Spandidos Publications Logo
  • About
    • About Spandidos
    • Aims and Scopes
    • Abstracting and Indexing
    • Editorial Policies
    • Reprints and Permissions
    • Job Opportunities
    • Terms and Conditions
    • Contact
  • Journals
    • All Journals
    • Oncology Letters
      • Oncology Letters
      • Information for Authors
      • Editorial Policies
      • Editorial Board
      • Aims and Scope
      • Abstracting and Indexing
      • Bibliographic Information
      • Archive
    • International Journal of Oncology
      • International Journal of Oncology
      • Information for Authors
      • Editorial Policies
      • Editorial Board
      • Aims and Scope
      • Abstracting and Indexing
      • Bibliographic Information
      • Archive
    • Molecular and Clinical Oncology
      • Molecular and Clinical Oncology
      • Information for Authors
      • Editorial Policies
      • Editorial Board
      • Aims and Scope
      • Abstracting and Indexing
      • Bibliographic Information
      • Archive
    • Experimental and Therapeutic Medicine
      • Experimental and Therapeutic Medicine
      • Information for Authors
      • Editorial Policies
      • Editorial Board
      • Aims and Scope
      • Abstracting and Indexing
      • Bibliographic Information
      • Archive
    • International Journal of Molecular Medicine
      • International Journal of Molecular Medicine
      • Information for Authors
      • Editorial Policies
      • Editorial Board
      • Aims and Scope
      • Abstracting and Indexing
      • Bibliographic Information
      • Archive
    • Biomedical Reports
      • Biomedical Reports
      • Information for Authors
      • Editorial Policies
      • Editorial Board
      • Aims and Scope
      • Abstracting and Indexing
      • Bibliographic Information
      • Archive
    • Oncology Reports
      • Oncology Reports
      • Information for Authors
      • Editorial Policies
      • Editorial Board
      • Aims and Scope
      • Abstracting and Indexing
      • Bibliographic Information
      • Archive
    • Molecular Medicine Reports
      • Molecular Medicine Reports
      • Information for Authors
      • Editorial Policies
      • Editorial Board
      • Aims and Scope
      • Abstracting and Indexing
      • Bibliographic Information
      • Archive
    • World Academy of Sciences Journal
      • World Academy of Sciences Journal
      • Information for Authors
      • Editorial Policies
      • Editorial Board
      • Aims and Scope
      • Abstracting and Indexing
      • Bibliographic Information
      • Archive
    • International Journal of Functional Nutrition
      • International Journal of Functional Nutrition
      • Information for Authors
      • Editorial Policies
      • Editorial Board
      • Aims and Scope
      • Abstracting and Indexing
      • Bibliographic Information
      • Archive
    • International Journal of Epigenetics
      • International Journal of Epigenetics
      • Information for Authors
      • Editorial Policies
      • Editorial Board
      • Aims and Scope
      • Abstracting and Indexing
      • Bibliographic Information
      • Archive
    • Medicine International
      • Medicine International
      • Information for Authors
      • Editorial Policies
      • Editorial Board
      • Aims and Scope
      • Abstracting and Indexing
      • Bibliographic Information
      • Archive
  • Articles
  • Information
    • Information for Authors
    • Information for Reviewers
    • Information for Librarians
    • Information for Advertisers
    • Conferences
  • Language Editing
Spandidos Publications Logo
  • About
    • About Spandidos
    • Aims and Scopes
    • Abstracting and Indexing
    • Editorial Policies
    • Reprints and Permissions
    • Job Opportunities
    • Terms and Conditions
    • Contact
  • Journals
    • All Journals
    • Biomedical Reports
      • Information for Authors
      • Editorial Policies
      • Editorial Board
      • Aims and Scope
      • Abstracting and Indexing
      • Bibliographic Information
      • Archive
    • Experimental and Therapeutic Medicine
      • Information for Authors
      • Editorial Policies
      • Editorial Board
      • Aims and Scope
      • Abstracting and Indexing
      • Bibliographic Information
      • Archive
    • International Journal of Epigenetics
      • Information for Authors
      • Editorial Policies
      • Editorial Board
      • Aims and Scope
      • Abstracting and Indexing
      • Bibliographic Information
      • Archive
    • International Journal of Functional Nutrition
      • Information for Authors
      • Editorial Policies
      • Editorial Board
      • Aims and Scope
      • Abstracting and Indexing
      • Bibliographic Information
      • Archive
    • International Journal of Molecular Medicine
      • Information for Authors
      • Editorial Policies
      • Editorial Board
      • Aims and Scope
      • Abstracting and Indexing
      • Bibliographic Information
      • Archive
    • International Journal of Oncology
      • Information for Authors
      • Editorial Policies
      • Editorial Board
      • Aims and Scope
      • Abstracting and Indexing
      • Bibliographic Information
      • Archive
    • Medicine International
      • Information for Authors
      • Editorial Policies
      • Editorial Board
      • Aims and Scope
      • Abstracting and Indexing
      • Bibliographic Information
      • Archive
    • Molecular and Clinical Oncology
      • Information for Authors
      • Editorial Policies
      • Editorial Board
      • Aims and Scope
      • Abstracting and Indexing
      • Bibliographic Information
      • Archive
    • Molecular Medicine Reports
      • Information for Authors
      • Editorial Policies
      • Editorial Board
      • Aims and Scope
      • Abstracting and Indexing
      • Bibliographic Information
      • Archive
    • Oncology Letters
      • Information for Authors
      • Editorial Policies
      • Editorial Board
      • Aims and Scope
      • Abstracting and Indexing
      • Bibliographic Information
      • Archive
    • Oncology Reports
      • Information for Authors
      • Editorial Policies
      • Editorial Board
      • Aims and Scope
      • Abstracting and Indexing
      • Bibliographic Information
      • Archive
    • World Academy of Sciences Journal
      • Information for Authors
      • Editorial Policies
      • Editorial Board
      • Aims and Scope
      • Abstracting and Indexing
      • Bibliographic Information
      • Archive
  • Articles
  • Information
    • For Authors
    • For Reviewers
    • For Librarians
    • For Advertisers
    • Conferences
  • Language Editing
Login Register Submit
  • This site uses cookies
  • You can change your cookie settings at any time by following the instructions in our Cookie Policy. To find out more, you may read our Privacy Policy.

    I agree
Search articles by DOI, keyword, author or affiliation
Search
Advanced Search
presentation
Oncology Letters
Join Editorial Board Propose a Special Issue
Print ISSN: 1792-1074 Online ISSN: 1792-1082
Journal Cover
June-2024 Volume 27 Issue 6

Full Size Image

Sign up for eToc alerts
Recommend to Library

Journals

International Journal of Molecular Medicine

International Journal of Molecular Medicine

International Journal of Molecular Medicine is an international journal devoted to molecular mechanisms of human disease.

International Journal of Oncology

International Journal of Oncology

International Journal of Oncology is an international journal devoted to oncology research and cancer treatment.

Molecular Medicine Reports

Molecular Medicine Reports

Covers molecular medicine topics such as pharmacology, pathology, genetics, neuroscience, infectious diseases, molecular cardiology, and molecular surgery.

Oncology Reports

Oncology Reports

Oncology Reports is an international journal devoted to fundamental and applied research in Oncology.

Experimental and Therapeutic Medicine

Experimental and Therapeutic Medicine

Experimental and Therapeutic Medicine is an international journal devoted to laboratory and clinical medicine.

Oncology Letters

Oncology Letters

Oncology Letters is an international journal devoted to Experimental and Clinical Oncology.

Biomedical Reports

Biomedical Reports

Explores a wide range of biological and medical fields, including pharmacology, genetics, microbiology, neuroscience, and molecular cardiology.

Molecular and Clinical Oncology

Molecular and Clinical Oncology

International journal addressing all aspects of oncology research, from tumorigenesis and oncogenes to chemotherapy and metastasis.

World Academy of Sciences Journal

World Academy of Sciences Journal

Multidisciplinary open-access journal spanning biochemistry, genetics, neuroscience, environmental health, and synthetic biology.

International Journal of Functional Nutrition

International Journal of Functional Nutrition

Open-access journal combining biochemistry, pharmacology, immunology, and genetics to advance health through functional nutrition.

International Journal of Epigenetics

International Journal of Epigenetics

Publishes open-access research on using epigenetics to advance understanding and treatment of human disease.

Medicine International

Medicine International

An International Open Access Journal Devoted to General Medicine.

Journal Cover
June-2024 Volume 27 Issue 6

Full Size Image

Sign up for eToc alerts
Recommend to Library

  • Article
  • Citations
    • Cite This Article
    • Download Citation
    • Create Citation Alert
    • Remove Citation Alert
    • Cited By
  • Similar Articles
    • Related Articles (in Spandidos Publications)
    • Similar Articles (Google Scholar)
    • Similar Articles (PubMed)
  • Download PDF
  • Download XML
  • View XML
Article Open Access

Pan‑immune‑inflammation value as a novel prognostic biomarker in nasopharyngeal carcinoma

  • Authors:
    • Zhen Su
    • Jie Tang
    • Yan He
    • Wei Hua Zeng
    • Qian Yu
    • Xiao Long Cao
    • Guo Rong Zou
  • View Affiliations / Copyright

    Affiliations: Department of Oncology, Panyu Central Hospital, Cancer Institute of Panyu, Guangzhou, Guangdong 511400, P.R. China, Department of Oncology, Panyu Central Hospital, Cancer Institute of Panyu, Guangzhou, Guangdong 511400, P.R. China
    Copyright: © Su et al. This is an open access article distributed under the terms of Creative Commons Attribution License.
  • Article Number: 252
    |
    Published online on: April 9, 2024
       https://doi.org/10.3892/ol.2024.14385
  • Expand metrics +
Metrics: Total Views: 0 (Spandidos Publications: | PMC Statistics: )
Metrics: Total PDF Downloads: 0 (Spandidos Publications: | PMC Statistics: )
Cited By (CrossRef): 0 citations Loading Articles...

This article is mentioned in:



Abstract

The pan‑immune‑inflammation‑value (PIV) is a comprehensive biomarker that integrates different peripheral blood cell subsets. The present study aimed to evaluate the prognostic ability of PIV in patients with nasopharyngeal carcinoma (NPC) undergoing chemoradiotherapy. PIV was assessed using the following equation: (Neutrophil count x platelet count x monocyte count)/lymphocyte count. The Kaplan‑Meier method and Cox hazards regression models were used for survival analyses. The optimal cut‑off values for PIV and systemic immune‑inflammation index (SII) were determined using receiver operating characteristic analysis to be 428.0 and 1032.7, respectively. A total of 319 patients were recruited. Patients with a low baseline PIV (≤428.0) accounted for 69.9% (n=223) and patients with a high baseline PIV (>428.0) accounted for 30.1% (n=96). Compared with patients with low PIV, patients with a high PIV had significantly worse 5‑year progression‑free survival [PFS; 66.8 vs. 77.1%; hazard ratio (HR), 1.97; 95% confidence interval (CI), 1.22‑3.23); P=0.005] and 5‑year overall survival (OS; 68.7 vs. 86.9%, HR, 2.71; 95% CI, 1.45‑5.03; P=0.001). PIV was also a significant independent prognostic indicator for OS (HR, 2.19; 95% CI, 1.16‑4.12; P=0.016) and PFS (HR, 1.86; 95% CI, 1.14‑3.04; P=0.013) and outperformed the SII in multivariate analysis. In conclusion, the PIV was a powerful predictor of survival outcomes and outperformed the SII in patients with NPC treated with chemoradiotherapy. Prospective validation of the PIV should be performed to better stratify radical treatment of patients with NPC.

Introduction

Nasopharyngeal carcinoma (NPC), which originates from the nasopharyngeal mucosal lining, is endemic to Southeast Asia, North Africa and South China, and more than 70% of new cases are in east and southeast Asia (1,2). Due to improvement of radiotherapy techniques, development of drugs and the accuracy of cancer staging systems, the survival of patients with NPC has notably improved, and the 5-year overall survival rate of early nasopharyngeal carcinoma is 86.6 to 93.2% (3). However, certain patients still experience treatment failure and 11–36% of patients with NPC develop distant metastasis (2). Therefore, it is key to elucidate novel biomarkers to better stratify prognosis and predict treatment outcomes in NPC.

To date, most biomarkers studied have been associated with tumors, whereas less attention has been paid to host-associated factors, such as serum alpha-fetoprotein in Hepatocellular carcinoma (4), carbohydrate antigen 125 in ovarian cancer (5). However, certain blood-derived and easily obtained immune-inflammatory biomarkers (IIBs) have been studied in patients with malignancy, including NPC (6–14). The neutrophil-to-lymphocyte ratio (NLR), platelet-to-lymphocyte ratio (PLR), monocyte-to-lymphocyte ratio (MLR) and neutrophil platelet and monocyte counts have prognostic relevance in NPC (6–14). Furthermore, high NLR may be used to predict positive immune response to radiotherapy in patients with NPC (15). However, the low discriminative ability of these single biomarkers limits their clinical application. Considering the interaction between immunity, inflammation, and cancer, which depends on complicated networks, more stable and robust prognostic power may be achieved using composite biomarkers that encompass diverse immune-inflammatory populations and reflect the overall inflammatory state. Notably, systemic immune-inflammation index (SII), which includes neutrophil, lymphocyte and platelet counts, but excludes monocytes, has been applied to stratify the prognosis of patients with NPC (8,10,12,16,17). Furthermore, pan-immune-inflammation value (PIV), a novel biomarker encompassing subsets of peripheral blood immune cells (neutrophils platelets, monocytes and lymphocytes) has the potential to reflect immunity and systemic inflammation in a patient (18–27). Based on previous studies and meta-analyses, the PIV has been identified as a strong prognostic indicator of outcomes in patients with advanced cancer treated with surgery, cytotoxic chemotherapy, immunotherapy and targeted therapy, such as in breast, esophageal and colorectal cancer (CRC) and metastatic melanoma (18–27). To the best of our knowledge, however, the role of the PIV in NPC has not been studied.

The present study aimed to assess the prognostic ability of the PIV as a novel biomarker, including all immune-inflammatory populations from peripheral blood in non-metastatic NPC.

Materials and methods

Study population

The electronic records of patients with biopsy-proven, non-metastatic NPC admitted to Panyu Central Hospital (Guangzhou, China) between January 2014 and December 2019 were reviewed. All patients detected Epstein-Barr virus (EBV)-encoded RNA (EBER) in situ hybridization. A thorough review of the medical records of the patients was performed. The following data were extracted from the medical records of the participants: Age, sex, histological type, smoking status, baseline hematological profile and imaging data. Factors known to affect routine blood tests were also reviewed, including evidence of bacterial infection or abscess, acute or chronic inflammation, current use of corticosteroids and coexisting hematological malignancy (7). Furthermore, the clinical features of the patients (for example, fever, rash and arthritis), past medical history (for example, coexisting hematological malignancy and current use of corticosteroids) and the results of blood and stool tests, urinalysis, chest X-ray or computed tomography, especially when leukocytes were above the normal range requiring ruled out for infections, hormone use, were reviewed (7). Patients who underwent incomplete treatment, patients who were aged <18 year, had a history of malignancies at other sites, hematological disease, incomplete data were excluded. Finally, 319 patients with pathologically confirmed nasopharyngeal carcinoma, no metastasis, and completion of standard treatment were included in the present study. The absolute counts of neutrophils, lymphocytes, monocytes and platelets were used to estimate PIV and SII.

All patients were re-staged based on the eighth edition of the American Joint Committee on Cancer (AJCC)/Union for International Cancer Control Staging System for NPC (28). The therapeutic strategy for all patients was determined according to guidelines of the National Comprehensive Cancer Network (29) and the Karnofsky performance status score (30). All patients were treated by definitive intensity modulated radiation therapy, with or without chemotherapy (2). The total radiation doses were 66–70 Gy to the primary tumor, 60–66 Gy to the involved cervical lymph nodes and ≥54 Gy to potential sites of local infiltration and bilateral cervical lymphatics as 30–33 fractions (2). Induction chemotherapy (IC) was used to treat 280 (87%) patients. IC regimens included docetaxel + cisplatin (TP; 75 mg/m2 docetaxel on days 1 and 75 mg/m2 cisplatin on day 1) or gemcitabine + cisplatin (GP; 1,000 mg/m2 gemcitabine on days 1 and 8, and 80 mg/m2 cisplatin on day 1) for 2–3 courses. Among patients who received IC, 80.4% (225/280) received TP and 19.6% (55/280) received GP.

Statistical analysis

To represent the weight of the mutual effect between inflammatory pro-tumor populations (neutrophils, monocytes and platelets) and anticancer immune populations (lymphocytes), PIV was measured using the following equation: (Neutrophil count × platelet count × monocyte count)/lymphocyte count (18–27). SII, which was regarded as an outperforming inflammatory biomarker, was measured using the following equation: (Neutrophil count × platelet count)/lymphocyte count (8,10,12,16,17). The optimal cut-offs for PIV and SII were determined using receiver operating characteristic (ROC) analysis, as in previous studies (8,10,12,16,19,20,25).

Overall survival (OS) was defined as time from treatment initiation to last follow-up and/or death; progression-free survival (PFS) was defined as time from treatment initiation to disease progression and/or death.

Independent samples t, χ2 and Kruskal-Wallis H tests were used to assess continuous and categorical variables. Kaplan-Meier analysis was used for survival analyses and the log-rank test was used for comparison of survival times between prognostic subgroups. Multivariate analyses were performed using Cox regression analyses to calculate hazard ratios (HRs) and 95% confidence intervals (CIs). All statistical analyses were performed using IBM SPSS3 version 22.0 (IBM Corp.) and SigmaPlot 14.0 (Systat Software, Inc.). P<0.05 was considered to indicate a statistically significant difference.

Results

Patient characteristics according to PIV

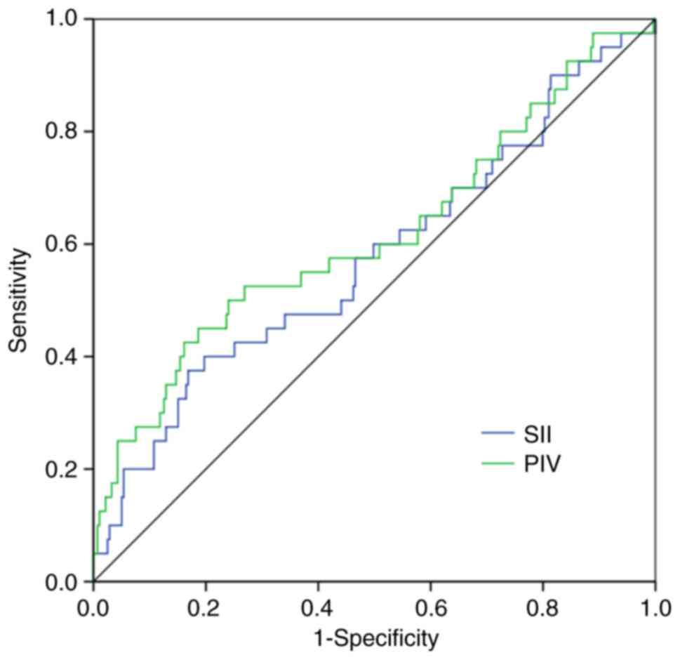
A total of 319 patients were included in the present analysis. All patients were immunohistochemically confirmed as Epstein-Barr virus (EBV)-encoded RNA+. Among them, 213 (66.7%) patients were tested for EBV DNA and only 73 (34.6%) were positive. Table I and Fig. 1 present the values of the area under the curve, sensitivity and specificity generated using ROC analysis. The optimal cut-off values for the PIV and SII using ROC analysis were 428.0 and 1032.7, respectively.

Figure 1.

Receiver operating characteristic curves showing optimal cut-off values for PIV and SII. PIV, pan-immune-inflammation value; SII, systemic immune-inflammation index.

Table I.

Receiver operating characteristic curve analyses for overall survival.

Table I.

Receiver operating characteristic curve analyses for overall survival.

CurveCut-off valueAUC95% CIP-valueSensitivity, %Specificity, %
SII1,032.70.5760.473–0.6790.12040.080.3
PIV428.00.6150.510–0.7200.01852.573.1

[i] AUC, area under the curve; CI, confidence interval; SII, systemic immune-inflammation index; PIV, pan-immune-inflammation value.

Overall, 96 patients (30.1%) had high PIV (>428.0) and 223 patients (69.9%) had a low PIV (≤428.0) (Table II). A high PIV was significantly associated with more advanced T stage and a higher SII and notably associated with NPC with a more advanced N stage compared with low PIV. Moreover, patients with high PIV were significantly more likely to receive IC compared with those with low PIV.

Table II.

Baseline characteristics in low and high PIV groups.

Table II.

Baseline characteristics in low and high PIV groups.

CharacteristicLow PIV (n=223)High PIV (n=96)P-value
Median age (range), years52.0 (23–80)53.5 (19–78)0.730
Sex 0.136
  Male15173
  Female7223
Smoking status 0.032
  Yes4329
  No18067
T stage 0.001
  T1398
  T25715
  T38636
  T44137
N stage 0.059
  N0148
  N110238
  N27726
  N33024
Induction chemotherapy 0.004
  Yes18892
  No354
Chemotherapy regimen 0.208
  GP3322
  TP15570
SII <0.001
  Low20939
  High1457

[i] PIV, pan-immune-inflammation value; GP, gemcitabine + cisplatin; TP, docetaxel + cisplatin; SII, systemic immune-inflammation index.

Outcomes

The median follow-up time was 40.4 months (range, 5.75–98.79 months). Median OS and PFS were not reached. The 5-year OS and PFS values were 81.3 and 74.0% (Fig. 2), respectively. Patients with high PIV had a worse PFS (5-year PFS, 66.8 vs. 77.1%; HR, 1.97; 95% CI, 1.22–3.23) and a worse OS (5-year OS, 68.7 vs. 86.9%; HR, 2.71; 95% CI, 1.45–5.03) in comparison with patients with low PIV (Fig. 3).

Figure 2.

Kaplan-Meier survival curves for OS (A) and PFS (B) in the overall population. OS, overall survival; PFS, progression-free survival.

Figure 3.

Kaplan-Meier survival curves for OS (A) and PFS (B) in the overall population according to PIV. Patients with high PIV had worse survival outcomes compared with patients with low PIV. OS, overall survival; PFS, progression-free survival; PIV, pan-immune-inflammation value; HR, hazard ratio; CI, confidence interval.

In the univariate analysis (Table III), advanced T and N stage and high SII and PIV were significantly associated with a poor OS. Advanced N stage and high SII and PIV were significantly associated with a poor PFS.

Table III.

Univariate cox regression analyses for OS and PFS in patients with nasopharyngeal carcinoma.

Table III.

Univariate cox regression analyses for OS and PFS in patients with nasopharyngeal carcinoma.

A, OS

FactorHR (95% CI)P-value
Age1.02 (0.99–1.05)0.209
Sex (Female vs. male)0.67 (0.32–1.40)0.284
Smoking (Yes vs. no)1.80 (0.93–3.50)0.082
T stage (T3-4 vs. T1-2)1.42 (1.01–2.01)0.044
N stage (N2-3 vs. N0-1)2.17 (1.46–3.23)<0.001
Induction chemotherapy7.10 (0.97–51.7)0.053
(Yes vs. no)
SII (high vs. low)2.23 (1.19–4.21)0.013
PIV (high vs. low)2.71 (1.45–5.03)0.002

B, PFS

FactorHR (95% CI)P-value

Age1.01 (0.98–1.03)0.535
Sex (Male vs. female)1.08 (0.64–1.08)0.775
Smoking (Yes vs. no)1.37 (0.79–2.35)0.259
T stage (T3-4 vs. T1-2)1.18 (0.92–1.52)0.198
N stage (N2-3 vs. N0-1)1.59 (1.19–2.13)0.002
Induction chemotherapy1.70 (0.73–3.93)0.217
(Yes vs. no)
SII (high vs. low)1.82 (1.09–3.03)0.022
PIV (high vs. low)1.97 (1.22–3.23)0.006

[i] OS, overall survival; PFS, progression-free survival; HR, hazard ratio; CI, confidence interval; SII, systemic immune-inflammation index; PIV, pan-immune-inflammation value.

In the multivariate Cox regression analyses (Table IV), advanced N stage (HR, 2.05; 95% CI, 1.39–3.02) and high PIV (HR, 2.19; 95% CI, 1.16–4.12) were significant independent predictors for OS. Similar results were observed for PFS, with advanced N stage (HR, 1.54; 95% CI, 1.15–2.05) and high PIV (HR, 1.86; 95% CI, 1.14–3.04) significant independent predictors for PFS. The blood-based inflammation marker SII was not significant in the multivariate analysis of OS and PFS.

Table IV.

Multivariate cox regression analyses for OS and PFS in patients with nasopharyngeal carcinoma.

Table IV.

Multivariate cox regression analyses for OS and PFS in patients with nasopharyngeal carcinoma.

A, OS

FactorHR (95% CI)P-value
N stage (N2-3 vs. N0-1)2.05 (1.39–3.02)<0.001
PIV (high vs. low)2.19 (1.16–4.12)0.016

B, PFS

FactorHR (95% CI)P-value

N stage (N2-3 vs. N0-1)1.54 (1.15–2.05)0.003
PIV (high vs. low)1.86 (1.14–3.04)0.013

[i] OS, overall survival; PFS, progression-free survival; HR, hazard ratio; CI, confidence interval; PIV, pan-immune-inflammation value.

Discussion

The present study demonstrated that PIV, as a novel biomarker, was an independent predictor for poor OS and PFS in patients with non-metastatic NPC and outperformed the SII, another blood-derived inflammation marker.

Inflammation is relevant in cancer: An inflammatory microenvironment is a key constituent of the tumor microenvironment. Chronic inflammation caused by sustained infection or ongoing exposure to non-infectious factors, such as smoke, asbestos or silica, may eventually lead to carcinogenesis (31–33).

White blood cell counts reflect the overall and/or local inflammatory status (34) and each type of white blood cells serves a unique role. Firstly, neutrophils serve a primary role in regulating inflammation and cancer and they actively promote progression and metastasis (35). Secondly, peripheral monocyte count is associated with the density of the M2 phenotype of tumor-associated macrophages (36,37), which derive from circulating monocytes within the tumor microenvironment and promote metastasis and immunosuppression (38,39). A high absolute monocyte count predicts low survival rate for patients with cancer (37). Thirdly, platelets promote tumor cell proliferation and survival through via mechanisms, such as aggregation with tumor cells, thereby protecting them from host immune surveillance through physical shielding and induction of ‘platelet mimicry’. This provides an immunosuppressive tumor microenvironment, which is a key source of TGF-β, a key cytokine for immunosuppression in the tumor microenvironment, and facilitates vascular evasion (40,41). High platelet count is associated with unfavorable outcomes in several kinds of cancer such as lung cancer, colon cancer, breast and prostate cancer (42). However, lymphocytes have notable positive effects in tumor-associated immunology. High lymphocyte levels are associated with an improved prognosis in numerous types of tumor, exerting a strong antitumor immune function to suppress tumor development (43). Leukocytes serve a role in the development and outcomes of cancer.

Previous studies have analyzed the association between each type of leukocyte (lymphocytes, neutrophils, platelets and monocytes) and clinical results and have constructed computational models (nomograms or scores) driven by statistical methods (6–14). To avoid fragmenting systemic inflammation information, SII and systemic inflammation response index (SIRI) have been evaluated (8,10–12,16,17,44,45). SII and SIRI have been assessed as prognostic markers for NPC (8,12,16,17,44,45); prognostic value of SII is superior to that of PLR, NLR and MLR (8). However, two studies reported that SIRI was not an independent risk factor for OS in patients with NPC (10,11). Thus, the role of SIRI requires more investigation. To the best of our knowledge, no studies have comprehensively evaluated the prognosis of lymphocytes, neutrophils, platelets, and monocytes in nasopharyngeal carcinoma.

PIV is proposed as a biomarker based on peripheral blood count, which integrates different peripheral blood immune cell subpopulations (neutrophils, platelets, monocytes and lymphocytes). Considering its potential to mirror comprehensive manifestations of systemic inflammation and immunity, PIV is considered a powerful and robust prognostic indicator of survival in patients with cancer undergoing surgery, cytotoxic chemotherapy, immunotherapy and targeted therapy (18–27). A study reported that baseline PIV is a predictor for a pathological complete response and survival and has greater predictive abilities than NLR, MLR and PLR in patients with breast cancer receiving neoadjuvant chemotherapy (20). Similar results have been observed in patients with advanced human epidermal growth factor receptor 2+ breast cancer (23). A proposed nomogram incorporating PIV could be a feasible tool for individualized prognostic assessment in patients with breast cancer receiving surgery (18). Furthermore, PIV is a strong prognostic indicator of survival outcomes, outperforming other IIBs, such as NLR and SII, not only in patients with metastatic CRC receiving first-line therapy (24), but also in patients with stage I–III CRC (19). PIV serves a role in patients with advanced cancer receiving immune checkpoint inhibitors (21). Moreover, in patients with metastatic melanoma, high PIV is significantly associated with primary resistance to both targeted therapy [odds ratio (OR), 8.42; 95% CI, 2.50–34.5; P<0.001] and immunotherapy (OR, 3.98; 95% CI, 1.45–12.32; P=0.005). Therefore, PIV may be used to guide the treatment decision process and the development of novel first-line treatment strategies (22). In esophageal cancer, high PIV is significantly associated with low tumor-infiltrating lymphocyte status (P<0.001) and low CD8+ cell count (P=0.011), which may allow response to treatment (25). In addition, high PIV is associated with more advanced AJCC stage and younger age (46). Consistent with the aforementioned studies, the present study demonstrated that patients with high PIV had more advanced T stage and worse survival outcome than those with a low PIV. Moreover, to the best of our knowledge, the present study is the first to report that PIV may be a more reliable predictor of OS and PFS than SII in patients with NPC.

The present study had limitations, including the retrospective nature of the study and the fact that the population was only recruited from a single center in an endemic area. Furthermore, the EBV DNA data were missing in the present study. Although EBV DNA has been established as a robust prognostic marker in NPC for clinical outcomes, there is no internationally recognized EBV DNA standardized testing process and comparatively large interlaboratory variability has been observed, even for the same assay using identical procedures without harmonization (1,2,47,48). In the present study, only 66.7% patients were tested for EBV DNA because some patients refused to have their blood drawn again. Among the tested patients, only 34.6% patients were positive. EBV DNA testing is key but the accuracy of EBV DNA testing needs improvement. NPC and laboratory medicine experts focused on harmonization and validation of the assay, as well as adaptation of new technologies to improve assay quantification, such as next-generation sequencing or digital polymerase chain reaction (1). However, tests for peripheral blood immune cell are mature and robust. Moreover, they are routine, cheap, convenient and stable and thus have good prospects in clinical application (8,10–12,16,17,44,45). To improve detection of EBV DNA, use of regular test markers to predict the survival of patients with NPC should be performed, such as using the PIV, in which a high PIV can predict worse survival and identify patients that might need more intensive treatment. The selection of appropriate patients requires exclusion of other causes of abnormal blood results, such as fever. Although the technology to detect peripheral blood immune cells is mature, the cut-off value for the PIV (high vs. low) was different in the present study and previous studies that the cut-off values raged 285.0 to 513.4 (18–27). In future studies, optimal PIV cut-off for clinical application should be assessed. PIV is not directly measured but calculated by a formula. In the future, PIV results may be obtained directly through blood test instrument, which may require a program to calculate PIV.

In conclusion, the present study demonstrated that baseline PIV had a significant predictive value and outperformed SII in patients with NPC. Therefore, the PIV may be a helpful tool to tailor management of patients with NPC; however, further research is needed to confirm the findings.

Acknowledgements

Not applicable.

Funding

The present study was supported by the Panyu Science and Technology Medical Project (Guangzhou, China; grant no. 2019-Z04-29) and Guangzhou Municipal Health Commission (grant no. 20211A011115).

Availability of data and materials

The data generated in the present study may be requested from the corresponding author.

Authors' contributions

ZS, JT, GRZ and XLC contributed to study conception and design. Material preparation, data collection and analysis were performed by ZS, JT, YH, WHZ and QY. The collection of pathological data was performed by QY. ZS wrote the manuscript. ZS and JT confirm the authenticity of all the raw data. All authors have read and approved the final manuscript.

Ethics approval and consent to participate

The present study was performed in accordance with the Declaration of Helsinki and was approved by the Ethics Committee of Panyu Central Hospital (Guangzhou, China; approval no. PYRC-2023-395). The data were anonymous and the requirement for informed consent was waived.

Patient consent for publication

Not applicable.

Competing interests

The authors declare that they have no competing interests.

Glossary

Abbreviations

Abbreviations:

NPC

nasopharyngeal carcinoma

IIB

immune-inflammatory biomarker

NLR

neutrophil-to-lymphocyte ratio

PLR

platelet-to-lymphocyte ratio

MLR

monocyte-to-lymphocyte ratio

SII

systemic immune-inflammation index

PIV

pan-immune-inflammation value

CRC

colorectal cancer

IC

induction chemotherapy

OS

overall survival

PFS

progression-free survival

HR

hazard ratio

CI

confidence interval

EBV

Epstein-Barr virus

ROC

receiver operating characteristic

SIRI

systemic inflammation response index

References

1 

Chen YP, Chan ATC, Le QT, Blanchard P, Sun Y and Ma J: Nasopharyngeal carcinoma. Lancet. 394:64–80. 2019. View Article : Google Scholar : PubMed/NCBI

2 

Tang LL, Chen YP, Chen CB, Chen MY, Chen NY, Chen XZ, Du XJ, Fang WF, Feng M, Gao J, et al: The Chinese Society of Clinical Oncology (CSCO) clinical guidelines for the diagnosis and treatment of nasopharyngeal carcinoma. Cancer Commun (Lond). 41:1195–1227. 2021. View Article : Google Scholar : PubMed/NCBI

3 

Özdemir F and Baskiran A: The importance of AFP in liver transplantation for HCC. J Gastrointest Cancer. 51:1127–1132. 2020. View Article : Google Scholar : PubMed/NCBI

4 

Zhang M, Cheng S, Jin Y, Zhao Y and Wang Y: Roles of CA125 in diagnosis, prediction, and oncogenesis of ovarian cancer. Biochim Biophys Acta Rev Cancer. 1875:1885032021. View Article : Google Scholar : PubMed/NCBI

5 

Au KH, Ngan RKC, Ng AWY, Poon DMC, Ng WT, Yuen KT, Lee VHF, Tung SY, Chan ATC, Sze HCK, et al: Treatment outcomes of nasopharyngeal carcinoma in modern era after intensity modulated radiotherapy (IMRT) in Hong Kong: A report of 3328 patients (HKNPCSG 1301 study). Oral Oncol. 77:16–21. 2018. View Article : Google Scholar : PubMed/NCBI

6 

Su L, Zhang M, Zhang W, Cai C and Hong J: Pretreatment hematologic markers as prognostic factors in patients with nasopharyngeal carcinoma: A systematic review and meta-analysis. Medicine (Baltimore). 96:e63642017. View Article : Google Scholar : PubMed/NCBI

7 

Su Z, Mao YP, OuYang PY, Tang J and Xie FY: Initial hyperleukocytosis and neutrophilia in nasopharyngeal carcinoma: Incidence and prognostic impact. PLoS One. 10:e01367522015. View Article : Google Scholar : PubMed/NCBI

8 

Jiang W, Chen Y, Huang J, Xi D, Chen J, Shao Y, Xu G, Ying W, Wei J, Chen J, et al: Systemic immune-inflammation index predicts the clinical outcome in patients with nasopharyngeal carcinoma: A propensity score-matched analysis. Oncotarget. 8:66075–66086. 2017. View Article : Google Scholar : PubMed/NCBI

9 

Takenaka Y, Kitamura T, Oya R, Ashida N, Shimizu K, Takemura K, Yamamoto Y and Uno A: Prognostic role of neutrophil-lymphocyte ratio in nasopharyngeal carcinoma: A meta-analysis. PLoS One. 12:e01814782017. View Article : Google Scholar : PubMed/NCBI

10 

Li Q, Yu L, Yang P and Hu Q: Prognostic value of inflammatory markers in nasopharyngeal carcinoma patients in the intensity-modulated radiotherapy Era. Cancer Manag Res. 13:6799–6810. 2021. View Article : Google Scholar : PubMed/NCBI

11 

Chen Y, Sun J, Hu D, Zhang J, Xu Y, Feng H, Chen Z, Luo Y, Lou Y and Wu H: Predictive value of pretreatment lymphocyte-to-monocyte ratio and platelet-to-lymphocyte ratio in the survival of nasopharyngeal carcinoma patients. Cancer Manag Res. 13:8767–8779. 2021. View Article : Google Scholar : PubMed/NCBI

12 

Xiong Y, Shi LL, Zhu LS, Ding Q, Ba L and Peng G: Prognostic efficacy of the combination of the pretreatment systemic immune-inflammation index and epstein-barr virus DNA status in locally advanced nasopharyngeal carcinoma patients. J Cancer. 12:2275–2284. 2021. View Article : Google Scholar : PubMed/NCBI

13 

Zeng X, Liu G, Pan Y and Li Y: Development and validation of immune inflammation-based index for predicting the clinical outcome in patients with nasopharyngeal carcinoma. J Cell Mol Med. 24:8326–8349. 2020. View Article : Google Scholar : PubMed/NCBI

14 

Yang S, Zhao K, Ding X, Jiang H and Lu H: Prognostic significance of hematological markers for patients with nasopharyngeal carcinoma: A meta-analysis. J Cancer. 10:2568–2577. 2019. View Article : Google Scholar : PubMed/NCBI

15 

Yang P, Zhao Y, Liang H, Zhou G, Youssef B, Elhalawani H, Li M, Tan F, Jin Y, Jin H, et al: Neutrophil-to-lymphocyte ratio trend: A novel prognostic predictor in patients with nasopharyngeal carcinoma receiving radiotherapy. Int J Biol Markers. 37:270–279. 2022. View Article : Google Scholar : PubMed/NCBI

16 

Oei RW, Ye L, Kong F, Du C, Zhai R, Xu T, Shen C, Wang X, He X, Kong L, et al: Prognostic value of inflammation-based prognostic index in patients with nasopharyngeal carcinoma: A propensity score matching study. Cancer Manag Res. 10:2785–2797. 2018. View Article : Google Scholar : PubMed/NCBI

17 

Lin C, Lin S, Guo QJ, Zong JF, Lu TZ, Lin N, Lin SJ and Pan JJ: Systemic immune-inflammation index as a prognostic marker in patients with newly diagnosed metastatic nasopharyngeal carcinoma: A propensity score-matched study. Transl Cancer Res. 8:2089–2098. 2019. View Article : Google Scholar : PubMed/NCBI

18 

Lin F, Zhang LP, Xie SY, Huang HY, Chen XY, Jiang TC, Guo L and Lin HX: Pan-Immune-Inflammation Value: A new prognostic index in operative breast cancer. Front Oncol. 12:8301382022. View Article : Google Scholar : PubMed/NCBI

19 

Sato S, Shimizu T, Ishizuka M, Suda K, Shibuya N, Hachiya H, Iso Y, Takagi K, Aoki T and Kubota K: The preoperative pan-immune-inflammation value is a novel prognostic predictor for with stage I–III colorectal cancer patients undergoing surgery. Surg Today. 52:1160–1169. 2022. View Article : Google Scholar : PubMed/NCBI

20 

Sahin AB, Cubukcu E, Ocak B, Deligonul A, Oyucu Orhan S, Tolunay S, Gokgoz MS, Cetintas S, Yarbas G, Senol K, et al: Low pan-immune-inflammation-value predicts better chemotherapy response and survival in breast cancer patients treated with neoadjuvant chemotherapy. Sci Rep. 11:146622021. View Article : Google Scholar : PubMed/NCBI

21 

Guven DC, Yildirim HC, Bilgin E, Aktepe OH, Taban H, Sahin TK, Cakir IY, Akin S, Dizdar O, Aksoy S, et al: PILE: A candidate prognostic score in cancer patients treated with immunotherapy. Clin Transl Oncol. 23:1630–1636. 2021. View Article : Google Scholar : PubMed/NCBI

22 

Fuca G, Beninato T, Bini M, Mazzeo L, Di Guardo L, Cimminiello C, Randon G, Apollonio G, Bisogno I, Del Vecchio M, et al: The pan-immune-inflammation value in patients with metastatic melanoma receiving first-line therapy. Target Oncol. 16:529–536. 2021. View Article : Google Scholar : PubMed/NCBI

23 

Ligorio F, Fuca G, Zattarin E, Lobefaro R, Zambelli L, Leporati R, Rea C, Mariani G, Bianchi GV, Capri G, et al: The pan-immune-inflammation-value predicts the survival of patients with human epidermal growth factor receptor 2 (HER2)-Positive advanced breast cancer treated with first-line taxane-trastuzumab-pertuzumab. Cancers (Basel). 13:19642021. View Article : Google Scholar : PubMed/NCBI

24 

Fuca G, Guarini V, Antoniotti C, Morano F, Moretto R, Corallo S, Marmorino F, Lonardi S, Rimassa L, Sartore-Bianchi A, et al: The Pan-Immune-Inflammation Value is a new prognostic biomarker in metastatic colorectal cancer: Results from a pooled-analysis of the Valentino and TRIBE first-line trials. Br J Cancer. 123:403–409. 2020. View Article : Google Scholar : PubMed/NCBI

25 

Baba Y, Nakagawa S, Toihata T, Harada K, Iwatsuki M, Hayashi H, Miyamoto Y, Yoshida N and Baba H: Pan-immune-inflammation value and prognosis in patients with esophageal cancer. Ann Surg Open. 3:e1132021. View Article : Google Scholar : PubMed/NCBI

26 

Guven DC, Sahin TK, Erul E, Kilickap S, Gambichler T and Aksoy S: The association between the pan-immune-inflammation value and cancer prognosis: A systematic review and meta-analysis. Cancers (Basel). 14:26752022. View Article : Google Scholar : PubMed/NCBI

27 

Yang XC, Liu H, Liu DC, Tong C, Liang XW and Chen RH: Prognostic value of pan-immune-inflammation value in colorectal cancer patients: A systematic review and meta-analysis. Front Oncol. 12:10368902022. View Article : Google Scholar : PubMed/NCBI

28 

Amin MB, Greene FL, Byrd DR, Brookland RK, Washington MK, Gershenwald JE, Compton CC, Hess KR, Sullivan DC, Jessup JM, et al: AJCC Cancer Staging Manual. 8th edition. Springer; New York, NY: 2017

29 

Pfister DC, Spencer S, Adelstein D, Adkins D, Anzai Y, Brizel DM, Bruce JY, Busse PM, Caudell JJ, Cmelak AJ, et al: Head and neck cancers, version 2.2020, NCCN clinical practice guidelines in oncology. J Natl Compr Canc Netw. 18:873–898. 2020. View Article : Google Scholar : PubMed/NCBI

30 

Yates JW, Chalmer B and McKegney FP: Evaluation of patients with advanced cancer using the Karnofsky performance status. Cancer. 45:2220–2224. 1980. View Article : Google Scholar : PubMed/NCBI

31 

Khandia R and Munjal A: Interplay between inflammation and cancer. Adv Protein Chem Struct Biol. 119:199–245. 2020. View Article : Google Scholar : PubMed/NCBI

32 

Singh N, Baby D, Rajguru JP, Patil PB, Thakkannavar SS and Pujari VB: Inflammation and cancer. Ann Afr Med. 18:121–126. 2019. View Article : Google Scholar : PubMed/NCBI

33 

Murata M: Inflammation and cancer. Environ Health Prev Med. 23:502018. View Article : Google Scholar : PubMed/NCBI

34 

Dupre A and Malik HZ: Inflammation and cancer: What a surgical oncologist should know. Eur J Surg Oncol. 44:566–570. 2018. View Article : Google Scholar : PubMed/NCBI

35 

Wu L, Saxena S, Awaji M and Singh RK: Tumor-Associated neutrophils in cancer: Going Pro. Cancers (Basel). 11:5642019. View Article : Google Scholar : PubMed/NCBI

36 

Shibutani M, Maeda K, Nagahara H, Fukuoka T, Nakao S, Matsutani S, Hirakawa K and Ohira M: The peripheral monocyte count is associated with the density of tumor-associated macrophages in the tumor microenvironment of colorectal cancer: A retrospective study. BMC Cancer. 17:4042017. View Article : Google Scholar : PubMed/NCBI

37 

Shigeta K, Kosaka T, Kitano S, Yasumizu Y, Miyazaki Y, Mizuno R, Shinojima T, Kikuchi E, Miyajima A, Tanoguchi H, et al: High absolute monocyte count predicts poor clinical outcome in patients with castration-resistant prostate cancer treated with docetaxel chemotherapy. Ann Surg Oncol. 23:4115–4122. 2016. View Article : Google Scholar : PubMed/NCBI

38 

Zhou J, Tang Z, Gao S, Li C, Feng Y and Zhou X: Tumor-Associated macrophages: Recent insights and therapies. Front Oncol. 10:1882020. View Article : Google Scholar : PubMed/NCBI

39 

Chen Y, Song Y, Du W, Gong L, Chang H and Zou Z: Tumor-associated macrophages: An accomplice in solid tumor progression. J Biomed Sci. 26:782019. View Article : Google Scholar : PubMed/NCBI

40 

Sharma D, Brummel-Ziedins KE, Bouchard BA and Holmes CE: Platelets in tumor progression: A host factor that offers multiple potential targets in the treatment of cancer. J Cell Physiol. 229:1005–1015. 2014. View Article : Google Scholar : PubMed/NCBI

41 

Schmied L, Hoglund P and Meinke S: Platelet-Mediated protection of cancer cells from immune surveillance-possible implications for cancer immunotherapy. Front Immunol. 12:6405782021. View Article : Google Scholar : PubMed/NCBI

42 

Giannakeas V, Kotsopoulos J, Brooks JD, Cheung MC, Rosella L, Lipscombe L, Akbari MR, Austin PC and Narod SA: Platelet count and survival after cancer. Cancers (Basel). 14:5492022. View Article : Google Scholar : PubMed/NCBI

43 

Quigley DA and Kristensen V: Predicting prognosis and therapeutic response from interactions between lymphocytes and tumor cells. Mol Oncol. 9:2054–2062. 2015. View Article : Google Scholar : PubMed/NCBI

44 

Feng Y, Zhang N, Wang S, Zou W, He Y, Ma JA, Liu P, Liu X, Hu C and Hou T: Systemic inflammation response index is a predictor of poor survival in locally advanced nasopharyngeal carcinoma: A propensity score matching study. Front Oncol. 10:5754172020. View Article : Google Scholar : PubMed/NCBI

45 

Chen Y, Jiang W, Xi D, Chen J, Xu G, Yin W, Chen J and Gu W: Development and validation of nomogram based on SIRI for predicting the clinical outcome in patients with nasopharyngeal carcinomas. J Investig Med. 67:691–698. 2019. View Article : Google Scholar : PubMed/NCBI

46 

Demir H, Demirci A, Eren SK, Beypinar I, Davarcı SE and Baykara M: A new prognostic index in young breast cancer patients. J Coll Physicians Surg Pak. 32:86–91. 2022. View Article : Google Scholar : PubMed/NCBI

47 

Kim KY, Le QT, Yom SS, Pinsky BA, Bratman SV, Ng RH, El Mubarak HS, Chan KC, Sander M and Conley BA: Current state of PCR-Based epstein-barr virus DNA testing for nasopharyngeal cancer. J Natl Cancer Inst. 109:djx0072017. View Article : Google Scholar : PubMed/NCBI

48 

Le QT, Zhang Q, Cao H, Cheng AJ, Pinsky BA, Hong RL, Chang JT, Wang CW, Tsao KC, Lo YD, et al: An international collaboration to harmonize the quantitative plasma Epstein-Barr virus DNA assay for future biomarker-guided trials in nasopharyngeal carcinoma. Clin Cancer Res. 19:2208–2215. 2013. View Article : Google Scholar : PubMed/NCBI

Related Articles

  • Abstract
  • View
  • Download
  • Twitter
Copy and paste a formatted citation
Spandidos Publications style
Su Z, Tang J, He Y, Zeng W, Yu Q, Cao X and Zou G: Pan‑immune‑inflammation value as a novel prognostic biomarker in nasopharyngeal carcinoma. Oncol Lett 27: 252, 2024.
APA
Su, Z., Tang, J., He, Y., Zeng, W., Yu, Q., Cao, X., & Zou, G. (2024). Pan‑immune‑inflammation value as a novel prognostic biomarker in nasopharyngeal carcinoma. Oncology Letters, 27, 252. https://doi.org/10.3892/ol.2024.14385
MLA
Su, Z., Tang, J., He, Y., Zeng, W., Yu, Q., Cao, X., Zou, G."Pan‑immune‑inflammation value as a novel prognostic biomarker in nasopharyngeal carcinoma". Oncology Letters 27.6 (2024): 252.
Chicago
Su, Z., Tang, J., He, Y., Zeng, W., Yu, Q., Cao, X., Zou, G."Pan‑immune‑inflammation value as a novel prognostic biomarker in nasopharyngeal carcinoma". Oncology Letters 27, no. 6 (2024): 252. https://doi.org/10.3892/ol.2024.14385
Copy and paste a formatted citation
x
Spandidos Publications style
Su Z, Tang J, He Y, Zeng W, Yu Q, Cao X and Zou G: Pan‑immune‑inflammation value as a novel prognostic biomarker in nasopharyngeal carcinoma. Oncol Lett 27: 252, 2024.
APA
Su, Z., Tang, J., He, Y., Zeng, W., Yu, Q., Cao, X., & Zou, G. (2024). Pan‑immune‑inflammation value as a novel prognostic biomarker in nasopharyngeal carcinoma. Oncology Letters, 27, 252. https://doi.org/10.3892/ol.2024.14385
MLA
Su, Z., Tang, J., He, Y., Zeng, W., Yu, Q., Cao, X., Zou, G."Pan‑immune‑inflammation value as a novel prognostic biomarker in nasopharyngeal carcinoma". Oncology Letters 27.6 (2024): 252.
Chicago
Su, Z., Tang, J., He, Y., Zeng, W., Yu, Q., Cao, X., Zou, G."Pan‑immune‑inflammation value as a novel prognostic biomarker in nasopharyngeal carcinoma". Oncology Letters 27, no. 6 (2024): 252. https://doi.org/10.3892/ol.2024.14385
Follow us
  • Twitter
  • LinkedIn
  • Facebook
About
  • Spandidos Publications
  • Careers
  • Cookie Policy
  • Privacy Policy
How can we help?
  • Help
  • Live Chat
  • Contact
  • Email to our Support Team