Spandidos Publications Logo
  • About
    • About Spandidos
    • Aims and Scopes
    • Abstracting and Indexing
    • Editorial Policies
    • Reprints and Permissions
    • Job Opportunities
    • Terms and Conditions
    • Contact
  • Journals
    • All Journals
    • Oncology Letters
      • Oncology Letters
      • Information for Authors
      • Editorial Policies
      • Editorial Board
      • Aims and Scope
      • Abstracting and Indexing
      • Bibliographic Information
      • Archive
    • International Journal of Oncology
      • International Journal of Oncology
      • Information for Authors
      • Editorial Policies
      • Editorial Board
      • Aims and Scope
      • Abstracting and Indexing
      • Bibliographic Information
      • Archive
    • Molecular and Clinical Oncology
      • Molecular and Clinical Oncology
      • Information for Authors
      • Editorial Policies
      • Editorial Board
      • Aims and Scope
      • Abstracting and Indexing
      • Bibliographic Information
      • Archive
    • Experimental and Therapeutic Medicine
      • Experimental and Therapeutic Medicine
      • Information for Authors
      • Editorial Policies
      • Editorial Board
      • Aims and Scope
      • Abstracting and Indexing
      • Bibliographic Information
      • Archive
    • International Journal of Molecular Medicine
      • International Journal of Molecular Medicine
      • Information for Authors
      • Editorial Policies
      • Editorial Board
      • Aims and Scope
      • Abstracting and Indexing
      • Bibliographic Information
      • Archive
    • Biomedical Reports
      • Biomedical Reports
      • Information for Authors
      • Editorial Policies
      • Editorial Board
      • Aims and Scope
      • Abstracting and Indexing
      • Bibliographic Information
      • Archive
    • Oncology Reports
      • Oncology Reports
      • Information for Authors
      • Editorial Policies
      • Editorial Board
      • Aims and Scope
      • Abstracting and Indexing
      • Bibliographic Information
      • Archive
    • Molecular Medicine Reports
      • Molecular Medicine Reports
      • Information for Authors
      • Editorial Policies
      • Editorial Board
      • Aims and Scope
      • Abstracting and Indexing
      • Bibliographic Information
      • Archive
    • World Academy of Sciences Journal
      • World Academy of Sciences Journal
      • Information for Authors
      • Editorial Policies
      • Editorial Board
      • Aims and Scope
      • Abstracting and Indexing
      • Bibliographic Information
      • Archive
    • International Journal of Functional Nutrition
      • International Journal of Functional Nutrition
      • Information for Authors
      • Editorial Policies
      • Editorial Board
      • Aims and Scope
      • Abstracting and Indexing
      • Bibliographic Information
      • Archive
    • International Journal of Epigenetics
      • International Journal of Epigenetics
      • Information for Authors
      • Editorial Policies
      • Editorial Board
      • Aims and Scope
      • Abstracting and Indexing
      • Bibliographic Information
      • Archive
    • Medicine International
      • Medicine International
      • Information for Authors
      • Editorial Policies
      • Editorial Board
      • Aims and Scope
      • Abstracting and Indexing
      • Bibliographic Information
      • Archive
  • Articles
  • Information
    • Information for Authors
    • Information for Reviewers
    • Information for Librarians
    • Information for Advertisers
    • Conferences
  • Language Editing
Spandidos Publications Logo
  • About
    • About Spandidos
    • Aims and Scopes
    • Abstracting and Indexing
    • Editorial Policies
    • Reprints and Permissions
    • Job Opportunities
    • Terms and Conditions
    • Contact
  • Journals
    • All Journals
    • Biomedical Reports
      • Information for Authors
      • Editorial Policies
      • Editorial Board
      • Aims and Scope
      • Abstracting and Indexing
      • Bibliographic Information
      • Archive
    • Experimental and Therapeutic Medicine
      • Information for Authors
      • Editorial Policies
      • Editorial Board
      • Aims and Scope
      • Abstracting and Indexing
      • Bibliographic Information
      • Archive
    • International Journal of Epigenetics
      • Information for Authors
      • Editorial Policies
      • Editorial Board
      • Aims and Scope
      • Abstracting and Indexing
      • Bibliographic Information
      • Archive
    • International Journal of Functional Nutrition
      • Information for Authors
      • Editorial Policies
      • Editorial Board
      • Aims and Scope
      • Abstracting and Indexing
      • Bibliographic Information
      • Archive
    • International Journal of Molecular Medicine
      • Information for Authors
      • Editorial Policies
      • Editorial Board
      • Aims and Scope
      • Abstracting and Indexing
      • Bibliographic Information
      • Archive
    • International Journal of Oncology
      • Information for Authors
      • Editorial Policies
      • Editorial Board
      • Aims and Scope
      • Abstracting and Indexing
      • Bibliographic Information
      • Archive
    • Medicine International
      • Information for Authors
      • Editorial Policies
      • Editorial Board
      • Aims and Scope
      • Abstracting and Indexing
      • Bibliographic Information
      • Archive
    • Molecular and Clinical Oncology
      • Information for Authors
      • Editorial Policies
      • Editorial Board
      • Aims and Scope
      • Abstracting and Indexing
      • Bibliographic Information
      • Archive
    • Molecular Medicine Reports
      • Information for Authors
      • Editorial Policies
      • Editorial Board
      • Aims and Scope
      • Abstracting and Indexing
      • Bibliographic Information
      • Archive
    • Oncology Letters
      • Information for Authors
      • Editorial Policies
      • Editorial Board
      • Aims and Scope
      • Abstracting and Indexing
      • Bibliographic Information
      • Archive
    • Oncology Reports
      • Information for Authors
      • Editorial Policies
      • Editorial Board
      • Aims and Scope
      • Abstracting and Indexing
      • Bibliographic Information
      • Archive
    • World Academy of Sciences Journal
      • Information for Authors
      • Editorial Policies
      • Editorial Board
      • Aims and Scope
      • Abstracting and Indexing
      • Bibliographic Information
      • Archive
  • Articles
  • Information
    • For Authors
    • For Reviewers
    • For Librarians
    • For Advertisers
    • Conferences
  • Language Editing
Login Register Submit
  • This site uses cookies
  • You can change your cookie settings at any time by following the instructions in our Cookie Policy. To find out more, you may read our Privacy Policy.

    I agree
Search articles by DOI, keyword, author or affiliation
Search
Advanced Search
presentation
Oncology Letters
Join Editorial Board Propose a Special Issue
Print ISSN: 1792-1074 Online ISSN: 1792-1082
Journal Cover
April-2024 Volume 27 Issue 4

Full Size Image

Sign up for eToc alerts
Recommend to Library

Journals

International Journal of Molecular Medicine

International Journal of Molecular Medicine

International Journal of Molecular Medicine is an international journal devoted to molecular mechanisms of human disease.

International Journal of Oncology

International Journal of Oncology

International Journal of Oncology is an international journal devoted to oncology research and cancer treatment.

Molecular Medicine Reports

Molecular Medicine Reports

Covers molecular medicine topics such as pharmacology, pathology, genetics, neuroscience, infectious diseases, molecular cardiology, and molecular surgery.

Oncology Reports

Oncology Reports

Oncology Reports is an international journal devoted to fundamental and applied research in Oncology.

Experimental and Therapeutic Medicine

Experimental and Therapeutic Medicine

Experimental and Therapeutic Medicine is an international journal devoted to laboratory and clinical medicine.

Oncology Letters

Oncology Letters

Oncology Letters is an international journal devoted to Experimental and Clinical Oncology.

Biomedical Reports

Biomedical Reports

Explores a wide range of biological and medical fields, including pharmacology, genetics, microbiology, neuroscience, and molecular cardiology.

Molecular and Clinical Oncology

Molecular and Clinical Oncology

International journal addressing all aspects of oncology research, from tumorigenesis and oncogenes to chemotherapy and metastasis.

World Academy of Sciences Journal

World Academy of Sciences Journal

Multidisciplinary open-access journal spanning biochemistry, genetics, neuroscience, environmental health, and synthetic biology.

International Journal of Functional Nutrition

International Journal of Functional Nutrition

Open-access journal combining biochemistry, pharmacology, immunology, and genetics to advance health through functional nutrition.

International Journal of Epigenetics

International Journal of Epigenetics

Publishes open-access research on using epigenetics to advance understanding and treatment of human disease.

Medicine International

Medicine International

An International Open Access Journal Devoted to General Medicine.

Journal Cover
April-2024 Volume 27 Issue 4

Full Size Image

Sign up for eToc alerts
Recommend to Library

  • Article
  • Citations
    • Cite This Article
    • Download Citation
    • Create Citation Alert
    • Remove Citation Alert
    • Cited By
  • Similar Articles
    • Related Articles (in Spandidos Publications)
    • Similar Articles (Google Scholar)
    • Similar Articles (PubMed)
  • Download PDF
  • Download XML
  • View XML
Review Open Access

Unveiling the experimental proof of the anticancer potential of ginsenoside Rg3 (Review)

  • Authors:
    • Yongmin Liu
    • Guanchu Li
    • Jinyue Ning
    • Yi Zhao
  • View Affiliations / Copyright

    Affiliations: Department of Oncology, The First Affiliated Hospital of Dalian Medical University, Dalian, Liaoning 116011, P.R. China, Department of Oncology, The First Affiliated Hospital of Dalian Medical University, Dalian, Liaoning 116011, P.R. China
    Copyright: © Liu et al. This is an open access article distributed under the terms of Creative Commons Attribution License.
  • Article Number: 182
    |
    Published online on: February 28, 2024
       https://doi.org/10.3892/ol.2024.14315
  • Expand metrics +
Metrics: Total Views: 0 (Spandidos Publications: | PMC Statistics: )
Metrics: Total PDF Downloads: 0 (Spandidos Publications: | PMC Statistics: )
Cited By (CrossRef): 0 citations Loading Articles...

This article is mentioned in:



Abstract

Ginsenoside Rg3 (GS‑Rg3), a sterol molecule isolated from ginseng, has demonstrated various immunological properties, including inhibition of cancer cell proliferation and metastasis, reversal of drug resistance and enhancement of chemotherapy sensitivity. The recent surge in attention towards GS‑Rg3 can be attributed to its potential as an antitumor angiogenesis agent and as a therapeutic candidate for immunotherapy. The development of GS‑Rg3 as an agent for these purposes has accelerated research on its mechanisms of action. The present review summarizes recent studies investigating the antitumor activity of GS‑Rg3 and its underlying mechanisms, as well as providing essential information for future studies on GS‑Rg3.

Introduction

As the main active ingredient of an ancient Chinese herb that has been widely proven to be effective in cancer treatment, some related reviews have summarized the pharmacological effects of ginsenoside Rg3 (GS-Rg3) (1–4). With more in-depth research in recent years, more anticancer mechanisms of GS-Rg3 continue to be discovered. Therefore, the present article reviews the newly discovered anticancer mechanisms of GS-Rg3, aiming to highlight the current challenges and future prospects of GS-Rg3 in the field of cancer therapy.

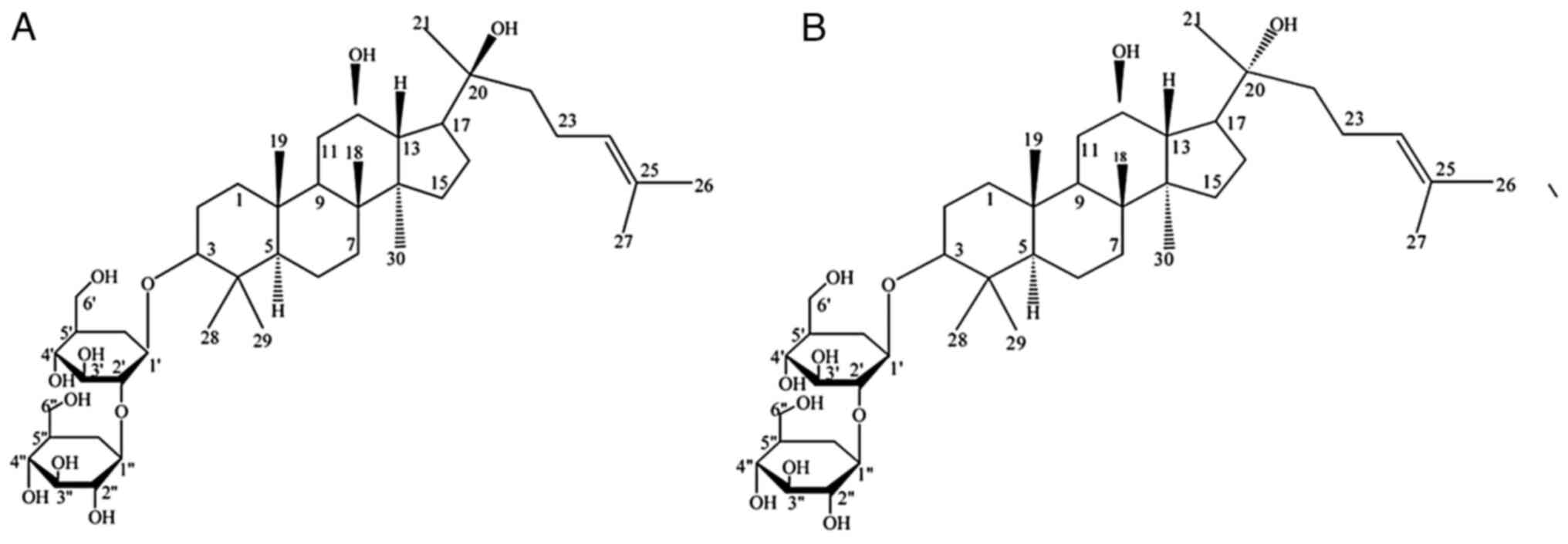
GS-Rg3 is a tetracyclic triterpene saponin derived from red ginseng. Due to the chiral nature of C20, GS-Rg3 exists in two isomers: 20 (S) and 20 (R), the chemical structures of which are depicted in Fig. 1. Both 20(S)-GS-Rg3 and 20(R)-GS-Rg3 are white amorphous powders. The former is soluble in cold H2O, ethanol, methanol and acetonitrile, while the latter is only soluble in DMSO, with trace amounts being soluble in H2O and acetonitrile (5).

Figure 1.

Two isomers of GS-Rg3, (A) 20(S)-GS-Rg3 and (B) 20(R)-GS-Rg3. GS-Rg3 has two enantiomers due to the chiral nature of C20. There are certain differences in the antitumor activities of the two isomers due to the different configurations. GS-Rg3, ginsenoside Rg3.

Fe@Fe3O4 nanoparticles have been linked with GS-Rg3 to produce a nanodrug, NpRg3, which has been found to prolong the survival time of mice with dimethylnitrosamine-induced liver cancer (6) and to exhibit synergistic effects with anticancer drugs (7). These studies have demonstrated that GS-Rg3 has the potential to serve as a precursor for developing derivatives with enhanced therapeutic efficacy.

Antitumor effects of GS-Rg3

Inhibition of tumor vascular endothelial cell proliferation

Rapidly growing tumor cells experience a constant deprivation of oxygen and nutrients, necessitating the development of new vascular networks to sustain their growth. Angiogenesis, the formation of new blood vessels, occurs when endothelial progenitor cells (EPCs) or bone marrow-derived hematopoietic cells are recruited to the tumor (8). EPCs play a crucial role in early tumor growth by inhibiting angiogenic switches while simultaneously releasing angiogenic molecules to promote tumor neovascularization (9). Tumor cells secrete large amounts of pro-angiogenic substances to promote the growth of new vascular networks, which often results in the formation of immature, disorganized and leaky blood vessels. These aberrant blood vessels contribute to disease progression and increase resistance to therapy (10). GS-Rg3 can inhibit the proliferation of tumor vascular endothelial cells in two ways. First, it attenuates the Akt/endothelial nitric oxide synthase signaling pathway, which is dependent on vascular growth factors, and inhibits vascular progenitor cell migration and angiogenesis, thereby inhibiting the differentiation of EPCs and the formation of tumor blood vessels (11). Second, it blocks the PI3K/Akt and ERK1/2 pathways, which reduces the expression of vascular endothelial growth factor (VEGF) and hypoxia-inducible factor (HIF)-1α at the mRNA and protein levels of bone marrow stromal cell (12).

Inhibition of the production of vasculogenic mimicry (VM)

In 1999, Maniotis et al (13) reported that melanoma develops ducts that facilitate tumor perfusion but the VM typically associated with the vascular endothelium was not observed. VM has been found in various types of cancer, including melanoma (14), adrenal cortical carcinoma (15), lung cancer (16), glioma (17), colorectal cancer (18) and breast cancer (19). Anti-VM treatment has emerged as a promising antitumor target to reduce tumor cell blood perfusion (20).

In vitro studies have demonstrated the GS-Rg3 inhibits vascular endothelial cadherin (VE-cadherin), epithelial cell kinase and matrix metalloproteinase (MMP), leading to decreased angiogenesis stimulation in nude mice tumor xenografts and pancreatic cancer cells (21). To reduce VM development, it is recommended to inhibit the expression mRNA associated with the Wnt/β-catenin pathway, decrease the level of β-catenin in the nucleus and promote GSK-3β mRNA expression and β-catenin phosphorylation (22).

Induction of cancer cell death

Cells can undergo various types of death in response to pathological or physiological stimuli, including apoptosis, autophagy, cell necrosis, iron death and pyrolysis. While excessive cell death can be detrimental in certain contexts, cancer cells exhibit uncontrolled proliferation and growth rates that render the promotion of cell death a therapeutic goal in the treatment of neoplastic diseases.

Table I highlights the ability of 20(S)-GS-Rg3 to trigger apoptosis by various mechanisms, including mediation of the mitochondria, reactive oxygen species (ROS) production, degradation of the mitochondrial inner membrane and the release of apoptosis-inducing factor from mitochondria to the cytosol and the nucleus (23). Moreover, GS-Rg3 can impede the PI3K/Akt signaling pathway (24) and lower the methylation level of the promoter region of the p53, p16 and human mutL homolog 1 (hMLH1) genes, thereby promoting cell death in lung and ovarian cancer cells (25). Additionally, GS-Rg3 downregulates the expression of a long non-coding RNA, ATXN8OS, that represses tumor-suppressive microRNA (miR)-424-5p, facilitating tumor cell death (26). These findings suggest that GS-Rg3 holds potential as a potent therapeutic agent for cancer treatment.

Table I.

Summary of the anticancer activities of GS-Rg3.

Table I.

Summary of the anticancer activities of GS-Rg3.

First author/s, yearCancer typeTest subjectsEffectsMechanism(Refs.)
Zeng et al, 2014Acute leukemiaBone marrow stromal cells; randomized patientsInhibited angiogenesisInhibited the PI3K/Akt and ERK1/2 pathways and suppressed the expression of VEGF and HIF-1α at the mRNA and protein levels in bone marrow stromal cells(12)
Mao et al, 2020OsteosarcomaMG63 and 143B cellsInhibited metastasis, proliferation and invasionReduced the expression of MMPs, suppressed the expression of epithelial-mesenchymal transition markers and inhibited activation of the Wnt/β- Catenin signaling pathway(29)
GUO et al, 2014Pancreatic cancerPANC-1, SW1900, Bxpc-3 and MiaPaCa-2 cells; BALB/c miceInhibited vasculogenic mimicryReduced VE-cadherin, EphA2 and MMP expression(21)
Wu et al, 2014Liver cancerH22 cells; SPF miceInhibited tumor proliferation and enhanced immunityIncreased IL-5 and IFN-γ levels. The effect of 20(R)-Rg3 was significantly greater than that of 20(S)-Rg3 (P<0.05)(31)
Sun et al, 2019Liver cancerHepG2 and MHCC-97L cells; BALB/c miceInhibited metastasis and proliferationIncreased expression of ARHGAP9(32)
Junmin et al, 2015Colon cancerSW480 cellsInhibited metastasisInhibited the expression of NF-κB and the expression of c-Myc, COX-2 and MMP-9 that was regulated by NF-κB(23)
Tang et al, 2018Colorectal cancerSW620 and HCT116 cellsInhibited proliferation and migrationDownregulated 22 pro-angiogenic genes (ANGPT1, ANGPT2, CCL13, COL18A, CSF3, CXCL1, EGF, FGF-2, IL1A, IL1B, IL8, KDR, MMP1, PGF, PIGF, PLAUR, TEK, THPO, TIMP1 and TIMP2)(85)
Bian et al, 2019Cervical cancerHeLa cellsInduced apoptosisCaused mitochondrial-mediated apoptosis, production of ROS, degradation of the mitochondrial membrane, the release of AIF from the mitochondria and nuclear translocation(30)
Xie et al, 2017Lung cancerA549 and H23 cells; nude miceInduced apoptosis and inhibited proliferationInhibited the PI3K/Akt pathway(24)
Liu et al, 2019Lung cancerA549 and HCC827 cells; C57BL/6 miceInhibited proliferationActivated the VRK1/P53BP1 pathway and protected DNA integrity(33)
Lu et al, 2020Ovarian cancerSKOV3 and 3AO cells; BALB/c miceInhibited proliferation and metastasisDownregulates expression of oncogenic miR-4425, which in turn upregulated the expression of tumor suppressor gene FDFT1, which is repressed by miR-4425(35)
Zhou et al, 2019Ovarian cancerHOSEpiC and SKOV3 cellsInhibited proliferation, invasion and metastasis, and induced apoptosisReduces methylation of p53, p16 and hMLH1 promoter regions, promotes the expression of their mRNA and proteins(25)
Peng et al, 2019Prostate cancerPC3 cellsInhibited proliferationUpregulates ROS-mediated cell cycle inhibition(36)
Kim et al, 2021Breast cancerMCF-7 cellsInhibited proliferation and inducted apoptosisDecreased ATXN8OS, which inhibits the tumor suppressor gene, miR-424-5p(26)
Song et al, 2020Breast cancerFM3A cells; C3H/He miceInhibited the transformation of cancer stem cells and mesenchymal cellsInhibited the STAT3 and NOTCH pathway(86)
Ge et al, 2014Esophageal cancerEC109, TE1 and KYSE170 cellsIncreased radiation sensitivityDecreased VEGF and HIF-1α expression(87)
Qu et al, 2019Stomach cancerBGC823 cellsInhibited angiogenesis and proliferationDecreased the expression of HIF-1α and VEGF(88)
Liu et al, 2020Stomach cancerAtp4a-/-C57Bl/6 miceReduced gastric precancerous lesionsReduced abnormal glycolysis in mice with gastric precancerous lesions by regulating the expression of PI3K, Akt, mTOR, HIF-1α, LDHA, HK-II and miR-21(28)

[i] AIF, apoptosis inducing factor; ARHGAP9, Rho GTPase activating protein 9; COX-2, cyclooxygenase-2; EphA2, epithelial cell kinase; FDFT1, farnesyl-diphosphate farnesyltransferase 1; IFN-γ, interferon-γ; GS-Rg3, ginsenoside Rg3; HIF, hypoxia-inducible factor; HK, hexokinase; LDHA, lactate dehydrogenase A; miR, micro RNA; MMP, matrix metalloproteinase; NF-κB, nuclear factor κB; P53BP1, tumor protein p53 binding protein 1; ROS, reactive oxygen species; VE-cadherin, vascular endothelial cadherin; VEGF, vascular endothelial growth factor.

Inhibition of tumor metastasis

Tumor metastasis is a leading cause of mortality in individuals with tumors. Previous studies have linked tumor metastasis to various factors, including E-cadherin, HIF, tumor-associated macrophages, retinoid acid receptor responder 3, and exosomes carrying miRNA (27,28). Notably, research has shown that GS-Rg3 can impede tumor cell metastasis by inhibiting the Wnt/β-catenin pathway (29). Additionally, GS-Rg3 inhibits the expression of nuclear factor κB (NF-κB), c-Myc, cyclooxygenase-2 and MMP-9, all of which are regulated by NF-κB (30). These findings suggest that GS-Rg3 has the potential to act as a potent therapeutic agent for preventing tumor metastasis.

Inhibition of cell proliferation

GS-Rg3 exhibits a significant effect on cancer cell proliferation. A previous study demonstrated that 20(R)-GS-Rg3 effectively inhibits tumor cell proliferation by increasing the levels of IL-2 and IFN-γ (31). 20(R)-GS-Rg3 can also upregulate Rho GTPase activating protein 9, which is implicated in cell proliferation and metastasis, to impede tumor cell proliferation (32). Furthermore, GS-Rg3 activates the VRK1/tumor protein p53 binding protein 1 pathway, thereby preserving DNA integrity and inhibiting non-small cell lung cancer cell proliferation (33). GS-Rg3 can also arrest A549 cell proliferation by halting the cell cycle at the G0/G1 phase through the EGFR/Ras/Raf/MEK/ERK pathway (34). Additionally, by inhibiting the expression of miR-4425 via the tumor suppressor gene, farnesyl-diphosphate farnesyltransferase 1 (35), GS-Rg3 reduces the methylation of p53, p16 and hMLH1 promoter regions, promotes their mRNA and protein levels and restricts ovarian cancer cell proliferation (25). Moreover, GS-Rg3 can suppress PC3 prostate cancer cell proliferation by arresting the ROS-mediated cell cycle (36,37). These findings suggest that GS-Rg3 has promise as a potent therapeutic agent for inhibiting cancer cell proliferation. By contrast, GS-Rg3 can stimulate cell proliferation even at low concentrations through the mTORC1 pathway and mitochondrial biogenesis (38).

Regulation of mitophagy

Red ginseng-derived GS-Rg3 extract has been found to induce apoptosis and mitochondrial autophagy in lung cancer cells by producing ROS (39). In colorectal cancer, GS-Rg3 treatment exerts antitumor effects by activating the PTEN-induced kinase 1-Parkin signaling pathway, increasing the ubiquitination of GAPDH and promoting mitochondrial autophagy (40).

Combination with other treatment

GS-Rg3 can be synergistically combined with other treatments such as radiotherapy, chemotherapy and targeted therapy, to enhance its antitumor effects. For instance, combining GS-Rg3 with gefitinib can increase gefitinib efficacy in treating malignancy, as depicted in Table II. This combination can elevate the levels of anti-apoptotic protein, Bcl-2, pro-apoptotic protein, Bax, and caspase-3, while reducing the levels of migration-promoting factors, SNAIL and SLUG, and increasing the level of anti-migration protein, E-cadherin, thereby enhancing the pro-apoptotic effect on lung cancer cells and inhibiting metastasis (41). GS-Rg3 can also potentiate the efficacy of drugs in patients with advanced non-small cell lung cancer and reduce chemotherapy-induced drug toxicity (42). Furthermore, GS-Rg3 can reduce the cisplatin resistance of gastric cancer cells by upregulating miR-2 and inhibiting SRY-box transcription factor 3 and the PI3K/Akt/mTOR signaling axis (43). GS-Rg3 can also increase the sensitivity of pancreatic cancer to gemcitabine by decreasing ZFP91-mediated TSPY like 2 instability (44). Moreover, GS-Rg3 can enhance the radiosensitivity of cancer cells in different tumor types, such as lung, breast and nasopharyngeal cancer (45–47). Additionally, GS-Rg3 combined with artemisinin can inhibit STAT3 signal transduction in hepatocellular carcinoma cancer cells, synergistically reduce the viability of cells, induce apoptosis and inhibit the growth of mouse hepatocellular carcinoma (48). Similarly, the combined therapy of GS-Rg3 and sorafenib can mitigate the progression of hepatocellular carcinoma by inhibiting hexokinase 2-mediated glycolysis and the PI3K/Akt signaling pathway (49). Moreover, a meta-analysis has demonstrated that transarterial chemoembolization combined with GS-Rg3 can effectively enhance the objective response rate and disease control rate of hepatocellular carcinoma while reducing adverse reactions to treatment (50).

Table II.

Effect of GS-Rg3 combined with chemotherapeutic drugs.

Table II.

Effect of GS-Rg3 combined with chemotherapeutic drugs.

First author/s, yearDrugTest subjectsEffectsMechanisms(Refs.)
Chang et al, 2014Paclitaxel + CisplatinEC109, TE1 and KYSE170 cellsCombination chemotherapy was more effective in inhibiting tumor growth than non-combination chemotherapy and reduced tumor microvessel densityNot investigated(89)
Dai et al, 2019GefitinibA549 and H1299 cellsIncreased the apoptosis of NSCLC cell lines and reduced the metastasis of cancer cellsIncreased the expression levels of the pro-apoptotic protein, Bax, active caspase-3, the anti-migration protein, E-cadherin, and reduced the expression levels of the anti-apoptotic, protein Bcl-2, and promigration factors, SNAIL and SLUG(41)
Lee et al, 2014CisplatinT24R2 cellsInhibited the proliferation of cisplatin resistant bladder cancer cellsRatio of drug-resistant cells in S phase and G2/M phase increased and the ratio in G0-G1 phase decreased; increased the expression of the pro-apoptotic protein, Bad, and cytochrome c; reduced Bcl-2c expression(90)
Zou et al, 2020GemcitabinePanc-1 and SW1990 cells; BALB/c miceInhibited the growth of gemcitabine-resistant cells and induced apoptosisUpregulated CASC2 and activated the PTEN signaling pathway(91)
Ahmmed et al, 2019GemcitabineA549 and SPCA1 cellsEnhanced the cytotoxicity of gemcitabine and reduced the invasion effect of cancer cellsInhibited NF-κB and downregulated the expression of PTX3 and p65(92)
Yuan et al, 2017PaclitaxelMDA-MB-231, MDA-MB453 and BT-549 cells; BALB/c nu/nu micePromoted the cytotoxicity and induced the apoptosis effect of paclitaxelInhibited NF-κB signal transduction and regulated the expression of Bax/Bcl-2 in triple negative breast cancer(93)
Li et al, 2017DoxorubicinMDA-MB-231 doxorubicin resistant cells; SD male rats; C57/BL and BALB/c miceReduced cardiotoxicity and antagonized cancer cell resistanceInhibited calcium permeability to maintain the homeostasis of the sarcoplasmic reticulum. The mechanism of antagonism drug resistance was not clarified(94)
Shan et al, 2019OxaliplatinSMMC-7721 cellsEnhanced the antitumor effect, inhibited the proliferation of liver cancer cells and promoted apoptosisDiminished the expression of PCNA and cyclin D1(95)

[i] CASC2, cancer susceptibility 2; NF-κB, nuclear factor κB; NSCLC, non-small cell lung cancer; PCNA, proliferating cell nuclear antigen; PTX3, pentraxin 3.

Regulating non-coding RNA

GS-Rg3 can modulate the expression of non-coding RNAs, such as miRNAs, circular (circ)RNAs and long non-coding RNAs, in various types of tumor types, thereby inhibiting tumorigenesis and progression by regulating the corresponding signaling pathways. For example, in hepatocellular carcinoma, GS-Rg3 can inhibit the PI3K/Akt signaling pathway by downregulating expression of the long non-coding RNA, HOTAIR, which inhibits the proliferation and metastasis of hepatocellular carcinoma (51). GS-Rg3 can impede osteosarcoma progression by modulating the circ_0003074/miR-516b-5p/karyopherin subunit α4 (KPNA4) axis. GS-Rg3 significantly reduces the expression of circ_0003074, elevates the expression of miR-516b-5p and downregulates the expression of KPNA4 (52). In breast cancer, GS-Rg3 can counteract the inhibitory effect of the oncogenic long non-coding RNA, ATXN8OS, on the tumor suppressive miR-424-5p, thereby increasing apoptosis and inhibiting the proliferation of breast cancer cells (26). Furthermore, GS-Rg3 can exert antitumor effects on ovarian cancer by inhibiting expression of the long non-coding RNA, H19, which impedes the proliferation, migration and invasion of ovarian cancer cells (53). These findings suggest that GS-Rg3 is a promising therapeutic agent for modulating non-coding RNAs and thus regulating the corresponding signaling pathways to inhibit tumorigenesis and tumor progression.

Reversing the tumor microenvironment (TME)

The TME plays a crucial role in tumor proliferation, metastasis and response to therapy. Typically, immune suppression mediated by the TME leads to poor antitumor responses to therapy (54). However, GS-Rg3 can exert antitumor effects by modulating the TME. Current research in this area is primarily focused on breast cancer. Innovative drug delivery modalities such as GS-Rg3-based liposomes, can achieve targeted localization to human breast cancer paclitaxel-resistant cells and their TME, resulting in the repolarization of M2 macrophages from a tumor-promoting phenotype to an antitumor M1 phenotype. Through dual action of targeting tumor cells and remodeling the TME, to 90.3% of paclitaxel-resistant breast cancer cells are killed (55). In addition to paclitaxel, GS-Rg3-based liposomes can significantly enhance the antitumor effects of docetaxel in triple-negative breast cancer (56). Moreover, GS-Rg3-modified nanoparticles can enhance the immunogenic cell death (ICD) effect induced by doxorubicin (57). When combined with programmed death-ligand 1 (PD-L1) blockade, significant antitumor effects can be achieved in breast cancer through the recruitment of memory T cells and decreased adaptive PD-L1 enrichment (57). For lung metastases, the combination of GS-Rg3-based liposomes with chemotherapy drugs allows for improved capture of circulating tumor cells. Upon reaching the lungs, the immunosuppressive microenvironment is reversed, leading to the inhibition of breast cancer lung metastasis (58). Paclitaxel-loaded GS-Rg3-based liposomes can activate the immune microenvironment in glioblastoma, expanding the population of CD8 T cells to promote T cell immune responses, increasing the M1/M2 ratio and reducing the number of regulatory T cells and myeloid-derived suppressor cells, significantly prolonging the survival time of mice with glioblastoma (7). Furthermore, GS-Rg3 and quercetin nanoparticles can enhance tumor targeting in colorectal cancer mice, with GS-Rg3 serving as an inducer of ICD. This allows for the recruitment, activation, migration and cross-presentation of antigen-presenting cells in lymph nodes and tertiary lymphoid tissues, markedly modulating the immunosuppressive TME, and remodeling ‘cold’ (non-T cell-inflamed) tumors into ‘hot’ (T cell-inflamed) tumors (59). These findings suggest that GS-Rg3-based drug delivery systems remodel the TME and enhance antitumor effects by reversing immune suppression, activating immune responses and promoting ICD.

Preparation of nanomedicines

Various types of ginsenoside nanomedicines have shown potential in the treatment of different tumors, including triple-negative breast cancer (60). The in vivo delivery results of a multifunctional black phosphorus (BP) nanoreagent, BPs/G-Rg3@PLGA, demonstrated its notable therapeutic effect on lung metastases from breast cancer, along with significant biocompatibility with various organs/tissues (61). GS-Rg3-loaded carbon nanotubes have been shown to reduce IFN-γ-induced upregulation of PD-L1 in breast cancer cells, thereby decreasing the programmed cell death protein-1/PD-L1 axis in the T cell/triple-negative breast cancer cell coculture system (62). GS-Rg3 loaded on a biomimetic nanosystem has been shown to enhance the sensitivity of tumors to doxorubicin, thereby initiating antitumor immune activation and effectively combating leukemia cells harbored in the bone marrow (63). Nanoparticles constructed using graphene oxide (GO) linked with the photosensitizer, indocyanine green (ICG), folic acid and polyethylene glycol (PEG), and loaded with GS-Rg3 (PEG-GO-FA/ICG-Rg3) can inhibit the proliferation, invasion and migration of osteosarcoma cells, enhance the apoptosis and autophagy of osteosarcoma cells and suppress the stemness of osteosarcoma cell-derived cancer stem cells (64). Ursolic acid and GS-Rg3 co-loaded liposomes can significantly reduce the proliferation of liver cancer cells, while increasing the apoptotic rate and the proportion of cells in the G0/G1 phase (65). A novel nanomedicine was recently developed by combining metal-based nanoenzymes (Fe@Fe3O4) with GS-Rg3. The glycosidic chains of GS-Rg3 formed a hydrophilic layer on the outermost surface of the nanomedicine, improving biocompatibility and pharmacokinetics, thus promoting the apoptosis of cancer cells (66). These studies suggest that ginsenoside nanomedicines have great potential in the treatment of a variety of tumor types, with improved biocompatibility, targeted delivery and enhanced therapeutic efficacy.

Immune regulation

A number of extracts from Chinese medicinal herbs are used to treat immunological issues, and immune modulation is a key mode of action of GS-Rg3. GS-Rg3 enhances cellular immunity by upregulating CD4+, CD4+/CD8+, IgG, IgM and IL-2, and downregulating CD8+ and IL-6 in a dose-dependent manner (67). This effect may be related to its stimulation of concanavalin A (ConA)-induced lymphocyte proliferation and increased levels of the Type 1 T helper (Th1)-type cytokines, IL-2 and interferon (IFN)-γ (31). Furthermore, 20(R)-GS-Rg3 promotes natural killer (NK) cell activity via activation of the MAPK/ERK pathway, suggesting that 20(R)-GS-Rg3 may be used as an activator of NK cell cytotoxicity to treat various types of cancer (68). Cyclophosphamide decreases T-bet and IFN-γ expression in the thymus and spleen, while increasing GATA-3 and IL-4 expression, thereby altering the Th1/Th2 balance and resulting in immunosuppression (69). GS-Rg3 can antagonize this effect by regulating the ratio of T lymphocyte subsets (70). For autoimmune neuroinflammation, GS-Rg3 has a minor effect on the dendritic cell production of Th17-promoting cytokines such as IL-6, IL-12/23p40 and TNFα. Specifically, it upregulates the expression of TNFα and IL-12 and downregulates the expression of IL-6. Instead, it notably reduces the induction of RAR-related orphan nuclear receptor γt expression in the CD4+ T cells, and therefore inhibits the differentiation of Th17 cells from their precursors (71). These finding suggest that GS-Rg3 may be a promising therapeutic agent for the treatment of Th17-related autoimmune disorders.

GS-Rg3 has two chiral isomers with notably distinct therapeutic properties. An investigation was conducted to compare the immunological response of 20(S)-GS-Rg3 and 20(R)-GS-Rg3 as adjuvants to ovalbumin (OVA). The results revealed that both 20(R)-GS-Rg3 and 20(S)-GS-Rg3 can serve as adjuvants for the immunological response induced by OVA. However, 20(R)-GS-Rg3 significantly increased OVA-specific IgG and IgG subtypes in the blood, relative to 20(S)-GS-Rg3, and was accompanied by a marked rise in serum IFN-γ and IL-5 levels (72). 20(R)-Rg3 significantly enhanced splenocyte proliferative responses to Con A, LPS and OVA as well as mRNA expression of IFN-γ, IL-12, IL-4 and IL-10 and transcription factors T-bet and GATA-3 by splenocytes when compared with the 20(S)-Rg3 (67).

Anti-fatigue effects of GS-Rg3

GS-Rg3 has anti-fatigue properties. GS-Rg3 can increase the physical strength of older rats by increasing serum total cholesterol, triglyceride and lactate dehydrogenase concentrations, increasing superoxide dismutase concentrations, decreasing malondialdehyde release in skeletal muscle and increasing phosphoenolpyruvate carboxykinase mRNA expression (73). GS-Rg3 can also relieve the pain and discomfort associated with cancer and anti-cancer drugs, improving patient comfort (74,75). GS-Rg3 has also been found to stimulate sirtuin 1, which protects skeletal muscles from damage caused by reactive oxygen species and thus acts as an anti-fatigue agent (73). In rats, fatigue can decrease the production and phosphorylation of tyrosine hydroxylase, which results in a decrease in dopamine. GS-Rg3 has been shown to effectively reverse this by increasing the phosphorylation of synuclein, protein kinase A, ERK1/2 and Akt (76). These findings suggest that GS-Rg3 has potential as a natural anti-fatigue agent and may have beneficial effects in improving physical strength and relieving the pain and discomfort associated with cancer.

Final remarks

GS-Rg3 has emerged as a promising new anticancer agent with multifaceted and heterogeneous anticancer properties across various cancer types. Notably, GS-Rg3 has demonstrated therapeutic benefits in the treatment of liver, lung, gastric, breast, ovarian and prostate cancer. Recent literature reports have shed light on the diverse cancer-fighting mechanisms of GS-Rg3, including induction of tumor apoptosis, inhibition of tumor metastasis, proliferation and angiogenesis, enhancement of immune function, reversal of inhibitory TMEs and promotion of mitochondrial autophagy (Fig. 2). The use of immune checkpoint inhibitors has resulted in significant improvements in the treatment paradigm for various solid tumors, leading to notable enhancements in overall efficacy and patient prognosis (77). Nevertheless, the issue of resistance to immune therapy remains a significant challenge. Tumor cells exploit their inhibitory immune microenvironments to evade the effects of immune checkpoint inhibitors, a phenomenon that has been demonstrated by numerous studies to be reversible through the use of GS-Rg3. Ginseng, an ancient and valuable Chinese herbal medicine, has a notable impact on the immune system. The gut microbiota maintains a symbiotic relationship with the intestinal mucosa, which is the largest immune organ in the human body (78). Through the integration of environmental factors such as diet, with genetic and immune signals, the gut microbiota can influence the metabolism, immune function, neurodevelopment and pathogen colonization of the host. Similarly, alterations in the host immune environment can also impact the gut microbiota through different immune cells such as dendritic cells, regulatory T cells, monocytes, etc (79,80) Dysbiosis of the gut microbiota can result in changes in intestinal permeability, disrupting the existing equilibrium and affecting the metabolism and immune function of the host, thereby contributing to the development of various diseases, such as inflammatory bowel disease, depression, and cancer (80,81). In recent years, there has been increasing recognition of the importance of the gut microbiota in the diagnosis and treatment of diseases. As such, investigating whether the interaction between orally administered GS-Rg3 and the gut microbiota affects the anticancer effects of GS-Rg3 is a worthwhile endeavor.

Figure 2.

Diverse cancer-fighting mechanisms of GS-Rg3, a promising new anticancer agent. These mechanisms include induction of tumor apoptosis, inhibition of tumor metastasis, proliferation and angiogenesis, regulation of non-coding RNA, enhancement of immune function, reversal of inhibitory tumor microenvironments and promotion of mitochondrial autophagy. This also involved the preparation of novel nanomedicines. E-cadherin, endothelial cadherin; GS-Rg3, ginsenoside Rg3; HIF, hypoxia-inducible factor.

Mitochondria, which serve as cellular energy factories, play a crucial role in cells, particularly cancer cells. Mitochondrial autophagy may exert a bidirectional regulatory effect on the occurrence and development of cancer; it can promote cancer progression by enabling cancer cells to survive under stress or it can induce carcinogenesis by affecting cell signaling transduction or promoting intracellular toxicity when mutations or abnormalities occur (82). Recent studies have also demonstrated that abnormal mitochondrial function is linked to the cellular immune response (83,84). At present, there are limited investigations regarding whether GS-Rg3 can influence cancer cell proliferation by modulating mitochondrial autophagy or other mitochondrial functions and activities. This area may be a future research focus to identify new properties that GS-Rg3 may offer in the field of antitumor therapy.

However, the low oral bioavailability of GS-Rg3, given its extensive pro-systemic metabolism and poor membrane permeability, prevents the attainment of high working concentrations in vivo (38). Given that reaching the concentration of GS-Rg3 required to inhibit cancer cell growth in vivo is challenging, efforts should also be focused on investigating new methods to improve the solubility of GS-Rg3 without decreasing the efficacy of the drug, such as in the development of cofactors to aid in solubilization. The combination of GS-Rg3 with cholesterol transport liposomes as an alternative approach has shown greater therapeutic efficacy, reduced toxicity and the potential for overcoming drug resistance, exhibiting certain synergistic effects with anticancer drugs (60). Additionally, GS-Rg3 has displayed functions that are independent of its anticancer effects, such as enhancing biocompatibility and pharmacokinetics, which offer new directions for its optimal utilization.

Overall, research in basic medicine has highlighted the marked anticancer properties of GS-Rg3 across various tumor types. However, its clinical use is predominantly restricted to primary lung cancer and liver cancer chemotherapy. The ongoing research efforts aim to fully harness the anticancer capabilities of GS-Rg3 within biological systems, potentially broadening its clinical applications to a wider range of cancer types. Meanwhile, more clinical trials should be conducted to comprehensively evaluate its safety and feasibility to realize its clinical application and benefits to patients. In summary, the evidence presented thus far suggests that GS-Rg3 is a promising anticancer agent that warrants further investigation. Further clinical trials are required to assess the effectiveness and safety of GS-Rg3 and optimize its potential for clinical implementation in cancer treatment.

Acknowledgements

Not applicable.

Funding

Funding: Not applicable.

Availability of data and materials

Not applicable.

Authors' contributions

YZ edited the review. JN and GL wrote the review. YL was a major contributor in revision of the manuscript. All authors have read and approved the final manuscript. Data authentication is not applicable.

Ethics approval and consent to participate

Not applicable.

Patient consent for publication

Not applicable.

Competing interests

The authors declare that they have no competing interests.

References

1 

Gao S, Fang C, Wang T, Lu W, Wang N, Sun L, Fang W, Chen Y and Hu R: The effect of ginsenoside Rg3 combined with chemotherapy on immune function in non-small cell lung cancer: A systematic review and meta-analysis of randomized controlled trials. Medicine (Baltimore). 102:e334632023. View Article : Google Scholar : PubMed/NCBI

2 

Nakhjavani M, Smith E, Townsend AR, Price TJ and Hardingham JE: Anti-Angiogenic properties of ginsenoside Rg3. Molecules. 25:49052020. View Article : Google Scholar : PubMed/NCBI

3 

Wang J, Qi F, Wang Z, Zhang Z, Pan N, Huai L, Qu S and Zhao L: A review of traditional Chinese medicine for treatment of glioblastoma. Biosci Trends. 13:476–487. 2020. View Article : Google Scholar : PubMed/NCBI

4 

Sun M, Ye Y, Xiao L, Duan X, Zhang Y and Zhang H: Anticancer effects of ginsenoside Rg3 (Review). Int J Mol Med. 39:507–518. 2017. View Article : Google Scholar : PubMed/NCBI

5 

Kim IW, Sun WS, Yun BS, Kim NR, Min D and Kim SK: Characterizing a full spectrum of physico-chemical properties of (20S)-and (20R)-ginsenoside Rg3 to be proposed as standard reference materials. J Ginseng Res. 37:124–134. 2013. View Article : Google Scholar : PubMed/NCBI

6 

Ren Z, Chen X, Hong L, Zhao X, Cui G, Li A, Liu Y, Zhou L, Sun R, Shen S, et al: Nanoparticle conjugation of ginsenoside Rg3 inhibits hepatocellular carcinoma development and metastasis. Small. 16:e19052332020. View Article : Google Scholar : PubMed/NCBI

7 

Zhu Y, Liang J, Gao C, Wang A, Xia J, Hong C, Zhong Z, Zuo Z, Kim J, Ren H, et al: Multifunctional ginsenoside Rg3-based liposomes for glioma targeting therapy. J Control Release. 330:641–657. 2021. View Article : Google Scholar : PubMed/NCBI

8 

Liu ZL, Chen HH, Zheng LL, Sun LP and Shi L: Angiogenic signaling pathways and anti-angiogenic therapy for cancer. Sig Transduct Target Ther. 8:1982023. View Article : Google Scholar : PubMed/NCBI

9 

Lugano R, Ramachandran M and Dimberg A: Tumor angiogenesis: Causes, consequences, challenges and opportunities. Cell Mol Life Sci. 77:1745–1770. 2020. View Article : Google Scholar : PubMed/NCBI

10 

Carmeliet P and Jain RK: Principles and mechanisms of vessel normalization for cancer and other angiogenic diseases. Nat Rev Drug Discov. 10:417–427. 2011. View Article : Google Scholar : PubMed/NCBI

11 

Kim JW, Jung SY, Kwon YH, Lee SH, Lee JH, Lee BY and Kwon SM: Ginsenoside Rg3 inhibits endothelial progenitor cell differentiation through attenuation of VEGF-Dependent Akt/eNOS signaling. Phytother Res. 26:1286–1293. 2012. View Article : Google Scholar : PubMed/NCBI

12 

Zeng D, Wang J, Kong P, Chang C and Li J and Li J: Ginsenoside Rg3 inhibits HIF-1α and VEGF expression in patient with acute leukemia via inhibiting the activation of PI3K/Akt and ERK1/2 pathways. Int J Clin Exp Pathol. 7:2172–2178. 2014.PubMed/NCBI

13 

Maniotis AJ, Folberg R, Hess A, Seftor EA, Gardner LM, Pe'er J, Trent JM, Meltzer PS and Hendrix MJ: Vascular channel formation by human melanoma cells in vivo and in vitro: Vasculogenic Mimicry. Am J Pathol. 155:739–752. 1999. View Article : Google Scholar : PubMed/NCBI

14 

Delgado-Bellido D, Zamudio-Martínez E, Fernández-Cortés M, Herrera-Campos AB, Olmedo-Pelayo J, Perez CJ, Expósito J, de Álava E, Amaral AT, Valle FO, et al: VE-Cadherin modulates β-catenin/TCF-4 to enhance vasculogenic mimicry. Cell Death Dis. 14:1352023. View Article : Google Scholar : PubMed/NCBI

15 

Zhang F, Lin H, Cao K, Wang H, Pan J, Zhuang J, Chen X, Huang B, Wang D and Qiu S: Vasculogenic mimicry plays an important role in adrenocortical carcinoma. Int J Urol. 23:371–377. 2016. View Article : Google Scholar : PubMed/NCBI

16 

Williamson SC, Metcalf RL, Trapani F, Mohan S, Antonello J, Abbott B, Leong HS, Chester CP, Simms N, Polanski R, et al: Vasculogenic mimicry in small cell lung cancer. Nat Commun. 7:133222016. View Article : Google Scholar : PubMed/NCBI

17 

Li X, Xue Y, Liu X, Zheng J, Shen S, Yang C, Chen J, Li Z, Liu L, Ma J, et al: ZRANB2/SNHG20/FOXK1 Axis regulates Vasculogenic mimicry formation in glioma. J Exp Clin Cancer Res. 38:682019. View Article : Google Scholar : PubMed/NCBI

18 

Wang S, Zhang Z, Qian W, Ji D, Wang Q, Ji B, Zhang Y, Zhang C and Sun Y, Zhu C and Sun Y: Angiogenesis and vasculogenic mimicry are inhibited by 8-Br-cAMP through activation of the cAMP/PKA pathway in colorectal cancer. Onco Targets Ther. 11:3765–3774. 2018. View Article : Google Scholar : PubMed/NCBI

19 

Xu MR, Wei PF, Suo MZ, Hu Y, Ding W, Su L, Zhu YD, Song WJ, Tang GH, Zhang M and Li P: Brucine suppresses vasculogenic mimicry in human triple-negative breast cancer cell line MDA-MB-231. Biomed Res Int. 2019:65432302019.PubMed/NCBI

20 

Treps L, Faure S and Clere N: Vasculogenic mimicry, a complex and devious process favoring tumorigenesis-Interest in making it a therapeutic target. Pharmacol Ther. 223:1078052021. View Article : Google Scholar : PubMed/NCBI

21 

Guo JQ, Zheng QH, Chen H, Chen L, Xu JB, Chen MY, Lu D, Wang ZH, Tong HF and Lin S: Ginsenoside Rg3 inhibition of vasculogenic mimicry in pancreatic cancer through downregulation of VE-cadherin/EphA2/MMP9/MMP2 expression. Int J Oncol. 45:1065–1072. 2014. View Article : Google Scholar : PubMed/NCBI

22 

Qi L, Song W, Liu Z, Zhao X, Cao W and Sun B: Wnt3a promotes the vasculogenic mimicry formation of colon cancer via Wnt/β-Catenin signaling. Int J Mol Sci. 16:18564–18579. 2015. View Article : Google Scholar : PubMed/NCBI

23 

Junmin S, Hongxiang L, Zhen L, Chao Y and Chaojie W: Ginsenoside Rg3 inhibits colon cancer cell migration by suppressing nuclear factor kappa B activity. J Tradit Chin Med. 35:440–444. 2015. View Article : Google Scholar : PubMed/NCBI

24 

Xie Q, Wen H, Zhang Q, Zhou W, Lin X, Xie D and Liu Y: Inhibiting PI3K-AKt signaling pathway is involved in antitumor effects of ginsenoside Rg3 in lung cancer cell. Biomed Pharmacother. 85:16–21. 2017. View Article : Google Scholar : PubMed/NCBI

25 

Zhao L, Shou H, Chen L, Gao W, Fang C and Zhang P: Effects of ginsenoside Rg3 on epigenetic modification in ovarian cancer cells. Oncol Rep. 41:3209–3218. 2019.PubMed/NCBI

26 

Kim H, Ji HW, Kim HW, Yun SH, Park JE and Kim SJ: Ginsenoside Rg3 prevents oncogenic long noncoding RNA ATXN8OS from inhibiting tumor-suppressive microRNA-424-5p in breast cancer cells. Biomolecules. 11:1182021. View Article : Google Scholar : PubMed/NCBI

27 

Zhao JY, Yuan XK, Luo RZ, Wang LX, Gu W, Yamane D and Feng H: Phospholipase A and acyltransferase 4/retinoic acid receptor responder 3 at the intersection of tumor suppression and pathogen restriction. Front Immunol. 14:11072392023. View Article : Google Scholar : PubMed/NCBI

28 

Liu W, Pan HF, Yang LJ, Zhao ZM, Yuan DS, Liu YL and Lin LZ: Panax ginseng C.A. Meyer (Rg3) ameliorates gastric precancerous lesions in Atp4a-/- Mice via inhibition of glycolysis through PI3K/AKT/miRNA-21 Pathway. Evid Based Complement Alternat Med. 2020.2672648. 2020.

29 

Mao X, Jin Y, Feng T, Wang H, Liu D, Zhou Z, Yan Q, Yang H, Yang J, Yang J, et al: Ginsenoside Rg3 inhibits the growth of osteosarcoma and attenuates metastasis through the Wnt/β-Catenin and EMT signaling pathway. Evid Based Complement Alternat Med. 2020:60651242020. View Article : Google Scholar : PubMed/NCBI

30 

Bian S, Zhao Y, Li F, Lu S, Wang S, Bai X, Liu M, Zhao D, Wang J and Guo D: 20(S)-Ginsenoside Rg3 Promotes HeLa Cell Apoptosis by Regulating Autophagy. Molecules. 24:36552019. View Article : Google Scholar : PubMed/NCBI

31 

Wu R, Ru Q, Chen L, Ma B and Li C: Stereospecificity of Ginsenoside Rg3 in the promotion of cellular immunity in hepatoma H22-Bearing mice. J Food Sci. 79:H1430–H1435. 2014. View Article : Google Scholar : PubMed/NCBI

32 

Sun MY, Song YN, Zhang M, Zhang CY, Zhang LJ and Zhang H: Ginsenoside Rg3 inhibits the migration and invasion of liver cancer cells by increasing the protein expression of ARHGAP9. Oncol Lett. 17:965–973. 2019.PubMed/NCBI

33 

Liu T, Zuo L, Guo D, Chai X, Xu J, Cui Z, Wang Z and Hou C: Ginsenoside Rg3 regulates DNA damage in non-small cell lung cancer cells by activating VRK1/P53BP1 pathway. Biomed Pharmacother. 120:1094832019. View Article : Google Scholar : PubMed/NCBI

34 

Liang Y, Zhang T, Jing S, Zuo P, Li T, Wang Y, Xing S, Zhang J and Wei Z: 20(S)-Ginsenoside Rg3 inhibits lung cancer cell proliferation by targeting EGFR-Mediated Ras/Raf/MEK/ERK pathway. Am J Chin Med. 49:753–765. 2021. View Article : Google Scholar : PubMed/NCBI

35 

Lu J, Zhou Y, Zheng X, Chen L, Tuo X, Chen H, Xue M, Chen Q, Chen W, Li X and Zhao L: 20(S)-Rg3 upregulates FDFT1 via reducing miR-4425 to inhibit ovarian cancer progression. Arch Biochem Biophys. 693:1085692020. View Article : Google Scholar : PubMed/NCBI

36 

Peng Y, Zhang R, Yang X, Zhang Z, Kang N, Bao L, Shen Y, Yan H and Zheng F: Ginsenoside Rg3 suppresses the proliferation of prostate cancer cell line PC3 through ROS-induced cell cycle arrest. Oncol Lett. 17:1139–1145. 2019.PubMed/NCBI

37 

Liu Z, Liu T, Li W, Li J, Wang C and Zhang K: Insights into the antitumor mechanism of ginsenosides Rg3. Mol Biol Rep. 48:2639–2652. 2021. View Article : Google Scholar : PubMed/NCBI

38 

Liu W, Zhang SX, Ai B, Pan HF, Zhang D, Jiang Y, Hu LH, Sun LL, Chen ZS and Lin LZ: Ginsenoside Rg3 promotes cell growth through activation of mTORC1. Front Cell Dev Biol. 9:7303092021. View Article : Google Scholar : PubMed/NCBI

39 

Hwang SK, Jeong YJ, Cho HJ, Park YY, Song KH and Chang YC: Rg3-enriched red ginseng extract promotes lung cancer cell apoptosis and mitophagy by ROS production. J Ginseng Res. 46:138–146. 2022. View Article : Google Scholar : PubMed/NCBI

40 

Sun X, Hong Y, Shu Y, Wu C, Ye G, Chen H, Zhou H, Gao R and Zhang J: The involvement of Parkin-dependent mitophagy in the anti-cancer activity of Ginsenoside. J Ginseng Res. 46:266–274. 2022. View Article : Google Scholar : PubMed/NCBI

41 

Dai Y, Wang W, Sun Q and Tuohayi J: Ginsenoside Rg3 promotes the antitumor activity of gefitinib in lung cancer cell lines. Exp Ther Med. 17:953–959. 2019.PubMed/NCBI

42 

Peng Z, Wu WW and Yi P: The efficacy of ginsenoside Rg3 combined with first-line chemotherapy in the treatment of advanced non-small cell lung cancer in China: A systematic review and meta-analysis of randomized clinical trials. Front Pharmacol. 11:6308252020. View Article : Google Scholar : PubMed/NCBI

43 

Wang X, He R, Geng L, Yuan J and Fan H: Ginsenoside Rg3 alleviates cisplatin resistance of gastric cancer cells through inhibiting SOX2 and the PI3K/Akt/mTOR signaling axis by Up-Regulating miR-429. Front Genet. 13:8231822022. View Article : Google Scholar : PubMed/NCBI

44 

Pan H, Yang L, Bai H, Luo J and Deng Y: Ginsenoside Rg3 increases gemcitabine sensitivity of pancreatic adenocarcinoma via reducing ZFP91 mediated TSPYL2 destabilization. J Ginseng Res. 46:636–645. 2022. View Article : Google Scholar : PubMed/NCBI

45 

Li J and Yang B: Ginsenoside Rg3 enhances the radiosensitivity of lung cancer A549 and H1299 cells via the PI3K/AKT signaling pathway. In Vitro Cell Dev Biol Anim. 59:19–30. 2023. View Article : Google Scholar : PubMed/NCBI

46 

Changizi V, Gharekhani V and Motavaseli E: Co-treatment with Ginsenoside 20(S)-Rg3 and curcumin increases radiosensitivity of MDA-MB-231 cancer cell line. Iran J Med Sci. 46:291–297. 2021.PubMed/NCBI

47 

Hu G, Luo N, Guo Q, Wang D, Peng P, Liu D, Liu S, Zhang L, Long G and Sun W: Ginsenoside Rg3 sensitizes nasopharyngeal carcinoma cells to radiation by suppressing epithelial mesenchymal transition. Radiat Res. 199:460–467. 2023. View Article : Google Scholar : PubMed/NCBI

48 

Chen YJ, Wu JY, Deng YY, Wu Y, Wang XQ, Li AS, Wong LY, Fu XQ, Yu ZL and Liang C: Ginsenoside Rg3 in combination with artesunate overcomes sorafenib resistance in hepatoma cell and mouse models. J Ginseng Res. 46:418–425. 2022. View Article : Google Scholar : PubMed/NCBI

49 

Wei Q, Ren Y, Zheng X, Yang S, Lu T, Ji H, Hua H and Shan K: Ginsenoside Rg3 and sorafenib combination therapy relieves the hepatocellular carcinomaprogression through regulating the HK2-mediated glycolysis and PI3K/Akt signaling pathway. Bioengineered. 13:13919–13928. 2022. View Article : Google Scholar : PubMed/NCBI

50 

Zhu H, Wang SY, Zhu JH, Liu H, Kong M, Mao Q, Zhang W and Li SL: Efficacy and safety of transcatheter arterial chemoembolization combined with ginsenosides in hepatocellular carcinoma treatment. Phytomedicine. 91:1537002021. View Article : Google Scholar : PubMed/NCBI

51 

Pu Z, Ge F, Wang Y, Jiang Z, Zhu S, Qin S, Dai Q, Liu H and Hua H: Ginsenoside-Rg3 inhibits the proliferation and invasion of hepatoma carcinoma cells via regulating long non-coding RNA HOX antisense intergenic. Bioengineered. 12:2398–2409. 2021. View Article : Google Scholar : PubMed/NCBI

52 

Wang T, Zhang C and Wang S: Ginsenoside Rg3 inhibits osteosarcoma progression by reducing circ_0003074 expression in a miR-516b-5p/KPNA4-dependent manner. J Orthop Surg Res. 16:7242021. View Article : Google Scholar : PubMed/NCBI

53 

Zhao L, Sun W, Zheng A, Zhang Y, Fang C and Zhang P: Ginsenoside Rg3 suppresses ovarian cancer cell proliferation and invasion by inhibiting the expression of lncRNA H19. Acta Biochim Pol. 68:575–582. 2021.PubMed/NCBI

54 

Bilotta MT, Antignani A and Fitzgerald DJ: Managing the TME to improve the efficacy of cancer therapy. Front Immunol. 13:9549922022. View Article : Google Scholar : PubMed/NCBI

55 

Zhu Y, Wang A, Zhang S, Kim J, Xia J, Zhang F, Wang D, Wang Q and Wang J: Paclitaxel-loaded ginsenoside Rg3 liposomes for drug-resistant cancer therapy by dual targeting of the tumor microenvironment and cancer cells. J Adv Res. 49:159–173. 2023. View Article : Google Scholar : PubMed/NCBI

56 

Xia J, Zhang S, Zhang R, Wang A, Zhu Y, Dong M, Ma S, Hong C, Liu S, Wang D and Wang J: Targeting therapy and tumor microenvironment remodeling of triple-negative breast cancer by ginsenoside Rg3 based liposomes. J Nanobiotechnol. 20:4142022. View Article : Google Scholar

57 

Wu H, Wei G, Luo L, Li L, Gao Y, Tan X, Wang S, Chang H, Liu Y, Wei Y, et al: Ginsenoside Rg3 nanoparticles with permeation enhancing based chitosan derivatives were encapsulated with doxorubicin by thermosensitive hydrogel and anti-cancer evaluation of peritumoral hydrogel injection combined with PD-L1 antibody. Biomater Res. 26:772022. View Article : Google Scholar : PubMed/NCBI

58 

Xia J, Ma S, Zhu X, Chen C, Zhang R, Cao Z, Chen X, Zhang L, Zhu Y, Zhang S, et al: Versatile ginsenoside Rg3 liposomes inhibit tumor metastasis by capturing circulating tumor cells and destroying metastatic niches. Sci Adv. 8:eabj12622022. View Article : Google Scholar : PubMed/NCBI

59 

Sun D, Zou Y, Song L, Han S, Yang H, Chu D, Dai Y, Ma J, O'Driscoll CM, Yu Z and Guo J: A cyclodextrin-based nanoformulation achieves co-delivery of ginsenoside Rg3 and quercetin for chemo-immunotherapy in colorectal cancer. Acta Pharm Sin B. 12:378–393. 2022. View Article : Google Scholar : PubMed/NCBI

60 

Zuo S, Wang J, An X, Wang Z, Zheng X and Zhang Y: Fabrication of ginsenoside-based nanodrugs for enhanced antitumor efficacy on triple-negative breast cancer. Front Bioeng Biotechnol. 10:9454722022. View Article : Google Scholar : PubMed/NCBI

61 

Xiong J, Yuan H, Wu H, Cheng J, Yang S and Hu T: Black phosphorus conjugation of chemotherapeutic ginsenoside Rg3: enhancing targeted multimodal nanotheranostics against lung cancer metastasis. Drug Deliv. 28:1748–1758. 2021. View Article : Google Scholar : PubMed/NCBI

62 

Luo X, Wang H and Ji D: Carbon nanotubes (CNT)-loaded ginsenosides Rb3 suppresses the PD-1/PD-L1 pathway in triple-negative breast cancer. Aging (Albany NY). 13:17177–17189. 2021. View Article : Google Scholar : PubMed/NCBI

63 

Chen M, Qiao Y, Cao J, Ta L, Ci T and Ke X: Biomimetic doxorubicin/ginsenoside co-loading nanosystem for chemoimmunotherapy of acute myeloid leukemia. J Nanobiotechnol. 20:2732022. View Article : Google Scholar

64 

Lu SL, Wang YH, Liu GF, Wang L, Li Y, Guo ZY and Cheng C: Graphene oxide nanoparticle-loaded ginsenoside rg3 improves photodynamic therapy in inhibiting malignant progression and stemness of osteosarcoma. Front Mol Biosci. 8:6630892021. View Article : Google Scholar : PubMed/NCBI

65 

Wang B, Xu Q, Zhou C and Lin Y: Liposomes co-loaded with ursolic acid and ginsenoside Rg3 in the treatment of hepatocellular carcinoma. Acta Biochim Pol. 68:711–715. 2021.PubMed/NCBI

66 

Zhao X, Wu J, Zhang K, Guo D, Hong L, Chen X, Wang B and Song Y: The synthesis of a nanodrug using metal-based nanozymes conjugated with ginsenoside Rg3 for pancreatic cancer therapy. Nanoscale Adv. 4:190–199. 2021. View Article : Google Scholar : PubMed/NCBI

67 

Wei X, Chen J, Su F, Su X, Hu T and Hu S: Stereospecificity of ginsenoside Rg3 in promotion of the immune response to ovalbumin in mice. Int Immunol. 24:465–471. 2012. View Article : Google Scholar : PubMed/NCBI

68 

Lee Y, Park A, Park YJ, Jung H, Kim TD, Noh JY, Choi I, Lee S and Ran Yoon S: Ginsenoside 20(R)-Rg3 enhances natural killer cell activity by increasing activating receptor expression through the MAPK/ERK signaling pathway. Int Immunopharmacol. 107:1086182022. View Article : Google Scholar : PubMed/NCBI

69 

Cho M, Choi G, Shim I and Chung Y: Enhanced Rg3 negatively regulates Th1 cell responses. J Ginseng Res. 43:49–57. 2019. View Article : Google Scholar : PubMed/NCBI

70 

Liu X, Zhang Z, Liu J, Wang Y, Zhou Q, Wang S and Wang X: Ginsenoside Rg3 improves cyclophosphamide-induced immunocompetence in Balb/c mice. Int Immunopharmacol. 72:98–111. 2019. View Article : Google Scholar : PubMed/NCBI

71 

Park YJ, Cho M, Choi G, Na H and Chung Y: A Critical Regulation of Th17 Cell Responses and Autoimmune Neuro-Inflammation by Ginsenoside Rg3. Biomolecules. 10:1222020. View Article : Google Scholar : PubMed/NCBI

72 

Sun J, Hu S and Song X: Adjuvant effects of protopanaxadiol and protopanaxatriol saponins from ginseng roots on the immune responses to ovalbumin in mice. Vaccine. 25:1114–1120. 2007. View Article : Google Scholar : PubMed/NCBI

73 

Yang QY, Lai XD, Ouyang J and Yang JD: Effects of Ginsenoside Rg3 on fatigue resistance and SIRT1 in aged rats. Toxicology. 409:144–151. 2018. View Article : Google Scholar : PubMed/NCBI

74 

Park KT, Jo H, Kim B and Kim W: Red Ginger Extract Prevents the Development of Oxaliplatin-Induced Neuropathic Pain by Inhibiting the Spinal Noradrenergic System in Mice. Biomedicines. 11:4322023. View Article : Google Scholar : PubMed/NCBI

75 

Suzuki T, Yamamoto A, Ohsawa M, Motoo Y, Mizukami H and Makino T: Effect of ninjin'yoeito and ginseng extracts on oxaliplatin-induced neuropathies in mice. J Nat Med. 71:757–764. 2017. View Article : Google Scholar : PubMed/NCBI

76 

Xu Y, Zhang P, Wang C, Shan Y, Wang D, Qian F, Sun M and Zhu C: Effect of ginsenoside Rg3 on tyrosine hydroxylase and related mechanisms in the forced swimming-induced fatigue rats. J Ethnopharmacol. 150:138–147. 2013. View Article : Google Scholar : PubMed/NCBI

77 

Zhang Y and Zhang Z: The history and advances in cancer immunotherapy: Understanding the characteristics of tumor-infiltrating immune cells and their therapeutic implications. Cell Mol Immunol. 17:807–821. 2020. View Article : Google Scholar : PubMed/NCBI

78 

Wastyk HC, Fragiadakis GK, Perelman D, Dahan D, Merrill BD, Yu FB, Topf M, Gonzalez CG, Van Treuren W, Han S, et al: Gut-microbiota-targeted diets modulate human immune status. Cell. 184:4137–4153.e14. 2021. View Article : Google Scholar : PubMed/NCBI

79 

Zhou CB, Zhou YL and Fang JY: Gut Microbiota in cancer immune response and immunotherapy. Trends Cancer. 7:647–660. 2021. View Article : Google Scholar : PubMed/NCBI

80 

Pickard JM, Zeng MY, Caruso R and Núñez G: Gut microbiota: Role in pathogen colonization, immune responses, and inflammatory disease. Immunol Rev. 279:70–89. 2017. View Article : Google Scholar : PubMed/NCBI

81 

Adak A and Khan MR: An insight into gut microbiota and its functionalities. Cell Mol Life Sci. 76:473–493. 2019. View Article : Google Scholar : PubMed/NCBI

82 

Panigrahi DP, Praharaj PP, Bhol CS, Mahapatra KK, Patra S, Behera BP, Mishra SR and Bhutia SK: The emerging, multifaceted role of mitophagy in cancer and cancer therapeutics. Semin Cancer Biol. 66:45–58. 2020. View Article : Google Scholar : PubMed/NCBI

83 

Zecchini V, Paupe V, Herranz-Montoya I, Janssen J, Wortel IMN, Morris JL, Ferguson A, Chowdury SR, Segarra-Mondejar M, Costa ASH, et al: Fumarate induces vesicular release of mtDNA to drive innate immunity. Nature. 615:499–506. 2023. View Article : Google Scholar : PubMed/NCBI

84 

Qiu S, Zhong X, Meng X, Li S, Qian X, Lu H, Cai J, Zhang Y, Wang M, Ye Z, et al: Mitochondria-localized cGAS suppresses ferroptosis to promote cancer progression. Cell Res. 33:299–311. 2023. View Article : Google Scholar : PubMed/NCBI

85 

Tang YC, Zhang Y, Zhou J, Zhi Q, Wu MY, Gong FR, Shen M, Liu L, Tao M, Shen B, et al: Ginsenoside Rg3 targets cancer stem cells and tumor angiogenesis to inhibit colorectal cancer progression in vivo. Int J Oncol. 52:127–138. 2018.PubMed/NCBI

86 

Song JH, Eum DY, Park SY, Jin YH, Shim JW, Park SJ, Kim MY, Park SJ, Heo K and Choi YJ: Inhibitory effect of ginsenoside Rg3 on cancer stemness and mesenchymal transition in breast cancer via regulation of myeloid-derived suppressor cells. PLoS One. 15:e02405332020. View Article : Google Scholar : PubMed/NCBI

87 

Ge X, Zhen F, Yang B, Yang X, Cai J, Zhang C, Zhang S, Cao Y, Ma J, Cheng H and Sun X: Ginsenoside Rg3 enhances radiosensitization of hypoxic oesophageal cancer cell lines through vascular endothelial growth factor and hypoxia inducible factor 1α. J Int Med Res. 42:628–640. 2014. View Article : Google Scholar : PubMed/NCBI

88 

Qu G and Li B: Inhibition of the hypoxia-induced factor-1α and vascular endothelial growth factor expression through ginsenoside Rg3 in human gastric cancer cells. J Can Res Ther. 15:1642–1646. 2019. View Article : Google Scholar : PubMed/NCBI

89 

Chang L, Huo B, Lv Y, Wang Y and Liu W: Ginsenoside Rg3 enhances the inhibitory effects of chemotherapy on esophageal squamous cell carcinoma in mice. Mol Clin Oncol. 2:1043–1046. 2014. View Article : Google Scholar : PubMed/NCBI

90 

Lee YJ, Lee S, Ho JN, Byun SS, Hong SK, Lee SE and Lee E: Synergistic antitumor effect of ginsenoside Rg3 and cisplatin in cisplatin-resistant bladder tumor cell line. Oncol Rep. 32:1803–1808. 2014. View Article : Google Scholar : PubMed/NCBI

91 

Zou J, Su H, Zou C, Liang X and Fei Z: Ginsenoside Rg3 suppresses the growth of gemcitabine-resistant pancreatic cancer cells by upregulating lncRNA-CASC2 and activating PTEN signaling. J Biochem Mol Toxicol. 34:e224802020. View Article : Google Scholar : PubMed/NCBI

92 

Ahmmed B, Kampo S, Khan M, Faqeer A, Kumar SP, Yulin L, Liu JW and Yan Q: Rg3 inhibits gemcitabine-induced lung cancer cell invasiveness through ROS-dependent, NF-κB- and HIF-1α-mediated downregulation of PTX3. J Cell Physiol. 234:10680–10697. 2019. View Article : Google Scholar : PubMed/NCBI

93 

Yuan Z, Jiang H, Zhu X, Liu X and Li J: Ginsenoside Rg3 promotes cytotoxicity of Paclitaxel through inhibiting NF-κB signaling and regulating Bax/Bcl-2 expression on triple-negative breast cancer. Biomed Pharmacother. 89:227–232. 2017. View Article : Google Scholar : PubMed/NCBI

94 

Li L, Ni J, Li M, Chen J, Han L, Zhu Y, Kong D, Mao J, Wang Y, Zhang B, et al: Ginsenoside Rg3 micelles mitigate doxorubicin-induced cardiotoxicity and enhance its anticancer efficacy. Drug Deliv. 24:1617–1630. 2017. View Article : Google Scholar : PubMed/NCBI

95 

Shan K, Wang Y, Hua H, Qin S, Yang A and Shao J: Ginsenoside Rg3 combined with oxaliplatin inhibits the proliferation and promotes apoptosis of hepatocellular carcinoma cells via downregulating PCNA and cyclin D1. Biol Pharm Bull. 42:900–905. 2019. View Article : Google Scholar : PubMed/NCBI

Related Articles

  • Abstract
  • View
  • Download
  • Twitter
Copy and paste a formatted citation
Spandidos Publications style
Liu Y, Li G, Ning J and Zhao Y: Unveiling the experimental proof of the anticancer potential of ginsenoside Rg3 (Review). Oncol Lett 27: 182, 2024.
APA
Liu, Y., Li, G., Ning, J., & Zhao, Y. (2024). Unveiling the experimental proof of the anticancer potential of ginsenoside Rg3 (Review). Oncology Letters, 27, 182. https://doi.org/10.3892/ol.2024.14315
MLA
Liu, Y., Li, G., Ning, J., Zhao, Y."Unveiling the experimental proof of the anticancer potential of ginsenoside Rg3 (Review)". Oncology Letters 27.4 (2024): 182.
Chicago
Liu, Y., Li, G., Ning, J., Zhao, Y."Unveiling the experimental proof of the anticancer potential of ginsenoside Rg3 (Review)". Oncology Letters 27, no. 4 (2024): 182. https://doi.org/10.3892/ol.2024.14315
Copy and paste a formatted citation
x
Spandidos Publications style
Liu Y, Li G, Ning J and Zhao Y: Unveiling the experimental proof of the anticancer potential of ginsenoside Rg3 (Review). Oncol Lett 27: 182, 2024.
APA
Liu, Y., Li, G., Ning, J., & Zhao, Y. (2024). Unveiling the experimental proof of the anticancer potential of ginsenoside Rg3 (Review). Oncology Letters, 27, 182. https://doi.org/10.3892/ol.2024.14315
MLA
Liu, Y., Li, G., Ning, J., Zhao, Y."Unveiling the experimental proof of the anticancer potential of ginsenoside Rg3 (Review)". Oncology Letters 27.4 (2024): 182.
Chicago
Liu, Y., Li, G., Ning, J., Zhao, Y."Unveiling the experimental proof of the anticancer potential of ginsenoside Rg3 (Review)". Oncology Letters 27, no. 4 (2024): 182. https://doi.org/10.3892/ol.2024.14315
Follow us
  • Twitter
  • LinkedIn
  • Facebook
About
  • Spandidos Publications
  • Careers
  • Cookie Policy
  • Privacy Policy
How can we help?
  • Help
  • Live Chat
  • Contact
  • Email to our Support Team