Spandidos Publications Logo
  • About
    • About Spandidos
    • Aims and Scopes
    • Abstracting and Indexing
    • Editorial Policies
    • Reprints and Permissions
    • Job Opportunities
    • Terms and Conditions
    • Contact
  • Journals
    • All Journals
    • Oncology Letters
      • Oncology Letters
      • Information for Authors
      • Editorial Policies
      • Editorial Board
      • Aims and Scope
      • Abstracting and Indexing
      • Bibliographic Information
      • Archive
    • International Journal of Oncology
      • International Journal of Oncology
      • Information for Authors
      • Editorial Policies
      • Editorial Board
      • Aims and Scope
      • Abstracting and Indexing
      • Bibliographic Information
      • Archive
    • Molecular and Clinical Oncology
      • Molecular and Clinical Oncology
      • Information for Authors
      • Editorial Policies
      • Editorial Board
      • Aims and Scope
      • Abstracting and Indexing
      • Bibliographic Information
      • Archive
    • Experimental and Therapeutic Medicine
      • Experimental and Therapeutic Medicine
      • Information for Authors
      • Editorial Policies
      • Editorial Board
      • Aims and Scope
      • Abstracting and Indexing
      • Bibliographic Information
      • Archive
    • International Journal of Molecular Medicine
      • International Journal of Molecular Medicine
      • Information for Authors
      • Editorial Policies
      • Editorial Board
      • Aims and Scope
      • Abstracting and Indexing
      • Bibliographic Information
      • Archive
    • Biomedical Reports
      • Biomedical Reports
      • Information for Authors
      • Editorial Policies
      • Editorial Board
      • Aims and Scope
      • Abstracting and Indexing
      • Bibliographic Information
      • Archive
    • Oncology Reports
      • Oncology Reports
      • Information for Authors
      • Editorial Policies
      • Editorial Board
      • Aims and Scope
      • Abstracting and Indexing
      • Bibliographic Information
      • Archive
    • Molecular Medicine Reports
      • Molecular Medicine Reports
      • Information for Authors
      • Editorial Policies
      • Editorial Board
      • Aims and Scope
      • Abstracting and Indexing
      • Bibliographic Information
      • Archive
    • World Academy of Sciences Journal
      • World Academy of Sciences Journal
      • Information for Authors
      • Editorial Policies
      • Editorial Board
      • Aims and Scope
      • Abstracting and Indexing
      • Bibliographic Information
      • Archive
    • International Journal of Functional Nutrition
      • International Journal of Functional Nutrition
      • Information for Authors
      • Editorial Policies
      • Editorial Board
      • Aims and Scope
      • Abstracting and Indexing
      • Bibliographic Information
      • Archive
    • International Journal of Epigenetics
      • International Journal of Epigenetics
      • Information for Authors
      • Editorial Policies
      • Editorial Board
      • Aims and Scope
      • Abstracting and Indexing
      • Bibliographic Information
      • Archive
    • Medicine International
      • Medicine International
      • Information for Authors
      • Editorial Policies
      • Editorial Board
      • Aims and Scope
      • Abstracting and Indexing
      • Bibliographic Information
      • Archive
  • Articles
  • Information
    • Information for Authors
    • Information for Reviewers
    • Information for Librarians
    • Information for Advertisers
    • Conferences
  • Language Editing
Spandidos Publications Logo
  • About
    • About Spandidos
    • Aims and Scopes
    • Abstracting and Indexing
    • Editorial Policies
    • Reprints and Permissions
    • Job Opportunities
    • Terms and Conditions
    • Contact
  • Journals
    • All Journals
    • Biomedical Reports
      • Information for Authors
      • Editorial Policies
      • Editorial Board
      • Aims and Scope
      • Abstracting and Indexing
      • Bibliographic Information
      • Archive
    • Experimental and Therapeutic Medicine
      • Information for Authors
      • Editorial Policies
      • Editorial Board
      • Aims and Scope
      • Abstracting and Indexing
      • Bibliographic Information
      • Archive
    • International Journal of Epigenetics
      • Information for Authors
      • Editorial Policies
      • Editorial Board
      • Aims and Scope
      • Abstracting and Indexing
      • Bibliographic Information
      • Archive
    • International Journal of Functional Nutrition
      • Information for Authors
      • Editorial Policies
      • Editorial Board
      • Aims and Scope
      • Abstracting and Indexing
      • Bibliographic Information
      • Archive
    • International Journal of Molecular Medicine
      • Information for Authors
      • Editorial Policies
      • Editorial Board
      • Aims and Scope
      • Abstracting and Indexing
      • Bibliographic Information
      • Archive
    • International Journal of Oncology
      • Information for Authors
      • Editorial Policies
      • Editorial Board
      • Aims and Scope
      • Abstracting and Indexing
      • Bibliographic Information
      • Archive
    • Medicine International
      • Information for Authors
      • Editorial Policies
      • Editorial Board
      • Aims and Scope
      • Abstracting and Indexing
      • Bibliographic Information
      • Archive
    • Molecular and Clinical Oncology
      • Information for Authors
      • Editorial Policies
      • Editorial Board
      • Aims and Scope
      • Abstracting and Indexing
      • Bibliographic Information
      • Archive
    • Molecular Medicine Reports
      • Information for Authors
      • Editorial Policies
      • Editorial Board
      • Aims and Scope
      • Abstracting and Indexing
      • Bibliographic Information
      • Archive
    • Oncology Letters
      • Information for Authors
      • Editorial Policies
      • Editorial Board
      • Aims and Scope
      • Abstracting and Indexing
      • Bibliographic Information
      • Archive
    • Oncology Reports
      • Information for Authors
      • Editorial Policies
      • Editorial Board
      • Aims and Scope
      • Abstracting and Indexing
      • Bibliographic Information
      • Archive
    • World Academy of Sciences Journal
      • Information for Authors
      • Editorial Policies
      • Editorial Board
      • Aims and Scope
      • Abstracting and Indexing
      • Bibliographic Information
      • Archive
  • Articles
  • Information
    • For Authors
    • For Reviewers
    • For Librarians
    • For Advertisers
    • Conferences
  • Language Editing
Login Register Submit
  • This site uses cookies
  • You can change your cookie settings at any time by following the instructions in our Cookie Policy. To find out more, you may read our Privacy Policy.

    I agree
Search articles by DOI, keyword, author or affiliation
Search
Advanced Search
presentation
Oncology Letters
Join Editorial Board Propose a Special Issue
Print ISSN: 1792-1074 Online ISSN: 1792-1082
Journal Cover
December-2024 Volume 28 Issue 6

Full Size Image

Sign up for eToc alerts
Recommend to Library

Journals

International Journal of Molecular Medicine

International Journal of Molecular Medicine

International Journal of Molecular Medicine is an international journal devoted to molecular mechanisms of human disease.

International Journal of Oncology

International Journal of Oncology

International Journal of Oncology is an international journal devoted to oncology research and cancer treatment.

Molecular Medicine Reports

Molecular Medicine Reports

Covers molecular medicine topics such as pharmacology, pathology, genetics, neuroscience, infectious diseases, molecular cardiology, and molecular surgery.

Oncology Reports

Oncology Reports

Oncology Reports is an international journal devoted to fundamental and applied research in Oncology.

Experimental and Therapeutic Medicine

Experimental and Therapeutic Medicine

Experimental and Therapeutic Medicine is an international journal devoted to laboratory and clinical medicine.

Oncology Letters

Oncology Letters

Oncology Letters is an international journal devoted to Experimental and Clinical Oncology.

Biomedical Reports

Biomedical Reports

Explores a wide range of biological and medical fields, including pharmacology, genetics, microbiology, neuroscience, and molecular cardiology.

Molecular and Clinical Oncology

Molecular and Clinical Oncology

International journal addressing all aspects of oncology research, from tumorigenesis and oncogenes to chemotherapy and metastasis.

World Academy of Sciences Journal

World Academy of Sciences Journal

Multidisciplinary open-access journal spanning biochemistry, genetics, neuroscience, environmental health, and synthetic biology.

International Journal of Functional Nutrition

International Journal of Functional Nutrition

Open-access journal combining biochemistry, pharmacology, immunology, and genetics to advance health through functional nutrition.

International Journal of Epigenetics

International Journal of Epigenetics

Publishes open-access research on using epigenetics to advance understanding and treatment of human disease.

Medicine International

Medicine International

An International Open Access Journal Devoted to General Medicine.

Journal Cover
December-2024 Volume 28 Issue 6

Full Size Image

Sign up for eToc alerts
Recommend to Library

  • Article
  • Citations
    • Cite This Article
    • Download Citation
    • Create Citation Alert
    • Remove Citation Alert
    • Cited By
  • Similar Articles
    • Related Articles (in Spandidos Publications)
    • Similar Articles (Google Scholar)
    • Similar Articles (PubMed)
  • Download PDF
  • Download XML
  • View XML
Article Open Access

Predictive model for acute radiation esophagitis in esophageal carcinoma based on prognostic nutritional index and systemic inflammatory index and its application

  • Authors:
    • Lijun Wu
    • Wen Li
    • Xuanxuan Ma
    • Mengmeng Yuan
    • Yichun Wang
    • Shuwen Li
  • View Affiliations / Copyright

    Affiliations: School of Nursing, Anhui Medical University, Hefei, Anhui 230022, P.R. China, Department of Oncology, The First Affiliated Hospital of Anhui Medical University, Hefei, Anhui 230022, P.R. China
    Copyright: © Wu et al. This is an open access article distributed under the terms of Creative Commons Attribution License.
  • Article Number: 597
    |
    Published online on: October 9, 2024
       https://doi.org/10.3892/ol.2024.14730
  • Expand metrics +
Metrics: Total Views: 0 (Spandidos Publications: | PMC Statistics: )
Metrics: Total PDF Downloads: 0 (Spandidos Publications: | PMC Statistics: )
Cited By (CrossRef): 0 citations Loading Articles...

This article is mentioned in:



Abstract

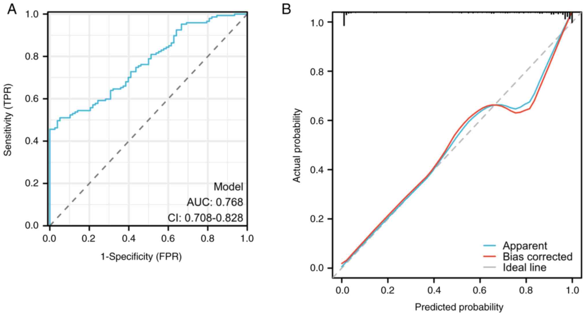
Acute radiation esophagitis (ARE) is a common complication in patients with esophageal cancer undergoing radiotherapy. Therefore, it is important to construct an effective ARE risk‑prediction model for clinical treatment. The present study performed a retrospective analysis of 225 patients with esophageal cancer who received radiotherapy at the First Affiliated Hospital of Anhui Medical University (Hefei, China) from January 2018 to December 2022. Univariate and logistic regression analyses were performed to screen patients with esophageal cancer after radiotherapy. The results revealed that 147 patients developed radiation esophagitis. Logistic regression analysis results demonstrated that the prognostic nutritional index [odds ratio (OR), 0.864; 95% confidence interval (CI), 0.809‑0.924], neutrophil to lymphocyte ratio (OR, 1.795; 95% CI, 1.209‑2.667) and platelet to lymphocyte ratio (OR, 1.011; 95% CI, 1.000‑1.022) were independent predictors of ARE in patients receiving intensity‑modulated conformal radiotherapy for esophagus cancer (P<0.05). A nomogram model for predicting the occurrence of ARE was established based on the three risk factors. The decision curve suggested a high net benefit value when the threshold probability was within 0.25‑1.0. External verification confirmed the reproducibility and generalizability of the nomogram model. In general, the calibration curve of this model was close to the ideal curve and had excellent prediction accuracy. Therefore, it may be used as a new tool for early prediction of the ARE risk.
View Figures

Figure 1

Figure 2

Figure 3

Figure 4

Figure 5

View References

1 

Sung H, Ferlay J, Siegel RL, Laversanne M, Soerjomataram I, Jemal A and Bray F: Global cancer statistics 2020: GLOBOCAN estimates of incidence and mortality worldwide for 36 cancers in 185 countries. CA Cancer J Clin. 71:209–249. 2021. View Article : Google Scholar

2 

Zhu H, Ma X, Ye T, Wang H, Wang Z, Liu Q and Zhao K: Esophageal cancer in China: Practice and research in the new era. Int J Cancer. 152:1741–1751. 2023. View Article : Google Scholar

3 

Li R, Sun J, Wang T, Huang L, Wang S, Sun P and Yu C: Comparison of secular trends in esophageal cancer mortality in China and Japan during 1990–2019: An age-period-cohort analysis. Int J Environ Res Public Health. 19:103022022. View Article : Google Scholar

4 

Tonoiso C, Ikushima H, Kubo A, Kawanaka T, Funatani S, Kudo T, Yoshida T, Miyamoto H, Harada M, Takayama T and Tangoku A: Clinical outcomes and prognostic factors of definitive radiotherapy for esophageal cancer. J Med Invest. 66:99–105. 2019. View Article : Google Scholar

5 

de Groot C, Beukema JC, Langendijk JA, van der Laan HP, van Luijk P, van Melle JP, Muijs CT and Prakken NHJ: Radiation-Induced myocardial fibrosis in long-term esophageal cancer survivors. Int J Radiat Oncol Biol Phys. 110:1013–1021. 2021. View Article : Google Scholar

6 

Alizade-Harakiyan M, Jangjoo AG, Jafari-Koshki T, Fatemi A and Mesbahi A: Radiobiological modeling of acute esophagitis after radiation therapy of head, neck, and thorax tumors: The influence of chemo-radiation. J Cancer Res Ther. 18:1706–1715. 2022. View Article : Google Scholar

7 

Zhou P, Du Y, Zhang Y, Zhu M, Li T, Tian W, Wu T and Xiao Z: Efficacy and safety in proton therapy and photon therapy for patients with esophageal cancer: A meta-analysis. JAMA Netw Open. 6:e23281362023. View Article : Google Scholar

8 

Zheng X, Guo W, Wang Y, Zhang J, Zhang Y, Cheng C, Teng X, Lam S, Zhou T, Ma Z, et al: Multi-omics to predict acute radiation esophagitis in patients with lung cancer treated with intensity-modulated radiation therapy. Eur J Med Res. 28:1262023. View Article : Google Scholar

9 

Wang SA, Dai WS, Zhu JY, Gao B, Ren W and Chen X: Nasogastric tube feeding improves nutritional status and physical state in esophageal cancer patients during chemoradiotherapy: A retrospective study. Support Care Cancer. 31:3412023. View Article : Google Scholar

10 

Vidal-Casariego A, Calleja-Fernandez A, Ballesteros-Pomar MD and Cano-Rodriguez I: Efficacy of glutamine in the prevention of oral mucositis and acute radiation-induced esophagitis: A retrospective study. Nutr Cancer. 65:424–429. 2013. View Article : Google Scholar

11 

Sui Q, Zhang X, Chen C, Tang J, Yu J, Li W, Han K, Jiang W, Liao L, Kong L, et al: Inflammation promotes resistance to immune checkpoint inhibitors in high microsatellite instability colorectal cancer. Nat Commun. 13:73162022. View Article : Google Scholar

12 

Li J, Zhang Y, Xu Q, Wang G, Jiang L, Wei Q, Luo C, Chen L and Ying J: Systemic inflammatory markers of resectable colorectal cancer patients with different mismatch repair gene status. Cancer Manag Res. 13:2925–2935. 2021. View Article : Google Scholar

13 

Kim HS and Ku JH: Systemic inflammatory response based on neutrophil-to-lymphocyte ratio as a prognostic marker in bladder cancer. Dis Markers. 2016:83452862016. View Article : Google Scholar

14 

Rice TW, Blackstone EH and Rusch VW: 7th edition of the AJCC cancer staging manual: Esophagus and esophagogastric junction. Ann Surg Oncol. 17:1721–1724. 2010. View Article : Google Scholar

15 

Charlson ME, Pompei P, Ales KL and MacKenzie CR: A new method of classifying prognostic comorbidity in longitudinal studies: Development and validation. J Chronic Dis. 40:373–383. 1987. View Article : Google Scholar

16 

Cox JD, Stetz J and Pajak TF: Toxicity criteria of the Radiation Therapy Oncology Group (RTOG) and the European Organization for Research and Treatment of Cancer (EORTC). Int J Radiat Oncol Biol Phys. 31:1341–1346. 1995. View Article : Google Scholar

17 

Beukema JC, van Luijk P, Widder J, Langendijk JA and Muijs CT: Is cardiac toxicity a relevant issue in the radiation treatment of esophageal cancer? Radiother Oncol. 114:85–90. 2015. View Article : Google Scholar

18 

Ishida N, Osawa S, Miyazu T, Kaneko M, Tamura S, Tani S, Yamade M, Iwaizumi M, Hamaya Y, Furuta T and Sugimoto K: Photodynamic therapy using talaporfin sodium for local failure after chemoradiotherapy or radiotherapy for esophageal cancer: A single center experience. J Clin Med. 9:15092020. View Article : Google Scholar

19 

Danieli M and Gronchi A: Staging systems and nomograms for soft tissue sarcoma. Curr Oncol. 30:3648–3671. 2023. View Article : Google Scholar

20 

Li S, Zhang H, Liao X, Yan X, Chen L, Lin Y and Peng Y: The occurrence of early atrial fibrillation after cardiac valve operation and the establishment of a nomogram model. Front Cardiovasc Med. 10:10368882023. View Article : Google Scholar

21 

Gu X, Shen H, Bai W, Xiang Z, Li X, Zhang R, Shi F, Li H, Zhu G and Guo S: Endometrial cancer prognosis prediction using correlation models based on CDK family genes. Front Genet. 13:10216002022. View Article : Google Scholar

22 

Wang B, Jiang X, Tian D and Geng W: Enteral nutritional support in patients undergoing chemoradiotherapy for esophageal carcinoma. Future Oncol. 16:2949–2957. 2020. View Article : Google Scholar

23 

Cao J, Xu H, Li W, Guo Z, Lin Y, Shi Y, Hu W, Ba Y, Li S, Li Z, et al: Nutritional assessment and risk factors associated to malnutrition in patients with esophageal cancer. Curr Probl Cancer. 45:1006382021. View Article : Google Scholar

24 

Okadome K, Baba Y, Yagi T, Kiyozumi Y, Ishimoto T, Iwatsuki M, Miyamoto Y, Yoshida N, Watanabe M and Baba H: Prognostic nutritional index, tumor-infiltrating lymphocytes, and prognosis in patients with esophageal cancer. Ann Surg. 271:693–700. 2020. View Article : Google Scholar

25 

Wang Z, Wang Y, Zhang X and Zhang T: Pretreatment prognostic nutritional index as a prognostic factor in lung cancer: Review and meta-analysis. Clin Chim Acta. 486:303–310. 2018. View Article : Google Scholar

26 

Wang X and Wang Y: The prognostic nutritional index is prognostic factor of gynecological cancer: A systematic review and meta-analysis. Int J Surg. 67:79–86. 2019. View Article : Google Scholar

27 

Yao J, Cui Q, Fan W, Ma Y, Chen Y, Liu T, Zhang X, Xi Y, Wang C, Peng L, et al: Single-cell transcriptomic analysis in a mouse model deciphers cell transition states in the multistep development of esophageal cancer. Nat Commun. 11:37152020. View Article : Google Scholar

28 

O'Sullivan KE, Phelan JJ, O'Hanlon C, Lysaght J, O'Sullivan JN and Reynolds JV: The role of inflammation in cancer of the esophagus. Expert Rev Gastroenterol Hepatol. 8:749–760. 2014. View Article : Google Scholar

29 

Shavakhi M, Nourigheimasi S, Dioso E, Goutnik M, Lucke-Wold B, Khanzadeh S and Heidari F: Prognostic role of neutrophil to lymphocyte ratio in nonalcoholic fatty liver disease: A systematic review and meta-analysis. Can J Gastroenterol Hepatol. 2022:15540792022. View Article : Google Scholar

30 

Demirel ME and Akunal Turel C: The role of the multi-inflammatory index as a novel predictor of hospital mortality in acute ischemic stroke. Cureus. 15:e432582023.

31 

Sun Y and Zhang L: The clinical use of pretreatment NLR, PLR, and LMR in patients with esophageal squamous cell carcinoma: Evidence from a meta-analysis. Cancer Manag Res. 10:6167–6179. 2018. View Article : Google Scholar

32 

Ishibashi Y, Tsujimoto H, Einama T, Mochizuki S, Kouzu K, Nomura S, Ito N, Harada M, Sugasawa H, Shinto E, et al: Correlation between immunoinflammatory measures and periostin expression in esophageal squamous cell carcinoma: A single-center, retrospective cohort study. Ann Surg Oncol. 28:1228–1237. 2021. View Article : Google Scholar

Related Articles

  • Abstract
  • View
  • Download
  • Twitter
Copy and paste a formatted citation
Spandidos Publications style
Wu L, Li W, Ma X, Yuan M, Wang Y and Li S: Predictive model for acute radiation esophagitis in esophageal carcinoma based on prognostic nutritional index and systemic inflammatory index and its application. Oncol Lett 28: 597, 2024.
APA
Wu, L., Li, W., Ma, X., Yuan, M., Wang, Y., & Li, S. (2024). Predictive model for acute radiation esophagitis in esophageal carcinoma based on prognostic nutritional index and systemic inflammatory index and its application. Oncology Letters, 28, 597. https://doi.org/10.3892/ol.2024.14730
MLA
Wu, L., Li, W., Ma, X., Yuan, M., Wang, Y., Li, S."Predictive model for acute radiation esophagitis in esophageal carcinoma based on prognostic nutritional index and systemic inflammatory index and its application". Oncology Letters 28.6 (2024): 597.
Chicago
Wu, L., Li, W., Ma, X., Yuan, M., Wang, Y., Li, S."Predictive model for acute radiation esophagitis in esophageal carcinoma based on prognostic nutritional index and systemic inflammatory index and its application". Oncology Letters 28, no. 6 (2024): 597. https://doi.org/10.3892/ol.2024.14730
Copy and paste a formatted citation
x
Spandidos Publications style
Wu L, Li W, Ma X, Yuan M, Wang Y and Li S: Predictive model for acute radiation esophagitis in esophageal carcinoma based on prognostic nutritional index and systemic inflammatory index and its application. Oncol Lett 28: 597, 2024.
APA
Wu, L., Li, W., Ma, X., Yuan, M., Wang, Y., & Li, S. (2024). Predictive model for acute radiation esophagitis in esophageal carcinoma based on prognostic nutritional index and systemic inflammatory index and its application. Oncology Letters, 28, 597. https://doi.org/10.3892/ol.2024.14730
MLA
Wu, L., Li, W., Ma, X., Yuan, M., Wang, Y., Li, S."Predictive model for acute radiation esophagitis in esophageal carcinoma based on prognostic nutritional index and systemic inflammatory index and its application". Oncology Letters 28.6 (2024): 597.
Chicago
Wu, L., Li, W., Ma, X., Yuan, M., Wang, Y., Li, S."Predictive model for acute radiation esophagitis in esophageal carcinoma based on prognostic nutritional index and systemic inflammatory index and its application". Oncology Letters 28, no. 6 (2024): 597. https://doi.org/10.3892/ol.2024.14730
Follow us
  • Twitter
  • LinkedIn
  • Facebook
About
  • Spandidos Publications
  • Careers
  • Cookie Policy
  • Privacy Policy
How can we help?
  • Help
  • Live Chat
  • Contact
  • Email to our Support Team