Spandidos Publications Logo
  • About
    • About Spandidos
    • Aims and Scopes
    • Abstracting and Indexing
    • Editorial Policies
    • Reprints and Permissions
    • Job Opportunities
    • Terms and Conditions
    • Contact
  • Journals
    • All Journals
    • Oncology Letters
      • Oncology Letters
      • Information for Authors
      • Editorial Policies
      • Editorial Board
      • Aims and Scope
      • Abstracting and Indexing
      • Bibliographic Information
      • Archive
    • International Journal of Oncology
      • International Journal of Oncology
      • Information for Authors
      • Editorial Policies
      • Editorial Board
      • Aims and Scope
      • Abstracting and Indexing
      • Bibliographic Information
      • Archive
    • Molecular and Clinical Oncology
      • Molecular and Clinical Oncology
      • Information for Authors
      • Editorial Policies
      • Editorial Board
      • Aims and Scope
      • Abstracting and Indexing
      • Bibliographic Information
      • Archive
    • Experimental and Therapeutic Medicine
      • Experimental and Therapeutic Medicine
      • Information for Authors
      • Editorial Policies
      • Editorial Board
      • Aims and Scope
      • Abstracting and Indexing
      • Bibliographic Information
      • Archive
    • International Journal of Molecular Medicine
      • International Journal of Molecular Medicine
      • Information for Authors
      • Editorial Policies
      • Editorial Board
      • Aims and Scope
      • Abstracting and Indexing
      • Bibliographic Information
      • Archive
    • Biomedical Reports
      • Biomedical Reports
      • Information for Authors
      • Editorial Policies
      • Editorial Board
      • Aims and Scope
      • Abstracting and Indexing
      • Bibliographic Information
      • Archive
    • Oncology Reports
      • Oncology Reports
      • Information for Authors
      • Editorial Policies
      • Editorial Board
      • Aims and Scope
      • Abstracting and Indexing
      • Bibliographic Information
      • Archive
    • Molecular Medicine Reports
      • Molecular Medicine Reports
      • Information for Authors
      • Editorial Policies
      • Editorial Board
      • Aims and Scope
      • Abstracting and Indexing
      • Bibliographic Information
      • Archive
    • World Academy of Sciences Journal
      • World Academy of Sciences Journal
      • Information for Authors
      • Editorial Policies
      • Editorial Board
      • Aims and Scope
      • Abstracting and Indexing
      • Bibliographic Information
      • Archive
    • International Journal of Functional Nutrition
      • International Journal of Functional Nutrition
      • Information for Authors
      • Editorial Policies
      • Editorial Board
      • Aims and Scope
      • Abstracting and Indexing
      • Bibliographic Information
      • Archive
    • International Journal of Epigenetics
      • International Journal of Epigenetics
      • Information for Authors
      • Editorial Policies
      • Editorial Board
      • Aims and Scope
      • Abstracting and Indexing
      • Bibliographic Information
      • Archive
    • Medicine International
      • Medicine International
      • Information for Authors
      • Editorial Policies
      • Editorial Board
      • Aims and Scope
      • Abstracting and Indexing
      • Bibliographic Information
      • Archive
  • Articles
  • Information
    • Information for Authors
    • Information for Reviewers
    • Information for Librarians
    • Information for Advertisers
    • Conferences
  • Language Editing
Spandidos Publications Logo
  • About
    • About Spandidos
    • Aims and Scopes
    • Abstracting and Indexing
    • Editorial Policies
    • Reprints and Permissions
    • Job Opportunities
    • Terms and Conditions
    • Contact
  • Journals
    • All Journals
    • Biomedical Reports
      • Information for Authors
      • Editorial Policies
      • Editorial Board
      • Aims and Scope
      • Abstracting and Indexing
      • Bibliographic Information
      • Archive
    • Experimental and Therapeutic Medicine
      • Information for Authors
      • Editorial Policies
      • Editorial Board
      • Aims and Scope
      • Abstracting and Indexing
      • Bibliographic Information
      • Archive
    • International Journal of Epigenetics
      • Information for Authors
      • Editorial Policies
      • Editorial Board
      • Aims and Scope
      • Abstracting and Indexing
      • Bibliographic Information
      • Archive
    • International Journal of Functional Nutrition
      • Information for Authors
      • Editorial Policies
      • Editorial Board
      • Aims and Scope
      • Abstracting and Indexing
      • Bibliographic Information
      • Archive
    • International Journal of Molecular Medicine
      • Information for Authors
      • Editorial Policies
      • Editorial Board
      • Aims and Scope
      • Abstracting and Indexing
      • Bibliographic Information
      • Archive
    • International Journal of Oncology
      • Information for Authors
      • Editorial Policies
      • Editorial Board
      • Aims and Scope
      • Abstracting and Indexing
      • Bibliographic Information
      • Archive
    • Medicine International
      • Information for Authors
      • Editorial Policies
      • Editorial Board
      • Aims and Scope
      • Abstracting and Indexing
      • Bibliographic Information
      • Archive
    • Molecular and Clinical Oncology
      • Information for Authors
      • Editorial Policies
      • Editorial Board
      • Aims and Scope
      • Abstracting and Indexing
      • Bibliographic Information
      • Archive
    • Molecular Medicine Reports
      • Information for Authors
      • Editorial Policies
      • Editorial Board
      • Aims and Scope
      • Abstracting and Indexing
      • Bibliographic Information
      • Archive
    • Oncology Letters
      • Information for Authors
      • Editorial Policies
      • Editorial Board
      • Aims and Scope
      • Abstracting and Indexing
      • Bibliographic Information
      • Archive
    • Oncology Reports
      • Information for Authors
      • Editorial Policies
      • Editorial Board
      • Aims and Scope
      • Abstracting and Indexing
      • Bibliographic Information
      • Archive
    • World Academy of Sciences Journal
      • Information for Authors
      • Editorial Policies
      • Editorial Board
      • Aims and Scope
      • Abstracting and Indexing
      • Bibliographic Information
      • Archive
  • Articles
  • Information
    • For Authors
    • For Reviewers
    • For Librarians
    • For Advertisers
    • Conferences
  • Language Editing
Login Register Submit
  • This site uses cookies
  • You can change your cookie settings at any time by following the instructions in our Cookie Policy. To find out more, you may read our Privacy Policy.

    I agree
Search articles by DOI, keyword, author or affiliation
Search
Advanced Search
presentation
Oncology Letters
Join Editorial Board Propose a Special Issue
Print ISSN: 1792-1074 Online ISSN: 1792-1082
Journal Cover
December-2024 Volume 28 Issue 6

Full Size Image

Sign up for eToc alerts
Recommend to Library

Journals

International Journal of Molecular Medicine

International Journal of Molecular Medicine

International Journal of Molecular Medicine is an international journal devoted to molecular mechanisms of human disease.

International Journal of Oncology

International Journal of Oncology

International Journal of Oncology is an international journal devoted to oncology research and cancer treatment.

Molecular Medicine Reports

Molecular Medicine Reports

Covers molecular medicine topics such as pharmacology, pathology, genetics, neuroscience, infectious diseases, molecular cardiology, and molecular surgery.

Oncology Reports

Oncology Reports

Oncology Reports is an international journal devoted to fundamental and applied research in Oncology.

Experimental and Therapeutic Medicine

Experimental and Therapeutic Medicine

Experimental and Therapeutic Medicine is an international journal devoted to laboratory and clinical medicine.

Oncology Letters

Oncology Letters

Oncology Letters is an international journal devoted to Experimental and Clinical Oncology.

Biomedical Reports

Biomedical Reports

Explores a wide range of biological and medical fields, including pharmacology, genetics, microbiology, neuroscience, and molecular cardiology.

Molecular and Clinical Oncology

Molecular and Clinical Oncology

International journal addressing all aspects of oncology research, from tumorigenesis and oncogenes to chemotherapy and metastasis.

World Academy of Sciences Journal

World Academy of Sciences Journal

Multidisciplinary open-access journal spanning biochemistry, genetics, neuroscience, environmental health, and synthetic biology.

International Journal of Functional Nutrition

International Journal of Functional Nutrition

Open-access journal combining biochemistry, pharmacology, immunology, and genetics to advance health through functional nutrition.

International Journal of Epigenetics

International Journal of Epigenetics

Publishes open-access research on using epigenetics to advance understanding and treatment of human disease.

Medicine International

Medicine International

An International Open Access Journal Devoted to General Medicine.

Journal Cover
December-2024 Volume 28 Issue 6

Full Size Image

Sign up for eToc alerts
Recommend to Library

  • Article
  • Citations
    • Cite This Article
    • Download Citation
    • Create Citation Alert
    • Remove Citation Alert
    • Cited By
  • Similar Articles
    • Related Articles (in Spandidos Publications)
    • Similar Articles (Google Scholar)
    • Similar Articles (PubMed)
  • Download PDF
  • Download XML
  • View XML

  • Supplementary Files
    • Supplementary_Data1.pdf
    • Supplementary_Data2.xlsx
    • Supplementary_Data3.pdf
    • Supplementary_Data4.xlsx
    • Supplementary_Data5.xlsx
    • Supplementary_Data6.xlsx
    • Supplementary_Data7.xlsx
    • Supplementary_Data8.xlsx
    • Supplementary_Data9.xlsx
    • Supplementary_Data10.xlsx
    • Supplementary_Data11.xlsx
    • Supplementary_Data12.xlsx
Article Open Access

Transcriptomic analysis reveals Streptococcus agalactiae activation of oncogenic pathways in cervical adenocarcinoma

  • Authors:
    • Hong Duc Thi Nguyen
    • Tan Minh Le
    • Da-Ryung Jung
    • Youngjae Jo
    • Yeseul Choi
    • Donghyeon Lee
    • Olive Em Lee
    • Junghwan Cho
    • Nora Jee-Young Park
    • Incheol Seo
    • Gun Oh Chong
    • Jae-Ho Shin
    • Hyung Soo Han
  • View Affiliations / Copyright

    Affiliations: Department of Biomedical Science, Graduate School, Kyungpook National University, Daegu 41944, Republic of Korea, Department of Applied Biosciences, Kyungpook National University, Daegu 41566, Republic of Korea, Clinical Omics Institute, Kyungpook National University, Daegu 41405, Republic of Korea, Department of Immunology, School of Medicine, Kyungpook National University, Daegu 41944, Republic of Korea
    Copyright: © Nguyen et al. This is an open access article distributed under the terms of Creative Commons Attribution License.
  • Article Number: 588
    |
    Published online on: October 3, 2024
       https://doi.org/10.3892/ol.2024.14720
  • Expand metrics +
Metrics: Total Views: 0 (Spandidos Publications: | PMC Statistics: )
Metrics: Total PDF Downloads: 0 (Spandidos Publications: | PMC Statistics: )
Cited By (CrossRef): 0 citations Loading Articles...

This article is mentioned in:



Abstract

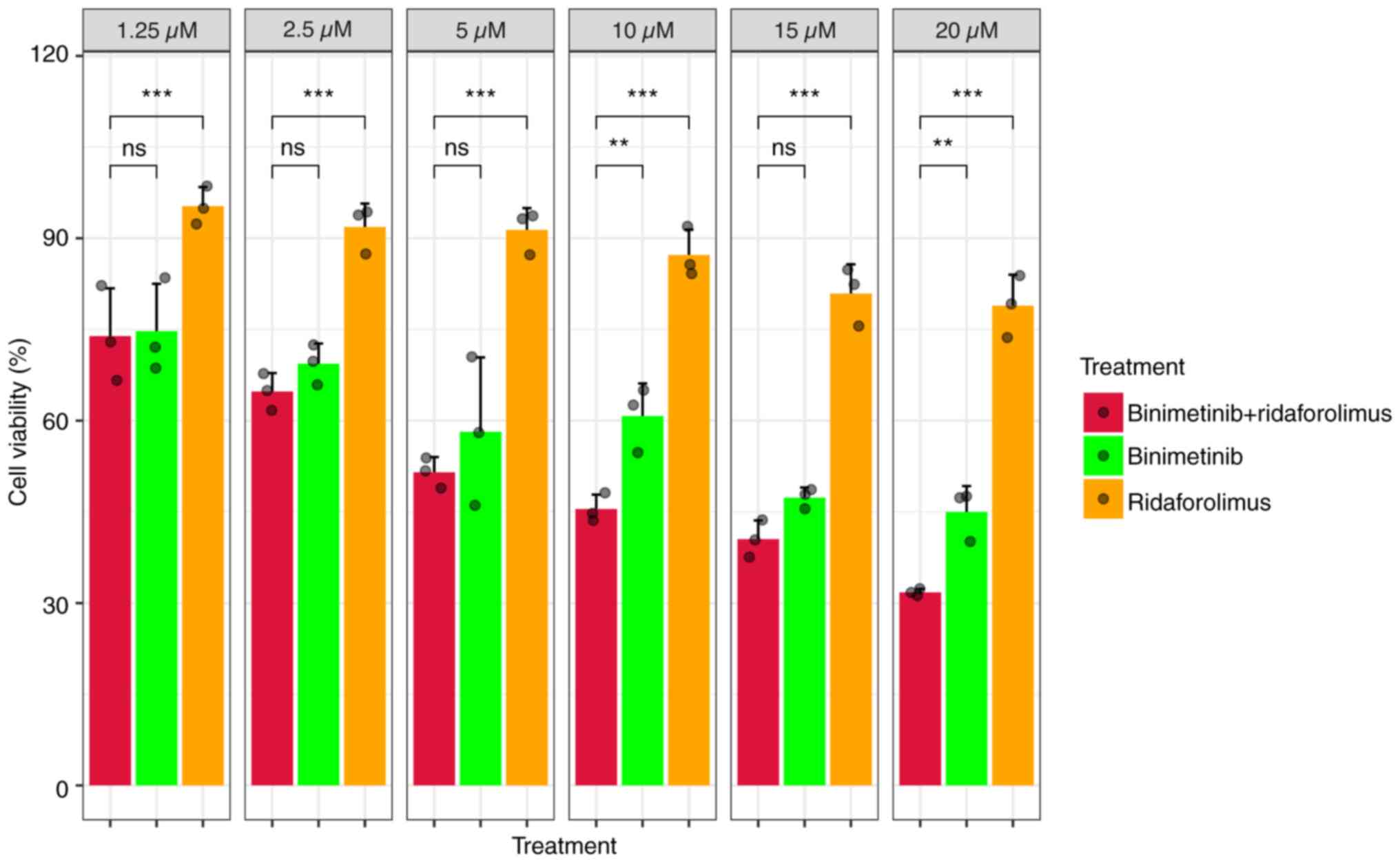
Cervical adenocarcinoma (AC), a subtype of uterine cervical cancer (CC), poses a challenge due to its resistance to therapy and poor prognosis compared with squamous cervical carcinoma. Streptococcus agalactiae [group B Streptococcus (GBS)], a Gram‑positive coccus, has been associated with cervical intraepithelial neoplasia in CC. However, the underlying mechanism interaction between GBS and CC, particularly AC, remains elusive. Leveraging The Cancer Genome Atlas public data and time‑series transcriptomic data, the present study investigated the interaction between GBS and AC, revealing activation of two pivotal pathways: ‘MAPK signaling pathway’ and ‘mTORC1 signaling’. Western blotting, reverse transcription‑quantitative PCR and cell viability assays were performed to validate the activation of these pathways and their role in promoting cancer cell proliferation. Subsequently, the present study evaluated the efficacy of two anticancer drugs targeting these pathways (binimetinib and ridaforolimus) in AC cell treatment. Binimetinib demonstrated a cytostatic effect, while ridaforolimus had a modest impact on HeLa cells after 48 h of treatment, as observed in both cell viability and cytotoxicity assays. The combination of binimetinib and ridaforolimus resulted in a significantly greater cytotoxic effect compared to binimetinib or ridaforolimus monotherapy, although the synergy score indicated an additive effect. In general, the MAPK and mTORC1 signaling pathways were identified as the main pathways associated with GBS and AC cells. The combination of binimetinib and ridaforolimus could be a potential AC treatment.
View Figures

Figure 1

Figure 2

Figure 3

Figure 4

Figure 5

Figure 6

Figure 7

Figure 8

Figure 9

Figure 10

Figure 11

Figure 12

View References

1 

Sung H, Ferlay J, Siegel RL, Laversanne M, Soerjomataram I, Jemal A and Bray F: Global cancer statistics 2020: GLOBOCAN estimates of incidence and mortality worldwide for 36 cancers in 185 countries. CA Cancer J Clin. 71:209–249. 2021. View Article : Google Scholar : PubMed/NCBI

2 

Burmeister CA, Khan SF, Schäfer G, Mbatani N, Adams T, Moodley J and Prince S: Cervical cancer therapies: Current challenges and future perspectives. Tumour Virus Res. 13:2002382022. View Article : Google Scholar : PubMed/NCBI

3 

Couvreur K, Naert E, De Jaeghere E, Tummers P, Makar A, De Visschere P, Van Bockstal M, Van Dorpe J, De Neve W, Denys H and Vandecasteele K: Neo-adjuvant treatment of adenocarcinoma and squamous cell carcinoma of the cervix results in significantly different pathological complete response rates. BMC Cancer. 18:11012018. View Article : Google Scholar : PubMed/NCBI

4 

Blake SJ, Wolf Y, Boursi B and Lynn DJ: Role of the microbiota in response to and recovery from cancer therapy. Nat Rev Immunol. 24:308–325. 2024. View Article : Google Scholar : PubMed/NCBI

5 

Sun J, Chen F and Wu G: Potential effects of gut microbiota on host cancers: Focus on immunity, DNA damage, cellular pathways, and anticancer therapy. ISME J. 17:1535–1551. 2023. View Article : Google Scholar : PubMed/NCBI

6 

Wu S, Ding X, Kong Y, Acharya S, Wu H, Huang C, Liang Y, Nong X and Chen H: The feature of cervical microbiota associated with the progression of cervical cancer among reproductive females. Gynecol Oncol. 163:348–357. 2021. View Article : Google Scholar : PubMed/NCBI

7 

Tango CN, Seo SS, Kwon M, Lee DO, Chang HK and Kim MK: Taxonomic and functional differences in cervical microbiome associated with cervical cancer development. Sci Rep. 10:97202020. View Article : Google Scholar : PubMed/NCBI

8 

Xu X, Zhang Y, Yu L, Shi X, Min M, Xiong L, Pan J, Liu P, Wu G and Gao G: A cross-sectional analysis about bacterial vaginosis, high-risk human papillomavirus infection, and cervical intraepithelial neoplasia in Chinese women. Sci Rep. 12:66092022. View Article : Google Scholar : PubMed/NCBI

9 

Audirac-Chalifour A, Torres-Poveda K, Bahena-Román M, Téllez-Sosa J, Martínez-Barnetche J, Cortina-Ceballos B, López-Estrada G, Delgado-Romero K, Burguete-García AI, Cantú D, et al: Cervical microbiome and cytokine profile at various stages of cervical cancer: A pilot study. PLoS One. 11:e01532742016. View Article : Google Scholar : PubMed/NCBI

10 

Nguyen HDT, Le TM, Lee E, Lee D, Choi Y, Cho J, Park NJ, Chong GO, Seo I and Han HS: Relationship between human papillomavirus status and the cervicovaginal microbiome in cervical cancer. Microorganisms. 11:14172023. View Article : Google Scholar : PubMed/NCBI

11 

Hu J, Wu Y, Quan L, Yang W, Lang J, Tian G and Meng B: Research of cervical microbiota alterations with human papillomavirus infection status and women age in Sanmenxia area of China. Front Microbiol. 13:10046642022. View Article : Google Scholar : PubMed/NCBI

12 

Mulato-Briones IB, Rodriguez-Ildefonso IO, Jiménez-Tenorio JA, Cauich-Sánchez PI, Méndez-Tovar MDS, Aparicio-Ozores G, Bautista-Hernández MY, González-Parra JF, Cruz-Hernández J, López-Romero R, et al: Cultivable microbiome approach applied to cervical cancer exploration. Cancers (Basel). 16:3142024. View Article : Google Scholar : PubMed/NCBI

13 

Kang GU, Jung DR, Lee YH, Jeon SY, Han HS, Chong GO and Shin JH: Potential association between vaginal microbiota and cervical carcinogenesis in korean women: A cohort study. Microorganisms. 294:2942021. View Article : Google Scholar

14 

Armistead B, Oler E, Adams Waldorf K and Rajagopal L: The double life of Group B streptococcus: Asymptomatic colonizer and potent pathogen. J Mol Biol. 431:2914–2931. 2019. View Article : Google Scholar : PubMed/NCBI

15 

Aksu B and Yanilmaz O: Group B streptococci induce interleukin 8 production in human cervical epithelial cell cultures: The role of capsule polysaccharide. Clin Exp Health Sci. 9:49–52. 2018.

16 

Maisey HC, Doran KS and Nizet V: Recent advances in understanding the molecular basis of group B Streptococcus virulence. Expert Rev Mol Med. 10:e272008. View Article : Google Scholar : PubMed/NCBI

17 

Patras KA, Rösler B, Thoman ML and Doran KS: Characterization of host immunity during persistent vaginal colonization by Group B Streptococcus. Mucosal Immunol. 8:1339–1348. 2015. View Article : Google Scholar : PubMed/NCBI

18 

Patras KA, Wang NY, Fletcher EM, Cavaco CK, Jimenez A, Garg M, Fierer J, Sheen TR, Rajagopal L and Doran KS: Group B Streptococcus CovR regulation modulates host immune signalling pathways to promote vaginal colonization. Cell Microbiol. 15:1154–1167. 2013. View Article : Google Scholar : PubMed/NCBI

19 

Zhang C, Liu Y, Gao W, Pan Y, Gao Y, Shen J and Xiong H: The direct and indirect association of cervical microbiota with the risk of cervical intraepithelial neoplasia. Cancer Med. 7:2172–2179. 2018. View Article : Google Scholar : PubMed/NCBI

20 

Lee YH, Kang GU, Jeon SY, Tagele SB, Pham HQ, Kim MS, Ahmad S, Jung DR, Park YJ, Han HS, et al: Vaginal microbiome-based bacterial signatures for predicting the severity of cervical intraepithelial neoplasia. Diagnostics (Basel). 10:10132020. View Article : Google Scholar : PubMed/NCBI

21 

Mutz KO, Heilkenbrinker A, Lönne M, Walter JG and Stahl F: Transcriptome analysis using Next-generation sequencing. Curr Opin Biotechnol. 24:22–30. 2013. View Article : Google Scholar : PubMed/NCBI

22 

Ahmed W: RNA-seq resolving host-pathogen interactions: Advances and applications. Ecol Genet Genom. 15:1000572020.

23 

Nathan S: Transcriptome profiling to understand Host-bacteria interactions: Past, present and future. ScienceAsia. 46:503–513. 2020. View Article : Google Scholar

24 

Yip HYK and Papa A: Signaling pathways in cancer: Therapeutic targets, combinatorial treatments, and new developments. Cells. 10:6592021. View Article : Google Scholar : PubMed/NCBI

25 

Kwon OS, Kim W, Cha HJ and Lee H: In silico drug repositioning: From Large-scale transcriptome data to therapeutics. Arch Pharm Res. 42:879–889. 2019. View Article : Google Scholar : PubMed/NCBI

26 

Poore GD, Kopylova E, Zhu Q, Carpenter C, Fraraccio S, Wandro S, Kosciolek T, Janssen S, Metcalf J, Song SJ, et al: Microbiome analyses of blood and tissues suggest cancer diagnostic approach. Nature. 579:567–574. 2020. View Article : Google Scholar : PubMed/NCBI

27 

Love MI, Huber W and Anders S: Moderated estimation of fold change and dispersion for RNA-seq data with DESeq2. Genome Biol. 15:5502014. View Article : Google Scholar : PubMed/NCBI

28 

Zhang B and Horvath S: A general framework for weighted gene co-expression network analysis. Stat Appl Genet Mol Biol. 4:172005. View Article : Google Scholar : PubMed/NCBI

29 

Langfelder P and Horvath S: WGCNA: An R package for weighted correlation network analysis. BMC Bioinformatics. 9:5592008. View Article : Google Scholar : PubMed/NCBI

30 

Kolberg L, Raudvere U, Kuzmin I, Adler P, Vilo J and Peterson H: g:Profiler-interoperable web service for functional enrichment analysis and gene identifier mapping (2023 update). Nucleic Acids Res. 51:W207–W212. 2023. View Article : Google Scholar : PubMed/NCBI

31 

Kuleshov MV, Jones MR, Rouillard AD, Fernandez NF, Duan Q, Wang Z, Koplev S, Jenkins SL, Jagodnik KM, Lachmann A, et al: Enrichr: A comprehensive gene set enrichment analysis web server 2016 update. Nucleic Acids Res. 44:W90–W97. 2016. View Article : Google Scholar : PubMed/NCBI

32 

Kanehisa M and Goto S: KEGG: Kyoto encyclopedia of genes and genomes. Nucleic Acids Res. 28:27–30. 2000. View Article : Google Scholar : PubMed/NCBI

33 

Liberzon A, Birger C, Thorvaldsdóttir H, Ghandi M, Mesirov JP and Tamayo P: The molecular signatures database hallmark gene set collection. Cell Syst. 1:417–425. 2015. View Article : Google Scholar : PubMed/NCBI

34 

Wickham H: ggplot2: Elegant graphics for data analysis. second edition. Springer-Verlag; New York: 2016

35 

Ewels P, Magnusson M, Lundin S and Käller M: MultiQC: Summarize analysis results for multiple tools and samples in a single report. Bioinformatics. 32:3047–3048. 2016. View Article : Google Scholar : PubMed/NCBI

36 

Andrews S: FastQC: A Quality Control Tool for High Throughput Sequence Data. 2010.

37 

Martin M: Cutadapt Removes Adapter Sequences From High-Throughput Sequencing Reads. 2011. View Article : Google Scholar

38 

Dobin A, Davis CA, Schlesinger F, Drenkow J, Zaleski C, Jha S, Batut P, Chaisson M and Gingeras TR: STAR: Ultrafast universal RNA-seq aligner. Bioinformatics. 29:15–21. 2013. View Article : Google Scholar : PubMed/NCBI

39 

Lefol Y, Korfage T, Mjelle R, Prebensen C, Lüders T, Müller B, Krokan H, Sarno A, Alsøe L; CONSORTIUM LEMONAID, ; et al: TiSA: TimeSeriesAnalysis-A pipeline for the analysis of longitudinal transcriptomics data. NAR Genom Bioinform. 5:lqad0202023. View Article : Google Scholar : PubMed/NCBI

40 

Nilsen G, Borgan Ø, LiestØl K and Lingjærde OC: Identifying clusters in genomics data by recursive partitioning. Stat Appl Genet Mol Biol. 12:637–652. 2013. View Article : Google Scholar : PubMed/NCBI

41 

Livak KJ and Schmittgen TD: Analysis of relative gene expression data using real-time quantitative PCR and the 2(−Delta Delta C(T)) method. Methods. 25:402–408. 2001. View Article : Google Scholar : PubMed/NCBI

42 

Lamb J, Crawford ED, Peck D, Modell JW, Blat IC, Wrobel MJ, Lerner J, Brunet JP, Subramanian A, Ross KN, et al: The connectivity map: Using gene-expression signatures to connect small molecules, genes, and disease. Science. 313:1929–1935. 2006. View Article : Google Scholar : PubMed/NCBI

43 

Samart K, Tuyishime P, Krishnan A and Ravi J: Reconciling multiple connectivity scores for drug repurposing. Brief Bioinform. 22:bbab1612021. View Article : Google Scholar : PubMed/NCBI

44 

Subramanian A, Narayan R, Corsello SM, Peck DD, Natoli TE, Lu X, Gould J, Davis JF, Tubelli AA, Asiedu JK, et al: A next generation connectivity map: L1000 platform and the first 1,000,000 profiles. Cell. 171:1437–1452.e17. 2017. View Article : Google Scholar : PubMed/NCBI

45 

Ritz C, Baty F, Streibig JC and Gerhard D: Dose-response analysis using R. PLoS One. 10:e01460212015. View Article : Google Scholar : PubMed/NCBI

46 

Zheng S, Wang W, Aldahdooh J, Malyutina A, Shadbahr T, Tanoli Z, Pessia A and Tang J: Synergy Finderplus: Toward better interpretation and annotation of drug combination screening datasets. Genomics Proteomics Bioinformatics. 20:587–596. 2022. View Article : Google Scholar : PubMed/NCBI

47 

Xia T, Xu LL, Guo PY, Shi WT, Cheng YQ and Liu AJ: Synergism of amlodipine and telmisartan or candesartan on blood pressure reduction by using SynergyFinder 3.0 and probability sum test in vivo. Pharmacol Res Perspect. 11:e010642023. View Article : Google Scholar : PubMed/NCBI

48 

Holm S: A simple sequentially rejective multiple test procedure a simple sequentially rejective multiple test procedure. Stat Medics. 6:65–70. 1979.

49 

Zhang Y, Zhang Y, Li M, Meng F, Yu Z, Chen Y and Cui G: Combination of SB431542, CHIR99021 and PD0325901 has a synergic effect on abrogating valproic acid-induced epithelial-mesenchymal transition and stemness in HeLa, 5637 and SCC-15 cells. Oncol Rep. 41:3545–3554. 2019.PubMed/NCBI

50 

Ye H, Zhang Y, Wang Y, Xia J, Mao X and Yu X: The restraining effect of baicalein and U0126 on human cervical cancer cell line HeLa. Mol Med Rep. 16:957–963. 2017. View Article : Google Scholar : PubMed/NCBI

51 

Yang EJ and Chang JH: PD98059 induces the apoptosis of human cervical cancer cells by regulating the expression of Bcl2 and ERK2. J Exp Biomed Sci. 17:291–295. 2011.

52 

Zahmatyar M, Kharaz L, Abiri Jahromi N, Jahanian A, Shokri P and Nejadghaderi SA: The safety and efficacy of binimetinib for lung cancer: A systematic review. BMC Pulm Med. 24:3792024. View Article : Google Scholar : PubMed/NCBI

53 

Tran B and Cohen MS: The discovery and development of binimetinib for the treatment of melanoma. Expert Opin Drug Discov. 15:745–754. 2020. View Article : Google Scholar : PubMed/NCBI

54 

Fu K, Cheung AHK, Wong CC, Liu W, Zhou Y, Wang F, Huang P, Yuan K, Coker OO, Pan Y, et al: Streptococcus anginosus promotes gastric inflammation, atrophy, and tumorigenesis in mice. Cell. 187:882–896. 2024. View Article : Google Scholar : PubMed/NCBI

55 

Kumar R, Herold JL, Schady D, Davis J, Kopetz S, Martinez-Moczygemba M, Murray BE, Han F, Li Y, Callaway E, et al: Streptococcus gallolyticus subsp. gallolyticus promotes colorectal tumor development. PLoS Pathog. 13:e10064402017. View Article : Google Scholar : PubMed/NCBI

56 

Song X, Liu B, Zhao G, Pu X, Liu B, Ding M and Xue Y: Streptococcus pneumoniae promotes migration and invasion of A549 cells in vitro by activating mTORC2/AKT through up-regulation of DDIT4 expression. Front Microbiol. 13:10462262022. View Article : Google Scholar : PubMed/NCBI

57 

Choi Y, Han HS, Chong GO, Le TM, Nguyen HDT, Lee OE, Lee D, Seong WJ, Seo I and Cha HH: Updates on Group B streptococcus infection in the field of obstetrics and gynecology. Microorganisms. 10:23982022. View Article : Google Scholar : PubMed/NCBI

58 

Hsieh HY, Lu CH and Wang L: Long-term treatment outcomes/toxicities of definite chemoradiotherapy (intensity-modulated radiation therapy) for early-stage ‘bulky’ cervical cancer and survival impact of histological subtype. J Formos Med Assoc. 122:221–229. 2023. View Article : Google Scholar : PubMed/NCBI

59 

Pan X, Yang W, Wen Z, Li F, Tong L and Tang W: Does adenocarcinoma have a worse prognosis than squamous cell carcinoma in patients with cervical cancer? A real-world study with a propensity score matching analysis. J Gynecol Oncol. 31:e802020. View Article : Google Scholar : PubMed/NCBI

60 

Guo Y, Pan W, Liu S, Shen Z, Xu Y and Hu L: ERK/MAPK signalling pathway and tumorigenesis (Review). Exp Ther Med. 19:1997–2007. 2020.PubMed/NCBI

61 

Burotto M, Chiou VL, Lee JM and Kohn EC: The MAPK pathway across different malignancies: A new perspective. Cancer. 120:3446–3456. 2014. View Article : Google Scholar : PubMed/NCBI

62 

Alto NM and Orth K: Subversion of cell signaling by pathogens. Cold Spring Harb Perspect Biol. 4:a0061142012. View Article : Google Scholar : PubMed/NCBI

63 

Guo Y, Pan W, Liu S, Shen Z, Xu Y and Hu L: ERK/MAPK signalling pathway and tumorigenesis. Exp Ther Med. 19:1997–2007. 2020.PubMed/NCBI

64 

Lavoie H, Gagnon J and Therrien M: ERK signalling: A master regulator of cell behaviour, life and fate. Nat Rev Mol Cell Biol. 21:607–632. 2020. View Article : Google Scholar : PubMed/NCBI

65 

Raingeaud J, Gupta S, Rogers JS, Dickens M, Han J, Ulevitch RJ and Davis RJ: Pro-inflammatory cytokines and environmental stress cause p38 mitogen-activated protein kinase activation by dual phosphorylation on tyrosine and threonine. J Biol Chem. 270:7420–7426. 1995. View Article : Google Scholar : PubMed/NCBI

66 

Tian T, Li X and Zhang J: mTOR signaling in cancer and mtor inhibitors in solid tumor targeting therapy. Int J Mol Sci. 20:7552019. View Article : Google Scholar : PubMed/NCBI

67 

Zou Z, Tao T, Li H and Zhu X: MTOR signaling pathway and mTOR inhibitors in cancer: Progress and challenges. Cell Biosci. 10:312020. View Article : Google Scholar : PubMed/NCBI

68 

Ben-Sahra I and Manning BD: mTORC1 signaling and the metabolic control of cell growth. Curr Opin Cell Biol. 45:72–82. 2017. View Article : Google Scholar : PubMed/NCBI

69 

Pópulo H, Lopes JM and Soares P: The mTOR signalling pathway in human cancer. Int J Mol Sci. 13:1886–1918. 2012. View Article : Google Scholar : PubMed/NCBI

70 

Fisher FM and Maratos-Flier E: Understanding the physiology of FGF21. Annu Rev Physiol. 78:223–241. 2016. View Article : Google Scholar : PubMed/NCBI

71 

Meng D, Yang Q, Wang H, Melick CH, Navlani R, Frank AR and Jewell JL: Glutamine and asparagine activate mTORC1 independently of Rag GTPases. J Biol Chem. 295:2890–2899. 2020. View Article : Google Scholar : PubMed/NCBI

72 

Gobert AP, Latour YL, Asim M, Finley JL, Verriere TG, Barry DP, Milne GL, Luis PB, Schneider C, Rivera ES, et al: Bacterial pathogens hijack the innate immune response by activation of the reverse transsulfuration pathway. mBio. 10:e02174–19. 2019. View Article : Google Scholar : PubMed/NCBI

73 

Xing J, Kornhauser JM, Xia Z, Thiele EA and Greenberg ME: Nerve growth factor activates extracellular Signal-regulated kinase and p38 Mitogen-activated protein kinase pathways to stimulate CREB serine 133 Phosphorylation. Mol Cell Biol. 18:1946–1955. 1998. View Article : Google Scholar : PubMed/NCBI

74 

Yang HT, Cohen P and Rousseau S: IL-1β-stimulated activation of ERK1/2 and p38α MAPK mediates the transcriptional up-regulation of IL-6, IL-8 and GRO-α in HeLa cells. Cell Signal. 20:375–380. 2008. View Article : Google Scholar : PubMed/NCBI

75 

Li S, Deng P, Wang M, Liu X, Jiang M, Jiang B, Yang L and Hu J: IL-1α and IL-1β promote NOD2-induced immune responses by enhancing MAPK signaling. Lab Invest. 99:1321–1334. 2019. View Article : Google Scholar : PubMed/NCBI

76 

Liu W, Feng Z, Qu N, Li R and Niu Y: NUPR1 contribution to autophagy in primary bone tumor cells by regulating the AKT/mTOR signaling pathway. Acta Medica Mediterranea. 38:1223–1228. 2022.

77 

Yang C, Xu X, Dong X, Yang B, Dong W, Luo Y, Liu X, Wu Y and Wang J: DDIT3/CHOP promotes autophagy in chondrocytes via SIRT1-AKT pathway. Biochim Biophys Acta Mol Cell Res. 1868:1190742021. View Article : Google Scholar : PubMed/NCBI

78 

Fan T, Wang X, Zhang S, Deng P, Jiang Y, Liang Y, Jie S, Wang Q, Li C, Tian G, et al: NUPR1 promotes the proliferation and metastasis of oral squamous cell carcinoma cells by activating TFE3-dependent autophagy. Signal Transduct Target Ther. 7:1302022. View Article : Google Scholar : PubMed/NCBI

79 

Wang Y, Huang J, Chen W, Wang RH, Kao MC, Pan YR, Chan SH, Tsai KW, Kung HJ, Lin KT and Wang LH: Dysregulation of cystathionine γ-lyase promotes prostate cancer progression and metastasis. EMBO Rep. 20:e459862019. View Article : Google Scholar : PubMed/NCBI

80 

Lin H, Liu S, Gao W and Liu H: DDIT3 modulates cancer stemness in gastric cancer by directly regulating CEBPβ. J Pharm Pharmacol. 72:807–815. 2020. View Article : Google Scholar : PubMed/NCBI

81 

Krall AS, Xu S, Graeber TG, Braas D and Christofk HR: Asparagine promotes cancer cell proliferation through use as an amino acid exchange factor. Nat Commun. 7:114572016. View Article : Google Scholar : PubMed/NCBI

82 

Gelfo V, Romaniello D, Mazzeschi M, Sgarzi M, Grilli G, Morselli A, Manzan B, Rihawi K and Lauriola M: Roles of il-1 in cancer: From tumor progression to resistance to targeted therapies. Int J Mol Sci. 21:60092020. View Article : Google Scholar : PubMed/NCBI

83 

Molloy NH, Read DE and Gorman AM: Nerve growth factor in cancer cell death and survival. Cancers (Basel). 3:510–530. 2011. View Article : Google Scholar : PubMed/NCBI

84 

Sui Y, Liu Q, Xu C, Ganesan K, Ye Z, Li Y, Wu J, Du B, Gao F, Song C and Chen J: Non-alcoholic fatty liver disease promotes breast cancer progression through upregulated hepatic fibroblast growth factor 21. Cell Death Dis. 15:672024. View Article : Google Scholar : PubMed/NCBI

85 

Tyrrell GJ, Kennedy A, Shokoples SE and Sherburne RK: Binding and invasion of HeLa and MRC-5 cells by Streptococcus agalactiae. Microbiology (Reading). 148:3921–3931. 2002. View Article : Google Scholar : PubMed/NCBI

86 

Gerdes J, Lemke H, Baisch H, Wacker H, Schwab U and Stein H: Cell cycle analysis of a cell proliferation-associated human nuclear antigen defined by the monoclonal antibody Ki-67. J Immunol. 133:1710–1715. 1984. View Article : Google Scholar : PubMed/NCBI

87 

Schlfiter C, Duchrow M, Wohlenberg C, Becker MHG, Key G, Flad HD and Gerdes J: The cell Proliferation-associated antigen of antibody Ki-67: A very large, ubiquitous nuclear protein with numerous repeated elements, representing a new kind of cell cycle-maintaining proteins. J Cell Biol. 123:513–522. 1993. View Article : Google Scholar

88 

Uxa S, Castillo-Binder P, Kohler R, Stangner K, Müller GA and Engeland K: Ki-67 gene expression. Cell Death Differ. 28:3357–3370. 2021. View Article : Google Scholar : PubMed/NCBI

89 

Burnham CAD, Shokoples SE and Tyrrell GJ: Invasion of HeLa cells by group B streptococcus requires the phosphoinositide-3-kinase signalling pathway and modulates phosphorylation of host-cell Akt and glycogen synthase kinase-3. Microbiology (Reading). 153:4240–4252. 2007. View Article : Google Scholar : PubMed/NCBI

90 

Ji J and Zheng PS: Activation of mTOR signaling pathway contributes to survival of cervical cancer cells. Gynecol Oncol. 117:103–108. 2010. View Article : Google Scholar : PubMed/NCBI

91 

Li XW, Tuergan M and Abulizi G: Expression of MAPK1 in cervical cancer and effect of MAPK1 gene silencing on epithelial-mesenchymal transition, invasion and metastasis. Asian Pac J Trop Med. 8:937–943. 2015. View Article : Google Scholar : PubMed/NCBI

92 

Weth FR, Hoggarth GB, Weth AF, Paterson E, White MPJ, Tan ST, Peng L and Gray C: Unlocking hidden potential: Advancements, approaches, and obstacles in repurposing drugs for cancer therapy. Br J Cancer. 130:703–715. 2023. View Article : Google Scholar : PubMed/NCBI

93 

K W To K and Cho WCS: Drug repurposing for cancer therapy in the era of precision medicine. Curr Mol Pharmacol. 15:895–903. 2022. View Article : Google Scholar : PubMed/NCBI

94 

Colombo N, McMeekin DS, Schwartz PE, Sessa C, Gehrig PA, Holloway R, Braly P, Matei D, Morosky A, Dodion PF, et al: Ridaforolimus as a single agent in advanced endometrial cancer: Results of a single-arm, phase 2 trial. Br J Cancer. 108:1021–1026. 2013. View Article : Google Scholar : PubMed/NCBI

95 

Chon HS, Kang S, Lee JK, Apte SM, Shahzad MM, Williams-Elson I and Wenham RM: Phase I study of oral ridaforolimus in combination with paclitaxel and carboplatin in patients with solid tumor cancers. BMC Cancer. 17:4072017. View Article : Google Scholar : PubMed/NCBI

96 

Finn RS, Ahn DH, Javle MM, Tan BR Jr, Weekes CD, Bendell JC, Patnaik A, Khan GN, Laheru D, Chavira R, et al: Phase 1b investigation of the MEK inhibitor binimetinib in patients with advanced or metastatic biliary tract cancer. Invest New Drugs. 36:1037–1043. 2018. View Article : Google Scholar : PubMed/NCBI

97 

Woodfield SE, Zhang L, Scorsone KA, Liu Y and Zage PE: Binimetinib inhibits MEK and is effective against neuroblastoma tumor cells with low NF1 expression. BMC Cancer. 16L:1722016. View Article : Google Scholar : PubMed/NCBI

98 

Anttila JV, Shubin M, Cairns J, Borse F, Guo Q, Mononen T, Vázquez-García I, Pulkkinen O and Mustonen V: Contrasting the impact of cytotoxic and cytostatic drug therapies on tumour progression. PLoS Comput Biol. 15:e10074932019. View Article : Google Scholar : PubMed/NCBI

99 

Hua H, Kong Q, Zhang H, Wang J, Luo T and Jiang Y: Targeting mTOR for cancer therapy. J Hematol Oncol. 12:712019. View Article : Google Scholar : PubMed/NCBI

100 

Formisano L, Napolitano F, Rosa R, D'Amato V, Servetto A, Marciano R, De Placido P, Bianco C and Bianco R: Mechanisms of resistance to mTOR inhibitors. Crit Rev Oncol Hematol. 147:1028862020. View Article : Google Scholar : PubMed/NCBI

101 

Carracedo A, Ma L, Teruya-Feldstein J, Rojo F, Salmena L, Alimonti A, Egia A, Sasaki AT, Thomas G, Kozma SC, et al: Inhibition of mTORC1 leads to MAPK pathway activation through a PI3K-dependent feedback loop in human cancer. J Clin Invest. 118:3065–3074. 2008.PubMed/NCBI

102 

Li Q, Li Z, Luo T and Shi H: Targeting the PI3K/AKT/mTOR and RAF/MEK/ERK pathways for cancer therapy. Mol Biomed. 3:472022. View Article : Google Scholar : PubMed/NCBI

103 

Pitts TM, Newton TP, Bradshaw-Pierce EL, Addison R, Arcaroli JJ, Klauck PJ, Bagby SM, Hyatt SL, Purkey A, Tentler JJ, et al: Dual pharmacological targeting of the map kinase and pi3k/mtor pathway in preclinical models of colorectal cancer. PLoS One. 9:e1130372014. View Article : Google Scholar : PubMed/NCBI

Related Articles

  • Abstract
  • View
  • Download
  • Twitter
Copy and paste a formatted citation
Spandidos Publications style
Nguyen HT, Le TM, Jung D, Jo Y, Choi Y, Lee D, Lee O, Cho J, Park N, Seo I, Seo I, et al: Transcriptomic analysis reveals <em>Streptococcus agalactiae</em> activation of oncogenic pathways in cervical adenocarcinoma. Oncol Lett 28: 588, 2024.
APA
Nguyen, H.T., Le, T.M., Jung, D., Jo, Y., Choi, Y., Lee, D. ... Han, H. (2024). Transcriptomic analysis reveals <em>Streptococcus agalactiae</em> activation of oncogenic pathways in cervical adenocarcinoma. Oncology Letters, 28, 588. https://doi.org/10.3892/ol.2024.14720
MLA
Nguyen, H. T., Le, T. M., Jung, D., Jo, Y., Choi, Y., Lee, D., Lee, O., Cho, J., Park, N., Seo, I., Chong, G. O., Shin, J., Han, H."Transcriptomic analysis reveals <em>Streptococcus agalactiae</em> activation of oncogenic pathways in cervical adenocarcinoma". Oncology Letters 28.6 (2024): 588.
Chicago
Nguyen, H. T., Le, T. M., Jung, D., Jo, Y., Choi, Y., Lee, D., Lee, O., Cho, J., Park, N., Seo, I., Chong, G. O., Shin, J., Han, H."Transcriptomic analysis reveals <em>Streptococcus agalactiae</em> activation of oncogenic pathways in cervical adenocarcinoma". Oncology Letters 28, no. 6 (2024): 588. https://doi.org/10.3892/ol.2024.14720
Copy and paste a formatted citation
x
Spandidos Publications style
Nguyen HT, Le TM, Jung D, Jo Y, Choi Y, Lee D, Lee O, Cho J, Park N, Seo I, Seo I, et al: Transcriptomic analysis reveals <em>Streptococcus agalactiae</em> activation of oncogenic pathways in cervical adenocarcinoma. Oncol Lett 28: 588, 2024.
APA
Nguyen, H.T., Le, T.M., Jung, D., Jo, Y., Choi, Y., Lee, D. ... Han, H. (2024). Transcriptomic analysis reveals <em>Streptococcus agalactiae</em> activation of oncogenic pathways in cervical adenocarcinoma. Oncology Letters, 28, 588. https://doi.org/10.3892/ol.2024.14720
MLA
Nguyen, H. T., Le, T. M., Jung, D., Jo, Y., Choi, Y., Lee, D., Lee, O., Cho, J., Park, N., Seo, I., Chong, G. O., Shin, J., Han, H."Transcriptomic analysis reveals <em>Streptococcus agalactiae</em> activation of oncogenic pathways in cervical adenocarcinoma". Oncology Letters 28.6 (2024): 588.
Chicago
Nguyen, H. T., Le, T. M., Jung, D., Jo, Y., Choi, Y., Lee, D., Lee, O., Cho, J., Park, N., Seo, I., Chong, G. O., Shin, J., Han, H."Transcriptomic analysis reveals <em>Streptococcus agalactiae</em> activation of oncogenic pathways in cervical adenocarcinoma". Oncology Letters 28, no. 6 (2024): 588. https://doi.org/10.3892/ol.2024.14720
Follow us
  • Twitter
  • LinkedIn
  • Facebook
About
  • Spandidos Publications
  • Careers
  • Cookie Policy
  • Privacy Policy
How can we help?
  • Help
  • Live Chat
  • Contact
  • Email to our Support Team