oncology Letters
      • Information for Authors
      • Editorial Policies
      • Editorial Board
      • Aims and Scope
      • Abstracting and Indexing
      • Bibliographic Information
      • Archive
    • Oncology Reports
      • Information for Authors
      • Editorial Policies
      • Editorial Board
      • Aims and Scope
      • Abstracting and Indexing
      • Bibliographic Information
      • Archive
    • World Academy of Sciences Journal
      • Information for Authors
      • Editorial Policies
      • Editorial Board
      • Aims and Scope
      • Abstracting and Indexing
      • Bibliographic Information
      • Archive
  • Articles
  • Information
    • For Authors
    • For Reviewers
    • For Librarians
    • For Advertisers
    • Conferences
  • Language Editing
Login Register Submit
  • This site uses cookies
  • You can change your cookie settings at any time by following the instructions in our Cookie Policy. To find out more, you may read our Privacy Policy.

    I agree
Search articles by DOI, keyword, author or affiliation
Search
Advanced Search
presentation
Oncology Letters
Join Editorial Board Propose a Special Issue
Print ISSN: 1792-1074 Online ISSN: 1792-1082
Journal Cover
March-2024 Volume 27 Issue 3

Full Size Image

Sign up for eToc alerts
Recommend to Library

Journals

International Journal of Molecular Medicine

International Journal of Molecular Medicine

International Journal of Molecular Medicine is an international journal devoted to molecular mechanisms of human disease.

International Journal of Oncology

International Journal of Oncology

International Journal of Oncology is an international journal devoted to oncology research and cancer treatment.

Molecular Medicine Reports

Molecular Medicine Reports

Covers molecular medicine topics such as pharmacology, pathology, genetics, neuroscience, infectious diseases, molecular cardiology, and molecular surgery.

Oncology Reports

Oncology Reports

Oncology Reports is an international journal devoted to fundamental and applied research in Oncology.

Experimental and Therapeutic Medicine

Experimental and Therapeutic Medicine

Experimental and Therapeutic Medicine is an international journal devoted to laboratory and clinical medicine.

Oncology Letters

Oncology Letters

Oncology Letters is an international journal devoted to Experimental and Clinical Oncology.

Biomedical Reports

Biomedical Reports

Explores a wide range of biological and medical fields, including pharmacology, genetics, microbiology, neuroscience, and molecular cardiology.

Molecular and Clinical Oncology

Molecular and Clinical Oncology

International journal addressing all aspects of oncology research, from tumorigenesis and oncogenes to chemotherapy and metastasis.

World Academy of Sciences Journal

World Academy of Sciences Journal

Multidisciplinary open-access journal spanning biochemistry, genetics, neuroscience, environmental health, and synthetic biology.

International Journal of Functional Nutrition

International Journal of Functional Nutrition

Open-access journal combining biochemistry, pharmacology, immunology, and genetics to advance health through functional nutrition.

International Journal of Epigenetics

International Journal of Epigenetics

Publishes open-access research on using epigenetics to advance understanding and treatment of human disease.

Medicine International

Medicine International

An International Open Access Journal Devoted to General Medicine.

Journal Cover
March-2024 Volume 27 Issue 3

Full Size Image

Sign up for eToc alerts
Recommend to Library

  • Article
  • Citations
    • Cite This Article
    • Download Citation
    • Create Citation Alert
    • Remove Citation Alert
    • Cited By
  • Similar Articles
    • Related Articles (in Spandidos Publications)
    • Similar Articles (Google Scholar)
    • Similar Articles (PubMed)
  • Download PDF
  • Download XML
  • View XML
Article Open Access

Predictive value of multiple imaging predictive models for spread through air spaces of lung adenocarcinoma: A systematic review and network meta‑analysis

  • Authors:
    • Cong Liu
    • Yu-Feng Wang
    • Peng Wang
    • Feng Guo
    • Hong-Ying Zhao
    • Qiang Wang
    • Zhi-Wei Shi
    • Xiao-Feng Li
  • View Affiliations / Copyright

    Affiliations: Department of Minimally Invasive Oncology, Xuzhou New Health Hospital (The Xuzhou Hospital Affiliated to Jiangsu University), Xuzhou, Jiangsu 221000, P.R. China, Department of Nuclear Medicine, Xuzhou Cancer Hospital (The Xuzhou Hospital Affiliated to Jiangsu University), Xuzhou, Jiangsu 221000, P.R. China, Department of Medical Oncology, Xuzhou Cancer Hospital (The Xuzhou Hospital Affiliated to Jiangsu University), Xuzhou, Jiangsu 221000, P.R. China, Department of Radiotherapy, Xuzhou Cancer Hospital (The Xuzhou Hospital Affiliated to Jiangsu University), Xuzhou, Jiangsu 221000, P.R. China, Department of Radiology, Xuzhou Cancer Hospital (The Xuzhou Hospital Affiliated to Jiangsu University), Xuzhou, Jiangsu 221000, P.R. China
    Copyright: © Liu et al. This is an open access article distributed under the terms of Creative Commons Attribution License.
  • Article Number: 122
    |
    Published online on: January 25, 2024
       https://doi.org/10.3892/ol.2024.14255
  • Expand metrics +
Metrics: Total Views: 0 (Spandidos Publications: | PMC Statistics: )
Metrics: Total PDF Downloads: 0 (Spandidos Publications: | PMC Statistics: )
Cited By (CrossRef): 0 citations Loading Articles...

This article is mentioned in:


Abstract

Spread Through Air Spaces (STAS) is involved in lung adenocarcinoma (LUAD) recurrence, where cancer cells spread into adjacent lung tissue, impacting surgical planning and prognosis assessment. Radiomics‑based models show promise in predicting STAS preoperatively, enhancing surgical precision and prognostic evaluations. The present study performed network meta‑analysis to assess the predictive efficacy of imaging models for STAS in LUAD. Data were systematically sourced from PubMed, Embase, Scopus, Wiley and Web of Science, according to the Cochrane Handbook for Systematic Reviews of Interventions) and A Measurement Tool to Assess systematic Reviews 2. Using Stata software v17.0 for meta‑analysis, surface under the cumulative ranking area (SUCRA) was applied to identify the most effective diagnostic method. Quality assessments were performed using Cochrane Collaboration's risk‑of‑bias tool and publication bias was assessed using Deeks' funnel plot. The analysis encompassed 14 articles, involving 3,734 patients, and assessed 17 predictive models for STAS in LUAD. According to comprehensive analysis of SUCRA, the machine learning (ML)_Peri_tumour model had the highest accuracy (56.5), the Features_computed tomography (CT) model had the highest sensitivity (51.9) and the positron emission tomography (pet)_CT model had the highest specificity (53.9). ML_Peri_tumour model had the highest predictive performance. The accuracy was as follows: ML_Peri_tumour vs. Features_CT [relative risk (RR)=1.14; 95% confidence interval (CI), 0.99‑1.32]; ML_Peri_tumour vs. ML_Tumour (RR=1.04; 95% CI, 0.83‑1.30) and ML_Peri_tumour vs. pet_CT (RR=1.04; 95% CI, 0.84‑1.29). Comparative analyses revealed heightened predictive accuracy of the ML_Peri_tumour compared with other models. Nonetheless, the field of radiological feature analysis for STAS prediction remains nascent, necessitating improvements in technical reproducibility and comprehensive model evaluation.

Introduction

Lung cancer, particularly lung adenocarcinoma (LUAD), is a major contributor to cancer-associated mortality worldwide, accounting for approximately 11.4% of all global cancer cases and 18.0% of cancer-related deaths. This prominence is potentially linked to its unique patterns of invasion. (1). Aside from infiltration of myofibroblast stroma, lymphovascular and pleural invasion, spread through air spaces (STAS) has emerged as an invasion pattern in LUAD (2). It was identified initially by Kadota et al (3) and recognized as a distinct form of tumor spread in the 2015 World Health Organization classification (3). STAS is characterized by presence of micropapillary clusters, solid nests or individual cells in lung parenchyma air spaces beyond the tumor margin (4). The current diagnostic methodology for STAS is analysis of pathological specimens obtained from lung tissues excised during surgical procedures in patients (5). It is found in 14.8–56.4% of LUAD cases and is associated with lower survival rates and a worse prognosis compared with STAS-negative tumors. Therefore, identification of STAS can provide key information for the clinical treatment of patients with LUAD (6,7). Reports indicate a significant risk of local and distant recurrence in STAS-positive cases treated with sublobar resection (3,8), whereas patients who undergo lobectomy have no increased recurrence risk. Thus, early detection of STAS is of clinical importance.

Radiomics, the conversion of radiographic images into quantifiable information, offers the potential to improve diagnosis, prognosis and the development of predictive models (9–11). Previous advancements in predicting STAS status in LUAD using radiomics methods reported promising results (12,13). However, bridging the gap between radiomics as a research tool and its clinical implementation presents challenges, including technical reproducibility, clinical validity, quantification and cost-effectiveness. There is also notable heterogeneity in previous studies, with lack of comprehensive evaluation of the performance of radiomics in predicting STAS in LUAD (14). Identifying factors affecting the predictive performance of radiomics is key for its clinical use. Several radiomics models employing computed tomography (CT), magnetic resonance imaging and positron emission tomography (PET)/CT have been developed for predicting STAS, showing diverse performance and indicating methodological variability (15,16). However, to date, there are no relevant network meta-analyses to evaluate the predictive value of these models, to the best of our knowledge. Therefore, the present study aimed to assess the risk of bias and methodological quality and to perform a network meta-analysis (NMA) to evaluate the effectiveness of radiomics models in predicting preoperative STAS in LUAD. This may be valuable for clinicians, radiologists and researchers in the field of LUAD diagnosis and treatment.

Materials and methods

Protocol and registration

The present review was performed in accordance with AMSTAR 2 (17). The methods and protocol for the present study were pre-registered, in accordance with standard procedures, in the International Platform of Registered Systematic Review and Meta-analysis Protocols (registration no. 202390105; DOI: 10.37766/inplasy2023.9.0105).

Retrieval strategy

A comprehensive literature search was performed using the following key terms: ‘Risk factor’, ‘predictive’, ‘spread through air spaces’, ‘lung adenocarcinoma’ and ‘nomograms’. This search used the PubMed (pubmed.ncbi.nlm.nih.gov/), Embase (embase.com/),Scopus(https://www.scopus.com/),Wiley(https://onlinelibrary.wiley.com/) and Web of Science(https://www.webofscience.com/wos/) databases, with a cut-off date of May 1, 2023. The references of included studies were also systematically reviewed to obtain potentially relevant publications (Table I).

Table I.

Search strategy.

Table I.

Search strategy.

DatabaseSearch queryNumber of results
PubMed(spread through air spaces [Mesh] OR STAS [Mesh] OR spread through air spaces [Title/Abstract] OR STAS [Title/Abstract]) AND (Lung cancer [Mesh] OR Lung adenocarcinoma [Mesh] OR Adenocarcinoma of Lung [Mesh] OR Lung cancer [Title/Abstract] OR Lung adenocarcinoma [Title/Abstract] OR Adenocarcinoma of Lung [Title/Abstract]) AND (Risk factor [Mesh] OR Prediction [Mesh] OR Nomograms [Mesh] OR Risk factor [Title/Abstract] OR Prediction [Title/Abstract] OR Nomograms [Title/Abstract])64
Embase((STAS)/br OR ((‘spread through air spaces’):ti)) AND ((Adenocarcinoma of Lung)/br OR ((Lung adenocarcinoma)/br) OR ((Lung cancer)/br)) AND ((prediction)/br OR ((Risk factor)/br) OR ((Nomograms)/br))120
Scopus(TITLE-ABS-KEY (stas) OR TITLE-ABS-KEY (spread AND through AND air AND spaces) AND (TITLE-ABS-KEY (lung AND cancer) OR TITLE-ABS-KEY (Adenocarcinoma AND of AND Lung) OR TITLE-ABS-KEY (Lung AND adenocarcinoma)) AND (TITLE-ABS-KEY (risk AND factor) OR TITLE-ABS-KEY (Prediction) OR TITLE-ABS-KEY (Nomograms))81
Wiley‘STAS OR spread through air spaces’ anywhere and ‘Lung cancer OR Lung adenocarcinoma OR Adenocarcinoma of Lung’ anywhere and ‘prediction OR Risk factor OR Nomograms’ anywhere177
Web of science((TS=(spread through air spaces)) OR TS=(STAS) OR TI=(STAS) OR AB=(STAS)) AND (TS=(Lung cancer) OR TS=(Adenocarcinoma of Lung) OR TS=(Lung adenocarcinoma) OR TI=(Lung adenocarcinoma)) AND (TS=(Prediction) OR TS=(Risk factor) OR TS=(Nomograms))112

[i] STAS, spread through air spaces.

Inclusion and exclusion criteria

The inclusion criteria included the following: i) Study focuses on patients who have been diagnosed with LUAD and who exhibit STAS; ii) objective of the study is to develop a predictive model to accurately identify the presence of STAS in patients with LUAD. Tumor STAS was defined as tumor cells (micropapillary structures, solid nests, or single cells-spreading within air spaces in the lung parenchyma beyond the edge of the main tumor (3). The present study selected studies that included patients who underwent segmental or lobar resection.

The exclusion criteria were as follows: i) Predictive models that were not constructed based on radiological features; ii) no clear inclusion and exclusion criteria; iii) reviews and lecture-type literature; iv) literature for which the full text could not be obtained and v) literature for which data could not be extracted.

Literature screening

The initial screening of titles and abstracts was independently conducted by two researchers (CL and PW) using Cochrane handbook's guidelines for systematic reviews of interventions (18), adhering to the predefined inclusion and exclusion criteria. Discrepancies or uncertainty about article inclusion were resolved through discussion or consultation with a third reviewer (XL).

Quality evaluation of literature

The quality of articles was assessed by two independent reviewers using Quality Assessment of Diagnostic Accuracy Studies-2 (QUADAS-2) (19), which is a tool for assessing quality of diagnostic studies, focusing on ‘risk-of-bias’ and ‘applicability concerns’. The risk-of-bias was assessed across four domains: Patient selection, index test, reference standard and flow and timing. The applicability was evaluated for the first three domains and rated as ‘yes’, ‘no’ or ‘unclear’, with ‘yes’ denoting low risk, ‘no’ indicating high risk and ‘unclear’ suggesting insufficient information. In cases of disagreement, a third reviewer was used for resolution. A Measurement Tool to Assess systematic Reviews was used for a stringent quality assessment (14).

Additionally, the methodological quality of studies was appraised using the Cochrane Handbook's risk-of-bias assessment tool (RevMan v.5.3.5, The Cochrane Collaboration) (20), covering six aspects (selection, performance bias, detection, attrition, reporting bias and other bias), which were categorized as ‘yes’, ‘no’ or ‘unclear’ to indicate the level of bias.

Data extraction

The data extracted primarily encompassed the following aspects: i) Characteristics of the included literature, such as author information, publication date, country of origin, predictive models and regression methods employed and predictive factors investigated; ii) details of the study subjects, such as sample size, sex distribution and tumor stage (according to the 8th edition of the AJCC staging standards) (21), with all participants having undergone surgery and iii) evaluation of effect indicators.

Statistical analysis

The effectiveness of various predictive models were evaluated based on their accuracy, sensitivity (SEN), and specificity (SPE). Predictive models were categorized according to their unique features for NMA to assess performance in predicting STAS. This NMA, conducted using Stata software (version 17.0; StataCorp LP) within a Bayesian framework, used the Markov Chain Monte Carlo Subset Simulation (22) in accordance with the PRISMA NMA guidelines (23). A nodal approach for quantifying and clarifying concordance between direct and indirect comparisons was adopted. The consistency criterion for the NMA was P>0.05. Network diagrams visually represented diagnostic methods, with nodes symbolizing each method and lines representing direct comparisons. The size of nodes and thickness of lines corresponded to the number of studies. To detect possible publication bias in selected studies, funnel plots were constructed for each measure of diagnostic efficiency, employing symmetry criteria as a key validation technique. Statistical heterogeneity was evaluated using I2 statistic, a measure in meta-analytical methods. This quantifies the proportion of the total variation in study estimates due to heterogeneity rather than chance. An I2 value of 0% indicates no observed heterogeneity, whilst higher values suggest increasing heterogeneity, with guidelines typically considering 25, 50 and 75% as low, moderate and high heterogeneity, respectively (18). Additionally, to ascertain the relative superiority of one method, the level of certainty for predictive models was quantified. This assessment was performed using surface under the cumulative ranking curve (SUCRA), forest plots and league tables.

Subgroup diagnostic meta-analyses were performed using Stata to assess relative predictive efficiency of composite models. The effectiveness of these models was evaluated using the area under the curve (AUC) derived from the summary receiver operating characteristics (sROC). Additionally, the Fagan plot was utilized to quantify the overall discriminatory power of a diagnostic test (24).

Results

Selection and characteristics of literature

Literature review was performed using 565 articles. Subsequent to this, a meticulous screening process was undertaken to ensure the relevance and quality of sources. This entailed the removal of 249 articles due to duplication. Further scrutiny, focusing on titles and abstracts, led to the exclusion of an additional 288 articles that were not pertinent. The remaining pool of 28 articles was subjected to a more rigorous evaluation, which included accessibility of full-text versions and the feasibility of data extraction. This process led to the disqualification of 14 articles, leaving a final count of 14 articles (Fig. 1).

Figure 1.

Comprehensive flow diagram of the literature selection process. The flowchart represents systematic screening and selection methodology in compliance with established meta-analysis protocols. The number inside each box reflects the cumulative count of studies at each sequential stage.

These 14 articles, collectively encompassing data from 3,734 participants, were exclusively focused on patients diagnosed with STAS in LUAD. The predictive models were categorized into the following four distinct types based on their methodological approaches and radiological characteristics: i) Models developed using logistic regression analysis to screen CT features (Features_CT); ii) models using machine learning (ML) techniques to screen tumor radiological characteristics (ML_Tumour); iii) models applying ML for the screening of both tumor and peritumor radiological features (ML_Peri_tumour) and iv) models that used logistic regression analysis for screening of PET/CT features (pet_CT).

In the process of tumor and peritumor segmentation, the open-source software 3D Slicer v4.8.1 (slicer.org) was used. Moreover, all studies used pathological findings as a benchmark, forming a control group against which predictive models were evaluated. The data enabling direct comparative analysis in outcomes were also assessed (Table II) (5,15,16,25–35).

Table II.

Characteristics of studies included in the meta-analysis.

Table II.

Characteristics of studies included in the meta-analysis.

First author/s, yearCountry of originNumber of patientsSex (male/female)Tumor stageSTAS (+)Predictive modelRegression method(Refs.)
Bassi et al, 2022Italy14985/64I–III98CT featuresLogistic(25)
Tumor radiomicsML
Qi et al, 2021China216160/56I–III56CT featuresLogistic(26)
Peritumoral and tumoral radiomic featuresML
Liao et al, 2022China256122/134I85Peritumoral and tumoral radiomic featuresML(5)
Chen et al, 2022China327131/196I–III113Peritumoral and tumoral radiomic featuresML(27)
Kim et al, 2018Korea276129/147I–III92CT featuresLogistic(28)
Qin et al, 2022China503201/302I–III241CT featuresLogistic(29)
Chen et al, 2022China85UnknownI–III13CT featuresLogistic(15)
Qi et al, 2020China190112/78I47CT featuresLogistic(30)
Zhang et al, 2020China762276/486I83CT featuresLogistic(31)
Han et al, 2022China395207/188I169Tumor radiomicsML(32)
Takehana et al, 2022Japan339160/179I95CT featuresLogistic(33)
Peritumoral and tumoral radiomic featuresML
Wang et al, 2020China12160/67I5118F FDG-PET/CTLogistic(34)
Nishimori et al, 2022Japan5222/30I1918F FDG-PET/CTLogistic(16)
Falay et al, 2021Turkey6341/22I–III3318F FDG-PET/CTLogistic(35)

[i] STAS, spread through air spaces; CT, computed tomography; 18F FDG-PET/CT, 2-deoxy-2-[fluorine-18]fluoro-D-glucose-positron emission tomography/CT; ML, machine learning.

Quality assessment and publication bias

In the present study involving 14 articles and 17 predictive models, NMA was performed using Stata and the QUADAS-2 tool was used to assess quality, risk of bias and applicability of the articles. The inter-rater reliability (κ-agreement) between the reviewers was 0.87. A high risk of bias was detected in a few articles (3/14) in terms of patient selection (1/14) and reference standards (2/14); however, the overall quality of the publications was satisfactory (Fig. 2).

Figure 2.

Bias risk in included studies based on Quality Assessment of Diagnostic Accuracy Studies-2 criteria. (A) Risk of bias assessment. (B) Quality assessment graph includes the risk of bias graph, the % of each rank in the quality assessment graph.

NMA

NMA evaluated the relative risk (RR) values and 95% confidence intervals (CI) across different predictive models in terms of accuracy, SEN and SPE for STAS in LUAD.

Pairwise meta-analysis

NMA graph illustrates the comparative accuracy, SEN and SPE of predictive models (Fig. 3). Notably, CT_feature model group encompassed the largest sample size, followed by the ML_Peri_tumour model. Specifically, two studies directly compared the CT_feature and ML_Peri_tumour model, and one study contrasted the CT_feature model with ML_Tumour model (Fig. 3). Furthermore, the comprehensive evaluation of the included studies spanned all domains. Potential publication bias was assessed using funnel plots (Fig. 4). The roughly symmetric distribution suggested a negligible presence of publication bias or other forms of bias within the studies. This symmetry bolstered the reliability of findings.

Figure 3.

Network diagram of studies included in meta-analysis. The nodes represent distinct categories within the meta-analysis framework, with the size of each node proportional to the amount of data or number of studies. The edges indicate the strength of the interactions, with thickness representing strength of the evidence supporting the interaction between categories. ML_Peri_tumour model was constructed by ML screening of tumor and peritumor radiological features. Features_CT model was constructed by screening CT features through logistic regression analysis. The control was established based on pathological findings utilized as the gold standard for comparison and validation. ML_Tumour model was constructed by screening tumor radiological features through ML. pet_CT model was constructed by screening PET/CT features by logistic regression analysis. ML, machine learning; CT, computed tomography; PET, positron emission tomography.

Figure 4.

Funnel plots of network meta-analysis comparing predictive models. Plots for (A) accuracy, (B) sensitivity and (C) specificity represent predictive values within the network meta-analysis. Each data point represents a study. A, control; B, Features_CT; C, ML_Peri_tumour; D, ML_Tumour and E, pet_CT. ML, machine learning; CT, computed tomography; pet, positron emission tomography.

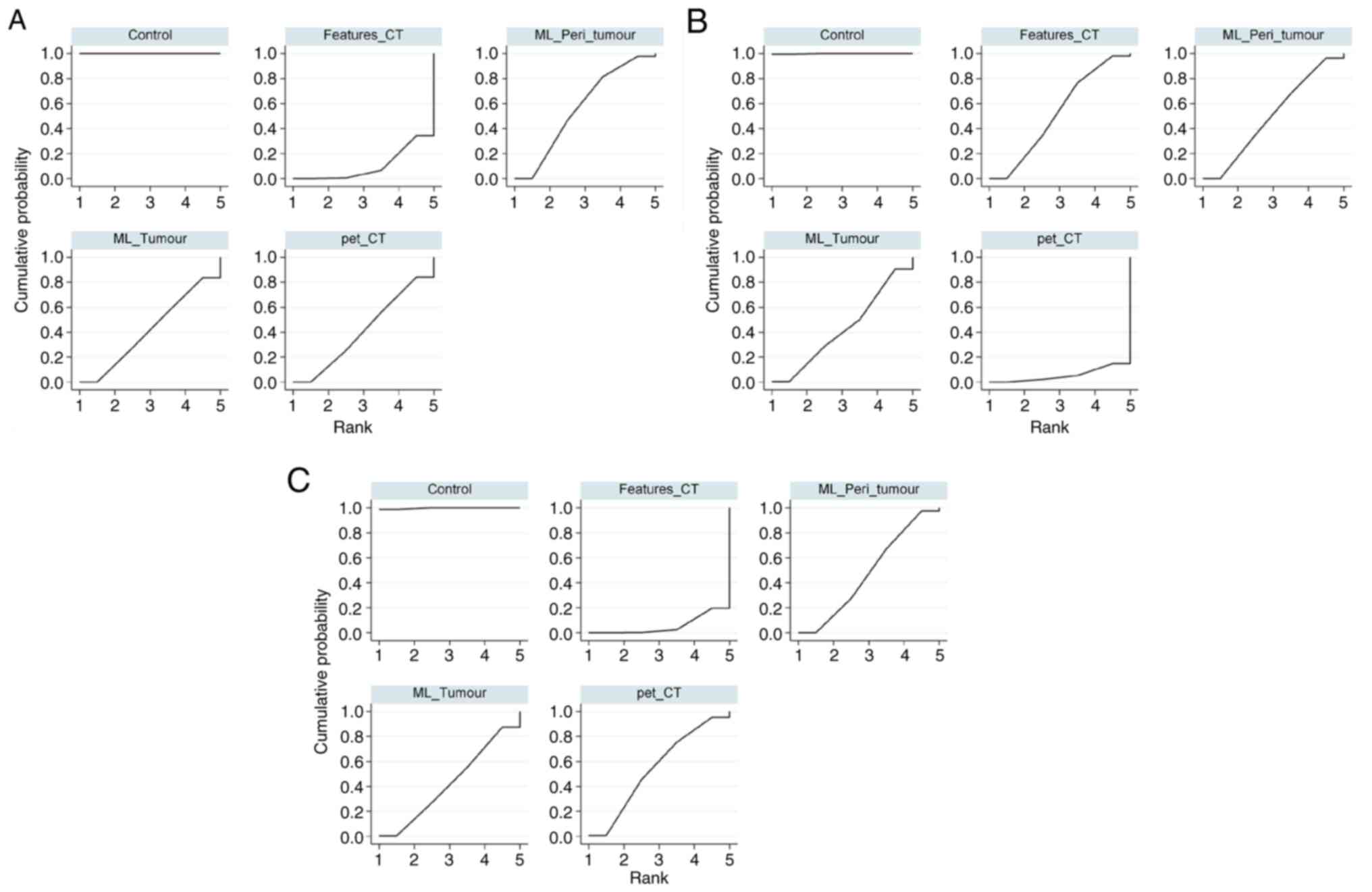
Accuracy

Using the SUCRA, the accuracy of several predictive models for STAS was evaluated. Models ranked in descending order of accuracy were as follows: Control (100.0%); ML_Peri_tumour (56.5%); ML_Tumour (41.8%); pet_CT (41.4%) and Features_CT (10.3%; Fig. 5A). A detailed two-by-two comparative analysis is presented in Table IIIA, highlighting the predictive efficacy of these models. ML_Peri_tumour model demonstrated superior accuracy, particularly compared with Features_CT (RR=1.14; 95% CI, 0.99–1.32), ML_Tumour (RR=1.04; 95% CI, 0.83–1.30) and pet_CT (RR=1.04; 95% CI, 0.84–1.29). A heterogeneity test revealed I2 value of 20.4%. Consistently, the forest plot demonstrated the highest predictive accuracy for ML_Peri_tumour model (Fig. 6A).

Figure 5.

Surface under the cumulative ranking curve for predictive models. Plots for (A) accuracy, (B) sensitivity and (C) specificity display cumulative probability distributions for treatment in a rank-ordered fashion, with each panel corresponding to a unique treatment scenario. ML, machine learning; CT, computed tomography; pet, positron emission tomography.

Figure 6.

Forest plots for predictive models. Plots for (A) accuracy, (B) sensitivity and (C) specificity present pairwise meta-analysis results comparing the efficacy of imaging modalities. Features_CT, ML_Tumour, ML_Peri_tumour and pet_CT were compared with each other and a control group. ML, machine learning; CT, computed tomography; pet, positron emission tomography; CI, confidence interval.

Table III.

League tables for predictive models.

Table III.

League tables for predictive models.

A, Accuracy: I2=20.4%; random effects results.
pet_CT1.00 (0.78,1.29)1.04 (0.84,1.29)0.92 (0.75,1.11)1.38 (1.16,1.64)
1.00 (0.78,1.28)ML_Tumour1.04 (0.83,1.30)0.91 (0.75,1.11)1.38 (1.15,1.66)
0.96 (0.77,1.19)0.96 (0.77,1.20)ML_Peri_tumour0.88 (0.76,1.01)1.32 (1.16,1.50)
1.09 (0.90,1.33)1.09 (0.90,1.33)1.14 (0.99,1.32)Features_CT1.51 (1.37,1.66)
0.72 (0.61,0.86)0.73 (0.60,0.87)0.76 (0.67,0.86)0.66 (0.60,0.73)Control

B, SEN: I2=17.8%; random effects results.

pet_CT1.14 (0.92,1.42)1.16 (0.96,1.41)1.17 (0.97,1.40)1.37 (1.16,1.61)
0.87 (0.70,1.08)ML_Tumour1.02 (0.86,1.20)1.02 (0.88,1.18)1.20 (1.04,1.37)
0.86 (0.71,1.04)0.98 (0.83,1.16)ML_Peri_tumour1.00 (0.89,1.13)1.18 (1.06,1.30)
0.86 (0.71,1.03)0.98 (0.85,1.13)1.00 (0.89,1.12)Features_CT1.17 (1.09,1.26)
0.73 (0.62,0.86)0.84 (0.73,0.96)0.85 (0.77,0.94)0.85 (0.79,0.92)Control

C, SPE: I2=9.1%; random effects results.

pet_CT0.95 (0.67,1.35)0.97 (0.72,1.29)0.81 (0.62,1.06)1.34 (1.06,1.70)
1.05 (0.74,1.50)ML_Tumour1.02 (0.75,1.39)0.85 (0.64,1.13)1.41 (1.09,1.84)
1.03 (0.77,1.39)0.98 (0.72,1.34)ML_Peri_tumour0.83 (0.69,1.01)1.39 (1.17,1.65)
1.24 (0.95,1.62)1.18 (0.89,1.56)1.20 (0.99,1.46)Features_CT1.66 (1.46,1.90)
0.75 (0.59,0.94)0.71 (0.54,0.92)0.72 (0.61,0.86)0.60 (0.53,0.68)Control

[i] SEN, sensitivity; SPE, specificity; CI, confidence interval; ML, machine learning; CT, computed tomography; pet, positron emission tomography.

SEN

SEN for different predictive models for STAS, derived from the SUCRA was as follows: Control (99.9%); Features_CT (51.9%); ML_Peri_tumour (49.9%); ML_Tumour (42.8%); and pet_CT (5.5%; Fig. 5B). Table IIIB shows a comparative league table for a two-by-two analysis of these models. Features_CT model exhibited superior SEN, especially compared with ML_Peri_tumour (RR=1.00; 95% CI, 0.89–1.13), ML_Tumour (RR=1.02; 95% CI, 0.88–1.18) and pet_CT (RR=1.17; 95% CI, 0.97–1.40). The heterogeneity test indicated an I2 of 17.8%. Additionally, forest plot highlighted the superior predictive SEN of the Features_CT model (Fig. 6B).

SPE

SPE of different predictive models for STAS, ascertained using the SUCRA, was as follows: Control (99.7%); pet_CT (53.9%); ML_Peri_tumour (48.0%); ML_Tumour (42.7%); and Features_CT (5.7%; Fig. 5C). A comprehensive league table in Table IIIC compares these models in a two-by-two format. The pet_CT model showed enhanced SPE, particularly against ML_Peri_tumour (RR=1.03; 95% CI, 0.77–1.39), ML_Tumour (RR=1.05; 95% CI, 0.74–1.50) and Features_CT (RR=1.24; 95% CI, 0.95–1.62). The heterogeneity test yielded I2 of 9.1%. The forest plot indicated the superior predictive SPE of the pet_CT model (Fig. 6C).

Subgroup diagnostic MA

Diagnostic MA scrutinized the predictive capabilities of the ML_Peri_tumour and Features_CT models. AUC of the sROC for the ML_Peri_tumour model was 0.86 (95% CI, 0.82–0.88), while for the Features_CT model it was 0.81 (95% CI, 0.77–0.84; Fig. 7A and B, respectively). Fagan plot analysis, which assessed the predictive potency of models, demonstrated the relative superiority of the ML_Peri_tumour model (Fig. 7C and D).

Figure 7.

Subgroup diagnostic meta-analyses for predictive models. (A) Meta-analysis of Diagnostic Subgroups based on Features_CT models: AUC of SROC was 0.81 (0.77–0.84); (B) Meta-analysis of Diagnostic Subgroups based on ML_Peri_tumour models: AUC of SROC was 0.86 (0.82–0.85); (C) Fagan's nomogram for the assessment of post prob (intersection of pre-test prob and LR) based on Features_CT models; (D) Fagan's nomogram for the assessment of post prob (intersection of pre-test prob and LR) based on ML_Peri_tumour models. SROC, summary receiver operating characteristic; AUC, area under the curve; SENS, sensitivity; SPEC, specificity; LR, likelihood ratio; Prob, probability; Post, post-test; Pos, positive; Neg, negative.

Discussion

The present MA evaluated predictive accuracy of several models for STAS in LUAD. Analyzing 14 studies encompassing 3,734 patients, four predictive models were assessed. Among these, the ML_Peri_tumour model, using ML to analyze tumor and peritumor radiographic features, was the most effective. This model demonstrated superior performance in accuracy, SEN and SPE, evidenced by its SUCRA values of 56.5, 49.9 and 48.0, respectively. Furthermore, a diagnostic MA supported the efficacy of the ML_Peri_tumour model, indicating a pooled AUC of 0.86 (95% CI, 0.82–0.88).

Previous studies have substantially deepened understanding of STAS in LUAD, especially regarding its prediction via radiological and pathological features (36,37). Investigations into predictive CT characteristics for STAS in small-sized LUAD have reported that attributes such as consolidation tumor ratio, spiculation, satellites, ground glass ribbon sign, pleural attachment and unclear tumor-lung interface are effective predictors of STAS (30,38). This aligns with the present accuracy of the ML_Peri_tumour and other ML-based models, underscoring the significance of CT features in these models.

The evolving understanding of the association between tumor stromal cells and STAS, along with the role of stromal cells in STAS pathogenesis, is noteworthy. Advanced medical information technology, including three-dimensional space convolution and fuzzy neural networks, has demonstrated potential in enhancing diagnostic SEN and SPE for lung cancer, suggesting promising avenues for future STAS prediction models (39).

Another notable development is the association between fluorodeoxyglucose (FDG) metabolic tumor burden, measured by PET/CT and STAS. Studies using PET/CT metrics such as standardized uptake value and total lesion glycolysis have reported that LUAD with low FDG uptake is associated with a lower incidence of STAS, whilst subtypes with higher FDG uptake, such as solid predominant adenocarcinoma, show a higher incidence of STAS (34,35). Furthermore, integration of ML techniques for analyzing radiological data for tumor and peritumor features has resulted in models with improved predictive accuracy for STAS. A study by Liao et al (5) involving 256 patients, integrated tumor radiomic signature (TRS) with peritumoral radiomic signatures (PRS) and developed an effective gross radiomic signature model. Particularly, TRS combined with the PRS-15 mm model exhibited substantial predictive accuracy, achieving an AUC of 0.854 in the development and 0.870 in the validation cohort. The focus on the peritumoral environment represents a notable advancement over prior research (28), which predominantly concentrated on the primary tumor alone. The success of the ML_Peri_tumour model in the present study highlights the potential of merging radiomic features from both tumor and peritumor regions, providing a more comprehensive approach to STAS prediction. This is relevant since STAS, typically found at the tumor periphery, may be more accurately predicted using preoperative CT images of tumor margins (26,33).

The present analysis revealed that the majority of radiomics studies on STAS prediction were in early or intermediate stages of research. The rigorous design of these studies is vital for validating the feasibility of radiological approaches. The present study identified limitations, including a lack of reproducibility analysis, internal validation and comprehensive performance evaluation of models. Notably, none of the included studies performed phantom or test-retest analyses for validating feature robustness (40,41) and only three studies addressed calibration, which is a key metric for evaluating prediction consistency with actual outcomes (5,15,32). To advance clinical application and practicality of radiomics, attention must be paid to external validation, cost-effectiveness and availability of open data. Validation with data from other institutions or different time periods is key for confirming model generalizability (42). However, only one study in the present analysis validated radiomic signatures with external data (15). Furthermore, a lack of open data and code availability, essential for assessing reproducibility, was a common limitation across studies (43). In the present NMA, included studies encompassed two different regression methods for constructing predictive models: ML (6/14) and binary logistic regression (8/14). ML focuses on the accuracy of the final model, while binary logistic regression also pays attention to metrics such as the odds ratio for each variable (44). The present research did not reveal any heterogeneity between different types of regression method. However, the comprehensive analysis indicated that the ML_Peri_tumour model held greater value in predicting STAS, potentially due to its consideration of radiomic signatures in the peritumoral region. Nevertheless, use of models developed using diverse regression methods is a limitation of the present study. To enhance robustness and comprehensiveness of results of the present study, the incorporation of additional studies for detailed subgroup analyses is key. Additionally, 8/14 studies reviewed focused on the occurrence of STAS in patients with stage I LUAD. However, the MA did not demonstrate inter-study heterogeneity in this aspect. There is need for more research to evaluate the predictive efficiency of radiomic models for STAS in early-stage LUAD, where accurate diagnosis is of paramount importance. Assessing STAS status prior to developing a surgical plan is key, as it significantly influences the selection of surgical strategies.

In conclusion, the present study is the first NMA to integrate several predictive models, to the best of our knowledge. The findings underscore the superior predictive efficacy of tumor and peritumor-based radiological models. Nonetheless, research in radiological features for STAS prediction is in its early stages, and significant enhancements are needed, particularly in technical reproducibility and comprehensive model evaluation. The reliability of these studies requires experimental verification due to limited external validation. Additionally, the scarcity of direct model comparisons in the analyzed studies, primarily relying on indirect comparisons, may affect quality assessment results, underscoring the need for more direct model comparisons in future. The ethnographic and geographic applicability of these findings, primarily contributed to by researchers in Asia, also needs further validation.

Acknowledgements

Not applicable.

Funding

The present study was supported by the Clinical Medicine Science and Technology Development Foundation of Jiangsu University (grant no. JLY2021082) and Xuzhou Science and Technology Bureau (grant no. KC23229).

Availability of data and materials

The data generated in the present study may be requested from the corresponding author.

Authors' contributions

XL designed the study and revised the manuscript. CL performed statistical analysis and wrote the manuscript. CL and PW performed the literature review and quality assessment. PW, YW, FG and ZS interpreted the data. CL and XL confirm the authenticity of all the raw data. HZ and QW were involved in the study design and critically revised the manuscript. All authors have read and approved the final manuscript.

Ethics approval and consent to participate

Not applicable.

Patient consent for publication

Not applicable.

Competing interests

The authors declare that they have no competing interests.

References

1 

Zhuo Y, Feng M, Yang S, Zhou L, Ge D, Lu S, Liu L, Shan F and Zhang Z: Radiomics nomograms of tumors and peritumoral regions for the preoperative prediction of spread through air spaces in lung adenocarcinoma. Transl Oncol. 13:1008202020. View Article : Google Scholar : PubMed/NCBI

2 

Blaauwgeers H, Flieder D, Warth A, Harms A, Monkhorst K, Witte B and Thunnissen E: A prospective study of loose tissue fragments in non-small cell lung cancer resection specimens: An alternative view to ‘spread through air spaces’. Am J Surg Pathol. 41:1226–1230. 2017. View Article : Google Scholar : PubMed/NCBI

3 

Kadota K, Nitadori JI, Sima CS, Ujiie H, Rizk NP, Jones DR, Adusumilli PS and Travis WD: Tumor spread through air spaces is an important pattern of invasion and impacts the frequency and location of recurrences after limited resection for small stage I lung adenocarcinomas. J Thorac Oncol. 10:806–814. 2015. View Article : Google Scholar : PubMed/NCBI

4 

Travis WD, Brambilla E, Nicholson AG, Yatabe Y, Austin JHM, Beasley MB, Chirieac LR, Dacic S, Duhig E, Flieder DB, et al: The 2015 world health organization classification of lung tumors: Impact of genetic, clinical and radiologic advances since the 2004 classification. J Thorac Oncol. 10:1243–1260. 2015. View Article : Google Scholar : PubMed/NCBI

5 

Liao G, Huang L, Wu S, Zhang P, Xie D, Yao L, Zhang Z, Yao S, Shanshan L, Wang S, et al: Preoperative CT-based peritumoral and tumoral radiomic features prediction for tumor spread through air spaces in clinical stage I lung adenocarcinoma. Lung Cancer. 163:87–95. 2022. View Article : Google Scholar : PubMed/NCBI

6 

Terada Y, Takahashi T, Morita S, Kashiwabara K, Nagayama K, Nitadori JI, Anraku M, Sato M, Shinozaki-Ushiku A and Nakajima J: Spread through air spaces is an independent predictor of recurrence in stage III (N2) lung adenocarcinoma. Interact Cardiovasc Thorac Surg. 29:442–448. 2019. View Article : Google Scholar : PubMed/NCBI

7 

Niu Y, Han X, Zeng Y, Nanding A, Bai Q, Guo S, Hou Y, Yu Y, Zhang Q and Li X: The significance of spread through air spaces in the prognostic assessment model of stage I lung adenocarcinoma and the exploration of its invasion mechanism. J Cancer Res Clin Oncol. 149:7125–7138. 2023. View Article : Google Scholar : PubMed/NCBI

8 

Eguchi T, Kameda K, Lu S, Bott MJ, Tan KS, Montecalvo J, Chang JC, Rekhtman N, Jones DR, Travis WD and Adusumilli PS: Lobectomy is associated with better outcomes than sublobar resection in spread through air spaces (STAS)-positive T1 lung adenocarcinoma: A propensity score-matched analysis. J Thorac Oncol. 14:87–98. 2019. View Article : Google Scholar : PubMed/NCBI

9 

Ji GW, Zhang YD, Zhang H, Zhu FP, Wang K, Xia YX, Zhang YD, Jiang WJ, Li XC and Wang XH: Biliary tract cancer at CT: A radiomics-based model to predict lymph node metastasis and survival outcomes. Radiology. 290:90–98. 2019. View Article : Google Scholar : PubMed/NCBI

10 

Autorino R, Gui B, Panza G, Boldrini L, Cusumano D, Russo L, Nardangeli A, Persiani S, Campitelli M, Ferrandina G, et al: Radiomics-based prediction of two-year clinical outcome in locally advanced cervical cancer patients undergoing neoadjuvant chemoradiotherapy. Radiol Med. 127:498–506. 2022. View Article : Google Scholar : PubMed/NCBI

11 

Cong H, Peng W, Tian Z, Vallières M, Chuanpei X, Aijun Z and Benxin Z: FDG-PET/CT radiomics models for the early prediction of locoregional recurrence in head and neck cancer. Curr Med Imaging. 17:374–383. 2021. View Article : Google Scholar : PubMed/NCBI

12 

Jiang C, Luo Y, Yuan J, You S, Chen Z, Wu M, Wang G and Gong J: CT-based radiomics and machine learning to predict spread through air space in lung adenocarcinoma. Eur Radiol. 30:4050–4057. 2020. View Article : Google Scholar : PubMed/NCBI

13 

Li C, Jiang C, Gong J, Wu X, Luo Y and Sun G: A CT-based logistic regression model to predict spread through air space in lung adenocarcinoma. Quant Imaging Med Surg. 10:1984–1993. 2020. View Article : Google Scholar : PubMed/NCBI

14 

Liu A, Sun X, Xu J, Xuan Y, Zhao Y, Qiu T, Hou F, Qin Y, Wang Y, Lu T, et al: Relevance and prognostic ability of Twist, Slug and tumor spread through air spaces in lung adenocarcinoma. Cancer Med. 9:1986–1998. 2020. View Article : Google Scholar : PubMed/NCBI

15 

Chen Y, Jiang C, Kang W, Gong J, Luo D, You S, Cheng Z, Luo Y and Wu K: Development and validation of a CT-based nomogram to predict spread through air space (STAS) in peripheral stage IA lung adenocarcinoma. Jpn J Radiol. 40:586–594. 2022. View Article : Google Scholar : PubMed/NCBI

16 

Nishimori M, Iwasa H, Miyatake K, Nitta N, Nakaji K, Matsumoto T, Yamanishi T, Yoshimatsu R, Iguchi M, Tamura M and Yamagami T: 18F FDG-PET/CT analysis of spread through air spaces (STAS) in clinical stage I lung adenocarcinoma. Ann Nucl Med. 36:897–903. 2022. View Article : Google Scholar : PubMed/NCBI

17 

Shea BJ, Reeves BC, Wells G, Thuku M, Hamel C, Moran J, Moher D, Tugwell P, Welch V, Kristjansson E and Henry DA: AMSTAR 2: A critical appraisal tool for systematic reviews that include randomised or non-randomised studies of healthcare interventions, or both. BMJ. 358:j40082017. View Article : Google Scholar : PubMed/NCBI

18 

Higgins JPT, Thomas J, Chandler J, Cumpston M, Li T, Page MJ and Welch VA: Cochrane handbook for systematic reviews of interventions version 6.4 (updated August 2023). Cochrane; 2023

19 

Whiting PF, Rutjes AW, Westwood ME, Mallett S, Deeks JJ, Reitsma JB, Leeflang MM, Sterne JA and Bossuyt PM; QUADAS-2 group, : QUADAS-2: A revised tool for the quality assessment of diagnostic accuracy studies. Ann Intern Med. 155:529–536. 2011. View Article : Google Scholar : PubMed/NCBI

20 

Wang SR, Li QL, Tian F, Li J, Li WX, Chen M, Sang T, Cao CL and Shi LN: Diagnostic value of multiple diagnostic methods for lymph node metastases of papillary thyroid carcinoma: A systematic review and meta-analysis. Front Oncol. 12:9906032022. View Article : Google Scholar : PubMed/NCBI

21 

Kutob L and Schneider F: Lung cancer staging. Surg Pathol Clin. 13:57–71. 2020. View Article : Google Scholar : PubMed/NCBI

22 

Heinecke A, Tallarita M and De Iorio M: Bayesian splines versus fractional polynomials in network meta-analysis. BMC Med Res Methodol. 20:2612020. View Article : Google Scholar : PubMed/NCBI

23 

Hutton B, Salanti G, Caldwell DM, Chaimani A, Schmid CH, Cameron C, Ioannidis JP, Straus S, Thorlund K, Jansen JP, et al: The PRISMA extension statement for reporting of systematic reviews incorporating network meta-analyses of health care interventions: Checklist and explanations. Ann Intern Med. 162:777–784. 2015. View Article : Google Scholar : PubMed/NCBI

24 

Kapor S, Rankovic MJ, Khazaei Y, Crispin A, Schüler I, Krause F, Lussi A, Neuhaus K, Eggmann F, Michou S, et al: Systematic review and meta-analysis of diagnostic methods for occlusal surface caries. Clin Oral Investig. 25:4801–4815. 2021. View Article : Google Scholar : PubMed/NCBI

25 

Bassi M, Russomando A, Vannucci J, Ciardiello A, Dolciami M, Ricci P, Pernazza A, D'Amati G, Terracciano CM, Faccini R, et al: Role of radiomics in predicting lung cancer spread through air spaces in a heterogeneous dataset. Transl Lung Cancer Res. 11:560–571. 2022. View Article : Google Scholar : PubMed/NCBI

26 

Qi L, Li X, He L, Cheng G, Cai Y, Xue K and Li M: Comparison of diagnostic performance of spread through airspaces of lung adenocarcinoma based on morphological analysis and perinodular and intranodular radiomic features on chest CT images. Front Oncol. 11:6544132021. View Article : Google Scholar : PubMed/NCBI

27 

Chen LW, Lin MW, Hsieh MS, Yang SM, Wang HJ, Chen YC, Chen HY, Hu YH, Lee CE, Chen JS, et al: Radiomic values from high-grade subtypes to predict spread through air spaces in lung adenocarcinoma. Ann Thorac Surg. 114:999–1006. 2022. View Article : Google Scholar : PubMed/NCBI

28 

Kim SK, Kim TJ, Chung MJ, Kim TS, Lee KS, Zo JI and Shim YM: Lung Adenocarcinoma: CT features associated with spread through air spaces. Radiology. 289:831–840. 2018. View Article : Google Scholar : PubMed/NCBI

29 

Qin L, Sun Y, Zhu R, Hu B and Wu J: Clinicopathological and CT features of tumor spread through air space in invasive lung adenocarcinoma. Front Oncol. 12:9591132022. View Article : Google Scholar : PubMed/NCBI

30 

Qi L, Xue K, Cai Y, Lu J, Li X and Li M: Predictors of CT morphologic features to identify spread through air spaces preoperatively in small-sized lung adenocarcinoma. Front Oncol. 10:5484302020. View Article : Google Scholar : PubMed/NCBI

31 

Zhang Z, Liu Z, Feng H, Xiao F, Shao W, Liang C, Sun H, Gu X and Liu D: Predictive value of radiological features on spread through air space in stage cIA lung adenocarcinoma. J Thorac Dis. 12:6494–6504. 2020. View Article : Google Scholar : PubMed/NCBI

32 

Han X, Fan J, Zheng Y, Ding C, Zhang X, Zhang K, Wang N, Jia X, Li Y, Liu J, et al: The value of CT-based radiomics for predicting spread through air spaces in stage IA lung adenocarcinoma. Front Oncol. 12:7573892022. View Article : Google Scholar : PubMed/NCBI

33 

Takehana K, Sakamoto R, Fujimoto K, Matsuo Y, Nakajima N, Yoshizawa A, Menju T, Nakamura M, Yamada R, Mizowaki T and Nakamoto Y: Peritumoral radiomics features on preoperative thin-slice CT images can predict the spread through air spaces of lung adenocarcinoma. Sci Rep. 12:103232022. View Article : Google Scholar : PubMed/NCBI

34 

Wang XY, Zhao YF, Yang L, Liu Y, Yang YK and Wu N: Correlation analysis between metabolic tumor burden measured by positron emission tomography/computed tomography and the 2015 World Health Organization classification of lung adenocarcinoma, with a risk prediction model of tumor spread through air spaces. Transl Cancer Res. 9:6412–6422. 2020. View Article : Google Scholar : PubMed/NCBI

35 

Falay O, Selçukbiricik F, Tanju S, Erus S, Kapdağli M, Cesur E, Yavuz Ö, Bulutay P, Firat P, Mandel NM and Dilege Ş: The prediction of spread through air spaces with preoperative 18F-FDG PET/CT in cases with primary lung adenocarcinoma, its effect on the decision for an adjuvant treatment and its prognostic role. Nucl Med Commun. 42:922–927. 2021. View Article : Google Scholar : PubMed/NCBI

36 

Wang S, Shou H, Wen H, Wang X, Wang H, Lu C, Gu J, Xu F, Zhu Q, Wang L and Ge D: An individual nomogram can reliably predict tumor spread through air spaces in non-small-cell lung cancer. BMC Pulm Med. 22:2092022. View Article : Google Scholar : PubMed/NCBI

37 

Toki MI, Harrington K and Syrigos KN: The role of spread through air spaces (STAS) in lung adenocarcinoma prognosis and therapeutic decision making. Lung Cancer. 146:127–133. 2020. View Article : Google Scholar : PubMed/NCBI

38 

Sun F, Huang Y, Yang X, Zhan C, Xi J, Lin Z, Shi Y, Jiang W and Wang Q: Solid component ratio influences prognosis of GGO-featured IA stage invasive lung adenocarcinoma. Cancer Imagin. 20:872020. View Article : Google Scholar

39 

Bai S, Wang Z, Sun Z and Liu Z: Study on the relationship between lung cancer stromal cells and air cavity diffusion based on an image acquisition system. Contrast Media Mol Imaging. 2022:24921242022. View Article : Google Scholar : PubMed/NCBI

40 

Li Y, Reyhan M, Zhang Y, Wang X, Zhou J, Zhang Y, Yue NJ and Nie K: The impact of phantom design and material-dependence on repeatability and reproducibility of CT-based radiomics features. Med Phys. 49:1648–1659. 2022. View Article : Google Scholar : PubMed/NCBI

41 

Steyerberg EW, Vickers AJ, Cook NR, Gerds T, Gonen M, Obuchowski N, Pencina MJ and Kattan MW: Assessing the performance of prediction models: A framework for traditional and novel measures. Epidemiology. 21:128–138. 2010. View Article : Google Scholar : PubMed/NCBI

42 

Sauerbrei W, Taube SE, McShane LM, Cavenagh MM and Altman DG: Reporting recommendations for tumor marker prognostic studies (REMARK): An abridged explanation and elaboration. J Natl Cancer Inst. 110:803–811. 2018. View Article : Google Scholar : PubMed/NCBI

43 

Nagendran M, Chen Y, Lovejoy CA, Gordon AC, Komorowski M, Harvey H, Topol EJ, Ioannidis JPA, Collins GS and Maruthappu M: Artificial intelligence versus clinicians: systematic review of design, reporting standards, and claims of deep learning studies. BMJ. 368:m6892020. View Article : Google Scholar : PubMed/NCBI

44 

Christodoulou E, Ma J, Collins GS, Steyerberg EW, Verbakel JY and Van Calster B: A systematic review shows no performance benefit of machine learning over logistic regression for clinical prediction models. J Clin Epidemiol. 110:12–22. 2019. View Article : Google Scholar : PubMed/NCBI

Related Articles

  • Abstract
  • View
  • Download
  • Twitter
Copy and paste a formatted citation
Spandidos Publications style
Liu C, Wang Y, Wang P, Guo F, Zhao H, Wang Q, Shi Z and Li X: Predictive value of multiple imaging predictive models for spread through air spaces of lung adenocarcinoma: A systematic review and network meta‑analysis. Oncol Lett 27: 122, 2024.
APA
Liu, C., Wang, Y., Wang, P., Guo, F., Zhao, H., Wang, Q. ... Li, X. (2024). Predictive value of multiple imaging predictive models for spread through air spaces of lung adenocarcinoma: A systematic review and network meta‑analysis. Oncology Letters, 27, 122. https://doi.org/10.3892/ol.2024.14255
MLA
Liu, C., Wang, Y., Wang, P., Guo, F., Zhao, H., Wang, Q., Shi, Z., Li, X."Predictive value of multiple imaging predictive models for spread through air spaces of lung adenocarcinoma: A systematic review and network meta‑analysis". Oncology Letters 27.3 (2024): 122.
Chicago
Liu, C., Wang, Y., Wang, P., Guo, F., Zhao, H., Wang, Q., Shi, Z., Li, X."Predictive value of multiple imaging predictive models for spread through air spaces of lung adenocarcinoma: A systematic review and network meta‑analysis". Oncology Letters 27, no. 3 (2024): 122. https://doi.org/10.3892/ol.2024.14255
Copy and paste a formatted citation
x
Spandidos Publications style
Liu C, Wang Y, Wang P, Guo F, Zhao H, Wang Q, Shi Z and Li X: Predictive value of multiple imaging predictive models for spread through air spaces of lung adenocarcinoma: A systematic review and network meta‑analysis. Oncol Lett 27: 122, 2024.
APA
Liu, C., Wang, Y., Wang, P., Guo, F., Zhao, H., Wang, Q. ... Li, X. (2024). Predictive value of multiple imaging predictive models for spread through air spaces of lung adenocarcinoma: A systematic review and network meta‑analysis. Oncology Letters, 27, 122. https://doi.org/10.3892/ol.2024.14255
MLA
Liu, C., Wang, Y., Wang, P., Guo, F., Zhao, H., Wang, Q., Shi, Z., Li, X."Predictive value of multiple imaging predictive models for spread through air spaces of lung adenocarcinoma: A systematic review and network meta‑analysis". Oncology Letters 27.3 (2024): 122.
Chicago
Liu, C., Wang, Y., Wang, P., Guo, F., Zhao, H., Wang, Q., Shi, Z., Li, X."Predictive value of multiple imaging predictive models for spread through air spaces of lung adenocarcinoma: A systematic review and network meta‑analysis". Oncology Letters 27, no. 3 (2024): 122. https://doi.org/10.3892/ol.2024.14255
Follow us
  • Twitter
  • LinkedIn
  • Facebook
About
  • Spandidos Publications
  • Careers
  • Cookie Policy
  • Privacy Policy
How can we help?
  • Help
  • Live Chat
  • Contact
  • Email to our Support Team